Interaction Between Colaconema daviesii and the Microscopic Stages of the Giant Kelp Macrocystis pyrifera Shows Negative Consequences to Gametophytes and Young Sporophytes
Abstract
1. Introduction
2. Materials and Methods
2.1. Culture Preparation
2.2. Co-Cultivation Experiments
2.3. Data Collection
2.4. Statistical Analysis
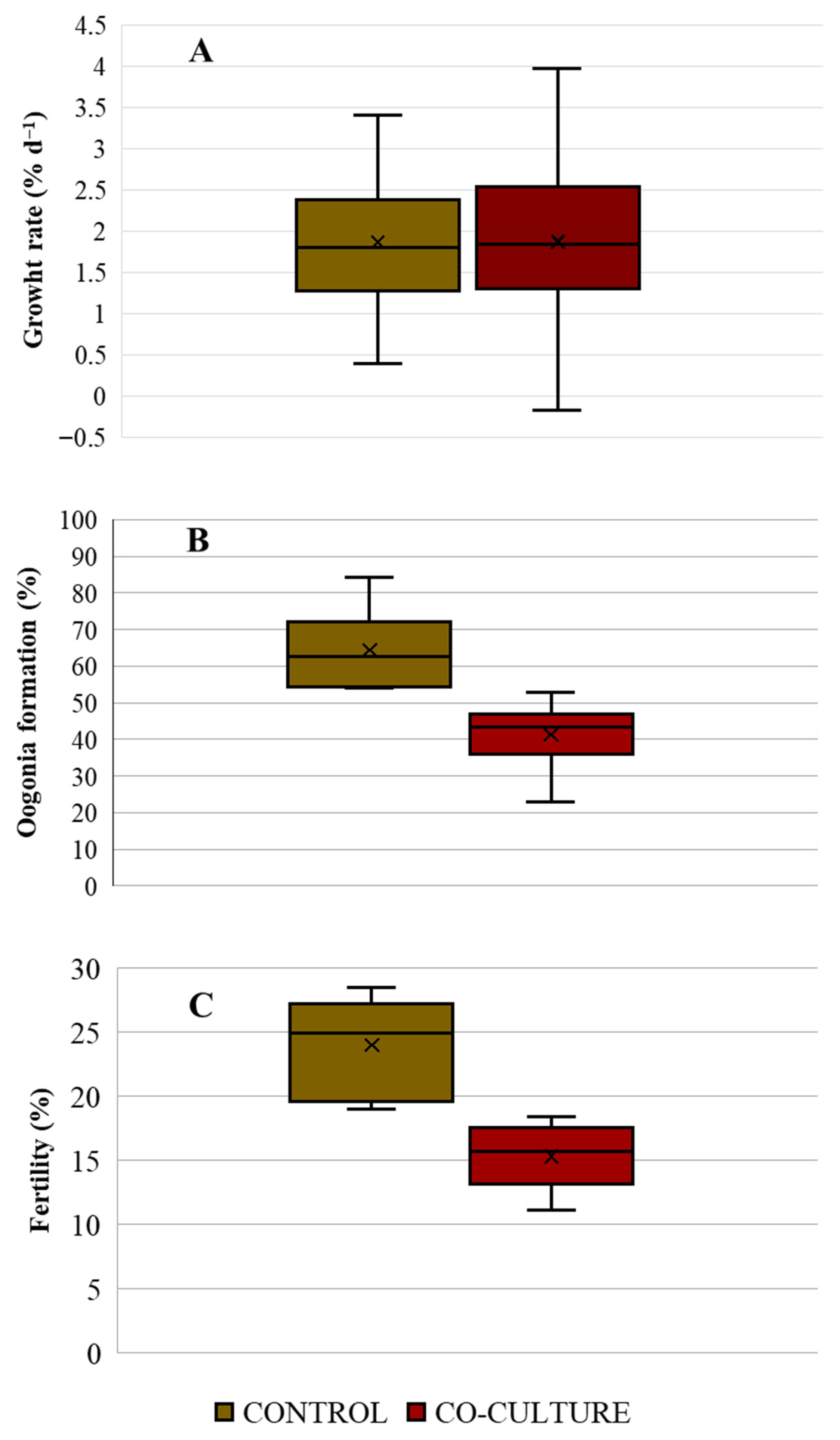
3. Results
4. Discussion
5. Conclusions
Author Contributions
Funding
Institutional Review Board Statement
Informed Consent Statement
Data Availability Statement
Acknowledgments
Conflicts of Interest
References
- Araújo, P.; Schmidt, É; Kreusch, M.; Kano, C.; Guimarães, S.; Bouzon, Z.; Fujii, M.; Yokoya, N. Ultrastructural, morphological, and molecular characterization of Colaconema infestans (Colaconematales, Rhodophyta) and its host Kappaphycus alvarezii (Gigartinales, Rhodophyta) cultivated in the Brazilian tropical region. J. Appl. Phycol. 2014, 26, 1953–1961. [Google Scholar] [CrossRef]
- Lee, M.; Yeh, H. Molecular and morphological characterization of Colaconema formosanum sp. nov. (Colaconemataceae, Rhodophyta)—A new endophytic filamentous red algal species from Taiwan. J. Mar. Sci. Eng. 2021, 9, 809. [Google Scholar] [CrossRef]
- Montoya, V.; Meynard, A.; Contreras-Porcia, L.; Bulboa, C. Molecular identification, growth, and reproduction of Colaconema daviesii (Rhodophyta; Colaconematales) endophyte of the edible red seaweed Chondracanthus chamissoi. J. Appl. Phycol. 2020, 32, 3533–3542. [Google Scholar] [CrossRef]
- Montoya, V.; Alvear, P.; Bulboa, C. Infestation by Colaconema daviesii (Rhodophyta, Colaconematales) of haploid and diploid thalli of edible red seaweed Chondracanthus chamissoi (Rhodophyta, Gigartinales): Effects on growth and survival. J. Appl. Phycol. 2024, 36, 2039–2051. [Google Scholar] [CrossRef]
- Ward, G.; Faisan, J.; Cottier-Cook, E.; Gachon, C.; Hurtado, A.; Lim, P.; Matoju, I.; Msuya, F.; Bass, D.; Brodie, J. A review of reported seaweed diseases and pests in aquaculture in Asia. J. World Aquac. Soc. 2020, 51, 815–828. [Google Scholar] [CrossRef]
- Behera, D.; Ingle, K.; Mathew, D.; Dhimmar, A.; Sahastrabudhe, H.; Sahu, S.; Krishnan, M.; Shinde, P.; Ganesan, M.; Mantri, V. Epiphytism, diseases and grazing in seaweed aquaculture: A comprehensive review. Rev. Aquac. 2022, 14, 1345–1370. [Google Scholar] [CrossRef]
- Vairappan, C.; Chung, C.; Hurtado, A.; Soya, F.; Lhonneur, G.; Critchley, A. Distribution and symptoms of epiphyte infection in major carrageenophyte-producing farms. J. Appl. Phycol. 2008, 20, 477–483. [Google Scholar] [CrossRef]
- Poza, M.; Gauna, C.; Escobar, J.; Parodi, E. Temporal dynamics of algal epiphytes on Leathesia marina and Colpomenia sinuosa macrothalli (Phaeophyceae). Mar. Biol. Res. 2018, 14, 65–75. [Google Scholar] [CrossRef]
- Hansen, G.; Hanyuda, T.; Kawai, H. Benthic Marine Algae on Japanese Tsunami Marine Debris; Oregon State University: Corvallis, OR, USA, 2017. [Google Scholar]
- García, V.; Bárbara, I.; Días, P. Biodiversity of epiphytic macroalgae (Chlorophyta, Ochrophyta, and Rhodophyta) on leaves of Zostera marina in the northwestern Iberian Peninsula. An. Jard. Bot. Madr. 2019, 76, 1–58. [Google Scholar]
- Theobald, E.J.; Kumar, M.; Jackson, T.L.; Rule, M.B.; Diaz-Pulido, G.; Jackson, E.L. Fighting the red devil: Infestation of Asparagopsis taxiformis (Rhodophyta, Bonnemaisoniales) by the epiphyte Colaconema cf. infestans (Rhodophyta, Colaconematales). Phycologia 2025, 64, 231–247. [Google Scholar] [CrossRef]
- Macchiavello, J.; Sepúlveda, C.; Basaure, H.; Sáez, F.; Yañez, D.; Marín, C.; Vega, L. Suspended culture of Chondracanthus chamissoi (Rhodophyta: Gigartinales) in Caleta Hornos (northern Chile) via vegetative propagation with secondary attachment discs. J. Appl. Phycol. 2018, 30, 1149–1155. [Google Scholar] [CrossRef]
- Arbaiza, S.; Castañeda-Franco, M.; Baltazar Guerrero, P.; Bulboa, C. Tree-line system: A sea bottom cultivation technology to improve the biomass production of edible seaweed Chondracanthus chamissoi (Gigartinales, Rhodophyta). J. World Aquac. Soc. 2025, 56, e70007. [Google Scholar] [CrossRef]
- Basaure, H.; Macchiavello, J.; Sepúlveda, C.; Sáez, F.; Yañez, D.; Vega, L.; Marín, C. Sea bottom culture of Chondracanthus chamissoi (Rhodophyta: Gigartinales) by vegetative propagation at Puerto Aldea, Tongoy Bay (Northern Chile). Aquac. Res. 2020, 52, 2025–2035. [Google Scholar] [CrossRef]
- Oyarzo, S.; Ávila, M.; Alvear, P.; Remoncellez, J.; Contreras-Porcia, L.; Bulboa, C. Secondary attachment disc of edible seaweed Chondracanthus chamissoi (Rhodophyta, Gigartinales): Establishment of permanent thalli stock. Aquaculture 2021, 530, 735954. [Google Scholar] [CrossRef]
- Mendez, C.; Bustamante, D.; Calderon, M.; Gauna, C.; Hayashi, L.; Robledo, D.; Murúa, P. Biosecurity baseline for a sustainable development of seaweed aquaculture in Latin America. Mar. Policy 2024, 159, 105933. [Google Scholar] [CrossRef]
- Murúa, P.; Garvetto, A.; Egan, S.; Gachon, C. The reemergence of phycopathology: When algal biology meets ecology and biosecurity. Annu. Rev. Phytopathol. 2023, 61, 231–255. [Google Scholar] [CrossRef]
- Eggert, A.; Peters, A.F.; Küpper, F.C. The potential impacts of climate change on endophyte infections in kelp sporophytes. In Seaweeds and Their Role in Globally Changing Environments; Israel, A., Einav, R., Seckbach, J., Eds.; Springer: New York, NY, USA, 2010; pp. 139–154. [Google Scholar]
- Smale, D.; Burrows, M.; Moore, P.; O’Connor, N.; Hawkins, S. Threats and knowledge gaps for ecosystem services provided by kelp forests: A northeast Atlantic perspective. Ecol. Evol. 2013, 3, 4016–4038. [Google Scholar] [CrossRef]
- Teagle, H.; Hawkins, S.; Moore, P.; Smale, D. The role of kelp species as biogenic habitat formers in coastal marine ecosystems. J. Exp. Mar. Biol. Ecol. 2017, 492, 81–98. [Google Scholar] [CrossRef]
- Oyarzo-Miranda, C.; Otaíza, R.; Bellorín, A.; Vega, J.; Tala, F.; Lagos, N.; Bulboa, C.; Contreras-Porcia, L. Seaweed restocking along the Chilean coast: History, present, and inspiring recommendations for sustainability. Front. Mar. Sci. 2023, 9, 10624814. [Google Scholar] [CrossRef]
- Eckman, J.; Duggins, D.; Sewell, A. Ecology of understory kelp environments. Effects of kelps on flow and particle transport near the bottom. J. Exp. Mar. Biol. Ecol. 1989, 129, 173–187. [Google Scholar] [CrossRef]
- Veenhof, R.; Champion, C.; Dworjanyn, S.; Wernberg, T.; Minne, A.; Layton, C.; Bolton, J.; Reed, D.; Coleman, M. Kelp gametophytes in changing oceans. Oceanogr. Mar. Biol. Annu. Rev. 2022, 60, 335–372. [Google Scholar]
- Frieder, C.; Nam, S.; Martz, T.; Levin, L. High temporal and spatial variability of dissolved oxygen and pH in a nearshore California kelp forest. Biogeosciences 2012, 9, 3917–3930. [Google Scholar] [CrossRef]
- Harvell, C.; Mitchell, C.; Ward, J.; Altizer, S.; Dobson, A.; Ostfeld, R.; Samuel, M. Climate warming and disease risks for terrestrial and marine biota. Science 2002, 296, 2158–2162. [Google Scholar] [CrossRef] [PubMed]
- Filbee-Dexter, K.; Scheibling, R. Sea urchin barrens as alternative stable states of collapsed kelp ecosystems. Mar. Ecol. Prog. Ser. 2014, 495, 1–25. [Google Scholar] [CrossRef]
- Oyarzo-Miranda, C.; Latorre, N.; Meynard, A.; Rivas, J.; Bulboa, C.; Contreras-Porcia, L. Coastal pollution from the industrial park Quintero Bay of central Chile: Effects on abundance, morphology, and development of the kelp Lessonia spicata (Phaeophyceae). PLoS ONE 2020, 15, e0240581. [Google Scholar] [CrossRef]
- Lein, T.; Sjøtun, K.; Wakili, S. Mass-occurrence of a brown filamentous endophyte in the lamina of the kelp Laminaria hyperborea (Gunnerus) Foslie along the southwestern coast of Norway. Sarsia 1991, 76, 187–193. [Google Scholar] [CrossRef]
- Peters, A. Field and culture studies of Streblonema macrocystis sp. nov. (Ectocapales, Phaeophyceae) from Chile, a sexual endophyte of giant kelp. Phycologia 1991, 30, 365–377. [Google Scholar] [CrossRef]
- Ellertsdottir, E.; Peters, A. High prevalence of infection by endophytic brown algae in populations of Laminaria spp. (Phaeophyceae). Mar. Ecol. Prog. Ser. 1997, 146, 135–143. [Google Scholar] [CrossRef]
- Xing, Q.; Bernard, M.; Rousvoal, S.; Corre, E.; Markov, G.; Peters, A.; Leblanc, C. Different early responses of Laminariales to an endophytic infection provide insights about kelp host specificity. Front. Mar. Sci. 2021, 8, 742469. [Google Scholar] [CrossRef]
- Bernard, M.; Strittmatter, M.; Murúa, P.; Heesch, S.; Cho, G.; Leblanc, C.; Peters, A. Diversity, biogeography and host specificity of kelp endophytes with a focus on the genera Laminarionema and Laminariocolax (Ectocarpales, Phaeophyceae). Eur. J. Phycol. 2019, 54, 39–51. [Google Scholar] [CrossRef]
- Müller, D.; Küpper, F.; Küpper, H. Infection experiments reveal broad host ranges of Eurychasma dicksonii (Oomycota) and Chytridium polysiphoniae (Chytridiomycota), two eukaryotic parasites in marine brown algae (Phaeophyceae). Phycol. Res. 1999, 47, 217–223. [Google Scholar] [CrossRef]
- Bernard, M.; Rousvoal, S.; Jacquemin, B.; Ballenghien, M.; Peters, A.; Leblanc, C. qPCR-based relative quantification of the brown algal endophyte Laminarionema elsbetiae in Saccharina latissima: Variation and dynamics of host–endophyte interactions. J. Appl. Phycol. 2018, 30, 2901–2911. [Google Scholar] [CrossRef]
- Gachon, C.; Strittmatter, M.; Badis, Y.; Fletcher, K.; West, P.; Müller, D. Pathogens of brown algae: Culture studies of Anisolpidium ectocarpii and A. rosenvingei reveal that the Anisolpidiales are uniflagellated oomycetes. Eur. J. Phycol. 2017, 52, 133–148. [Google Scholar] [CrossRef]
- Murúa, P.; Patiño, D.; Leiva, F.; Muñoz, L.; Müller, D.; Küpper, F.; Peters, A. Gall disease in the alginophyte Lessonia berteroana: A pathogenic interaction linked with host adulthood in a seasonal-dependant manner. Algal Res. 2019, 39, 101435. [Google Scholar] [CrossRef]
- Apt, K. Etiology and development of hyperplasia induced by Streblonema sp. (Phaeophyta) on members of the Laminariales (Phaeophyta). J. Phycol. 1988, 24, 28–34. [Google Scholar] [CrossRef]
- Heesch, S.; Peters, A. Scanning electron microscopy observation of host entry by two brown algae endophytic in Laminaria saccharina (Laminariales, Phaeophyceae). Phycol. Res. 1999, 47, 1–5. [Google Scholar] [CrossRef]
- Weinberger, F. Pathogen-induced defense and innate immunity in macroalgae. Biol. Bull. 2007, 213, 290–302. [Google Scholar] [CrossRef] [PubMed]
- Weinberger, F.; Friedlander, M.; Hoppe, H. Oligoagars elicit a physiological response in Gracilaria conferta (Rhodophyta). J. Phycol. 1999, 35, 747–755. [Google Scholar] [CrossRef]
- Potin, P.; Bouarab, K.; Salaün, J.P.; Pohnert, G.; Kloareg, B. Biotic interactions of marine algae. Curr. Opin. Plant Biol. 2002, 5, 308–317. [Google Scholar] [CrossRef]
- Cuba, D.; Guardia-Luzon, K.; Cevallos, B.; Ramos-Larico, S.; Neira, E.; Pons, A.; Avila-Peltroche, J. Ecosystem services provided by kelp forests of the Humboldt current system: A comprehensive review. Coasts 2022, 2, 259–277. [Google Scholar] [CrossRef]





Disclaimer/Publisher’s Note: The statements, opinions and data contained in all publications are solely those of the individual author(s) and contributor(s) and not of MDPI and/or the editor(s). MDPI and/or the editor(s) disclaim responsibility for any injury to people or property resulting from any ideas, methods, instructions or products referred to in the content. |
© 2025 by the authors. Licensee MDPI, Basel, Switzerland. This article is an open access article distributed under the terms and conditions of the Creative Commons Attribution (CC BY) license (https://creativecommons.org/licenses/by/4.0/).
Share and Cite
Videla, D.; Bulboa, C. Interaction Between Colaconema daviesii and the Microscopic Stages of the Giant Kelp Macrocystis pyrifera Shows Negative Consequences to Gametophytes and Young Sporophytes. Phycology 2025, 5, 54. https://doi.org/10.3390/phycology5040054
Videla D, Bulboa C. Interaction Between Colaconema daviesii and the Microscopic Stages of the Giant Kelp Macrocystis pyrifera Shows Negative Consequences to Gametophytes and Young Sporophytes. Phycology. 2025; 5(4):54. https://doi.org/10.3390/phycology5040054
Chicago/Turabian StyleVidela, Diego, and Cristian Bulboa. 2025. "Interaction Between Colaconema daviesii and the Microscopic Stages of the Giant Kelp Macrocystis pyrifera Shows Negative Consequences to Gametophytes and Young Sporophytes" Phycology 5, no. 4: 54. https://doi.org/10.3390/phycology5040054
APA StyleVidela, D., & Bulboa, C. (2025). Interaction Between Colaconema daviesii and the Microscopic Stages of the Giant Kelp Macrocystis pyrifera Shows Negative Consequences to Gametophytes and Young Sporophytes. Phycology, 5(4), 54. https://doi.org/10.3390/phycology5040054

