Stress Distribution and Transverse Vibration of Flywheel Within Linear Elastic Range
Abstract
1. Introduction
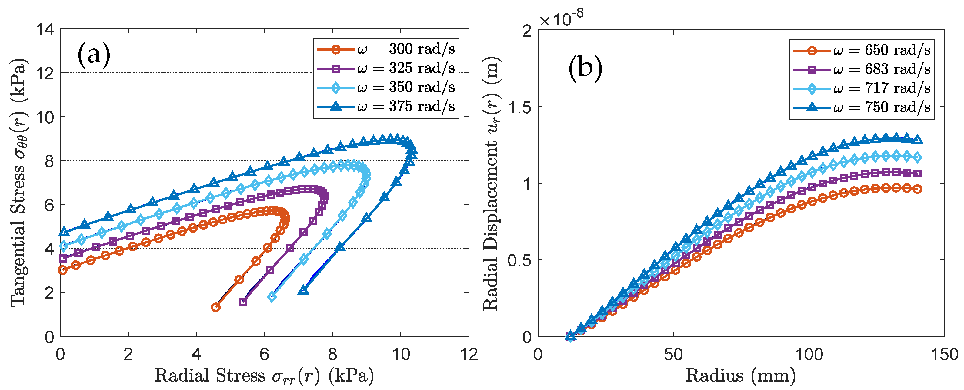
2. Mathematical Formulation of Stress Distribution of Flywheel
3. Finite Element Modal Analysis of Flywheel
4. Transverse Vibration Analysis of Flywheel
- The cross-sections of the flywheel were originally plane and perpendicular to the mid-surface before deformation and remained plane and perpendicular to the deformed mid-surface after bending.
- The deformations are small enough that the linear approximations of the strains and displacements are valid.
- The flywheel material properties are the same in all directions, and its composition is uniformly distributed throughout.
- The bending moments do not induce in-plane stresses, allowing decoupled analysis of the bending.
- The rotating flywheel is subjected to a small perturbation in the linear elastic range.
- 1.
- Clamped at r = R1
- 2.
- Free at r = R2
- 3.
- Symmetry
- 4.
- Initial displacement and velocity
5. Time-Frequency Analysis of Flywheel
5.1. Continuous Wavelet Transform (CWT)
5.2. Hilbert–Huang Transform (HHT)
6. Conclusions
Author Contributions
Funding
Data Availability Statement
Acknowledgments
Conflicts of Interest
List of Symbols
| Material density | |
| Radial distance | |
| Angular velocity | |
| Angular acceleration | |
| Thickness | |
| Young’s modulus | |
| Poisson’s ratio | |
| Radial stress | |
| Tangential (hoop) stress | |
| Radial displacement | |
| Biharmonic operator | |
| Damping coefficient | |
| Response to random external perturbations | |
| Wave number | |
| Bessel functions of the first and second kinds | |
| Modified Bessel functions of the first and second kinds | |
| Angular mode number | |
| Damping ratio | |
| Time-dependent component | |
| Angular component | |
| Undamped natural frequency | |
| Damped natural frequency |
References
- Adams, G.G. The contact stress distribution in the receding contact of an elastic layer with a rigid base. Int. J. Solids Struct. 2022, 238, 111384. [Google Scholar] [CrossRef]
- Xiao, S.; Yue, W.V.; Yue, Z.Q. Extended Mindlin solution for a point load in transversely isotropic halfspace with depth heterogeneity. Eng. Anal. Bound. Elem. 2023, 150, 219–236. [Google Scholar] [CrossRef]
- Matsuoka, H.; Otani, T.; Fukui, S. Stress distributions in an elastic body due to molecular interactions considering one-dimensional periodic material distribution based on Mindlin’s solution. Microsyst. Technol. 2020, 26, 139–156. [Google Scholar] [CrossRef]
- Wang, Y.W.; Chen, J.; Li, X.F. A deviatoric couple stress Mindlin plate model and its degeneration. Thin Walled Struct. 2024, 200, 111978. [Google Scholar] [CrossRef]
- Ma, S.; Zhang, M.; Ma, L.; Tian, Z.; Li, X.; Su, Z.; Bian, S. Experimental investigation on stress distribution and migration of the overburden during the mining process in deep coal seam mining. Geoenviron. Disasters 2023, 10, 24. [Google Scholar] [CrossRef]
- Hu, W.; Xu, J.; Zhang, W.; Zhao, J.; Zhou, H. Retrieving Surface Deformation of Mining Areas Using ZY-3 Stereo Imagery and DSMs. Remote Sens. 2023, 15, 4315. [Google Scholar] [CrossRef]
- Martín-Rivera, F.; Beato, M.; Alepuz-Moner, V.; Maroto-Izquierdo, S. Use of concentric linear velocity to monitor flywheel exercise load. Front. Physiol. 2022, 13, 961572. [Google Scholar] [CrossRef]
- Amiri-Hezaveh, A.; Karimi, P.; Ostoja-Starzewski, M. Stress field formulation of linear electro-magneto-elastic materials. Math. Mech. Solids 2019, 24, 3806–3822. [Google Scholar] [CrossRef]
- Feng, W.; Yan, Z.; Ma, P.; Lv, C.; Zhang, C. Fracture Mechanics of Magnetoelectroelastic Materials and Structures: State of the Art and Prospects. Appl. Mech. Rev. 2024, 76, 1–109. [Google Scholar] [CrossRef]
- Gan, L.L.; She, G.L. Nonlinear low-velocity impact of magneto-electro-elastic plates with initial geometric imperfection. Acta Astronaut. 2024, 214, 11–29. [Google Scholar] [CrossRef]
- Xu, L.L.; Zheng, Y.F.; Chen, C.P. Nonlinear statics of magneto-electro-elastic nanoplates considering flexomagnetoelectric effect based on nonlocal strain gradient theory. Thin Walled Struct. 2024, 201, 111974. [Google Scholar] [CrossRef]
- Bose, T.; Gupta, K.; Rattan, M.; Chamoli, N. Study of thermal gradation on creep deformation of non-linear varying functionally graded rotating disc. In IOP Conf. Ser. Mater. Sci. Eng. 2021, 1033, 012084. [Google Scholar] [CrossRef]
- Yan, Z.; Nie, H.; Liu, S.; Zhang, B.; Tan, G. Experimental evaluation of the torsional vibration characteristics of a dual-mass flywheel based on multi-condition and multi-index methods. Proc. Inst. Mech. Eng. D J. Automob. Eng. 2024, 238, 09544070241254598. [Google Scholar] [CrossRef]
- Han, Q.; Gao, S.; Chu, F. Micro-Vibration Analysis, Suppression, and Isolation of Spacecraft Flywheel Rotor Systems: A Review. Vibration 2024, 7, 229–263. [Google Scholar] [CrossRef]
- Wei, C.; Niu, H.; Zeng, L. Research on Nonlinear Vibration of Dual Mass Flywheel Considering Piecewise Linear Stiffness and Damping. Math. Probl. Eng. 2024, 2024, 8683229. [Google Scholar] [CrossRef]
- Chu, W.; Wang, Y.Q. Three-dimensional vibration suppression of flexible beams via flywheel assembly. Aerosp. Sci. Technol. 2024, 151, 109251. [Google Scholar] [CrossRef]
- Zhang, L.L.; Huang, J.H. Stability analysis for a flywheel supported on magnetic bearings with delayed feedback control. Appl. Comput. Electromagn. Soc. J. (ACES) 2017, 32, 642–649. [Google Scholar]
- Chu, W.; Wang, Y.Q. Vibration control of a flexible inverted pendulum using the planned flywheel motion. J. Sound Vib. 2024, 569, 117975. [Google Scholar] [CrossRef]
- Wang, B.; Gao, F.; Gupta, M.K.; Krolczyk, G.; Gardoni, P.; Li, Z. RETRACTED: Risk analysis of a flywheel battery gearbox based on optimized stochastic resonance model. J. Energy Storage 2022, 52, 104926. [Google Scholar] [CrossRef]
- Tchomeni, B.X.; Sozinando, D.F.; Alugongo, A. Influences of Hydrodynamic Forces on the Identification of the Rotor-Stator-Rubbing Fault in a Rotating Machinery. Int. J. Rotating Mach. 2020, 2020, 8816191. [Google Scholar] [CrossRef]
- Bueno, Y.P.R.; Soares, R.C. Flywheel sizing and analysis of coefficient fluctuation based on the crank kinematic free response to a torque pulse input. Aust. J. Mech. Eng. 2023, 21, 1832–1842. [Google Scholar] [CrossRef]
- Kar, N. Metallurgical and Mechanical Failure Analysis of an Aftermarket Flywheel. J. Natl. Acad. Forensic Eng. 2020, 37, 131–137. [Google Scholar] [CrossRef]
- Bai, Y.; Cheng, W.; Wen, W.; Liu, Y. Application of Time-Frequency Analysis in Rotating Machinery Fault Diagnosis. Shock Vib. 2023, 2023, 9878228. [Google Scholar] [CrossRef]
- Liu, Z.; Wu, K.; Ma, Z.; Ding, Q. Vibration analysis of a rotating flywheel/flexible coupling system with angular misalignment and rubbing using smoothed pseudo Wigner–Ville distributions. J. Vib. Eng. Technol. 2020, 8, 761–772. [Google Scholar] [CrossRef]
- Zhou, P.; Yang, Y.; Wang, H.; Du, M.; Peng, Z.; Zhang, W. The relationship between fault-induced impulses and harmonic-cluster with applications to rotating machinery fault diagnosis. Mech. Syst. Signal Process. 2020, 144, 106896. [Google Scholar] [CrossRef]
- Wu, W.; Yi, C.; Bai, J.; Huang, Y.; Lin, J. Envelope harmonic noise ratio based adaptive kurtogram and its application in bearing compound fault identification. IEEE Sens. J. 2022, 22, 8701–8714. [Google Scholar] [CrossRef]
- Liu, Z.; Peng, D.; Zuo, M.J.; Xia, J.; Qin, Y. Improved Hilbert–Huang transform with soft sifting stopping criterion and its application to fault diagnosis of wheelset bearings. ISA Trans. 2022, 125, 426–444. [Google Scholar] [CrossRef]
- Khorrami, H.; Sedaghati, R.; Rakheja, S. Vertical Transient Response Analysis of a Cracked Jeffcott Rotor Based on Improved Empirical Mode Decomposition. Vibration 2022, 5, 408–428. [Google Scholar] [CrossRef]
- Cheng, Y.; Lin, M.; Wu, J.; Zhu, H.; Shao, X. Intelligent fault diagnosis of rotating machinery based on continuous wavelet transform-local binary convolutional neural network. Knowl. Based Syst. 2021, 216, 106796. [Google Scholar] [CrossRef]
- Kaji, M.; Parvizian, J.; van de Venn, H.W. Constructing a reliable health indicator for bearings using convolutional autoencoder and continuous wavelet transform. Appl. Sci. 2020, 10, 8948. [Google Scholar] [CrossRef]
- Wang, H.; Ji, Y. A revised Hilbert–Huang transform and its application to fault diagnosis in a rotor system. Sensors 2018, 18, 4329. [Google Scholar] [CrossRef]
- Yu, Z.; Shi, D.; Li, H.; Wang, Y.; Yi, Z.; Wang, Z. An extended kalman filter enhanced hilbert-huang transform in oscillation detection. arXiv 2017, arXiv:1711.04644. [Google Scholar]












| Material | 1023 Carbon Steel |
| Model type | Linear Elastic Isotropic |
| Failure criterion | Max von Mises Stress |
| Yield strength | 283 MPa |
| Mass density | 7858 kg/m3 |
| Young’s modulus | 205 GPa |
| Poisson’s ratio | 0.29 |
| Volume | 0.0002848 m3 |
| External diameter | 280 mm |
| Internal diameter | 24 mm |
| Thickness | 10 mm |
| Mesh type | Solid mesh |
| Mesher type | Blended curvature-based mesh |
| High-quality mesh based on Jacobian points | 16 points |
| Maximum element size | 15.2875 mm |
| Minimum element size | 0.764373 mm |
| Maximum aspect Ratio | 53.254 |
| % of elements with aspect ratio < 3 | 98.8 |
| % of elements with aspect ratio > 10 | 0.0525 |
| Quality of mesh | High |
| Mode Number | Frequency (Hz) | X Direction | Y Direction | Z Direction |
|---|---|---|---|---|
| 1 | 600.75 | 0.00025642 | 1.3076 × 10−6 | 0.020535 |
| 2 | 603.28 | 0.020639 | 4.7798 × 10−7 | 0.00025695 |
| 3 | 1204 | 5.7914 × 10−8 | 0.45224 | 2.3186 × 10−7 |
| 4 | 1477.1 | 2.3514 × 10−7 | 8.1952 × 10−9 | 7.4534 × 10−8 |
| Σx = 2.090 × 10−2 | Σy = 4.522 × 10−1 | Σz = 2.079 × 10−2 |
Disclaimer/Publisher’s Note: The statements, opinions and data contained in all publications are solely those of the individual author(s) and contributor(s) and not of MDPI and/or the editor(s). MDPI and/or the editor(s) disclaim responsibility for any injury to people or property resulting from any ideas, methods, instructions or products referred to in the content. |
© 2024 by the authors. Licensee MDPI, Basel, Switzerland. This article is an open access article distributed under the terms and conditions of the Creative Commons Attribution (CC BY) license (https://creativecommons.org/licenses/by/4.0/).
Share and Cite
Sozinando, D.F.; Leema, K.K.; Sigonde, V.C.; Tchomeni, B.X.; Alugongo, A.A. Stress Distribution and Transverse Vibration of Flywheel Within Linear Elastic Range. Vibration 2024, 7, 1248-1265. https://doi.org/10.3390/vibration7040064
Sozinando DF, Leema KK, Sigonde VC, Tchomeni BX, Alugongo AA. Stress Distribution and Transverse Vibration of Flywheel Within Linear Elastic Range. Vibration. 2024; 7(4):1248-1265. https://doi.org/10.3390/vibration7040064
Chicago/Turabian StyleSozinando, Desejo Filipeson, Kgotso Koketso Leema, Vhahangwele Colleen Sigonde, Bernard Xavier Tchomeni, and Alfayo Anyika Alugongo. 2024. "Stress Distribution and Transverse Vibration of Flywheel Within Linear Elastic Range" Vibration 7, no. 4: 1248-1265. https://doi.org/10.3390/vibration7040064
APA StyleSozinando, D. F., Leema, K. K., Sigonde, V. C., Tchomeni, B. X., & Alugongo, A. A. (2024). Stress Distribution and Transverse Vibration of Flywheel Within Linear Elastic Range. Vibration, 7(4), 1248-1265. https://doi.org/10.3390/vibration7040064

