Microstructure and Hydrogen Storage Properties of Composites Derived from Oxidized Alloy Glass in the System of Zr-Pd-Pt
Abstract
1. Introduction
2. Experimental Methods
2.1. Sample Preparation
2.2. Characterization
2.3. Evaluation of Hydrogen Storage
2.4. Evaluation of Dynamic Hydrogen Absorption/Release
3. Results and Discussion
3.1. Crystal Phase and Microstructure of Composites
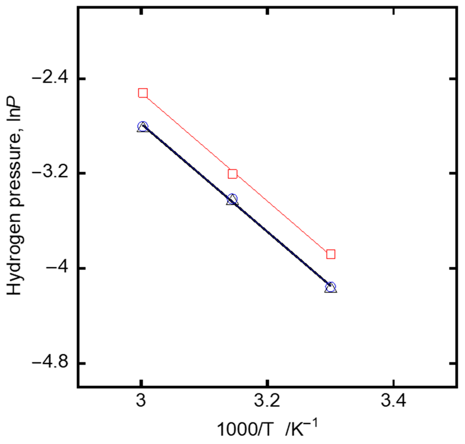
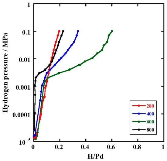
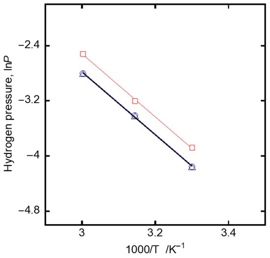
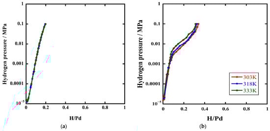
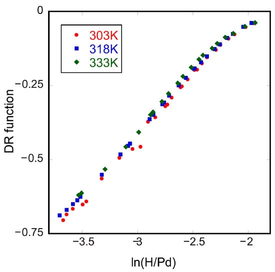
3.2. PCT Isotherms
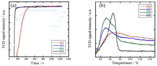
3.3. H2 Absorption/Desorption Behavior
4. Conclusions
- The XRD and surface morphology of the alloy glass after heat treatment in air at 280–800 °C showed a precipitated structure consisting of metallic Pd-Pt particles on the matrix of ZrO2.
 - The PCT isotherms of the composites exhibited the characteristic hydrogen absorption behaviors. In the equilibrium absorption process, the amount of the stored H2 reaches its maximum of H/Pd = 0.61 in the composite prepared at 600 °C. The ΔH° of approximately 38 kJ/mol was for the hydride formation reaction.
 - The H2-TPR results demonstrated the hydrogen absorption/release behavior on the composite. The desorption of H2 occurred at relatively low temperatures ranging from 50 °C to 65 °C at atmospheric pressure.
 
Author Contributions
Funding
Data Availability Statement
Acknowledgments
Conflicts of Interest
References
- Moradi, R.; Groth, K.M. Hydrogen Storage and Delivery: Review of the State of the Art Technologies and Risk and Reliability Analysis. Int. J. Hydrogen Energy 2019, 44, 12254–12269. [Google Scholar] [CrossRef]
 - Niaz, S.; Manzoor, T.; Pandith, A.H. Hydrogen Storage: Materials, Methods and Perspectives. Renew. Sustain. Energy Rev. 2015, 50, 457–469. [Google Scholar] [CrossRef]
 - Nivedhitha, K.S.; Beena, T.; Banapurmath, N.R.; Umarfarooq, M.A.; Ramasamy, V.; Soudagar, M.E.M.; Ağbulut, Ü. Advances in Hydrogen Storage with Metal Hydrides: Mechanisms, Materials, and Challenges. Int. J. Hydrogen Energy 2024, 61, 1259–1273. [Google Scholar] [CrossRef]
 - Singh, G.; Ramadass, K.; DasiReddy, V.D.B.C.; Yuan, X.; Sik Ok, Y.; Bolan, N.; Xiao, X.; Ma, T.; Karakoti, A.; Yi, J.; et al. Material-Based Generation, Storage, and Utilisation of Hydrogen. Prog. Mater. Sci. 2023, 135, 101104. [Google Scholar] [CrossRef]
 - Klopčič, N.; Grimmer, I.; Winkler, F.; Sartory, M.; Trattner, A. A review on metal hydride materials for hydrogen storage. J. Energy Storage 2023, 72, 108456. [Google Scholar] [CrossRef]
 - Löffler, J.F. Bulk Metallic Glasses. Intermetallics 2003, 11, 529–540. [Google Scholar] [CrossRef]
 - Inoue, A.; Takeuchi, A. Recent Development and Application Products of Bulk Glassy Alloys. Acta Mater. 2011, 59, 2243–2267. [Google Scholar] [CrossRef]
 - Jiang, R.; Da, Y.; Chen, Z.; Cui, X.; Han, X.; Ke, H.; Liu, Y.; Chen, Y.; Deng, Y.; Hu, W. Progress and Perspective of Metallic Glasses for Energy Conversion and Storage. Adv. Energy Mater. 2022, 12, 2101092. [Google Scholar] [CrossRef]
 - Schroers, J. Processing of Bulk Metallic Glass. Adv. Mater. 2010, 22, 1566–1597. [Google Scholar] [CrossRef]
 - Halim, Q.; Mohamed, N.A.N.; Rejab, M.R.M.; Naim, W.N.W.A.; Ma, Q. Metallic Glass Properties, Processing Method and Development Perspective: A Review. Int. J. Adv. Manuf. Technol. 2021, 112, 1231–1258. [Google Scholar] [CrossRef]
 - Zhang, M.; Huang, T.; Zhang, J.; Deng, L.; Gong, P.; Wang, X. Influence of Oxidation on Structure, Performance, and Application of Metallic Glasses. Adv. Mater. 2022, 34, 2110365. [Google Scholar] [CrossRef]
 - Zhou, W.H.; Duan, F.H.; Meng, Y.H.; Zheng, C.C.; Chen, H.M.; Huang, A.G.; Wang, Y.X.; Li, Y. Effect of Alloying Oxygen on the Microstructure and Mechanical Properties of Zr-Based Bulk Metallic Glass. Acta Mater. 2021, 220, 117345. [Google Scholar] [CrossRef]
 - Li, F.; Zhang, Z.; Liu, H.; Zhu, W.; Wang, T.; Park, M.; Zhang, J.; Bönninghoff, N.; Feng, X.; Zhang, H.; et al. Oxidation-Induced Superelasticity in Metallic Glass Nanotubes. Nat. Mater. 2024, 23, 52–57. [Google Scholar] [CrossRef] [PubMed]
 - Köster, U.; Jastrow, L. Oxidation of Zr-Based Metallic Glasses and Nanocrystalline Alloys. Mater. Sci. Eng. A 2007, 449–451, 57–62. [Google Scholar] [CrossRef]
 - Pentimalli, M.; Imperi, E.; Bellusci, M.; Alvani, C.; Santini, A.; Padella, F. Silica-Metal Composite for Hydrogen Storage Applications. Crystals 2012, 2, 690–703. [Google Scholar] [CrossRef]
 - Srinivasan, S.; Demirocak, D.E.; Kaushik, A.; Sharma, M.; Chaudhary, G.R.; Hickman, N.; Stefanakos, E. Reversible Hydrogen Storage Using Nanocomposites. Appl. Sci. 2020, 10, 4618. [Google Scholar] [CrossRef]
 - Nagar, R.; Srivastava, S.; Hudson, S.L.; Amaya, S.L.; Tanna, A.; Sharma, M.; Achayalingam, R.; Sonkaria, S.; Khare, V.; Srinivasan, S.S. Recent Developments in State-of-the-Art Hydrogen Energy Technologies—Review of Hydrogen Storage Materials. Sol. Compass 2023, 5, 100033. [Google Scholar] [CrossRef]
 - Rahman, M.A.; Taher, A.; Mia, R.; Chowdhury, F.I.; Khandaker, M.U.; Osman, H.; Hossain, M.K.; Al-Sehemi, A.G.; Ghann, W.; Alim, M.A.; et al. Deciphering the Mechanisms and Contributions of Ceramic-Based Materials in Hydrogen Storage Applications: A Contemporary Outlook. Chem. Pap. 2024, 78, 7685–7705. [Google Scholar] [CrossRef]
 - Müller, C.A.; Maciejewski, M.; Koeppel, R.A.; Baiker, A. Combustion of Methane over Palladium/Zirconia Derived from a Glassy Pd–Zr Alloy: Effect of Pd Particle Size on Catalytic Behavior. J. Catal. 1997, 166, 36–43. [Google Scholar] [CrossRef]
 - Kimura, H.; Inoue, A.; Masumoto, T. Production of nanocrystalline ZrO2 and Pd composites by oxidation of an amorphous Zr65Pd35 alloy. Mater. Lett. 1992, 14, 232–236. [Google Scholar] [CrossRef]
 - Ozawa, M.; Masuda, A.; Nakamura, M.; Hattori, M.; Kato, H.; Yamamura, S. Soot-Combustion Catalyst of Pd/ZrO2 Composites Prepared from Zr65Pd35 Amorphous Alloy by Oxidation Treatment. Jpn. J. Appl. Phys. 2020, 59, SAAC06. [Google Scholar] [CrossRef]
 - Hattori, M.; Ozawa, M.; Masuda, A.; Yamaura, S. Microstructure, surface properties, and CO oxidation properties of oxidized Zr2Pd alloy glass. Intermetallics 2022, 144, 107510. [Google Scholar] [CrossRef]
 - Hattori, M.; Katsuragawa, N.; Yamaura, S.; Ozawa, M. Three-Way Catalytic Properties and Microstructures of Metallic Glass Driven Composite Catalysts. Catal. Today 2021, 375, 273–281. [Google Scholar] [CrossRef]
 - Kamiuchi, N.; Haneda, M.; Ozawa, M. Propene oxidation over palladium catalysts supported on zirconium rich ceria–zirconia. Catal. Today 2015, 241, 100–106. [Google Scholar] [CrossRef]
 - Sarac, B.; Sarac, A.S.; Eckert, J. Pd-based Metallic Glasses as Promising Materials for Hydrogen Energy Applications. J. Electrochem. Soc. 2023, 170, 014503. [Google Scholar] [CrossRef]
 - Somenkov, V.A.; Agafonov, S.S.; Glazkov, V.P.; Syrykh, G.F.; Verbetsky, V.N.; Yaropolov, Y.L. Hydrogen induced phase transitions in amorphous alloys. Int. J. Hydrogen Energy 2011, 36, 1209–1211. [Google Scholar] [CrossRef]
 - Berger, F.; Varga, M.; Mulas, G.; Molnár, Á.; Dékány, I. Surface Characteristics, Hydrogen Sorption, and Catalytic Properties of Pd−Zr Alloys. Langmuir 2003, 19, 3692–3697. [Google Scholar] [CrossRef]
 - Harris, J.H.; Curtin, W.A.; Tenhover, M.A. Universal Features of Hydrogen Absorption in Amorphous Transition-Metal Alloys. Phys. Rev. B 1987, 36, 5784–5797. [Google Scholar] [CrossRef]
 - Ning, J.; Zhang, X.; Qin, J.; Wang, L.; Passerone, D.; Ma, M.; Liu, R. Origin of Distinct Hydrogen Absorption Behavior of Zr2Pd and ZrPd2. Int. J. Hydrogen Energy 2016, 41, 1736–1743. [Google Scholar] [CrossRef]
 - Babai, D.; Bereznitsky, M.; Shneck, R.Z.; Jacob, I. The effect of Pd on hydride formation in Zr(PdxM1−x)2 intermetallics where M is a 3d element. J. Alloys Compd. 2021, 889, 161503. [Google Scholar] [CrossRef]
 - Yamaura, S.-I.; Sasamori, K.-I.; Kimura, H.; Inoue, A.; Zhang, Y.C.; Arata, Y. Hydrogen Absorption of Nanoscale Pd Particles Embedded in ZrO2 Matrix Prepared from Zr–Pd Amorphous Alloys. J. Mater. Res. 2002, 17, 1329–1334. [Google Scholar] [CrossRef]
 - Ozawa, M.; Kato, S.; Kobayashi, K.; Yogo, T.; Yamamura, S. Microstructure development and hydrogen gas interaction of oxidized Zr65Pd35 and Zr60Pd35Ce5 amorphous alloys. Jpn. J. Appl. Phys. 2016, 55, 01AG05. [Google Scholar] [CrossRef]
 - Ozawa, M.; Katsuragawa, N.; Hattori, M.; Yogo, T.; Yamamura, S. Hydrogen absorption of Pd/ZrO2 composites prepared from Zr65Pd35 and Zr60Pd35Pt5 amorphous alloys. Jpn. J. Appl. Phys. 2018, 57, 01AF01. [Google Scholar] [CrossRef]
 - Panizon, E.; Ferrando, R. Solid-Solid Transitions in Pd-Pt Nanoalloys. Phys. Rev. B 2015, 92, 205417. [Google Scholar] [CrossRef]
 - Ishimoto, T.; Koyama, M. Electronic Structure and Phase Stability of PdPt Nanoparticles. J. Phys. Chem. Lett. 2016, 7, 736–740. [Google Scholar] [CrossRef]
 - Akamaru, S.; Hara, M.; Matsuyama, M. Alloying Effects on the Hydrogen-Storage Capability of Pd–TM–H (TM = Cu, Au, Pt, Ir) Systems. J. Alloys Compd. 2014, 614, 238–243. [Google Scholar] [CrossRef]
 - Kumara, L.S.R.; Sakata, O.; Kobayashi, H.; Song, C.; Kohara, S.; Ina, T.; Yoshimoto, T.; Yoshioka, S.; Matsumura, S.; Kitagawa, H. Hydrogen Storage and Stability Properties of Pd–Pt Solid-Solution Nanoparticles Revealed via Atomic and Electronic Structure. Sci. Rep. 2017, 7, 14606. [Google Scholar] [CrossRef] [PubMed]
 - Tayal, A.; Seo, O.; Kim, J.; Kumara, L.S.R.; Song, C.; Hiroi, S.; Chen, Y.; Kobayashi, H.; Kitagawa, H.; Sakata, O. Effects of Interfacial Structure of Pd–Pt Nanoparticles on Hydrogen Solubility. J. Alloys Compd. 2019, 791, 1263–1269. [Google Scholar] [CrossRef]
 - Tayal, A.; Seo, O.; Kim, J.; Kobayashi, H.; Yamamoto, T.; Matsumura, S.; Kitagawa, H.; Sakata, O. Mechanism of Hydrogen Storage and Structural Transformation in Bimetallic Pd–Pt Nanoparticles. ACS Appl. Mater. Interfaces 2021, 13, 23502–23512. [Google Scholar] [CrossRef]
 - Ozawa, M.; Matsubara, T.; Hattori, M. One-pot preparation of Pd–Pt alloy nanoparticles and their hydrogen gas interaction. Jpn. J. Appl. Phys. 2020, 59, SAAC04. [Google Scholar] [CrossRef]
 - El-Eskandarany, M.S.; Saida, J.; Inoue, A. Amorphization and crystallization behaviors of glassy Zr70Pd30 alloys prepared by different techniques. Acta Mater. 2002, 50, 2725–2736. [Google Scholar] [CrossRef]
 - Yamanaka, S.; Nishizaki, T.; Uno, M.; Katsura, M. Hydrogen Dissolution into Zirconium Oxide. J. Alloys Compd. 1999, 293–295, 38–41. [Google Scholar] [CrossRef]
 - Dubinin, M.M. Fundamentals of the theory of adsorption in micropores of carbon adsorbents: Characteristics of their adsorption properties and microporous structures. Carbon 1989, 27, 457–467. [Google Scholar] [CrossRef]
 - Nguyen, C.; Do, D.D. The Dubinin–Radushkevich equation and the underlying microscopic adsorption description. Carbon 2001, 39, 1327–1336. [Google Scholar] [CrossRef]
 - Hardy, B.; Corgnale, C.; Chahine, R.; Richard, M.-A.; Garrison, S.; Tamburello, D.; Cossement, D.; Anton, D. Modeling of adsorbent based hydrogen storage systems. Int. J. Hydrogen Energy 2012, 37, 5691–5705. [Google Scholar] [CrossRef]
 - Niemann, M.U.; Srinivasan, S.S.; Phani, A.R.; Kumar, A.; Goswami, D.Y.; Stefanakos, E.K. Nanomaterials for Hydrogen Storage Applications: A Review. J. Nanomater. 2008, 2008, 950967. [Google Scholar] [CrossRef]
 - Bardhan, R.; Hedges, L.O.; Pint, C.L.; Javey, A.; Whitelam, S.; Urban, J.J. Uncovering the intrinsic size dependence of hydriding phase transformations in nanocrystals. Nat. Mater. 2013, 12, 905–912. [Google Scholar] [CrossRef]
 - Griessen, R.; Strohfeldt, N.; Giessen, H. Thermodynamics of the hybrid interaction of hydrogen with palladium nanoparticles. Nat. Mater. 2016, 15, 11–17. [Google Scholar] [CrossRef]
 - Ozawa, M.; Todoroki, T.; Kato, H.; Hattori, M. The dependence of hydrogen storage properties on the sizes of Pd nanoparticles prepared by a solution-reduction method. Jpn. J. Appl. Phys. 2021, 60, SAAC05. [Google Scholar] [CrossRef]
 - Alekseeva, S.; Fanta, A.B.D.S.; Iandolo, B.; Antosiewicz, T.J.; Nugroho, F.A.A.; Wagner, J.B.; Burrows, A.; Zhdanov, V.P.; Langhammer, C. Grain boundary mediated hydriding phase transformations in individual polycrystalline metal nanoparticles. Nat. Commun. 2017, 8, 1084. [Google Scholar] [CrossRef]
 - Züttel, A. Materials for hydrogen storage. Mater. Today 2003, 6, 24–33. [Google Scholar] [CrossRef]
 - Rahm, J.M.; Löfgren, J.; Erhart, P. Quantitative predictions of thermodynamic hysteresis: Temperature-dependent character of the phase transition in Pd–H. Acta Mater. 2022, 227, 117697. [Google Scholar] [CrossRef]
 - Jin, Y.; Hara, M.; Wan, J.L.; Matsuyama, M.; Watanabe, K. Isotope Effects on Hydrogen Absorption by Pd–4at.%Pt Alloy. J. Alloys Compd. 2002, 340, 207–213. [Google Scholar] [CrossRef]
 - Akiba, H.; Kobayashi, H.; Kitagawa, H.; Ikeda, K.; Otomo, T.; Yamamoto, T.; Matsumura, S.; Yamamuro, O. Structural and Thermodynamic Studies of Hydrogen Absorption/Desorption Processes on PdPt Nanoparticles. J. Phys. Chem. C 2019, 123, 9471–9478. [Google Scholar] [CrossRef]
 










| Sample (HTT) | 280 °C | 400 °C | 600 °C | 800 °C | 
|---|---|---|---|---|
| ΔH/kJ mol−1 | - | −38.1 | −37.8 | −37.9 | 
| ΔS/J mol−1 | - | −91.5 | −91.5 | −92.9 | 
Disclaimer/Publisher’s Note: The statements, opinions and data contained in all publications are solely those of the individual author(s) and contributor(s) and not of MDPI and/or the editor(s). MDPI and/or the editor(s) disclaim responsibility for any injury to people or property resulting from any ideas, methods, instructions or products referred to in the content.  | 
© 2025 by the authors. Licensee MDPI, Basel, Switzerland. This article is an open access article distributed under the terms and conditions of the Creative Commons Attribution (CC BY) license (https://creativecommons.org/licenses/by/4.0/).
Share and Cite
Ozawa, M.; Katsuragawa, N.; Hattori, M.; Kato, H. Microstructure and Hydrogen Storage Properties of Composites Derived from Oxidized Alloy Glass in the System of Zr-Pd-Pt. J. Compos. Sci. 2025, 9, 563. https://doi.org/10.3390/jcs9100563
Ozawa M, Katsuragawa N, Hattori M, Kato H. Microstructure and Hydrogen Storage Properties of Composites Derived from Oxidized Alloy Glass in the System of Zr-Pd-Pt. Journal of Composites Science. 2025; 9(10):563. https://doi.org/10.3390/jcs9100563
Chicago/Turabian StyleOzawa, Masakuni, Naoya Katsuragawa, Masatomo Hattori, and Hidemi Kato. 2025. "Microstructure and Hydrogen Storage Properties of Composites Derived from Oxidized Alloy Glass in the System of Zr-Pd-Pt" Journal of Composites Science 9, no. 10: 563. https://doi.org/10.3390/jcs9100563
APA StyleOzawa, M., Katsuragawa, N., Hattori, M., & Kato, H. (2025). Microstructure and Hydrogen Storage Properties of Composites Derived from Oxidized Alloy Glass in the System of Zr-Pd-Pt. Journal of Composites Science, 9(10), 563. https://doi.org/10.3390/jcs9100563
        
                                                
