Integration of p-Type PdPc and n-Type SnZnO into Hybrid Nanofibers Using Simple Chemical Route for Enhancement of Schottky Diode Efficiency
Abstract
1. Introduction
2. Material and Methodology
2.1. Materials and Reagents
2.2. Synthesis of Sn-Doped ZnO
2.3. Preparation of PdPc Compound
2.4. Preparation of PdPc:SnZnO Nanocomposite
2.5. Fabrication of Al/n-Si/PdPc/Ag and Al/n-Si/PdPc:SnZnO/Ag Schottky Diode
2.6. Characterization
3. Results and Discussion
3.1. Microstructure Analysis
3.2. Optical Analysis
3.3. I–V Characteristics in Darkness Environment
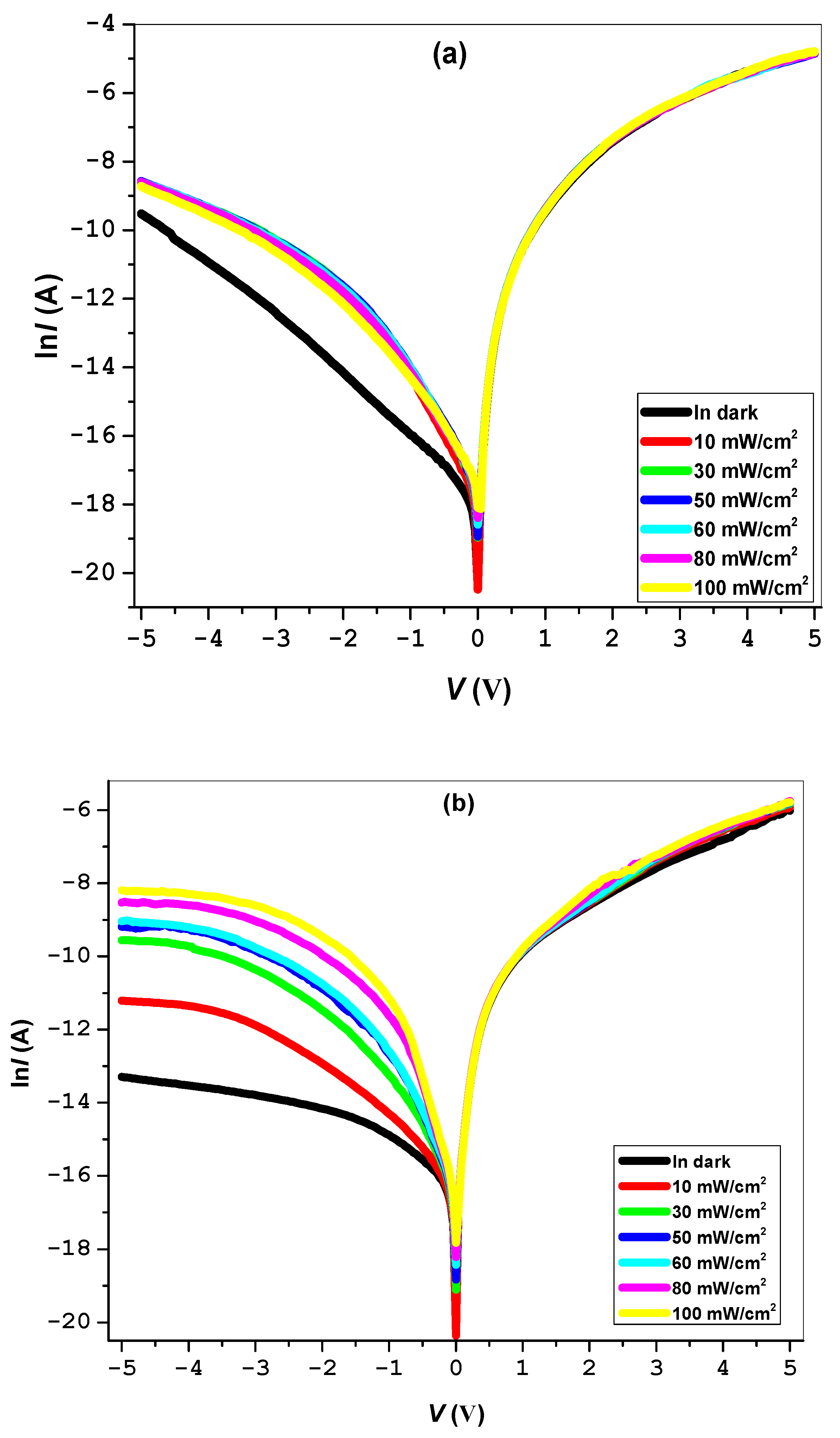
3.4. The Photodetector Characteristics
3.5. C/G–V and Rs–V Analyses
4. Conclusions
Supplementary Materials
Author Contributions
Funding
Data Availability Statement
Acknowledgments
Conflicts of Interest
References
- Tawalbeh, M.; Javed, R.M.; Al-Othman, A.; Almomani, F. Salinity gradient solar ponds hybrid systems for power generation and water desalination. Energy Convers. Manag. 2023, 289, 117180. [Google Scholar] [CrossRef]
- Tyagi, K.; Gahtori, B.; Kumar, S.; Dhakate, S.R. Advances in solar thermoelectric and photovoltaic-thermoelectric hybrid systems for power generation. Sol. Energy 2023, 254, 195–212. [Google Scholar] [CrossRef]
- Yin, J.; Lu, X. Theoretical study impurities intermediate band material based on Sn heavily doped ZnO by first principles. Superlattices Microstruct. 2020, 145, 106608. [Google Scholar] [CrossRef]
- Iqbal, M.A.; Zhai, Y.; Wang, P.; Qiu, J.; Liu, X. Enhanced ultrafast nonlinear optical response in Bi-doped ZnO glass-ceramics. Opt. Mater. 2025, 158, 116447. [Google Scholar] [CrossRef]
- Yalcin, M.; Dere, A.; Yakuphanoglu, F. ZnO-SnO2 binary oxide nanocomposite photodiode and photonic applications. Mater. Scie. Eng. B 2024, 300, 117125. [Google Scholar] [CrossRef]
- Ghanbari, N.; Zakavi, S. Photosensitizing activity of phthalocyanine derivatives dispersed on nanostructured amberlyst 15: Free base vs. metal complexes. Dye. Pigment. 2024, 224, 111999. [Google Scholar] [CrossRef]
- Jiang, T.; Ou, C.; Wang, L.; Chen, J.; Dmytro, S.; Zhang, Q.; Luo, J.; Wang, H. Electrocatalytic performance of CNTs/graphene composited rare earth phthalocyanines (M = La, Y, Yb, Sc). J. Rare Earths 2024, 42, 323–333. [Google Scholar] [CrossRef]
- Küçükgenç, O.; Agcaabat, R.; Dumludag, F.; Odabas, Z. Comparative examination of both spectral properties and hybrid solar cell application of 2,4,6-trimethoxyphenoxy substituted phthalocyanine dyes. Polyhedron 2024, 262, 117169. [Google Scholar] [CrossRef]
- Timoumi, A.; Wederni, M.A.; Bouguila, N.; Jamoussi, B.; AL Turkestani, M.K.; Chakroun, R.; Al-Mur, B. Electrical impedance spectroscopy study of unsubstituted palladium (II) phthalocyanine. Synth. Met. 2021, 272, 116659. [Google Scholar] [CrossRef]
- Mohtaram, F.; Borhani, S.; Ahmadpour, M.; Fojan, P.; Behjat, A.; Rubahn, H.; Madsen, M. Electrospun ZnO nanofiber interlayers for enhanced performance of organic photovoltaic devices. Sol. Energy 2020, 197, 311–316. [Google Scholar] [CrossRef]
- Mohammadi-Ganjgah, A.; Shaterian, M.; Bahrami, H.; Rasuli, R.; Yavari, S.; Ghasemi, R.; Parvizi, Z. Electrospun synthesis of polyaniline and titanium dioxide nanofibers as potential electrode materials in electrochemical hydrogen storage. Renew. Energy 2024, 226, 120439. [Google Scholar] [CrossRef]
- Elgazzar, E. Impact of Pd2+ and Sn4+ co-doping ZnO nanoflakes toward high-performing Schottky diode based on the generation of intermediate bands within the energy gap. J. Mater. Sci. Mater. Electron. 2024, 35, 1697. [Google Scholar] [CrossRef]
- Ghaeini, M.; Zanjanchi, M.A.; Farjood, M. Loading nano-rod cobalt phthalocyanine onto nitrogen-doped graphene and its application in photodegradation reaction under visible-light. J. Organomet. Chem. 2023, 994, 122721. [Google Scholar] [CrossRef]
- Ma, D.; Zhang, Y.; Tan, H.; Song, F.; Jia, Y.; Cui, H. Flower spherical carbon nitride/copper phthalocyanine for photocatalytic degradation of SBX under visible light. J. Mol. Struct. 2025, 1325, 141012. [Google Scholar] [CrossRef]
- Karaoglu, K.; Yüzüak, G.D.; Yüzüak, E.; Turan, H.; Akçay, H.T. Preparation and characterization of the highly efficient tetraphenylimidazole substituted Phthalocyanine/ZnO composite and investigation of its effect on the photocatalytic degradation of Rhodamine B and 2,4,6-trichlorophenol. Mater. Sci. Semicond. Process. 2024, 177, 108392. [Google Scholar] [CrossRef]
- Nikolaeva, N.S.; Klyamer, D.D.; Zharkov, S.M.; Tsygankova, A.R.; Sukhikh, A.S.; Morozova, N.B.; Basova, T.V. Heterostructures based on PdeAu nanoparticles and cobalt phthalocyanine for hydrogen chemiresistive sensors. Int. J. Hydrogen Energy 2021, 46, 19682–19692. [Google Scholar] [CrossRef]
- Li, D.; Wu, G.; Duan, J.; Liu, X.; Gang, J.; Ge, S. Solvothermal growth of manganese phthalocyanine quadrangular crystals on Mn slice in ethanediol medium. J. Sol. State Chem. 2025, 343, 125150. [Google Scholar] [CrossRef]
- Sukhikh, A.S.; Klyamer, D.D.; Parkhomenko, R.G.; Krasnov, P.O.; Gromilov, S.A.; Hassan, A.K.; Basova, T.V. Effect of fluorosubstitution on the structure of single crystals, thin films and spectral properties of palladium phthalocyanines. Dyes Pigments 2018, 149, 348–355. [Google Scholar] [CrossRef]
- Lokesh, K.S.; Adriaens, A. Synthesis and characterization of tetra-substituted palladium phthalocyanine complexes. Dyes Pigments 2013, 96, 269–277. [Google Scholar] [CrossRef]
- Gnaneswari, M.D.; Karunakaran, M.; Chandrasekar, L.B.; Leonora, J.M.; Sundaram, P.S. Chemically prepared p-type Sn doped ZnO nanoparticles: Synthesis, characterization and its antibacterial properties. J. Cryst. Growth 2024, 627, 127548. [Google Scholar] [CrossRef]
- Koçak, C.C.; Dursun, Z. Enhanced electrocatalytic oxidation of methanol on Au-Pt bimetallic particles modified copper phthalocyanine-carbon nanotube composite electrode. Mater. Sci. Eng. B 2022, 275, 115485. [Google Scholar] [CrossRef]
- Yadav, A.B.; Rawat, G.; Sannakashappanavar, B.S. A low cost Sn doped ZnO thin film based Schottky diode for UV detection. Mater. Today Commun. 2022, 31, 10375. [Google Scholar] [CrossRef]
- Tiwari, A.; Sahay, P.P. Highly c-axis oriented (Mg, Sn) co-doped ZnO thin films for optoelectronic applications. Opt. Mater. 2022, 134, 113098. [Google Scholar] [CrossRef]
- Roguai, S.; Djelloul, A. Sn doping effects on the structural, microstructural, Seebeck coefficient, and photocatalytic properties of ZnO thin films. Solid State Commun. 2022, 350, 114740. [Google Scholar] [CrossRef]
- Manjunatha, G.N.; Hojamberdiev, S.M.; Sannegowda, L.K. Nitrogen-rich palladium tetra amino-hippuric acid phthalocyanine complex and its hybrid composite with multi-walled carbon nanotubes for supercapacitor application. J. Energy Stor. 2022, 50, 104696. [Google Scholar]
- Hu, K.; Wang, F.; Yan, Y.; Liu, H.; Shen, Z. One step from nanofiber to functional hybrid structure: Pd doped ZnO/SnO2 heterojunction nanofibers with hexagonal ZnO columns for enhanced low-temperature hydrogen gas sensing. Ceram. Int. 2021, 47, 15228–15236. [Google Scholar] [CrossRef]
- Ramaripa, P.S.; Modibane, K.D.; Makgopa, K.; Seerane, O.A.; Nkadimeng, M.S.; Makhado, E.; Pandey, S. Influence of phthalocyanine nanowire dye on the performance of titanium dioxide-metal organic framework nanocomposite for dye-sensitized solar cells. Chem. Eng. J. Adv. 2023, 14, 100485. [Google Scholar] [CrossRef]
- Tang, Q.; Tan, G.; Zhang, H.; Li, H.; Xiong, Y.; Pang, D.; Ye, L.; Fang, L.; Kong, C.; Li, W. Enhanced photoresponse of self-powered ZnO-based photoelectrochemical-type UV photodetectors via Ga-doping for optical communication application. J. Alloys Compd. 2024, 972, 172864. [Google Scholar] [CrossRef]
- Khalili, S.; Chenari, H.M.; Orhan, Z.; Yıldırım, F.; Aydŏgan, S. Synthesis characterization of SnO2 nanofibers (NFs) and application of high-performing photodetectors based on SnO2 NFs/n-Si heterostructure. Sens. Actuators A Phys. 2022, 342, 113631. [Google Scholar] [CrossRef]
- Mkhondwane, S.T.; Mgidlana, S.; Openda, Y.I.; Nene, L.; Nyokong, T. Photosono catalytic behaviour of phthalocyanine when supported on electrospun nanofibers: The effect of radical initiators. Synth. Met. 2023, 299, 117484. [Google Scholar] [CrossRef]
- Al-Ghamdi, A.A.; Al-Hartomy, O.A.; El Okr, M.; Nawar, A.M.; El-Gazzar, S.; Tantawy, F.; Yakuphanoglu, F. Semiconducting properties of Al doped ZnO thin films. Spectrochim. Acta A Mol. Biomol. Spectrosc. 2014, 131, 512–517. [Google Scholar] [CrossRef] [PubMed]
- Darwish, A.A.A.; Helali, S.; Qashou, S.S.; Yahia, I.S.; El-Zaidia, E.F.M. Studying the surface morphology, linear and nonlinear optical properties of manganese (III) phthalocyanine chloride/FTO films. Phys. B Cond. Matter 2021, 622, 413355. [Google Scholar] [CrossRef]
- El-Saady, A.A.; El-Nahass, M.M.; Abdel Basset, D.M.; Roushdy, N.; Farag, A.M.M. Investigating the properties of nano crystalline beta metal-free phthalocyanine films: From molecules to optoelectronic applications. Opt. Int. J. Light Electron Opt. 2023, 292, 171403. [Google Scholar] [CrossRef]
- Timoumi, A.; Dastan, D.; Jamoussi, B.; Essalah, K.; Alsalmi, O.H.; Bouguila, N.; Abassi, H.; Chakroun, R.; Shi, R.; Ţălu, Ş. Experimental and theoretical studies on optical properties of tetra(imidazole) of palladium (II) phthalocyanine. Molecules 2022, 27, 6151. [Google Scholar] [CrossRef]
- Karanlık, C.C.; Atmaca, G.Y.; Erdogmus, A. Improved singlet oxygen yields of new palladium phthalocyanines using sonochemistry and comparisons with photochemistry. Polyhedron 2021, 206, 115351. [Google Scholar] [CrossRef]
- Babalola, A.V.; Oluwasusi, V.; Owoeye, V.A.; Emegha, J.O.; Pelemo, D.A.; Fasasi, A.Y.; Gurku, U.M.; Alayande, S.O.; Yusuf, S.; Saje, B. Effect of tin concentrations on the elemental and optical properties of zinc oxide thin films. Heliyon 2024, 10, e23190. [Google Scholar] [CrossRef]
- Kiran, M.R.; Ulla, H.; Satyanarayan, N.M.; Umesh, G. Optoelectronic properties of hybrid diodes based on vanadylphthalocyanine and zinc oxide nanorods thin films. Opt. Mater. 2018, 96, 109348. [Google Scholar] [CrossRef]
- Wang, Z.; Wang, S.; Yang, G.; Yin, Y.; Zou, X.; Hao, Y.; Wang, H.; Xu, B.; Yin, S. A simple strategy passivating ZnO electron transport layers for realizing high efficiency in organic solar cells. Surf. Interfaces 2024, 44, 103699. [Google Scholar] [CrossRef]
- Thirumoorthi, M.; Dhavud, S.S.; Ganesh, V.; Al Abdulaal, T.H.; Yahia, I.S.; Deivatamil, D. High responsivity n–ZnO/p–CuO heterojunction thin film synthesised by low-cost SILAR method for photodiode applications. Opt. Mater. 2022, 128, 112410. [Google Scholar] [CrossRef]
- Çiçek, O.; Karasüleymanŏglu, M.; Kurnaz, S.; Taşçı, A.T. Self-powered visible-UV light photodiodes based on ZnO nanorods-silicon heterojunctions with surface modification and structural enhancement. Optik/Optics 2011, 261, 169137. [Google Scholar] [CrossRef]
- Yuan, Z.; Yu, J.; Wang, N.; Jiang, Y. A hybrid photodiode with planar heterojunction structure consisting of ZnO nanoparticles and CuPc thin film. Curr. Appl. Phys. 2012, 12, 1278–1282. [Google Scholar] [CrossRef]
- Kiran, M.R.; Ulla, H.; Fernandes, J.M.; Satyanarayan, M.N.; Umesh, G. Electrical characterization of hybrid hetero interface using n-ZnO and p-CuPc. Mater. Today Proc. 2015, 2, 1230–1233. [Google Scholar] [CrossRef]
- Yakuphanoglu, F. Electronic and photovoltaic properties of Al/p-Si/copper phthalocyanine photodiode junction barrier. Sol. Energy Mater. Sol. Cells 2007, 91, 1182–1186. [Google Scholar] [CrossRef]
- Siddiq, M.A.; Sopaih, M.; Elgazzar, E. Impact of Y2O3 nanosheets on the microstructural characteristics of Alq3 prepared via the co-precipitation route for enhancement of photodiode performance. ACS Omega 2023, 8, 24883–24892. [Google Scholar] [CrossRef]
- Li, C.; Hu, Q.; Chen, Q.; Yu, W.; Xu, J.; Xu, Z. Tetrapropyl-substituted palladium phthalocyanine used as an efficient hole transport material in perovskite solar cells. Org. Electron. 2021, 88, 106018. [Google Scholar] [CrossRef]
- Lu, C.; Yu, Z.; Cao, J. Advancement in porphyrin/phthalocyanine compounds-based perovskite solar cells. Chin. J. Struct. Chem. 2024, 43, 100240. [Google Scholar] [CrossRef]
- Osama, R.; Morsy, M.; Al-Kamela, A.N.; Mahmoud, E.A.; Ashery, A.; El-Sayed, A. Stimulating photodiode characteristics of hybrid ZnPc-MWCNTs. J. Alloys Compd. 2021, 891, 161783. [Google Scholar] [CrossRef]
- Elgazzar, E. Improvement the efficacy of Al/CuPc/n-Si/Al Schottky diode based on strong light absorption and high photocarriers response. Mater. Res. Express 2020, 7, 095102. [Google Scholar] [CrossRef]
- Shchurik, E.V.; Vasil’ev, S.G.; Shestakov, A.F.; Kraevaya, O.A.; Lv, C.; Zhidkov, I.S.; Aldoshin, S.M.; Troshin, P.A. Redox-active phthalocyanine-based frameworks produced by pyrolysis: Promising electrode materials for low-cost potassium batteries. Synthet. Metals 2025, 311, 117796. [Google Scholar] [CrossRef]
- Farooq, W.A.; Elgazzar, E.; Dere, A.; Dayan, O.; Serbetci, Z.; Karabulut, A.; Atif, M.; Hanif, A. Photoelectrical characteristics of novel Ru(II) complexes based photodiode. J. Mater. Sci. Mater. Electron. 2019, 30, 5516–5525. [Google Scholar] [CrossRef]
- Mensah-Darkwa, K.; Ocaya, R.O.; Al-Sehemi, A.G.; Yeboah, D.; Dere, A.; Al-Ghamdi, A.A.; Gupta, R.K.; Yakuphanoğlu, F. Optoelectronic enhancement of ZnO/p-Si Schottky barrier photodiodes by (Sn, Ti) co-doping. Phys. B Cond. Matter 2023, 667, 415155. [Google Scholar] [CrossRef]
- Gao, Y.; Zhang, R.; Xiang, Z.; Yuan, B.; Cui, T.; Gao, Y.; Cheng, Z.; Wu, J.; Qi, Y.; Zhang, Z. Theoretical insights into photocatalytic CO2 reduction on Palladium phthalocyanine. Chem. Phys. Lett. 2022, 803, 139812. [Google Scholar] [CrossRef]
- Tejada, J.A.; Lopez-Varo, P.; Chaure, N.B.; Chambrier, I.; Cammidge, A.N.; Cook, M.J.; Jafari-Fini, A.; Ray, A.K. Organic thin film transistors using a liquid crystalline palladium phthalocyanine as active layer. J. Appl. Phys. 2018, 123, 115501. [Google Scholar] [CrossRef]
- Yoshida, Y.; Nakamura, M.; Tanaka, S.; Hiromitsu, I.; Fujita, Y.; Yoshino, K. Photovoltaic properties and inner electric field of ZnO/Zn phthalocyanine hybrid solar cells. Synthet. Metals 2006, 156, 1213–1217. [Google Scholar] [CrossRef]
- Uzar, N.; Abdulaziz, U. Investigation of structural, optical, electrical, thermoelectric and optoelectronic properties of undoped ZnO, Sb-doped ZnO and Sb–B co-doped ZnO thin films. Mater. Chem. Phys. 2024, 322, 129519. [Google Scholar] [CrossRef]
- Chu, L.; Xu, C.; Li, Z.; Nie, C. High-performance self-powered ultraviolet photodetector based on a ZnO/CuPc inorganic/organic heterojunction. RSC Adv. 2024, 14, 13361. [Google Scholar] [CrossRef] [PubMed]
- Peng, R.; Jiang, T.; Luo, Q.; Li, L.; Chen, J. CNTs/Gr composite sandwich layered rare earth phthalocyanines MPcs (M= Yb, La) used as improved energy storage behaviors for lithium-ion batteries. J. Energy Stor. 2024, 99, 113328. [Google Scholar] [CrossRef]
- Aslan, E.; Zarbali, M. Tuning of photosensitivity and optical parameters of ZnO based photodetectors by co-Sn and Ti doping. Opt. Mater. 2022, 125, 112030. [Google Scholar] [CrossRef]
- Lys, A.; Zabolotnii, V.; Čaplovicova, M.; Tepliakova, L.; Berzins, A.; Sahul, M.; Čaplovič, L.; Pogrebnjak, A.; Iatsunskyi, I.; Viter, R. Core-shell nanofibers of ZnFe2O4/ZnO for enhanced visible-light photoelectrochemical performance. J. Alloys Compd. 2024, 984, 173885. [Google Scholar] [CrossRef]
- Pavani, M.; Ashok, K.A.; Rajagopal, R.V.; Kaleemulla, S.; Jyothi, I.; Choi, C. Electrical, optical and morphological properties of Au/n–Ge heterostructures by using cobalt phthalocyanine (CoPc) interlayer. Mater. Today Commun. 2023, 35, 106360. [Google Scholar]
- Mondal, P.; Major, S.S. Dependence of diode behaviour and photoresponse of Ga-doped ZnO (GZO)/p-Si junction on the carrier concentration of GZO layer. Micro Nanostruct. 2024, 185, 207719. [Google Scholar] [CrossRef]
- Rani, A.U.; Reddy, D.S.; Kumar, A.A.; Reddy, V.R. Structural, chemical, optical, electrical and photodiode properties of Au/ZnPc/undoped-InP MPS-type diode using a ZnPc interlayer. Mater. Sci. Eng. B 2024, 305, 117436. [Google Scholar] [CrossRef]






















| Nanohybrid | D (nm) | |||
|---|---|---|---|---|
| PdPc:SnZnO | 29.50 | 11.50 | 13.15 | 41.70 |
| Schottky Diodes | Thermionic Emission (TE) Theory | Cheung–Cheung Model | Norde Function | |||||||||
|---|---|---|---|---|---|---|---|---|---|---|---|---|
| I | I | |||||||||||
| n | ||||||||||||
| Al/n-Si/PdPc/Ag Al/nSi/PdPc:SnZnO/Ag | 496 899 | 6.87 25.11 | 3.12 2.32 | 3.125 2.930 | 0.83 0.74 | 1.91 4.85 | 5.39 4.47 | 3.277 2.850 | 0.76 0.62 | 3.542 2.700 | 40.52 10.03 | 0.87 0.94 |
| Photodetector Parameters | ||||
|---|---|---|---|---|
| Schottky Photodiode | Ps | PR (A/W) | QE (%) | D* (×1010 Jones) |
| Al/n-Si/PdPc/Ag Al/n-Si/PdPc:SnZnO/Ag | 5.84 520 | 0.0057 0.20 | 0.018 0.622 | 1.80 6.76 |
| Hybrid Schottky Diode | |||
|---|---|---|---|
| Al/n-Si/PdPc:SnZnO/Ag | 1.16 | 5.10 | 1.20 |
Disclaimer/Publisher’s Note: The statements, opinions and data contained in all publications are solely those of the individual author(s) and contributor(s) and not of MDPI and/or the editor(s). MDPI and/or the editor(s) disclaim responsibility for any injury to people or property resulting from any ideas, methods, instructions or products referred to in the content. |
© 2025 by the authors. Licensee MDPI, Basel, Switzerland. This article is an open access article distributed under the terms and conditions of the Creative Commons Attribution (CC BY) license (https://creativecommons.org/licenses/by/4.0/).
Share and Cite
Al-Sayed, A.; Siddiq, M.A.; Elgazzar, E. Integration of p-Type PdPc and n-Type SnZnO into Hybrid Nanofibers Using Simple Chemical Route for Enhancement of Schottky Diode Efficiency. Physics 2025, 7, 4. https://doi.org/10.3390/physics7010004
Al-Sayed A, Siddiq MA, Elgazzar E. Integration of p-Type PdPc and n-Type SnZnO into Hybrid Nanofibers Using Simple Chemical Route for Enhancement of Schottky Diode Efficiency. Physics. 2025; 7(1):4. https://doi.org/10.3390/physics7010004
Chicago/Turabian StyleAl-Sayed, A., Miad Ali Siddiq, and Elsayed Elgazzar. 2025. "Integration of p-Type PdPc and n-Type SnZnO into Hybrid Nanofibers Using Simple Chemical Route for Enhancement of Schottky Diode Efficiency" Physics 7, no. 1: 4. https://doi.org/10.3390/physics7010004
APA StyleAl-Sayed, A., Siddiq, M. A., & Elgazzar, E. (2025). Integration of p-Type PdPc and n-Type SnZnO into Hybrid Nanofibers Using Simple Chemical Route for Enhancement of Schottky Diode Efficiency. Physics, 7(1), 4. https://doi.org/10.3390/physics7010004

