Comparison of Oxalate, Citrate and Tartrate Ions Adsorption in the Hydroxyapatite/Aqueous Electrolyte Solution System
Abstract
1. Introduction
2. Materials and Methods
3. Result and Discussion
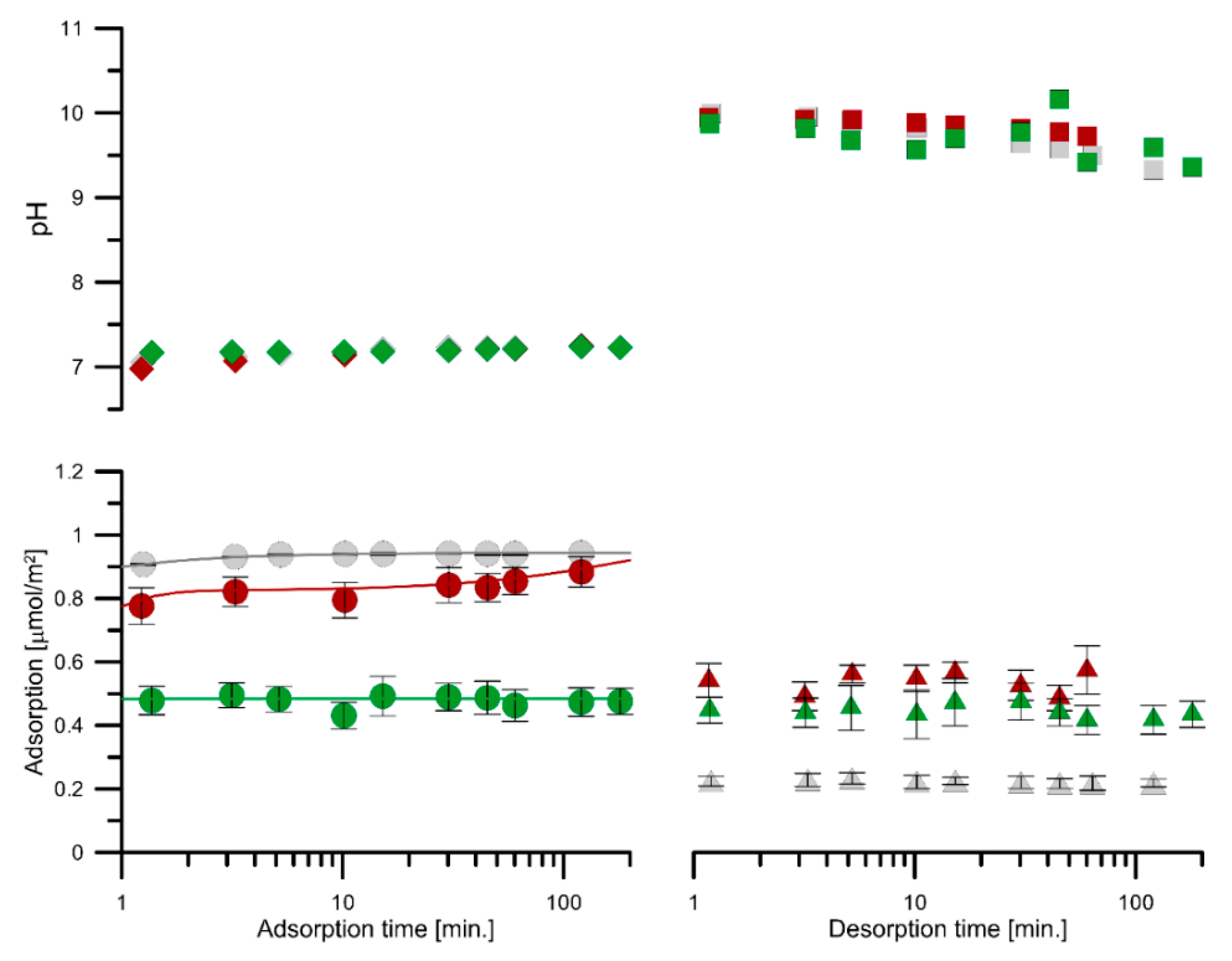
3.1. Kinetics of Oxalate Ion Adsorption at the Hydroxyapatite/0.001 mol/dm3 NaCl Aqueous Solution Interface
3.2. Study of the Carboxylic Acid Ion Adsorption at the HAp/Aqueous Electrolyte Interface as a Function of pH
4. Conclusions
Author Contributions
Funding
Conflicts of Interest
References
- Madhavi, S.; Ferraris, C.; White, T.J. Synthesis and crystallization of macroporous hydroxyapatite. J. Solid State Chem. 2005, 178, 2838–2845. [Google Scholar] [CrossRef]
- Misra, D.N. Interaction of some alkali metal citrates with hydroxyapatite: Ion-exchange adsorption and role of charge balance. Colloids Surfaces A: Physicochem. Eng. Asp. 1998, 141, 173–179. [Google Scholar] [CrossRef]
- Ebrahimpour, A.; Perez, L.; Nancollas, G.H. Induced Crystal Growth of Calcium Oxalate Monohydrate at Hydroxyapatite Surfaces. The Influence of Human Serum Albumin, Citrate, and Magnesium. Langmuir 1991, 7, 511–583. [Google Scholar] [CrossRef]
- Xie, B.; Halter, T.J.; Borah, B.M.; Nancollas, G.H. Aggregation of Calcium Phosphate and Oxalate Phases in the Formation of Renal Stones. Cryst. Growth Des. 2015, 15, 204–211. [Google Scholar] [CrossRef] [PubMed]
- Janusz, W.; Matysek, M. Coadsorption of Cd(II) and oxalate ions at the TiO2/electrolyte solution interface. J. Colloid Interface Sci. 2006, 296, 22–29. [Google Scholar] [CrossRef] [PubMed]
- Rajković, M.B.; Novaković, I.D.; Petrović, A. Determination of Titratable Acidity in White Wine. J. Agric. Sci. Belgrade 2007, 52, 169–184. [Google Scholar] [CrossRef]
- Valsami-Jones, E.; Ragnarsdottir, K.V.; Putnis, A.; Bosbach, D.; Kemp, A.J.; Cressey, G. The dissolution of apatite in the presence of aqueous metal cations at pH 2–7. Chem. Geol. 1998, 151, 215–233. [Google Scholar] [CrossRef]
- Sheha, R.R. Sorption behavior of Zn(II) ions on synthesized hydroxyapatites. J. Colloid Interface Sci. 2007, 310, 18–26. [Google Scholar] [CrossRef]
- Pan, X.; Wang, J.; Zhang, D. Sorption of cobalt to bone char: Kinetics, competitive sorption and mechanism. Desalination 2009, 249, 609–614. [Google Scholar] [CrossRef]
- Marczewski, A.W. Kinetics and equilibrium of adsorption of organic solutes on mesoporous carbons. Appl. Sur. Sci. 2007, 253, 5818–5826. [Google Scholar] [CrossRef]
- Derylo-Marczewska, A.; Marczewski, A.W.; Winter, S.; Sternik, D. Studies of adsorption equilibria and kinetics in the systems: Aqueous solution of dyes–mesoporous carbons. Appl. Sur. Sci. 2010, 256, 5164–5170. [Google Scholar] [CrossRef]
- CRC. Handbook of Chemistry and Physics, 84th ed.; Linde, D.R., Ed.; CRC Press: Boca Raton, FA, USA, 2003. [Google Scholar]
- Gácsi, A.; Kutus, B.; Csendes, Z.; Faragó, T.; Peintler, G.; Pálinkó, I.; Sipos, P. Calcium L-tartrate complex formation in neutral and in hyperalkaline aqueous solutions. Dalton Trans. 2016, 45, 17296–17303. [Google Scholar] [CrossRef] [PubMed]
- Vavrusova, M.; Garcia, A.C.; Danielsena, B.P.; Skibsted, L.H. Spontaneous supersaturation of calcium citrate from simultaneous isothermal dissolution of sodium citrate and sparingly soluble calcium hydroxycarboxylates in water. RSC Adv. 2017, 7, 3078–3088. [Google Scholar] [CrossRef]
- Qadeer, R. Kinetic models applied to erbium adsorption on activated charcoal from aqueous solutions. J. Radioanal. Nucl. Chem. 2013, 295, 1051–1055. [Google Scholar] [CrossRef]
- Parsons, D.F.; Ninham, B.W. Ab Initio Molar Volumes and Gaussian Radii. J. Phys. Chem. A 2009, 113, 1141–1150. [Google Scholar] [CrossRef]
- Solhya, A.; Amera, W.; Karkourib, M.; Tahirb, R.; El Bouarib, A.; Fihri, A.; Bousminaa, M.; Zahouilya, M. Bi-functional modified-phosphate catalyzed the synthesis of (EE)-bis(benzylidene)-cycloalkanones: Microwave versus conventional-heating. J. Mol. Cat. A Chem. 2011, 336, 8–15. [Google Scholar] [CrossRef]
- Vega, E.D.; Narda, G.E.; Ferretti, F.H. Adsorption of citric acid from dilute aqueous solutions by hydroxyapatite. J. Colloid Interface Sci. 2003, 268, 37–42. [Google Scholar] [CrossRef]
- Wei, W.; Zhang, X.; Cui, J.; Wei, Z. Interaction between low molecular weight organic acids and hydroxyapatite with different degrees of crystallinity. Colloids and Surfaces A: Physicochem. Eng. Aspects 2011, 392, 67–75. [Google Scholar] [CrossRef]
- Kukura, M.; Bell, L.C.; Posner, A.M.; Quirk, J.P. Radioisotope determination of the surface concentrations of calcium and phosphorus on hydroxylapatite in aqueous solution. J. Phys. Chem. 1972, 76, 900–908. [Google Scholar] [CrossRef]
- Skartsila, K.; Spanos, N. Surface characterization of hydroxyapatite: Potentiometric titrations coupled with solubility measurements. J. Colloid Interface Sci. 2007, 308, 405–412. [Google Scholar] [CrossRef]
- Koutsopoulos, S. Synthesis and characterization of hydroxyapatite crystals: A review study on the analytical methods. J. Biomed. Mater. Res. 2002, 62, 600–612. [Google Scholar] [CrossRef] [PubMed]
- Sato, K.; Suetsugua, Y.; Tanaka, J.; Ina, S.; Monma, H. The surface structure of hydroxyapatite single crystal and the accumulation of arachidic acid. J. Colloid Interface Sci. 2000, 22, 423–427. [Google Scholar] [CrossRef] [PubMed]
- Cheng, Z.H.; Yasukawa, A.; Kandori, K.; Ishikawa, T. FTIR study of adsorption of CO2 on nonstoichiometric calcium hydroxyapatite. Langmuir 1998, 14, 6681–6686. [Google Scholar] [CrossRef]
- Ouyang, J.M.; Duan, L.; Tieke, B. Effects of carboxylic acids on the crystal growth of calcium oxalate nanoparticles in lecithin-water liposome systems. Langmuir 2003, 19, 8980–8985. [Google Scholar] [CrossRef]
- Petit, I.; Belletti, G.D.; Debroise, T.; Llansola-Portoles, M.J.; Lucas, I.T.; Leroy, C.; Bonhomme, C.; Bonhomme-Coury, L.; Bazin, D.; Daudon, M.; et al. Vibrational signatures of calcium oxalate polyhydrates. Chem. Select. 2018, 3, 8801–8812. [Google Scholar] [CrossRef]
- Fu, B.; Shen, Q.; Qian, W.; Zeng, Y.; Sun, X.; Hannig, M. Interfacial interaction of tartaric acid with hydroxyapatite and enamel. J. Mater. Sci. Mater. Med. 2005, 16, 827–831. [Google Scholar] [CrossRef] [PubMed]
- Tarpara, U.; Vyas, P.; Joshi, M.J. Synthesis and characterization of calcium tartrate dihydrate nanoparticles. Inter. J. Nanosci. 2015, 14, 1550013. [Google Scholar] [CrossRef]
- Lee, W.H.; Loo, C.Y.; Zavgorodniy, A.V.; Ghadiri, M.; Rohanizadeh, R. A novel approach to enhance protein adsorption and cell proliferation on hydroxyapatite: Citric acid treatment. RSC Adv. 2013, 3, 4040–4051. [Google Scholar] [CrossRef]
- Shajan, X.S.; Mahadevan, C. On the growth of calcium tartrate tetrahydrate single crystals. Bull. Mater. Sci. 2004, 27, 327–331. [Google Scholar] [CrossRef]









| Ion | Concentration mol/dm3 | Pseudo-First-Order | Pseudo-Second-Order | ||||
|---|---|---|---|---|---|---|---|
| ae | k1 | SSE | ae | k2 | SSE | ||
| Oxalate | 0.0000001 | 0.939 | 2.707 | 0.00009 | 0.944 | 21.47 | 0.00003 |
| Citrate | 0.0000001 | 0.483 | 3.464 | 0.0008 | 0.482 | 3936.9 | 0.0008 |
| Tartrate | 0.0000001 | 0.852 | 2.221 | 0.0037 | 0.825 | 40423 | 0.0021 |
| Ion | aeq | A0 | k1 | A1 | k2 | A2 | k3 | A3 | SSE |
|---|---|---|---|---|---|---|---|---|---|
| Tartrate | 0.974 | 0.355 | 2.574 | 0.222 | 5.31 × 10−3 | 0.100 | 2.633 | 0.220 | 0.0006 |
| Ion | aeq | A0 | k1 | A1 | k2 | A2 | k3 | A3 | |
|---|---|---|---|---|---|---|---|---|---|
| Oxalate | 1.106 | 0.142 | 0.76 | 0.058 | 2.05 × 10−5 | 0.516 | 0.725 | 0.220 | 0.006 |
| Citrate | 0.819 | 0.216 | 1.04 | 0.01 | 17.2 | 0.342 | 0.00016 | 0.432 | 0.062 |
| Tartrate | 0.802 | 0.670 | 2.295 | 0125 | 9.66 × 10−4 | 0.120 | 2.283 | 0.220 | 0.0016 |
| Oxalate | Citrate | Tartrate | Assignment | Ref. |
|---|---|---|---|---|
| 560 | 560 | 559 | Ca-O mode | [28,30] |
| 603 | 602 | 602 | Ca-O mode | [28,30] |
| 962 | 962 | 962 | Ca-O mode | [28,30] |
| 1012 | 1010 | 1008 | ν(C-O) | [30] |
| 1083 | 1083 | 1083 | Out of plane OH deformation | [27] |
| 1120 | 1120 | 1122 | δ(C-H) + π(-C-H) | [30] |
| 1316 | OH plane bending | [30] | ||
| 1420 | 1420 | 1413 | νs (COO-) | [25,29] |
| 1449 | 1449 | 1456 | ν(CO32−) | [22] |
| 1655 | 1655 | 1618 | νas (COO-) | [25,29] |
| 3571 | 3571 | 3571 | OH stretch | [28] |
Publisher’s Note: MDPI stays neutral with regard to jurisdictional claims in published maps and institutional affiliations. |
© 2020 by the authors. Licensee MDPI, Basel, Switzerland. This article is an open access article distributed under the terms and conditions of the Creative Commons Attribution (CC BY) license (http://creativecommons.org/licenses/by/4.0/).
Share and Cite
Janusz, W.; Skwarek, E. Comparison of Oxalate, Citrate and Tartrate Ions Adsorption in the Hydroxyapatite/Aqueous Electrolyte Solution System. Colloids Interfaces 2020, 4, 45. https://doi.org/10.3390/colloids4040045
Janusz W, Skwarek E. Comparison of Oxalate, Citrate and Tartrate Ions Adsorption in the Hydroxyapatite/Aqueous Electrolyte Solution System. Colloids and Interfaces. 2020; 4(4):45. https://doi.org/10.3390/colloids4040045
Chicago/Turabian StyleJanusz, Władysław, and Ewa Skwarek. 2020. "Comparison of Oxalate, Citrate and Tartrate Ions Adsorption in the Hydroxyapatite/Aqueous Electrolyte Solution System" Colloids and Interfaces 4, no. 4: 45. https://doi.org/10.3390/colloids4040045
APA StyleJanusz, W., & Skwarek, E. (2020). Comparison of Oxalate, Citrate and Tartrate Ions Adsorption in the Hydroxyapatite/Aqueous Electrolyte Solution System. Colloids and Interfaces, 4(4), 45. https://doi.org/10.3390/colloids4040045
