Theoretical Characterization of Latencies in the Wide-Synchronization Control for Oscillations Damping
Abstract
1. Introduction
- Theoretical characterization, focusing on the differential and the common modes.
- Stability assessment, for both symmetric and asymmetric conditions.
- Investigation of different linear models for the representation of latencies.
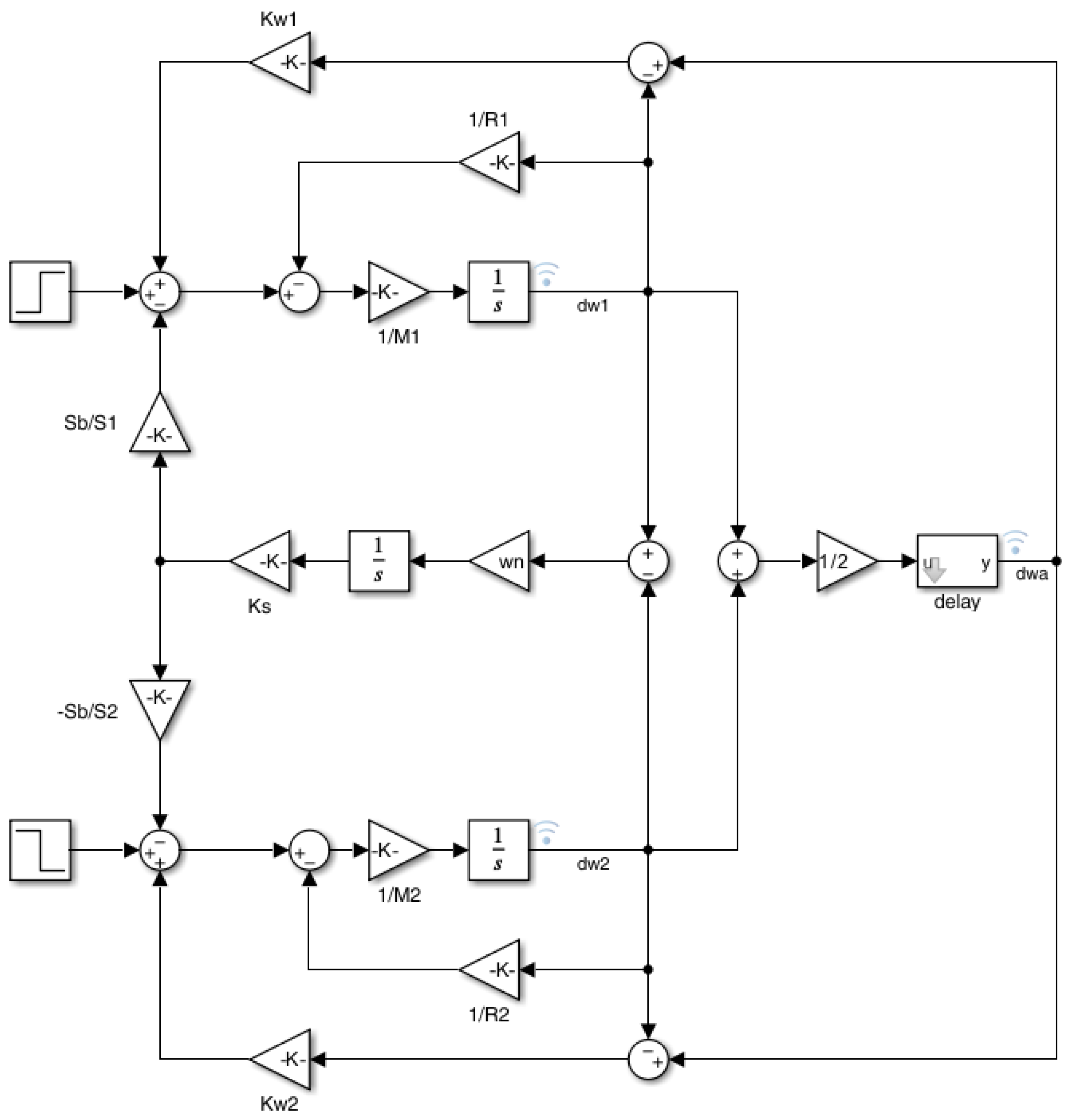
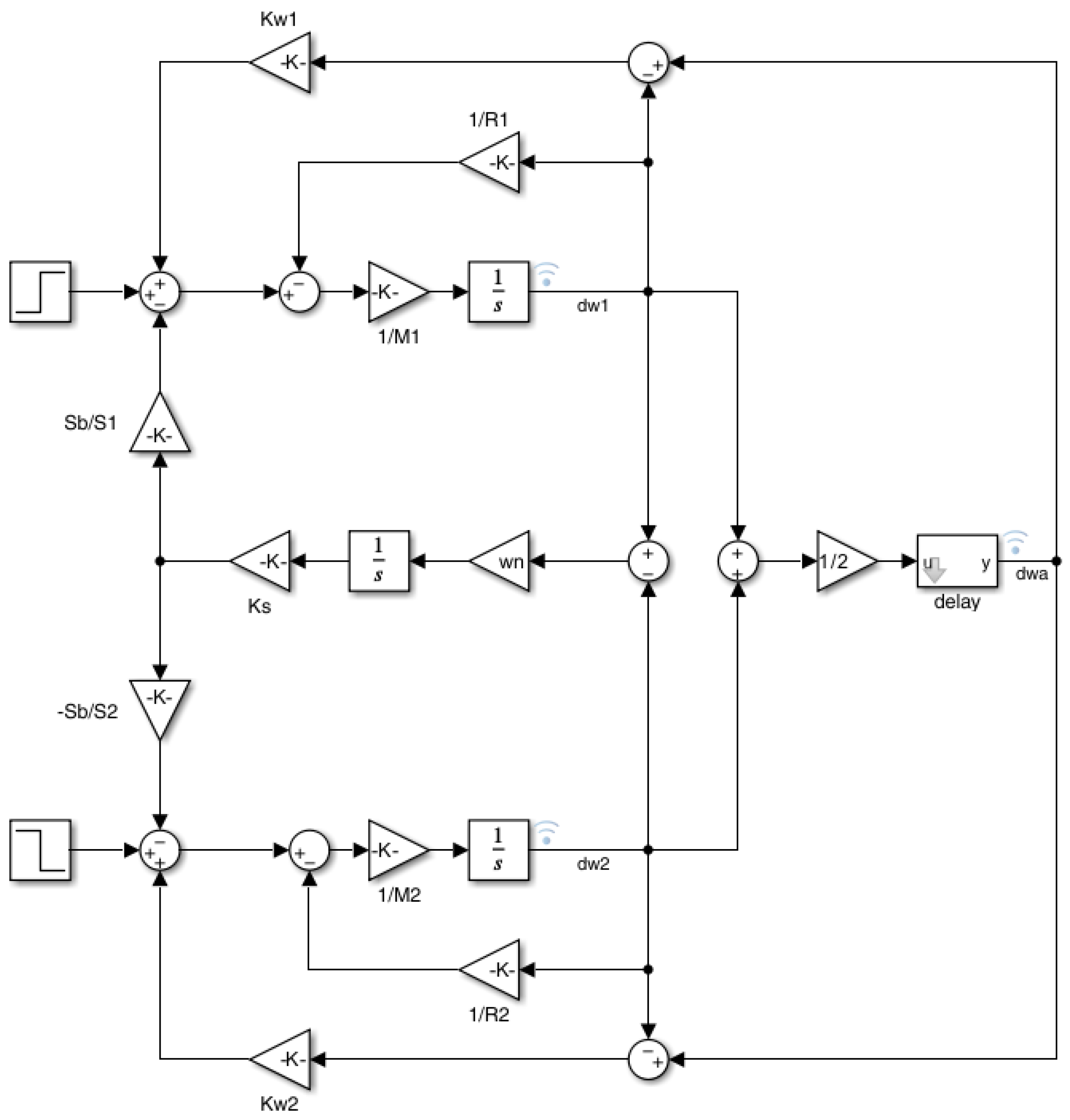
2. Wide-Synchronization Control
3. Theoretical Characterization
3.1. Symmetric WSC Condition
3.2. Asymmetric WSC Condition
4. Stability Assessment
4.1. Symmetric WSC Condition
4.2. Asymmetric WSC Condition
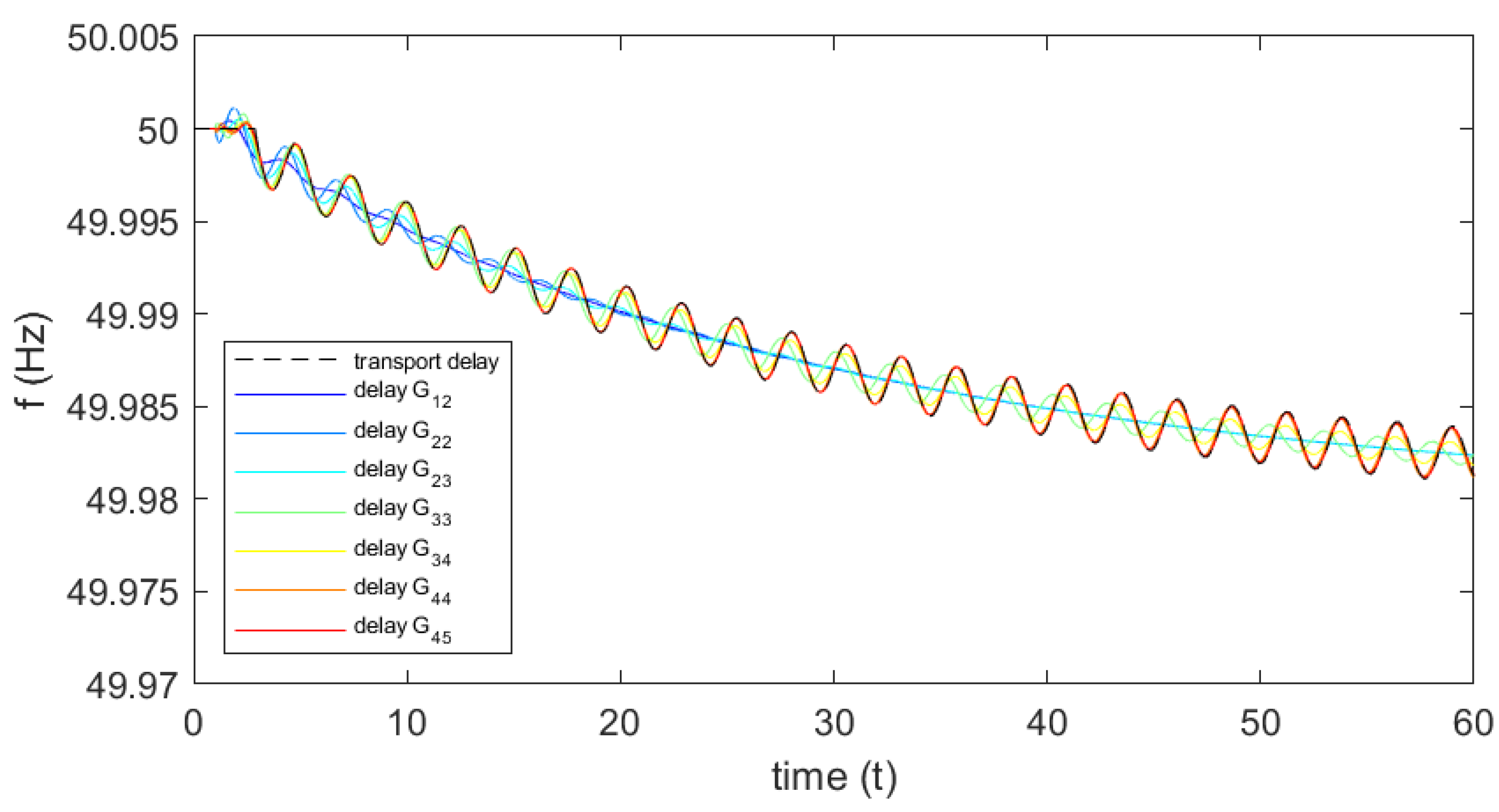
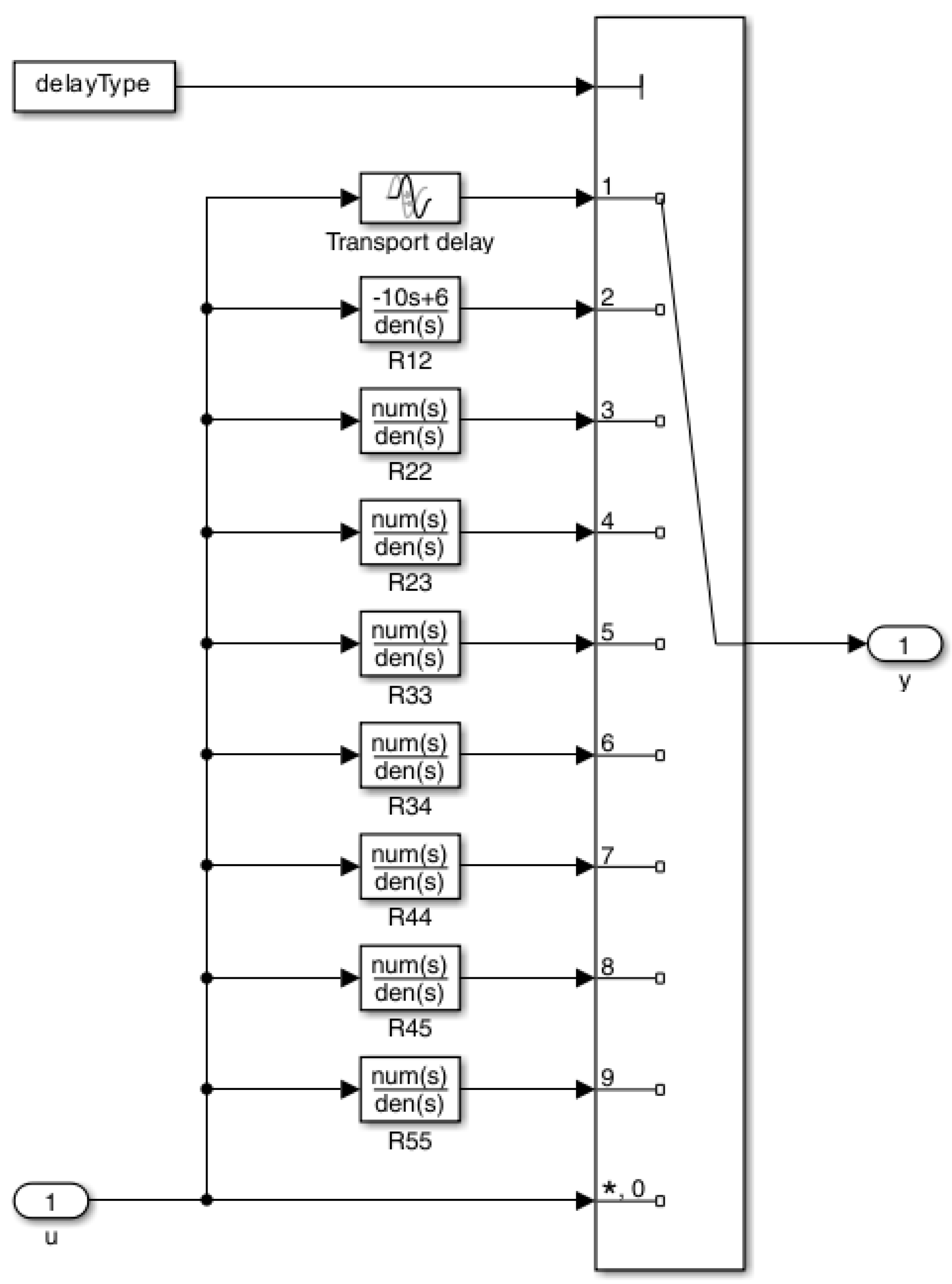
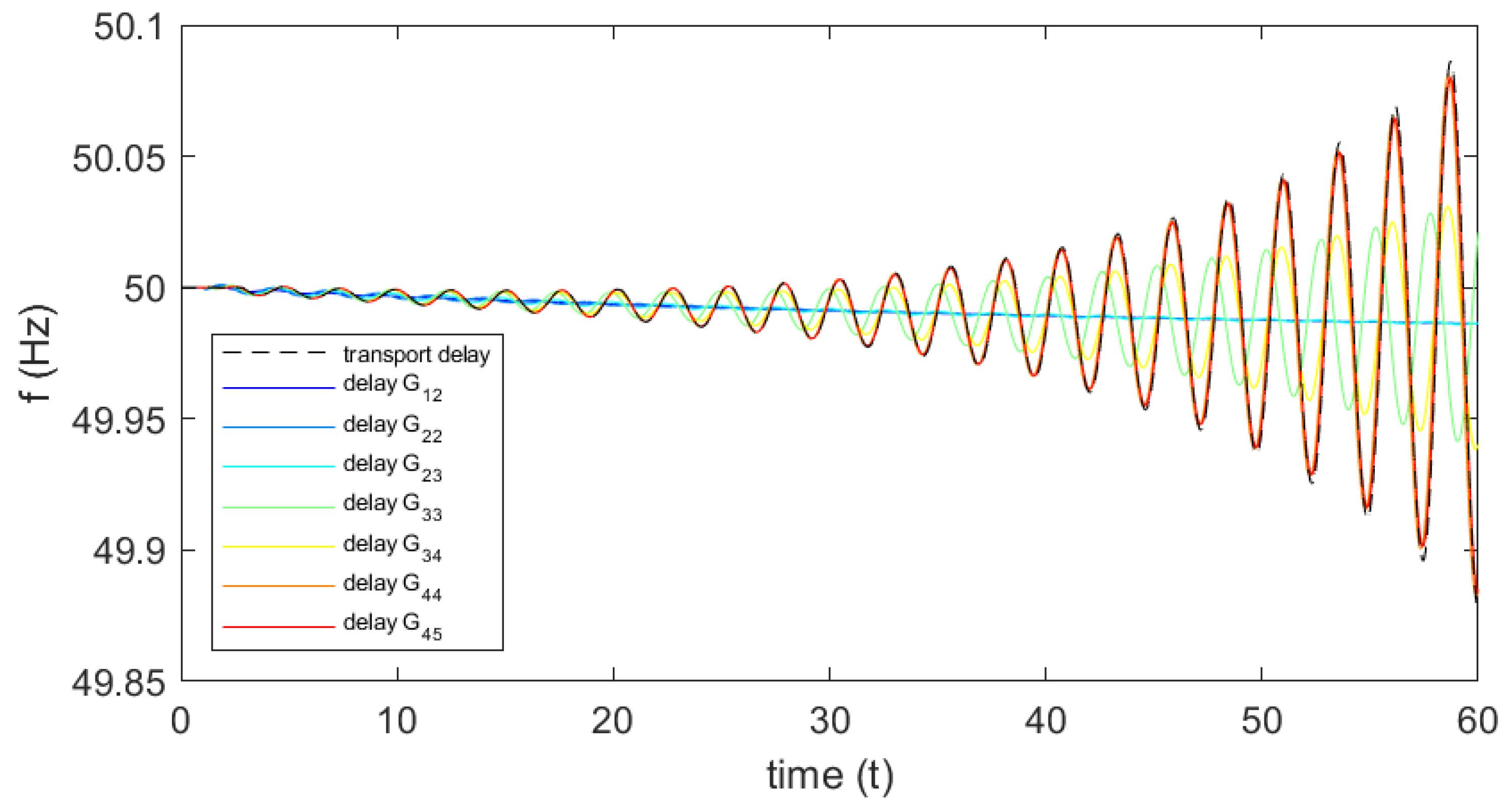
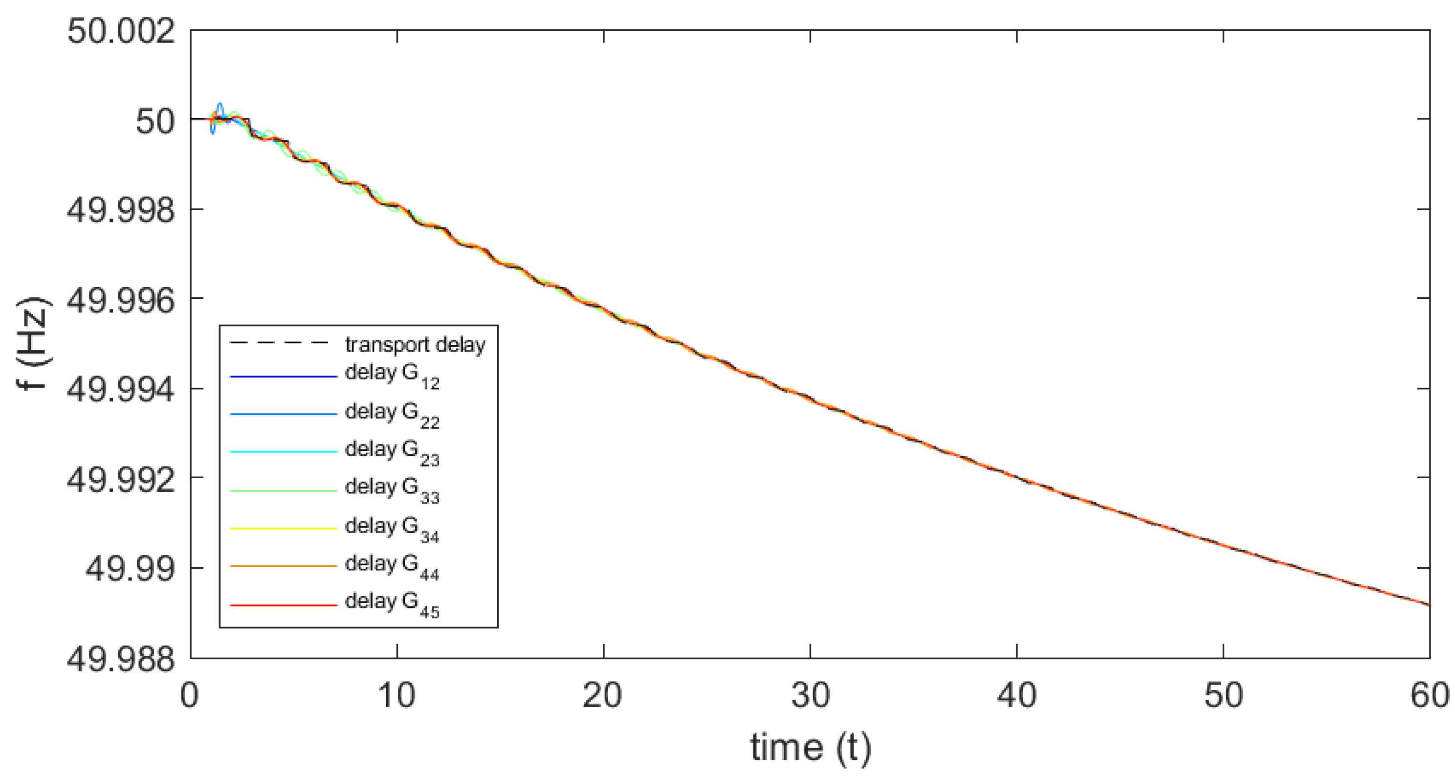
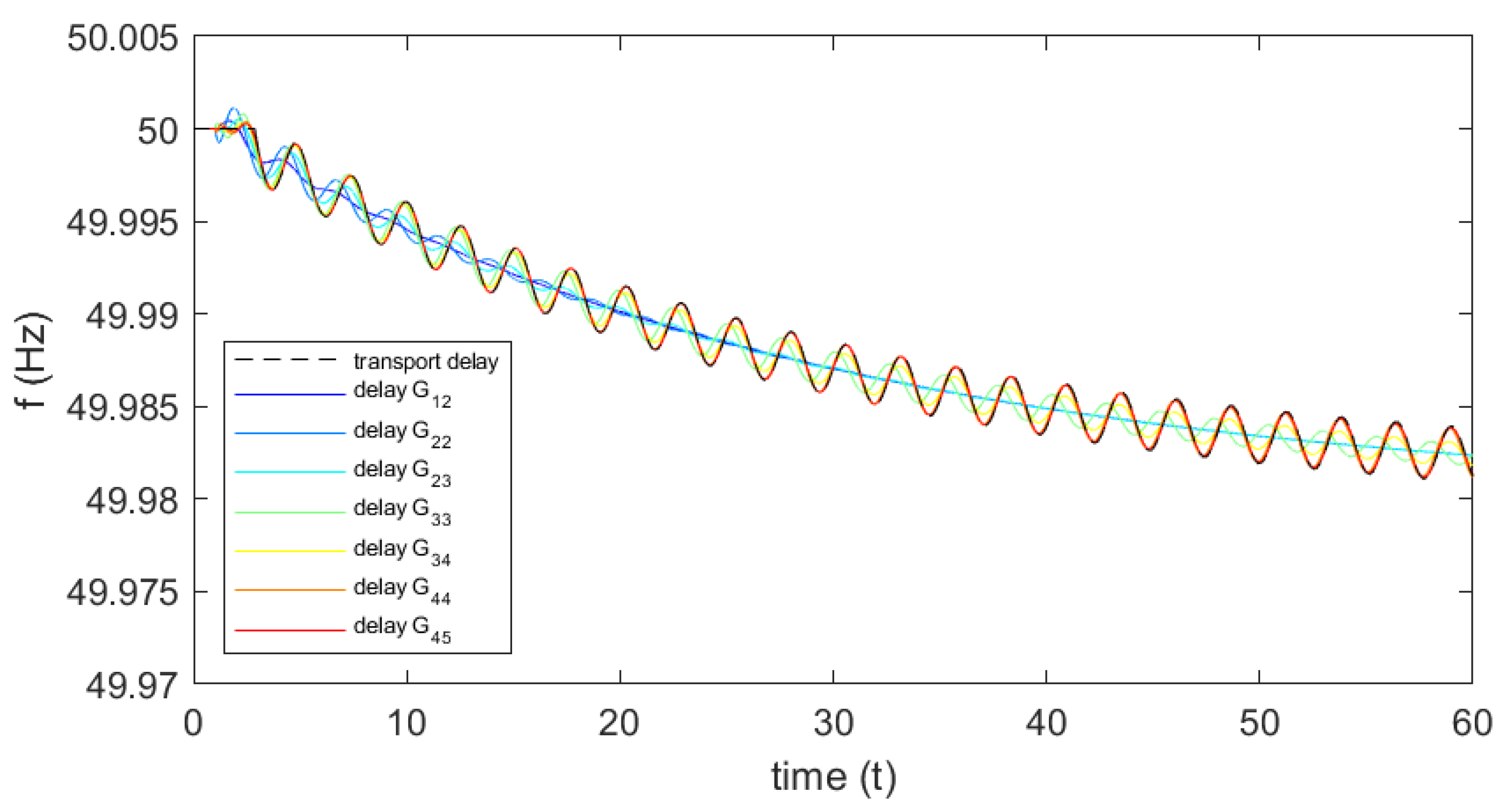
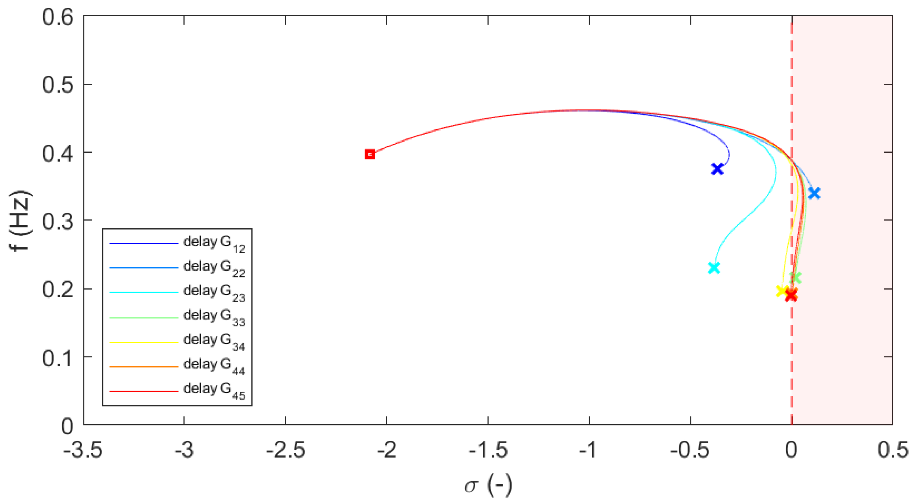
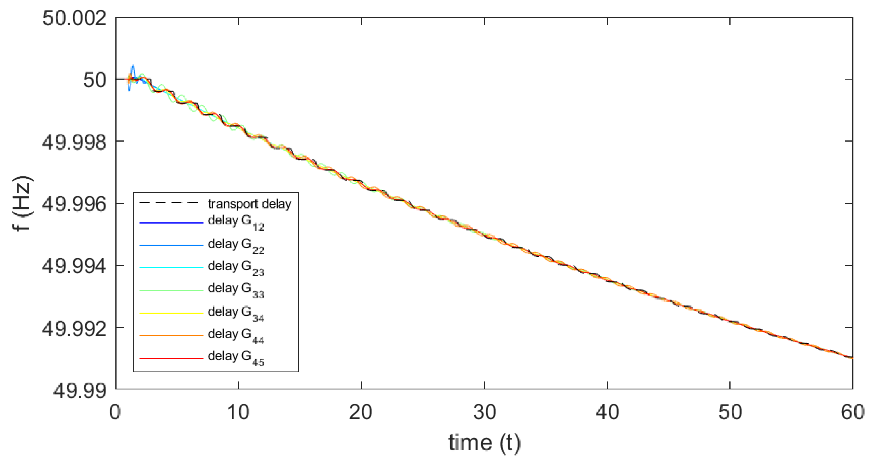
5. Numerical Experiments
- Validate the theoretical assessment, while providing a numerical example.
- Study the impact of different linear models for the latencies representation.
- Examine the sensitivity of the most relevant parameters of the system.
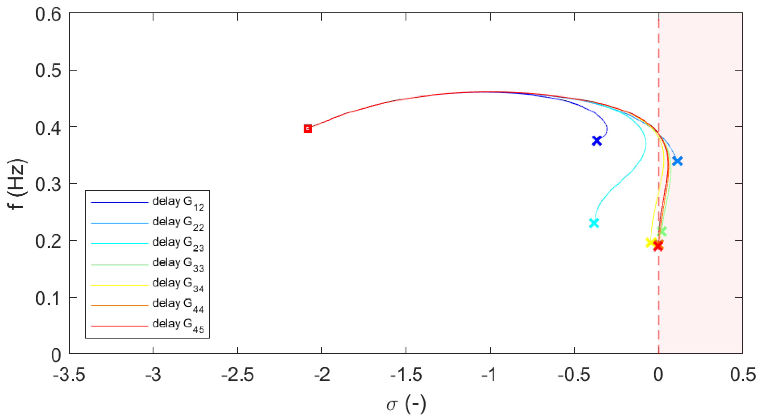
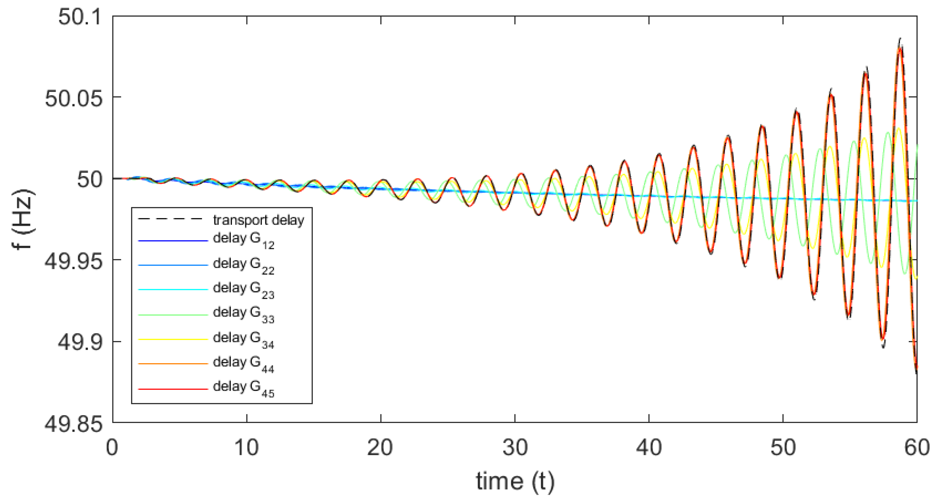
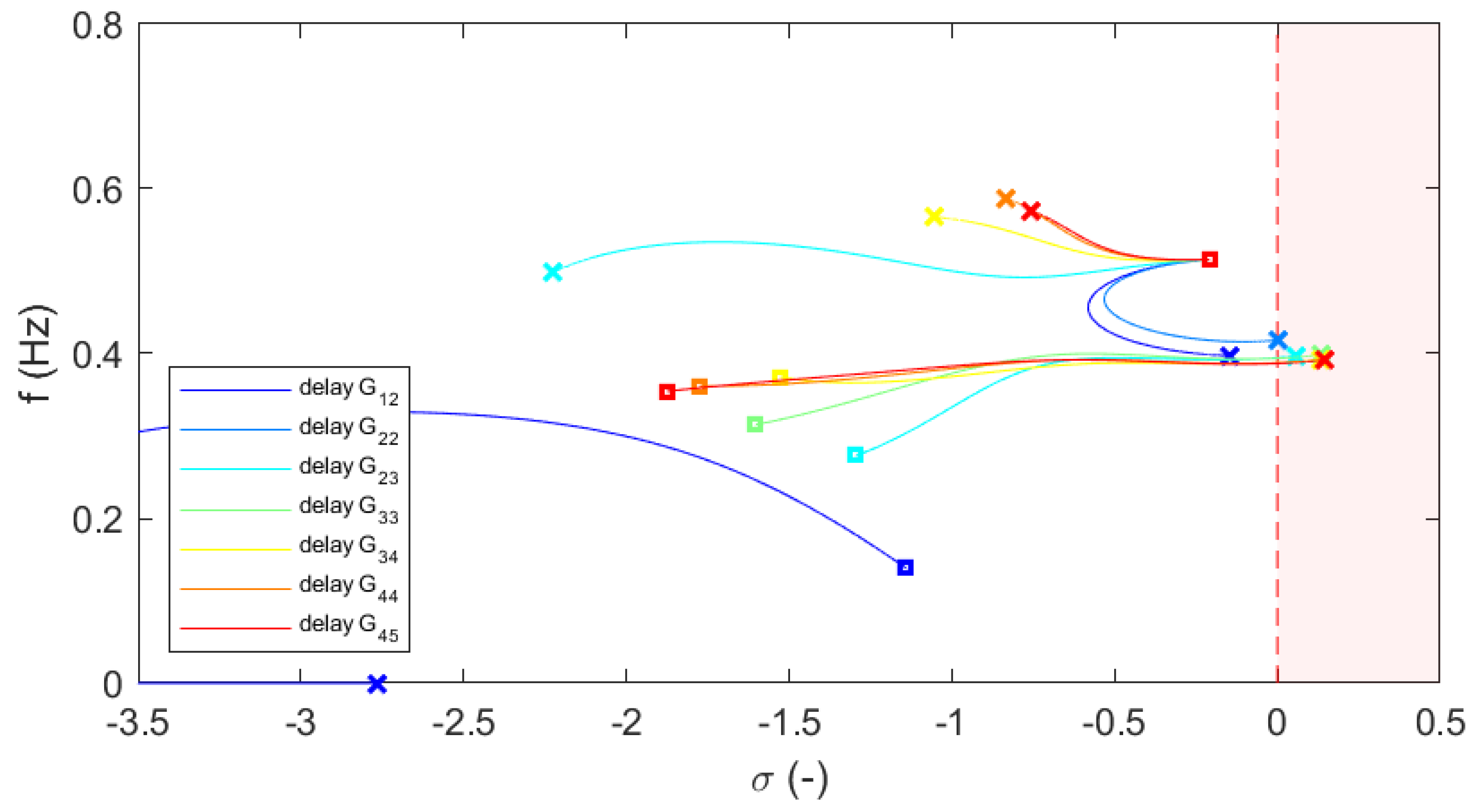
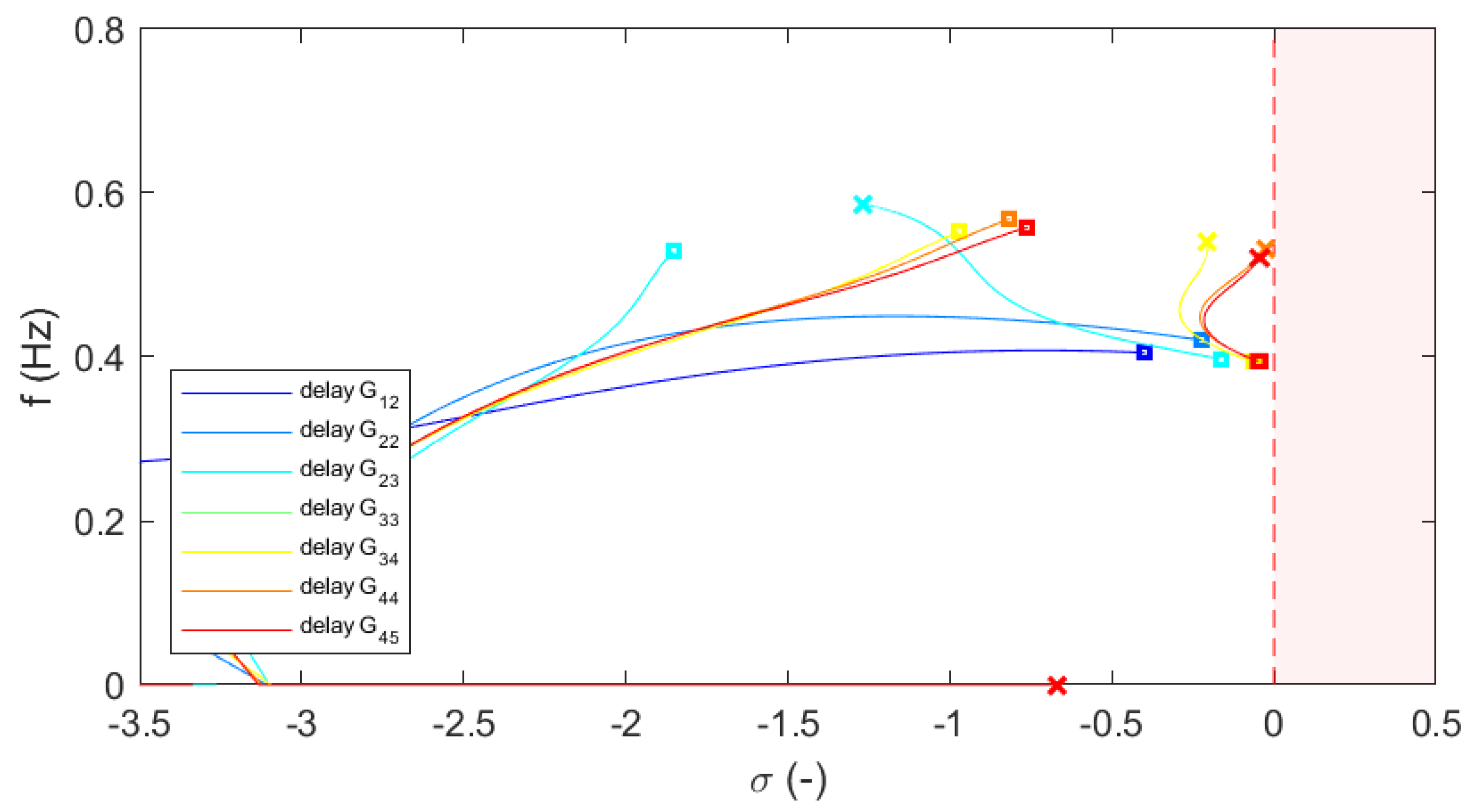
- For asymmetric WSC conditions, there is a critical delay which leads to the instability of the system. The delay representations and generally fail, since they represent a stable system for all time delays (see Figure 5).
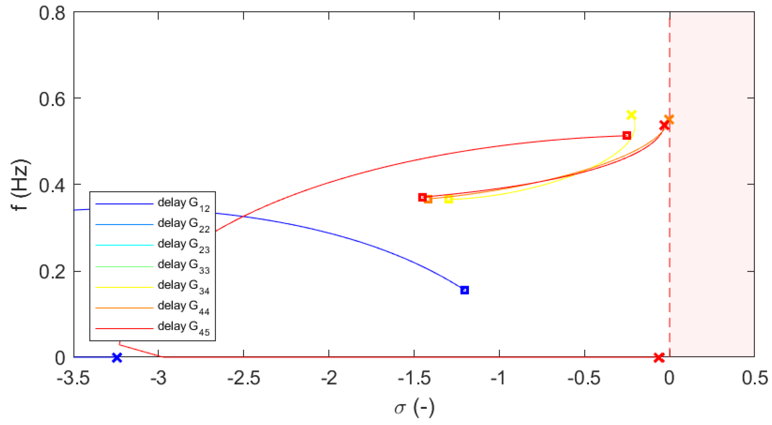
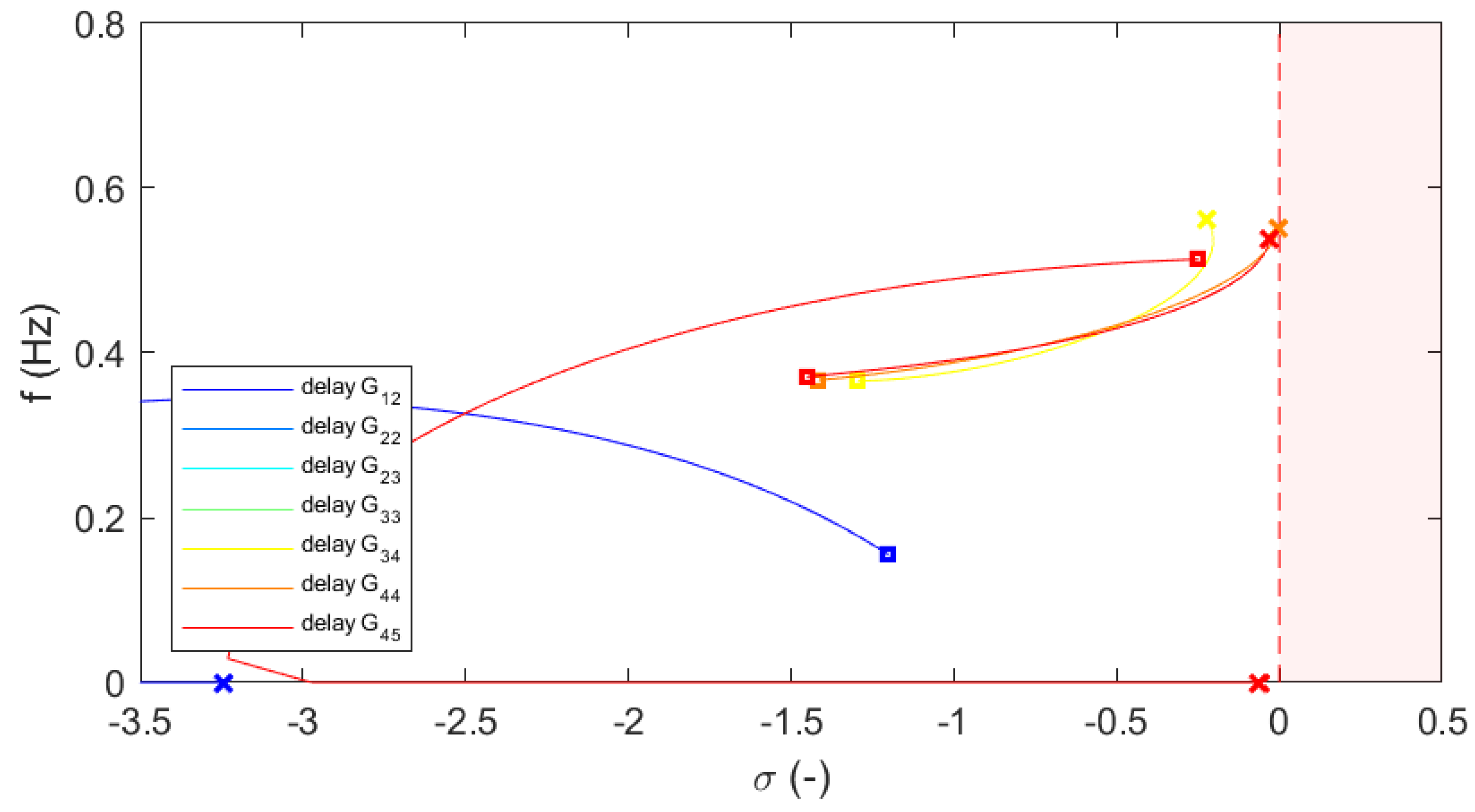
- For asymmetric WSC conditions, high values of the gain will make the system unstable. The delay representations and fail, since they do not catch the actual instability of the system (see Figure 6).
6. Conclusions
Author Contributions
Funding
Data Availability Statement
Conflicts of Interest
Appendix A
References
- Zhang, X.; Lu, C.; Liu, S.; Wang, X. A review on wide-area damping control to restrain inter-area low frequency oscillation for large-scale power systems with increasing renewable generation. Renew. Sustain. Energy Rev. 2016, 57, 45–58. [Google Scholar] [CrossRef]
- Hashmy, Y.; Yu, Z.; Shi, D.; Weng, Y. Wide-Area Measurement System-Based Low Frequency Oscillation Damping Control through Reinforcement Learning. IEEE Trans. Smart Grid 2020, 11, 5072–5083. [Google Scholar] [CrossRef]
- Musca, R.; Riva Sanseverino, E.; Guerrero, J.M.; Vasquez, J.C. Wide-Area Damping Control for Clustered Microgrids. Energies 2025, 18, 1632. [Google Scholar] [CrossRef]
- Xie, X.; Xiao, J.; Lu, C.; Han, Y. Wide-area stability control for damping interarea oscillations of interconnected power systems. IEE Proc. Gener. Transm. Distrib. 2006, 153, 507–514. [Google Scholar] [CrossRef]
- Laaksonen, H. Improvement of Power System Frequency Stability with Universal Grid-Forming Battery Energy Storages. IEEE Access 2023, 11, 10826–10841. [Google Scholar] [CrossRef]
- Lian, J.; Wang, S.; Elizondo, M.A.; Hansen, J.; Huang, R.; Fan, R.; Kirkham, H.; Marinovici, L.D.; Schoenwald, D.; Wilches-Bernal, F. Universal Wide-Area Damping Control for Mitigating Inter-area Oscillations in Power Systems. In Pacific Northwest National Laboratory Technical Report; Pacific Northwest National Lab (PNNL): Richland, WA, USA, 2017. [Google Scholar] [CrossRef]
- Kumar, A.; Bhadu, M. A Comprehensive Study of Wide-Area Damping Controller Requirements Through Real-Time Evaluation with Operational Uncertainties in Modern Power Systems. IETE J. Res. 2023, 69, 8382–8403. [Google Scholar] [CrossRef]
- Yao, W.; Jiang, L.; Wen, J.; Wu, Q.; Cheng, S. Wide-Area Damping Controller of FACTS Devices for Inter-Area Oscillations Considering Communication Time Delays. IEEE Trans. Power Syst. 2014, 29, 318–329. [Google Scholar] [CrossRef]
- Bento, M.E.C. Fixed Low-Order Wide-Area Damping Controller Considering Time Delays and Power System Operation Uncertainties. IEEE Trans. Power Syst. 2020, 35, 3918–3926. [Google Scholar] [CrossRef]
- Muyizere, D.; Letting, L.K.; Munyazikwiye, B.B. Effects of Communication Signal Delay on the Power Grid: A Review. Electronics 2022, 11, 874. [Google Scholar] [CrossRef]
- Liu, M.; Dassios, I.; Tzounas, G.; Milano, F. Stability Analysis of Power Systems with Inclusion of Realistic-Modeling WAMS Delays. IEEE Trans. Power Syst. 2019, 34, 627–636. [Google Scholar] [CrossRef]
- Darabian, M.; Bagheri, A. Design of adaptive wide-area damping controller based on delay scheduling for improving small-signal oscillations. Int. J. Electr. Power Energy Syst. 2021, 133, 107224. [Google Scholar] [CrossRef]
- Cai, G.; Yang, D.; Liu, C. Adaptive Wide-Area Damping Control Scheme for Smart Grids with Consideration of Signal Time Delay. Energies 2013, 6, 4841–4858. [Google Scholar] [CrossRef]
- Liu, Z.; Song, B.; Sun, Y.; Yang, Y. Time-varying delays and their compensation in wide-area power system stabilizer application. Int. J. Electr. Power Energy Syst. 2015, 73, 149–156. [Google Scholar] [CrossRef]
- Thyagarajan, P.; Vairakannu, S. Signal selection and latency compensation in wide area controlled power system. Energy Sci. Eng. 2025, 13, 3885–3902. [Google Scholar] [CrossRef]
- Tzounas, G.; Sipahi, R.; Milano, F. Damping Power System Electromechanical Oscillations Using Time Delays. IEEE Trans. Circuits Syst. I Regul. Pap. 2021, 68, 2725–2735. [Google Scholar] [CrossRef]
- Bento, M.E.C. A New Method to Design Resilient Wide-Area Damping Controllers for Power Systems. Energies 2025, 18, 5323. [Google Scholar] [CrossRef]
- Musca, R.; Riva Sanseverino, E.; Zizzo, G.; Giannuzzi, G.; Pisani, C. Wide-Synchronization Control for Power Systems with Grid-Forming Converters. IEEE Trans. Power Syst. 2024, 39, 4998–5007. [Google Scholar] [CrossRef]
- Ippolito, M.G.; Musca, R. A novel wide-area control for general application to inverter-based resources in power systems. Int. J. Electr. Power Energy Syst. 2024, 160, 110086. [Google Scholar] [CrossRef]
- Kundur, P.; Balu, N.J.; Lauby, M.G. Power System Stability and Control; McGraw-Hill: New York, NY, USA, 1994. [Google Scholar]
- Zhang, S.; Vittal, V. Design of Wide-Area Power System Damping Controllers Resilient to Communication Failures. IEEE Trans. Power Syst. 2013, 28, 4292–4300. [Google Scholar] [CrossRef]
- Vajta, M. Some Remarks on Padé-Approximations. In Proceedings of the 3rd TEMPUS-INTCOM Symposium, Veszprém, Hungary, 9–14 September 2000. [Google Scholar]












| Description | Symbol | Value | Unit |
|---|---|---|---|
| Area 1—Rated power | 100 | MVA | |
| Area 1—Inertia coefficient | 6 | s | |
| Area 1—Frequency droop | 0.5 | pu | |
| Area 1—Gain of WSC | 50 | pu | |
| Area 2—Rated power | 100 | MVA | |
| Area 2—Inertia coefficient | 6 | s | |
| Area 2—Frequency droop | 0.5 | pu | |
| Area 2—Gain of WSC | 0 | pu | |
| Synchronizing coefficient | 0.1 | pu | |
| Rated frequency | 50 | Hz | |
| Base power | 100 | MVA |
| Delay Representation | and | |||
|---|---|---|---|---|
| - | - | - | - | |
| 2.81 | 763.4 | - | - | |
| - | 129.9 | - | - | |
| 1.95 | 57.2 | - | - | |
| 1.95 | 55.8 | - | - | |
| 1.87 | 50.8 | - | - | |
| 1.87 | 50.5 | - | - |
Disclaimer/Publisher’s Note: The statements, opinions and data contained in all publications are solely those of the individual author(s) and contributor(s) and not of MDPI and/or the editor(s). MDPI and/or the editor(s) disclaim responsibility for any injury to people or property resulting from any ideas, methods, instructions or products referred to in the content. |
© 2025 by the authors. Licensee MDPI, Basel, Switzerland. This article is an open access article distributed under the terms and conditions of the Creative Commons Attribution (CC BY) license (https://creativecommons.org/licenses/by/4.0/).
Share and Cite
Musca, R.; Di Silvestre, M.L.; Mineo, L.; Favuzza, S. Theoretical Characterization of Latencies in the Wide-Synchronization Control for Oscillations Damping. Electricity 2025, 6, 75. https://doi.org/10.3390/electricity6040075
Musca R, Di Silvestre ML, Mineo L, Favuzza S. Theoretical Characterization of Latencies in the Wide-Synchronization Control for Oscillations Damping. Electricity. 2025; 6(4):75. https://doi.org/10.3390/electricity6040075
Chicago/Turabian StyleMusca, Rossano, Maria Luisa Di Silvestre, Liliana Mineo, and Salvatore Favuzza. 2025. "Theoretical Characterization of Latencies in the Wide-Synchronization Control for Oscillations Damping" Electricity 6, no. 4: 75. https://doi.org/10.3390/electricity6040075
APA StyleMusca, R., Di Silvestre, M. L., Mineo, L., & Favuzza, S. (2025). Theoretical Characterization of Latencies in the Wide-Synchronization Control for Oscillations Damping. Electricity, 6(4), 75. https://doi.org/10.3390/electricity6040075

