Vibration Analysis of a Centrifugal Pump with Healthy and Defective Impellers and Fault Detection Using Multi-Layer Perceptron
Abstract
1. Introduction
2. Methodology
2.1. Test Method
2.2. Multi-Layer Perceptrons
2.2.1. Training Method
2.2.2. Levenberg–Marquart Algorithm
2.3. Statical Parameters as Input Data
2.4. Training Procedure
3. Results and Discussion
3.1. Time-Domain Analysis
3.2. Frequency Domain Analysis
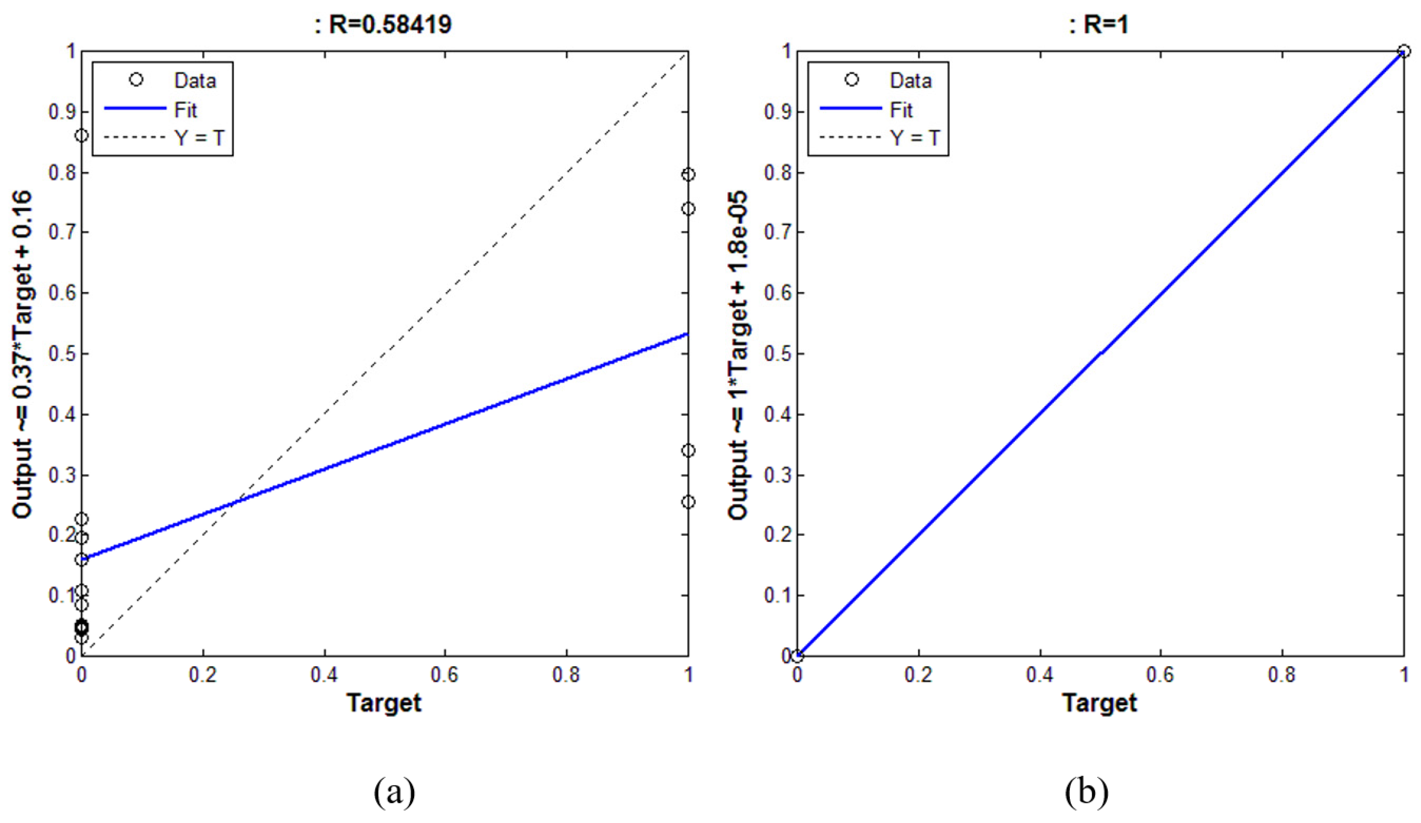
3.3. Fault Diagnosis Using ANN
4. Conclusions
Author Contributions
Funding
Institutional Review Board Statement
Informed Consent Statement
Data Availability Statement
Conflicts of Interest
Nomenclature
| ANN | Artificial neural network |
| BPF | Blade passage frequency |
| CP | Centrifugal pump |
| FNN | Feedforward neural network |
| GA | Genetic algorithm |
| LM | Levenberg–Marquardt |
| MLP | Multi-layer perceptron |
| OC | Oscilloscope card |
| PNN | Partially linearized neural network |
| RMS | Root mean square |
| SVM | Support vector machine |
| RF | shaft rotating frequency |
| WA | Wavelet analysis |
References
- Gülich, J.F. Pump Types and Performance Data. In Centrifugal Pumps; Springer: Cham, Switzerland, 2014; pp. 43–78. [Google Scholar]
- Muralidharan, V.; Sugumaran, V.; Indira, V. Fault diagnosis of monoblock centrifugal pump using svm. Eng. Sci. Technol. Int. J. 2014, 17, 152–157. [Google Scholar] [CrossRef]
- Muralidharan, V.; Sugumaran, V. A comparative study of naïve bayes classifier and bayes net classifier for fault diagnosis of monoblock centrifugal pump using wavelet analysis. Appl. Soft Comput. 2012, 12, 2023–2029. [Google Scholar] [CrossRef]
- Flett, J.; Bone, G.M. Fault detection and diagnosis of diesel engine valve trains. Mech. Syst. Signal Process. 2016, 72–73, 316–327. [Google Scholar] [CrossRef]
- Moosavian, A.; Najafi, G.; Ghobadian, B.; Mirsalim, M.; Jafari, S.M.; Sharghi, P. Piston scuffing fault and its identification in an ic engine by vibration analysis. Appl. Acoust. 2016, 102, 40–48. [Google Scholar] [CrossRef]
- Dolenc, B.; Boškoski, P.; Juričić, Đ. Distributed bearing fault diagnosis based on vibration analysis. Mech. Syst. Signal Process. 2016, 66–67, 521–532. [Google Scholar] [CrossRef]
- Orhan, S.; Aktürk, N.; Çelik, V. Vibration monitoring for defect diagnosis of rolling element bearings as a predictive maintenance tool: Comprehensive case studies. NDT E Int. 2006, 39, 293–298. [Google Scholar] [CrossRef]
- Rizal, M.; Ghani, J.A.; Nuawi, M.Z.; Haron, C.H.C. Online tool wear prediction system in the turning process using an adaptive neuro-fuzzy inference system. Appl. Soft Comput. 2013, 13, 1960–1968. [Google Scholar] [CrossRef]
- Xiang, J.; Zhong, Y.; Gao, H. Rolling element bearing fault detection using ppca and spectral kurtosis. Measurement 2015, 75, 180–191. [Google Scholar] [CrossRef]
- Gan, M.; Wang, C.; Zhu, C. Multiple-domain manifold for feature extraction in machinery fault diagnosis. Measurement 2015, 75, 76–91. [Google Scholar] [CrossRef]
- Mousmoulis, G.; Karlsen-Davies, N.; Aggidis, G.; Anagnostopoulos, I.; Papantonis, D. Experimental Analysis of Cavitation in a Centrifugal Pump Using Acoustic Emission, Vibration Measurements, and Flow Visualization. Eur. J. Mech.-B/Fluids 2019, 75, 300–311. [Google Scholar] [CrossRef]
- Al-Obaidi, A.R. Investigation of effect of pump rotational speed on performance and detection of cavitation within a centrifugal pump using vibration analysis. Heliyon 2019, 5, e01989. [Google Scholar] [CrossRef] [PubMed]
- Sun, H.; Luo, Y.; Yuan, S.; Yin, J. Hilbert spectrum analysis of unsteady characteristics in centrifugal pump operation under cavitation status. Ann. Nucl. Energy 2018, 114, 607–615. [Google Scholar] [CrossRef]
- Murovec, J.; Čurović, L.; Novaković, T.; Prezelj, J. Psychoacoustic approach for cavitation detection in centrifugal pumps. Appl. Acoust. 2020, 165, 107323. [Google Scholar] [CrossRef]
- Kumar, A.; Kumar, R. Time-frequency analysis and support vector machine in automatic detection of defect from vibration signal of centrifugal pump. Measurement 2017, 108, 119–133. [Google Scholar] [CrossRef]
- Azizi, R.; Attaran, B.; Hajnayeb, A.; Ghanbarzadeh, A.; Changizian, M. Improving accuracy of cavitation severity detection in centrifugal pumps using a hybrid feature selection technique. Measurement 2017, 108, 9–17. [Google Scholar] [CrossRef]
- Birajdar, R.; Patil, R.; Khanzode, K. Vibration and Noise in Centrifugal Pumps: Sources and Diagnosis Methods. In Proceedings of the 3rd International Conference on Integrity, Reliability and Failure, Porto, Portugal, 20–24 July 2009; Volume 81, pp. 2631–2644. [Google Scholar]
- Sakthivel, N.R.; Nair, B.; Sugumaran, V. Soft computing approach to fault diagnosis of centrifugal pump. Appl. Soft Comput. 2012, 12, 1574–1581. [Google Scholar] [CrossRef]
- Askari, A.; Alekathir, J.; Mator, F.; Rezazade, A. Troubleshooting and diagnosis of cavitation in centrifugal pump using vibration analysis and providing solution to fix it. In Proceedings of the Second Technical Conference of Monitoring and Troubleshooting, Tehran, Iran, 24 February 2008. (In Persian). [Google Scholar]
- Al-Braik, A.; Hamomd, O.; Gu, F.; Ball, A. Diagnosis of impeller faults in a centrifugal pump using vibration signals. J. Sound Vib. 2014, 78, 695–712. [Google Scholar]
- Espadafor, F.J.; Villanueva, J.B.; García, M.T.; Trujillo, E.C. Experimental and dynamic system simulation and optimization of a centrifugal pump-coupling-engine system. part 1: Failure identification. Eng. Fail. Anal. 2011, 18, 1–11. [Google Scholar] [CrossRef]
- Wang, H.; Chen, P. Intelligent diagnosis method for a centrifugal pump using features of vibration signals. Neural Comput. Appl. 2009, 18, 397–405. [Google Scholar] [CrossRef]
- Barrio, R.; Fernandez, J.; Blanco, E.; Parrondo, J. Estimation of radial load in centrifugal pumps using computational fluid dynamics. Eur. J. Mech.-B/Fluids 2011, 30, 316–324. [Google Scholar] [CrossRef]
- Casoli, P.; Pastori, M.; Scolari, F.; Rundo, M. A vibration signal-based method for fault identification and classification in hydraulic axial piston pumps. Energies 2019, 12, 953. [Google Scholar] [CrossRef]
- Casoli, P.; Bedotti, A.; Campanini, F.; Pastori, M. A methodology based on cyclostationary analysis for fault detection of hydraulic axial piston pumps. Energies 2018, 11, 1874. [Google Scholar] [CrossRef]
- Paliwal, M.; Kumar, U.A. Neural networks and statistical techniques: A review of applications. Expert Syst. Appl. 2009, 36, 2–17. [Google Scholar] [CrossRef]
- Kutlu, Y.; Kuntalp, M.; Kuntalp, D. Optimizing the performance of an mlp classifier for the automatic detection of epileptic spikes. Expert Syst. Appl. 2009, 36, 7567–7575. [Google Scholar] [CrossRef]
- Haykin, S. Neural Networks; Prentice Hall: Hoboken, NJ, USA, 1999. [Google Scholar]
- Amari, S.I. Training error, generalization error, and learning curves in neural learning. In Proceedings of the 1995 Second New Zealand International Two-Stream Conference on Artificial Neural Networks and Expert Systems, Dunedin, New Zealand, 20–23 November 1995; pp. 4–5. [Google Scholar]
- Demuth, H.; Beale, M. Neural Network Toolbox for Use with MATLAB; The MathWorks Inc.: Natick, MA, USA, 1998; pp. 10–30. [Google Scholar]
- Hagiwara, K.; Kuno, K. Regularization Learning and Early Stopping in Linear Networks. In Proceedings of the IEEE-INNS-ENNS International Joint Conference on Neural Networks. IJCNN 2000: Neural Computing: New Challenges and Perspectives for the New Millennium, Como, Italy, 27 July 2000; pp. 511–516. [Google Scholar]
- Ranganathan, A. The Levenberg-Marquardt Algorithm. Tutor. LM Algorithm 2004, 11, 101–110. [Google Scholar]
- Shankar, P.M. Probability, Random Variables, and Data Analytics with Engineering Applications; Springer: Berlin/Heidelberg, Germany, 2021; Volume 473. [Google Scholar]


















| Attribute | Testing Conditions/Remarks | Measurement Unit |
|---|---|---|
| Sensitivity | ±12 | pC/g |
| Sinusoidal limit | 1000 | g |
| Shock limit | 2000 | g |
| Operating temperature | −55–+177 | °C (°F) |
| Frequency response | 0.1–10,000 | ±1 dB Hz |
| Name | Value |
|---|---|
| Flow rate | 0–6 m3/h |
| Head | 21–29 m |
| Efficiency | 75% |
| Impeller inlet diameter | 36 mm |
| Impeller outlet diameter | 148 mm |
| Impeller outlet width | 2 mm |
| Power | 0.75 kW |
| Blade number | 6 |
| Specific speed | 58.45 |
| Flow coefficient | 0.00165 |
| Head coefficient | 0.1233 |
Disclaimer/Publisher’s Note: The statements, opinions and data contained in all publications are solely those of the individual author(s) and contributor(s) and not of MDPI and/or the editor(s). MDPI and/or the editor(s) disclaim responsibility for any injury to people or property resulting from any ideas, methods, instructions or products referred to in the content. |
© 2024 by the authors. Licensee MDPI, Basel, Switzerland. This article is an open access article distributed under the terms and conditions of the Creative Commons Attribution (CC BY) license (https://creativecommons.org/licenses/by/4.0/).
Share and Cite
Garousi, M.H.; Karimi, M.; Casoli, P.; Rundo, M.; Fallahzadeh, R. Vibration Analysis of a Centrifugal Pump with Healthy and Defective Impellers and Fault Detection Using Multi-Layer Perceptron. Eng 2024, 5, 2511-2530. https://doi.org/10.3390/eng5040131
Garousi MH, Karimi M, Casoli P, Rundo M, Fallahzadeh R. Vibration Analysis of a Centrifugal Pump with Healthy and Defective Impellers and Fault Detection Using Multi-Layer Perceptron. Eng. 2024; 5(4):2511-2530. https://doi.org/10.3390/eng5040131
Chicago/Turabian StyleGarousi, Masoud Hatami, Mahdi Karimi, Paolo Casoli, Massimo Rundo, and Rasoul Fallahzadeh. 2024. "Vibration Analysis of a Centrifugal Pump with Healthy and Defective Impellers and Fault Detection Using Multi-Layer Perceptron" Eng 5, no. 4: 2511-2530. https://doi.org/10.3390/eng5040131
APA StyleGarousi, M. H., Karimi, M., Casoli, P., Rundo, M., & Fallahzadeh, R. (2024). Vibration Analysis of a Centrifugal Pump with Healthy and Defective Impellers and Fault Detection Using Multi-Layer Perceptron. Eng, 5(4), 2511-2530. https://doi.org/10.3390/eng5040131

