Next Article in Journal
Stakeholder Engagement and Social Networks: Enhancing Sustainable Food Waste Management in Zanzibar’s Tourist Hotels
Next Article in Special Issue
Travel Behaviour and Tourists’ Motivations for Visiting Heritage Tourism Attractions in a Rural Municipality
Previous Article in Journal
Shaping Italy as a Tourist Destination: Language, Translation, and the DIETALY Project (1919–1959)
Previous Article in Special Issue
Constraints of Rural Tourism’s Contribution to Local Economic Development and Intervention Mechanisms—Evidence from Shandong Province, China
 
 
Font Type:
Arial Georgia Verdana
Font Size:
Aa Aa Aa
Line Spacing:
Column Width:
Background:
Article

Determinants of Perceived Value in Wine Tourism in Spain: The Dominant Role of Motivations

by
Laura Ortega-Pérez
1,*,
María del Rosario Ruiz-Robles
1,
Jesús Heredia-Carroza
2 and
Miguel Fuentes-Collado
1
1
Department of Statistics, Econometrics, Operational Research, Business Organization and Applied Economics, University of Córdoba, 14071 Córdoba, Spain
2
Economics & Economic History Department, Universidad de Sevilla, 41004 Sevilla, Spain
*
Author to whom correspondence should be addressed.
Tour. Hosp. 2025, 6(5), 254; https://doi.org/10.3390/tourhosp6050254
Submission received: 6 October 2025 / Revised: 10 November 2025 / Accepted: 17 November 2025 / Published: 21 November 2025
(This article belongs to the Special Issue Challenges and Development Opportunities for Tourism in Rural Areas)

Abstract

Wine tourism has become a key element for the economic and cultural development of Spanish rural areas, traditionally excluded from major tourist flows. This study analyzes the motivations of wine tourists in Spain and their influence on perceived value while also considering the moderating role of perceptions generated during the visit. A total of 357 valid questionnaires were collected between October and December 2022 and analyzed using structural equation modelling (PLS-SEM). Of the two hypotheses proposed, the positive influence of motivations on perceived value was confirmed, while the expected influence of perceptions on perceived value was not supported. The results highlight the importance of motivations as a determining factor for enhancing tourists’ perceived value and, therefore, their satisfaction and loyalty. These findings can be of great help to cooperatives and small wineries when designing wine tourism strategies and wine festivals that enrich the tourist experience and strengthen the positioning of destinations in the Spanish wine sector.

1. Introduction

Thanks to the expansion and strengthening of wine tourism in Spain, rural areas that have traditionally been marginalized by tourist flows are now experiencing growth in tourism-related activities while generating new sources of income for businesses, many of which are cooperatives, located in these areas. Likewise, by facilitating sales at the winery, the image of the product is reinforced, which can lead to an increase in wine purchases by travelers in their area of origin.
It is relevant to intensify the promotion of local wine through actions aimed at both the resident population and visitors. In this context, wine festivals, commonly referred to as “tastings”, constitute a high-impact instrument. These events allow wineries to present their products and offer small businesses, including cooperatives with marketing difficulties, an effective way to give visibility to their wines and to reach new consumers, both local and tourists (Garibaldi et al., 2017; Vitale et al., 2018). This trend is reflected in the increase in themed festivals in rural and urban areas focused on wine, gastronomy, and olive oil. These events attract visitors interested in discovering territories through their food and wine culture, which reinforces their potential as a tool for territorial promotion and tourism revitalization (Bruwer et al., 2017; Festa et al., 2020; Thanh & Kirova, 2018).
The literature on wine tourism consistently confirms that perceived value is a robust predictor of higher attitudinal variables, such as satisfaction, loyalty, and intention to recommend. In studies applied to winery visits and wine festivals, perceived value has shown positive effects on satisfaction and, in turn, on recommendation and revisit intention (D. L. Quadri-Felitti & Fiore, 2013; Triantafyllou et al., 2016; Yen, 2020). Equivalent results have been observed when the wine tourism experience is conceptualized as a co-created experience, where perceived value increases satisfaction and leads to specific loyal intentions (Gómez-Carmona et al., 2023; Zhang & Lee, 2022).
Despite the accumulated evidence in the literature on the impact of perceived value on variables that are fundamental to wine tourist loyalty, such as satisfaction and loyalty, knowledge about which factors precede and explain the formation of value remains limited and fragmented. Most of the work has focused on demonstrating the effects of value on subsequent outcomes, but studies that comparatively analyze which prior variables activate or modulate perceived value and which of them contribute most to generating it are less frequent. In this regard, only isolated studies such as Lee et al. (2020) analyze, in the context of the United States, the relationship between different types of motivations and involvement with wine and the dimensions that make up perceived value. For their part, Cavazos-Arroyo et al. (2023), examine how destination and brand attributes influence the perceived value of the wine tourism experience in the Guadalupe Valley (Mexico), and how this perceived value influences the intention to return and recommend.
Consequently, there is still a significant empirical gap regarding the hierarchy and relative weight of value drivers, which makes it difficult to translate the available evidence into concrete management recommendations for the design of more effective wine tourism experiences. This gap is particularly relevant in the Spanish context, where, despite the consolidation of wine routes and growing academic interest in wine tourism, insufficient empirical studies have been conducted to simultaneously contrast these relationships.
The study of the antecedents of perceived value has taken consumer value theory as its theoretical basis. This theory holds that consumer choices are explained by a combination of five sources of value: functional, social, emotional, epistemic and conditional (Sheth et al., 1991). Within this framework, motivations reflect ex ante expectations about the types of value sought in the experience, while perceptions reflect the ex post evaluation of those values during and after consumption. This separation is useful in tourism and wine tourism because it allows perceived value to be modelled as the result of prior impulses and subsequent experiential verification. Consolidated instruments such as PERVAL operationalize the construct with functional, emotional and social dimensions and have been widely adapted in tourism, reinforcing the validity of the value approach as a mediator between motivational input and perceptual evaluation (Gallarza et al., 2021; Sweeney & Soutar, 2001). Thus, recent work shows that the structure of the destination experience affects value and that this, in turn, explains satisfaction and loyalty, which justifies specifying motivations and perceptions as antecedents of value in the model (Kastenholz et al., 2022; D. Quadri-Felitti & Fiore, 2012; Yacoub et al., 2025).
For all the above reasons, the present study aims to analyze the motivations of wine tourists in Spain and their influence on perceived value while also considering the role of perceptions generated during the experience.

2. Literature Review

2.1. Concept of Wine Tourism

During the last decade of the 20th century, the first scientific studies in the field of wine tourism were carried out (Vitale et al., 2018), mainly in Oceania, and later spread to other parts of the world. In Europe, academic studies on wine tourism have focused primarily on the development and coordination of tourist routes, mainly due to the importance that these routes have always had in European cultural destinations. Thus, this early research includes the work of Brás et al. (2013) focusing on the Bairrada wine route (Portugal), the studies by Charters and Menival (2011) in the Champagne region (France), the work of Jurinčić and Bojnec (2009) in the Boriska Brda region (Slovenia), the study by Brunori and Rossi (2000) in Tuscany (Italy), and the research carried out on the wine routes of northern Greece (Alebaki & Iakovidou, 2010).
However, there are currently many European wine-producing areas analyzed by scientific literature in terms of their relationship with tourism (Colombini, 2015; Festa et al., 2020; Gázquez-Abad et al., 2015; Molina-Collado et al., 2015; Vitale et al., 2018), as well as in other areas such as China (Duan & Hsiao, 2020) and the United States (Garibaldi et al., 2017). In this regard, a comprehensive bibliometric analysis of the relationship between wine tourism can be found in the research carried out by Durán Sánchez et al. (2017).
Wine tourism could be defined as the experience travelers gain from visiting vineyards and wineries and participating in wine festivals and events, where wine tasting and/or experiencing the attributes of wine are the most important motivations for travelers (Hall & Mitchell, 2000). Furthermore, there is no single profile of a wine tourist. According to Charters and Ali-Knight (2002), the profile of a wine tourist is complex, based on three different aspects: the visitor’s motivation, the type of visit they make to the area, and the type of activities they engage in. Based on these dimensions, these authors classify wine tourists into four different groups: wine lovers, wine connoisseurs, those interested in wine, and those new to wine.
The areas of research currently being developed in relation to the relationship between tourism and wine are structured, according to Mitchell and Hall (2006), into seven identified lines of research: wine tourism products, wine tourism and regional development, quantification of visitor numbers, segmentation of the tourism demand market, wine tourist consumer behavior, the nature of wine visitors and biosafety in wine tourism. With regard to wine tourism products, this line focuses on the analysis of the wine tourism experience and the relationship between two economic activities: industry and tourism. Thus, scientific research focused on wine tourism products addresses four different points: wineries, wine festivals, wine routes and other activities associated with wine (wine museums, wine trade fairs, etc.).
In line with the above, wine festivals, like events, establish a synergy between travel and wine (J. J. Yuan et al., 2005), becoming a tool that increases visitor satisfaction in a given area and improves the image of the large wineries in that geographical area, boosting sales, especially for small businesses that often encounter greater difficulties in marketing their product (López-Guzmán et al., 2014) and even introducing this gastronomic product to other groups of people, such as young people, who are usually far removed from the world of wine (J. Yuan & Jang, 2008).
With regard to the study of wine festivals, Mitchell and Hall (2006) point to this type of event as one of the main elements of wine tourism, having carried out studies from different perspectives, such as the geographical location of the festivals, the sociodemographic profile of travelers, and how these festivals can be a starting point for promoting wine tourism in that geographical area. Three studies analyzing wine festivals are particularly noteworthy: Houghton (2001), J. Yuan et al. (2008) and Gagić et al. (2013).
For Houghton (2001), wine festivals are a secondary attraction for visiting a specific geographical area, in contrast to wine tourism routes. On the other hand, there is often a certain degree of repetition among visitors to these festivals. For their part, Gagić et al. (2013) suggest that wine festivals, accompanied by pairings with local gastronomic products (Byrd et al., 2016; Carlsen & Boksberger, 2015), are an alternative way for tourists to get to know the geographical area, while improving the visitor’s experience and enhancing their senses. Finally, J. Yuan et al. (2008) analyze the relationship between attendance at these festivals and the motivation of participants, the level of satisfaction that generally implies participation in future events and, where appropriate, the completion of different routes.

2.2. Wine Tourism in Spain

Official wine routes in Spain began to be implemented in 2000, through the coordination of different quality products proposed by the Secretary of State for Tourism (Molina-Collado et al., 2015). In this sense, the objective was to create quality tourism products that would bring together two of the most important economic activities in Spain: agriculture and tourism. Subsequently, in 2009, this product was complemented with gastronomy, thus enhancing the visitor experience. Furthermore, the Tarragona Provincial Council Tourism Board, through TurisTIC, the Territorial Competitiveness Specialization Project (PECT), seeks to study and promote the concept of family wine tourism (Martínez del Vas et al., 2021).
The official designation “Wine Routes of Spain” encompasses a total of 35 routes (Wine Routes of Spain, 2022). With reference to the academic literature studying wine tourism in Spain, the first works in this field were developed by foreign authors, focusing mainly on two of the most important wine regions, La Rioja and Marco de Jerez-Sherry (Gilbert, 1992; Hall & Mitchell, 2000). However, as a result of both the structuring of official wine routes since 2000 and the socio-economic and cultural importance that this type of tourism has acquired, the volume of research published in academic literature has grown significantly, with Spanish researchers standing out in particular (López-Guzmán et al., 2013; Martínez del Vas et al., 2021; Negrín de la Peña, 2021; Ortiz García, 2021) and Portuguese researchers (Lopes et al., 2021) stand out, analyzing different wine regions and routes. For example, the literature addresses in depth different tourist routes such as Aragón (Marzo-Navarro & Pedraja-Iglesias, 2012), Condado de Huelva (Reyes, 2012), the Canary Islands (Alonso & Liu, 2012), Marco de Jerez-Sherry (López-Guzmán et al., 2014), Montilla-Moriles (López-Guzmán et al., 2009), Ribera del Duero (Gómez Rico, 2011) and Valencia (Clemente-Ricolfe et al., 2012).

2.3. Motivations

The wine and cuisine of an area can be a motivation linked to the need for food consumption, or it can become the determining factor when choosing a specific destination from several available options. In the first case, it would be a type of food and wine motivation, purely incidental for the tourist, and without any special significance (Clemente-Ricolfe et al., 2012). Given their lack of interest in local cuisine, members of this tourist segment often choose to consume foods that are familiar to them, in restaurant chains similar to those they can find in their place of residence.
For Fields (2003), this behavior corresponds to the first of the four groups of gastronomic motivations (satisfying the physiological need to eat) that he identified in his research. He also identified three other groups of motivations that were decisive in the choice of destination, such as cultural motivations (gastronomy allows the desire to discover the destination and its heritage to be fulfilled); interpersonal motivations (gastronomy facilitates the satisfaction of the social need to relate to other individuals); and the search for status and prestige (the tourist’s interest in and approach to the gastronomy of a place can allow them to achieve a certain status or prestige). There is research confirming that wine-related products, as they are not perceived as mass goods, are irrefutably a motivation for tourists, such that engaging in these types of wine-related experiences and activities is a means of expressing social distinction (Duan & Hsiao, 2020).
Quan and Wang (2004) propose two groups of motivations based on the destination’s gastronomy and wine, establishing a separation between primary and secondary motivations. Primary motivations refer to the stimuli that influence the choice of destination, mainly due to the desire to taste the gastronomy of the chosen place. On the other hand, secondary motivations are those motivations for travelling that are different from the culinary experience of the destination, although without detracting from the importance of local cuisine in the decision-making process to visit the destination. Similarly, Babolian Hendijani (2016) highlights in his research the importance of motivations related to local cuisine in the decision to visit one place or another. Mgonja et al. (2016) also highlight in their study the relationship between motivations and the tasting of local gastronomic products.
Gastronomic motivations for visiting a destination have been studied in previous research, analyzing various dimensions (Babolian Hendijani, 2016; Björk & Kauppinen-Räisänen, 2016; Kim et al., 2009, 2013; Sims, 2010). Babolian Hendijani (2016) points out the following dimensions: heritage, service, gastronomic atmosphere, variety, availability, sensory experience and ingredients. For their part, Kim et al. (2013) propose grouping gastronomic dimensions into five categories: cultural experience, expectations, interpersonal relationships, sensory appeal and health concerns.
Similarly, Dimitrovski and Crespi-Vallbona (2017) group gastronomic motivations into three aspects: sensory appeal, gastronomic experience at the destination, and health concerns. For their part, López-Guzmán et al. (2017) analyze in their research the relationship between tourism, motivations and experiences derived from gastronomic festivals, again pointing out the different motivations that influence tourists’ approach to local cuisine, classifying them into three different groups: new gastronomic experiences, culture and socialization.

2.4. Perceptions

Perception is understood in the field of tourism as the cognitive and emotional construct created mentally by the tourists as a result of their personal interpretation of the attributes of the destination, which guides the individual’s subsequent behaviors and decisions (Torres González et al., 2024).
In the context of today’s cultural commodification, cultural features such as traditions, gastronomy and celebrations have become marketable products (E. Cohen, 1988). Although this scenario increases the visibility of certain destinations, it poses a challenge in terms of preserving the authenticity and identity of the destination (MacLeod, 2006). This authenticity, which is essential to fulfilling consumers’ desires to visit genuine, high-value cultural destinations, can be protected by achieving a sustainable balance between satisfying the demand of the tourism market and maintaining the cultural values of the region (Brew, 2023; Korstanje & George, 2021).
However, perceptions of the different elements of the destination and the event itself do not have the same effect on tourists’ decisions. In this sense, the way in which tourists expect to perceive the event, i.e., their expectations, is directly related to their intention to attend the event. However, the perception of elements such as the fame of the artists or personalities starring in the event has no direct influence on the motivations for attendance, although this relationship can be confirmed in terms of the emotional connection created with the attendees (Heredia-Carroza et al., 2025).
The image of a destination refers to a person’s mental representation of their knowledge, feelings and overall perception of a specific destination (Fakeye & Crompton, 1991). In their study, Cavazos-Arroyo et al. (2023) conclude that destination image is an important factor in the brand value of a tourist destination and that this brand value has a positive effect on the perceived value of the destination experience, which in turn influences the intention to revisit and recommend it. The image of the destination affects tourist satisfaction, which in turn influences their intention to return (Assaker & Hallak, 2013). Brand image is the component that contributes most to the formation of brand value in wine tourism destinations (Gómez & Molina, 2013). For all these reasons, destination image is a variable that must be carefully managed by wine route operators in order to maintain high levels of satisfaction and added value in the wine tourism experience. In wine tourism, perceptions refer to elements such as the quality of the wine, the atmosphere of the vineyard or winery, the authenticity of the experience, and the hospitality of the staff. These attributes are fundamental to achieving a favorable image of the destination and a high perception of value, making their management a strategic action (Cavazos-Arroyo et al., 2023).
A study on the impact of Madeira tourists’ perceptions (Sampaio, 2012) reveals that tourists’ image of the destination influences their interest in the region’s wine, making them more likely to participate in wine-related activities or consume the product, which in turn leads to satisfaction, albeit through an indirect relationship.
Brand image is a complex concept that can be studied multidimensionally according to cognitive, affective and cognitive aspects (Agapito et al., 2013). In this study, the perceptions studied that affect brand image are cognitive in nature and are grouped into five questions that can be grouped into three sections: the characteristics of the product itself as a brand differentiation factor (smell, taste and appearance), authenticity and experiential factors.
The use of these variables is justified by the importance of the sensory experience of wine in the cognitive and affective reactions of wine tourists, as well as in their satisfaction and future behavior (Sthapit et al., 2024). Stimulating the senses is often a strategy used by tourism service providers, as it helps visitors become emotionally involved with the wines, landscape, culture and local heritage of the destination (Brochado et al., 2018).
On the other hand, perceived authenticity is essential for tourists’ decision-making due to its crucial impact on behavioral intentions and destination choice (Khan & Fatma, 2021). In this regard, studies show that tourist motivations and perceptions of authenticity play a moderating role in the relationships between motivation, destination image, information-seeking behavior, and culture (Seyitoğlu et al., 2022).

2.5. Perceived Value

Creating attractive food and wine offering in a given destination can lead to tourism development that would have a significant impact on other sectors and activities. The impact of a sensory experience linked to wine tourism in a destination shows that a positive, valuable and memorable experience provides meaning and even a sense of personal identity, which leads to tourism and subsequent visits (Esau & Senese, 2022).
Likewise, this development would allow for the diversification of tourist activities, thus breaking with seasonality in some tourist destinations. However, in order to achieve this development, it is necessary to strengthen appropriate public–private policies that promote differentiated culinary processes, enabling the sustainable development of food and wine tourism. This objective can be achieved through adequate facilities, such as restaurants, routes and infrastructure, as well as through the promotion of these culinary activities (Ignatov & Smith, 2006). In this regard, it would be interesting to combine gastronomic experiences with other types of experiences such as wine tourism or olive oil tourism, thereby allowing a visit to that place to become a unique and differentiated experience (Haven-Tang & Jones, 2005). According to Pérez Gálvez et al. (2017), the destination’s culinary offering must be recognizable and identifiable in order to provide a memorable gastronomic experience. In this regard, the existence of a significant number of restaurants that offer visitors a wide range of choices can be decisive in making the gastronomic experience unforgettable.
Jiménez-Beltrán et al. (2016) in their research on gastronomy in the city of Córdoba, suggest that traditional cuisine is an essential element both for the organization of the destination’s attractions and for the transfer of the cultural heritage of the place to visitors. It is therefore essential to develop culinary processes based on tradition and innovation that allow for the preservation of culinary tradition and, at the same time, innovation with new gastronomic proposals (Getz et al., 2015; Kenji Tierney, 2016).
It is also evident that the importance of bulk wines and consideration of their origin is increasing, indicating that interest in wine tourism and the desire to purchase these local products are closely related (Di Vita et al., 2019).
In turn, and connecting with two of the previous ideas, there is research that shows that this business diversification, in terms of organizations that are committed to niche markets within this type of wine-related tourism, can invigorate the local economy and agriculture. Thus, the importance of small tourism businesses is also highlighted, in terms of strategically complementing each other to create a consolidated destination image (Güzel et al., 2021).

2.6. Relationship Between Hypotheses

Numerous studies in the field of gastronomy confirm the relationship between motivation and perceived value (González Santa Cruz et al., 2020; Mora et al., 2021). Specifically, in wine tourism, various authors have found a causal and positive relationship between motivations and the value perceived by tourists, which in turn impacts satisfaction and loyalty to the destination (Prebensen et al., 2013; Prebensen et al., 2014; Yeh & Jeng, 2015). However, because motivation is a multidimensional variable, the intensity of its effect on perceived value will depend on the type of motivation in question. In this regard, Lee et al. (2020) confirm this hypothesis by demonstrating that leisure-based motivations have a greater influence on perceived value than epistemic motivations.
Recently, Zhang and Lee (2022) determined that tourists driven by motivations based on educational, escapist, or hedonistic reasons are positively correlated with perceived value, as opposed to motivations based on the desire for entertainment or the search for novelty.
Perceptions, in turn, can act as modulators of perceived value. In general terms, previous studies have pointed out that elements such as destination image influence perceived value, as a favorable destination image increases the value perceived by tourists (Vinh et al., 2023). In wine tourism, Sthapit et al. (2024) confirm this relationship between perceptions and perceived value, highlighting the view of the aesthetics of the place, the sensory experience, and co-creation as direct inputs of perceived value. This confirms the findings of Bonn et al. (2020), who highlighted how wine tourists’ perceptions of the wine environment influence the perceived value of wine. Others confirm this relationship of influence of one variable on another by finding that a positive perception of the stimuli of the place, such as the narrative or interpretive elements surrounding wine, increases the perceived quality or reliability of the experience (Cavazos-Arroyo et al., 2023; Gu et al., 2024). However, as with the relationship between motivations and perceived value, the effect of perceptions on perceived value may be modulated by factors such as the sociodemographic characteristics of tourists (Sthapit et al., 2024).
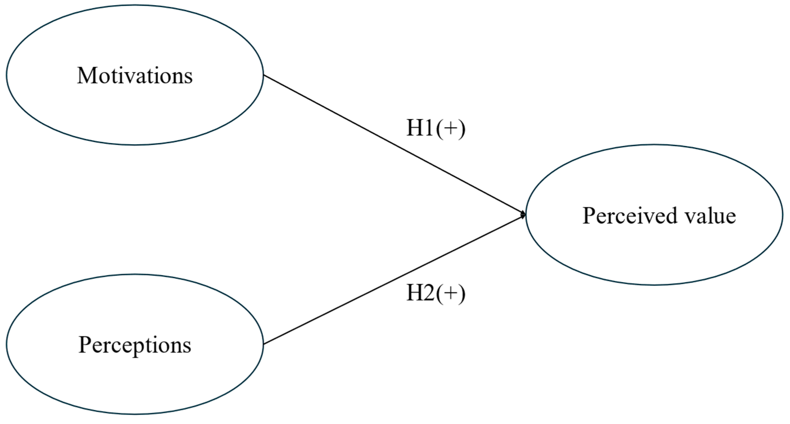
Based on the above, the following hypotheses are formulated, also presented in Figure 1:
H1. 
Motivations positively influence the value perceived by wine tourists.
H2. 
Wine tourists’ perceptions positively influence perceived value.

3. Methodology

3.1. Questionnaire Design

For this research, a quantitative methodology was applied based on a structured questionnaire divided into three distinct parts: the first part addressed questions about the respondents’ interest in the world of olive oil and gastronomy; the second part included questions about different aspects related to motivation, perception, perceived value, and tourist satisfaction; Finally, the third section contains questions relating to the socio-demographic profile of the respondent.
In this regard, closed dichotomous and/or polytomous questions were used for the first and third blocks, while for the second block, the questions were addressed using 7-point Likert scales, where 1 referred to “Strongly disagree”, 4 referred to “Neither strongly disagree nor strongly agree” and 7 referred to “Strongly agree”. The items used in the questionnaire were obtained from previous studies by leading authors (Björk & Kauppinen-Räisänen, 2017; Getz et al., 2015; Hubbard et al., 2012; Levitt et al., 2019; Molina Collado et al., 2013; Robinson et al., 2018).

3.2. Fieldwork

The survey period ran from October to December 2022, during which a total of 371 surveys were obtained. However, after an initial cleansing process consisting of eliminating questionnaires that contained more than 15% of missing data, only 357 surveys were found to be valid (Hair et al., 2021). The minimum sample size was estimated using G*Power 3.1.9.7 (F tests, Linear multiple regression: fixed model, R2 deviation from zero; α = 0.05 ; power = 0.95; f 2 = 0.15 ; 2 predictors). The result indicates a minimum requirement of n = 107. The final sample (n = 357) comfortably exceeds this threshold.
Given the health alert situation that has been in place since March 2020, the procedure has been modified, changing the way surveys are conducted from situ to virtual. In this regard, the questionnaire was conducted through the Survey Monkey virtual survey platform with the aim of reaching the largest number of respondents.

3.3. Data Analysis

A quantitative methodology based on structural equations is presented. Different computer programmes were used during the process, beginning with tabulation and preliminary statistical analysis using the statistical programme SPSS version 24.0. After this, the Partial Least Squares-based programme SmartPLS version 3.2.8 was used to carry out the structural equation model, due to its suitability for PLS-SEM analysis aimed at prediction, with latent variables and formative structures. The methodological literature establishes that PLS-SEM is appropriate when the main objective is to maximize the variance explained in the dependent constructs, the theory is under development, the sample is moderate, and multivariate normality does not need to be assumed (Hair et al., 2021). In this context, SmartPLS is a well-established and widely documented software for implementing PLS-SEM, estimating significance through bootstrapping, and evaluating the quality of the measurement and structural model (Memon et al., 2021). This ensures an analytical procedure aligned with recent best practices in component-based SEM.
PLS-SEM was preferred over covariance-based SEM (hereinafter CB-SEM) because the analytical objective of the study is predictive rather than confirmatory. The methodological literature explicitly states that PLS-SEM is appropriate when seeking to maximize the variance explained in the dependent constructs, when theoretical knowledge is emerging, and when the model contains formative relationships or specifications that are not yet consolidated (Hair et al., 2021). Furthermore, PLS-SEM is more robust in tolerating moderate sample sizes and non-normal distributions, while CB-SEM requires more restrictive assumptions and is aligned with strongly confirmatory hypotheses (Hair et al., 2021; Rigdon, 2016). Therefore, PLS-SEM is considered the ideal approach for estimating the relative contribution of motivations and perceptions to perceived value in this study.
This study is divided into an analysis of the reliability and validity of the measurement model and, subsequently, an analysis of the structural model.

4. Results and Discussion

4.1. Sociodemographic Profile

Regarding the sociodemographic profile of the selected sample (Table 1), women account for just over half of the sample (51.2%), more than one-third are aged between 18 and 30 (42.2%), 56.7% of respondents have a university education level, and one-quarter of respondents also report having postgraduate qualifications, either master’s or doctoral degrees. In terms of professional category, students stand out, representing 32.5% of the total sample, followed by civil servants (20.6%) and private company employees with 17.1% of the total. In terms of monthly income, these are tourists with medium to medium-high purchasing power, with monthly incomes of between €1501 and €2500 in 27.9% of cases and over €3500 for 21.7% of respondents.

4.2. Preliminary Statistics

The preliminary analysis of the data was based on testing the reliability of the scale and studying the descriptive statistics of the indicators or items that will form part of the subsequent structural model, which will be detailed in later sections. Thus, Cronbach’s alpha was used to test the aforementioned reliability of the scale, proceeding to eliminate all indicators with a corrected total correlation of elements below 0.3 (Nurosis, 1993). In the present study, it was not necessary to eliminate any items, with the resulting Cronbach’s alpha being 0.880, a level above the minimum required threshold of 0.70, which implies a more than adequate internal consistency of the scale (Nunnally & Bernstein, 1994).
The preliminary descriptive analysis of the indicators (Table 2) for each of the variables that make up the model reveals high mean values (scores above 7 points), with indicators such as VP1, VP7, VP8, VP9 and MO4 standing out, with mean values of 6.05; 6.37; 6.01; 6.44 and 6.20, respectively, highlighting aspects such as the quality of the dishes, traditional cuisine or motivations such as eating and drinking traditional local products. All this highlights the high perceived value of tourists with regard to the destination’s gastronomy and the motivations that lead these tourists to visit Spain as a gastronomic destination and, more specifically, as a wine destination. The Kolmogorov–Smirnov normality test indicates that not all indicators follow a normal distribution, so the subsequent statistical significance analysis (Table 1) will be carried out using non-parametric techniques.

4.3. Analysis and Validity of the Measurement Model

The reliability and validity of the measurement model (Table 3) are based on an analysis at both the individual and construct levels, and within these at the Mode A and Mode B composite levels. Given the explanatory nature of the model (Henseler, 2018), the structural analysis will be based on the Coefficient of Determination (R2), the effect size (f2) and the statistical significance of the structural paths (hypothesis testing).
The individual analysis for Mode A composites is based on the analysis of factor loadings (λ) and communality (λ2), where loadings greater than 0.707 are recommended (Ali et al., 2018), although other authors set more lenient limits (Barclay et al., 1995) with loadings starting at 0.60, provided that their prior elimination improves the internal consistency of the model. In the present study, the maintenance of loadings below 0.7 was due to the latter. Thus, good reliability is achieved at the individual level of the indicators that make up the model at the Mode A composite level.
In the case of Mode B composite, their analysis is based on weights and multicollinearity analysis. The Mode B composite indicators must not correlate, as the existence of multicollinearity can generate errors in parameter estimation. To verify this, the Variance Inflation Factor (VIF) test is used (Diamantopoulos & Siguaw, 2006), where values below 3.3 (Roberts & Thatcher, 2009) imply that there are no multicollinearity problems. This condition is satisfied in this model, with the highest VIF value being 1.917 (MO6).
In terms of internal consistency, composite reliability values are optimal for both the Perceived Value and Perceptions constructs, with values above the minimum level required by reference authors (Henseler et al., 2016). Dijkstra-Henseler composite reliability values (ρ_A) and Dillon-Goldstein composite reliability values (ρ_C) are above 0.7 in all cases, with some of them close to 0.9, which indicates excellent reliability in terms of internal consistency or constructs. Convergent validity tested using the Average Extracted Variance (AVE) (Fornell & Larcker, 1981), also presents values above the minimum reference threshold of 0.5. For the present model, the two AVE values associated with Mode A composites of Perceived Value and Perceptions are 0.512 and 0.547, respectively.
Finally, with regard to discriminant validity (Table 4), this is tested using the Heterotrait–Monotrait Ratio, which is also the test that best detects the absence of discriminant validity (Henseler et al., 2016). For this, the values obtained must be less than 0.85 (Kline, 2023) for discriminant validity to exist, a condition that is satisfied in the present model.
All the values obtained from the reliability and validity analysis of the measurement model show optimal consistency of the model, both at the individual level and at the construct level, which is an essential requirement for addressing the analysis of the structural model. In this sense, it will be based on the predictive nature of the model, the size of the effect, and the contrast of hypotheses proposed and formulated through a prior review of scientific literature.

4.4. Structural Model Analysis

The coefficient of determination (R2) and the Stone-Geisser test (Q2) refer to measures of predictive power and relevance. In this research, the model has moderate predictive power (Chin, 1998) and high predictive relevance (Table 5). In this sense, the explained variance shows how motivations contribute to explaining 18.98% of the variability of the perceived value variable, while perceptions only contribute to explaining 3% of the variance of perceived value.
On the other hand, the effect size (f2) highlights how motivations generate a greater effect on perceived value than perceptions do. The strength of this effect is moderate and significant in the case of motivations, with perceptions having little effect on perceived value (J. Cohen, 2013). This is consistent with the explained variance generated by each of the exogenous variables on the endogenous variable of perceived value (Table 5).
To calculate the statistical significance of the structural relationships, bootstrapping of 10,000 samples is performed (Streukens & Leroi-Werelds, 2016). This technique, consisting of repeated random sampling with replacement (Hair et al., 2011) generates t-statistics (parametric test) and the associated confidence intervals (non-parametric test). These tests allow us to evaluate the hypotheses proposed in this model (Table 6). Given that the sample did not respond to the normality of the variable, this analysis will be approached through parametric tests.
The results obtained show how motivations positively influence the perceived value of the tourist, thus supporting the first hypothesis. On the contrary, the second hypothesis has not been supported, meaning that perceptions do not positively influence perceived value. Figure 2 shows the final structural model.

4.5. Discussion

The motivations for visiting a winery have been studied based on seven variables: tasting different types of wine, buying wine at the winery, learning about the world of wine, eating and drinking traditional local products, entertainment, relaxation, and spending a day out. Motivations are positioned as the main driver of tourists’ perceived value, with a moderate, positive and significant relationship between motivations and perceived value.
These results are in line with those obtained in the field of gastronomic tourism (González Santa Cruz et al., 2020; Mora et al., 2021), according to which motivations have a positive effect on perceived value, which becomes a fundamental pillar for promoting this type of tourism as a result of the important and significant effect of perceived value on the possibility of revisiting and loyalty on the part of gastronomic tourists. In this sense, the same is true of specific studies on wine tourism, which are in line with the findings of this research, confirming that the motivations of wine tourists influence their perceived value, which will have to be taken into consideration due to the impact of perceived value on the possibility of revisiting and loyalty to the destination (Prebensen et al., 2013; Prebensen et al., 2014; Yeh & Jeng, 2015).
For their part, the perceptions of gastronomic tourists have been measured using six variables: the wines from the winery allow me to have an authentic wine-tasting experience, the wines from the winery allow me to gain a unique opportunity to better understand the culture of the geographical area, the wines from the winery have a pleasant aroma, the wines from the winery have a pleasant appearance, the wines from the winery have a pleasant taste, and the wines from the winery have a different taste to those I normally drink. According to the results obtained in this study, these perceptions do not show a relevant or significant effect, in line with their low explained variance.
These results are at odds with the existing literature (Cavazos-Arroyo et al., 2023; Gu et al., 2024; Sthapit et al., 2024), as until now, the majority of the literature on the subject had confirmed the influence of perceptions on perceived value. This can be attributed to the complex concept of destination image, as mentioned above, and the variables on which tourist perceptions are studied. In this study, four variables relating to the sensory experience of wine (smell, taste and appearance) have been considered, along with two others covering authenticity and regional knowledge through wine tourism. There are also other perceptual variables that affect perceived value and customer satisfaction that have not been included in this study, such as service interaction with customers and the co-creation of wine experiences (Sthapit et al., 2024). Similarly, according to the same study, differences have been found in the perception of wine tourists of the environment surrounding the winery depending on their place of residence, with local tourists valuing it more than foreign tourists.
Another reason why the results obtained by this study are at odds with the existing literature may be due to the moderating effect of demographic characteristics on the perceptions of wine tourists. For example, a review of the literature indicates that men are more likely to purchase wine during their visit to wineries (Mitchell & Hall, 2004). In particular, older men seem to have greater knowledge about wine, are more interested in the product, and are more critical of it. However, young people tend to be more critical and value the service experience more than the quality of wine (Alebaki & Iakovidou, 2010). Finally, it should be noted that the results should be treated with caution and that generalization of the conclusions should be avoided, as wine tourists are likely to vary from region to region (Getz et al., 2008).
For this reason, further research on the effect of perceptions on perceived value will be necessary in future studies on wine tourism in the Córdoba area, in order to gain a better understanding of the characteristics of customers who participate in wine-related activities.

4.6. Implications

In addition to the theoretical implications that may result from this study, the practical implications derived from it help us to better understand the behavior of gastronomic tourists and, more specifically, wine tourists. Among these implications, it can be deduced that wine tourists use wineries as a means of learning about the culture of the area through activities held there, such as tastings. These events also serve as a showcase not only for the winery itself but also for companies in adjacent sectors that are not purely wine-related, such as the gastronomic sector, providing an opportunity and an alternative means of exposure to their target customers. In this way, gastronomic tourism and gastronomic are positioned as an attractive and potential source of knowledge and discovery of a specific area and its culture. Given that wine is an experiential good and its quality is unknown before consumption, wine tourism can be a way for wineries to build or change their reputation (Winfree et al., 2018).
If we consider the results of this research on the motivations that drive wine tourists, eating and drinking traditional local products’ stands out, it would be interesting to organize traditional food tasting activities accompanied by wine pairings from the wineries. This would enhance the sensory characteristics of both the food and the drink, thereby increasing tourist satisfaction. To put this into practice, wineries could hire a chef specializing in traditional food or reach agreements with specialized restaurants. This type of activity would also satisfy the motivation to ‘taste different types of wine’ through a tasting of various traditional dishes combined with different types of wine depending on the characteristics of the dish and the liquor.
Another particularly important motivation is “learning about the world of wine”, so the organization of workshops by wineries explaining the different characteristics of wine, its creation process, conservation, etc., can be of great interest from an economic point of view and in terms of wine tourist satisfaction. To this end, it is important that the winery staff’s knowledge is extensive enough to meet the needs of customers. Managers must improve their staff’s knowledge of the product to help them with their recommendations and attitudes towards wine buyers (Molina-Collado et al., 2015).
Finally, in the case of the Cordoba countryside, it offers a multitude of alternatives in terms of scenic routes. It would be interesting if the routes through the wineries were accompanied by a route through the vineyards and, taking advantage of the good climate in the area, outdoor events were held with views of the exceptional Cordoba countryside.

5. Conclusions

Wine tourism is a submarket of tourism that has grown in importance in recent years, becoming a tool for economic and social development in rural regions. This study aims to contribute to the literature by providing a demographic profile of wine tourists in Spain, especially in the Córdoba area, as well as an analysis of the motivations that drive tourists to engage in these activities, the perceptions they value most, and the overall impact of these two variables on customer perceived value.
In terms of socio-demographic profile, the typical tourist is a young woman with a university education and a medium or medium-high income, consistent with previous studies. However, the age range of the tourists studied in this work is narrower, consisting of young individuals. This may be due to the growing interest of young people in alternative activities related to wine and the discovery of a culture.
Tourists’ motivations are constantly changing, as they seek new experiences that will bring them greater levels of satisfaction. In this sense, it is necessary for destinations to generate a tourist offer that complements existing classic models. Thus, gastronomy is currently an attraction that, in conjunction with olive oil and wine activities, could generate independent tourist activity. We are looking at olive oil tourism or wine tourism, the latter being the activity that has been the subject of study in this research.
The proposed model highlighted the positive influence of motivations on perceived value, while it did not support the second hypothesis, which predicted a positive influence of perceptions on perceived value. The importance of motivations for tourists to have a positive assessment is essential for subsequent satisfaction and loyalty to the activity or service. The results of this study may be useful to cooperatives and small wine-producing companies, especially for the development of new lines of business within their activities, such as wine tourism both on their premises and at wine tasting festivals.
One of the limitations encountered in this study is the time frame for data collection, which was three months (October to December 2022). This three-month data collection period may be subject to seasonal variations in wine tourism demand linked to harvests, events, festivals, and holiday periods. Therefore, seasonality may affect the composition of the sample and alter the relative weight of motivations and perceptions. In this regard, to mitigate this risk, it is proposed as a future line of research to extend the field to different seasons of the year or to stratify the sample by seasonal phase, to see if there are significant differences depending on the time of year.
The target audience of the survey also presents a limitation, as the study has focused exclusively on the demand side. It would therefore be interesting to conduct a survey from another perspective that takes into account other stakeholders, such as companies responsible for wine tourism activities or the public and/or private entities where these activities take place. Additionally, it would be interesting to address the image of the destination using variables such as consumer experience, authenticity, or the impact of the environment on the consumer, referring to the non-material dimension of perceived value.
Another limitation detected with regard to methodological rigor is the risks associated with online surveys. Access via an open link favors the self-selection of individuals with greater affinity for the subject or with greater digital competence, which can generate participation and response biases and compromise the representativeness of the sample. To this end, it is essential to use filters and data cleansing criteria to verify and ensure sufficient data quality.
Finally, it is important to note that this study focused on wine tourists in Spain without restricting the sampling frame to specific wine regions or specific winery profiles. Therefore, the analysis follows an analytical logic that aims to test the directional effects of the proposed model, rather than to produce region-specific population estimates. The unit of analysis is the individual wine tourist, which means that some respondents may have visited more than one winery during their trip. Our model captures their global ecotourism experience and not each visit separately. Finally, although managerial implications for small wineries and cooperatives are discussed, the study does not classify respondents by type of winery visited, so managerial insights should be interpreted in terms of potential applicability.
Future work could strengthen generalization by stratifying data collection by wine region, by type or reputation of winery and by type of experience (winery visit vs. wine festival), which would allow for formal comparative analysis. In addition, studies with event-level (visit-level) data would allow researchers to model multiple experiences within a single trip and quantify contextual effects. Finally, targeted sampling of visitors to cooperatives and small wineries would allow verifying the transferability of the model to these specific operators and, therefore, refine the managerial implications derived from this research.

Author Contributions

Conceptualization, J.H.-C. and M.d.R.R.-R.; methodology, L.O.-P.; software, L.O.-P.; validation, M.F.-C.; formal analysis, M.d.R.R.-R.; investigation, J.H.-C. and L.O.-P.; resources, L.O.-P.; data curation, M.F.-C. and M.d.R.R.-R.; writing—original draft preparation, L.O.-P.; writing—review and editing, L.O.-P. and M.F.-C.; visualization, M.F.-C.; supervision, L.O.-P. and J.H.-C. All authors have read and agreed to the published version of the manuscript.

Funding

This research received no external funding.

Institutional Review Board Statement

Ethical review and approval were waived for this study due to the code of responsible practices and research integrity of the University of Córdoba.

Informed Consent Statement

Informed consent was obtained from all subjects involved in the study.

Data Availability Statement

The original contributions presented in this study are included in the article. Further inquiries can be directed to the corresponding authors.

Conflicts of Interest

The authors declare no conflicts of interest.

Abbreviations

The following abbreviations are used in this manuscript:
PLS-SEMPartial least squares structural equation modeling.

References

  1. Agapito, D., Oom do Valle, P., & da Costa Mendes, J. (2013). The cognitive-affective-conative model of destination image: A confirmatory analysis. Journal of Travel & Tourism Marketing, 30(5), 471–481. [Google Scholar] [CrossRef]
  2. Alebaki, M., & Iakovidou, O. (2010). Segmenting the Greek wine tourism market using a motivational approach. New Medit: Mediterranean Journal of Economics, Agriculture and Environment = Revue Méditerranéenne dʹEconomie Agriculture et Environment, 9(4), 31. [Google Scholar]
  3. Ali, F., Rasoolimanesh, S. M., Sarstedt, M., Ringle, C. M., & Ryu, K. (2018). An assessment of the use of partial least squares structural equation modeling (PLS-SEM) in hospitality research. International Journal of Contemporary Hospitality Management, 30(1), 514–538. [Google Scholar] [CrossRef]
  4. Alonso, A. D., & Liu, Y. (2012). Old wine region, new concept and sustainable development: Winery entrepreneurs’ perceived benefits from wine tourism on Spain’s Canary Islands. Journal of Sustainable Tourism, 20(7), 991–1009. [Google Scholar] [CrossRef]
  5. Assaker, G., & Hallak, R. (2013). Moderating effects of tourists’ novelty-seeking tendencies on destination image, visitor satisfaction, and short-and long-term revisit intentions. Journal of Travel Research, 52(5), 600–613. [Google Scholar] [CrossRef]
  6. Babolian Hendijani, R. (2016). Effect of food experience on tourist satisfaction: The case of Indonesia. International Journal of Culture, Tourism and Hospitality Research, 10(3), 272–282. [Google Scholar] [CrossRef]
  7. Barclay, D., Higgins, C., & Thompson, R. (1995). The partial least squares (PLS) approach to casual modeling: Personal computer adoption ans use as an Illustration. Technology Studies, 2, 285–309. [Google Scholar]
  8. Björk, P., & Kauppinen-Räisänen, H. (2016). Exploring the multi-dimensionality of travellers’ culinary-gastronomic experiences. Current Issues in Tourism, 19(12), 1260–1280. [Google Scholar] [CrossRef]
  9. Björk, P., & Kauppinen-Räisänen, H. (2017). A destination’s gastronomy as a means for holiday well-being. British Food Journal, 119(7), 1578–1591. [Google Scholar] [CrossRef]
  10. Bonn, M. A., Chang, H. S., & Cho, M. (2020). The environment and perceptions of wine consumers regarding quality, risk and value: Reputations of regional wines and restaurants. Journal of Hospitality and Tourism Management, 45, 203–212. [Google Scholar] [CrossRef]
  11. Brás, J. M., Costa, C., & Buhalis, D. (2013). Network analysis and wine routes: The case of the Bairrada Wine Route. In Advances in service network analysis (pp. 41–61). Routledge. [Google Scholar] [CrossRef]
  12. Brew, J. O. (2023). Music career and sustainability: The strategies of a hiplife musician. Ethnomusicology Forum, 32(2), 183–200. [Google Scholar] [CrossRef]
  13. Brochado, A., Stoleriu, O., & Lupu, C. (2018). Surf camp experiences. Journal of Sport & Tourism, 22(1), 21–41. [Google Scholar] [CrossRef]
  14. Brunori, G., & Rossi, A. (2000). Synergy and coherence through collective action: Some insights from wine routes in Tuscany. Sociologia Ruralis, 40(4), 409–423. [Google Scholar] [CrossRef]
  15. Bruwer, J., Pratt, M. A., Saliba, A., & Hirche, M. (2017). Regional destination image perception of tourists within a winescape context. Current Issues in Tourism, 20(2), 157–177. [Google Scholar] [CrossRef]
  16. Byrd, E. T., Canziani, B., Hsieh, Y.-C. J., Debbage, K., & Sonmez, S. (2016). Wine tourism: Motivating visitors through core and supplementary services. Tourism Management, 52, 19–29. [Google Scholar] [CrossRef]
  17. Carlsen, J., & Boksberger, P. (2015). Enhancing consumer value in wine tourism. Journal of Hospitality & Tourism Research, 39(1), 132–144. [Google Scholar] [CrossRef]
  18. Cavazos-Arroyo, J., Beyliss-Cortez, L., & Meraz, L. (2023). Antecedentes y efectos del valor percibido: Enoturismo en Valle de Guadalupe, México. Revista Iberoamericana de Viticultura, Agroindustria y Ruralidad, 10(30), 191–212. [Google Scholar] [CrossRef]
  19. Charters, S., & Ali-Knight, J. (2002). Who is the wine tourist? Tourism Management, 23(3), 311–319. [Google Scholar] [CrossRef]
  20. Charters, S., & Menival, D. (2011). Wine tourism in Champagne. Journal of Hospitality & Tourism Research, 35(1), 102–118. [Google Scholar] [CrossRef]
  21. Chin, W. W. (1998). Commentary: Issues and opinion on structural equation modeling. MIS Quarterly, 22, vii–xvi. [Google Scholar]
  22. Clemente-Ricolfe, J.-S., Escribá-Pérez, C., Rodriguez-Barrio, J.-E., & Buitrago-Vera, J.-M. (2012). The potential wine tourist market: The case of Valencia (Spain). Journal of Wine Research, 23(2), 185–202. [Google Scholar] [CrossRef]
  23. Cohen, E. (1988). Authenticity and commoditization in tourism. Annals of Tourism Research, 15(3), 371–386. [Google Scholar] [CrossRef]
  24. Cohen, J. (2013). Statistical power analysis for the behavioral sciences. Routledge. [Google Scholar]
  25. Colombini, D. C. (2015). Wine tourism in Italy. International Journal of Wine Research, 7, 29–35. [Google Scholar] [CrossRef]
  26. Diamantopoulos, A., & Siguaw, J. A. (2006). Formative versus reflective indicators in organizational measure development: A comparison and empirical illustration. British Journal of Management, 17(4), 263–282. [Google Scholar] [CrossRef]
  27. Dimitrovski, D., & Crespi-Vallbona, M. (2017). Role of food neophilia in food market tourists’ motivational construct: The case of La Boqueria in Barcelona, Spain. Journal of Travel & Tourism Marketing, 34(4), 475–487. [Google Scholar] [CrossRef]
  28. Di Vita, G., Caracciolo, F., Brun, F., & D’Amico, M. (2019). Picking out a wine: Consumer motivation behind different quality wines choice. Wine Economics and Policy, 8(1), 16–27. [Google Scholar] [CrossRef]
  29. Duan, Y.-C. B., & Hsiao, A. (2020). The xiao zi effect on motivation to visit wineries from an identity perspective: The case of China. Journal of Hospitality and Tourism Management, 45, 359–369. [Google Scholar] [CrossRef]
  30. Durán Sánchez, A., De la Cruz Del Río, M., & Álvarez García, J. (2017). Bibliometric analysis of publications on wine tourism in the databases Scopus and WoS. European Research on Management and Business Economics, 23(1), 8–15. [Google Scholar] [CrossRef]
  31. Esau, D., & Senese, D. M. (2022). The sensory experience of wine tourism: Creating memorable associations with a wine destination. Food Quality and Preference, 101, 104635. [Google Scholar] [CrossRef]
  32. Fakeye, P. C., & Crompton, J. L. (1991). Image differences between prospective, first-time, and repeat visitors to the Lower Rio Grande Valley. Journal of Travel Research, 30(2), 10–16. [Google Scholar] [CrossRef]
  33. Festa, G., Shams, S. R., Metallo, G., & Cuomo, M. T. (2020). Opportunities and challenges in the contribution of wine routes to wine tourism in Italy—A stakeholders’ perspective of development. Tourism Management Perspectives, 33, 100585. [Google Scholar] [CrossRef]
  34. Fields, K. (2003). Demand for the gastronomy tourism product: Motivational factors. In Tourism and gastronomy (pp. 50–64). Routledge. [Google Scholar]
  35. Fornell, C., & Larcker, D. F. (1981). Evaluating structural equation models with unobservable variables and measurement error. Journal of Marketing Research, 18(1), 39–50. [Google Scholar] [CrossRef]
  36. Gagić, S., Tešanović, D., Ivkov-Džigurski, A., Pivac, T., & Jovičić, A. (2013). Motives and attitudes of food and drink festival visitors: A case study of Serbia. Journal of Food, Agriculture & Environment, 11(1), 1055–1059. [Google Scholar]
  37. Gallarza, M. G., Maubisson, L., & Riviere, A. (2021). Replicating consumer value scales: A comparative study of EVS and PERVAL at a cultural heritage site. Journal of Business Research, 126, 614–623. [Google Scholar] [CrossRef]
  38. Garibaldi, R., Stone, M. J., Wolf, E., & Pozzi, A. (2017). Wine travel in the United States: A profile of wine travellers and wine tours. Tourism Management Perspectives, 23, 53–57. [Google Scholar] [CrossRef]
  39. Gázquez-Abad, J. C., Huertas-García, R., Vázquez-Gómez, M. D., & Casas Romeo, A. (2015). Drivers of sustainability strategies in Spain’s wine tourism industry. Cornell Hospitality Quarterly, 56(1), 106–117. [Google Scholar] [CrossRef]
  40. Getz, D., Andersson, T., Vujicic, S., & Robinson, R. N. (2015). Food events in lifestyle and travel. Event Management, 19(3), 407–419. [Google Scholar] [CrossRef]
  41. Getz, D., Carlsen, J., Brown, G., & Havitz, M. (2008). Wine tourism and consumers. CAB International. [Google Scholar]
  42. Gilbert, D. C. (1992). Touristic development of a viticultural region of Spain. International Journal of Wine Marketing, 4(2), 25–32. [Google Scholar] [CrossRef]
  43. González Santa Cruz, F., Moral-Cuadra, S., Choque Tito, J., & López-Guzmán, T. (2020). Gastronomic motivations and perceived value of foreign tourists in the city of Oruro (Bolivia): An analysis based on structural equations. International Journal of Environmental Research and Public Health, 17(10), 3618. [Google Scholar] [CrossRef]
  44. Gómez, M., & Molina, A. (2013). Estrategias de gestión del valor de marca en los destinos enoturísticos. Revista Europea de Dirección y Economía de la Empresa, 22(2), 69–79. [Google Scholar] [CrossRef]
  45. Gómez-Carmona, D., Paramio, A., Cruces-Montes, S., Marín-Dueñas, P. P., Montero, A. A., & Romero-Moreno, A. (2023). The effect of the wine tourism experience. Journal of Destination Marketing & Management, 29, 100793. [Google Scholar] [CrossRef]
  46. Gómez Rico, M. (2011). El turismo enológico desde la perspectiva de la oferta. Editorial Universitaria Ramón Areces. [Google Scholar]
  47. Gu, Q., Li, M., & Kim, S. S. (2024). Effects of liquor and wine heritage stimuli on tourists’ experiential value and behavioral intentions. Journal of Destination Marketing & Management, 34, 100961. [Google Scholar] [CrossRef]
  48. Güzel, Ö., Ehtiyar, R., & Ryan, C. (2021). The Success Factors of wine tourism entrepreneurship for rural area: A thematic biographical narrative analysis in Turkey. Journal of Rural Studies, 84, 230–239. [Google Scholar] [CrossRef]
  49. Hair, J. F., Hult, G. T. M., Ringle, C. M., Sarstedt, M., Danks, N. P., & Ray, S. (2021). Partial least squares structural equation modeling (PLS-SEM) using R: A workbook. Springer Nature. [Google Scholar]
  50. Hair, J. F., Ringle, C. M., & Sarstedt, M. (2011). PLS-SEM: Indeed a silver bullet. Journal of Marketing theory and Practice, 19(2), 139–152. [Google Scholar] [CrossRef]
  51. Hall, C. M., & Mitchell, R. (2000). Wine tourism in the Mediterranean: A tool for restructuring and development. Thunderbird International Business Review, 42(4), 445–465. [Google Scholar] [CrossRef]
  52. Haven-Tang, C., & Jones, E. (2005). Using local food and drink to differentiate tourism destinations through a sense of place: A story from Wales-dining at Monmouthshire’s great table. Journal of Culinary Science & Technology, 4(4), 69–86. [Google Scholar] [CrossRef]
  53. Henseler, J. (2018). Partial least squares path modeling: Quo vadis? Quality & Quantity, 52(1), 1–8. [Google Scholar] [CrossRef]
  54. Henseler, J., Hubona, G., & Ray, P. A. (2016). Using PLS path modeling in new technology research: Updated guidelines. Industrial Management & Data Systems, 116(1), 2–20. [Google Scholar] [CrossRef]
  55. Heredia-Carroza, J., Pena-Vinces, J., Palma, L., & Aguado, L. F. (2025). The impact of anticipated feelings and artist fame on customers’ decisions to attend live flamenco shows. Journal of Destination Marketing & Management, 36, 100994. [Google Scholar] [CrossRef]
  56. Houghton, M. (2001). The propensity of wine festivals to encourage subsequent winery visitation. International Journal of Wine Marketing, 13(3), 32–41. [Google Scholar] [CrossRef]
  57. Hubbard, K. W., Mandabach, K. H., McDowall, S., & VanLeeuwen, D. M. (2012). Perceptions of quality, satisfaction, loyalty, and approximate spending at an American wine festival. Journal of Culinary Science & Technology, 10(4), 337–351. [Google Scholar] [CrossRef]
  58. Ignatov, E., & Smith, S. (2006). Segmenting Canadian culinary tourists. Current Issues in Tourism, 9(3), 235–255. [Google Scholar] [CrossRef]
  59. Jiménez-Beltrán, F. J., López-Guzmán, T., & González Santa Cruz, F. (2016). Analysis of the relationship between tourism and food culture. Sustainability, 8(5), 418. [Google Scholar] [CrossRef]
  60. Jurinčić, I., & Bojnec, Š. (2009). Wine tourism development: The case of the wine district in Slovenia. Tourism: An International Interdisciplinary Journal, 57(4), 435–448. [Google Scholar]
  61. Kastenholz, E., Cunha, D., Eletxigerra, A., Carvalho, M., & Silva, I. (2022). The experience economy in a wine destination—Analysing visitor reviews. Sustainability, 14(15), 9308. [Google Scholar] [CrossRef]
  62. Kenji Tierney, R. (2016). Consuming sumo wrestlers: Taste, commensality, and authenticity in Japanese food. Food, Culture & Society, 19(4), 637–653. [Google Scholar] [CrossRef]
  63. Khan, I., & Fatma, M. (2021). Online destination brand experience and authenticity: Does individualism-collectivism orientation matter? Journal of Destination Marketing & Management, 20, 100597. [Google Scholar] [CrossRef]
  64. Kim, Y. G., Eves, A., & Scarles, C. (2009). Building a model of local food consumption on trips and holidays: A grounded theory approach. International Journal of Hospitality Management, 28(3), 423–431. [Google Scholar] [CrossRef]
  65. Kim, Y. G., Eves, A., & Scarles, C. (2013). Empirical verification of a conceptual model of local food consumption at a tourist destination. International Journal of Hospitality Management, 33, 484–489. [Google Scholar] [CrossRef]
  66. Kline, R. B. (2023). Principles and practice of structural equation modeling. Guilford Publications. [Google Scholar]
  67. Korstanje, M. E., & George, B. (2021). Tourist gaze reconsidered. In Mobility and globalization in the aftermath of COVID-19: Emerging new geographies in a locked world (pp. 73–94). Springer. [Google Scholar]
  68. Lee, J. S.-H., McCole, D., & Holecek, D. (2020). Exploring winery visitors in the emerging wine regions of the North Central United States. Sustainability, 12(4), 1642. [Google Scholar] [CrossRef]
  69. Levitt, J. A., Zhang, P., DiPietro, R. B., & Meng, F. (2019). Food tourist segmentation: Attitude, behavioral intentions and travel planning behavior based on food involvement and motivation. International Journal of Hospitality & Tourism Administration, 20(2), 129–155. [Google Scholar] [CrossRef]
  70. Lopes, C., Rengifo Gallego, J. I., & Leitão, J. (2021). La relación de los productos agroalimentarios de calidad diferenciada con el turismo en España y Portugal. Universidade de Lisboa. [Google Scholar]
  71. López-Guzmán, T., García, J. R., & Rodríguez, Á. V. (2013). Review of the scientific literature on wine tourism in Spain. Cuadernos de Turismo, 32, 323–326. [Google Scholar]
  72. López-Guzmán, T., Sanchez Canizares, S. M., & García, R. (2009). Wine routes in Spain: A case study. Tourism: An International Interdisciplinary Journal, 57(4), 421–434. [Google Scholar]
  73. López-Guzmán, T., Uribe Lotero, C. P., Pérez Gálvez, J. C., & Ríos Rivera, I. (2017). Gastronomic festivals: Attitude, motivation and satisfaction of the tourist. British Food Journal, 119(2), 267–283. [Google Scholar] [CrossRef]
  74. López-Guzmán, T., Vieira-Rodríguez, A., & Rodríguez-García, J. (2014). Profile and motivations of European tourists on the Sherry wine route of Spain. Tourism Management Perspectives, 11, 63–68. [Google Scholar] [CrossRef]
  75. MacLeod, N. (2006). Cultural tourism: Aspects of authenticity and commodification. Cultural Tourism in a Changing World: Politics, Participation and (Re)Presentation, 7, 177. [Google Scholar]
  76. Martínez del Vas, G., Beltrán Bueno, M. Á., & Rubia Albert, L. (2021). La generación de destinos basados en experiencias enoturísticas para el segmento familiar. Cuadernos de Turismo, 48, 243–276. [Google Scholar] [CrossRef]
  77. Marzo-Navarro, M., & Pedraja-Iglesias, M. (2012). Critical factors of wine tourism: Incentives and barriers from the potential tourist’s perspective. International Journal of Contemporary Hospitality Management, 24(2), 312–334. [Google Scholar] [CrossRef]
  78. Memon, M. A., Ramayah, T., Cheah, J.-H., Ting, H., Chuah, F., & Cham, T. H. (2021). PLS-SEM statistical programs: A review. Journal of Applied Structural Equation Modeling, 5(1), 1–14. [Google Scholar] [CrossRef]
  79. Mgonja, J. T., Backman, K. F., Backman, S. J., Moore, D. D., & Hallo, J. C. (2016). Factors moderating and mediating visitors’ perceptions about local foods in Tanzania. Gastronomy and Tourism, 2(2), 87–106. [Google Scholar] [CrossRef]
  80. Mitchell, R., & Hall, C. M. (2004). The post-visit consumer behaviour of New Zealand winery visitors. Journal of Wine Research, 15(1), 39–49. [Google Scholar] [CrossRef]
  81. Mitchell, R., & Hall, C. M. (2006). Wine tourism research: The state of play. Tourism Review International, 9(4), 307–332. [Google Scholar] [CrossRef]
  82. Molina Collado, A., Gómez Rico, M., & Esteban Talaya, Á. (2013). Caracterización de visitantes enológicos en España: Un análisis comparativo en cinco denominaciones de origen. Journal of Tourism Analysis: Revista de Análisis Turístico (JTA), (15), 87–97. [Google Scholar]
  83. Molina-Collado, A., Gómez Rico, M., González-Díaz, B., & Esteban, Á. (2015). Market segmentation in wine tourism: Strategies for wineries and destinations in Spain. Journal of Wine Research, 26(3), 192–224. [Google Scholar] [CrossRef]
  84. Mora, D., Solano-Sanchez, M. A., López-Guzmán, T., & Moral-Cuadra, S. (2021). Gastronomic experiences as a key element in the development of a tourist destination. International Journal of Gastronomy and Food Science, 25, 100405. [Google Scholar] [CrossRef]
  85. Negrín de la Peña, J. A. (2021). Las fiestas del vino en La Mancha: Folclore e identidad. Revista Iberoamericana de Viticultura, Agroindustria y Ruralidad, 8(23), 71–89. [Google Scholar] [CrossRef]
  86. Nunnally, J. C., & Bernstein, I. H. (1994). Psychometric theory (Vol. 136). McGraw-Hill. [Google Scholar]
  87. Nurosis, M. J. (1993). SPSS statistical data analysis. SPSS Inc. [Google Scholar]
  88. Ortiz García, C. (2021). Fiesta y festín. El comer festivo en España. Revista Iberoamericana de Viticultura, Agroindustria y Ruralidad, 8(23), 203–219. [Google Scholar] [CrossRef]
  89. Pérez Gálvez, J. C., Jaramillo Granda, M., López-Guzmán, T., & Reinoso Coronel, J. (2017). Local gastronomy, culture and tourism sustainable cities: The behavior of the American tourist. Sustainable Cities and Society, 32, 604–612. [Google Scholar] [CrossRef]
  90. Prebensen, N. K., Woo, E., Chen, J. S., & Uysal, M. (2013). Motivation and involvement as antecedents of the perceived value of the destination experience. Journal of Travel Research, 52(2), 253–264. [Google Scholar] [CrossRef]
  91. Prebensen, N. K., Woo, E., & Uysal, M. S. (2014). Experience value: Antecedents and consequences. Current Issues in Tourism, 17(10), 910–928. [Google Scholar] [CrossRef]
  92. Quadri-Felitti, D., & Fiore, A. M. (2012). Experience economy constructs as a framework for understanding wine tourism. Journal of Vacation Marketing, 18(1), 3–15. [Google Scholar] [CrossRef]
  93. Quadri-Felitti, D. L., & Fiore, A. M. (2013). Destination loyalty: Effects of wine tourists’ experiences, memories, and satisfaction on intentions. Tourism and Hospitality Research, 13(1), 47–62. [Google Scholar] [CrossRef]
  94. Quan, S., & Wang, N. (2004). Towards a structural model of the tourist experience: An illustration from food experiences in tourism. Tourism Management, 25(3), 297–305. [Google Scholar] [CrossRef]
  95. Reyes, C. (2012). The satisfaction of wine tourist: Causes and effects. European Journal of Tourism Research, 5(1), 80–83. [Google Scholar] [CrossRef]
  96. Rigdon, E. E. (2016). Choosing PLS path modeling as analytical method in European management research: A realist perspective. European Management Journal, 34(6), 598–605. [Google Scholar] [CrossRef]
  97. Roberts, N., & Thatcher, J. (2009). Conceptualizing and testing formative constructs: Tutorial and annotated example. ACM Sigmis Database: The Database for Advances in Information Systems, 40(3), 9–39. [Google Scholar] [CrossRef]
  98. Robinson, R. N., Getz, D., & Dolnicar, S. (2018). Food tourism subsegments: A data-driven analysis. International Journal of Tourism Research, 20(3), 367–377. [Google Scholar] [CrossRef]
  99. Sampaio, A. (2012). Wine tourism and visitors’ perceptions: A structural equation modelling approach. Tourism Economics, 18(3), 533–553. [Google Scholar] [CrossRef]
  100. Seyitoğlu, F., Çakar, K., & Davras, Ö. (2022). Motivation, perceived authenticity and satisfaction of tourists visiting the monastery of Mor Hananyo-Mardin, Turkey. International Journal of Tourism Cities, 8(4), 1062–1078. [Google Scholar] [CrossRef]
  101. Sheth, J. N., Newman, B. I., & Gross, B. L. (1991). Why we buy what we buy: A theory of consumption values. Journal of Business Research, 22(2), 159–170. [Google Scholar] [CrossRef]
  102. Sims, R. (2010). Putting place on the menu: The negotiation of locality in UK food tourism, from production to consumption. Journal of Rural Studies, 26(2), 105–115. [Google Scholar] [CrossRef]
  103. Sthapit, E., Prentice, C., Ji, C., Yang, P., Garrod, B., & Bjork, P. (2024). Experience-driven well-being and purchase: An alternativemodel of memorable wine tourism experiences. International Journal of Tourism Research, 26(2), e2645. [Google Scholar] [CrossRef]
  104. Streukens, S., & Leroi-Werelds, S. (2016). Bootstrapping and PLS-SEM: A step-by-step guide to get more out of your bootstrap results. European Management Journal, 34(6), 618–632. [Google Scholar] [CrossRef]
  105. Sweeney, J. C., & Soutar, G. N. (2001). Consumer perceived value: The development of a multiple item scale. Journal of Retailing, 77(2), 203–220. [Google Scholar] [CrossRef]
  106. Thanh, T. V., & Kirova, V. (2018). Wine tourism experience: A netnography study. Journal of Business Research, 83, 30–37. [Google Scholar] [CrossRef]
  107. Torres González, A., Guzmán Sala, A., & Aguilar-Olivé, C. G. (2024). La percepción de los usuarios en la experiencia turística en un pueblo mágico. Cuadernos Gestión Turística del Patrimonio, 3(2), 1–13. [Google Scholar]
  108. Triantafyllou, G., Lymperopoulos, K., & Lagos, D. (2016, June 22–24). Factors that determine the perceived value of wine and the consumers satisfaction level. 4th International Conference on Contemporary Marketing Issues (ICCMI), Heraklion, Greece. [Google Scholar]
  109. Vinh, N. Q., Hien, L. M., & Thanh, T. D. (2023). The effect of destination image and perceived value on the loyalty of international tourists to cultural heritage tourism in Hanoi. Advances in Decision Sciences, 27(1), 87–114. [Google Scholar] [CrossRef]
  110. Vitale, L., López-Guzmán, T., Gálvez, J., & Clemente, E. (2018). Profiling wine tourists: A comparison between rural and city Wine Festivals in Campania, Italy. African Journal of Hospitality, Tourism and Leisure, 7(1), 1–14. [Google Scholar]
  111. Wine Routes of Spain. (2022). Know the wine routes of Spain. Available online: https://wineroutesofspain.com/en/wine-routes/ (accessed on 10 September 2025).
  112. Winfree, J., McIntosh, C., & Nadreau, T. (2018). An economic model of wineries and enotourism. Wine Economics and Policy, 7(2), 88–93. [Google Scholar] [CrossRef]
  113. Yacoub, L., ElHajjar, S., Zgheib, Y., & Al Maalouf, N. J. (2025). Understanding perceived value in tourism: Insights from destinations facing crises. PLoS ONE, 20(9), e0331144. [Google Scholar] [CrossRef]
  114. Yeh, T.-M., & Jeng, M.-Y. (2015). The visiting motivation, perceived value and future behavioural intentions of winery tourists. International Journal of Services and Operations Management, 21(3), 354–369. [Google Scholar] [CrossRef]
  115. Yen, T. (2020). Assessing the effects of perceived value on event satisfaction, event attachment, and revisit intentions in wine cultural event at Yibin International Exhibition Center, Southwest China. Asian Journal of Education and Social Studies, 7(3), 41–54. [Google Scholar] [CrossRef]
  116. Yuan, J., & Jang, S. (2008). The effects of quality and satisfaction on awareness and behavioral intentions: Exploring the role of a wine festival. Journal of Travel Research, 46(3), 279–288. [Google Scholar] [CrossRef]
  117. Yuan, J., Morrison, A. M., Cai, L. A., & Linton, S. (2008). A model of wine tourist behaviour: A festival approach. International Journal of Tourism Research, 10(3), 207–219. [Google Scholar] [CrossRef]
  118. Yuan, J. J., Cai, L. A., Morrison, A. M., & Linton, S. (2005). An analysis of wine festival attendees’ motivations: A synergy of wine, travel and special events? Journal of Vacation Marketing, 11(1), 41–58. [Google Scholar] [CrossRef]
  119. Zhang, Y., & Lee, H. (2022). Wine tourism experience effects on co-creation, perceived value and consumer behavior. Ciência e Técnica Vitivinícola, 37(2), 159–177. [Google Scholar] [CrossRef]
Figure 1. Proposed model.
Figure 1. Proposed model.
Tourismhosp 06 00254 g001
Figure 2. Final structural model.
Figure 2. Final structural model.
Tourismhosp 06 00254 g002
Table 1. Sociodemographic profile.
Table 1. Sociodemographic profile.
Variable%Variable%Variable%
Gender Level of education Professional category
  Male45.6  Primary Education1.2  Self-employed11.5
  Female51.2  Secondary Education14.7  Civil servant20.6
  Non-binary3.2  University Education56.7  Private company employee17.1
     Postgraduate/Master/PhD27.4  Freelancer7.5
     Student32.5
     Unemployed7.9
     Retired2.0
  Household duties0.8
Age Monthly income level
  18 to 3042.2  Less than €7007.1
  31 to 4014.7  Between €700 and €10008.3
  41 to 5018  Between €1001 and €150016.3
  51 to 6014.9  Between €1501 and €250027.9
  Over 6010.2  Between €2501 and €350018.8
  Over €350021.7
Table 2. Descriptive statistics.
Table 2. Descriptive statistics.
VariableMS.D.Skew.Kurt.Norm.
Perceived Value (PV)
  PV1—Quality of dishes6.051.08−1.7484.3830.000 C
  VP2—Variety of dishes5.561.11−0.7560.8330.000 C
  VP3—Prices5.651.20−1.03616430.000 C
  VP4—Culinary establishment facilities5.381.27−0.7170.5160.000 C
  VP5—Establishment environment5.731.23−1.12716280.000 C
  VP6—Innovation and new flavours in dishes5.331.36−0.633−0.0460.000 C
  VP7—Service and hospitality6.370.94−2.19773340.000 C
  VP8—Traditional cuisine6.011.10−145226690.000 C
Motivations (MO)
  MO1—Tasting different types of wine5.921.19−1.3702.1410.000 C
  MO2—Buying wine at the winery4.751.54−0.392−0.3920.000 C
  MO3—Learning about the world of wine5.891.25−1.25614100.000 C
  MO4—Eating and drinking traditional local products6.200.91−11190.7340.000 C
  MO5—Entertainment5.691.24−1.00711770.000 C
  MO6—Relaxation5.271.43−0.6950.2130.000 C
  MO7—Spending a day out5.301.46−0.365−0.1810.000 C
Perceptions (PE)
  PE1—The winery’s wines allow me to have an authentic wine experience5.801.10−0.8010.330.000 C
  PE2—The winery’s wines give me a unique opportunity to better understand the culture of the geographical area.5.741.09−0.7610.1540.000 C
  PE3—The wines from the winery have a pleasant aroma5.491.31−0.8960.4470.000 C
  PE4—The winery’s wines have a good visual appearance5.501.30−1.0050.9440.000 C
  PE5—The wines from this winery taste good.5.931.14−1.28216710.000 C
  PE6—The wines from this winery taste different from the ones I usually drink.5.191.47−0.650−0.0580.000 C
Notes: M = Mean; S.D. = Standard deviation; Skew. = Skewness; Kurt. = Kurtosis; Norm. = Normality, C = Lilliefors significance correction.
Table 3. Reliability and validity analysis. Mode A and Mode B composites.
Table 3. Reliability and validity analysis. Mode A and Mode B composites.
λλ2ρ_Aρ_CAVEWeightsVIF
Perceived Value (PV)—Mode A 0.8460.880.512
  VP10.6450.416
  PP20.7720.595
  PV40.7640.583
  PP50.7240.524
  PP60.6280.394
  VP70.7670.588
  VP80.6940.481
Perceptions (PE)—Mode A 0.8530.8760.547
  PE10.6920.478
  PE20.6170.381
  PE30.8430.711
  PE40.8260.682
  PE50.8220.675
  PE60.5920.35
Motivations (MO)—Mode B 1000--
  MO10.0541.423
  MO20.1311.381
  MO30.1961.466
  MO40.5261.389
  MO50.3711362
  MO6−0.1161917
  MO70.2991736
λ = Factor loadings; λ2 = Communalities; ρ_A = Dijkstra-Henseler Composite Reliability; ρ_C = Dillon-Goldstein Composite Reliability; AVE = Average Variance Explained; VIF = Variance Inflation Factor Test.
Table 4. Discriminant Validity. Heterotrait–Monotrait Ratio.
Table 4. Discriminant Validity. Heterotrait–Monotrait Ratio.
PerceptionsPerceived Value
Perceptions
Perceived Value0.378
Table 5. Predictive power (R2) and effect size (f2).
Table 5. Predictive power (R2) and effect size (f2).
HypothesisPath CoefficientR2Q2Correl.Expl. Var.f2 (Cont.)
Perceived Value 0.2200.090
H1: Motivations0.41 0.46318.98%0.152 (0.000)
H2: Perceptions0.091 0.3313.020.007 (0.275)
Table 6. Hypothesis testing.
Table 6. Hypothesis testing.
HypothesisPath CoefficientConfidence Interval (95%)Supported?
595
  H1: Motivations → r Perceived Value0.410SIG0.3250.548Yes
H2: Perceptions → nd Perceived Value0.091NSIG−0.0020.192No
Disclaimer/Publisher’s Note: The statements, opinions and data contained in all publications are solely those of the individual author(s) and contributor(s) and not of MDPI and/or the editor(s). MDPI and/or the editor(s) disclaim responsibility for any injury to people or property resulting from any ideas, methods, instructions or products referred to in the content.

Share and Cite

MDPI and ACS Style

Ortega-Pérez, L.; Ruiz-Robles, M.d.R.; Heredia-Carroza, J.; Fuentes-Collado, M. Determinants of Perceived Value in Wine Tourism in Spain: The Dominant Role of Motivations. Tour. Hosp. 2025, 6, 254. https://doi.org/10.3390/tourhosp6050254

AMA Style

Ortega-Pérez L, Ruiz-Robles MdR, Heredia-Carroza J, Fuentes-Collado M. Determinants of Perceived Value in Wine Tourism in Spain: The Dominant Role of Motivations. Tourism and Hospitality. 2025; 6(5):254. https://doi.org/10.3390/tourhosp6050254

Chicago/Turabian Style

Ortega-Pérez, Laura, María del Rosario Ruiz-Robles, Jesús Heredia-Carroza, and Miguel Fuentes-Collado. 2025. "Determinants of Perceived Value in Wine Tourism in Spain: The Dominant Role of Motivations" Tourism and Hospitality 6, no. 5: 254. https://doi.org/10.3390/tourhosp6050254

APA Style

Ortega-Pérez, L., Ruiz-Robles, M. d. R., Heredia-Carroza, J., & Fuentes-Collado, M. (2025). Determinants of Perceived Value in Wine Tourism in Spain: The Dominant Role of Motivations. Tourism and Hospitality, 6(5), 254. https://doi.org/10.3390/tourhosp6050254

Article Metrics

Back to TopTop