Methane-Rich Syngas from Pyrolysis of Sewage Sludge with Sorbent/Catalyst
Abstract
1. Introduction
2. Materials and Methods
2.1. Feedstock Preparation and Characterization
2.2. Sampling and Characterization of Pyrolysis Products
2.3. Bench-Scale Rotary Kiln Facility
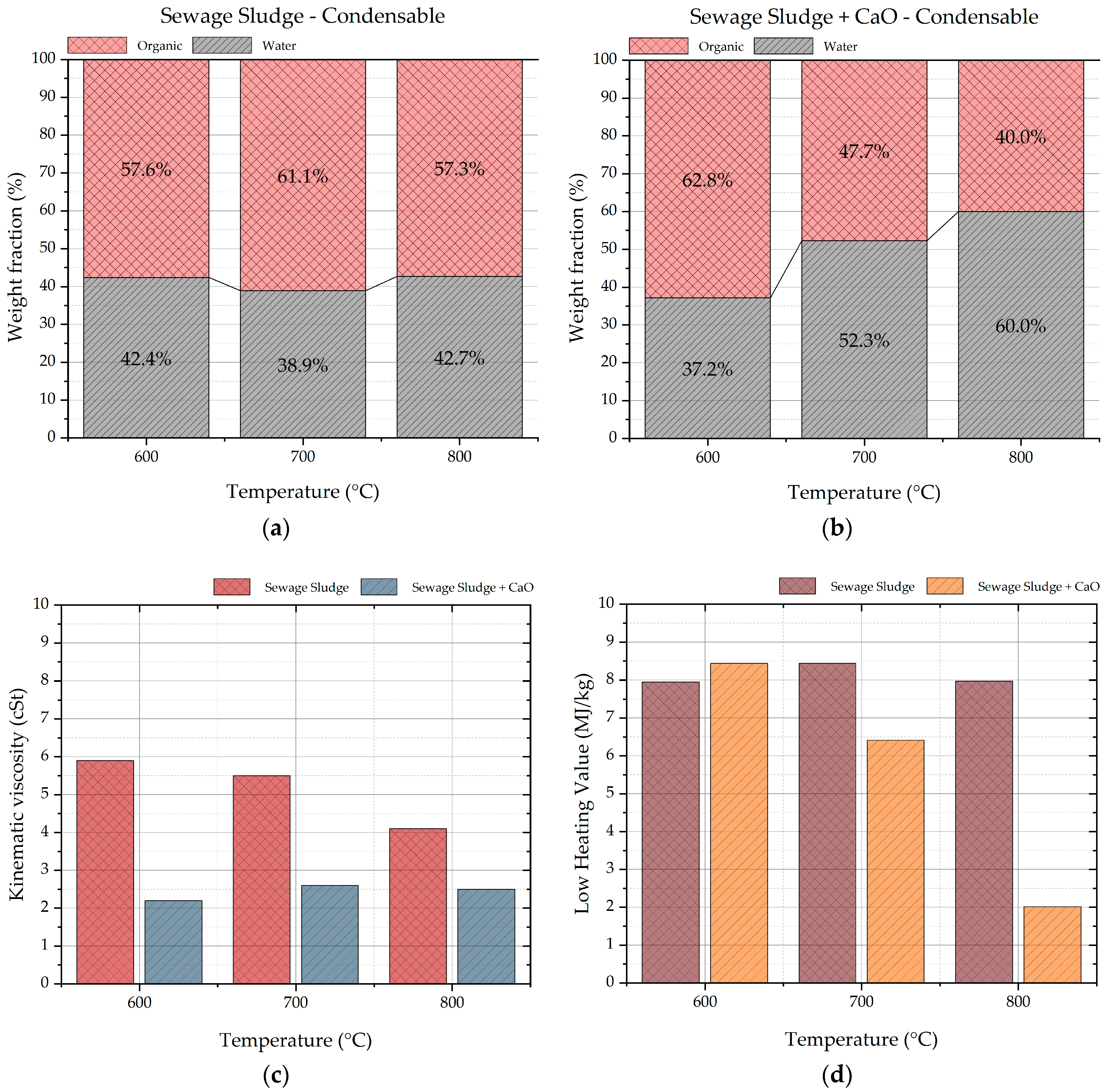
3. Results
4. Conclusions
Author Contributions
Funding
Data Availability Statement
Conflicts of Interest
Abbreviations
| SS | Sewage sludge |
| TRL | Technological readiness level |
| TGA | Thermogravimetric analysis |
| FTIR-DSC | Fourier-Transform Infrared Spectroscopy-Differential Scanning Calorimetry |
References
- ISPRA. Rapporto Rifiuti Speciali N° 402; ISPRA: Rome, Italy, 2024. [Google Scholar]
- Kominko, H.; Gorazda, K.; Wzorek, Z. Sewage Sludge: A Review of Its Risks and Circular Raw Material Potential. J. Water Process Eng. 2024, 63, 105522. [Google Scholar] [CrossRef]
- Rijo, B.; Nobre, C.; Brito, P.; Ferreira, P. An Overview of the Thermochemical Valorization of Sewage Sludge: Principles and Current Challenges. Energies 2024, 17, 2417. [Google Scholar] [CrossRef]
- Qian, L.; Wang, S.; Xu, D.; Guo, Y.; Tang, X.; Wang, L. Treatment of Municipal Sewage Sludge in Supercritical Water: A Review. Water Res. 2016, 89, 118–131. [Google Scholar] [CrossRef]
- Freda, C.; Cornacchia, G.; Romanelli, A.; Valerio, V.; Grieco, M. Sewage Sludge Gasification in a Bench Scale Rotary Kiln. Fuel 2018, 212, 88–94. [Google Scholar] [CrossRef]
- Takaoka, M.; Yoo, J.; Mizuno, T.; Sonoda, K.; Ueda, A.; Hosho, F.; Miyamoto, T. Historical Trends, Roles, and Future Challenges of Sewage Sludge Thermal Treatment in Japan. J. Mater. Cycles Waste Manag. 2025, 27, 2811–2831. [Google Scholar] [CrossRef]
- Giuliano, A.; Freda, C.; Catizzone, E. Techno-Economic Assessment of Bio-Syngas Production for Methanol Synthesis: A Focus on the Water–Gas Shift and Carbon Capture Sections. Bioengineering 2020, 7, 70. [Google Scholar] [CrossRef]
- Magdziarz, A.; Wilk, M. Thermal Characteristics of the Combustion Process of Biomass and Sewage Sludge. J. Therm. Anal. Calorim. 2013, 114, 519–529. [Google Scholar] [CrossRef]
- Porshnov, D. Evolution of Pyrolysis and Gasification as Waste to Energy Tools for Low Carbon Economy. WIREs Energy Environ. 2022, 11, e421. [Google Scholar] [CrossRef]
- Gao, N.; Kamran, K.; Quan, C.; Williams, P.T. Thermochemical Conversion of Sewage Sludge: A Critical Review. Prog. Energy Combust. Sci. 2020, 79, 100843. [Google Scholar] [CrossRef]
- Gherghel, A.; Teodosiu, C.; De Gisi, S. A Review on Wastewater Sludge Valorisation and Its Challenges in the Context of Circular Economy. J. Clean. Prod. 2019, 228, 244–263. [Google Scholar] [CrossRef]
- Fanelli, E.; Freda, C.; Romanelli, A.; Valerio, V.; Le Pera, A.; Sellaro, M.; Cornacchia, G.; Braccio, G. Thermochemical Conversion of Digestate Derived from OFMSW Anaerobic Digestion to Produce Methane-Rich Syngas with CO2 Sorption. Processes 2025, 13, 2451. [Google Scholar] [CrossRef]
- Zaman, C.Z.; Pal, K.; Yehye, W.A.; Sagadevan, S.; Shah, S.T.; Adebisi, G.A. Pyrolysis: A Sustainable Way to Generate Energy from Waste; IntechOpen: Rijeka, Croatia, 2017. [Google Scholar] [CrossRef]
- Laird, D.A.; Brown, R.C.; Amonette, J.E.; Lehmann, J. Review of the pyrolysis platform for coproducing bio-oil and biochar. Biofuel Bioprod. Biorefin. 2009, 3, 547–562. [Google Scholar] [CrossRef]
- Pahnila, M.; Koskela, A.; Sulasalmi, P.; Fabritius, T. A Review of Pyrolysis Technologies and the Effect of Process Parameters on Biocarbon Properties. Energies 2023, 16, 6936. [Google Scholar] [CrossRef]
- Al-Rumaihi, A.; Shahbaz, M.; Mckay, G.; Mackey, H.; Al-Ansari, T. A review of pyrolysis technologies and feedstock: A blending approach for plastic and biomass towards optimum biochar yield. Renew. Sustain. Energy Rev. 2022, 167, 112715. [Google Scholar] [CrossRef]
- Zhang, Y.; Shi, C.; Wang, Y.; Liu, G.; Shen, J.; Yang, Y. Sewage Sludge Separate Pyrolysis and Co-Pyrolysis with Low Rank Coal: Characteristics, Kinetics, and Mechanism. Thermochim. Acta 2025, 753, 180110. [Google Scholar] [CrossRef]
- Gao, N.; Li, J.; Qi, B.; Li, A.; Duan, Y.; Wang, Z. Thermal Analysis and Products Distribution of Dried Sewage Sludge Pyrolysis. J. Anal. Appl. Pyrolysis 2014, 105, 43–48. [Google Scholar] [CrossRef]
- Gascó, G.; Blanco, C.G.; Guerrero, F.; Méndez Lázaro, A.M. The Influence of Organic Matter on Sewage Sludge Pyrolysis. J. Anal. Appl. Pyrolysis 2005, 74, 413–420. [Google Scholar] [CrossRef]
- Guo, S.; Xiong, X.; Che, D.; Liu, H.; Sun, B. Effects of Sludge Pyrolysis Temperature and Atmosphere on Characteristics of Biochar and Gaseous Products. Korean J. Chem. Eng. 2021, 38, 55–63. [Google Scholar] [CrossRef]
- Agrafioti, E.; Bouras, G.; Kalderis, D.; Diamadopoulos, E. Biochar Production by Sewage Sludge Pyrolysis. J. Anal. Appl. Pyrolysis 2013, 101, 72–78. [Google Scholar] [CrossRef]
- Barry, D.; Barbiero, C.; Briens, C.; Berruti, F. Pyrolysis as an Economical and Ecological Treatment Option for Municipal Sewage Sludge. Biomass Bioenergy 2019, 122, 472–480. [Google Scholar] [CrossRef]
- Khanmohammadi, Z.; Afyuni, M.; Mosaddeghi, M.R. Effect of Pyrolysis Temperature on Chemical and Physical Properties of Sewage Sludge Biochar. Waste Manage. Res. 2015, 33, 275–283. [Google Scholar] [CrossRef]
- Pedroza, M.M.; Sousa, J.F.; Vieira, G.E.G.; Bezerra, M.B.D. Characterization of the Products from the Pyrolysis of Sewage Sludge in 1 Kg/h Rotating Cylinder Reactor. J. Anal. Appl. Pyrolysis 2014, 105, 108–115. [Google Scholar] [CrossRef]
- Li, Q.; Zhong, Z.; Du, H.; Zheng, X.; Zhang, B.; Jin, B. Co-Pyrolysis of Sludge and Kaolin/Zeolite in a Rotary Kiln: Analysis of Stabilizing Heavy Metals. Front. Environ. Sci. Eng. 2022, 16, 85. [Google Scholar] [CrossRef]
- Chen, S.; Zhao, Z.; Soomro, A.; Ma, S.; Wu, M.; Sun, Z.; Xiang, W. Hydrogen-Rich Syngas Production via Sorption-Enhanced Steam Gasification of Sewage Sludge. Biomass Bioenergy 2020, 138, 105607. [Google Scholar] [CrossRef]
- Trinh, T.N.; Jensen, P.A.; Dam-Johansen, K.; Knudsen, N.O.; Sørensen, H.R. Influence of the Pyrolysis Temperature on Sewage Sludge Product Distribution, Bio-Oil, and Char Properties. Energy Fuels 2013, 27, 1419–1427. [Google Scholar] [CrossRef]
- ASTM D2216; Standard Test Methods for Laboratory Determination of Water (Moisture) Content of Soil and Rock by Mass. ASTM International: West Conshohocken, PA, USA, 2019. [CrossRef]
- ASTM D1762-84; Standard Test Method for Chemical Analysis of Wood Charcoal. ASTM International: West Conshohocken, PA, USA, 2021. [CrossRef]
- ASTM D5373-21; Standard Test Methods for Determination of Carbon, Hydrogen and Nitrogen in Analysis Samples of Coal and Carbon in Analysis Samples of Coal and Coke. ASTM International: West Conshohocken, PA, USA, 2021. [CrossRef]
- ASTM D5865/D5865M-19; Standard Test Method for Gross Calorific Value of Coal and Coke. ASTM International: West Conshohocken, PA, USA, 2019. [CrossRef]
- ASTM E203-16; Standard Test Method for Water Using Volumetric Karl Fischer Titration. ASTM International: West Conshohocken, PA, USA, 2023. [CrossRef]
- ASTM D445-24; Standard Test Method for Kinematic Viscosity of Transparent and Opaque Liquids (and Calculation of Dynamic Viscosity). ASTM International: West Conshohocken, PA, USA, 2024. [CrossRef]
- Sullivan, J.D.; Maier, C.G.; Ralston, O.C. Passage of Solid Particles Through Rotary Cylindrical Kilns. US Government Printing Office: Washington, DC, USA, 1927. [Google Scholar]
- Corella, J.; Aznar, M.-P.; Gil, J.; Caballero, M.A. Biomass Gasification in Fluidized Bed: Where to Locate the Dolomite To Improve Gasification? Energy Fuels 1999, 13, 1122–1127. [Google Scholar] [CrossRef]
- Li, B.; Magoua Mbeugang, C.F.; Huang, Y.; Liu, D.; Wang, Q.; Zhang, S. A Review of CaO Based Catalysts for Tar Removal during Biomass Gasification. Energy 2022, 244, 123172. [Google Scholar] [CrossRef]
- He, M.; Xiao, B.; Liu, S.; Guo, X.; Luo, S.; Xu, Z.; Feng, Y.; Hu, Z. Hydrogen-Rich Gas from Catalytic Steam Gasification of Municipal Solid Waste (MSW): Influence of Steam to MSW Ratios and Weight Hourly Space Velocity on Gas Production and Composition. Int. J. Hydrogen Energy 2009, 34, 2174–2183. [Google Scholar] [CrossRef]
- Zhang, C.; Fang, J.; Han, Z.; Chen, P.; Xu, X.; Liao, J. Optimizing CaO-based CO2 adsorption: Impact of operating parameters. iScience 2025, 34, 113127. [Google Scholar] [CrossRef] [PubMed]
- Hossain, M.K.; Strezov, V.; Chan, K.Y.; Ziolkowski, A.; Nelson, P.F. Influence of pyrolysis temperature on production and nutrient properties of wastewater sludge biochar. J. Environ. Manag. 2011, 92, 223–228. [Google Scholar] [CrossRef]
- Chen, R.; Sheng, Q.; Dai, X.; Dong, B. Upgrading of sewage sludge by low temperature pyrolysis: Biochar fuel properties and combustion behavior. Fuel 2021, 300, 121007. [Google Scholar] [CrossRef]
- Radovanovic, M. Some Remarks on the Viscosity Measurement of Pyrolysis Liquids. Biomass Bioenergy 2000, 18, 209–222. [Google Scholar] [CrossRef]
- Cordella, M.; Berrueco, C.; Santarelli, F.; Paterson, N.; Kandiyoti, R.; Millan, M. Yields and Ageing of the Liquids Obtained by Slow Pyrolysis of Sorghum, Switchgrass and Corn Stalks. J. Anal. Appl. Pyrolysis 2013, 104, 316–324. [Google Scholar] [CrossRef]










| Authors | Scale | Technology | Aim | Results |
|---|---|---|---|---|
| Zhang et al. [17] | TGA | Pyrolysis and co-pyrolysis kinetic analysis | Activation energy, reaction order | |
| Gao et al. [18] | TG–FTIR DSC, laboratory | Batch tubular pyrolizer | Kinetic analysis, pyrolysis tests | Activation energy, product distribution, gas analysis, |
| Gascò et al. [19] | Laboratory | Batch electrical furnace | Production of activated carbon | Activated carbon yield and characterization |
| Guo et al. [20] | Laboratory | Batch electrical furnace | Pyrolysis tests as function of temperature and carrier gas | Biochar yield and gas analysis |
| Agrafioti et al. [21] | Laboratory | Batch muffle furnace | Pyrolysis tests as function of temperature, residence time, chemical impregnation | Biochar yield and analysis |
| Barry et al. [22] | Laboratory/prototype | Batch mechanically fluidized reactor, continuous fluidized bubbling bed | Slow and fast pyrolysis tests | Product distribution and chemical analysis, DH pyrolysis |
| Khanmohammadi et al. [23] | Prototype | Batch electrical furnace | Pyrolysis tests as function of temperature | Product distribution, biochar characterization |
| Pedroza et al. [24] | Prototype | Rotary kiln | Pyrolysis tests | Product distribution, char and oil analysis |
| Li et al. [25] | Prototype | Rotary kiln | Pyrolysis of sewage sludge and kaoline/zeolite | Biochar yield and chemical analysis |
| Chen et al. [26] | Laboratory | Batch fixed bed | Steam gasification with sorbents, Co catalyst | Syngas composition, cold gas efficiency, H2 yield |
| Trinh et al. [27] | Prototype | Centrifugal reactor | Fast pyrolysis | Product distribution, bio-oil and char analysis |
| Specifications | Value |
|---|---|
| Max. electrical power of the heater | 9.2 kW |
| Max. operational temperature | 1550 °C |
| Length of heated zone | 610 mm |
| Material of reactor chamber | Recrystallized alumina |
| Total reactor length | 1550 mm |
| Internal diameter | 80 mm |
| External diameter | 94 mm |
| Reactor chamber volume | 7.79 dm3 |
| Ultimate and Proximate Analysis | ||
|---|---|---|
| Moisture content ar | % wt. | 73.7 |
| Dry matter ar | 26.3 | |
| Density ar | (kg/m3) | 900 |
| pH ar | 7.5 | |
| Proximate Analysis | ||
| Moisture content | % wt. | 3.2 |
| Ash content | 27.5 | |
| Volatile matter | 65.5 | |
| Fixed carbon | 3.8 | |
| Ultimate Analysis | ||
| C | % wt. | 36.1 |
| H | 5.1 | |
| N | 5.8 | |
| S | 1.0 | |
| O | 23.6 | |
| Ash content | 28.4 | |
| Lower Heating Value | MJ/kg | 15.2 |
| Metal | ppm * | Metal | ppm * | Metal | ppm * |
|---|---|---|---|---|---|
| Al | 6861.2 | B | n.d. | Mo | n.d. |
| Si | 21,146.2 | Ba | 199.0 | Ni | 22.7 |
| K | 2586.4 | Cd | n.d. | P | 11,695.8 |
| Na | 704.9 | Co | n.d. | Pb | 88.1 |
| Ca | 18,079.5 | Cr | 36.9 | Sb | n.d. |
| Mg | 6116.5 | Cu | 267.2 | V | 25.6 |
| Fe | 10,502.1 | Li | 176.2 | Zn | 679.3 |
| Ti | 1227.8 | Mn | 193.3 | Hg | n.d. |
| Sewage Sludge | Sewage Sludge + CaO | |||||
|---|---|---|---|---|---|---|
| Temperature | 600 °C | 700 °C | 800 °C | 600 °C | 700 °C | 800 °C |
| Class 1 | 0.0% | 0.0% | 0.0% | 0.0% | 0.0% | 0.0% |
| Class 2 | 30.8% | 31.3% | 28.2% | 31.8% | 29.1% | 47.2% |
| Class 3 | 42.7% | 53.1% | 60.0% | 54.0% | 58.6% | 42.3% |
| Class 4 | 26.6% | 15.4% | 11.6% | 14.1% | 12.3% | 10.4% |
| Class 5 | 0.0% | 0.1% | 0.2% | 0.1% | 0.0% | 0.0% |
Disclaimer/Publisher’s Note: The statements, opinions and data contained in all publications are solely those of the individual author(s) and contributor(s) and not of MDPI and/or the editor(s). MDPI and/or the editor(s) disclaim responsibility for any injury to people or property resulting from any ideas, methods, instructions or products referred to in the content. |
© 2026 by the authors. Licensee MDPI, Basel, Switzerland. This article is an open access article distributed under the terms and conditions of the Creative Commons Attribution (CC BY) license.
Share and Cite
Freda, C.; Fanelli, E.; Romanelli, A.; Valerio, V.; Le Pera, A.; Sellaro, M.; Cornacchia, G.; Braccio, G. Methane-Rich Syngas from Pyrolysis of Sewage Sludge with Sorbent/Catalyst. Biomass 2026, 6, 7. https://doi.org/10.3390/biomass6010007
Freda C, Fanelli E, Romanelli A, Valerio V, Le Pera A, Sellaro M, Cornacchia G, Braccio G. Methane-Rich Syngas from Pyrolysis of Sewage Sludge with Sorbent/Catalyst. Biomass. 2026; 6(1):7. https://doi.org/10.3390/biomass6010007
Chicago/Turabian StyleFreda, Cesare, Emanuele Fanelli, Assunta Romanelli, Vito Valerio, Adolfo Le Pera, Miriam Sellaro, Giacinto Cornacchia, and Giacobbe Braccio. 2026. "Methane-Rich Syngas from Pyrolysis of Sewage Sludge with Sorbent/Catalyst" Biomass 6, no. 1: 7. https://doi.org/10.3390/biomass6010007
APA StyleFreda, C., Fanelli, E., Romanelli, A., Valerio, V., Le Pera, A., Sellaro, M., Cornacchia, G., & Braccio, G. (2026). Methane-Rich Syngas from Pyrolysis of Sewage Sludge with Sorbent/Catalyst. Biomass, 6(1), 7. https://doi.org/10.3390/biomass6010007

