Integrated Comprehensive Characterization of Black Crusts from Milan’s Monumental Cemetery: A Synergistic Approach Combining Conventional and Unconventional Analytical Techniques
Abstract
1. Introduction
2. Materials and Methods
2.1. Scanning Electron Microscopy Coupled to Energy Dispersive X-Ray Spectroscopy
2.2. Laser-Induced Breakdown Spectroscopy
2.3. Raman Spectroscopy
2.4. Oxidative Potential Measurements
3. Results & Discussion
3.1. Morphological and Elemental Characterization with SEM-EDX
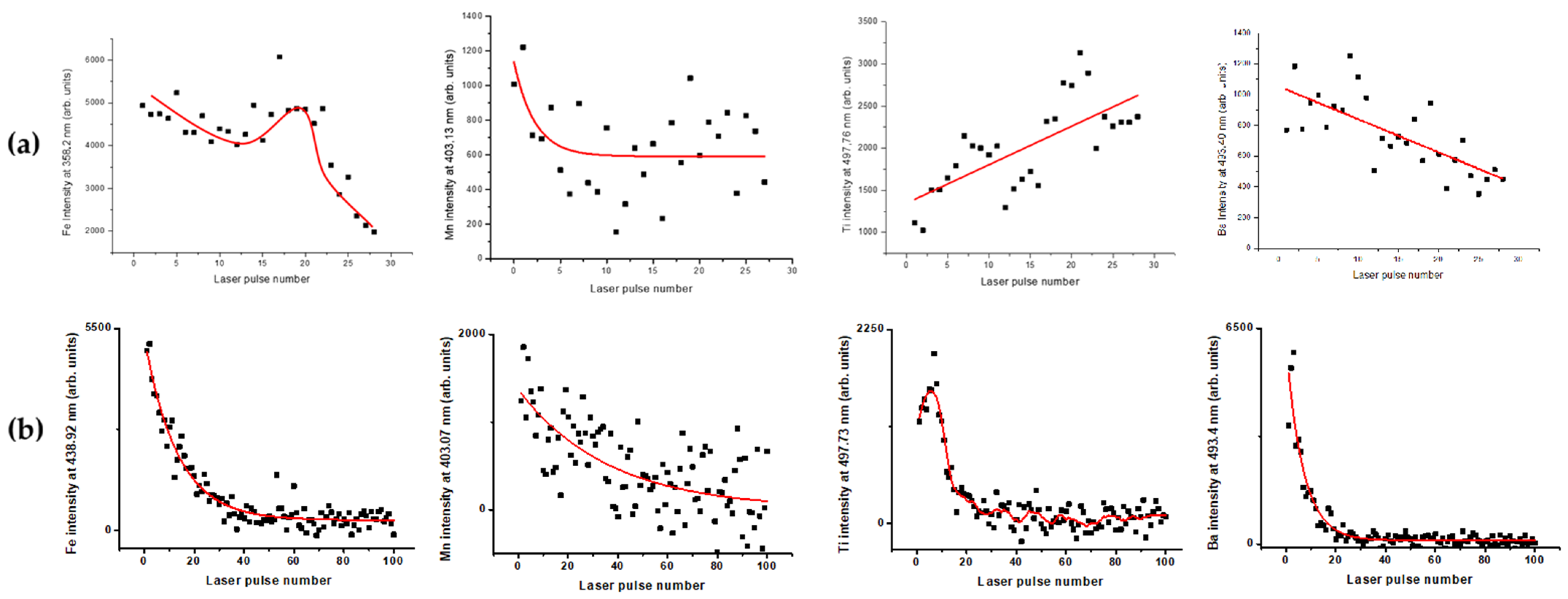
3.2. In-Depth Surface and Stratigraphic Elemental Characterization with LIBS
3.3. Mineral Phases and Their Distribution Within the Black Crusts
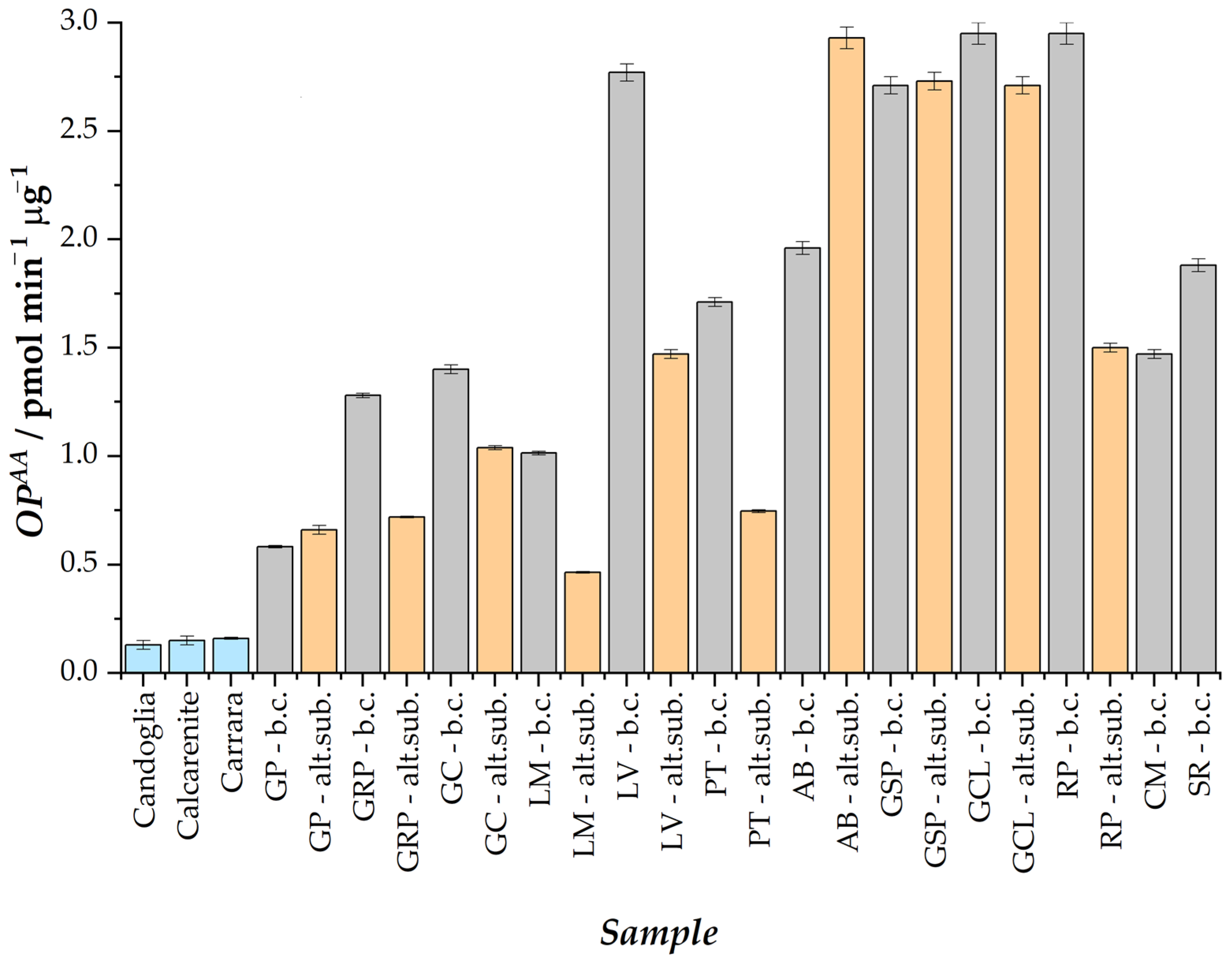
3.4. Oxidative Potential
4. Conclusions
Author Contributions
Funding
Data Availability Statement
Conflicts of Interest
References
- Maravelaki-Kalaitzaki, P. Black Crusts and Patinas on Pentelic Marble from the Parthenon and Erechtheum (Acropolis, Athens): Characterization and Origin. Anal. Chim. Acta 2005, 532, 187–198. [Google Scholar] [CrossRef]
- Islam, N.; Roy, K.; Barman, P.; Rabha, S.; Bora, H.K.; Khare, P.; Konwar, R.; Saikia, B.K. Chemical and Toxicological Studies on Black Crust Formed over Historical Monuments as a Probable Health Hazard. J. Hazard. Mater. 2024, 464, 132939. [Google Scholar] [CrossRef]
- Ausset, P.; Del Monte, M.; Lefè, R.A. Embryonic Sulphated Black Crusts on Carbonate Rocks in Atmospheric Simulation Chamber and in the Field: Role of Carbonaceous Fly-Ash. Atmos. Environ. 1999, 33, 1525–1534. [Google Scholar] [CrossRef]
- Török, Á.; Licha, T.; Simon, K.; Siegesmund, S. Urban and Rural Limestone Weathering; the Contribution of Dust to Black Crust Formation. Environ. Earth Sci. 2011, 63, 675–693. [Google Scholar] [CrossRef]
- Sabbioni, C. Contribution of Atmospheric Deposition to the Formation of Damage Layers. Sci. Total Environ. 1995, 167, 49–55. [Google Scholar] [CrossRef]
- Maravelaki-Kalaitzaki, P.; Biscontin, G. Origin, Characteristics and Morphology of Weathering Crusts on Istria Stone in Venice. Atmos. Environ. 1999, 33, 1699–1709. [Google Scholar] [CrossRef]
- Bugini, R.; Tabasso, M.L.; Realini, M. Rate of Formation of Black Crusts on Marble. A Case Study. J. Cult. Herit. 2000, 1, 111–116. [Google Scholar] [CrossRef]
- Del Monte, M.; Sabbioni, C.; Vittori, O. Airborne carbon particles and marble deterioration. Atmos. Environ. (1967) 1981, 15, 645–652. [Google Scholar] [CrossRef]
- García-Florentino, C.; Maguregui, M.; Ciantelli, C.; Sardella, A.; Bonazza, A.; Queralt, I.; Carrero, J.A.; Natali, C.; Morillas, H.; Madariaga, J.M.; et al. Deciphering Past and Present Atmospheric Metal Pollution of Urban Environments: The Role of Black Crusts Formed on Historical Constructions. J. Clean. Prod. 2020, 243, 118594. [Google Scholar] [CrossRef]
- Wang, F.; Fu, Y.; Li, D.; Huang, Y.; Wei, S. Study on the Mechanism of the Black Crust Formation on the Ancient Marble Sculptures and the Effect of Pollution in Beijing Area. Heliyon 2022, 8, e10442. [Google Scholar] [CrossRef]
- Bonazza, A.; Sabbioni, C.; Ghedini, N. Quantitative Data on Carbon Fractions in Interpretation of Black Crusts and Soiling on European Built Heritage. Atmos. Environ. 2005, 39, 2607–2618. [Google Scholar] [CrossRef]
- Bonazza, A.; Brimblecombe, P.; Grossi, C.M.; Sabbioni, C. Carbon in Black Crusts from the Tower of London. Environ. Sci. Technol. 2007, 41, 4199–4204. [Google Scholar] [CrossRef]
- Graue, B.; Siegesmund, S.; Oyhantcabal, P.; Naumann, R.; Licha, T.; Simon, K. The Effect of Air Pollution on Stone Decay: The Decay of the Drachenfels Trachyte in Industrial, Urban, and Rural Environments-a Case Study of the Cologne, Altenberg and Xanten Cathedrals. Environ. Earth Sci. 2013, 69, 1095–1124. [Google Scholar] [CrossRef]
- Barca, D.; Belfiore, C.M.; Crisci, G.M.; La Russa, M.F.; Pezzino, A.; Ruffolo, S.A. A New Methodological Ap-proach for the Chemical Characterization of Black Crusts on Building Stones: A Case Study from the Catania City Centre (Sicily, Italy). J. Anal. At. Spectrom. 2011, 26, 1000–1011. [Google Scholar] [CrossRef]
- Wilhelm, K.; Longman, J.; Orr, S.A.; Viles, H. Stone-Built Heritage as a Proxy Archive for Long-Term Historical Air Quality: A Study of Weathering Crusts on Three Generations of Stone Sculptures on Broad Street, Oxford. Sci. Total Environ. 2021, 759, 143916. [Google Scholar] [CrossRef] [PubMed]
- Rodriguez-Navarro, C.; Sebastian, E. Role of Particulate Matter from Vehicle Exhaust on Porous Building Stones (Limestone) Sulfation. Sci. Total Environ. 1996, 187, 79–91. [Google Scholar] [CrossRef]
- Morillas, H.; Maguregui, M.; García-Florentino, C.; Carrero, J.A.; Salcedo, I.; Madariaga, J.M. The Cauliflow-er-like Black Crusts on Sandstones: A Natural Passive Sampler to Evaluate the Surrounding Environmental Pollution. Environ. Res. 2016, 147, 218–232. [Google Scholar] [CrossRef]
- Macholdt, D.S.; Herrmann, S.; Jochum, K.P.; Kilcoyne, A.L.D.; Laubscher, T.; Pfisterer, J.H.K.; Pöhlker, C.; Schwager, B.; Weber, B.; Weigand, M.; et al. Black Manganese-Rich Crusts on a Gothic Cathedral. Atmos. Environ. 2017, 171, 205–220. [Google Scholar] [CrossRef]
- Calparsoro, E.; Maguregui, M.; Giakoumaki, A.; Morillas, H.; Madariaga, J.M. Evaluation of Black Crust Formation and Soiling Process on Historical Buildings from the Bilbao Metropolitan Area (North of Spain) Using SEM-EDS and Raman Microscopy. Environ. Sci. Pollut. Res. 2017, 24, 9468–9480. [Google Scholar] [CrossRef]
- Galletti, G.C.; Bocchini, P.; Cam, D.; Chiavari, G.; Mazzeo, R. Chemical Characterization of the Black Crust Present on the Stone Central Portal of St. Denis Abbey. J. Anal. Chem. 1997, 357, 1211–1214. [Google Scholar] [CrossRef]
- Hatir, M.E.; Ince, I.; Hatir, A.E. The Effect of Particulate Matter (PM2.5 and PM10) on Human Health and Cultural Heritage in the Historical City Centre of Konya. Sadhana 2025, 50, 219. [Google Scholar] [CrossRef]
- Kumar, G.; Rusin, L.; Nagar, P.K.; Manjul, S.K.; Back, M.; Benedetti, A.; Gurjar, B.R.; Ojha, C.S.P.; Sharma, M.; Balliana, E. Characterization of Red Sandstone and Black Crust to Analyze Air Pollution Impacts on a Cultural Heritage Building: Red Fort, Delhi, India. Heritage 2025, 8, 236. [Google Scholar] [CrossRef]
- Bergomi, A.; Comite, V.; Contardi, C.; Carmona-Quiroga, P.M.; Maestro-Guijarro, L.; Oujja, M.; Crespo, A.; Sanchez-Cortes, S.; Lombardi, C.A.; Borelli, M.; et al. Assessing the Use of Laser Induced Breakdown Spectroscopy for the Stratigraphic Analysis of Black Crusts. In Proceedings of the 2024 IEEE International Conference on Metrology for Archaeology and Cultural Heritage, La Valletta, Malta, 7–9 October 2024. [Google Scholar]
- Bergomi, A.; Comite, V.; Della Pina, C.; Carmona-Quiroga, P.M.; Maestro-Guijarro, L.; Oujja, M.; Crespo, A.; Lombardi, C.A.; Borelli, M.; Castillejo, M.; et al. Surface and Stratigraphic Analysis of Black Crusts Using Laser Induced Breakdown Spectroscopy. In Proceedings of the 2023 IMEKO TC-4 International Conference on Metrology for Archaeology and Cultural Heritage, Rome, Italy, 19–21 October 2023. [Google Scholar]
- Senesi, G.S.; Carrara, I.; Nicolodelli, G.; Milori, D.M.B.P.; De Pascale, O. Laser Cleaning and Laser-Induced Breakdown Spectroscopy Applied in Removing and Characterizing Black Crusts from Limestones of Castello Svevo, Bari, Italy: A Case Study. Microchem. J. 2016, 124, 296–305. [Google Scholar] [CrossRef]
- Maravelaki-Kalaitzaki, P.; Anglos, D.; Kilikoglou, V.; Zafiropulos, V. Compositional Characterization of Encrustation on Marble with Laser Induced Breakdown Spectroscopy. Spectrochim. Acta Part B At. Spectrosc. 2001, 56, 887–903. [Google Scholar] [CrossRef]
- Oujja, M.; Rebollar, E.; Castillejo, M.; Domingo, C.; Cirujano, C.; Guerra-Librero, F. Laser Cleaning of Terracotta Decorations of the Portal of Palos of the Cathedral of Seville. J. Cult. Herit. 2005, 6, 321–327. [Google Scholar] [CrossRef]
- Potgieter-Vermaak, S.S.; Godoi, R.H.M.; Van Grieken, R.; Potgieter, J.H.; Oujja, M.; Castillejo, M. Micro-Structural Characterization of Black Crust and Laser Cleaning of Building Stones by Micro-Raman and SEM Techniques. Spectrochim. Acta Part A Mol. Biomol. Spectrosc. 2005, 61, 2460–2467. [Google Scholar] [CrossRef]
- Bergomi, A.; Carrara, E.; Festa, E.; Colombi, C.; Cuccia, E.; Biffi, B.; Comite, V.; Fermo, P. Optimization and Application of Analytical Assays for the Determination of Oxidative Potential of Outdoor and Indoor Particulate Matter. Atmosphere 2024, 15, 772. [Google Scholar] [CrossRef]
- Molina, C.; Manzano, C.A.; Toro, A.R.; Leiva, G.M.A. The Oxidative Potential of Airborne Particulate Matter in Two Urban Areas of Chile: More than Meets the Eye. Environ. Int. 2023, 173, 107866. [Google Scholar] [CrossRef]
- Pietrogrande, M.C.; Russo, M.; Zagatti, E. Review of PM Oxidative Potential Measured with Acellular Assays in Urban and Rural Sites across Italy. Atmosphere 2019, 10, 626. [Google Scholar] [CrossRef]
- Pietrogrande, M.C.; Bertoli, I.; Manarini, F.; Russo, M. Ascorbate Assay as a Measure of Oxidative Potential for Ambient Particles: Evidence for the Importance of Cell-Free Surrogate Lung Fluid Composition. Atmos. Environ. 2019, 211, 103–112. [Google Scholar] [CrossRef]
- Visentin, M.; Pagnoni, A.; Sarti, E.; Pietrogrande, M.C. Urban PM2.5 Oxidative Potential: Importance of Chemical Species and Comparison of Two Spectrophotometric Cell-Free Assays. Environ. Pollut. 2016, 219, 72–79. [Google Scholar] [CrossRef]
- European Parliament; Council of the European Union. Directive (EU) 2024/2881 of 13 September 2024 on ambient air quality and cleaner air for Europe. Off. J. Eur. Union 2024, L 202, 1–45. Available online: https://eur-lex.europa.eu/legal-content/EN/TXT/?uri=CELEX:32024L2881 (accessed on 24 September 2025).
- Terzi, E.; Argyropoulos, G.; Bougatioti, A.; Mihalopoulos, N.; Nikolaou, K.; Samara, C. Chemical Composition and Mass Closure of Ambient PM10 at Urban Sites. Atmos. Environ. 2010, 44, 2231–2239. [Google Scholar] [CrossRef]
- Fussell, J.C.; Franklin, M.; Green, D.C.; Gustafsson, M.; Harrison, R.M.; Hicks, W.; Kelly, F.J.; Kishta, F.; Miller, M.R.; Mudway, I.S.; et al. A Review of Road Traffic-Derived Non-Exhaust Particles: Emissions, Physico-chemical Characteristics, Health Risks, and Mitigation Measures. Environ. Sci. Technol. 2022, 56, 6813–6835. [Google Scholar] [CrossRef] [PubMed]
- Reizer, M.; Calzolai, G.; MacIejewska, K.; Orza, J.A.G.; Carraresi, L.; Lucarelli, F.; Juda-Rezler, K. Measurement Report: Receptor Modeling for Source Identification of Urban Fine and Coarse Particulate Matter Using Hourly Elemental Composition. Atmos. Chem. Phys. 2021, 21, 14471–14492. [Google Scholar] [CrossRef]
- Legrand, M.; McConnell, J.R.; Bergametti, G.; Preunkert, S.; Chellman, N.; Desboeufs, K.; Lestel, L.; Plach, A.; Stohl, A. Alpine-Ice Record of Bismuth Pollution Implies a Major Role of Military Use during World War II. Sci. Rep. 2023, 13, 1166. [Google Scholar] [CrossRef]
- Fermo, P.; Goidanich, S.; Comite, V.; Toniolo, L.; Gulotta, D. Study and Characterization of Environmental Deposition on Marble and Surrogate Substrates at a Monumental Heritage Site. Geosciences 2018, 8, 349. [Google Scholar] [CrossRef]
- Comite, V.; Fermo, P. The Effects of Air Pollution on Cultural Heritage: The Case Study of Santa Maria Delle Grazie al Naviglio Grande (Milan)⋆. Eur. Phys. J. Plus 2018, 133, 556. [Google Scholar] [CrossRef]
- Loveluck, C.P.; McCormick, M.; Spaulding, N.E.; Clifford, H.; Handley, M.J.; Hartman, L.; Hoffmann, H.; Korotkikh, E.V.; Kurbatov, A.V.; More, A.F.; et al. Alpine Ice-Core Evidence for the Transformation of the European Monetary System, AD 640–670. Antiquity 2018, 92, 1571–1585. [Google Scholar] [CrossRef]
- Grigoratos, T.; Martini, G. Brake Wear Particle Emissions: A Review. Environ. Sci. Pollut. Res. 2015, 22, 2491–2504. [Google Scholar] [CrossRef]
- Slezakova, K.; Castro, D.; Begonha, A.; Delerue-Matos, C.; da Conceição Alvim-Ferraz, M.; Morais, S.; do Carmo Pereira, M. Air Pollution from Traffic Emissions in Oporto, Portugal: Health and Environmental Implications. Microchem. J. 2011, 99, 51–59. [Google Scholar] [CrossRef]
- Bukowiecki, N.; Gehrig, R.; Hill, M.; Lienemann, P.; Zwicky, C.N.; Buchmann, B.; Weingartner, E.; Balten-sperger, U. Iron, Manganese and Copper Emitted by Cargo and Passenger Trains in Zürich (Switzerland): Size-Segregated Mass Concentrations in Ambient Air. Atmos. Environ. 2007, 41, 878–889. [Google Scholar] [CrossRef]
- Fridell, E.; Ferm, M.; Ekberg, A. Emissions of Particulate Matters from Railways—Emission Factors and Condition Monitoring. Transp. Res. Part D Transp. Environ. 2010, 15, 240–245. [Google Scholar] [CrossRef]
- Fruhwirt, D.; Sturm, P.; Nöst, T.; Leonhardt, P.; Bode, G.; Michael, S.; Rodler, J. PM Emissions from Railways—Results of Tests on a Wheel-Rail Test Bench. Transp. Res. Part D Transp. Environ. 2023, 122, 103858. [Google Scholar] [CrossRef]
- Hildemann, L.M.; Klinedinst, D.B.; Klouda, G.A.; Currie, L.A.; Cass, G.R. Sources of Urban Contemporary Carbon Aerosol. Environ. Sci. Technol. 1994, 28, 1565–1576. [Google Scholar] [CrossRef] [PubMed]
- Sadezky, A.; Muckenhuber, H.; Grothe, H.; Niessner, R.; Pöschl, U. Raman Microspectroscopy of Soot and Related Carbonaceous Materials: Spectral Analysis and Structural Information. Carbon 2005, 43, 1731–1742. [Google Scholar] [CrossRef]
- Ricciardi, M.; Faggiano, A.; Pironti, C.; Motta, O.; Carotenuto, M.; Comite, V.; Fermo, P.; Proto, A. Analysis of PAHs (Polycyclic Aromatic Hydrocarbons) and Other Main Components in Black Crusts Collected from the Monumental Cemetery of Milan (Italy). In Proceedings of the 2021 International Conference on Metrology for Archaeology and Cultural Heritage (MetroArchaeo 2021), Milan, Italy, 20–22 October 2021; Institute of Physics: London, UK, 2022; Volume 2204. [Google Scholar]
- Santiago Pozo-Antonio, J.; Cardell, C.; Comite, V.; Fermo, P. Characterization of Black Crusts Developed on Historic Stones with Diverse Mineralogy under Different Air Quality Environments. Environ. Sci. Pollut. Res. 2022, 29, 29438–29454. [Google Scholar] [CrossRef]
- Rao, L.; Zhang, L.; Wang, X.; Xie, T.; Zhou, S.; Lu, S.; Liu, X.; Lu, H.; Xiao, K.; Wang, W.; et al. Oxidative Potential Induced by Ambient Particulate Matters with Acellular Assays: A Review. Processes 2020, 8, 1410. [Google Scholar] [CrossRef]
- Janssen, N.A.H.; Yang, A.; Strak, M.; Steenhof, M.; Hellack, B.; Gerlofs-Nijland, M.E.; Kuhlbusch, T.; Kelly, F.; Harrison, R.; Brunekreef, B.; et al. Oxidative Potential of Particulate Matter Collected at Sites with Different Source Characteristics. Sci. Total Environ. 2014, 472, 572–581. [Google Scholar] [CrossRef]
- Jiang, H.; Sabbir Ahmed, C.M.; Canchola, A.; Chen, J.Y.; Lin, Y.H. Use of Dithiothreitol Assay to Evaluate the Oxidative Potential of Atmospheric Aerosols. Atmosphere 2019, 10, 571. [Google Scholar] [CrossRef]












| Sample | Gallery | Section | Date |
|---|---|---|---|
| GS | Western, Upper | AB | 1873 |
| EP | Western, Upper | AB | 1924 |
| LP | Western, Upper | B | 1884 |
| AF | Western, Upper | B | 1878 |
| GRP | Western, Upper | BG | 1903 |
| LM | Western, Upper | AB | 1911 |
| GP | Western, Upper | AB | 1893 |
| RP | Western, Upper | BC | 1887 |
| GC | Western, Upper | BC | 1909 |
| FR | Western, Upper | B | 1865 |
| CM | Western, Upper | Balcony | 1869 |
| LV | Western, Lower | AB | 1870 |
| SR | Western, Garden | D | 1869 |
| AB | Western, Upper | AB | 1940 |
| GCL | Western, Upper | C | 1913 |
| GSP | Western, Upper | BG | 1874 |
| PT | Western, Upper | BC | 1876 |
| Sample | C | O | Mg | Al | Si | S | Cl | K | Ca | Ti | Zn | Pb | Bi | F | Na | V | Fe | P | Cr | Co |
|---|---|---|---|---|---|---|---|---|---|---|---|---|---|---|---|---|---|---|---|---|
| AF | 1.00 | 1.00 | 0.90 | 0.71 | 1.00 | 1.00 | 0.92 | 0.39 | 1.00 | 0.77 | 0.02 | 0.26 | 0.53 | 0.08 | 0.75 | 0.01 | 0.39 | 0.02 | 0.01 | 0.01 |
| EP | 1.00 | 1.00 | 1.00 | 1.00 | 1.00 | 1.00 | 0.79 | 0.84 | 1.00 | 0.21 | 0.29 | 0.21 | n.d. | n.d. | 0.47 | 0.13 | 1.00 | 0.40 | 0.08 | 0.03 |
| GRP | 1.00 | 1.00 | 0.54 | 0.63 | 1.00 | 1.00 | 0.73 | 0.19 | 1.00 | 0.17 | 0.08 | 0.31 | 0.33 | n.d. | 0.08 | 0.04 | 0.42 | 0.10 | 0.08 | n.d. |
| GS | 1.00 | 1.00 | 0.77 | 1.00 | 1.00 | 1.00 | 0.77 | 0.72 | 1.00 | 0.24 | 0.27 | 0.23 | n.d. | 0.05 | 0.62 | 0.01 | 0.97 | 0.41 | 0.05 | 0.04 |
| LP | 1.00 | 1.00 | 0.81 | 0.88 | 1.00 | 1.00 | 0.88 | 0.71 | 1.00 | 0.35 | 0.08 | 0.06 | 0.13 | 0.21 | 0.48 | n.d. | 0.79 | 0.13 | 0.04 | 0.08 |
| CM | 1.00 | 1.00 | 0.91 | 0.45 | 0.82 | 0.73 | 0.09 | 0.24 | 1.00 | 0.03 | n.d. | 0.03 | n.d. | n.d. | 0.12 | n.d. | 0.36 | 0.06 | 0.03 | n.d. |
| FR | 1.00 | 1.00 | 1.00 | 1.00 | 1.00 | 0.70 | 0.36 | 0.42 | 1.00 | 0.03 | 0.21 | 0.03 | n.d. | n.d. | 0.03 | 0.03 | 0.97 | 0.24 | n.d. | n.d. |
| GP | 1.00 | 1.00 | 0.42 | 1.00 | 1.00 | 0.74 | 0.29 | 0.32 | 1.00 | 0.03 | n.d. | n.d. | n.d. | 0.32 | 0.10 | n.d. | 0.45 | 0.10 | 0.06 | n.d. |
| GC | 1.00 | 1.00 | 0.53 | 1.00 | 1.00 | 0.59 | 0.50 | 0.44 | 1.00 | 0.18 | 0.09 | 0.03 | n.d. | 0.06 | 0.41 | 0.06 | 0.65 | 0.29 | n.d. | n.d. |
| LM | 1.00 | 1.00 | 0.27 | 1.00 | 1.00 | 0.89 | 0.26 | 0.18 | 1.00 | 0.08 | 0.05 | 0.02 | n.d. | 0.02 | 0.12 | n.d. | 0.95 | 0.30 | n.d. | n.d. |
| LV | 1.00 | 1.00 | 0.43 | 0.99 | 0.96 | 0.81 | 0.28 | 0.10 | 1.00 | 0.06 | 0.01 | 0.06 | n.d. | 0.07 | 0.12 | n.d. | 0.34 | 0.21 | n.d. | n.d. |
| RP | 1.00 | 1.00 | 0.63 | 0.97 | 0.95 | 0.91 | 0.45 | 0.45 | 1.00 | 0.03 | 0.06 | 0.06 | n.d. | 0.12 | 0.32 | n.d. | 0.77 | 0.18 | 0.03 | n.d. |
| SR | 1.00 | 1.00 | 0.57 | 1.00 | 1.00 | 1.00 | 0.71 | 0.80 | 1.00 | 0.14 | n.d. | 0.06 | n.d. | n.d. | 0.84 | 0.06 | 0.73 | 0.31 | n.d. | n.d. |
| Sample | Mn | Sn | Cu | Ba | Sc | Ag | Cd | Sr | Sb | In | Ni | As | Pd | Pt | Au | Br | Hg |
|---|---|---|---|---|---|---|---|---|---|---|---|---|---|---|---|---|---|
| AF | n.d. | n.d. | n.d. | n.d. | n.d. | n.d. | n.d. | n.d. | n.d. | n.d. | n.d. | n.d. | n.d. | n.d. | n.d. | n.d. | n.d. |
| EP | 0.40 | 0.05 | 0.05 | 0.06 | 0.02 | 0.02 | n.d. | n.d. | 0.02 | n.d. | n.d. | n.d. | n.d. | n.d. | n.d. | n.d. | n.d. |
| GRP | 0.08 | 0.04 | 0.17 | 0.15 | 0.02 | 0.04 | 0.02 | 0.02 | n.d. | n.d. | 0.04 | n.d. | n.d. | n.d. | n.d. | n.d. | n.d. |
| GS | 0.21 | 0.05 | 0.08 | 0.21 | n.d. | n.d. | n.d. | 0.08 | 0.04 | 0.01 | n.d. | 0.01 | n.d. | n.d. | n.d. | n.d. | n.d. |
| LP | 0.10 | 0.06 | 0.08 | 0.25 | n.d. | n.d. | n.d. | n.d. | n.d. | 0.02 | 0.02 | n.d. | 0.02 | 0.02 | 0.02 | 0.02 | n.d. |
| CM | n.d. | n.d. | n.d. | 0.09 | n.d. | n.d. | n.d. | 0.03 | n.d. | n.d. | n.d. | n.d. | n.d. | n.d. | n.d. | n.d. | n.d. |
| FR | 0.12 | n.d. | n.d. | 0.21 | n.d. | n.d. | n.d. | 0.03 | n.d. | n.d. | n.d. | n.d. | n.d. | n.d. | n.d. | n.d. | n.d. |
| GP | n.d. | 0.10 | 0.19 | 0.19 | n.d. | n.d. | n.d. | 0.03 | n.d. | n.d. | n.d. | n.d. | n.d. | n.d. | n.d. | n.d. | n.d. |
| GC | 0.06 | 0.03 | 0.06 | 0.03 | n.d. | n.d. | n.d. | n.d. | n.d. | n.d. | 0.06 | n.d. | n.d. | n.d. | n.d. | n.d. | n.d. |
| LM | 0.04 | 0.02 | 0.02 | 0.09 | n.d. | n.d. | n.d. | n.d. | n.d. | n.d. | n.d. | n.d. | n.d. | n.d. | n.d. | n.d. | n.d. |
| LV | 0.03 | 0.01 | n.d. | 0.49 | n.d. | n.d. | n.d. | n.d. | 0.01 | n.d. | n.d. | n.d. | n.d. | n.d. | n.d. | n.d. | n.d. |
| RP | 0.06 | 0.05 | n.d. | 0.14 | n.d. | 0.02 | n.d. | n.d. | n.d. | n.d. | n.d. | n.d. | n.d. | n.d. | n.d. | 0.02 | 0.02 |
| SR | 0.04 | n.d. | n.d. | 0.04 | n.d. | n.d. | n.d. | n.d. | n.d. | n.d. | n.d. | n.d. | n.d. | n.d. | n.d. | n.d. | n.d. |
| Sample | LIBS Signal Assignments 1 |
|---|---|
| Substrate | C, Si, Mg, Al, Ca, CN, K, Sr, C2, CaO, Na |
| GS | Fe, Mn, Ba, Ti, Cr, Cu, Zn |
| AF | Fe |
| GRP | Fe, Cu |
| LM | Fe, Mn, Ba, Ti, Cr, Cu, Zn |
| GP | Fe, Mn, Ba, Ti, Cr, Cu, CaF |
| RP | Fe, Mn, Ba, Ti, CaF |
| GC | Fe, Mn, Ba, Ti, Cu, CaF |
| FR | Fe, Mn, Ba, Ti, Cr |
| CM | Fe, Mn, Ba, Ti, Cr |
| LV | Fe, Mn, Ba, Ti, Cr, Cu, CaF |
| SR | Fe, Mn, Ba, Ti, Cr, Cu |
| AB | Fe, Mn, Ba, Ti, Cr, Cu |
| GCL | Fe, Mn, Ba, Ti, Cr, Cu |
| GSP | Fe, Mn, Ba, Ti, Cu |
| PT | Fe, Mn, Ba, Cu, CaF |
Disclaimer/Publisher’s Note: The statements, opinions and data contained in all publications are solely those of the individual author(s) and contributor(s) and not of MDPI and/or the editor(s). MDPI and/or the editor(s) disclaim responsibility for any injury to people or property resulting from any ideas, methods, instructions or products referred to in the content. |
© 2025 by the authors. Licensee MDPI, Basel, Switzerland. This article is an open access article distributed under the terms and conditions of the Creative Commons Attribution (CC BY) license (https://creativecommons.org/licenses/by/4.0/).
Share and Cite
Bergomi, A.; Comite, V.; Borelli, M.; Lombardi, C.A.; Festa, E.; Oujja, M.; Castillejo, M.; Maestro-Guijarro, L.; Carmona-Quiroga, P.M.; Crespo, A.; et al. Integrated Comprehensive Characterization of Black Crusts from Milan’s Monumental Cemetery: A Synergistic Approach Combining Conventional and Unconventional Analytical Techniques. Heritage 2025, 8, 506. https://doi.org/10.3390/heritage8120506
Bergomi A, Comite V, Borelli M, Lombardi CA, Festa E, Oujja M, Castillejo M, Maestro-Guijarro L, Carmona-Quiroga PM, Crespo A, et al. Integrated Comprehensive Characterization of Black Crusts from Milan’s Monumental Cemetery: A Synergistic Approach Combining Conventional and Unconventional Analytical Techniques. Heritage. 2025; 8(12):506. https://doi.org/10.3390/heritage8120506
Chicago/Turabian StyleBergomi, Andrea, Valeria Comite, Mattia Borelli, Chiara Andrea Lombardi, Elisa Festa, Mohamed Oujja, Marta Castillejo, Laura Maestro-Guijarro, Paula Maria Carmona-Quiroga, Ana Crespo, and et al. 2025. "Integrated Comprehensive Characterization of Black Crusts from Milan’s Monumental Cemetery: A Synergistic Approach Combining Conventional and Unconventional Analytical Techniques" Heritage 8, no. 12: 506. https://doi.org/10.3390/heritage8120506
APA StyleBergomi, A., Comite, V., Borelli, M., Lombardi, C. A., Festa, E., Oujja, M., Castillejo, M., Maestro-Guijarro, L., Carmona-Quiroga, P. M., Crespo, A., Pirovano, M., & Fermo, P. (2025). Integrated Comprehensive Characterization of Black Crusts from Milan’s Monumental Cemetery: A Synergistic Approach Combining Conventional and Unconventional Analytical Techniques. Heritage, 8(12), 506. https://doi.org/10.3390/heritage8120506

