Veiled Extra Virgin Olive Oils: Role of Emulsion, Water and Antioxidants
Abstract
1. Introduction
2. Extra Virgin Olive Oil
2.1. Saponifiable Fraction
2.1.1. Triacylglycerols and Their Hydrolysis Products
2.1.2. Phospholipids
2.1.3. Waxes
2.2. Unsaponifiable Fraction
2.2.1. Hydrocarbons
2.2.2. Tocopherols and Tocotrienols
2.2.3. Pigments (Chlorophylls and Carotenoids)
2.2.4. Phenolic Compounds
2.2.5. Sterol
2.3. Other Minor Compounds
2.3.1. Volatile and Aroma Compounds
2.3.2. Proteins
2.3.3. Water
3. Veiled Extra Virgin Olive Oil
4. Olive Oil Emulsions
5. Oxidations in Water in Oil
- Initiation. In the first step, a fatty acid radical is produced by homolytic C-H bond cleavage. The most noteworthy initiators are reactive oxygen species, such as OH• and HOO•, which combine with a hydrogen atom to make fatty acid and water radical.RH + initiator (oxygen, metal, etc.) → R• + H• (initiator)
- Propagation. The fatty acid radical binds quickly with O2, creating a peroxyl-fatty acid radical. This is an unstable molecule that reacts with another C-H bond, producing different lipid peroxide and radical, or cyclic peroxide if it forms a bond with itself. This reaction continues until the lipid radical reacts in the same way (chain reaction mechanism).R• + O2 → ROO•ROO• + RH → ROOH + R•
- Termination. The radical reaction finishes when two radicals join together and generate nonradical molecules. This occurs only when the amount of radical species is high enough to allow a high probability of collision of two radicals. Dimers, ethers and peroxide lipid are formed.ROO• + R• → ROORRO• + R• → RORR• + R• → RR
6. Fortification of W/O Emulsions
7. Product Maintenance
8. Conclusions and Perspective
Author Contributions
Funding
Acknowledgments
Conflicts of Interest
References
- Boskou, D.; Blekas, G.; Tsimidou, M. Phenolic compounds in olive oil and olives. Curr. Top. Nutraceutical Res. 2005, 3, 125–136. [Google Scholar]
- De Leonardis, A.; Macciola, V.; Lembo, G.; Aretini, A.; Nag, A. Studies on oxidative stabilisation of lard by natural antioxidants recovered from olive-oil mill wastewater. Food Chem. 2007, 100, 998–1004. [Google Scholar] [CrossRef]
- De Leonardis, A.; Macciola, V.; Lopez, F. The role of virgin olive oil in the traditional Mediterranean cuisine. In Virgin Olive Oil: Production, Composition, Uses and Benefits for Man; De Leonardis, A., Ed.; Nova Science Publisher: New York, NY, USA, 2014; Volume 14, pp. 259–282. [Google Scholar]
- Xenakis, A.; Papadimitriou, V.; Sotiroudis, T.G. Colloidal structures in natural oils. Curr. Opin. Colloid Interface Sci. 2010, 15, 55–60. [Google Scholar] [CrossRef]
- Breschi, C.; Guerrini, L.; Domizio, P.; Ferraro, G.; Calamai, L.; Canuti, V.; Masella, P.; Parenti, A.; Fratini, E.; Fia, G.; et al. Physical, Chemical, and Biological Characterization of Veiled Extra Virgin Olive Oil Turbidity for Degradation Risk Assessment. Eur. J. Lipid Sci. Technol. 2019, 121, 1900195. [Google Scholar] [CrossRef]
- Koidis, A.; Boskou, D. The contents of proteins and phospholipids in cloudy (veiled) virgin olive oils. Eur. J. Lipid Sci. Technol. 2006, 108, 323–328. [Google Scholar] [CrossRef]
- Veneziani, G.; Esposto, S.; Minnocci, A.; Taticchi, A.; Urbani, S.; Selvaggini, R.; Sordini, B.; Sebastiani, L.; Servili, M. Compositional differences between veiled and filtered virgin olive oils during a simulated shelf life. LWT 2018, 94, 87–95. [Google Scholar] [CrossRef]
- Tsimidou, M.Z.; Georgiou, A.; Koidis, A.; Boskou, D. Loss of stability of “veiled” (cloudy) virgin olive oils in storage. Food Chem. 2005, 93, 377–383. [Google Scholar] [CrossRef]
- Ninni, V. A statistical approach to the biosynthetic route of fatty acids in olive oil: Cross-sectional and time series analyses. J. Sci. Food Agric. 1999, 79, 2113–2121. [Google Scholar] [CrossRef]
- Frega, N.; Bocci, F.; Lercker, G. High-resolution gas-chromatographic determination of diacylglycerols in common vegetable oils. J. Am. Oil Chem. Soc. 1993, 70, 175–177. [Google Scholar] [CrossRef]
- Alter, M.; Gutfinger, T. Phospholipids in several vegetable oils [olive, avocado, cotton, maize, rape]. Riv. Ital. Delle Sostanze Grasse (Italy) 1983, 59, 14–18. [Google Scholar]
- Pokorný, J.; Korczak, J. Preparation of natural antioxidants. Antioxid. Food: Pract. Appl. 2001, 311–330. [Google Scholar] [CrossRef]
- Budilarto, E.S.; Kamal-Eldin, A. The supramolecular chemistry of lipid oxidation and antioxidation in bulk oils. Eur. J. Lipid Sci. Technol. 2015, 117, 1095–1137. [Google Scholar] [CrossRef]
- Parenti, A.; Spugnoli, P.; Baldi, F.; Masella, P.; Calamai, L.; Hattei, A. Preliminary observations on veiled olive oil turbidity with regards to wax content. Riv. Ital. Delle Sostanze Grasse 2008, 85, 221–228. [Google Scholar]
- Rao, C.V.; Newmark, H.L.; Reddy, B.S. Chemopreventive effect of squalene on colon cancer. Carcinogenesis 1998, 19, 287–290. [Google Scholar] [CrossRef]
- Smith, T.J.; Yang, G.Y.; Seril, D.N.; Liao, J.; Kim, S. Inhibition of 4-(methylnitrosamino)-1-(3-pyridyl)- 1-butanone-induced lung tumorigenesis by dietary olive oil and squalene. Carcinogenesis 1998, 19, 703–706. [Google Scholar] [CrossRef]
- Perrin, J. Minor components and natural antioxidants in olives and olive oil. Rev. Fr. Des Corps Gras (Fr.) 1992, 39, 25–32. [Google Scholar]
- Lanzón, A.; Albi, T.; Cert, A.; Gracián, J. The hydrocarbon fraction of virgin olive oil and changes resulting from refining. J. Am. Oil Chem. Soc. 1994, 71, 285–291. [Google Scholar] [CrossRef]
- De Leonardis, A.; Macciola, V.; De Felice, M.A. Rapid determination of squalene in virgin olive oils using gas-liquid chromatography. Ital. J. Food Sci. 1998, 10, 75–80. [Google Scholar]
- Manzi, P.; Panfili, G.; Esti, M.; Pizzoferrato, L. Natural antioxidants in the unsaponifiable fraction of virgin olive oils from different cultivars. J. Sci. Food Agric. 1998, 77, 115–120. [Google Scholar] [CrossRef]
- Nergiz, C.; Unal, K. The effect of extraction systems on triterpene alcohols and squalene content of virgin olive oil. Grasas Y Aceites (Spain) 1990, 41, 117–121. [Google Scholar]
- Bondioli, P.; Mariani, C.; Lanzani, A.; Fedeli, E.; Mossa, A.; Muller, A. Lampante olive oil refining with supercritical carbon dioxide. J. Am. Oil Chem. Soc. 1992, 69, 477–480. [Google Scholar] [CrossRef]
- Psomiadou, E.; Tsimidou, M.; Boskou, D. α-Tocopherol content of Greek virgin olive oils. J. Agric. Food Chem. 2000, 48, 1770–1775. [Google Scholar] [CrossRef]
- Kamal-Eldin, A.; Appelqvist, L.Å. The chemistry and antioxidant properties of tocopherols and tocotrienols. Lipids 1996, 31, 671–701. [Google Scholar] [CrossRef]
- Cuomo, F.; Cinelli, G.; Chirascu, C.; Marconi, E.; Lopez, F. Antioxidant Effect of Vitamins in Olive Oil Emulsion. Colloids Interfaces 2020, 4, 23. [Google Scholar] [CrossRef]
- Grams, G.; Eskins, K.; Inglett, G. Dye-sensitized photooxidation of. alpha.-tocopherol. J. Am. Chem. Soc. 1972, 94, 866–868. [Google Scholar] [CrossRef]
- Psomiadou, E.; Tsimidou, M. Simultaneous HPLC determination of tocopherols, carotenoids, and chlorophylls for monitoring their effect on virgin olive oil oxidation. J. Agric. Food Chem. 1998, 46, 5132–5138. [Google Scholar] [CrossRef]
- Beltrán, G.; Aguilera, M.P.; Del Rio, C.; Sanchez, S.; Martinez, L. Influence of fruit ripening process on the natural antioxidant content of Hojiblanca virgin olive oils. Food Chem. 2005, 89, 207–215. [Google Scholar] [CrossRef]
- Andrikopoulos, N.K.; Hassapidou, M.N.; Manoukas, A.G. The tocopherol content of Greek olive oils. J. Sci. Food Agric. 1989, 46, 503–509. [Google Scholar] [CrossRef]
- Rabascall, N.H.; Riera, J. Changes in tocopherol and tocotrienol content during the extraction, refining and hydrogenation of edible oils. Grasas Aceites (Seville) 1987, 38, 145–148. [Google Scholar]
- Psomiadou, E.; Tsimidou, M. Stability of virgin olive oil. 1. Autoxidation studies. J. Agric. Food Chem. 2002, 50, 716–721. [Google Scholar] [CrossRef] [PubMed]
- Minguez-Mosquera, M.I.; Gandul-Rojas, B.; Garrido-Fernandez, J.; Gallardo-Guerrero, L. Pigments present in virgin olive oil. J. Am. Oil Chem. Soc. 1990, 67, 192–196. [Google Scholar] [CrossRef]
- Ranalli, A. Carotenoids in virgin olive oils effect of technology. Ital. J. Food Sci. 1992, 4, 53–57. [Google Scholar]
- Rahmani, M.; Csallany, A.S. Chlorophyll and β-carotene pigments in moroccan virgin olive oils measured by high-performance liquid chromatography. J. Am. Oil Chem. Soc. 1991, 68, 672–674. [Google Scholar] [CrossRef]
- Gandul-Rojas, B.; Minguez-Mosquera, M.I. Chlorophyll and carotenoid composition in virgin olive oils from various Spanish olive varieties. J. Sci. Food Agric. 1996, 72, 31–39. [Google Scholar] [CrossRef]
- Colquhoun, D.; Hicks, B.; Reed, A. Phenolic content of olive oil is reduced in extraction and refining: Analysis of phenolic content of three grades of olive and ten seed oils. Asia Pac. J. Clin. Nut 1996, 5, 105–107. [Google Scholar]
- Papadimitriou, V.; Sotiroudis, T.G.; Xenakis, A.; Sofikiti, N.; Stavyiannoudaki, V.; Chaniotakis, N. Oxida- tive stability and radical scavenging activity of extra virgin olive oils: An electron paramagnetic resonance spectroscopy study. Anal. Chim. Acta 2006, 573, 453–458. [Google Scholar] [CrossRef]
- Verleyen, T.; Forcades, M.; Verhe, R.; Dewettinck, K.; Huyghebaert, A.; De Greyt, W. Analysis of free and esterified sterols in vegetable oils. J. Am. Oil Chem. Soc. 2002, 79, 117–122. [Google Scholar] [CrossRef]
- Servili, M.; Selvaggini, R.; Taticchi, A.; Esposto, S.; Montedoro, G. Volatile compounds and phenolic composition of virgin olive oil: Optimization of temperature and time of exposure of olive pastes to air contact during the mechanical extraction process. J. Agric. Food Chem. 2003, 51, 7980–7988. [Google Scholar] [CrossRef]
- Vichi, S.; Castellote, A.I.; Pizzale, L.; Conte, L.S.; Buxaderas, S.; Lopez-Tamames, E. Analysis of virgin olive oil volatile compounds by headspace solid-phase microextraction coupled to gas chromatography with mass spectrometric and flame ionization detection. J. Chromatogr. A 2003, 983, 19–33. [Google Scholar] [CrossRef]
- Cavalli, J.-F.; Fernandez, X.; Lizzani-Cuvelier, L.; Loiseau, A.-M. Characterization of volatile compounds of French and Spanish virgin olive oils by HS-SPME: Identification of quality-freshness markers. Food Chem. 2004, 88, 151–157. [Google Scholar] [CrossRef]
- Morales, M.; Luna, G.; Aparicio, R. Comparative study of virgin olive oil sensory defects. Food Chem. 2005, 91, 293–301. [Google Scholar] [CrossRef]
- Saez, J.S.; Garraleta, M.H.; Otero, T.B. Identification of cinnamic acid ethyl ester and 4-vinylphenol in off-flavor olive oils. Anal. Chim. Acta 1991, 247, 295–297. [Google Scholar] [CrossRef]
- Angerosa, F.; d’Alessandro, N.; Corana, F.; Mellerio, G. Characterization of phenolic and secoiridoid aglycons present in virgin olive oil by gas chromatography-chemical ionization mass spectrometry. J. Chromatogr. A 1996, 736, 195–203. [Google Scholar] [CrossRef]
- Aparicio, R.; Luna, G. Characterisation of monovarietal virgin olive oils. Eur. J. Lipid Sci. Technol. 2002, 104, 614–627. [Google Scholar] [CrossRef]
- Ridolfi, M.; Terenziani, S.; Patumi, M.; Fontanazza, G. Characterization of the lipoxygenases in some olive cultivars and determination of their role in volatile compounds formation. J. Agric. Food Chem. 2002, 50, 835–839. [Google Scholar] [CrossRef] [PubMed]
- Servili, M.; Montedoro, G. Contribution of phenolic compounds to virgin olive oil quality. Eur. J. Lipid Sci. Technol. 2002, 104, 602–613. [Google Scholar] [CrossRef]
- Angerosa, F.; Basti, C. The volatile composition of samples from the blend of monovarietal olive oils and from the processing of mixtures of olive fruits. Eur. J. Lipid Sci. Technol. 2003, 105, 327–332. [Google Scholar] [CrossRef]
- Benincasa, C.; De Nino, A.; Lombardo, N.; Perri, E.; Sindona, G.; Tagarelli, A. Assay of aroma active components of virgin olive oils from southern Italian regions by SPME-GC/ion trap mass spectrometry. J. Agric. Food Chem. 2003, 51, 733–741. [Google Scholar] [CrossRef]
- Luaces, P.; Pérez, A.G.; Sanz, C. Role of olive seed in the biogenesis of virgin olive oil aroma. J. Agric. Food Chem. 2003, 51, 4741–4745. [Google Scholar] [CrossRef]
- Pérez, A.G.; Luaces, P.; Ríos, J.J.; García, J.M.; Sanz, C. Modification of volatile compound profile of virgin olive oil due to hot-water treatment of olive fruit. J. Agric. Food Chem. 2003, 51, 6544–6549. [Google Scholar] [CrossRef]
- Pérez-Camino, M.C.; Moreda, W.; Mateos, R.; Cert, A. Determination of esters of fatty acids with low molecular weight alcohols in olive oils. J. Agric. Food Chem. 2002, 50, 4721–4725. [Google Scholar] [CrossRef] [PubMed]
- Georgalaki, M.; Sotiroudis, T.G.; Xenakis, A. The presence of oxidizing enzyme activities in virgin olive oil. J. Am. Oil Chem. Soc. 1998, 75, 155–159. [Google Scholar] [CrossRef]
- Georgalaki, M.D.; Bachmann, A.; Sotiroudis, T.G.; Xenakis, A.; Porzel, A.; Feussner, I. Characterization of a 13-lipoxygenase from virgin olive oil and oil bodies of olive endosperms. Lipid/Fett 1998, 100, 554–560. [Google Scholar] [CrossRef]
- Hidalgo, F.J.; Alaiz, M.; Zamora, R. Low molecular weight polypeptides in virgin and refined olive oils. J. Am. Oil Chem. Soc. 2002, 79, 685–689. [Google Scholar] [CrossRef]
- Saraiva, J.A.; Nunes, C.S.; Coimbra, M.A. Purification and characterization of olive (Olea europaea L.) peroxidase–Evidence for the occurrence of a pectin binding peroxidase. Food Chem. 2007, 101, 1571–1579. [Google Scholar] [CrossRef]
- Tzika, E.D.; Sotiroudis, T.G.; Papadimitriou, V.; Xenakis, A. Partial purification and characterization of peroxidase from olives (Olea europaea cv. Koroneiki). Eur. Food Res. Technol. 2009, 228, 487–495. [Google Scholar] [CrossRef]
- Hidalgo, F.J.; Zamora, R. Peptides and proteins in edible oils: Stability, allergenicity, and new processing trends. Trends Food Sci. Technol. 2006, 17, 56–63. [Google Scholar] [CrossRef]
- Valli, E.; Bendini, A.; Popp, M.; Bongartz, A. Sensory analysis and consumer acceptance of 140 high-quality extra virgin olive oils. J. Sci. Food Agric. 2014, 94, 2124–2132. [Google Scholar] [CrossRef]
- Beauchamp, G.K.; Keast, R.S.; Morel, D.; Lin, J.; Pika, J.; Han, Q.; Lee, C.-H.; Smith, A.B.; Breslin, P.A. Ibuprofen-like activity in extra-virgin olive oil. Nature 2005, 437, 45–46. [Google Scholar] [CrossRef]
- Kiosseoglou, V.; Kouzounas, P. The role of diglycerides, monoglycerides, and free fatty acids in olive oil minor surface-active lipid interaction with proteins at oil-water interfaces. J. Dispers. Sci. Technol. 1993, 14, 527–539. [Google Scholar] [CrossRef]
- Bianco, A.; Mazzei, R.A.; Melchioni, C.; Romeo, G.; Scarpati, M.L.; Soriero, A.; Uccella, N. Microcompo- nents of olive oil — III. Glucosides of 2 (3, 4-dihydroxy-phenyl) ethanol. Food Chem. 1998, 63, 461–464. [Google Scholar] [CrossRef]
- Frega, N.; Mozzon, M.; Lercker, G. Effects of free fatty acids on oxidative stability of vegetable oil. J. Am. Oil Chem. Soc. 1999, 76, 325–329. [Google Scholar] [CrossRef]
- Zamora, R.; Alaiz, M.; Hidalgo, F.J. Influence of cultivar and fruit ripening on olive (Olea europaea) fruit protein content, composition, and antioxidant activity. J. Agric. Food Chem. 2001, 49, 4267–4270. [Google Scholar] [CrossRef]
- McClements, D.; Decker, E. Lipid oxidation in oil-in-water emulsions: Impact of molecular environment on chemical reactions in heterogeneous food systems. J. Food Sci. 2000, 65, 1270–1282. [Google Scholar] [CrossRef]
- Branco, I.G.; Sen, K.; Rinaldi, C. Effect of sodium alginate and different types of oil on the physical properties of ultrasound-assisted nanoemulsions. Chem. Eng. Process. -Process Intensif. 2020, 153, 107942. [Google Scholar] [CrossRef]
- Melnikov, S.M.; Popp, A.K.; Miao, S.; Patel, A.R.; Flendrig, L.M.; Velikov, K.P. Colloidal emulsion based delivery systems for steroid glycosides. J. Funct. Foods 2017, 28, 90–95. [Google Scholar] [CrossRef]
- Cinelli, G.; Cuomo, F.; Hochkoeppler, A.; Ceglie, A.; Lopez, F. Use of Rhodotorula minuta live cells hosted in water-in-oil macroemulsion for biotrasformation reaction. Biotechnol. Prog. 2006, 22, 689–695. [Google Scholar] [CrossRef]
- Cuomo, F.; Cofelice, M.; Lopez, F. Rheological characterization of hydrogels from alginate-based nanodispersion. Polymers 2019, 11, 259. [Google Scholar] [CrossRef]
- Goodarzi, F.; Zendehboudi, S. A comprehensive review on emulsions and emulsion stability in chemical and energy industries. Can. J. Chem. Eng. 2019, 97, 281–309. [Google Scholar] [CrossRef]
- Ambrosone, L.; Mosca, M.; Ceglie, A. Impact of edible surfactants on the oxidation of olive oil in water-in-oil emulsions. Food Hydrocoll. 2007, 21, 1163–1171. [Google Scholar] [CrossRef]
- Weiss, J.; McClements, D.J. Mass transport phenomena in oil-in-water emulsions containing surfactant micelles: Solubilization. Langmuir 2000, 16, 5879–5883. [Google Scholar] [CrossRef]
- Hong, I.K.; Kim, S.I.; Lee, S.B. Effects of HLB value on oil-in-water emulsions: Droplet size, rheological behavior, zeta-potential, and creaming index. J. Ind. Eng. Chem. 2018, 67, 123–131. [Google Scholar] [CrossRef]
- Mosca, M.; Cuomo, F.; Lopez, F.; Ceglie, A. Role of emulsifier layer, antioxidants and radical initiators in the oxidation of olive oil-in-water emulsions. Food Res. Int. 2013, 50, 377–383. [Google Scholar] [CrossRef]
- Perugini, L.; Cinelli, G.; Cofelice, M.; Ceglie, A.; Lopez, F.; Cuomo, F. Effect of the coexistence of sodium caseinate and Tween 20 as stabilizers of food emulsions at acidic pH. Colloids Surf. B: Biointerfaces 2018, 168, 163–168. [Google Scholar] [CrossRef]
- Cuomo, F.; Perugini, L.; Marconi, E.; Messia, M.C.; Lopez, F. Enhanced Curcumin Bioavailability through Nonionic Surfactant/Caseinate Mixed Nanoemulsions. J. Food Sci. 2019, 84, 2584–2591. [Google Scholar] [CrossRef] [PubMed]
- Ushikubo, F.; Cunha, R. Stability mechanisms of liquid water-in-oil emulsions. Food Hydrocoll. 2014, 34, 145–153. [Google Scholar] [CrossRef]
- Kinoe, K.; Higashi, K. Water-in-Oil Emulsion Adhesive. U.S. Patents US8822596B2, 2 September 2014. [Google Scholar]
- Zhu, Q.; Pan, Y.; Jia, X.; Li, J.; Zhang, M.; Yin, L. Review on the stability mechanism and application of water-in-oil emulsions encapsulating various additives. Compr. Rev. Food Sci. Food Saf. 2019, 18, 1660–1675. [Google Scholar] [CrossRef]
- Ambrosone, L.; Angelico, R.; Cinelli, G.; Di Lorenzo, V.; Ceglie, A. The role of water in the oxidation process of extra virgin olive oils. JaocsJ. Am. Oil Chem. Soc. 2002, 79, 577–582. [Google Scholar] [CrossRef]
- Colafemmina, G.; Palazzo, G.; Ceglie, A.; Ambrosone, L.; Cinelli, G.; Di Lorenzo, V. Restricted diffusion: An effective tool to investigate food emulsions. In Progress in Colloid and Polymer Science, Lipid and polymer-Lipid systems; Nylander, T., Lindman, B., Eds.; Springer: Berlin, Germany, 2002; Volume 120, pp. 23–27. [Google Scholar]
- Lercker, G.; Frega, N.; Bocci, F.; Servidio, G. “Veiled” extra-virgin olive oils: Dispersion response related to oil quality. J. Am. Oil Chem. Soc. 1994, 71, 657–658. [Google Scholar] [CrossRef]
- Mosca, M.; Diantom, A.; Lopez, F.; Ambrosone, L.; Ceglie, A. Impact of antioxidants dispersions on the stability and oxidation of water-in-olive-oil emulsions. Eur. Food Res. Technol. 2013, 236, 319–328. [Google Scholar] [CrossRef]
- Katsouli, M.; Polychniatou, V.; Tzia, C. Influence of surface-active phenolic acids and aqueous phase ratio on w/o nano-emulsions properties; model fitting and prediction of nano-emulsions oxidation stability. J. Food Eng. 2017, 214, 40–46. [Google Scholar] [CrossRef]
- Papadimitriou, V.; Dulle, M.; Wachter, W.; Sotiroudis, T.G.; Glatter, O.; Xenakis, A. Structure and Dynamics of Veiled Virgin Olive Oil: Influence of Production Conditions and Relation to its Antioxidant Capacity. Food Biophys. 2013, 8, 112–121. [Google Scholar] [CrossRef]
- Kralchevsky, P.A.; Danov, K.D.; Denkov, N.D. Chemical physics of colloid systems and interfaces. In Handbook of Surface and Colloid Chemistry, 2nd ed.; Birdi, K.S., Ed.; CRC Press: Boca Raton, FL, USA, 2003; pp. 137–321. [Google Scholar]
- Fennell Evans, D.; Wennerstrom, H.; Rajagopalan, R. The colloidal domain: Where physics, chemistry, biology, and technology meet. J. Colloid Interface Sci. 1995, 172, 541. [Google Scholar]
- Berton-Carabin, C.C.; Ropers, M.H.; Genot, C. Lipid Oxidation in Oil-in-Water Emulsions: Involvement of the Interfacial Layer. Compr. Rev. Food Sci. Food Saf. 2014, 13, 945–977. [Google Scholar] [CrossRef]
- Kargar, M.; Spyropoulos, F.; Norton, I.T. The effect of interfacial microstructure on the lipid oxidation stability of oil-in-water emulsions. J. Colloid Interface Sci. 2011, 357, 527–533. [Google Scholar] [CrossRef]
- Lipid oxidation. In Handbook of Food Science and Technology 1: Food Alteration and Food Quality, 1st ed.; Jeantet, R., Croguennec, T., Schuck, P., Brulé, G., Eds.; John Wiley & Sons: Hoboken, NJ, USA, 2016; pp. 99–129. [Google Scholar]
- Mozuraityte, R.; Kristinova, V.; Rustad, T. Oxidation of Food Components. Encycl. Food Health 2016, 186–190. [Google Scholar] [CrossRef]
- Ambrosone, L.; Cinelli, G.; Mosca, M.; Ceglie, A. Susceptibility of water-emulsified extra virgin olive oils to oxidation. JaocsJ. Am. Oil Chem. Soc. 2006, 83, 165–170. [Google Scholar] [CrossRef]
- Mosca, M.; Ceglie, A.; Ambrosone, L. Biocompatible water-in-oil emulsion as a model to study ascorbic acid effect on lipid oxidation. J. Phys. Chem. B 2008, 112, 4635–4641. [Google Scholar] [CrossRef]
- Atkinson, J.; Epand, R.F.; Epand, R.M. Tocopherols and tocotrienols in membranes: A critical review. Free Radic. Biol. Med. 2008, 44, 739–764. [Google Scholar] [CrossRef]
- Li, Y.-J.; Luo, S.-C.; Lee, Y.-J.; Lin, F.-J.; Cheng, C.-C.; Wein, Y.-S.; Kuo, Y.-H.; Huang, C.-j. Isolation and identification of α-CEHC sulfate in rat urine and an improved method for the determination of conjugated α-CEHC. J. Agric. Food Chem. 2008, 56, 11105–11113. [Google Scholar] [CrossRef]
- Lešková, E.; Kubíková, J.; Kováčiková, E.; Košická, M.; Porubská, J.; Holčíková, K. Vitamin losses: Retention during heat treatment and continual changes expressed by mathematical models. J. Food Compos. Anal. 2006, 19, 252–276. [Google Scholar] [CrossRef]
- Niki, E.; Kawakami, A.; Yamamoto, Y.; Kamiya, Y. Oxidation of lipids. VIII. Synergistic inhibition of oxidation of phosphatidylcholine liposome in aqueous dispersion by vitamin E and vitamin C. Bull. Chem. Soc. Jpn. 1985, 58, 1971–1975. [Google Scholar] [CrossRef]
- Cinelli, G.; Sbrocchi, G.; Iacovino, S.; Ambrosone, L.; Ceglie, A.; Lopez, F.; Cuomo, F. Red Wine-Enriched Olive Oil Emulsions: Role of Wine Polyphenols in the Oxidative Stability. Colloids Interfaces 2019, 3, 59. [Google Scholar] [CrossRef]
- Frei, B. Reactive oxygen species and antioxidant vitamins: Mechanisms of action. Am. J. Med. 1994, 97, 5–13. [Google Scholar] [CrossRef]
- Tikekar, R.V.; Nitin, N. Distribution of encapsulated materials in colloidal particles and its impact on oxidative stability of encapsulated materials. Langmuir 2012, 28, 9233–9243. [Google Scholar] [CrossRef]
- Waraho, T.; McClements, D.J.; Decker, E.A. Mechanisms of lipid oxidation in food dispersions. Trends Food Sci. Technol. 2011, 22, 3–13. [Google Scholar] [CrossRef]
- Yi, J.; Zhu, Z.; McClements, D.J.; Decker, E.A. Influence of aqueous phase emulsifiers on lipid oxidation in water-in-walnut oil emulsions. J. Agric. Food Chem. 2014, 62, 2104–2111. [Google Scholar] [CrossRef]
- Dai, F.; Chen, W.-F.; Zhou, B. Antioxidant synergism of green tea polyphenols with α-tocopherol and l-ascorbic acid in SDS micelles. Biochimie 2008, 90, 1499–1505. [Google Scholar] [CrossRef]
- Liu, D.; Shi, J.; Ibarra, A.C.; Kakuda, Y.; Xue, S.J. The scavenging capacity and synergistic effects of lycopene, vitamin E, vitamin C, and β-carotene mixtures on the DPPH free radical. Lwt-Food Sci. Technol. 2008, 41, 1344–1349. [Google Scholar] [CrossRef]
- Rozman, B.; Gašperlin, M. Stability of vitamins C and E in topical microemulsions for combined antioxidant therapy. Drug Deliv. 2007, 14, 235–245. [Google Scholar] [CrossRef]
- Barclay, L.R.C.; Locke, S.J.; MacNeil, J.M. Autoxidation in micelles. Synergism of vitamin C with lipid-soluble vitamin E and water-soluble Trolox. Can. J. Chem. 1985, 63, 366–374. [Google Scholar] [CrossRef]
- Gitto, E.; Tan, D.X.; Reiter, R.J.; Karbownik, M.; Manchester, L.C.; Cuzzocrea, S.; Fulia, F.; Barberi, I. Individual and synergistic antioxidative actions of melatonin: Studies with vitamin E, vitamin C, glutathione and desferrioxamine (desferoxamine) in rat liver homogenates. J. Pharm. Pharmacol. 2001, 53, 1393–1401. [Google Scholar] [CrossRef] [PubMed]
- Polychniatou, V.; Tzia, C. Evaluation of surface-active and antioxidant effect of olive oil endogenous compounds on the stabilization of water-in-olive-oil nanoemulsions. Food Chem. 2018, 240, 1146. [Google Scholar] [CrossRef] [PubMed]
- Katsouli, M.; Polychniatou, V.; Tzia, C. Optimization of water in olive oil nano-emulsions composition with bioactive compounds by response surface methodology. LWT 2018, 89, 740–748. [Google Scholar] [CrossRef]
- Pimentel-Moral, S.; Rodríguez-Pérez, C.; Segura-Carretero, A.; Martínez-Férez, A. Development and stability evaluation of water-in-edible oils emulsions formulated with the incorporation of hydrophilic Hibiscus sabdariffa extract. Food Chem. 2018, 260, 200–207. [Google Scholar] [CrossRef]
- Guerrini, L.; Zanoni, B.; Breschi, C.; Angeloni, G.; Masella, P.; Calamai, L.; Parenti, A. Understanding olive oil stability using filtration and high hydrostatic pressure. Molecules 2020, 25, 420. [Google Scholar] [CrossRef]
- Zullo, B.A.; Ciafardini, G. Changes in Physicochemical and Microbiological Parameters of Short and Long-Lived Veiled (Cloudy) Virgin Olive Oil Upon Storage in the Dark. Eur. J. Lipid Sci. Technol. 2018, 120, 1700309. [Google Scholar] [CrossRef]
- Zullo, B.A.; Pachioli, S.; Ciafardini, G. Reducing the bitter taste of virgin olive oil Don Carlo by microbial and vegetable enzymes linked to the colloidal fraction. Colloids Interfaces 2020, 4, 11. [Google Scholar] [CrossRef]
- Ciafardini, G.; Zullo, B. Survival of micro-organisms in extra virgin olive oil during storage. Food Microbiol. 2002, 19, 105–109. [Google Scholar] [CrossRef]






| Samples | Emulsification Technique | Oxidizing Conditions | Analyzed Parameters | Ref. |
|---|---|---|---|---|
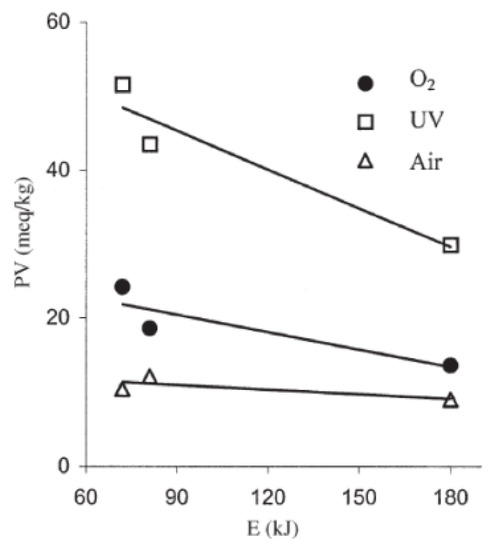
| Natural olive oil; Filtered olive oil;Emulsified olive oil (water 3% w/w) | Ultra-Turrax Vortex Rotatory mixer | O2 UV light Air | PVs; Polyphenol content | [80] |
| Natural olive oil;Filtered olive oil;Emulsified olive oil (1.5% w/w water) | Ultra-Turrax | UV light | PVs; Size distribution (optical microscopy) | [92] |
| w/o emulsion oil phase: glicerol trioleate (sodium oleate/oleic acid) water phase: Ascorbic acid, Surfactant: Span 85, Ascorbyl palmitate | Ultra-Turrax | UV-light | PVs; Percentage of Inhibition; Size distribution (optical microscopy) | [93] |
| w/o emulsion oil phase: olive oil + Span 80 water phase: water + Tween 80 enriched with antioxidant extract (caffeic acid, aqueous phenolic extract of olive oil, green tea leaves and olive mill waste) | Ultra-Turrax | Radical initiator AMVN (2,2-azobis(2,4-dimethylvaleronitrile) | Hydroperoxide concentration (Fluorescence spectroscopy); oxygen radical adsorption capacity (ORAC); p-anisidine; α-tocopherols; Turbidity | [83] |
| Refined olive oil; VOO | Three-phase extraction procedure (oil/externally added water) Dual-phase extraction procedure (no externally added water) | Static light scattering; Dynamic light scattering; Small Angle X-ray scattering; Confocal microscopy; Radical scavenging activity | [85] |
| W/O Emulsion Composition | Enriched Compound | Observation | Ref. | ||
|---|---|---|---|---|---|
| Aqueous Phase | Oil Phase | Surfactant | |||
| Water (0.7%) + Tween 80 (0.7%) | Olive oil | Span 80 (0.7%) | Green tea leaves extract, polyphenols extract from virgin olive oil, extract from olive mill wastes | The incorporation of all antioxidants made emulsions more stable. The higher antioxidant effect was obtained with the incorporation of enriched compounds. | [83] |
| Water (2–3% w/w) | Extra VOO (96 and 95% w/w) | Tween 20 (2% w/w) | Vanillic acid, caffeic acid, syringic acid (0.1% w/w) | The loading of caffeic acid in the water phase (at 2%) showed the lowest droplet diameter (251 nm) with long oxidation stability (33.6 h). | [84] |
| Water (2% w/w) | Extra VOO | Tween 20 (0%, 2%, 4% and 6% g emulsifier/g final emulsion) | Gallic acid Vanillic acid Syringic acid (1% w/w) | Incorporation of olive oil endogenous compounds in the aqueous phase lowered the surface tension facilitating the nanoemulsion formation. Additionally, the addition of the acids enhanced the kinetic and oxidation stability. | [108] |
| Water (2% w/w) | Extra VOO (92, 94 and 96% w/w) | Tween 20 2%–4%–6% | Ascorbic acid Gallic acid (0.5% and 1% w/w) | Both the bioactive compound affected the surface tension of the aqueous phase. The optimal formulation was provided by 1% of the ascorbic and gallic acid and 4% of Tween. | [109] |
| Water (10 and 20% wt) | Extra VOO | Tween 20 Span 80 (8%, 10% and 12% wt) | Phenolic compound extract from Hibiscus sabdariffa | Systems incorporating bioactive compounds extracted from H. sabdariffa showed good oxidative stability during one month of storage. | [110] |
| Water (1% w/w) | Olive oil | Span 80 (1% w/w) | Wine-dried extract (0.4, 1 and 1.5 mg of extract/g of emulsion) | Increasing the content of wine extract, the oxidation process was slowed down, while parameters such as the size of the dispersed phase were not affected. | [98] |
| Water (1% w/w) | Olive oil | Span 80 (1% w/w) | Vitamin E; Vitamin C (1.5 × 10−5 mol and 1.05 × 10−4 mol); Vit E + Vit C (3 × 10−5 mol and 2.1 × 10−4 mol) | The co-loading of vitamins was very effective as reported by the PVs that remain stable for about 40 days of storage, while when vitamin E was added alone it acts as pro-oxidant. | [25] |
© 2020 by the authors. Licensee MDPI, Basel, Switzerland. This article is an open access article distributed under the terms and conditions of the Creative Commons Attribution (CC BY) license (http://creativecommons.org/licenses/by/4.0/).
Share and Cite
Cinelli, G.; Cofelice, M.; Venditti, F. Veiled Extra Virgin Olive Oils: Role of Emulsion, Water and Antioxidants. Colloids Interfaces 2020, 4, 38. https://doi.org/10.3390/colloids4030038
Cinelli G, Cofelice M, Venditti F. Veiled Extra Virgin Olive Oils: Role of Emulsion, Water and Antioxidants. Colloids and Interfaces. 2020; 4(3):38. https://doi.org/10.3390/colloids4030038
Chicago/Turabian StyleCinelli, Giuseppe, Martina Cofelice, and Francesco Venditti. 2020. "Veiled Extra Virgin Olive Oils: Role of Emulsion, Water and Antioxidants" Colloids and Interfaces 4, no. 3: 38. https://doi.org/10.3390/colloids4030038
APA StyleCinelli, G., Cofelice, M., & Venditti, F. (2020). Veiled Extra Virgin Olive Oils: Role of Emulsion, Water and Antioxidants. Colloids and Interfaces, 4(3), 38. https://doi.org/10.3390/colloids4030038

