Friction and Wear Performance of Carbon Nanotubes Reinforced Co-Based Atmospheric Plasma-Sprayed Coatings
Abstract
1. Introduction
2. Materials and Methods
2.1. Substrate and Feedstock Materials
2.2. Plasma Spray Deposition
2.3. Characterization Techniques
3. Results and Discussion
3.1. Surface Morphology, Roughness and Phase Composition
3.2. Microstructural Characterization
3.3. Adhesion Strength Test
3.4. Microhardness
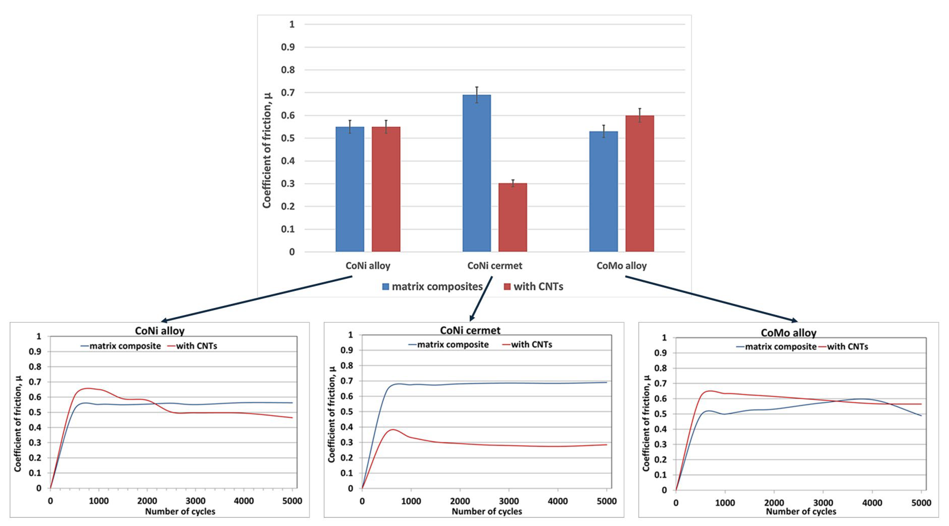
3.5. Friction and Wear Behavior
4. Conclusions
Author Contributions
Funding
Data Availability Statement
Acknowledgments
Conflicts of Interest
References
- Tahir, N.A.M.; Abdollah, M.F.B.; Tamaldin, N.; Amiruddin, H.; Zin, M.R.B.M. A Brief Review on the Wear Mechanisms and Interfaces of Carbon Based Materials. Compos. Interfaces 2017, 25, 491–513. [Google Scholar] [CrossRef]
- Singh, S.; Berndt, C.C.; Singh Raman, R.K.; Singh, H.; Ang, A.S.M. Applications and Developments of Thermal Spray, Coatings for the Iron and Steel Industry. Materials 2023, 16, 516. [Google Scholar] [CrossRef]
- Joshi, S.; Nylen, P. Advanced Coatings by Thermal Spray Processes. Technologies 2019, 7, 79. [Google Scholar] [CrossRef]
- Farooq, S.A.; Raina, A.; Mohan, S.; Singh, R.A.; Jayalakshmi, S.; Haq, M.I.U. Nanostructured Coatings: Review on Processing Techniques, Corrosion Behaviour and Tribological Performance. Nanomaterials 2022, 12, 1323. [Google Scholar] [CrossRef] [PubMed]
- Shah, R.; Chen, R.; Woydt, M. The Effects of Energy Efficiency and Resource Consumption on Environmental Sustainability. Lubricants 2021, 9, 117. [Google Scholar] [CrossRef]
- Muratore, C.; Voevodin, A. Chameleon Coatings: Adaptive Surfaces to Reduce Friction and Wear in Extreme Environments. Annu. Rev. Mater. Sci. 2009, 39, 297–324. [Google Scholar] [CrossRef]
- Kiape, S.; Glava, M.; Georgatis, E.; Kamnis, S.; Matikas, T.E.; Karantzalis, A.E. CoCrFeMnNi0.8V/Cr3C2-Ni20Cr High-Entropy Alloy Composite Thermal Spray Coating: Comparison with Monolithic CoCrFeMnNi0.8V and Cr3C2-Ni20Cr Coatings. Coatings 2024, 14, 402. [Google Scholar] [CrossRef]
- Venturi, F.; Kamnis, S.; Hussain, T. Internal Diameter HVOAF Thermal Spray of Carbon Nanotubes Reinforced WC-Co Composite Coatings. Mater. Des. 2021, 202, 109566. [Google Scholar] [CrossRef]
- Espallargas, N.; Armada, S. A New Type of Self-Lubricated Thermal Spray Coatings: Liquid Lubricants Embedded in a Metal Matrix. J. Therm. Spray Technol. 2015, 24, 222–234. [Google Scholar] [CrossRef]
- Reinert, L.; Varenberg, M.; Mücklich, F.; Suárez, S. Dry Friction and Wear of Self-Lubricating Carbon-Nanotube-Containing Surfaces. Wear 2018, 406–407, 33–42. [Google Scholar] [CrossRef]
- Cornelio, J.; Cuervo, P.; Hoyos-Palacio, L.; Lara-Romero, J.; Toro, A. Tribological Properties of Carbon Nanotubes as Lubricant Additive in Oil and Water for a Wheel-Rail System. J. Mater. Res. Technol. 2016, 5, 68–76. [Google Scholar] [CrossRef]
- Bukvi´c, M.; Gajevi´c, S.; Skuli´c, A.; Savi´c, S.; Ašonja, A.; Stojanovi´c, B. Tribological Application of Nanocomposite Additives in Industrial Oils. Lubricants 2024, 12, 6. [Google Scholar] [CrossRef]
- Holmberg, K.; Erdemir, A. Influence of Tribology on Global Energy Consumption, Costs and Emissions. Friction 2017, 5, 263–284. [Google Scholar] [CrossRef]
- Sarafoglou, C.I.; Skaltsas, D.; Tsiourva, D.; Zotiadis, C.; Korres, D.M.; Ioannou, P.; Andreouli, D.; Papadopoulos, C.I.; Vouyiouka, S.; Georgiopoulos, I. Encapsulated Liquid Lubricants Incorporated in Metal Matrix Thermal Spraying Coatings. J. Therm. Spray Technol. 2024, 33, 786–805. [Google Scholar] [CrossRef]
- Moghadam, A.D.; Omrani, E.; Menezes, P.L.; Rohatgi, P.K. Mechanical and tribological properties of self-lubricating metal matrix nanocomposites reinforced by carbon nanotubes (CNTs) and graphene—A review. Compos. Part B Eng. 2015, 77, 402–420. [Google Scholar] [CrossRef]
- Patrikalos, J.; Ioannou, P.; Andreouli, D.; Georgiopoulos, I.; Skaltsas, D.; Papadopoulos, C.; Sarafoglou, C.I. Investigating the Effect of Solid Lubricants Addition on Friction and Wear Behaviour of Thermally Sprayed Coatings. In Thermal Spray 2023, Proceedings of the International Thermal Spray Conference, no. itsc2023p0392, Québec City, QC, Canada, 22–25 May 2023; ASM International: Almere, The Netherlands, 2023; pp. 392–399. [Google Scholar] [CrossRef]
- Moghadam, A.D.; Schultz, B.F.; Ferguson, J.B.; Omrani, E.; Rohatgi, P.; Gupta, N. Functional Metal Matrix Composites: Self-Lubricating, Self-Healing, and Nanocomposites-an Outlook. JOM 2014, 66, 872–881. [Google Scholar] [CrossRef]
- Venkatachalapathy, V.; Katiyar, N.K.; Matthews, A.; Endrino, J.L.; Goel, S. A Guiding Framework for Process [41] Parameter Optimisation of Thermal Spraying. Coatings 2023, 13, 713. [Google Scholar] [CrossRef]
- Kaewsai, D.; Watcharapasorn, A.; Singjai, P.; Wirojanupatump, S.; Niranatlumpong, P.; Jiansirisomboon, S. Thermal Sprayed Stainless Steel/Carbon Nanotube Composite Coatings. Surf. Coat. Technol. 2010, 205, 2104–2112. [Google Scholar] [CrossRef]
- Singla, M.K.; Singh, H.; Chawla, V. Thermal Sprayed CNT Reinforced Nanocomposite Coatings—A Review. J. Miner. Mater. Charact. Eng. 2011, 10, 717–726. [Google Scholar] [CrossRef]
- Kravchenko, I.; Kuznetsov, Y.; Velichko, J.; Yarina, S.; Dobychin, A.; Spasić, D.; Kalashnikova, L. Model for Evaluating the Plasma Coating Method. Adv. Eng. Lett. 2023, 2, 21–27. [Google Scholar] [CrossRef]
- Lu, X.; Bhusal, S.; He, G.; Zhao, D.; Zhang, C.; Agarwal, A.; Chen, Y. Efficacy of Graphene Nanoplatelets on Splat Morphology and Microstructure of Plasma Sprayed Alumina Coatings. Surf. Coat. Technol. 2019, 366, 54–61. [Google Scholar] [CrossRef]
- He, P.; Ma, G.; Wang, H.; Yong, Q.; Chen, S. Microstructure and mechanical properties of a novel plasma-spray TiO2 coating reinforced by CNTs. Ceram. Int. 2016, 42, 13319–13325. [Google Scholar] [CrossRef]
- Pérez-Bustamante, R.; Pérez-Bustamante, F.; Estrada-Guel, I.; Licea-Jiménez, L.; Miki-Yoshida, M.; Martínez-Sánchez, R. Effect of Milling Time and CNT Concentration on Hardness of CNT/Al2024 Composites Produced by Mechanical Alloying. Mater. Charact. 2013, 75, 13–19. [Google Scholar] [CrossRef]
- Jagadeeshanayaka, N.; Awasthi, S.; Jambagi, S.C.; Srivastava, C. Bioactive Surface Modifications through Thermally Sprayed Hydroxyapatite Composite Coatings: A Review of Selective Reinforcements. Biomater. Sci. 2022, 10, 2484–2523. [Google Scholar] [CrossRef]
- Kumar, S.; Bhatia, R.; Singh, H.; Virdi, R.L. Microstructural and Mechanical Properties of CNT-Reinforced ZrO2-Y2O3 Coated Boiler Tube Steel T-91. J. Electrochem. Sci. Eng. 2022, 12, 877–888. [Google Scholar] [CrossRef]
- Feijoo, I.; Pena, G.; Cristóbal, M.; Cabeza, M.; Rey, P. Effect of Carbon Nanotube Content and Mechanical Milling Conditions on the Manufacture of AA7075/MWCNT Composites. Metals 2022, 12, 1020. [Google Scholar] [CrossRef]
- Srinivasan, R.; Kamaraj, M.; Rajeev, D.; Ravi, S.; Senthilkumar, N. Plasma Spray Coating of Aluminum–Silicon-MWCNT Blends on Titanium Grade 5 Alloy Substrate for Enhanced Wear and Corrosion Resistance. Silicon 2022, 14, 8629–8641. [Google Scholar] [CrossRef]
- Bai, Y.; Zhang, R.; Zhu, X.Y.Z.; Xie, H.; Shen, B.; Cai, D.; Liu, B.; Zhang, C.; Jia, Z.; Zhang, S.; et al. Carbon nanotube bundles with tensile strength over 80 GPa. Nat. Nanotechnol. 2018, 13, 589–595. [Google Scholar] [CrossRef]
- Goh, C.S.; Wei, J.; Lee, L.C.; Gupta, M. Development of novel carbon nanotube reinforced magnesium nanocomposites using the powder metallurgy technique. Nanotechnology 2006, 17, 7–12. [Google Scholar] [CrossRef]
- Chen, X.; Liu, K.; Peng, S.; Zhang, L.; He, S.; Gorbatov, I.O.; Qu, X. Enhanced mechanical properties of the surface-modified CNTs reinforced 2195 aluminum-based composite. Mater. Sci. Eng. A 2025, 922, 147623. [Google Scholar] [CrossRef]
- Yuuki, J.; Kwon, H.; Kawasaki, A.; Magario, A.; Noguchi, T.; Beppu, J.; Seki, M. Fabrication of Carbon Nanotube Reinforced Aluminum Composite by Powder Extrusion Process. Mater. Sci. Forum. 2007, 534–536, 889–892. [Google Scholar] [CrossRef]
- Ujah, C.O.; Kallon, D.V.V.; Aigbodion, V.S. Tribological Properties of CNTs-Reinforced Nano Composite Materials. Lubricants 2023, 11, 95. [Google Scholar] [CrossRef]
- Terrones, M.; Grobert, N.; Olivares, J.; Zhang, J.P.; Terrones, H.; Kordatos, K.; Hsu, W.K.; Hare, J.P.; Townsend, P.D.; Prassides, K.; et al. Controlled production of aligned-nanotube bundles. Nature 2002, 388, 52–55. [Google Scholar]
- Bakshi, S.R.; Keshri, A.K.; Agarwal, A. A comparison of mechanical and wear properties of plasma sprayed carbon nanotube reinforced aluminum composites at nano and macro scale. Mater. Sci. Eng. A 2011, 528, 3375–3384. [Google Scholar] [CrossRef]
- Mohanty, D.; Kar, S.; Paul, S.; Bandyopadhyay, P.P. Carbon nanotube reinforced HVOF sprayed WC-Co coating. Mater. Des. 2018, 156, 340–350. [Google Scholar] [CrossRef]
- Mukherjee, B.; Rahman, O.A.; Islam, A.; Sribalaji, M.; Keshri, A.K. Plasma sprayed carbon nanotube and graphene nanoplatelets reinforced alumina hybrid composite coating with outstanding toughness. J. Alloys Compd. 2017, 727, 658–670. [Google Scholar] [CrossRef]
- Goyal, R.; Sidhu, B.S.; Chawla, V. Characterization of plasma-sprayed carbon nanotube (CNT)-reinforced alumina coatings on ASME-SA213-T11 boiler tube steel. Int. J. Adv. Manuf. Technol. 2017, 92, 3225–3235. [Google Scholar] [CrossRef]
- Goyal, K.; Singh, H.; Bhatia, R. Behaviour of carbon nanotubes-Cr2O3 thermal barrier coatings in actual boiler. Surf. Eng. 2020, 36, 124–134. [Google Scholar] [CrossRef]
- Wang, L.; Zhang, Z.; Luo, Y.; Xiao, Y.; Tan, F.; Liu, K. Understanding the Influencing Mechanism of CNTs on the Microstructures and Wear Characterization of Semi-Solid Stir Casting Al-Cu-Mg-Si Alloys. Metals 2022, 12, 2171. [Google Scholar] [CrossRef]
- Vaisman, L.; Wagner, H.D.; Marom, G. The role of surfactants in dispersion of carbon nanotubes. Adv. Colloid Interface Sci. 2006, 128, 37–46. [Google Scholar] [CrossRef]
- Bakshi, S.R.; Lahiri, D.; Agarwal, A. Carbon nanotube reinforced metal matrix composites—A review. Int. Mater. Rev. 2010, 55, 41–64. [Google Scholar] [CrossRef]
- Esawi, A.M.K.; Morsi, K. Dispersion of carbon nanotubes (CNTs) in aluminum powder. Compos. Part A Appl. Sci. Manuf. 2007, 38, 646–650. [Google Scholar] [CrossRef]
- Rashad, M.; Pan, F.; Yu, Z.; Asif, M. Influence of carbon nanotubes content on the microstructure and mechanical properties of Mg–CNTs composites. J. Alloys Compd. 2015, 610, 433–443. [Google Scholar]
- Jambagi, S.C.; Kar, S.; Brodard, P.; Bandyopadhyay, P.P. Characteristics of plasma sprayed coatings produced from carbon nanotube doped ceramic powder feedstock. Mater. Des. 2016, 112, 392–401. [Google Scholar] [CrossRef]
- Kalangi, C.; Bolleddu, V. Microstructural characteristics and mechanical properties of thermally sprayed conventional ceramic coatings reinforced with multiwalled carbon nanotubes. J. Reinf. Plast. Compos. 2022. [Google Scholar] [CrossRef]
- Rodríguez, M.A.; Gil, L.; Camero, S.; Fréty, N.; Santana, Y.; Caro, J. Effects of the dispersion time on the microstructure and wear resistance of WC/Co-CNTs HVOF sprayed coatings. Surf. Coat. Technol. 2014, 258, 38–48. [Google Scholar] [CrossRef]
- Bhushan, B. Modern Tribology Handbook; CRC Press: Boca Raton, FL, USA, 2000. [Google Scholar] [CrossRef]
- Ahn, H.; Kwon, O. Tribological behaviour of plasma-sprayed chromium oxide coating. Wear 1999, 225, 814–824. [Google Scholar] [CrossRef]
- Pantelis, D.I.; Psyllaki, P.; Alexopoulos, N. Tribological behaviour of plasma-sprayed Al2O3 coatings under severe wear conditions. Wear 2000, 237, 197–204. [Google Scholar] [CrossRef]















| Name | Commercial Feedstock Powder | Phase/Chemical Composition |
|---|---|---|
| CoNiCrAlY alloy | Amperit 415.054 | 38.5 wt.% Co, 32 wt.% Ni, 21 wt.% Cr, 8 wt.% Al, 0.5 wt.% Y |
| CoNiCrAlY cermet | Amperit 473.054 | 43 wt.% CoNiCrAlY, 24 wt.% CrC, 7 wt.% CrB2, 25 wt.% Y2O3 |
| CoMoCrSi alloy | Metco 66F-NS | 60.4 wt.% Co, 28.5 wt.% Mo, 8.5 wt.% Cr, 2.6 wt.% Si |
| Coating Thickness [μm] | Roughness, Ra [μm] | Adhesion Strength [MPa] | Microhardness HV0.1 | |
|---|---|---|---|---|
| CoNi alloy | 247.20 ± 12.80 | 2.46 ± 0.20 | 23.346 ± 5.62 | 304.10 ± 15.00 |
| CoNi alloy with CNT | 220.00 ± 14.70 | 2.05 ± 0.20 | 26.254 ± 2.43 | 209.90 ± 22.00 |
| CoNi cermet | 150.00 ± 47.60 | 2.53 ± 0.25 | 6.3 ± 1.08 | 487.00 ± 37.00 |
| CoNi cermet with CNT | 140.00 ± 30.00 | 1.95 ± 0.25 | 20.287 ± 0.81 | 146.00 ± 82.00 |
| CoMo alloy | 100.00 ± 20.60 | 3.22 ± 0.22 | 15.76 ± 2.68 | 328.00 ± 25.00 |
| CoMo alloy with CNT | 120.00 ± 15.10 | 3.66 ± 0.22 | 17.881 ± 4.72 | 213.00 ± 71.00 |
Disclaimer/Publisher’s Note: The statements, opinions and data contained in all publications are solely those of the individual author(s) and contributor(s) and not of MDPI and/or the editor(s). MDPI and/or the editor(s) disclaim responsibility for any injury to people or property resulting from any ideas, methods, instructions or products referred to in the content. |
© 2025 by the authors. Licensee MDPI, Basel, Switzerland. This article is an open access article distributed under the terms and conditions of the Creative Commons Attribution (CC BY) license (https://creativecommons.org/licenses/by/4.0/).
Share and Cite
Georgiopoulos, I.; Giasafaki, D.; Andreouli, D.; Sarafoglou, C.I. Friction and Wear Performance of Carbon Nanotubes Reinforced Co-Based Atmospheric Plasma-Sprayed Coatings. Nanomanufacturing 2025, 5, 14. https://doi.org/10.3390/nanomanufacturing5040014
Georgiopoulos I, Giasafaki D, Andreouli D, Sarafoglou CI. Friction and Wear Performance of Carbon Nanotubes Reinforced Co-Based Atmospheric Plasma-Sprayed Coatings. Nanomanufacturing. 2025; 5(4):14. https://doi.org/10.3390/nanomanufacturing5040014
Chicago/Turabian StyleGeorgiopoulos, Ilias, Dimitra Giasafaki, Dia Andreouli, and Chara I. Sarafoglou. 2025. "Friction and Wear Performance of Carbon Nanotubes Reinforced Co-Based Atmospheric Plasma-Sprayed Coatings" Nanomanufacturing 5, no. 4: 14. https://doi.org/10.3390/nanomanufacturing5040014
APA StyleGeorgiopoulos, I., Giasafaki, D., Andreouli, D., & Sarafoglou, C. I. (2025). Friction and Wear Performance of Carbon Nanotubes Reinforced Co-Based Atmospheric Plasma-Sprayed Coatings. Nanomanufacturing, 5(4), 14. https://doi.org/10.3390/nanomanufacturing5040014
