Next Article in Journal
YOLOv7scb: A Small-Target Object Detection Method for Fire Smoke Inspection
Next Article in Special Issue
Evaluation of the Extinguishing Efficiency of Eco-Friendly Soap-Based Media Against Prolonged Simulated Peat Fires
Previous Article in Journal
“No One Is Safe”: Agricultural Burnings, Wildfires and Risk Perception in Two Agropastoral Communities in the Puna of Cusco, Peru
Previous Article in Special Issue
Experimental Study and Application of Unmanned Aerial Vehicle Releasing Fire-Extinguishing Bomb on Transmission Line Wildfires
 
 
Font Type:
Arial Georgia Verdana
Font Size:
Aa Aa Aa
Line Spacing:
Column Width:
Background:
Article

Multi-Target Firefighting Task Planning Strategy for Multiple UAVs Under Dynamic Forest Fire Environment

by
Pei Zhu
*,
Shize Jiang
,
Jiangao Zhang
,
Ziheng Xu
,
Zhi Sun
and
Quan Shao
College of Civil Aviation, Nanjing University of Aeronautics and Astronautics, Nanjing 210016, China
*
Author to whom correspondence should be addressed.
Submission received: 17 November 2024 / Revised: 27 January 2025 / Accepted: 29 January 2025 / Published: 2 February 2025
(This article belongs to the Special Issue Firefighting Approaches and Extreme Wildfires)

Abstract

The frequent occurrence of forest fires in mountainous regions has posed severe threats to both the ecological environment and human activities. This study proposed a multi-target firefighting task planning method of forest fires by multiple UAVs (Unmanned Aerial Vehicles) integrating task allocation and path planning. The forest fire environment factors such high temperatures, dense smoke, and signal shielding zones were considered as the threats. The multi-UAVs task allocation and path planning model was established with the minimum of flight time, flight angle, altitude variance, and environmental threats. In this process, the study considers only the use of fire-extinguishing balls as the fire suppressant for the UAVs. The improved multi-population grey wolf optimization (MP–GWO) algorithm and non-Dominated sorting genetic algorithm II (NSGA-II) were designed to solve the path planning and task allocation models, respectively. Both algorithms were validated compared with traditional algorithms through simulation experiments, and the sensitivity analysis of different scenarios were conducted. Results from benchmark tests and case studies indicate that the improved MP–GWO algorithm outperforms the grey wolf optimizer (GWO), pelican optimizer (POA), Harris hawks optimizer (HHO), coyote optimizer (CPO), and particle swarm optimizer (PSO) in solving more complex optimization problems, providing better average results, greater stability, and effectively reducing flight time and path cost. At the same scenario and benchmark tests, the improved NSGA-II demonstrates advantages in both solution quality and coverage compared to the original algorithm. Sensitivity analysis revealed that with the increase in UAV speed, the flight time in the completion of firefighting mission decreases, but the average number of remaining fire-extinguishing balls per UAV initially decreases and then rises with a minimum of 1.9 at 35 km/h. The increase in UAV load capacity results in a higher average of remaining fire-extinguishing balls per UAV. For example, a 20% increase in UAV load capacity can reduce the number of UAVs from 11 to 9 to complete firefighting tasks. Additionally, as the number of fire points increases, both the required number of UAVs and the total remaining fire-extinguishing balls increase. Therefore, the results in the current study can offer an effective solution for multiple UAVs firefighting task planning in forest fire scenarios.

1. Introduction

Forest fires are notoriously difficult to control due to their rapid spread, extensive range, and the significant challenges associated with the current firefighting methods [1], which bring the problems of ecosystems, human lives, and property. In recent years, several forest fires accidents occurred, such as the 2020 Australian wildfires, which burned nearly 19 million hectares of land and destroyed over 3000 homes [2], and the 2021 summer wildfires in Greece, which claimed the lives of more than 100 people [3]. Therefore, it is of great significance to carry out research on rapid, efficient and accurate forest fire fighting technology.
Traditional methods of forest firefighting present several limitations. For example, ground-based firefighters, such as fire trucks, could not reach the core area of the fire quickly in rugged mountainous terrains [4], while helicopter-based firefighting is hindered by high operational costs and the challenge of firefighting efficiency [5]. However, with the development of low-altitude economy, using unmanned aerial vehicles (UAVs) can offer advantages for extinguishing early small-scale fires, spotting embers, and reaching difficult-to-access areas due to the high flexibility, remote control capability, low operational costs, quick response, and ease of deployment [6]. Ollero et al. [7] earlier proposed UAVs as tools for forest fire fighting for forest-fires detection, confirmation, localization, and monitoring. The application of multiple UAVs on the forest firefighting is gradually emerging as a promising area of research.
In the firefighting process, the multiple UAVs can rapidly reach multiple fire points, deliver fire suppression balls with precision, and efficiently suppress the flames [8]. Several issues [1] should be considered in efficiently deploying multi-UAVs firefighting strategy including forest fire spread model, path planning model, firefighting task assignment problem, coordinated operations of multiple UAVs and fire extinguishing model, etc. The prediction of fire spread plays a major part in forest fire control and suppression. Forest fire spread models can be categorized into three types. Fire spread models can be into three categories, namely, physical models, empirical or semi-empirical models, and simulation or mathematical analog models [9]. Physical models, such as the Weber model in Australia, emphasize the physical and chemical mechanisms of forest fire spread [10]. Empirical models obtain parameters for fire spread through on-site ignition experiments and subsequently propose empirical equations after analyzing the rate of fire spread. Examples include the McArthur model in Australia [11] and the Wang Zhengfei and Mao Xianmin models in China [12,13]. Semiempirical models built on physical models determine complex parameters through experiments, as seen in the Rothermel model in the United States [14]. Computer simulation models mainly include models based on Huygens’ wave propagation principles and cellular automata (CA) models [9]. Finney et al. [15] proposed the FARSITE model as a mechanistic surrogate model that could accurately simulate fire spread at large spatial and temporal scales. FDS (Fire Dynamic Simulation) [16] is also a comprehensive physics-based model; its newer Level-Set solver uses Huygens principle, just like FARSITE, to speed up simulations with high accuracy level. Zhou et al. [17] proposed a multi-factor coupled forest fire model based on cellular automata, which employs cellular automata principles to analyze forest fire behavior, taking into account meteorological elements, combustible material types, and terrain slopes. The Wang Zhengfei model is utilized to compute fire spread speed. From the above analysis, cellular automata are discrete dynamical systems composed of variables with finite states on a uniform grid. Cellular automata models have advantages such as low computational complexity and the ability to simulate the spatiotemporal evolution of complex systems, making them suitable for simulating the spread of forest fires. In the current study, cellular automata models were used to simulate the forest fire spread in the calculation of high-temperature zones.
For multi-UAVs firefighting in forest fires, path planning aims to generate near-optimal paths that satisfy certain constraints and ensure that each UAV can reach the mission area quickly and then avoid the collisions and complex environmental threats. Xu et al. [18] developed an optimized multi-UAVs cooperative path planning method under a complex confrontation environment. A multi-constraint objective optimization model is established and solved by an improved grey wolf optimizer algorithm. The results demonstrated that the proposed algorithm is effective in generating paths for multi-UAV cooperative path planning. Yao et al. [19] proposed a modified hybrid Salp Swarm Algorithm (SSA) and Aquila Optimizer (AO), named IHSSAO, for UAV path planning in complex terrain. The experimental results verified that the IHSSAO is superior to the basic SSA and AO for solving the UAV path planning problem in complex terrain. Shi et al. [20] proposed a multiple swarm fruit fly optimization algorithm to solve the coordinated path planning problem for multi-UAVs. The results showed that the proposed MSFOA is superior to the original FOA in terms of convergence and accuracy. Mdridano et al. [21] established a multi-layer control system incorporating global path planning related to sampling, obstacle detection, and autonomous decision-making. Çoğay et al. [22] proposed a path planning model that minimizes UAV energy consumption while maximizing fire coverage. Some constraints, including UAV flight safety altitude, flight times, and energy usage, were also considered. Lin et al. [23] demonstrated a topologically based vertical decomposition method to simulate the dynamic forest fire environments, aiming to reduce spatial complexity, where the terrain slopes and UAV speed were considered with an improved particle update mechanism to prevent local optima in path planning. Xu et al. [24] applied a Gaussian Mixture Clustering algorithm to cluster forest fire high-risk areas and assigned UAV paths applying a circular self-organizing mapping method. Fan et al. [25] proposed a path-planning method based on improved long short-term memory (LSTM) network prediction parameters, which could weaken or avoid the impact of dynamic threats such as wind and extreme weather on the real-time path of a UAV swarm. Among the most prominent are the graph search-based algorithms, sampling-based algorithms, and several local planning algorithms [26]. With the development of swarm intelligence algorithms, many studies have increasingly applied these techniques to UAV path planning, including common algorithms such as pelican optimization algorithm [27], Harris hawks optimization algorithm [28], crested porcupine optimizer [29], and particle swarm optimization [30]. Although these algorithms enhance optimization efficiency to a certain extent, they still present limitations in the multi-UAVs task planning, such as slow convergence rates and a propensity to become trapped in local optima.
In order to achieve better fire suppression, it is necessary to optimize the allocation according to the payload of extinguishing agents and UAV resources, that is, the multi-UAV task allocation problem. Zhang et al. [31] proposed a dynamic task generation mechanism by effectively adapting the Consensus-Based Bundle Algorithms (CBBA) under the constraints of task timing, limited UAV resources, diverse types of tasks, dynamic addition of tasks, and real-time requirements. The partial task redistribution mechanism has been adopted for achieving the dynamic task allocation. Luna et al. [32] proposed a UAV swarm task allocation algorithm based on hybrid control architecture, which employs a dynamically optimized Jonker–Volgenant algorithm to assign tasks in forest fire scenarios. Chen et al. [33] proposed a firefighting multi-strategy marine predators algorithm (FMMPA) for the early-stage allocation of forest fire firefighting problem. The experimental results showed that the proposed FMMPA has superior performance in reducing rescue time, controlling the spread speed of fire edge, and minimizing loss cost. Chen et al. [34] proposed a dynamic task allocation scheme based on global information to minimize task completion time, ensuring that each reassignment reduces completion time. Bai et al. [35] introduced a dynamic multi-UAV task allocation method based on a distributed auction algorithm, incorporating a result update mechanism. Li et al. [36] proposed an ant colony optimization-based approach for multi-UAV task allocation, though they did not account for the three-dimensional path planning of UAVs in real-world environments. Zhang et al. [37] presented a hierarchical planning approach that addresses path estimation, task allocation, and path planning in stages, thereby enhancing the efficiency of UAV-based firefighting task planning, but it did not consider the spread of fire and smoke in forest fire scenarios.
Multiple firefighting UAVs often cooperate with each other to accomplish tasks collectively as either fleets or swarms [18,19,20,21,22,23,24,25,31,32,33,34,35,36,37,38,39,40,41,42,43,44,45]. The UAV swarms are a particular type of multi-UAVs system and are closely related to the swarm intelligence (SI) approach. Innocente and Grasso [38,39] were the earliest to focus on the application of UAV swarms to forest fire fighting. They proposed an efficient physics-based model of fire propagation and a self-organization algorithm for swarms of firefighting drones that are developed and coupled with the collaborative behavior based on a particle swarm algorithm adapted to individuals operating within physical dynamic environments of high severity and frequency of change. To ensure the completion of firefighting task, fire extinguishing performance is also one of the key factors. Hansen [40] proposed an estimating method of the critical water flow rates required to extinguish wildfires under different conditions and in various fuel types, based on the law of energy conservation. Penney et al. [41] calculated the critical water flow rates for extinguishing large wildfires, and the factors of forest fuel loads, environmental conditions, and fire front depth were considered in the system. Ausonio et al. [42] proposed an innovative forest firefighting system based on the use of a swarm of hundreds of UAVs able to generate a continuous flow of extinguishing liquid on the fire front. A fire propagation cellular automata model is also employed to study the evolution of the fire. Simulation results suggested that the proposed system can provide the flow of water required to fight low-intensity and limited extent fires or to support current forest firefighting techniques. John et al. [43] implemented an information-driven search and a divide-and-conquer control method based on multi-branch collaboration, utilizing UAV swarm dynamic characteristics to reduce detection and suppression times. It should be noted that the drone swarm is not considered in multi-UAVs system in the current study. Fire suppression performance by multiple UAVs is also treated as a simple functional relationship between each fire suppression ball and the fire area. In summary, studies on the multi-target firefighting strategy by combining UAV path planning with task allocation under the dynamic forest fire environment remain limited. Meanwhile, the issue of coordinated task allocation from multi-UAVs bases under the time-varying nature of fire points with the constraints and environmental threats is still needed to be solved.
In the present study, a multi-UAVs task planning method combining path planning with task allocation was proposed for the firefighting of multiple fire points by UAVs from multiple base stations in forested mountainous regions. The wildfire environment model of forested mountainous areas was established because it considers various threat factors, such as terrain, high-temperature zones, smoke-filled areas, and signal shielding zones. A step function was constructed to model the varying number of UAVs required for firefighting at a point over time, thus forming multiple time windows. An improved multi-population grey wolf optimization (MP–GWOMP–GWO) algorithm and a non-dominated sorting genetic algorithm II (NSGA-II) were used to solve the multi-UAVs task planning problem. Simulation experiments were conducted to validate the effectiveness of the proposed methods, along with comparative analysis of algorithms. The results will provide valuable data and strategy for the actual forest fire firefighting by multi-UAVs system.
The remainder of this paper is organized as follows. Section 2 describes the multi-UAVs firefighting task planning problem and develops the environmental threat model, multi-UAVs path planning model, and task allocation model. Section 3 presents the designs of MP–GWO and NSGA-II. Section 4 conducts simulation experiments on firefighting task planning, followed by an analysis of the results. Section 5 concludes the study and outlines future research directions.

2. Mathematical Modeling

The total task planning in the current study can be divided into three stages, namely single UAV path planning estimation, multi-UAVs firefighting task allocation, and multi-UAVs path planning. First, the path of each UAV from the base station to the fire point was calculated as the path estimation. Then, the firefighting tasks for all UAVs from different base stations were allocated based on each UAV path. Finally, the multi-UAVs path planning model was established based on the temporal constraints for multiple UAVs towards the same fire point within a synchronized time window and spatial constraints for the same UAVs departed from the same base station to the same fire point. For the specific situation, that only a single UAV required for the firefighting of the fire point, the results from the single UAV path planning estimation are directly applied.

2.1. Problem Description

The strategic objective of forest fire management is to extinguish the fire as quickly as possible, particularly during the initial stages of the wildfire. Here, the path of the UAV from the multiple base stations to the multiple fire points can be considered as a directed weighted graph G = D , E , where D = D b , D f represents the set of nodes. The sets D b ( D b D ) and D f ( D f D ) denote the nodes of UAV base stations and the target fire points separately, where D b = 1 , 2 , , i , , m and D f = 1 , 2 , j , , n . The edge set E = E i j i D b , j D f denotes the edges between the two nodes, where each edge E i j has a non-negative weight c i j , indicating the flight path for a UAV traveling from node i to j . Each base station may dispatch one or more UAVs to a firefighting task. As time progresses, the number of UAVs required at each fire point may vary. Therefore, as shown in Figure 1, it is necessary to efficiently and rationally allocate multiple UAVs from different bases to various fire points within the available time, through path planning and task allocation, to ultimately obtain an optimized firefighting solution.
Based on the practical conditions of forest fires, as well as the convenience of mathematical modeling and solution methods, the following assumptions are made:
  • The detection equipment has successfully identified the locations, scales, and environmental threats of all fire points.
  • The UAV will fly at a constant speed.
  • There are no UAV hardware failures, extreme weather conditions, bird strikes, or other low-probability emergencies.
  • The mountainous terrain is relatively open, and only collisions between UAVs with the same departure and destination points are considered.
  • The UAVs will be unable to refuel or resupply during the execution of their task.

2.2. Environmental Modeling for Forested Mountainous Areas Under Fire Conditions

2.2.1. Terrain Modeling

During wildfire suppression tasks in mountainous areas, the complex flight environment significantly influences the path planning of unmanned aerial vehicles (UAVs). Therefore, precise modeling of the terrain and obstacles is essential to ensure the safe and efficient execution of the task. To provide a realistic three-dimensional flight environment for UAV path planning, a digital elevation model (DEM) is employed to model the actual terrain [44], which can facilitate digital representation of the terrain surface through a discrete set of elevation points, efficiently capturing the intricate topographic features of mountainous regions. In this study, the DEM data of the mountainous terrain of Christmas Island, Australia, were obtained from the open platform of Geoscience Australia [44]. Then, the raw data were imported and processed in MATLAB R2023a, which involved interpolating the point measurements onto a uniform grid to generate a 5 m resolution surface model [45]. Subsequently, the terrain map in Figure 2 was rendered using the standard MATLAB 3D visualization function, Mesh. This terrain, characterized by dense vegetation and a typical tropical monsoon climate, represents a forested mountainous environment that experiences a distinct dry season associated with significant wildfire risks.

2.2.2. Signal Shielding Zone Threat Modeling

In the forested mountainous area, communication and locating signals will be severely attenuated due to steep terrain undulations and dense vegetation by the path loss and shadowing effects [46], which will bring high risk to UAV operation, such as the reduction in positioning accuracy and flight instability, potentially deviating from their planned flight path or even crashing. Therefore, the signal shielding zones threat modeling has been established using a cylindrical area, as shown in Figure 3. The center coordinates of each zone are denoted as C k , with radius R k . For a given path segment P i j P i , j + 1 , the threat cost of signal shielding to UAV flight safety is proportional to the distance d k from the segment to C k . The height of the cylindrical shielding zone is set to the maximum flight height of UAV, considering both the signal propagation characteristics in forested mountainous areas and the maximum flight altitude constraint of UAVs.

2.2.3. High-Temperature Zone Threat Modeling

UAVs are primarily deployed to extinguish early-stage forest fires or sporadic remaining flames. However, they may encounter high-temperature zones above the active fire lines or burned areas during the flight, which increases the risk of flight instability and UAV crashes. Therefore, the impact of the high-temperature zones should be avoided in path planning.
High-temperature zones are estimated based on the fire area, referring to a certain airspace above the fire area. Here, the calculation of the fire area, using a two dimensional cellular automaton-based fire propagation model [17], is adopted. The cellular automata are discrete dynamical systems composed of variables with finite states on a uniform grid, which will be used to govern the spread of forest fires based on specific rules. They are determined by five elements, namely grid space, state variables, neighborhood type, state transition function, and initial state function. There are three classical types of neighborhoods in cellular automata, namely the Von Neumann neighborhood, the Moore neighborhood, and the Extended Moore neighborhood. These include the four cells, eight cells, and additional cells surrounding a central cell, respectively. The popular Moore neighborhood used in forest fire spread simulations [47] is employed, as it can more accurately simulate the forest fire spread and achieve a good balance between computational efficiency and simulation accuracy, making it more suitable for fast-response scenarios.
The cells within the simulated space are designated as different states of forest combustibles, each having four given states, namely unburned (state = 0), partially burned (state = 1), fully burned (state = 2), and extinguished (state = 3). Cells in different states have distinct spreading properties. The state of a cell at a given moment is determined by its burning state at that moment and the speed (R) at which neighboring cells spread fire to it. A cell will only ignite its surrounding unburned cells when it is in a fully burning state (state = 2). For an unburned cell, its ignition in the next step is determined by the cumulative contribution rate from its surrounding neighboring cells, as shown in Equation (1). The contribution rate of each cell to its neighboring cells is given by Equation (2) [48].
A ( i , j ) t + Δ t = A ( i , j ) t + a = i 1 i + 1 b = j 1 j + 1 R ( a , b ) t L Δ t , R ( i , j ) t = 0 ,
Δ t = m L R max ,
where Δ t is the time step, t is the current time, and t + Δ t is the next time. A ( i , j ) t + Δ t represents the state of cell (i, j) at the next time step, A ( i , j ) t represents the current state of cell (i, j), R max is the maximum spread speed depending on the environmental conditions, L is the length of a cell’s side, and m is the step size factor.
The speed (R) of fire spread is calculated using the Wang Zhengfei model [12]. This model, as a classical model, comprehensively considers factors such as fuel type, wind speed, and slope, offering broad applicability and high accuracy. In this model, the fire spread rate is defined by the following formula:
R = R 0 K s K w K ϕ ,
where R 0 represents the initial spread speed when there is no wind, K s is the combustibles correction factor, K w denotes the wind speed correction factor, and K ϕ represents the slope correction factor. The slope correction factor is defined as follows:
K ϕ = e 3.533 ( tan φ ) 1.2 ,
where φ represents the slope of the fire spread area in either the uphill or downhill direction, taking a positive value for uphill and a negative value for downhill.
Based on the above model, the entire fire spread area A f , including the area within outer boundary of the fire line in the estimated flight time of the UAV from each base station to the fire point, is calculated. Then, the high-temperature zones are obtained at a certain airspace above the fire area A f . Here, the airspace height of the high-temperature zone is set to about 83.9 m [49] to avoid the impact on the UAVs in the flight process. Therefore, the calculated three-dimensional high-temperature zones are designated as no-fly zones in path planning.

2.2.4. Smoke Zone Threat Modeling

In forest fires, high-temperature areas are often accompanied by significant amounts of dense smoke, resulting in the formation of extensive smoke zones. These areas are characterized by low visibility, making it challenging to accurately identify potential threats in the environment, thus posing substantial risks for UAVs operating within smoke-affected regions. To mitigate such risks, smoke zones are constructed around high-temperature areas, simulating the smoke hazards that UAVs may encounter during firefighting operations.
This study employs a Gaussian plume model [50] to simulate the dispersion of smoke within these zones, with the smoke concentration calculated using the following formula:
C ( x , y , z ) = Q 2 π u σ y σ z exp y 2 2 σ y 2 exp ( z H ( z ) ) 2 2 σ z 2 + exp ( z + H ( z ) ) 2 2 σ z 2 ,
where C represents the pollutant mass concentration at point ( x ,   y ,   z ) , where the smoke concentration C , along the UAV’s flight path, is used to evaluate the threat level of smoke. x denotes the downwind distance from the smoke source to the calculation point, y is the crosswind distance from the smoke source, and z is the vertical distance from the ground. Q represents the smoke emission intensity, H ( z ) denotes the height of the fire source, u is the wind speed, and σ y and σ z are the horizontal and vertical diffusion coefficients, respectively, which are functions of the downwind distance.
The smoke source is generated from the initial fire point of the high-temperature zone. The solution region of simulation for smoke diffusion is set as a 200 m radius around the fire source, considering the limited UAV flight time. In this region, the smoke diffusion zone is calculated based on the smoke concentration distribution with a threshold of 500 µg/m3 [50], where the concentration exceeds this threshold denotes a threat to UAV flight. Ultimately, the smoke zone is the region where smoke concentration exceeds the set threshold. When the smoke zone height aligns with the typical cruising altitude of the UAV, the UAV can choose to go around the smoke zone. When the smoke zone height is relatively low, the UAV may choose to fly over the smoke zone, considering factors such as path length and efficiency.
In this study, the forest fire scenario and environmental threats associated with UAV path planning consist of high-temperature zones, signal shielding zones, and smoke zones. The final three-dimensional flight environment for UAVs in mountainous areas is shown in Figure 4.

2.2.5. Fire Extinguishing Time Modeling

The employed UAVs utilize fire-extinguishing ball technology for firefighting. Upon reaching the designated fire locations, multiple UAVs coordinate to deliver concentrated fire extinguishing projectiles within a short time window, ensuring minimal losses in firefighting effectiveness. In this study, when the UAV arrives above the fire point, a UAV fire extinguishing time is set. Within this time range, the UAV can throw the fire-extinguishing balls required to extinguish the fire and complete the task. In practical firefighting scenarios, factors such as terrain and overlapping extinguishing areas of the fire-extinguishing balls reduce the total effective extinguishing area. Taking these redundancies into account, an effective coverage coefficient of 0.75 is adopted for multiple fire-extinguishing balls. The actual extinguishing area is thus calculated as the ideal extinguishing area multiplied by the effective coverage coefficient. The target fire points are early-stage fires that UAVs can directly extinguish. Referring to experimental cases in [47], a relatively high fire spread rate R is predefined for these fire points, allowing the fire area, A f , to be approximated as a circular region with a radius equal to the product of the fire spread speed and time. In this study, the maximum payload capacity of the UAV is sourced from reference [51]. A stepwise function is constructed to describe the number of UAVs required at a fire site over time. This function considers the scale of the fire and the extinguishing capacity of the UAVs. If the extinguishing operation exceeds the time window defined for four UAVs, the firefighting task is considered unsuccessful, where the required number of UAVs for the fire location is set to positive infinity, indicating mission failure. This stepwise function is defined as follows:
Num = 1 ,   T C < T 1 2 ,   T 1 T C < T 2 3 ,   T 2 T C < T 3 4 ,   T 3 T C < T 4 + ,   T C T 4 ,
where Num represents the number of UAVs required to extinguish the current fire point, T C is the current time, and T 1 to T 4 are the time nodes defined based on the firefighting capacity of the UAVs.

2.3. Multi-UAVs Path Planning Model

2.3.1. Symbol Description for Multi-UAV Path Planning Model

In this study, the multi-UAVs path planning model includes a total cost function composed of multiple cost functions and UAV maneuverability constraints, where the symbols and their meanings used to construct the multi-UAVs path planning model are presented in Table 1.

2.3.2. Cost Function Model

The ultimate goal of cooperative path planning is to design the most optimal paths for multi-UAVs flights, using the cost function model as the primary metric for evaluating the quality of each path. Therefore, factors such as flight path length, electromagnetic threats, and terrain hazards are comprehensively considered in the development of the cost function model.
The cost function model is presented in Equations (7)–(13):
f L = i = 1 N j = 1 p l i j ,
g i j = μ e σ d i j d i j d i s 0 d i j > d i s , i N , j = 1 , , p f g = j = 1 p i = 1 N g i j ,
T k P i j P i , j + 1 = 0 , d k > S + D + R k S + D + R k d k , D + R k < d k S + D + R k , d k D + R k f b = i = 1 N j = 1 p 1 k = 1 K T k P i j P i , j + 1 ,
F i j = ρ e σ h i j h i j h t 0 h i j > h t , i N , j = 1 , , p f F = j = 1 p i = 1 N F i j ,
S i j = 0 C i j C b e κ C i j C i j > C b , i N , j = 1 , , p f S = j = 1 p i = 1 N S i j ,
f A = i = 1 N j = 1 p 1 max ( 0 , ϕ i j ϕ i , j 1 ϕ l i m ) + i = 1 N j = 1 p 2 max ( 0 , ω i j ω lim ) ,
f h = j = 1 p i = 1 N h i j H max + H min 2 .
Equation (7) represents the flight time cost, where the path is composed of multiple segments. By summing the length of each segment, the cost function value for the path length can be obtained. Equation (8) represents the terrain threat cost, where the terrain threat function for the path segment j of the UAV i is denoted as g i j , and the overall terrain threat cost for the UAV fleet is f g . Equation (9) is the signal threat cost, with other cost functions represented by f b . Equation (10) represents the threat cost of the high-temperature zone, with parameters taken from reference [52]. Equation (11) represents the smoke zone threat cost, where the threat function S i j is constructed based on the smoke concentration C in the smoke zone along the path segment. Equation (12) represents the turning cost for the UAV, which includes the costs associated with sharp turns in both the turning and pitch angles. Equation (13) defines the altitude cost, which encourages the UAV path to be more stable.
Since different cost functions have distinct dimensions and value ranges, they cannot be directly weighted and summed. Therefore, each objective function is normalized. The different scaled objective values are mapped to a uniform scale using the min-max normalization method, as shown in Equation (14). In this equation, z i * and z i N represent the minimum and maximum values of the i -th objective function, respectively.
The f i represents the objective functions f L , f g , f b , f F , f S , f A , and f h in Equations (7)–(13). The f i is the objective function after normalization.
f i = f i z i * z i N z i * , i = 1 , 2 , , 7 .
A weighted summation of the normalized objective functions is then performed. Let w i represent the weight coefficient of the cost i ; the overall objective function for path planning can be formulated as Equation (15), and F represents the total cost function.
min F = i = 1 7 w i f i .
Following the weight parameter settings of the relevant models in reference [45], this study assigns corresponding weights to multiple objective functions. The weights of f L , f g , f b , f F , f S , f A , and f h are 0.29, 0.06, 0.06, 0.06, 0.06, 0.24, and 0.23, respectively. Finally, the objective function is formed by summing the weighted objectives.

2.3.3. UAV Maneuverability Constraints

To ensure that the planned path satisfies the requirements for multi-UAVs operations, a series of constraints must be considered. These constraints are addressed from two perspectives, namely the intrinsic performance limitations of the UAVs and the cooperative constraints.
The maneuverability constraints for the UAVs in this study are provided in Equations (16)–(21):
j = 1 p l i j < L max , i N ,
H min h i j H max , i N , j = 1 , , p ,
a i j T a i j + 1 a i j a i j + 1 cos ( ω max ) , i N , j = 1 , 2 , 3 , , p 1 ,
| Z i j Z i j + 1 | | a i j | t a n ϕ max , i N , j = 1 , 2 , 3 , , p 1 ,
X i ( t ) X j ( t ) d safe , i j i , j N * ,
max T min 1 , T min 2 , T min n min T max 1 , T max 2 , T max n 0 .
Equation (16) represents the maximum range constraint. If in-flight energy supply is not considered, the maximum flight distance of the UAV is limited by its energy capacity, and thus the flight range must not exceed the maximum range of L max . Equation (17) specifies the flight altitude constraint, whereby the UAV’s altitude must remain within a certain range to ensure flight safety. Equation (18) addresses the maximum turning angle constraint, also known as the maximum yaw angle, which represents the maximum allowable horizontal turning angle as the UAV transitions from the current path segment to the next. This turning angle must be within the maximum limit for the UAV to proceed safely. Equation (19) defines the maximum angle of attack constraint, as exceeding the maximum climb angle may lead to stalling, resulting in a potential safety hazard. Equation (20) introduces the constraint to prevent collisions between multiple UAVs, and X i ( t ) X j ( t ) is the distance between UAV i and UAV j at the time t . For UAVs departing from different locations, it is assumed that there is sufficient spatial separation in independent tasks. However, when multiple UAVs share the same starting and target fire points, there exists a risk of collision during task execution, so the distance between UAVs must not be less than d s a f e . Equation (21) represents the time coordination constraint for multiple UAVs. For an individual UAV i , its estimated time to reach the task point can be predicted as T min i , T max i . This constraint ensures that the flight time ranges of multiple UAVs heading to the same fire point have a non-empty intersection. During this intersection, these UAVs can arrive intensively and release fire-extinguishing bombs collectively.

2.4. Multi-UAVs Firefighting Task Allocation Modeling

2.4.1. Symbol Description for Task Allocation Model

A multi-UAVs firefighting task allocation model is developed to optimize the scheduling of multiple UAVs dispatched from various bases to multiple fire points in forested mountainous areas. According to the path planning model, the distances of UAV routes from base stations D b to different target fire points D f are calculated. A notation explanation is provided in Table 2.

2.4.2. Objective Functions of the Task Allocation Model

A multi-objective task allocation model is established to enhance task completion efficiency and optimize the allocation of UAV resources. This model comprises three objective functions, as indicated in Equations (22)–(24):
U B , t o t a l = i = 1 m u = 1 U j = 1 n X i , u , j   ,
T m a x = max T i , u , j ,
T s u m = i = 1 m u = 1 U j = 1 n T e s t ( i , j ) X i , u , j .
Equation (22) returns the number of dispatched UAVs, seeking to complete the firefighting task with as few UAVs as possible. Equation (23) returns the arrival time of the last UAV, signifying the successful arrival of all UAVs assigned to the task at the target fire points. Equation (24) returns the total flight cost. By satisfying the firefighting mission requirements, the cumulative flight time of all UAVs is reduced, thereby maximizing resource savings. Because the total number of UAVs and the promptness of collective operations often conflict under actual conditions, these three objectives cannot all reach their individual optima in a single solution.
Therefore, this study integrates the three objectives into a unified optimization framework by employing a Pareto-based approach, generating a set of Pareto-optimal solutions during the selection or design of the solving algorithm. To achieve an optimal balance among UAV quantity, arrival punctuality, and total flight cost, the objective functions of this task allocation model are specified in Equation (25).
min ( U B , t o t a l , T m a x , T s u m ) .

2.4.3. Constraints of the Task Allocation Model

The constraints of the task allocation model in this study are presented in Equations (26) and (27):
i = 1 m u = 1 U X i , u , j U j t , j D f , t ,
j = 1 n X i , u , j 1 , i D b , u U B .
Equation (26) enforces the constraint on the number of dispatched UVAs, requiring that each fire point is assigned at least the necessary number of UAVs. Equation (27) represents the constraint on the number of UAV dispatches, ensuring that each UAV is deployed at most once, while also limiting the number of UAVs dispatched from each base to not exceed the maximum allowable quantity.

3. Algorithm Design

To solve the two components of the task planning problem, the MP–GWO is used to solve the UAV path planning model, while the NSGA-II is employed to solve the multi-UAVs task allocation model.

3.1. Multi-Population Grey Wolf Optimizer (MP–GWOMP–GWO)

The grey wolf optimizer (GWO), introduced by Mirjalili in 2014 [53], is inspired by the leadership hierarchy and hunting mechanisms of grey wolves in the natural world. The optimization process primarily involves social hierarchy, encircling prey, and attacking prey. Additionally, GWO has been widely applied to UAV path planning problems [54]. However, the original GWO algorithm is relatively simple and performs inadequately on multimodal problems, exhibiting instability when solving multi-UAVs path planning issues in complex environments.
For the MP–GWO algorithm designed in this study, the initial solution is generated using the firefly algorithm. Then, the initial population is divided into multiple subpopulations via K-means clustering. During population position updates, Gaussian mutation is applied to perturb the positions, thereby enhancing the algorithm’s local search capability. Additionally, an information exchange mechanism is established between multiple populations.
The firefly algorithm has a simple structure, fast computation speed, and strong global search capability [55]. Due to the complexity of the MP–GWO algorithm, a combination optimization approach is employed to obtain a more effective initial solution at a lower computational cost, thereby improving the overall efficiency of the computation. The firefly algorithm is used to quickly generate the initial solution for the MP–GWO algorithm [56]. However, this combination increases computational overhead and carries the risk of redundant optimization.
Through K-means clustering, different grey wolf individuals are divided into multiple sub-populations, clustering the initially generated paths and assigning each sub-population to independently optimize within its respective local area. After generating a large number of grey wolf individuals, k individuals (serving as k cluster centers) are randomly selected to initialize the population, denoted as C 1 ,   C 2 ,   ,   C k . Then, the Euclidean distance from each grey wolf individual to each cluster center is calculated according to Equation (28).
d i , j = n = 1 dim X i , n C j , n 2 ,
where d i , j represents the distance between grey wolf individual i and cluster center j , X i , n denotes the coordinate of grey wolf individual i in the n -th dimension, and C j , n denotes the coordinate of the cluster center j in the n -th dimension.
Each grey wolf individual is assigned to its nearest cluster center, thereby forming k subgroups. For each subgroup, the cluster center is recalculated based on the positions of all individuals within that subgroup. The updated formula for each cluster center C j is
C j = 1 N j i = 1 N j X i ,
where N j is the number of search agents in the subgroup j , and X i represents the position information of search agent i . This process is repeated until the cluster centers no longer undergo significant changes.
Meanwhile, Gaussian mutation improves the randomness of the search process, allowing individuals in the solution space to deviate from their current positions, thereby exploring a broader solution space.
A mechanism for inter-population individual migration and information sharing is established to facilitate communication among multiple populations, enabling the exchange of path information.
This information exchange mechanism is triggered every two generations, during which two populations are randomly selected, followed by a random selection of a subset of individuals from each subpopulation for exchange. This process enables different subpopulations to share advantageous path information within the search space. Ultimately, the flowchart of the MP–GWO is illustrated in Figure 5.
Regarding the time complexity of the path planning algorithm, the multi-population gray wolf optimizer (MP–GWO) algorithm presented in this study is primarily influenced by three components, namely the generation of initial solutions, K-means clustering, and the main loop. The number of iterations for the firefly algorithm used to generate initial solutions is relatively low, and the K-means clustering algorithm is solely applied to the initial solutions. Consequently, these two components have a lesser impact on the overall time complexity compared to the main loop.
Within the main loop of the MP–GWO algorithm, the time complexity is affected by the number of populations, the number of individuals within each population, and the number of iterations. During each iteration, the algorithm updates the positions and evaluates the fitness of every gray wolf in each population, resulting in a computational load that increases linearly with both the number of populations and the number of individuals. Additionally, the total running time of the algorithm is directly proportional to the predefined number of iterations.
Therefore, although the time complexity of the MP–GWO algorithm is slightly higher than that of the original GWO algorithm, the time complexity within the main loop remains consistent with that of the original GWO. As a result, the overall time complexity of the MP–GWO algorithm can be approximated to be equivalent to that of the original GWO algorithm.

3.2. Improved NSGA-II Algorithm

In this study, the NSGA-II employs integer chromosome encoding, where a position on the chromosome represents a UAV stationed at a base, and the integer at that position indicates the index of a fire point. The algorithm flowchart is illustrated in Figure 6.
The improved NSGA-II incorporates elements from the original NSGA-II, proposed by Deb et al. [57], regarding tournament selection, fast non-dominated sorting, and crowding distance calculation.

3.2.1. Genetic Operators: Improved Order Crossover and Secondary Mutation

Genetic operators drive diversity in evolutionary algorithms. Here, an improved Order Crossover (OX) and a secondary mutation scheme balance exploration and exploitation, mitigating identical individuals while preserving diversity and reducing premature convergence.
Crossover operations are a primary source for the generation of new individuals within the population. However, the conventional order crossover (OX) operator becomes ineffective when identical parent chromosomes exist, as it cannot introduce sufficient variability in the offspring. To mitigate this issue, the improved OX proposed here positions one chromosome segment at the front and another at the back when identical parents are detected, removing duplicate nodes in different orders to produce distinct offspring. As illustrated in Figure 7, this enhancement helps maintain diversity by ensuring that even when parent chromosomes share the same sequence, the resulting offspring exhibit meaningful variations in their genetic makeup.
To further diversify offspring solutions, this study employs a secondary mutation strategy as part of the NSGA-II. First, a two-point exchange mutation randomly selects two gene positions in an individual and swaps them, effectively reassigning the tasks of two different UAVs. Then, a random alteration mutation replaces a specific gene’s task point with a different task or changes it to a no-task state. Such an approach ensures that the newly generated offspring can maintain diversified solutions in the population, thereby mitigating premature convergence and improving search efficiency.

3.2.2. Main Loop Process of the Algorithm

In the main loop of NSGA-II, parent and offspring populations are initially merged, followed by fast non-dominated sorting and crowding distance evaluation. Subsequently, new offspring are generated through selection, crossover, and mutation operations. Next, individuals are optimally selected from the combined population to replenish the parent population. Finally, the generation count is updated and the process is repeated until termination criteria are met.The main loop process of the NSGA-II is outlined in Algorithm 1.
The time complexity of the improved NSGA-II algorithm is primarily influenced by four components, namely initial population generation, fast non-dominated sorting, crowding distance computation, and the main loop. The initial population is generated randomly, resulting in relatively low time complexity. The fast non-dominated sorting process requires pairwise comparisons among all individuals in the population to determine dominance relationships, constituting the most computationally intensive part of the algorithm and exhibiting a quadratic relationship with respect to the number of objectives and population size. The crowding distance calculation scales with the number of individuals. Within the main loop, fast non-dominated sorting remains the most computationally intensive component and the time complexity of the main loop scales directly with the number of iterations.
Algorithm 1. Main loop flow of the NSGA-II.
Pseudo code of the main loop of NSGA-II
1:While  G e n < G e n max   , do
2: create merged population R Gen   by combining P Gen   and Q Gen   .
3: Subject the individuals in R Gen   to fast non-dominated sorting yields the all fast non-dominated sort sets of R Gen   , denoted as Γ = Γ 1 , Γ 2 , .
4: Initialize the G en + 1 generation population, and set P G en + 1 = and i = 1
5: until the parent population is filled P Gen   + 1 < N .
6:  Calculate the crowding distance of Γ ι .
7:  Include i -th non-dominated front Γ ι into the parent population P Gen   + 1
8:   i = i + 1 .
9: Sort Γ ι in descending order using operator n .
10: Choose the firstN elements of P Gen + 1 .
11: Use selection, crossover, and mutation to create a new population Q Gen + 1 from P Gen   + 1 .
12: The iteration step number increases G e n = G e n + 1 .
13:End

4. Case Analysis

4.1. Case Description

To evaluate the effectiveness of the proposed model and algorithms, a multi-UAVs firefighting simulation was conducted in the mountainous region of Christmas Island, Australia. The environmental threats were defined and the UAV bases were strategically deployed within the area. The MP–GWO was employed for path planning, while the NSGA-II was utilized to allocate firefighting tasks. Details of the bases, fire points, and environmental threats in the case scenario are presented in Table 3.
The experimental case was conducted in the mountainous region of Christmas Island, with a maximum elevation of 292 m and an area of 0.92 km2. The parameters related to environmental threats and UAV firefighting capabilities are presented in Table 4.

4.2. Algorithm Validation

The efficacy and practical viability of the proposed algorithm were validated through a designed case scenario featuring five target fire points and three UAV bases, employing the relevant environmental threat parameters delineated in Section 4.1. In the aforementioned case, simulation experiments were conducted for multi-UAV wildfire suppression in forested mountainous areas. The experimental environment utilized a 3.20 GHz AMD Ryzen 7 5800H processor with Radeon Graphics, and all code was programmed using MATLAB R2023a. The parameter settings for the MP–GWO and NSGA-II algorithms, which were employed to solve this case, are provided in Table 5.

4.2.1. Algorithm Benchmark Testing

Before conducting path planning and task allocation, benchmark testing is performed to validate the effectiveness of the proposed MP–GWO and improved NSGA-II. Appropriate single-objective and multi-objective optimization test problems are selected to evaluate the algorithms, and comparisons are made with other algorithms.
(1)
Benchmark Testing of MP–GWO
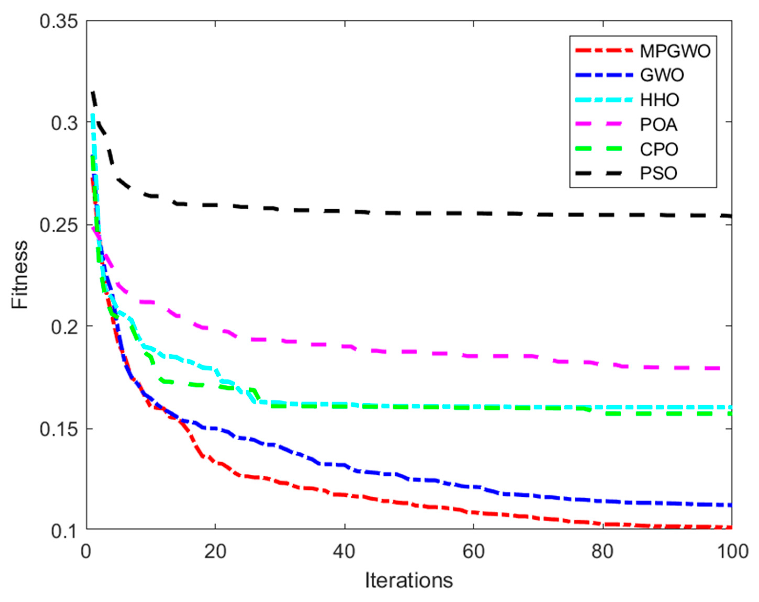
The CEC2017 benchmark set, released by the IEEE International Conference on Evolutionary Computation [58], was used for evaluation of the MP–GWO. Three hybrid functions and three composition functions were selected for testing. Specifically, F 10 , F 16 , and F 17 refer to the hybrid functions in the CEC2017 set, while F 21 , F 23 , and F 24 correspond to the composition functions. The relevant information for the selected functions is provided in Table 6. Additionally, the grey wolf optimizer (GWO) [53], pelican optimization algorithm (POA) [27], Harris hawks optimization algorithm (HHO) [28], crested porcupine optimizer (CPO) [29], and particle swarm optimization (PSO) [30] have also been employed to solve the functions in the test set. The maximum number of iterations was set to 500, with a population size of 400. Each algorithm was tested independently 20 times. The parameters for the newly introduced algorithm are summarized in Table 7.
The statistical analysis of the results from 20 independent experiments is presented in Table 8. The average convergence curve for these 20 runs is illustrated in Figure 8. Based on the results shown in Table 8 and Figure 8, it can be observed that, among the six classical test functions, MP–GWO outperforms GWO, POA, HHO, CPO, and PSO in terms of performance. MP–GWO yields superior average results with smaller standard deviations and better robustness when solving more complex hybrid and composition functions, while the other algorithms exhibit poorer solution quality and stability. This indicates that MP–GWO’s optimization capability is superior to that of several common swarm intelligence algorithms in addressing certain complex optimization problems, with improvements in search performance.
(2)
Benchmark Testing of the improved NSGA-II
Similarly, benchmark testing of the improved NSGA-II algorithm was conducted using three multi-objective optimization problems from the CEC 2020 Special Session on Multimodal Multi-objective Optimization [59]. The information on the selected multi-objective optimization problems is presented in Table 9.
The original NSGA-II algorithm [57] was compared with the improved NSGA-II algorithm presented in this study, using the same crossover and mutation probabilities as the improved algorithm. The maximum number of iterations was set to 500, with a population size of 200. Each algorithm was independently tested 20 times. The results of the solutions are shown in Table 10.
The Pareto sets proximity (PSP) metric evaluates the proximity of the obtained Pareto set to the reference Pareto set. Its reciprocal value, 1/PSP, is used as a performance indicator. The hypervolume (HV) metric evaluates the diversity and coverage of the generated solutions in the objective space.
As observed from Table 11, the improved NSGA-II generates solutions that cover a larger volume in the objective space, exhibiting superior uniformity and diversity. Meanwhile, in the decision space, the quality of solutions generated by the Improved NSGA-II is higher, with better overall coverage across the entire decision space.

4.2.2. Validation of Enhanced MP–GWO Algorithm for Single UAV Path Planning

Based on the forested mountainous fire environment, three-dimensional path planning simulations for a single UAV from the base to the target fire point were conducted using the MP–GWO. Within the multi-population grey wolf optimizer (MP–GWO), each grey wolf individual encapsulates a flight trajectory from the UAV base to a designated target fire point. Each individual encodes a series of waypoints that define the UAV’s path, integrating considerations such as obstacle avoidance, flight altitude, and flight duration. The population comprises multiple grey wolf individuals, representing a diverse set of candidate solutions that explore the expansive search space inherent in complex mountainous terrains. MP–GWO emulates the hierarchical leadership and cooperative hunting strategies of grey wolves. Alpha wolves steer the search toward promising regions of the solution space, while beta and delta wolves refine these solutions, ensuring convergence toward the optimal flight path.
To further validate the effectiveness of the MP–GWO, 20 comparative experiments were conducted using the route from base 1 to target fire point 3, with the performance comparison of the algorithms summarized in Table 11, with the convergence curves of the six algorithms illustrated in Figure 9. Compared to the five algorithms—GWO, HHO, CPO, POA, and PSO—, while the average runtime of MP–GWO is slightly lower than that of the fastest method, the margin is tiny, and its performance remains highly competitive. Specifically, the average flight time was reduced by 0.5%, 10.2%, 8.8%, 2.9%, and 12.4%, respectively. The MP–GWO algorithm exhibits a distinct advantage in convergence accuracy, resulting in flight trajectories with lower associated costs. In the multi-population architecture of MP–GWO, multiple subpopulations operate concurrently, each potentially concentrating on distinct regions of the search space or different aspects of the optimization criteria. This segmentation facilitates parallel exploration and exploitation, enabling the algorithm to efficiently conduct path planning in complex wildfire scenarios. Interactions among populations enhance diversity, thereby accelerating the discovery of global optima. Consequently, the MP–GWO algorithm exhibits a distinct advantage in convergence accuracy, resulting in flight trajectories with lower associated costs.
Table 11. Comparison of solution results of the six algorithms.
Table 11. Comparison of solution results of the six algorithms.
AlgorithmBest Flight Time/sWorst Flight Time/sAverage Flight Time/sStandard DeviationThe Average Runtime/s
MP–GWO92.595.293.70.716.1
GWO92.897.794.21.215.7
HHO99.3108.4104.32.353.6
CPO95.0106.5102.72.729.9
POA93.3100.196.51.831.1
PSO100.9113.7107.03.215.8
To further compare the performance of the six algorithms, path planning was conducted for a single UAV from base station 1 to target fire points 3, with iterations set from 50 to 200, and a total of 20 simulations were performed. The three-dimensional views and top-down views of the simulation results are presented in Figure 10, respectively, while the comparative results of 20 simulation runs for different iteration counts are illustrated in Table 12.
For each UAV base, with the UAV speed kept constant at 30 km/h, the MP–GWO was employed to solve for the path of a single UAV from each base to every target fire point, conducting a total of 20 simulations. The resulting average path lengths and flight times are presented in Table 13.
To further validate the robustness and applicability of the path planning algorithm, two additional scenarios with distinct environmental parameters were incorporated for testing, as detailed in Table 14. UAV path planning was conducted under these new scenarios using various algorithms, and the resulting path planning outcomes are illustrated in Figure 11. As depicted, the proposed path planning algorithm exhibits superior adaptability, delivering higher quality path planning results within the same scenario.

4.2.3. Validation of Improved NSGA-II Algorithm for Firefighting Task Allocation

Based on the path planning results of a single UAV, the multi-UAVs firefighting task allocation model is solved using the NSGA-II. In this study, the chromosomes in the improved NSGA-II algorithm are encoded as integers, with each gene at a specific position on the chromosome representing a UAV from a different base. The value of the gene indicates the fire point to which the UAV is assigned or denotes that the UAV is unassigned.
In this study, the crowding distance is utilized within the Pareto front to obtain the optimal solutions. The crowding distance in the NSGA-II algorithm is a metric based on the estimation of solution density in the objective space, designed to maintain population diversity and prevent premature convergence of solutions during the optimization process. This Pareto front illustrates the multi-objective optimization results of the task allocation. The scatter points forming the pareto front represent a set of non-dominated solutions, meaning that no solution within this set can be further optimized in any objective without compromising others. To prioritize the retention of solutions in sparse regions during the selection process and enhance population diversity, NSGA-II introduces the crowding distance d i as a metric to measure the distribution density among solutions within the solution set. This enables an effective exploration of the Pareto front. x i represents a non-dominated solution to a multi-objective optimization problem. This enables an effective exploration of the Pareto front. The crowding distance d i of solution x i can be defined as follows:
d i = m = 1 M f m , n o r m x ( i + 1 ) f m , n o r m x ( i 1 ) f m , max f m , min .
In the equation, f m , max and f m , min represent the maximum and minimum values of objective in the current population, respectively, and M denotes the total number of objective m functions. f m , n o r m x is the normalized value of objective function m at solution x i . The solution with the maximum crowding distance is ultimately selected as the optimal solution. Therefore, the obtained pareto front is shown in Figure 12, where the red point represents the solution with the largest crowding distance in the Pareto front.
Using the NSGA-II, the task allocation results for multiple UAVs in a forested mountainous fire environment are presented in Table 15. In this allocation, UAVs 1 to 6 are assigned to base 1, UAVs 7 to 12 are assigned to base 2, and UAVs 13 to 18 are assigned to base 3.
The task allocation results derived from the NSGA-II show that, among all the UAVs, the one with the latest arrival time at the target fire point is the UAV from base 3 heading to fire point 5. Therefore, the latest arrival time for this firefighting task is 82.8 s.

4.2.4. Multiple UAVs Path Planning Results

Based on the firefighting task allocation results obtained from the NSGA-II, an example is provided where three UAVs are dispatched from base 1 to fire point 3 for the firefighting task. The MP–GWO was used to solve the multi-UAVs path planning model. The multi-UAVs path planning results are depicted in Figure 13.
In this task, the total cost of the collaborative path planning for the three UAVs and the comparative results for each cost component are illustrated in Figure 14. The path costs of the three UAVs performing the task are similar, indicating that the algorithm has effectively distributed the workload among the UAVs.
Ultimately, when only a single UAV is assigned to a fire point from a base, the results from the first stage of single-UAV path planning are applied. When multiple UAVs are assigned to a fire point from a base, the results from the third stage of multi-UAVs path planning are utilized. After performing calculations for all three stages, the last UAV to reach the fire point in this task took 82.8 s. The resulting task completion data are presented in Table 16.

4.3. Sensitivity Analysis

To investigate the impact of various factors on the completion of firefighting tasks, sensitivity analyses were conducted on UAV speed, UAV payload capacity, and the number of fire points.

4.3.1. Sensitivity Analysis of UAV Speed

Initially, the case of three UAVs dispatched from base 1 to fire point 3 in scenario 1 is examined to assess the impact of UAV speed variations on the total flight path distance and overall fitness cost in path planning outcomes, excluding considerations of mission failure. The comparative results are presented in Figure 15. As the speed increases, the total cost gradually decreases, while the overall trajectory length exhibits minimal fluctuations at different speeds. Therefore, an appropriate increase in UAV speed can effectively optimize the operational cost.
Velocities ranging from 27.5 km/h to 40 km/h were tested to explore the impact of UAV speed on the effectiveness of multiple UAVs firefighting missions. The results are presented in Table 17. At a speed of 27.5 km/h, the firefighting mission could not be completed. As the UAV speed increased from 30 km/h to 40 km/h, reductions in total flight distance and total flight time were observed, along with a decreasing trend in the number of participating UAVs. With increasing speed, the total number of remaining fireballs and the average number of remaining fire-extinguishing balls per UAV exhibited a trend of initially decreasing and then increasing. Furthermore, based on the obtained results, UAVs operating at 35 km/h demonstrated optimal performance in terms of mission execution efficiency and the number of remaining task fireballs.

4.3.2. Sensitivity Analysis of UAV Payload Capacity

The flight times of all UAVs in the firefighting task were tested as a function of changes in the UAVs’ firefighting capabilities, which were set to 80%, 100%, 120%, 140%, 160%, 180%, and 200% of the current firefighting capacity. The variation in the total flight time of all UAVs during the firefighting operation, as the UAVs’ firefighting capabilities change, is presented in Table 18. As the payload of unmanned aerial vehicles (UAVs) changes, their firefighting capabilities are also affected. The results indicate that when the UAV’s payload capacity is limited to only 80% of its current capacity, the firefighting task cannot be completed with the available UAVs. However, as the payload capacity of the UAVs increases, there is a noticeable decline in the number of UAVs required for the task, as well as in the total flight time and distance. Moreover, as the number of fire points increases within a certain range, the total number of remaining fire-extinguishing balls and the average number of remaining fire-extinguishing balls per UAV exhibit an initial upward trend. Consequently, although increasing the payload capacity of individual UAVs can enhance task efficiency, it may also lead to wastage of firefighting resources. UAV bases should consider deploying UAVs with varying payload capacities to optimize firefighting efficiency while minimizing resource wastage.

4.3.3. Sensitivity Analysis of the Number of Fire Points

During periods of frequent forest fires, UAV bases need to maintain a larger fleet of UAVs. By doubling the number of UAVs assigned to each base, an additional fire point is introduced sequentially around the original five fire points, with the total number of fire points examined at 6, 7, 8, 9, and 10. The resulting impact on firefighting operations is shown in Table 19. As the number of fire points increases, the number of UAVs required for firefighting tasks, total flight distance, and total flight time all exhibit an upward trend. Furthermore, as more UAVs from the same base are assigned to the same destination, the necessity for collision avoidance results in a total flight distance that exceeds the cumulative distance traveled by the same number of individual UAVs. To cover a larger number of fire points, a greater number of UAVs must be deployed, implying that, in mountainous areas prone to large-scale fires, a larger fleet of UAVs should be stationed at the base. Finally, as the number of fire points increases, the total number of remaining fire-extinguishing balls exhibits an upward trend. However, the average number of remaining fire-extinguishing balls per UAV shows a fluctuating pattern, initially increasing and then decreasing within a certain range. Therefore, it is essential to allocate the fire-extinguishing balls for each UAV based on specific task requirements to avoid the wastage of firefighting resources.
In summary, this study conducts a sensitivity analysis from three aspects, namely UAV speed, UAV payload capacity, and the number of fire points, thereby elucidating the critical role of UAV performance in multi-firepoint firefighting missions. With the advancement of UAV technology, enhancements in speed and payload capacity are inevitable. However, due to the uncertainty of fires, UAVs usually need to carry sufficient firefighting resources, which leads to a waste of firefighting resources. Consequently, the sensitivity analysis related to UAV performance presented in this research offers valuable insights for task allocation involving UAVs with varying performance levels in future real-world firefighting scenarios. Additionally, to minimize the wastage of firefighting resources, UAV bases must allocate extinguishing resources to each UAV judiciously based on specific task requirements. Furthermore, deploying UAVs with diverse performance characteristics can optimize overall firefighting efficiency and response speed, ensuring effective and sustainable firefighting operations in complex and dynamic forest fire environments.

5. Conclusions

In response to the shortcomings of traditional multi-UAV firefighting task planning methods, which fail to adequately consider the fire environment, this paper proposes a task planning approach for multi-UAV, multi-fire point rescue operations in forested mountainous regions. Task planning is divided into three stages, namely single-UAV task estimation, task allocation, and multi-UAV collaborative path planning. An improved multi-population grey wolf optimization (MP–GWO) algorithm and the NSGA-II algorithm are employed to solve the path planning and task allocation problems, respectively.
To validate the effectiveness of the path planning algorithm, the MP–GWO algorithm is compared with five other algorithms, namely GWO, HHO, CPO, POA, and PSO. MP–GWO achieves higher solution quality and greater result stability when solving complex problems in benchmark tests. The path planning results indicate that the proposed MP–GWO algorithm exhibits superior global optimization capability, maintaining high-quality path planning in the complex conditions of forested mountainous environments. Compared to the other five algorithms, the MP–GWO algorithm achieves better optimization accuracy, with the average flight time reduced by 0.5%, 10.2%, 8.8%, 2.9%, and 12.4%, respectively. Additionally, the improved NSGA algorithm, compared to the original version, demonstrates advantages in both solution quality and coverage. These findings confirm that the proposed task planning method can efficiently execute firefighting missions in complex mountainous forest environments.
Sensitivity analysis is employed to investigate the impact of factors such as UAV speed and payload on firefighting efficiency. As the speed of the UAV increases, the overall flight time decreases, but the number of remaining fire-extinguishing balls first decreases and then increases. When UAV payload capacity is reduced to 80% of its original capacity, tasks become unfeasible. As the payload capacity increases, the total number of remaining fire-extinguishing balls in the UAVs gradually increases. When the payload capacity is increased to 200%, a total of 61 fire-extinguishing balls remain, with the average number of remaining fire-extinguishing balls per UAV rising from 2.7 to 8.7. Furthermore, as the number of fire points increases, the total number of remaining fire-extinguishing balls also shows an upward trend, with 60 fire-extinguishing balls remaining when the number of fire points reaches 10. Therefore, to ensure optimal UAV deployment at base stations, a balance must be struck between UAV performance and quantity, while also allocating an appropriate number of fire-extinguishing balls to UAVs tasked with different tasks to prevent resource waste and uneven distribution. However, in the current study, the flame spread model does not fully consider the varying terrains, climatic conditions, and fuel types. The detailed fire suppression model combined with the fire intensity and extinguishing efficiency is not covered. To accommodate more complex and dynamic fire scenarios, the performance and computational efficiency of the proposed algorithm in large-scale UAV fleet optimization need to be further verified.
Future research could explore the following directions: (1) considering real-time weather changes, terrain diversity, fuel types to enhance the algorithm’s robustness and adaptability in dynamic environments; (2) investigating collaborative firefighting strategies involving UAVs and other firefighting resources, exploring multi-resource joint optimization strategies that leverage the strengths of UAVs, helicopters, and ground firefighting teams to further improve overall firefighting efficiency and response speed; (3) integrating economic loss assessment models with more realistic and complex fire environment simulation models to enhance the practical application value of the research, providing more comprehensive decision support; (4) in-depth research on UAV charging and battery swapping strategies, which is essential to ensure sustained, high-efficiency firefighting operations, further enhancing the practicality and sustainability of UAVs in actual firefighting actions.

Author Contributions

Conceptualization, P.Z., S.J. and Q.S.; methodology, P.Z. and S.J.; software, S.J.; validation, S.J. and P.Z.; formal analysis, J.Z. and Z.S.; investigation, S.J., P.Z. and J.Z.; resources, P.Z. and Q.S.; data curation, S.J. and Z.S.; writing—original draft preparation, S.J. and Z.X.; writing—review and editing, P.Z. and J.Z.; visualization, S.J. and Z.X.; supervision, P.Z.; project administration, P.Z.; funding acquisition, P.Z. All authors have read and agreed to the published version of the manuscript.

Funding

This research was funded by the National Natural Science Foundation of China, grant numbers 52202416 and U2233208, Opening Fund of Key Laboratory of Civil Aviation Emergency Science & Technology (CAAC), Nanjing University of Aeronautics and Astronautics, grant number NJ2022022, Jiangsu Funding Program for Excellent Postdoctoral Talent, the supporting funds for talents of Nanjing University of Aeronautics and Astronautics.

Institutional Review Board Statement

Not applicable.

Informed Consent Statement

Not applicable.

Data Availability Statement

The original contributions presented in this study are included in the article. Further inquiries can be directed to the corresponding author.

Conflicts of Interest

The authors declare no conflicts of interest.

References

  1. Alsammak, I.L.H.; Mahmoud, M.A.; Aris, H.; AlKilabi, M.; Mahdi, M.N. The use of swarms of unmanned aerial vehicles in mitigating area coverage challenges of forest-fire-extinguishing activities: A systematic literature review. Forests 2022, 13, 811. [Google Scholar] [CrossRef]
  2. Filkov, A.I.; Ngo, T.; Matthews, S.; Telfer, S.; Penman, T.D. Impact of Australia’s catastrophic 2019/20 bushfire season on communities and environment. Retrospective analysis and current trends. J. Saf. Sci. Resil. 2020, 1, 44–56. [Google Scholar] [CrossRef]
  3. Evelpidou, N.; Tzouxanioti, M.; Gavalas, T.; Spyrou, E.; Saitis, G.; Petropoulos, A.; Karkani, A. Assessment of fire effects on surface runoff erosion susceptibility: The case of the summer 2021 forest fires in Greece. Land 2021, 11, 21. [Google Scholar] [CrossRef]
  4. Zhang, F.; Dong, Y.; Xu, S.; Yang, X.; Lin, H. An approach for improving firefighting ability of forest road network. Scand. J. For. Res. 2020, 35, 547–561. [Google Scholar] [CrossRef]
  5. Attri, V.; Dhiman, R.; Sarvade, S. A review on status, implications and recent trends of forest fire management. Arch. Agric. Environ. Sci. 2020, 5, 592–602. [Google Scholar] [CrossRef]
  6. Mohsan, S.A.H.; Othman, N.Q.H.; Li, Y.; Alsharif, M.H.; Khan, M.A. Unmanned aerial vehicles (UAVs): Practical aspects, applications, open challenges, security issues, and future trends. Intell. Serv. Robot. 2023, 16, 109–137. [Google Scholar] [CrossRef] [PubMed]
  7. Ollero, A.; Martınez-de-Dios, J.R.; Merino, L. Unmanned aerial vehicles as tools for forest-fire fighting. For. Ecol. Manag. 2006, 234, S263. [Google Scholar] [CrossRef]
  8. Soliman, A.M.S.; Cagan, S.C.; Buldum, B.B. The design of a rotary-wing unmanned aerial vehicles–payload drop mechanism for fire-fighting services using fire-extinguishing balls. SN Appl. Sci. 2019, 1, 1259. [Google Scholar] [CrossRef]
  9. Pastor, E.; Zarate, L.; Planas, E.; Arnaldos, J. Mathematical models and calculation systems for the study of wildland fire behaviour. Prog. Energy Combust. Sci. 2003, 29, 139–153. [Google Scholar] [CrossRef]
  10. Weber, R.O. Toward a comprehensive wildfire spread model. Int. J. Wildland Fire 1991, 1, 245–248. [Google Scholar] [CrossRef]
  11. McArthur, A.G. Prescribed burning in Australian fire control. Aust. For. 1966, 30, 4–11. [Google Scholar] [CrossRef]
  12. Wang, Z.F. Measurement method of initial spread rate of hill fire. Mt. Res. 1983, 2, 42–51. [Google Scholar]
  13. Mao, X.M. The role of wind and topography on the spread rate of forest fires. J. Appl. Meteorol. 1993, 1, 100–104. [Google Scholar]
  14. Rothermel, R.C. A Mathematical Model for Predicting Fire Spread in Wildland Fuels; Intermountain Forest & Range Experiment Station, Forest Service: Washington, DC, USA, 1972; Volume 115. [Google Scholar]
  15. Finney, M.A. FARSITE, Fire Area Simulator-Model Development and Evaluation; RMRS-RP-4 Revised; US Department of Agriculture, Forest Service, Rocky Mountain Research Station: Washington, DC, USA, 2004.
  16. McGrattan, K.; Hostikka, S.; Floyd, J.; McDermott, R.; Vanella, M. Fire Dynamics Simulator Technical Reference Guide Volume 1: Mathematical Model; National Institute of Standards and Technology: Gaithersburg, MD, USA, 2020. [Google Scholar]
  17. Zhou, F.R.; Guo, Y.N.; Qian, G.C.; Ma, Y.; Wang, G.F. Multi-factor coupled forest fire model based on cellular automata. J. Saf. Sci. Res. 2024, 5, 413–421. [Google Scholar]
  18. Xu, C.; Xu, M.; Yin, C. Optimized multi-UAV cooperative path planning under the complex confrontation environment. Comput. Commun. 2020, 162, 196–203. [Google Scholar] [CrossRef]
  19. Yao, J.; Sha, Y.; Chen, Y.; Zhang, G.; Hu, X.; Bai, G.; Liu, J. IHSSAO: An improved hybrid salp swarm algorithm and aquila optimizer for UAV path planning in complex terrain. Appl. Sci. 2022, 12, 5634. [Google Scholar] [CrossRef]
  20. Shi, K.; Zhang, X.; Xia, S. Multiple Swarm Fruit Fly Optimization Algorithm Based Path Planning Method for Multi-UAVs. Appl. Sci. 2020, 10, 2822. [Google Scholar] [CrossRef]
  21. Madridano, Á.; Al-Kaff, A.; Flores, P.; Martín, D.; de la Escalera, A. Software Architecture for Autonomous and Coordinated Navigation of UAV Swarms in Forest and Urban Firefighting. Appl. Sci. 2021, 11, 1258. [Google Scholar] [CrossRef]
  22. Çoğay, S.; Seçinti, G. Phoenix: Aerial Monitoring for Fighting Wildfires. Drones 2022, 7, 19. [Google Scholar] [CrossRef]
  23. Lin, K.; Zhang, L.; Huang, L.; Feng, Z.; Chen, T. Improved Particle Swarm Path Planning Algorithm with Multi-Factor Coupling in Forest Fire Spread Scenarios. Fire 2023, 6, 202. [Google Scholar] [CrossRef]
  24. Xu, Y.; Li, J.; Zhang, F. A UAV-Based Forest Fire Patrol Path Planning Strategy. Forests 2022, 13, 1952. [Google Scholar] [CrossRef]
  25. Fan, X.; Li, H.; Chen, Y.; Dong, D. A Path-Planning Method for UAV Swarm under Multiple Environmental Threats. Drones 2024, 8, 171. [Google Scholar] [CrossRef]
  26. Basiri, A.; Mariani, V.; Silano, G.; Aatif, M.; Iannelli, L.; Glielmo, L. A survey on the application of path-planning algorithms for multi-rotor UAVs in precision agriculture. J. Navig. 2022, 75, 364–383. [Google Scholar] [CrossRef]
  27. Trojovský, P.; Dehghani, M. Pelican optimization algorithm: A novel nature-inspired algorithm for engineering applications. Sensors 2022, 22, 855. [Google Scholar] [CrossRef] [PubMed]
  28. Heidari, A.A.; Mirjalili, S.; Faris, H.; Aljarah, I.; Mafarja, M.; Chen, H. Harris hawks optimization: Algorithm and applications. Future Gener. Comput. Syst. 2019, 97, 849–872. [Google Scholar] [CrossRef]
  29. Abdel-Basset, M.; Mohamed, R.; Abouhawwash, M. Crested Porcupine Optimizer: A new nature-inspired metaheuristic. Knowl. Based Syst. 2024, 284, 111257. [Google Scholar] [CrossRef]
  30. Meng, Q.; Chen, K.; Qu, Q. PPSwarm: Multi-UAV Path Planning Based on Hybrid PSO in Complex Scenarios. Drones 2024, 8, 192. [Google Scholar] [CrossRef]
  31. Zhang, Y.; Feng, W.; Shi, G.; Jiang, F.; Chowdhury, M.; Ling, S.H. UAV Swarm Mission Planning in Dynamic Environment Using Consensus-Based Bundle Algorithm. Sensors 2020, 20, 2307. [Google Scholar] [CrossRef] [PubMed]
  32. Luna, M.A.; Ragab, A.R.; Isac, M.S.A.; Peña, P.F.; Cervera, P.C. A new algorithm using hybrid UAV swarm control system for firefighting dynamical task allocation. In Proceedings of the IEEE International Conference on Systems, Man, and Cybernetics (SMC), Melbourne, Australia, 17–20 October 2021. [Google Scholar]
  33. Chen, J.; Luo, Q.; Zhou, Y.; Huang, H. Firefighting multi strategy marine predators algorithm for the early-stage Forest fire rescue problem. Appl. Intell. 2022, 53, 15496–15515. [Google Scholar] [CrossRef]
  34. Chen, J.; Guo, Y.; Qiu, Z.; Xin, B.; Jia, Q.-S.; Gui, W. Multiagent Dynamic Task Assignment Based on Forest Fire Point Model. IEEE Trans. Autom. Sci. Eng. 2022, 19, 833–849. [Google Scholar] [CrossRef]
  35. Bai, X.; Fielbaum, A.; Kronmüller, M.; Knoedler, L.; Alonso-Mora, J. Group-based distributed auction algorithms for multi-robot task assignment. IEEE Trans. Autom. Sci. Eng. 2022, 20, 1292–1303. [Google Scholar] [CrossRef]
  36. Li, Y.; Zhang, S.; Chen, J.; Jiang, T.; Ye, F. Multi-UAV cooperative mission assignment algorithm based on ACO method. In Proceedings of the 2020 International Conference on Computing, Networking and Communications (ICNC), Big Island, HI, USA, 30 March 2020. [Google Scholar]
  37. Zhang, C.; Hu, B.; Yan, F. Multiple UAVs Forest Fire Fighting using a hierarchical task planning method. In Proceedings of the 2021 2nd International Conference on Electronics, Communications and Information Technology (CECIT), Sanya, China, 1 April 2022. [Google Scholar]
  38. Innocente, M.S.; Grasso, P. Swarms of autonomous drones self-organised to fight the spread of wildfires. In Proceedings of the RSFF 2018 Robust Solutions for Fire Fighting: GEOSAFE Workshop on Robust Solutions for Fire Fighting, L’Aquila, Italy, 19–20 July 2018; pp. 30–39. [Google Scholar]
  39. Innocente, M.S.; Grasso, P. Self-organising swarms of firefighting drones: Harnessing the power of collective intelligence in decentralised multi-robot systems. J. Comput. Sci. 2019, 34, 80–101. [Google Scholar] [CrossRef]
  40. Hansen, R. Estimating the amount of water required to extinguish wildfires under different conditions and in various fuel types. Int. J. Wildland Fire 2012, 21, 778. [Google Scholar] [CrossRef]
  41. Penney, G.; Habibi, D.; Cattani, M.; Carter, M. Calculation of Critical Water Flow Rates for Wildfire Suppression. Fire 2019, 2, 3. [Google Scholar] [CrossRef]
  42. Ausonio, E.; Bagnerini, P.; Ghio, M. Drone Swarms in Fire Suppression Activities: A Conceptual Framework. Drones 2021, 5, 17. [Google Scholar] [CrossRef]
  43. John, J.; Harikumar, K.; Senthilnath, J.; Sundaram, S. An Efficient Approach With Dynamic Multiswarm of UAVs for Forest Firefighting. IEEE Trans. Syst. Man Cybern. Syst. 2024, 54, 2860–2871. [Google Scholar] [CrossRef]
  44. Geoscience Australia. Digital Elevation Model (DEM) of Australia Derived from LiDAR 5 Metre Grid; Commonwealth of Australia and Geoscience Australia: Canberra, Australia, 2015. [Google Scholar]
  45. Phung, M.D.; Ha, Q.P. Safety-enhanced UAV path planning with spherical vector-based particle swarm optimization. Appl. Soft Comput. 2021, 107, 107376. [Google Scholar] [CrossRef]
  46. Ma, Y.; Li, W.; Han, D.; He, Y.; Li, Q.; Bai, X.; Xu, D. Wireless Wave Attenuation in Forests: An Overview of Models. Forests 2024, 15, 1587. [Google Scholar] [CrossRef]
  47. Yuping, T.; Chengyu, J.; Bin, W.; Mingze, L. Forest fire spread prediction based on improved Wang Zhengfei model combined with cellular automata. J. Cent. South Univ. For. Technol. 2024, 44, 14–25. [Google Scholar]
  48. Rui, X.P.; Hui, S.; Yu, X.T.; Zhang, G.X.; Wu, B. Forest fire spread simulation algorithm based on cellular automata. Nat. Hazards 2018, 91, 309–319. [Google Scholar] [CrossRef]
  49. Lv, H.; Gu, Y.; Zhou, R.; Pei, P.; Cai, Z. An integrated quantitative method of risk analysis and decision making for safety manipulation of a forest firefighting aircraft by using physical models of Multi-Hazard factors. Heliyon 2024, 10, 22. [Google Scholar] [CrossRef] [PubMed]
  50. Lotrecchiano, N.; Sofia, D.; Giuliano, A.; Barletta, D.; Poletto, M. Pollution dispersion from a fire using a Gaussian plume model. Int. J. Saf. Secur. Eng. 2020, 10, 431–439. [Google Scholar] [CrossRef]
  51. Aydin, B.; Selvi, E.; Tao, J.; Starek, M.J. Use of fire-extinguishing balls for a conceptual system of drone-assisted wildfire fighting. Drones 2019, 3, 17. [Google Scholar] [CrossRef]
  52. Zhang, X.T.; Liu, P.S.; Wang, X.F. Research on the Improvement of Wang Zhengfei’s Forest Fire Spread Model. Shandong For. Sci. Technol. 2020, 50, 16–40. [Google Scholar]
  53. Mirjalili, S.; Mirjalili, S.M.; Lewis, A. Grey wolf optimizer. Adv. Eng. Softw. 2014, 69, 46–61. [Google Scholar] [CrossRef]
  54. Chao, K.H.; Rizal, M.N. A hybrid MPPT controller based on the genetic algorithm and ant colony optimization for photovoltaic systems under partially shaded conditions. Energies 2021, 14, 2902. [Google Scholar] [CrossRef]
  55. Kumar, V.; Kumar, D. A systematic review on firefly algorithm: Past, present, and future. Arch. Comput. Methods Eng. 2021, 28, 3269–3291. [Google Scholar] [CrossRef]
  56. Jarray, R.; Al-Dhaifallah, M.; Rezk, H.; Bouallègue, S. Parallel cooperative coevolutionary grey wolf optimizer for path planning problem of unmanned aerial vehicles. Sensors 2022, 22, 1826. [Google Scholar] [CrossRef]
  57. Deb, K.; Agrawal, S.; Pratap, A.; Meyarivan, T. A fast elitist non-dominated sorting genetic algorithm for multi-objective optimization: NSGA-II. In Parallel Problem Solving from Nature PPSN VI, Proceedings of the 6th International Conference, Paris, France, 18–20 September 2000; Springer: Berlin/Heidelberg, Germany, 2000. [Google Scholar]
  58. Wu, G.; Mallipeddi, R.; Suganthan, P.N. Problem Definitions and Evaluation Criteria for the CEC 2017 Competition on Constrained Real-Parameter Optimization; Technical Report; National University of Defense Technology: Changsha, China; Kyungpook National University: Daegu, Republic of Korea; Nanyang Technological University: Singapore, 2017. [Google Scholar]
  59. Liang, J.J.; Qu, B.; Gong, D.W.; Yue, C. Problem Definitions and Evaluation Criteria for the CEC 2019 Special Session on Multimodal Multiobjective Optimization; Computational Intelligence Laboratory, Zhengzhou University: Zhengzhou, China, 2019; pp. 353–370. [Google Scholar]
Figure 1. Schematic of multi-UAV firefighting task planning in forested mountainous areas.
Figure 1. Schematic of multi-UAV firefighting task planning in forested mountainous areas.
Fire 08 00061 g001
Figure 2. A three-dimensional representation of the mountainous environment.
Figure 2. A three-dimensional representation of the mountainous environment.
Fire 08 00061 g002
Figure 3. The signal shielding zone threat modeling.
Figure 3. The signal shielding zone threat modeling.
Fire 08 00061 g003
Figure 4. Three-dimensional flight environment representation of a UAV.
Figure 4. Three-dimensional flight environment representation of a UAV.
Fire 08 00061 g004
Figure 5. Flow chart of MP–GWO.
Figure 5. Flow chart of MP–GWO.
Fire 08 00061 g005
Figure 6. Flowchart of the NSGA-II.
Figure 6. Flowchart of the NSGA-II.
Fire 08 00061 g006
Figure 7. Improved OX.
Figure 7. Improved OX.
Fire 08 00061 g007
Figure 8. The convergence curves of the six algorithms on benchmarks. (a) Convergence curve of Function F 10 ; (b) convergence curve of Function F 16 ; (c) convergence curve of Function F 17 ; (d) convergence curve of Function F 21 ; (e) convergence curve of Function F 23 ; (f) convergence curve of Function F 24 .
Figure 8. The convergence curves of the six algorithms on benchmarks. (a) Convergence curve of Function F 10 ; (b) convergence curve of Function F 16 ; (c) convergence curve of Function F 17 ; (d) convergence curve of Function F 21 ; (e) convergence curve of Function F 23 ; (f) convergence curve of Function F 24 .
Fire 08 00061 g008
Figure 9. The convergence curves of the six algorithms.
Figure 9. The convergence curves of the six algorithms.
Fire 08 00061 g009
Figure 10. Path planning results for six algorithms. (a) Three-dimensional path visualization of the results from the six algorithms; (b) top-down view of the path results from the six algorithms.
Figure 10. Path planning results for six algorithms. (a) Three-dimensional path visualization of the results from the six algorithms; (b) top-down view of the path results from the six algorithms.
Fire 08 00061 g010
Figure 11. UAV path planning results in different scenarios. (a) Overall scene diagram of scenario 2; (b) top view of scenario 2; (c) overall scene diagram of scenario 3; (d) top view of scenario 3.
Figure 11. UAV path planning results in different scenarios. (a) Overall scene diagram of scenario 2; (b) top view of scenario 2; (c) overall scene diagram of scenario 3; (d) top view of scenario 3.
Fire 08 00061 g011
Figure 12. Pareto front of the task allocation model.
Figure 12. Pareto front of the task allocation model.
Fire 08 00061 g012
Figure 13. Multi-UAV path planning results. (a) Three-dimensional visualization of the multi-UAVs path planning results; (b) top view of the multi-UAVs path results.
Figure 13. Multi-UAV path planning results. (a) Three-dimensional visualization of the multi-UAVs path planning results; (b) top view of the multi-UAVs path results.
Fire 08 00061 g013
Figure 14. Cost results of multi-UAV path planning. (a) Total cost of each UAV; (b) bar chart of cost comparison for each UAV.
Figure 14. Cost results of multi-UAV path planning. (a) Total cost of each UAV; (b) bar chart of cost comparison for each UAV.
Fire 08 00061 g014
Figure 15. Sensitivity Analysis of UAV Speed on Total Cost and Path Length.
Figure 15. Sensitivity Analysis of UAV Speed on Total Cost and Path Length.
Fire 08 00061 g015
Table 1. Symbols for path planning models.
Table 1. Symbols for path planning models.
SymbolIllustrationSymbolIllustration
L The current flight distance of the UAV. The maximum flight distance is L max . D UAV diameter
l i The length of the path segment of the current path i . S Safe distance between UAV and signal shielding zone
H max , H min H max is the maximum flight altitude of the UAV and H min is the minimum flight altitude of the UAV. F i j High temperature area threat function
ω i j The turning angle between the j -th and j -th path segments of the i -th UAV. Its maximum value is ω max . ω lim is a relatively large value that does not exceed ω max . f F Total cost of high temperature zone threat
a i j The horizontal projection of the j -th path segment of the j -th UAV, where a i represents the magnitude of this vector h i j The maximum altitude of the j -th path segment of the i -th UAV relative to the ground below
ϕ i j The pitch angle between the j -th and j + 1 -th path segments of the i -th UAV. Its maximum value is ϕ max . ϕ l i m is a relatively large value that does not exceed ϕ max . h t Safety height boundary
d s a f e UAV collision avoidance safety distance ρ Threat Proportion Factor
V i ( t ) The location of UAV i at the time t C Smoke density
T min i , T max i The flight arrival time set of the i -th UAV performing the same task. T min i is the minimum flight time, and T max i is the maximum flight time. κ Smoke threat factor
f L Total length of UAV paths f S The cost of UAV swarms’ smog threat
g i j Terrain Threat Function f i Original cost function i
f g Total cost of terrain threat f i Normalized cost function i
μ Threat Proportion Factor f i * The ideal value for the i -th cost
d i s Threat Boundary Height f i N The worst value for the i -th cost
σ Threat Distribution Factor w i The weight coefficient of the cost i
d i j The shortest distance from the j -th path segment of the i -th UAV to the mountain surface. F Overall objective function
K The set of all signal shielding zones N The set of UAVs
d k Horizontal distance from the path segment to the center of the signal shielding area f A UAV flight angle cost
f b Signal shielding threat cost f h UAV flight altitude cost
R k The influence radius of the signal shielding zone Z i j The absolute height of the j -th path point of the i -th UAV
Table 2. Symbol description of the task allocation model.
Table 2. Symbol description of the task allocation model.
SymbolIllustration
D b The set of UAV base stations
U B The set of UAVs per base station, U B = 1 , , u , U
D f The set of fire points
X i , , u , j Decision variable, indicating whether the u -th UAV from base station i is dispatched to fire point j ; if the u -th UAV from base i is dispatched to fire point j , then X i , u , j = 1 ; otherwise, X i , u , j = 0
T i , u , j The flight time required for the u -th UAV from base i to fire point j ; if not dispatched, it is assigned a value of 0
T m a x The arrival time of the last UAV
U j t The number of UAVs required for fire point j at the time t
T e s t ( i , j ) The estimated flight time for an individual UAV from base station i to fire point j
U B , total The total number of UAVs dispatched for firefighting tasks
T s u m The total flight time of the UAVs dispatched for firefighting tasks
Table 3. Coordinate settings for multi-UAV operations.
Table 3. Coordinate settings for multi-UAV operations.
Region TypeCoordinates (x,y)Description
Base Location(165,230), (590,100), (970,200)The base stations where UAVs are deployed are base 1, base 2, and base 3 in order
High-temperature area location(430,360), (390,710), (515,560), (800,470)High-temperature area center coordinates
Fire points location(400,440), (530,510), (465,700), (725,465), (545,640)The destination where the UAVs needs to go to extinguish the fire are fire point 1 to fire point 5 in order
Singal shielding zone location(331,572), (643,698), (611,492), (703,358)The center coordinates of the signal shielding area
Table 4. Case parameter configuration.
Table 4. Case parameter configuration.
Parameter NameValueSource
UAV flight speed30 km/h— *
Number of UAVs per base4— *
Maximum pitch angle ϕ max 45°[45]
Maximum turning angle ω max 45°[45]
Maximum flight altitude H max 200 m[45]
Minimum flight altitude H min 20 m— *
Fire extinguishing time20 s— *
Maximum flight time of the UAV25 min[51]
The mass of a fire-extinguishing ball1.3 kg[51]
The radius of a fire-extinguishing ball1.3 m[51]
Number of fire-extinguishing balls carried by UAVs10[51]
Fire extinguishing area of one UAV39.8 m2[51]
Fire spread rate of a fire point4.15 m/min[48]
Initial spread speed R 0 0.472 m/min[52]
Combustible material configuration pattern coefficient K s 1[52]
Wind speed3 m/s— *
Smoke Emission Rate Q 695 g/s[50]
The target position height above the fire point30 m— *
High-temperature height83.9 m[49]
*—self-defined parameter
Table 5. Parameter settings of algorithms.
Table 5. Parameter settings of algorithms.
MP–GWONSGA-II
ParameterValueParameterValue
Population size200Population size100
Maximum number of iterations100Maximum number of iterations100
Multiple populations4Chromosome length12
Search Dimensions30Crossover probability0.8
Initial convergence factor2First mutation probability0.06
Initial value of weight factor2The second mutation probability0.05
Weight factor final value0Generation Gap0.85
Table 6. Information of the selected functions in the CEC2017 benchmark set.
Table 6. Information of the selected functions in the CEC2017 benchmark set.
TypeSerial NumberSearch RangeDimOptimum
Hybrid function F 10 [−100,100]301000
F 16 [−100,100]301600
F 17 [−100,100]301700
Composition function F 23 [−100,100]302300
F 24 [−100,100]302400
F 26 [−100,100]302600
Table 7. Algorithm parameter settings.
Table 7. Algorithm parameter settings.
Algorithm NameParameter NameValue or Range
GWOInitial convergence factor2
Initial value of weight factor2
Weight factor final value0
POARange of adjustment factor[1,2]
Perturbation factor0.2
Random step range[−1,1]
HHORabbit energy decay factor[0,2]
Random escape energy range[−1,1]
Exploration strategy switching threshold0.5
Attack strategy switching threshold0.5
CPOMinimum population size320
Number of cycles2
Convergence rate0.2
Trade-off parameters of defense mechanisms0.8
PSOCognitive scaling parameter1.5
Social scaling parameter1.5
Inertia weight1
Table 8. Test solution results.
Table 8. Test solution results.
Test FunctionEvaluation CriteriaMP–GWOGWOHHOPOACPOPSO
F 10 Average value2351.83902.85705.04578.96912.25644.6
Optimal value1566.13141.04669.74004.26408.25277.7
Standard deviation488.9583.36266.6358.1325.4319.1
F 16 Average value1824.22300.22935.32714.42776.32961.2
Optimal value1676.21823.72330.42440.32493.02568.7
Standard deviation93.7294.7448.8183.0171.1297.2
F 17 Average value1796.51900.62488.52078.91977.12296.3
Optimal value1768.21803.32075.41860.21906.01909.9
Standard deviation23.696.7321.8128.257.9225.1
F 21 Average value2335.72370.12501.22447.22461.52453.2
Optimal value2325.82344.32453.92296.42446.02420.9
Standard deviation8.219.434.877.376.529.8
F 23 Average value2669.22731.23008.92929.52815.73122.6
Optimal value2656.82709.22929.62838.42785.92968.4
Standard deviation10.821.783.667.113.9107.6
F 24 Average value2841.22896.63.25243129.42989.33261.1
Optimal value2828.82860.23.07713047.02966.63121.3
Standard deviation8.043.6127.140.311.294.2
Table 9. Multi-objective problem information.
Table 9. Multi-objective problem information.
Problem NamePareto Front GeometryPareto Set GeometryNumber of Goals
MMF1ConvexNonlinear2
MMF2ConvexNonlinear2
MMF4ConcaveNonlinear2
Table 10. Multi-objective problem solution results.
Table 10. Multi-objective problem solution results.
Problem NameParameter NameImproved NSGA-IIOriginal NSGA-II
MMF1Average value of 1/PSP0.03720.0383
Average value of 1/HV0.75190.7626
MMF2Average value of 1/PSP0.04050.0482
Average value of 1/HV0.72950.7792
MMF4Average value of 1/PSP0.04120.0468
Average value of 1/HV1.16911.2316
Table 12. Comparison of the six algorithms at different iteration times.
Table 12. Comparison of the six algorithms at different iteration times.
IterationsMP–GWOGWOHHOCPOPOAPSO
500.1190.1220.1670.1600.1990.263
750.1090.1180.1640.1590.1830.255
1000.1010.1150.1640.1590.1780.253
1500.0980.1070.1640.1580.1760.251
2000.0970.1020.1640.1580.1750.251
Table 13. The path planning result of a single UAV.
Table 13. The path planning result of a single UAV.
Destination CoordinatesPath Length of Base 1/mFlight Time of Base 1/sPath Length of Base 2/mFlight Time of Base 2/sPath Length of Base 3/mFlight Time of Base 3/s
(400,440)372.744.9483.658.3792.595.5
(530,510)498.160.0471.956.9788.395.0
(465,700)605.272.9701.884.6781.093.7
(725,465)647.278.0458.455.2449.554.2
(545,640)606.973.1663.980.0687.282.8
Table 14. Environmental parameters for Scenario 2 and Scenario 3.
Table 14. Environmental parameters for Scenario 2 and Scenario 3.
Environmental ParametersScenario 2Scenario 3
Wind direction[0,1][0,−1]
Wind speed3 m/s8 m/s
High-temperature area location(360,400), (420,650), (700,410), (790,520)(450,390), (300,510), (530,670), (700,500)
Interference zone location(320, 400), (610, 660), (500, 480), (700, 370)(350, 520), (450, 430), (550, 340)
Starting location(165,230)(165,230)
Target fire point location(580,580)(600,590)
Table 15. The task allocation results of multi-UAV firefighting.
Table 15. The task allocation results of multi-UAV firefighting.
Task Allocation Results for All Base UAVs
UAV Number1234
Assign fire point number3133
UAV Number5678
Assign fire point number2255
UAV Number9101112
Assign fire point number5440
Table 16. Fire extinguishing task completion results.
Table 16. Fire extinguishing task completion results.
ResultsValue
The time at which the last UAV reaches the fire point82.8 s
Time at which the fire extinguishing task is ultimately completed102.8 s
Total number of UAVs involved in the firefighting operation11
Total flight distance covered by all UAVs6071.7 m
Total flight time accumulated by all UAVs728.6 s
Remaining fire-extinguishing balls of task-executing UAVs30
Table 17. Sensitivity analysis of UAV speed.
Table 17. Sensitivity analysis of UAV speed.
UAV Speed (km/h)Total Flight Distance (m)Total Flight Time (s)Total UAVs InvolvedRemaining Balls of Task-Executing UAVsAverage Remaining Balls per UAV
27.5FailedFailedFailedFailedFailed
306071.7728.611302.7
32.54607.95539242.7
353285.8394.37131.9
37.53065.8367.97202.9
402875.8345.17253.6
Table 18. Sensitivity analysis of UAV payload capacity.
Table 18. Sensitivity analysis of UAV payload capacity.
UAV Payload CapacityTotal Flight Distance (m)Total Flight Time (s)Total Number of Usage UAVsRemaining Balls of Task-Executing UAVsAverage Remaining Balls per UAV
80%FailedFailedFailedFailedFailed
100%6071.7728.611302.7
120%5018.9602.39283.1
140%3839.2460.77192.7
160%3839.2460.77334.7
180%3839.2460.77476.7
200%3839.2460.77618.7
Table 19. Sensitivity analysis of the number of fire points.
Table 19. Sensitivity analysis of the number of fire points.
Number of Fire PointsTotal Flight Distance (m)Total Flight Time (s)Total UAVs InvolvedRemaining Balls of Task-Executing UAVsAverage Remaining Balls per UAV
66495.4779.512322.7
77475.7897.114392.8
89347.81121.717482.8
910,289.51234.719563.3
1012,369.21484.322602.7
Disclaimer/Publisher’s Note: The statements, opinions and data contained in all publications are solely those of the individual author(s) and contributor(s) and not of MDPI and/or the editor(s). MDPI and/or the editor(s) disclaim responsibility for any injury to people or property resulting from any ideas, methods, instructions or products referred to in the content.

Share and Cite

MDPI and ACS Style

Zhu, P.; Jiang, S.; Zhang, J.; Xu, Z.; Sun, Z.; Shao, Q. Multi-Target Firefighting Task Planning Strategy for Multiple UAVs Under Dynamic Forest Fire Environment. Fire 2025, 8, 61. https://doi.org/10.3390/fire8020061

AMA Style

Zhu P, Jiang S, Zhang J, Xu Z, Sun Z, Shao Q. Multi-Target Firefighting Task Planning Strategy for Multiple UAVs Under Dynamic Forest Fire Environment. Fire. 2025; 8(2):61. https://doi.org/10.3390/fire8020061

Chicago/Turabian Style

Zhu, Pei, Shize Jiang, Jiangao Zhang, Ziheng Xu, Zhi Sun, and Quan Shao. 2025. "Multi-Target Firefighting Task Planning Strategy for Multiple UAVs Under Dynamic Forest Fire Environment" Fire 8, no. 2: 61. https://doi.org/10.3390/fire8020061

APA Style

Zhu, P., Jiang, S., Zhang, J., Xu, Z., Sun, Z., & Shao, Q. (2025). Multi-Target Firefighting Task Planning Strategy for Multiple UAVs Under Dynamic Forest Fire Environment. Fire, 8(2), 61. https://doi.org/10.3390/fire8020061

Article Metrics

Back to TopTop