Abstract
Over the past few decades, synthetic petroleum-based packaging materials have increased, and the production of plastics has surpassed all other man-made materials due to their versatility. However, the excessive usage of synthetic packaging materials has led to severe environmental and health-related issues due to their nonbiodegradability and their accumulation in the environment. Therefore, bio-based packages are considered alternatives to substitute synthetic petroleum-based packaging material. Furthermore, the choice of packing material in the food industry is a perplexing process as it depends on various factors, such as the type of food product, its sustainability, and environmental conditions. Interestingly, due to proven mechanical, gas, and water vapor barrier properties and biological activity, polysaccharide-based bioplastics show the potential to expand the trends in food packaging, including edible films or coatings and intelligent and active food packaging. Various chemical modifications, network designs, and processing techniques have transformed polysaccharide materials into valuable final products, particularly for large-scale or high-value applications. Transitioning from petroleum-based resources to abundant bio-based polysaccharides presents an opportunity to create a sustainable circular economy. The economic viability of polysaccharide-based bioplastics is determined by several factors, including raw material costs, production technologies, market demand, and scalability. Despite their potential advantages over traditional plastics, their economic feasibility is affected by continuous technological advancements and evolving market dynamics and regulations. This review discusses the structure, properties, and recent developments in polysaccharide-based bioplastics as green and sustainable food packaging materials.
1. Introduction
In recent years, synthetic polymer production has overwhelmingly grown worldwide, and a world without plastics seems unimaginable today. Although the first synthetic plastic, such as “Bakelite”, appeared in the early 20th century, plastics’ widespread use did not occur until World War II. The production of plastics has overtaken all other synthetic materials due to their versatility [1]. In 2018, world plastics’ production totaled around 359 million metric tons, predicted to triple by 2050. This further exacerbates the inherent conflict between plastic’s myriad uses and environmental impact [2]. Plastics have replaced metal and glass in massive volumes in modern-day packaging, and a significant fraction of global plastic production is utilized in packaging applications due to their flexibility, barrier properties, low cost, and ease of production [3,4,5].
Fossil fuel-based packaging waste contributes to a major part of municipal solid waste. The leaching of harmful chemicals, non-biodegradable nature, recycling issues, and the environmental impact caused by the excessive production and usage of synthetic plastics have led to a dire need to develop green materials [5,6]. Development and commercialization of bioplastics from renewable material can reduce the widespread dependence on fossil fuels, subsequently addressing environmental pollution. Moreover, synthesizing bioplastics from renewable sources is economical, sustainable, and environmentally benign [6]. Current packaging tendencies include interacting with the environment and self-preservation of food. Moreover, the packaging can improve food quality and shelf life by integrating various functionalities in the packaging structure. Numerous studies are underway to incorporate nanotechnology into active packaging technologies to address the issues related to barrier properties of the packaging materials [6,7]. Furthermore, biopolymers have been widely investigated for preparing packaging materials [8]. Biopolymers are polymers derived from natural sources and can be either chemically synthesized from biological materials or biosynthesized by living organisms. Composed of monomeric units connected by covalent bonds, these units combine to form larger molecules. Bioplastics, also known as biopolymer plastics, are a specific category within the broader group of biopolymers. All bioplastics are biopolymers, but not all biopolymers qualify as bioplastics. Bioplastics made from renewable materials offer a promising solution to reduce reliance on fossil fuels and mitigate environmental pollution. These materials are not only economical and environmentally friendly but also enhance packaging by integrating functionalities that improve food quality and shelf life. The integration of nanotechnology into active packaging technologies aims to address barriers in packaging materials. Among biopolymers, polysaccharide-based materials have attracted attention for their renewability, abundance, nontoxicity, and biodegradability. This review examines the structure, properties, and applications of polysaccharide-based bioplastics from various sources—plant, animal, and microorganisms—and explores recent developments and health impacts associated with these sustainable packaging materials.
2. Biopolymers
Biopolymers, including polysaccharides, have been employed for preparing bioplastics due to their relative abundance, renewability, biodegradability, biocompatibility, non-toxicity, ease of handling, low cost, and functional tunability [9,10]. Biopolymers can be categorized based on their fabrication methods and source of origin, and the biopolymers are classified as follows [11,12].
- Biopolymers extracted from biomass.
- Plant: starch (amylose/amylopectin), cellulose, guar gum, pectin, protein including corn zein, gluten, and soy protein, lipids.
- Animal: chitin/chitosan, protein including, whey protein, casein, collagen, and gelatin, lipids.
- Algae/seaweeds: alginate, agar, carrageenan, ulvan.
- Biopolymers produced by microorganisms: polysaccharides (dextran, gellan gum, pullulan, xanthan gum), proteins (polyamides from bacteria), polyhydroxyalkanoates (PHA), polyhydroxybutyrates (PHB).
- Biopolymers chemically synthesized from bio-based materials: Polylactic acid (PLA).
- Biopolymers are chemically synthesized from petroleum-based materials: polycaprolactones (PCL) and polyesteramides (PEA).
Figure 1 shows the biodegradable and non-biodegradable plastics’ classification based on raw material origin, and Figure 2 depicts the classification of polysaccharides based on their origin.
Figure 1.
Biodegradable and Non-Biodegradable Plastics: Classification Based on Raw Material Origin.
Figure 2.
Classification of polysaccharides based on their origin.
3. Polysaccharide-Based Bioplastics
Polysaccharides are one of the most abundant natural biopolymers [10]. Therefore, polysaccharide-based bioplastics derived from biomass have been widely investigated over the last few years [13,14]. Polysaccharides, such as cellulose and starch derived from agricultural materials, chitin and chitosan derived from marine food processing wastes, pullulan from microorganisms, and many other polysaccharides from various natural sources have shown the ability to form bioplastics [15]. Moreover, bioplastics generated from the graft copolymerization of synthetic monomers or biomolecules have been studied for preparing bioplastics [16]. Certain additives, including plasticizers, antioxidants, and antimicrobial agents, have also been incorporated during bioplastic synthesis to enhance their functional properties [17,18,19].
Apart from biodegradability, the physicochemical and mechanical properties (flexibility, brittleness, and rigidity) of the biopolymers should be comparable to conventional plastics [11]. The utilization of polysaccharides is limited by their poor mechanical and barrier properties [9]. Generally, physicochemical, mechanical, and barrier properties of polysaccharides vary from their source of origin and other embodied constituents. Hence, developing packaging materials from those polysaccharides must be executed after carefully investigating their characteristics for intended applications.
4. Polysaccharides from Higher Plants
4.1. Starch
Starch is a naturally occurring polysaccharide found in abundance and exists as a heteropolymer in nature. Starch and its derivatives have been widely used to produce bioplastics [20]. Starch is comprised of two types of polymer chains: amylose and amylopectin (Figure 3). Amylose is the linear form with α-1,4-glycosidic linkage, whereas amylopectin possesses a branched structure with α-1,4- and α-1,6-glycosidic linkages [21]. Amylose (amorphous) and amylopectin (crystalline) are arranged in a semicrystalline structure in starch granules. Due to the semi-crystalline nature, starch granules are not soluble in water. Starch granules undergo a gelatinization process during heating in the presence of excess water. This phenomenon occurs via hydration of amorphous region, loss of crystallinity and starch granule structure, unwinding of double helices amylopectin, and breakdown of hydrogen bonds between starch chains during the heating [21,22].
Figure 3.
Structure of the amylose and amylopectin.
The ratio of amylose to amylopectin and the branching degree of amylopectin determines the size and structure of starch granules as well as influences the physicochemical properties (crystalline structure, swelling capacity, gelatinization, paste properties, and retrogradation) of starch [21,22]. Direct application of native starch is limited in industrial applications, and native starch is modified using physical (hydrothermal methods, griding, and extrusion), chemical (etherification, esterification, cross-linking), and enzymatic hydrolysis methods [21].
Starch-based polymers for packaging are mainly derived from maize, sugar cane, corn, and potato. However, corn is the most operative in the industry among those starch types [23]. Starch is employed in food and non-food applications, including cosmetics and pharmaceutical industries. Additionally, it is used to obtain glucose, dextrin, ethyl alcohol, biofuel, and as stiffeners and binders [23].
High amylose content in starch contributes to the increased strength of the film, whereas the presence of highly branched amylopectin (waxy starch) leads to films with poor mechanical properties. Young’s modulus and the tensile strength of the bioplastic films made of cassava increased with increasing amylose content due to the well-stacked polymer network [24]. The mechanical properties of starch-derived bioplastics can be improved by adding plasticizers, such as sorbitol and glycerol [25]. The type and content of the plasticizer significantly affect the water sorption and water vapor permeability (WVP) of starch-derived bioplastics films. For instance, the WVP increases with increasing plasticizer content [26].
Bioplastics developed from starch have many advantages, such as higher biodegradability, renewability, and good oxygen barrier properties, making them suitable alternatives for many commercial applications, including packaging [27]. However, starch possesses several limitations, including high water absorption and poor mechanical properties [23].
4.2. Thermoplastic Starch
Thermoplastic starch (TPS) is obtained by the spontaneous destruction of the starch crystalline structure in the presence of heat, mechanical shear, and plasticizers. This phenomenon is called gelatinization. Plasticizers used in TPS processing are water and glycerol, alcohol, polyols, sugars, urea, and acetamide [28,29,30,31].
The most commonly used techniques for bioplastic preparation are casting and thermo-molding. However, extrusion and injection molding are widely accepted processing techniques for generating TPS. Extrusion technology has been widely used to process polymers [32], including TPS, which enables molecular weight reduction under high pressure, temperature, and shear stress [28]. Then, TPS can be mixed with other ingredients, such as polylactic acid (PLA) and polycaprolactone (PCL), to fabricate the bioplastic film [28,29,30,33,34].
TPS is an amorphous material that can flow like synthetic polymers and thus can be suitable for conventional molding and extrusion technologies [28]. TPS has poor processability and mechanical properties. TPS has moisture sensitivity and low-temperature resistance. Furthermore, the mechanical properties of TPS vary with the storage time due to the loss of the plasticizer. Thus, TPS can be blended with various synthetic and natural polymers to improve their properties [35]. TPS blends were prepared using various polymers, such as polyethylene (PE), including low-density PE (LDPE)/linear low-density PE (LLDPE) [36,37], high-density PE (HDPE) [38], polypropylene (PP) [38,39], polystyrene (PS) [35,40], polyvinyl alcohol (PVA) [41], etc.
High compatibility, crystallinity, tensile strength, hardness, and stiffness are important factors in food packaging. Furthermore, a material with high elongation absorbs a large amount of energy before breaking; thus, elasticity or elongation is a very important property for a packaging material. St-Pierre et al. [36] reported that the TPS/PE (LDPE or LLDPE) blend has high elongation at break even without interfacial modifier.
TPS using various plasticizers has been widely studied, among which glycerol has been widely studied as a plasticizer for starch due to its high boiling point, availability, and low cost [35]. Schlemmer et al. [40] used a solvent casting technique to prepare TPS/PS blends with glycerol and buriti oil as plasticizers, while Mihai et al. [35] studied the fabrication of extruded foams from TPS/PS blends with glycerol as a plasticizer. Yoon et al. [41] reported the effect of functional groups (hydroxyl and carboxyl groups) of plasticizers on the properties of starch/PVA blends with different plasticizers, namely, glycerol, malic acid, tartaric acid, and succinic acid. The degree of swelling and solubility was found to be higher in films with malic acid and tartaric acid due to their higher hydroxyl and carboxyl groups, i.e., higher hydrophilicity. Another study reported the role of a complex plasticizer prepared from a mixture of urea and glycerol on the starch/PVA blends [42]. The result showed that the complex plasticizer formed stronger and more stable hydrogen bonds with water and starch/PVA molecules than the single plasticizer. Therefore, the starch blends with complex plasticizers displayed better mechanical characteristics. Another study compared the morphology of the TPS/LDPE blend prepared by one-step extrusion with the reprocessed TPS/LDPE blend [43]. The results indicated that one-step processing of the used materials behaves like typical thermoplastic immiscible blends and can achieve highly elongated morphological properties [43].
4.3. Modified Starch
The industry already produces chemically modified starch derivatives by the surface modification of starch granules [44,45]. Modified starch is prepared physically (gelatinization, extrusion, foaming, and impregnation), chemically (esterification and grafting), enzymatically, or through biotechnical treatment to change the properties of native starch [44]. Modified starches are commonly used as emulsifiers, stabilizers, viscosifying agents, coatings, and thickeners [45,46]. A study reported that starch chemical modification produces a biodegradable material with appropriate mechanical strength, flexibility, and water barrier properties for packaging material [45,47]. Moreover, hydrophobically modified starch through acetylation, esterification, and grafting of highly reactive hydrophobic functional groups improves the hydrophobicity of starch by replacing the hydroxyl groups in starch, which leads to an enhanced interfacial compatibility between starch and the hydrophobic polymer [48]. The Octenyl succinic anhydride (OSA)-modified tapioca starch is amphiphilic, allowing it to functionalize CNTs through non-covalent wrapping [49]. The physical adsorption of these copolymers onto the surfaces of CNTs enhances the hydrophobic characteristics of the OSA, which can effectively inhibit CNT aggregation.
Modification improves the processability by reducing the gelatinization temperature or hot paste viscosity. The modification also improves film formation and emulsification [50]. Moreover, proteins in starch form a network and assist the modified starch in enhancing plasticity and elasticity [44,45,46,47].
In a study, polybutylene succinate (PBS) was blended with five types (A, B, C, D, E) of modified tapioca starch and tested for food packaging applications [46]. Five modified starch grades (A, B, C, D, E) showed various properties: moisture content of 11.1, 8.1, 7.2, 8.6, and 11.2%; bulk density of 0.63, 0.62, 0.59, 0.53, and 0.54 g/cm3; gelatinization (Tg) temperature of 51, 45.2, 44.9, 60.3, and 69.4 °C; maximum Brabender viscosity of BU 1291, 228, 405, 75, and 0 717; viscosity of 5.5, 6.5, 6.3, 5.7, and 6.1 CP, respectively. According to the observed results, starch A and B blends have good elongation at break and blending capability making them to be used as food wrap and food container materials, while starch D blends are used as grocery plastic bags because of their good tensile properties [46]. Biopolymers like polylactic acid (PLA), derived from corn starch, provide an ideal combination of strong mechanical properties and environmental sustainability due to their natural degradation. In a study, by combining a two-step dispersion strategy with mechanical mixing, we have developed high-performance, multifunctional biopolymer PLA/CNT@EG (C5Ex) nanocomposites. This fabrication method has successfully introduced an additional electron conduction pathway within the PLA matrix. The power-law curves fitted to the data reveal a percolation threshold of zero at the interface, demonstrating the inherent electrical conductivity of the composite [50].
4.4. Cellulose
Cellulose is the most abundant macromolecule on earth. Cellulose can be extracted from plants, especially from vascular plants, algae (Cladophora and Valonia spp.), bacteria (Gluconacetobacter and Sarcina spp.), fungi, some protozoa (Dictyostelium amoebae), and agricultural residues [51,52]. The plant cell wall is the major source of cellulose, consisting of cellulose, hemicellulose, and lignin, at the ratio of 4:3:3, which differs from the source. Besides the three components, natural lignocellulosic materials include a small amount of pectin, nitrogenous compounds, and ash [51,53]. Cellulose is a linear homopolymer composed of glucose units linked by β-(1–4)-glycosidic bonds. The hydroxyl groups in cellulose form strong intramolecular and intermolecular hydrogen bonds, which enables cellulose to form a stable three-dimensional crystalline structure. Cellulose is surrounded by hemicellulose and lignin [53,54,55]. Thus, cellulose extraction requires a pretreatment process to remove lignin, pectin, and other non-cellulosic materials [52,55].
Cellulose and its derivatives have been tested for packaging applications [56]. Cellulose composites showed excellent mechanical properties, reinforcing capabilities, biodegradability, and availability. For instance, Carrillo et al. prepared the cellulose lyocell fiber/cellulose acetate butyrate composite [57]. They displayed increased tensile properties, dimensional stability, fiber and matrix compatibility, and biodegradability. Carboxymethyl cellulose (CMC)-based films fabricated by incorporating bioactive Chinese chives root extract (CRE) showed higher oil resistance properties in addition to the improved physical and barrier properties, antioxidant and antimicrobial activity (against B. cereus, S. aureus, E. coli, and S. typhimurium), which is desirable for packaging of oil products [58]. Peptidopolysaccharide developed using 2,3-dialdehyde cellulose and antimicrobial nisin peptide showed improved mechanical properties, lower water-holding capacity, and excellent antimicrobial activity against S. aureus and E. coli. This active film also showed an extended shelf life of fresh pork meat stored at 4 °C for 6 days [59]. In another study, antimicrobial packaging film was prepared using cellulose acetate butyrate/organically modified montmorillonite (OMMT) incorporated with carvacrol and cinnamaldehyde [60].
4.5. Nanocellulose
The potential of cellulose nanoparticles or nanocellulose has been used to prepare nanomaterial with various functions. Cellulose NPs have a strong tendency for self-association due to the omnipresence of surface hydroxyl groups. These inter-particle interactions can cause aggregation during the preparation of the nanocomposite [61].
Because of the excellent dispersion level of cellulose NPs in water, cellulose NPs can be mixed in both water-soluble polymer and aqueous polymer dispersion (latex). Then, the solid nanocomposite film can be obtained by simple casting and water evaporation [61].
Nanocellulose is typically divided into groups based on their preparation techniques: cellulose nanocrystals (CNCs), cellulose nanofibrils (CNFs), and bacterial cellulose (BC) [62,63]. CNCs can be produced by acid hydrolysis, and hydrochloric and sulfuric acid are widely used. Other acids, including sulfuric, phosphoric, hydrobromic, and phosphotungstic acids, are also used for CNCs preparation [62,64,65,66]. Besides the chemical methods, enzymatic methods are also used to prepare CNCs [62]. CNFs are obtained by mechanical methods, including high-pressure homogenization, microfluidization, refining, or grinding [62]. However, the synthesis of CNFs often requires chemical pretreatment before mechanical disintegration processes.
The geometric dimensions and final properties of CNCs and CNFs directly depend on the cellulosic source, the preparation and processing conditions, and the possible post- or pretreatments. CNCs have a few nanometers in diameter and lengths ranging from 10 to 500 nm, while CNFs have diameters of 3–50 nm and lengths of a few micrometers, and BC are in the range of 20–100 nm in diameter and micrometers lengths [67,68].
Nanocellulose and its composites have been tested for packaging applications. WVP decreases when the cellulose fibers are disintegrated to the nanoscale level. The gas permeability of micro-fibrillated cellulose (MFC) is reduced in a dry atmosphere when decreasing the size of the cellulosic particles because of the dense structure with no porosity of the nanofilm. Improved gas barrier at high humidity levels can be achieved by chemical modification of NPs or hybridization with other materials [69]. Chemical modification of the NPs improves the gas barrier properties of nanocellulose films at high relative humidity levels [61]. Further, nanocomposite films can serve as carriers for active substances such as antioxidants and antimicrobials and can improve food quality and extend food shelf life [61,70].
Cellulose-based nanocomposites are widely studied for biodegradable and antimicrobial food packaging material [71,72,73]. Carboxymethyl cellulose (CMC)-based nanocomposite containing Ag, ZnO, and CuO NPs prepared using a solution casting method showed excellent mechanical, water vapor barrier, and antimicrobial properties [71]. Furthermore, guar gum/CMC-based film incorporated with halloysite-nanotubes (HNTs) and litchi shell extract (LSE) showed enhanced elongation at break, UV barrier properties, antioxidant activity, and improved oxidation stability in roasted peanuts for 8 days. Thus, this guar gum/CMC/HNT/LSE film can be used as a packaging material for low water activity and oxygen-sensitive food products [74].
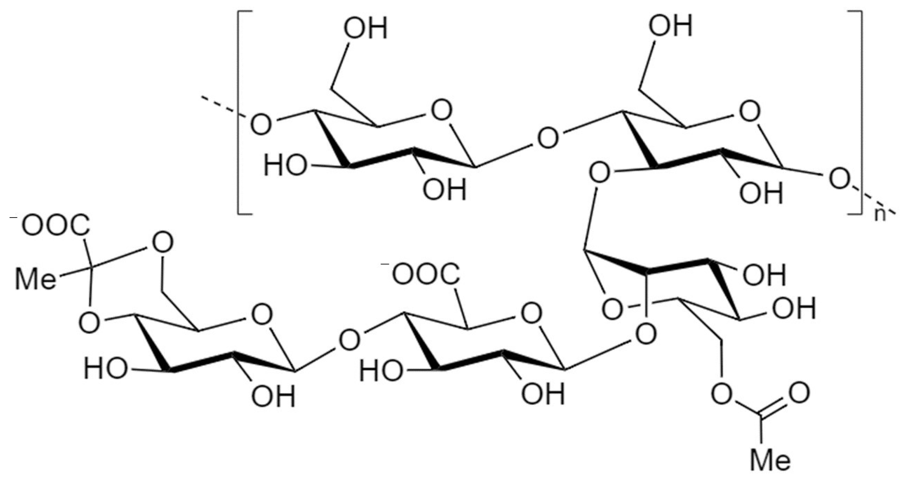
5. Algal Polysaccharides
5.1. Alginates
Alginates are naturally occurring water-soluble polysaccharides derived from brown seaweeds (Phaeophyceae) and bacterial sources. Even though there are many alginates sources, algae, including Laminaria hyperborea, Laminaria digitata, Laminaria japonica, Ascophyllum nodosum, Macrocystis pyrifera, and bacteria like Azotobacter vinelandii, and Pseudomonas aeruginosa are widely used species for industrial production [75].
Alginate is a linear biopolymer comprised of two distinct structural units linked by 1-4 glycosidic bonds, β-D-mannuronic acid (M), and α-L-guluronic acid (G) (Figure 4) [76]. The structural properties and composition of alginates may vary based on their source of origin, geography, and growth conditions [77] However, the M and G unit content and the length of each block vary with different sources [78]. Alginates can be organized into two different segments: (a) homopolymeric G blocks [poly (G)] or homopolymeric M blocks [poly (M)], and (b) heteropolymeric MG blocks randomly assigned into G and M sequences as alternating or short interchanging G and M units [76,79]. The composition and sequence of these M and G units in alginate chains govern the physicochemical properties and thermal processing [80].
Figure 4.
Structure of alginic acid.
The content or length of G and M blocks in alginates significantly affects their gelling properties. Alginates with less than 20–25% (molar fraction) of G blocks are unable to produce gels, whereas G block in higher content produces brittle and strong gels, and alginates with high M blocks form softer and more elastic gels [81].
The anionic nature of alginates (due to the presence of a carboxyl group) makes stable hydrogels/gels with the presence of cations, including Na+ and Ca2+ [80,82]. Alginates are extracted from their dried, grounded sources using alkaline treatments (e.g., sodium carbonate) followed by precipitation of sodium alginate salts using calcium chloride [80,83]. Alginates powders can be processed into alginate fiber through a wet spinning process [80].
Alginates can be molded into composites, hydrogels, and scaffolds, and are widely used in food, biomedical, cosmetics, textile, and other industrial applications due to their biocompatibility, low toxicity, low cost, high-stable gelling and thickening ability [80,84,85,86]. Alginates have been used in various applications, including enzyme immobilization or carriers [87], drug delivery, wound dressing, tissue engineering scaffold, and cell culture [80,88,89,90]. Alginate fiber with cotton fibers can be used to fabricate woven or knitted eco-friendly flame-retardant textile fabrics [90]. Furthermore, alginates have been widely used in edible film formation (using solvent casting and extrusion) and coating (using dipping, spraying, and vacuum impregnation) for food packaging applications [91].
The addition of fillers, reduced graphene oxide (rGO), and mixer of ZnO-rGO into the alginate matrix showed improved electrical conductivity and antimicrobial activity against E. coli e S. aureus, which makes the film suitable for extending the shelf life and food sterilization at low temperature (e.g., pulsed electric field and ohmic heating) [92]. The incorporation of sulfur NPs (S NPs) at 2% into calcium cross-linked alginate films improved the tensile, water vapor, and UV barrier properties, hydrophobicity, and bactericidal activity against Listeria monocytogenes [93]. Alginates/S NPs composite film can be used as packaging material for frozen foods with high moisture content, which are susceptible to contamination of Listeria monocytogenes (e.g., meat products) [93]. Various other active food packaging materials have been developed by incorporating metal and metal oxide (TiO2, ZnO) and essential oil or plant extract, such as cumin essential oil, Alvera, oregano essential oil, cottonseed protein hydrolysates, which have the proven potential application in packaging of fish, meat and fatty foods (Table 1) [94,95,96,97].
5.2. Carrageenan
Carrageenan (CG) is a hydrophilic linear polysaccharide extracted from red seaweeds (Rhodophyceae) [98]. CG is a sulfated polygalactan with 15–40% ester-sulfate content, forming α-1,3 and β-1,4-glycosidic linkages through alternate units of D-galactose and 3,6-anhydrous-galactose (3,6-AG) (Figure 5) [99,100]. CG solutions exhibit gel-forming and viscosifying characteristics. Based on the structural significance of and solubility in potassium chloride, CG can be classified into different forms, such as λ, κ, ι, ε, and μ. All these structural confirmations contain sulfate groups between 22 and 35%. The aforementioned structures are not definitive of chemical structures but signify compositional differences (3,6-AG content) and degree of sulfation at specific locations [99,101,102]. Higher levels of ester sulfate resulted in lower solubility temperature and lower gel strength [99,102]. As the free acid is unstable, commercial grades exist as stable sodium, potassium, and calcium salts or as a mixture. The physical and rheological properties of the CG are influenced by cations and conformation of the sugar units in CG polymer chain [99,103].
Figure 5.
Chemical structure of carrageenan: (a) κ, (b) iota, (c) lambda.
CG forms thermoreversible gel via ion-induced coil–helix conformational transition upon cooling, i.e., randomly arranged CG coils (at higher temperatures, i.e., >50 °C) undergo a conformational transition into ordered double-helical structures, which aggregate to form three-dimensional structure at low temperatures and/or in the presence of the cations [104,105,106]. Furthermore, the concentration and the nature of cations influence the gelling properties of CG, particularly on iota and kappa-CG. Kappa-CG in the presence of KCl forms stronger gels than those with NaCl, LiCl, MgCl2, CaCl2, and SrCl2 [102].
CG has been used for many pharmaceuticals and biomedical applications due to its antiviral, anti-tumor, immunomodulatory, anticoagulant, and antithrombotic activities. CG is frequently used in the food industry due to its gelling, thickening, and emulsifying properties [99,101]. CG blends, reinforcements, composites, and multilayering have been extensively researched to design complex and active packaging materials [100,107,108]. Nanocellulose-reinforced CG exhibited substantial enhancement of mechanical and water vapor barrier properties [109]. The plasticized semi-refined kappa-CG was reported as a potential edible food packaging material with improved barrier and mechanical properties [110].
CG has relatively reduced mechanical and water vapor barrier properties. To improve these properties, CG can be blended with natural polymers, like starch, cellulose, chitin, chitosan, and alginate [102]. The kappa-CG/alginate blend exhibited excellent film-forming ability due to the improved tensile and moisture barrier properties of kappa-CG and the improved elongation and transparency of alginate [111].
6. Polysaccharides of Animal Origin
6.1. Chitosan
Chitin (Poly [β-(1-4)-2-acetoamido-2-deoxy-D-glucopyranose]), a polymer of N-acetyl-D-glucosamine, is widely distributed in nature, especially in higher fungi, algae, protozoa, arthropods, nematodes, and mollusks. Its derivative, chitosan (poly[β-(1-4)-2-amino-2-deoxy-D-glucopyranose), a polymer of D-glucosamine, has reactive amino groups. Chitosan is a heteropolymer made of D-glucosamine and a small fraction of N-acetyl-D-glucosamine residues [112,113,114]. Chitosan adsorption ability is higher than chitin, which has relatively fewer amino groups [112]. Figure 6 shows the chemical structures of chitin and chitosan.
Figure 6.
Chemical structure of (a) chitin and (b) chitosan.
The advantages of chitosan in food packaging applications include biodegradability, biocompatibility, non-toxicity, bio-adhesive, edibility (coating for fruits and vegetables), and bacteria and fungi-static properties. Chitosan films have a selective permeability to gases, including O2 and CO2, and good mechanical properties [9,115,116]. Chitosan has a potential packaging polymer, particularly as an edible packaging or coating due to its antimicrobial activity against yeast, bacteria, and fungi and thus can be used to extend the shelf life of foodstuffs [116,117]. Moreover, chitosan has good mechanical properties in comparison to other natural polymers, such as starch and gluten [116]. However, high sensitivity to moisture conditions limits the application of chitosan in packaging.
It was also reported that the addition of curcumin (0.5%) increased the mechanical, hydrophobicity, and oxygen permeability of the chitosan/bacterial cellulose composite active film, as well as showing excellent antioxidant activity. Furthermore, this composite film is a promising food packaging material as it exhibited excellent preservation of strawberries compared with ordinary PE film and significantly delayed the oxidation of edible oils [118].
In a study, chitosan-coated cassava starch films were prepared with 1–4 wt% chitosan solutions and coated with free starch films containing 2–6 wt% glycerol [119]. The results showed that the mechanical properties with chitosan coating concentration significantly increased the tensile stress at maximum load and tensile modulus and decreased elongation at break. Furthermore, concerning physical properties, a remarkable decrease in water uptake was observed due to the contribution of hydrophobicity of the chitosan coating layer. Generally, reducing wettability and WVP is preferable for packaging film applications. Studies have also shown a decrease in water susceptibility for chitosan-based membranes with beeswax and a reduction in WVP with oleic acid, neem oil, and cinnamon essential oil, among others [120]. The incorporation of ZnO NPs and neem essential oil improved the tensile strength, water vapor barrier properties, and antibacterial activity against Escherichia coli [121]. CS film incorporated with magnetic–silica nanocomposite (MNP/Si) and turmeric essential oil (TEO) showed antimicrobial activity against Bacillus cereus over 14 days of storage in packaged Surimi [122]. Active packaging film fabricated using CS/halloysite nanotubes (HNT)/Citrus limetta pomace extract (LPE) showed improved antioxidant activity and can be used to improve the oxidative stability of lipids [123]. CS has fungistatic, bacteriostatic, antioxidant activity, and enzyme inhibition properties, which can be enhanced by incorporating NPs, essential oils, plant extracts, other biopolymers, and antimicrobial and anti-browning agents. Due to these properties, chitosan-based coatings can delay postharvest decay and extend the shelf life of harvested fruits and vegetables without changing their nutritive and sensorial properties [124]. Various studies showed the application of chitosan composites in food packaging applications (Table 1).
6.2. Hyaluronic Acid
Hyaluronic acid (HA) (Figure 7) is a linear non-sulfated glycosaminoglycan, composed of repeating units of D-glucuronic acid and N-acetyl-D-glucosamine [125,126,127], linked through alternating β-1,4 and β-1,3 glycosidic bonds [128].
Figure 7.
Chemical structures of hyaluronic acid.
HA is mainly found in the extracellular and pericellular matrix, but its occurrence in intracellular has also been reported [129]. HA can be separated from animal sources (such as rooster combs) and microbial sources, but in an industrial context, HA is widely produced by microbial fermentation methods in high purity and good yield. Streptococcus genera, including type C Streptococcus (Streptococcus equisimilis, Streptococcus zooepidemicus, Streptococcus uberis), type A Streptococcus (Streptococcus pyogenes, Pasteurella multocida), are widely used in HA production [130,131,132]. Type C Streptococcus is mainly used in HA production using microbial fermentation due to its less pathogenicity [132]. Residues of exotoxins and immunogens can be found in HA produced from type C Streptococcus, which may limit its wider applications. To overcome this safety issue and the low HA synthesis efficiency, many studies focused on the use of genetically engineered microorganisms, such as Escherichia coli, Bacillus spp., Lactococcos lactis, Corynebacterium glutamicum, Agrobacterium spp. [132,133,134].
HA has unique structural, rheological, physiological, and biological properties, such as higher water-binding capacity and viscoelasticity, as well as lack of immunogenicity and toxicity, and received higher interest in cosmetic, biomedical, and food industrial applications [133,134,135].
HA is an excellent lubricant and shock absorber due to its unique higher water-binding capacity and viscoelasticity [134]. HA is a highly hydrophilic polysaccharide and is used as a vital component in skincare products as a moisturizer [129]. In addition, biocompatibility, non-immunogenicity, and unique viscoelasticity make HA perfect for diverse biomedical applications, such as supplementation of joint fluid for arthritis, surgical aid in eye surgeries, facilitating wound healing, and drug delivery agent for various administration routes [135,136].
Surface modifications, cross-link formation, blends, and composites have been investigated to improve the mechanical and barrier functionalities of HA for advanced packaging applications [137,138,139,140]. For instance, recent research findings tested successful applications of HA films for diverse applications in edible films/primary packaging [141,142] and active packaging [143,144]. Furthermore, studies have highlighted the effectiveness of using blends [145,146], composites [147], and cross-link formation [137,140] to improve desired properties of HA-based packaging.
Coating of eggs with the composite of HA, 0.025% curcumin, and 0.025% cellulose nanofiber (CNF) extended the shelf life by 14 days, which has the potential application in egg preservation at 25 °C and 70% humidity [141]. The cross-linked HA/PVA bearing styryl pyridinium groups (PVA-SbQ) composites exhibited better thermal stability, mechanical, UV light barrier, and water vapor barrier properties and have the potential application as food packaging materials [130]. Antimicrobial edible food packaging was developed by encapsulating the angelica root (Angelica sylvestris) oil (ARO) into a Zein/HA/Gelatin-based biofiber through emulsion electrospinning [148].
7. Polysaccharides from Microbial Origin
7.1. Gellan Gum
Gellan gum (GG) (Figure 8) is a linear anionic extracellular natural polysaccharide produced by the aerobic fermentation of a Gram-negative nonpathogenic bacterium, Sphingomonas elodea (formerly known as Pseudomonas elodea) [149,150,151]. The GG is a heteropolysaccharide consisting of tetrasaccharide repeating units, 1,3-β-D-glucose, 1,4-β-D-glucuronic acid, 1,4-β-D-glucose, and 1,4-α-L-rhamnose, containing one carboxyl group. The 1,3-β-D-glucose unit contains two acyl substituents: L-glyceryl at C2 and acetyl at C6 position [151,152]. There can be non-polysaccharide constituents in GG composition, such as cell protein and ash; however, those can be removed by filtration or centrifugation [153].
Figure 8.
Chemical structures of gellan gum.
GG is a well-known food ingredient as a stabilizer, thickening agent, and gelling agent and has wide applications in food packaging [120]. Furthermore, GG has been researched as a multifunctional additive for various pharmaceutical and biomedical applications as a source of regenerative medicine, stomatology, or gene transfer technology [154].
Commercial-grade GG is a deacetylated form of native GG, which can be produced by alkaline treatment [150]. Commercially, GG can be produced via a controlled microbial fermentation process. The quality of commercial-grade GG may influence the process measures, as it is highly dependent on the metabolism and enzymic activity of the bacterium along with other vital parameters, such as process temperature, pH, stirring rate, oxygen transfer, and composition of the production medium [150].
Microbial exopolysaccharides, including GG, are water-soluble [153]. The type and the degree of acetylation or deacetylation presence in the polymeric backbone govern the mechanical and physicochemical properties and the functional differences of GG, such as hydration, gelation, stability, crystallinity, and textures [152,155]. Based on the degree of acetylation/deacetylation, GG exists in two forms: high and low acetylated GG. Gels from natural GG are soft and elastic, whereas deacetylated GG makes brittle, firm, and optically clear gel after following various alkaline treatments [155].
GG solutions are known for their thermoreversible gel characteristics [156]. This sol-gel transition in thermoreversible GG gels is driven by the structural transition from double-helical at high temperatures to extended helical at low temperatures through the formation of junction zones while cooling down [155]. The gelation and gelling characteristics of GG solutions are strongly governed by their chemical nature, molar mass, concentration of GG, the number of cations, and the valency of the cations present in solutions [155,157]. GG physicochemical structure favors the formation of gels at low concentrations. GG makes highly viscous solutions even at low concentrations, and deacetylated GG solutions show pseudoplastic rheology showing little thixotropy [158]. Hence, GG solutions provide processing convenience for many potential packaging applications using different water-based film-casting methods.
Successful attempts have been reported using GG in active and intelligent packaging to facilitate the controlled release of active compounds and monitor food spoilage [159,160,161]. Versatile materials are incorporated into the GG matrix to make blends and composites and initiate cross-linking to achieve enhanced physicomechanical and barrier characteristics of GG films and coatings [162,163,164].
Antimicrobial food packaging developed from Konjac glucomannan (KG)/GG/nisin, which was reported to have antimicrobial activity against Staphylococcus aureus with increasing GG content [163]. In another study, coffee parchment waste (CP) was incorporated with GG to synthesize antimicrobial packaging and showed antifungal activity: Fusarium verticillioides, Fusarium sp., and Colletotrichum gloeosporioides [159]. Packaging material developed from GG/2-hydroxyethyl cellulose (HEC)/lignin showed high ultraviolet (UV) protection: 100% protection against UVB (280–320 nm) and 90% against UVA (320–400 nm) [162].
Active and intelligent packaging film was developed using GG/heat-treated soy protein isolate (HSPI)/Clitoria ternatea (CT) extract for controlling anthocyanins’ release and monitoring freshness in seafood, which also exhibited antioxidant and antimicrobial activity against B. cereus [160]. In another study, GG/AgNP bionanocomposite was fabricated as a safe meat spoilage indicator, which changes its color from yellow to colorless when exposed to H2S, a volatile gas released from chicken breast and silver carp during storage [161].
7.2. Xanthan Gum
Xanthan gum (XG) (Figure 9) is an extracellular high-molecular-weight polysaccharide secreted by Xanthomonas campestris [165,166]. XG can be produced by aerobic fermentation process followed by heating to kill the bacteria and precipitation of polymer using isopropyl alcohol [165,167]. XG has a broad spectrum of applications due to its excellent rheological and structural properties in food, biomedical, cosmetics, pharmaceutical, and textiles [165,166]. XG has excellent pseudoplasticity compared to many other thickeners [166]. XG improves the thickening, stabilization, gelation, and emulsification process. Therefore, XG is used in food and non-food (cleaners, coatings, polishes, and agricultural flowable) applications to achieve desired product characteristics [165,168].
Figure 9.
Chemical structures of Xanthan gum.
The chemical structure of the XG is an acidic heteropolysaccharide, and the pentasaccharide repeating units of XG with two glucose units, two mannose units, and one glucuronic [169]. XG has a main chain consisting of 1,4-linked β-D-glucose units, which is identical to cellulose, and the side chains consisting of trisaccharide, β-D-mannose, 1,4-β-D-glucuronic acid, and 1,2-α-D-mannose, with internal mannose mostly O-acetylated, while the terminal mannose may be substituted by 4,6-linked pyruvic acid ketals [165,169]. The aforementioned structural uniqueness makes XG stable throughout a range of temperatures and pH [165].
XG is known for its good solubility in hot or cold water and makes highly viscous solutions even at low concentrations, exhibiting pseudoplastic rheological properties [170,171]. The unique chemical structure of XG has high surface activity, hence supporting different surface modifications that would enhance the chemistry of XG, such as compatibility, control release, water absorbency, and diffusivity for various applications [172,173,174,175].
Wide application of XG alone is somewhat limited, and XG is mostly blended with other polymers such as cellulose, gelatin, chitosan, agar, and clay [176,177,178,179,180]. Furthermore, high-performing composites of XG with organic and inorganic components have been successfully formulated for different packaging applications [172,180,181,182,183].
The properties, such as thickness, moisture content, and WVP, were reported to improve with the addition of XG (5%) in gelatin-CMC film [176]. Lemon peel powder (LPP) incorporated with XG and TiO2–Ag NPs (LPP/XG/TiO2–Ag) showed improved mechanical properties, antioxidant, and antimicrobial activity against E. coli and Staphylococcus aureus while decreasing the water solubility and WVP [184].
Raspberry pomace extracts (RPEs) were incorporated into pectin/sodium alginate/XG composite film (PAX), proving the formulation of a pH-sensitive colorimetric film used in monitoring the freshness of protein-rich food [185]. Fan et al. [186] also developed PAX edible composite film to preserve fresh-cut vegetables or fruits. The XG/hydroxypropyl methylcellulose (HPMC)/tea polyphenols (TP) composite film (XHT) was synthesized for preserving fresh-cut bell peppers, which showed enhanced antioxidant activity, antibacterial activity Staphylococcus aureus, and retention of Vitamin C after 8 days of storage [187]. The addition of XG into chitosan reduced the WVP (10.41–10.68 g−1 s−1 Pa−1) and exhibited antimicrobial activity against coagulase-positive Staphylococcus, Salmonella spp, and coliforms and has the potential of preserving of refrigerated fish fillets [188]. Spray coating of XG solution mixed with citric acid (anti-browning agent) and glycerol (plasticizer) in fresh-cut lotus root resulted in decreasing enzymatic browning, inhibition of growth of Bacillus subtilis, and improving the storage stability [189].
8. Packaging Applications of Polysaccharide-Based Bioplastics
Biopolymers are widely used in the development of biodegradable active, smart/intelligent food packaging materials which serve as indicators, monitoring the freshness of the food in real time by visual examination, maintaining the quality, reducing the loss [190,191,192]. Table 1 summarizes the recent developments of polysaccharide-based bioplastics in packaging applications. Table 1 also provides the packaging application and distinct properties of the bioplastics prepared from various polysaccharides.
Table 1.
Properties and applications of polysaccharide-based bioplastics.
9. Health and Environmental Effects of Using Biopolymers as Food Packaging
The petroleum-based materials pose serious health and environmental issues, such as greenhouse gas emissions, environmental pollution, and persistence in marine and terrestrial habitats. Though the biopolymers replace these petroleum-based materials, the true health and environmental impact of the biopolymers needs to be assessed [203,204,205].
To date, there are only a few studies conducted so far to assess the health effects and long-term safety of polysaccharide-based packaging upon ingestion, absorption, metabolism, and excretion, as well as the migration of additives/nano-fillers, cross-linking agents, stabilizers, etc., and the potential interaction between packaging material and food component [206,207].
Among primary, secondary, tertiary, or quaternary packaging, primary packaging is considered the most important concern for health aspects as it is in direct contact with the food. Interaction between packaging material and food can occur through migration, permeation, or sorption, which impacts the sensory attributes of the food product and the possibility of contamination with toxic materials that can affect consumers’ health [208]. The bioplastic materials used for direct contact with food material (e.g., primary packaging materials) should comply with EU Commission regulation No. 10/2011 [209], and the novel interventions’ engineered nanomaterials covered by the EU Regulation 2015/2283 [210]. The potential migration, allergenic, and toxicological study for novel bio-based materials should be considered, despite only limited studies focused on this regard [209].
The long-term intake of food-grade carrageenan as an additive may increase the incidence of intestinal inflammation or promote inflammatory recurrence in patients with colitis health issues [104].
Certain studies have reported that nanocellulose derived from bacteria and algae exerts physiological changes above non-toxic levels (0–50 μg/mL) in endothelial cells, and induces fibrous bronchiolitis, pulmonary granulomas, inflammation, and alveolitis [205].
In some instances, the interaction between packaging material and food products can be beneficial, such as packaging material containing antimicrobials and antioxidants. However, the toxicological effects of the eventual migration of active compounds/nano-fillers into food needs are needed to avoid health hazards and ensure food safety. Nanoparticles in active/intelligent and food contact material can only be used if explicitly authorized or named in Annex I of Regulation (EU) No. 10/2011 [203].
The effect of biopolymers mainly depends on the type of feedstock (first generation, second generation, third generation) used for biopolymer production, and their health and environmental effects are listed in Figure 10 [205]. The greatest part of bioplastics currently available on the market are obtained from biomasses of the first generation due to the high yield of production, but extensive use of these sources impacts the food chain and food insecurity. Thus, many studies focus on the development of biopolymers from second biopolymer materials, such as food waste [204,205].
Figure 10.
Sources and possible health risks of different raw materials used for biopolymer production.
Other than the toxicity, land use, greenhouse emissions, and societal impacts must be accessed to study the sustainability of bioplastics [206].
Biodegradable and compostable biopolymers are environmentally friendly alternative materials and help to reduce CO2 emissions and environmental impacts [206,211]. If a food packaging material is claimed to be biodegradable, the material should be tested for its extent of biodegradability or composability. The current standard methods for assessing the biodegradation of plastics in soil include ASTM D5988-18, which describes a test for aerobic biodegradation of plastic materials in soil [212], and ISO 17556:2019, which focuses on determining the ultimate aerobic biodegradability of plastics by monitoring either oxygen demand in a respirometer or carbon dioxide emissions [213]. ASTM D5988-18 evaluates the carbon dioxide produced by microorganisms over time to determine the biodegradability of a sample in comparison to a reference material. Similarly, ISO 17556:2019 assesses the biodegradation rate of plastic in soil by measuring either oxygen consumption or carbon dioxide production [214]. The biodegradability of polymer pellets, films, products, and composites in a controlled compost environment can be assessed using the MODA apparatus in accordance with ISO 14855-2 and ISO/DIS 10210. The ultimate biodegradation levels and corresponding biodegradation curves for samples made from biodegradable polymers of different shapes are determined through tests following ISO 14855-2 [212]
Polysaccharides are biodegradable and provide environmental benefits, as they decompose naturally and reduce plastic waste. However, their gas-barrier properties are typically less effective compared to synthetic polymers. Advances in material science, including blending, coating, and chemical modifications, are helping to improve the gas-barrier performance of polysaccharide-based materials, broadening their applications in packaging and other fields [215,216].
A range of chemical modifications, network structure designs, and processing and molding techniques have been utilized to convert polysaccharide materials from raw feedstocks into final products. By leveraging the inherent benefits of polysaccharide-based materials, many products have been developed, particularly for large-scale or high-value applications. Shifting from petroleum-based resources to renewable ones, particularly the plentiful bio-based polysaccharides, offers a chance to establish a sustainable circular economy [217].
10. Economic Viability of Producing Polysaccharide-Based Bioplastics
Polysaccharide-based bioplastics offer a promising alternative to conventional petroleum-based plastics due to their renewable nature and potential environmental benefits. The economic viability of producing these bioplastics involves assessing various factors, including raw material costs, production processes, market demand, and scalability [218].
Polysaccharide-based bioplastics are typically derived from natural sources such as starch, cellulose, and alginate. The cost of these raw materials can significantly influence the overall economic viability. Starch, being relatively inexpensive and widely available, allows for competitive pricing of starch-based bioplastics, especially when produced in large quantities. In contrast, cellulose is also abundant, but its processing can be more complex and costlier compared to starch [219].
The efficiency and cost-effectiveness of production processes are crucial in determining the economic feasibility of polysaccharide-based bioplastics. Advances in technology, such as innovations in fermentation and enzymatic processes, can help reduce production costs and improve economic viability. Growing demand for sustainable materials is a positive factor for the economic feasibility of bioplastics. Market trends and consumer preferences for environmentally friendly products can drive the adoption of bioplastics and influence their economic potential [220,221].
Scalability is another key factor; the ability to scale up production while maintaining cost efficiency is essential for the economic viability of polysaccharide-based bioplastics. Additionally, government policies and environmental regulations can impact the economic feasibility of bioplastics by influencing subsidies, taxes, and compliance costs. While polysaccharide-based bioplastics have potential advantages over traditional plastics, their economic feasibility is influenced by ongoing advancements in technology and changes in market dynamics and regulations [222,223].
Polysaccharide-based products are not categorically superior to their petrochemical counterparts from an environmental perspective, but they do offer significant advantages. Generally, from cradle to grave, polysaccharide-based products have lower non-renewable energy requirements and greenhouse gas emissions compared to conventional petrochemical-based materials. Overall, throughout their life cycle—spanning production, use, and waste management—polysaccharide-based products typically show better environmental profiles in terms of non-renewable energy use and greenhouse gas emissions compared to their conventional counterparts. Figure 11 shows the Bioplastic production in terms of life cycle assessment [224,225,226].
Figure 11.
Bioplastic production in terms of life cycle assessment.
11. Conclusions
Among numerous biopolymers, polysaccharides have been widely considered green, sustainable, nontoxic, renewable, and environmentally benign materials for a diverse range of applications. This review focused on the structure and properties of polysaccharide-based bioplastics and their packaging applications. Due to the overuse of petroleum-based synthetic packaging materials and their related environmental issues, there is a significant interest in producing biopolymer-based packaging materials. However, critical setbacks of polysaccharide-based materials include sensitivity to moisture and mechanical strength, requiring modification or the addition of one more component in the system, which could increase the cost of the final product.
Interestingly, polysaccharide-based materials exhibit excellent gas-barrier properties and biological activity, making them promising materials to expand the future of edible films and intelligent and active food packaging. Therefore, it is foreseen the future growth of the development and application of polysaccharide multifunctional materials in the food packaging sector. Although polysaccharide-based bioplastics offer potential benefits compared to traditional plastics, their economic viability is shaped by continual advancements in technology, as well as shifts in market dynamics and regulatory frameworks.
Author Contributions
Writing—original draft, A.G., P.T., A.L., M.L.D.W., A.M., R.S.D., O.M., Y.J., A.B., P.E. and T.M. Review and editing, A.G., P.T., M.L.D.W., R.S.D., O.M., Y.J., A.B., P.E. and T.M. All authors have read and agreed to the published version of the manuscript.
Funding
This research received no external funding.
Conflicts of Interest
The authors declare no conflicts of interest.
References
- Geyer, R.; Jambeck, J.R.; Law, K.L. Production, Use, and Fate of All Plastics Ever Made. Sci. Adv. 2017, 3, e1700782. [Google Scholar] [CrossRef] [PubMed]
- Garside, M. Plastics Industry—Statistics & Facts. Available online: https://www.statista.com/topics/5266/plastics-industry/ (accessed on 31 December 2022).
- Lebreton, L.; Andrady, A. Future Scenarios of Global Plastic Waste Generation and Disposal. Palgrave Commun. 2019, 5, 6. [Google Scholar] [CrossRef]
- Rahman, M.H.; Bhoi, P.R. An Overview of Non-Biodegradable Bioplastics. J. Clean. Prod. 2021, 294, 126–218. [Google Scholar] [CrossRef]
- Sid, S.; Mor, R.S.; Kishore, A.; Sharanagat, V.S. Bio-Sourced Polymers as Alternatives to Conventional Food Packaging Materials: A Review. Trends Food Sci. Technol. 2021, 115, 87–104. [Google Scholar] [CrossRef]
- Mohan, S.; Oluwafemi, O.S.; Kalarikkal, N.; Thomas, S.; Songca, S.P.; Mohan, S.; Oluwafemi, O.S.; Kalarikkal, N.; Thomas, S.; Songca, S.P. Biopolymers—Application in Nanoscience and Nanotechnology; IntechOpen: London, UK, 2016; ISBN 978-953-51-2255-5. [Google Scholar]
- Mahmud, J.; Sarmast, E.; Shankar, S.; Lacroix, M. Advantages of Nanotechnology Developments in Active Food Packaging. Food Res. Int. 2022, 154, 111023. [Google Scholar] [CrossRef]
- Johansson, C.; Bras, J.; Mondragon, I.; Nechita, P.; Plackett, D.; Šimon, P.; Svetec, D.G.; Virtanen, S.; Baschetti, M.G.; Breen, C.; et al. Renewable Fibers and Bio-Based Materials for Packaging Applications—A Review of Recent Developments. BioResources 2012, 7, 2506–2552. [Google Scholar] [CrossRef]
- Nešić, A.; Cabrera-Barjas, G.; Dimitrijević-Branković, S.; Davidović, S.; Radovanović, N.; Delattre, C. Prospect of Polysaccharide-Based Materials as Advanced Food Packaging. Molecules 2020, 25, 135. [Google Scholar] [CrossRef] [PubMed]
- Cazón, P.; Velazquez, G.; Ramírez, J.A.; Vázquez, M. Polysaccharide-Based Films and Coatings for Food Packaging: A Review. Food Hydrocoll. 2017, 68, 136–148. [Google Scholar] [CrossRef]
- Kabir, E.; Kaur, R.; Lee, J.; Kim, K.-H.; Kwon, E.E. Prospects of Biopolymer Technology as an Alternative Option for Non-Degradable Plastics and Sustainable Management of Plastic Wastes. J. Clean. Prod. 2020, 258, 120536. [Google Scholar] [CrossRef]
- Mohammed, A.S.A.; Naveed, M.; Jost, N. Polysaccharides; Classification, Chemical Properties, and Future Perspective Applications in Fields of Pharmacology and Biological Medicine (A Review of Current Applications and Upcoming Potentialities). J. Polym. Environ. 2021, 29, 2359–2371. [Google Scholar] [CrossRef]
- Ramesh, H.P.; Tharanathan, R.N. Carbohydrates—The Renewable Raw Materials of High Biotechnological Value. Crit. Rev. Biotechnol. 2003, 23, 149–173. [Google Scholar] [CrossRef] [PubMed]
- Thakur, V.K.; Thakur, M.K. (Eds.) Handbook of Sustainable Polymers: Processing and Applications; Jenny Stanford Publishing: New York, NY, USA, 2015; ISBN 978-0-429-08248-1. [Google Scholar]
- Thakur, V.K.; Thakur, M.K. Handbook of Sustainable Polymers: Processing and Applications; Pan Stanford Publishing: Singapore, 2016. [Google Scholar]
- Vroman, I.; Tighzert, L. Review Biodegradable Polymers Materials. Materials 2009, 2, 307–344. [Google Scholar] [CrossRef]
- Appendini, P.; Hotchkiss, J.H. Review of Antimicrobial Food Packaging. Innov. Food Sci. Emerg. Technol. 2002, 3, 113–126. [Google Scholar] [CrossRef]
- Falguera, V.; Quintero, J.P.; Jiménez, A.; Muñoz, J.A.; Ibarz, A. Edible Films and Coatings: Structures, Active Functions and Trends in Their Use. Trends Food Sci. Technol. 2011, 22, 292–303. [Google Scholar] [CrossRef]
- Sivakanthan, S.; Rajendran, S.; Gamage, A.; Madhujith, T.; Mani, S. Antioxidant and Antimicrobial Applications of Biopolymers: A Review. Food Res. Int. 2020, 36, 109327. [Google Scholar] [CrossRef] [PubMed]
- Sriroth, K.; Chollakup, R.; Piyachomkwan, K.; Oates, C.G. Biodegradable Plastics from Cassava Starch in Thailand; International Center for Tropical Agriculture: Palmira, Colombia, 2001. [Google Scholar]
- Alcázar-Alay, S.C.; Meireles, M.A.A. Physicochemical Properties, Modifications and Applications of Starches from Different Botanical Sources. Food Sci. Technol. 2015, 35, 215–236. [Google Scholar] [CrossRef]
- Tikapunya, T.; Zou, W.; Yu, W.; Powell, P.O.; Fox, G.P.; Furtado, A.; Henry, R.J.; Gilbert, R.G. Molecular Structures and Properties of Starches of Australian Wild Rice. Carbohydr. Polym. 2017, 172, 213–222. [Google Scholar] [CrossRef]
- Janssen, L.; Moscicki, L. Thermoplastic Starch: A Green Material for Various Industries; John Wiley & Sons: Hoboken, NJ, USA, 2009; ISBN 978-3-527-62822-3. [Google Scholar]
- Alves, V.D.; Mali, S.; Beléia, A.; Grossmann, M.V.E. Effect of Glycerol and Amylose Enrichment on Cassava Starch Film Properties. J. Food Eng. 2007, 78, 941–946. [Google Scholar] [CrossRef]
- Mali, S.; Grossmann, M.V.E.; Garcia, M.A.; Martino, M.N.; Zaritzky, N.E. Microstructural Characterization of Yam Starch Films. Carbohydr. Polym. 2002, 50, 379–386. [Google Scholar] [CrossRef]
- Tapia-Blácido, D.R.; Sobral, P.J.d.A.; Menegalli, F.C. Effect of Drying Conditions and Plasticizer Type on Some Physical and Mechanical Properties of Amaranth Flour Films. LWT Food Sci. Technol. 2013, 50, 392–400. [Google Scholar] [CrossRef]
- Thuwall, M.; Boldizar, A.; Rigdahl, M. Extrusion Processing of High Amylose Potato Starch Materials. Carbohydr. Polym. 2006, 65, 441–446. [Google Scholar] [CrossRef]
- Huneault, M.A.; Li, H. Morphology and Properties of Compatibilized Polylactide/Thermoplastic Starch Blends. Polymer 2007, 48, 270–280. [Google Scholar] [CrossRef]
- Ali Akbari Ghavimi, S.; Ebrahimzadeh, M.H.; Solati-Hashjin, M.; Abu Osman, N.A. Polycaprolactone/Starch Composite: Fabrication, Structure, Properties, and Applications. J. Biomed. Mater. Res. A 2015, 103, 2482–2498. [Google Scholar] [CrossRef]
- Koh, J.J.; Zhang, X.; He, C. Fully Biodegradable Poly(Lactic Acid)/Starch Blends: A Review of Toughening Strategies. Int. J. Biol. Macromol. 2018, 109, 99–113. [Google Scholar] [CrossRef]
- El-Sonbati, A.Z. Thermoplastic Elastomers; IntechOpen: London, UK, 2012; ISBN 978-953-51-0346-2. [Google Scholar]
- Verbeek, C.J.R.; van den Berg, L.E. Extrusion Processing and Properties of Protein-Based Thermoplastics. Macromol. Mater. Eng. 2010, 295, 10–21. [Google Scholar] [CrossRef]
- Ke, T.; Sun, S.X.; Seib, P. Blending of Poly(Lactic Acid) and Starches Containing Varying Amylose Content. J. Appl. Polym. Sci. 2003, 89, 3639–3646. [Google Scholar] [CrossRef]
- Wang, N.; Yu, J.; Chang, P.R.; Ma, X. Influence of Formamide and Water on the Properties of Thermoplastic Starch/Poly(Lactic Acid) Blends. Carbohydr. Polym. 2008, 71, 109–118. [Google Scholar] [CrossRef]
- Mihai, M.; Huneault, M.A.; Favis, B.D. Foaming of Polystyrene/Thermoplastic Starch Blends. J. Cell. Plast. 2007, 43, 215–236. [Google Scholar] [CrossRef]
- St-Pierre, N.; Favis, B.D.; Ramsay, B.A.; Ramsay, J.A.; Verhoogt, H. Processing and Characterization of Thermoplastic Starch/Polyethylene Blends. Polymer 1997, 38, 647–655. [Google Scholar] [CrossRef]
- Sabetzadeh, M.; Bagheri, R.; Masoomi, M. Study on Ternary Low Density Polyethylene/Linear Low Density Polyethylene/Thermoplastic Starch Blend Films. Carbohydr. Polym. 2015, 119, 126–133. [Google Scholar] [CrossRef]
- Rosa, D.S.; Guedes, C.G.F.; Carvalho, C.L. Processing and Thermal, Mechanical and Morphological Characterization of Post-Consumer Polyolefins/Thermoplastic Starch Blends. J. Mater. Sci. 2007, 42, 551–557. [Google Scholar] [CrossRef]
- Kaseem, M.; Hamad, K.; Deri, F. Rheological and Mechanical Properties of Polypropylene/Thermoplastic Starch Blend. Polym. Bull. 2012, 68, 1079–1091. [Google Scholar] [CrossRef]
- Schlemmer, D.; Sales, M.J.A.; Resck, I.S. Degradation of Different Polystyrene/Thermoplastic Starch Blends Buried in Soil. Carbohydr. Polym. 2009, 75, 58–62. [Google Scholar] [CrossRef]
- Yoon, S.-D.; Chough, S.-H.; Park, H.-R. Effects of Additives with Different Functional Groups on the Physical Properties of Starch/PVA Blend Film. J. Appl. Polym. Sci. 2006, 100, 3733–3740. [Google Scholar] [CrossRef]
- Zhou, X.Y.; Cui, Y.F.; Jia, D.M.; Xie, D. Effect of a Complex Plasticizer on the Structure and Properties of the Thermoplastic PVA/Starch Blends. Polym.-Plast. Technol. Eng. 2009, 48, 489–495. [Google Scholar] [CrossRef]
- Rodriguez-Gonzalez, F.J.; Virgilio, N.; Ramsay, B.A.; Favis, B.D. Influence of Melt Drawing on the Morphology of One- and Two-Step Processed LDPE/Thermoplastic Starch Blends. Adv. Polym. Technol. 2003, 22, 297–305. [Google Scholar] [CrossRef]
- Fan, Y.; Picchioni, F. Modification of Starch: A Review on the Application of “Green” Solvents and Controlled Functionalization. Carbohydr. Polym. 2020, 241, 116350. [Google Scholar] [CrossRef]
- Le Thanh-Blicharz, J.; Lewandowicz, J.; Małyszek, Z.; Baranowska, H.M.; Kowalczewski, P.Ł. Chemical Modifications of Normal and Waxy Potato Starches Affect Functional Properties of Aerogels. Gels 2022, 8, 720. [Google Scholar] [CrossRef]
- Ayu, R.S.; Khalina, A.; Harmaen, A.S.; Zaman, K.; Jawaid, M.; Lee, C.H. Effect of Modified Tapioca Starch on Mechanical, Thermal, and Morphological Properties of PBS Blends for Food Packaging. Polymers 2018, 10, 1187. [Google Scholar] [CrossRef]
- Gamage, A.; Liyanapathiranage, A.; Manamperi, A.; Gunathilake, C.; Mani, S.; Merah, O.; Madhujith, T. Applications of Starch Biopolymers for a Sustainable Modern Agriculture. Sustainability 2022, 14, 6085. [Google Scholar] [CrossRef]
- Che, L.-M.; Li, D.; Wang, L.-J.; Dong Chen, X.; Mao, Z.-H. Micronization and Hydrophobic Modification of Cassava Starch. Int. J. Food Prop. 2007, 10, 527–536. [Google Scholar] [CrossRef]
- Chia, L.; Blazanin, G.; Huang, Y.; Rashid, U.S.; Lu, P.; Simsek, S.; Bezbaruah, A.N. Surface Treatment of Carbon Nanotubes Using Modified Tapioca Starch for Improved Force Detection Consistency in Smart Cementitious Materials. Sensors 2020, 20, 3985. [Google Scholar] [CrossRef]
- Kuang, T.; Zhang, J.; Huang, G.-M.; Liu, T.; Huang, Z.-X. Multifunctional biopolymer poly (lactic acid)-based triboelectric nanogenerator via controlled construction of secondary electron path. Nano Energy 2024, 128 Pt A, 109877. [Google Scholar] [CrossRef]
- Heinze, T. Cellulose: Structure and Properties. In Cellulose Chemistry and Properties: Fibers, Nanocelluloses and Advanced Materials; Rojas, O.J., Ed.; Advances in Polymer Science; Springer International Publishing: Cham, Switzerland, 2016; pp. 1–52. ISBN 978-3-319-26015-0. [Google Scholar]
- Li, F.; Mascheroni, E.; Piergiovanni, L. The Potential of NanoCellulose in the Packaging Field: A Review. Packag. Technol. Sci. 2015, 28, 475–508. [Google Scholar] [CrossRef]
- Chen, H. (Ed.) Chemical Composition and Structure of Natural Lignocellulose. In Biotechnology of Lignocellulose: Theory and Practice; Springer: Dordrecht, The Netherlands, 2014; pp. 25–71. ISBN 978-94-007-6898-7. [Google Scholar]
- Lee, H.; Sundaram, J.; Mani, S. Production of Cellulose Nanofibrils and Their Application to Food: A Review. In Nanotechnology: Food and Environmental Paradigm; Prasad, R., Kumar, V., Kumar, M., Eds.; Springer: Singapore, 2017; pp. 1–33. ISBN 978-981-10-4678-0. [Google Scholar]
- Shaghaleh, H.; Xu, X.; Wang, S. Current Progress in Production of Biopolymeric Materials Based on Cellulose, Cellulose Nanofibers, and Cellulose Derivatives. RSC Adv. 2018, 8, 825–842. [Google Scholar] [CrossRef] [PubMed]
- Yaradoddi, J.S.; Banapurmath, N.R.; Ganachari, S.V.; Soudagar, M.E.M.; Mubarak, N.M.; Hallad, S.; Hugar, S.; Fayaz, H. Biodegradable Carboxymethyl Cellulose Based Material for Sustainable Packaging Application. Sci. Rep. 2020, 10, 21960. [Google Scholar] [CrossRef] [PubMed]
- Carrillo, F.; Martín, G.; López-Mesas, M.; Colom, X.; Cañavate, J. High Modulus Regenerated Cellulose Fiber-Reinforced Cellulose Acetate Butyrate Biocomposites. J. Compos. Mater. 2011, 45, 1733–1740. [Google Scholar] [CrossRef]
- Riaz, A.; Lagnika, C.; Luo, H.; Nie, M.; Dai, Z.; Liu, C.; Abdin, M.; Hashim, M.M.; Li, D.; Song, J. Effect of Chinese Chives (Allium tuberosum) Addition to Carboxymethyl Cellulose Based Food Packaging Films. Carbohydr. Polym. 2020, 235, 115944. [Google Scholar] [CrossRef]
- Wu, Y.; Li, Q.; Zhang, X.; Li, Y.; Li, B.; Liu, S. Cellulose-Based Peptidopolysaccharides as Cationic Antimicrobial Package Films. Int. J. Biol. Macromol. 2019, 128, 673–680. [Google Scholar] [CrossRef]
- Quintero, R.I.; Rodriguez, F.; Bruna, J.; Guarda, A.; Galotto, M.J. Cellulose Acetate Butyrate Nanocomposites with Antimicrobial Properties for Food Packaging. Packag. Technol. Sci. 2013, 26, 249–265. [Google Scholar] [CrossRef]
- Dufresne, A. Nanocellulose: A New Ageless Bionanomaterial. Mater. Today 2013, 16, 220–227. [Google Scholar] [CrossRef]
- Blanco, A.; Monte, M.C.; Campano, C.; Balea, A.; Merayo, N.; Negro, C. Chapter 5—Nanocellulose for Industrial Use: Cellulose Nanofibers (CNF), Cellulose Nanocrystals (CNC), and Bacterial Cellulose (BC). In Handbook of Nanomaterials for Industrial Applications; Mustansar Hussain, C., Ed.; Micro and Nano Technologies; Elsevier: Amsterdam, The Netherlands, 2018; pp. 74–126. ISBN 978-0-12-813351-4. [Google Scholar]
- Lavoine, N.; Desloges, I.; Dufresne, A.; Bras, J. Microfibrillated Cellulose—Its Barrier Properties and Applications in Cellulosic Materials: A Review. Carbohydr. Polym. 2012, 90, 735–764. [Google Scholar] [CrossRef] [PubMed]
- Kargarzadeh, H.; Ahmad, I.; Abdullah, I.; Dufresne, A.; Zainudin, S.Y.; Sheltami, R.M. Effects of Hydrolysis Conditions on the Morphology, Crystallinity, and Thermal Stability of Cellulose Nanocrystals Extracted from Kenaf Bast Fibers. Cellulose 2012, 19, 855–866. [Google Scholar] [CrossRef]
- Kontturi, E.; Meriluoto, A.; Penttilä, P.A.; Baccile, N.; Malho, J.-M.; Potthast, A.; Rosenau, T.; Ruokolainen, J.; Serimaa, R.; Laine, J.; et al. Degradation and Crystallization of Cellulose in Hydrogen Chloride Vapor for High-Yield Isolation of Cellulose Nanocrystals. Angew. Chem. Int. Ed Engl. 2016, 55, 14455–14458. [Google Scholar] [CrossRef]
- Liu, Y.; Wang, H.; Yu, G.; Yu, Q.; Li, B.; Mu, X. A Novel Approach for the Preparation of Nanocrystalline Cellulose by Using Phosphotungstic Acid. Carbohydr. Polym. 2014, 110, 415–422. [Google Scholar] [CrossRef]
- Kargarzadeh, H.; Huang, J.; Lin, N.; Ahmad, I.; Mariano, M.; Dufresne, A.; Thomas, S.; Gałęski, A. Recent Developments in Nanocellulose-Based Biodegradable Polymers, Thermoplastic Polymers, and Porous Nanocomposites. Prog. Polym. Sci. 2018, 87, 197–227. [Google Scholar] [CrossRef]
- Trache, D.; Tarchoun, A.F.; Derradji, M.; Hamidon, T.S.; Masruchin, N.; Brosse, N.; Hussin, M.H. Nanocellulose: From Fundamentals to Advanced Applications. Front. Chem. 2020, 8, 392. [Google Scholar] [CrossRef]
- Minelli, M.; Baschetti, M.G.; Doghieri, F.; Ankerfors, M.; Lindström, T.; Siró, I.; Plackett, D. Investigation of Mass Transport Properties of Microfibrillated Cellulose (MFC) Films. J. Membr. Sci. 2010, 358, 67–75. [Google Scholar] [CrossRef]
- Andresen, M.; Stenstad, P.; Møretrø, T.; Langsrud, S.; Syverud, K.; Johansson, L.-S.; Stenius, P. Nonleaching Antimicrobial Films Prepared from Surface-Modified Microfibrillated Cellulose. Biomacromolecules 2007, 8, 2149–2155. [Google Scholar] [CrossRef] [PubMed]
- Ebrahimi, Y.; Peighambardoust, S.J.; Peighambardoust, S.H.; Karkaj, S.Z. Development of Antibacterial Carboxymethyl Cellulose-Based Nanobiocomposite Films Containing Various Metallic Nanoparticles for Food Packaging Applications. J. Food Sci. 2019, 84, 2537–2548. [Google Scholar] [CrossRef]
- Roy, S.; Rhim, J.-W. Carboxymethyl Cellulose-Based Antioxidant and Antimicrobial Active Packaging Film Incorporated with Curcumin and Zinc Oxide. Int. J. Biol. Macromol. 2020, 148, 666–676. [Google Scholar] [CrossRef] [PubMed]
- Xie, Y.; Pan, Y.; Cai, P. Cellulose-Based Antimicrobial Films Incroporated with ZnO Nanopillars on Surface as Biodegradable and Antimicrobial Packaging. Food Chem. 2022, 368, 130784. [Google Scholar] [CrossRef] [PubMed]
- Deshmukh, R.K.; Akhila, K.; Ramakanth, D.; Gaikwad, K.K. Guar Gum/Carboxymethyl Cellulose Based Antioxidant Film Incorporated with Halloysite Nanotubes and Litchi Shell Waste Extract for Active Packaging. Int. J. Biol. Macromol. 2022, 201, 1–13. [Google Scholar] [CrossRef]
- Draget, K.I. 29—Alginates. In Handbook of Hydrocolloids, 2nd ed.; Phillips, G.O., Williams, P.A., Eds.; Woodhead Publishing Series in Food Science, Technology and Nutrition; Woodhead Publishing: Cambridge, UK, 2009; pp. 807–828. ISBN 978-1-84569-414-2. [Google Scholar]
- Fu, S.; Thacker, A.; Sperger, D.M.; Boni, R.L.; Buckner, I.S.; Velankar, S.; Munson, E.J.; Block, L.H. Relevance of Rheological Properties of Sodium Alginate in Solution to Calcium Alginate Gel Properties. AAPS PharmSciTech 2011, 12, 453–460. [Google Scholar] [CrossRef]
- Haug, A.; Larsen, B.; Smidsrød, O. Uronic Acid Sequence in Alginate from Different Sources. Carbohydr. Res. 1974, 32, 217–225. [Google Scholar] [CrossRef]
- Lee, K.Y.; Mooney, D.J. Alginate: Properties and Biomedical Applications. Prog. Polym. Sci. 2012, 37, 106–126. [Google Scholar] [CrossRef]
- Wang, Y.; Chen, X.; Bi, X.; Ren, Y.; Han, Q.; Zhou, Y.; Han, Y.; Yao, R.; Li, S. Characterization of an Alkaline Alginate Lyase with pH-Stable and Thermo-Tolerance Property. Mar. Drugs 2019, 17, 308. [Google Scholar] [CrossRef] [PubMed]
- Jahandideh, A.; Ashkani, M.; Moini, N. Chapter 8—Biopolymers in Textile Industries. In Biopolymers and Their Industrial Applications; Thomas, S., Gopi, S., Amalraj, A., Eds.; Elsevier: Amsterdam, The Netherlands, 2021; pp. 193–218. ISBN 978-0-12-819240-5. [Google Scholar]
- Hu, C.; Lu, W.; Mata, A.; Nishinari, K.; Fang, Y. Ions-Induced Gelation of Alginate: Mechanisms and Applications. Int. J. Biol. Macromol. 2021, 177, 578–588. [Google Scholar] [CrossRef]
- Tariverdian, T.; Navaei, T.; Milan, P.B.; Samadikuchaksaraei, A.; Mozafari, M. Chapter 16—Functionalized Polymers for Tissue Engineering and Regenerative Medicines. In Advanced Functional Polymers for Biomedical Applications; Mozafari, M., Singh Chauhan, N.P., Eds.; Elsevier: Amsterdam, The Netherlands, 2019; pp. 323–357. ISBN 978-0-12-816349-8. [Google Scholar]
- Saji, S.; Hebden, A.; Goswami, P.; Du, C. A Brief Review on the Development of Alginate Extraction Process and Its Sustainability. Sustainability 2022, 14, 5181. [Google Scholar] [CrossRef]
- Oliveira, C.; Carvalho, A.C.; Reis, R.L.; Neves, N.N.; Martins, A.; Silva, T.H. Chapter 23—Marine-Derived Biomaterials for Cancer Treatment. In Biomaterials for 3D Tumor Modeling; Kundu, S.C., Reis, R.L., Eds.; Materials Today; Elsevier: Amsterdam, The Netherlands, 2020; pp. 551–576. ISBN 978-0-12-818128-7. [Google Scholar]
- Silva, M.P.; Badruddin, I.J.; Tonon, T.; Rahatekar, S.; Gomez, L.D. Environmentally Benign Alginate Extraction and Fibres Spinning from Different European Brown Algae Species. Int. J. Biol. Macromol. 2023, 226, 434–442. [Google Scholar] [CrossRef]
- Stobel Christy, E.J.; Rajeswari, A.; Pius, A. Chapter 9—Biopolymer Applications in Cosmeceutical Industries. In Biopolymers and Their Industrial Applications; Thomas, S., Gopi, S., Amalraj, A., Eds.; Elsevier: Amsterdam, The Netherlands, 2021; pp. 219–243. ISBN 978-0-12-819240-5. [Google Scholar]
- Sharmeen, S.; Rahman, M.S.; Islam, M.M.; Islam, M.S.; Shahruzzaman, M.; Mallik, A.K.; Haque, P.; Rahman, M.M. 11—Application of Polysaccharides in Enzyme Immobilization. In Functional Polysaccharides for Biomedical Applications; Maiti, S., Jana, S., Eds.; Woodhead Publishing: Cambridge, UK, 2019; pp. 357–395. ISBN 978-0-08-102555-0. [Google Scholar]
- Chen, Z.; Song, J.; Xia, Y.; Jiang, Y.; Murillo, L.L.; Tsigkou, O.; Wang, T.; Li, Y. High Strength and Strain Alginate Fibers by a Novel Wheel Spinning Technique for Knitting Stretchable and Biocompatible Wound-Care Materials. Mater. Sci. Eng. C 2021, 127, 112204. [Google Scholar] [CrossRef] [PubMed]
- Varma, K.; Gopi, S. Chapter 7—Biopolymers and Their Role in Medicinal and Pharmaceutical Applications. In Biopolymers and Their Industrial Applications; Thomas, S., Gopi, S., Amalraj, A., Eds.; Elsevier: Amsterdam, The Netherlands, 2021; pp. 175–191. ISBN 978-0-12-819240-5. [Google Scholar]
- Zhang, X.; Wang, X.; Fan, W.; Liu, Y.; Wang, Q.; Weng, L. Fabrication, Property and Application of Calcium Alginate Fiber: A Review. Polymers 2022, 14, 3227. [Google Scholar] [CrossRef] [PubMed]
- Senturk Parreidt, T.; Müller, K.; Schmid, M. Alginate-Based Edible Films and Coatings for Food Packaging Applications. Foods 2018, 7, 170. [Google Scholar] [CrossRef] [PubMed]
- Alves, Z.; Ferreira, N.M.; Mendo, S.; Ferreira, P.; Nunes, C. Design of Alginate-Based Bionanocomposites with Electrical Conductivity for Active Food Packaging. Int. J. Mol. Sci. 2021, 22, 9943. [Google Scholar] [CrossRef]
- Priyadarshi, R.; Kim, H.-J.; Rhim, J.-W. Effect of Sulfur Nanoparticles on Properties of Alginate-Based Films for Active Food Packaging Applications. Food Hydrocoll. 2021, 110, 106155. [Google Scholar] [CrossRef]
- Abdel Aziz, M.S.; Salama, H.E. Development of Alginate-Based Edible Coatings of Optimized UV-Barrier Properties by Response Surface Methodology for Food Packaging Applications. Int. J. Biol. Macromol. 2022, 212, 294–302. [Google Scholar] [CrossRef] [PubMed]
- Kazemi, S.M.; Rezaei, M. Antimicrobial Effectiveness of Gelatin–Alginate Film Containing Oregano Essential Oil for Fish Preservation. J. Food Saf. 2015, 35, 482–490. [Google Scholar] [CrossRef]
- de Oliveira Filho, J.G.; Rodrigues, J.M.; Valadares, A.C.F.; de Almeida, A.B.; de Lima, T.M.; Takeuchi, K.P.; Alves, C.C.F.; de Figueiredo Sousa, H.A.; da Silva, E.R.; Dyszy, F.H.; et al. Active Food Packaging: Alginate Films with Cottonseed Protein Hydrolysates. Food Hydrocoll. 2019, 92, 267–275. [Google Scholar] [CrossRef]
- Sayadi, M.; Mojaddar Langroodi, A.; Amiri, S.; Radi, M. Effect of Nanocomposite Alginate-Based Film Incorporated with Cumin Essential Oil and TiO2 Nanoparticles on Chemical, Microbial, and Sensory Properties of Fresh Meat/Beef. Food Sci. Nutr. 2022, 10, 1401–1413. [Google Scholar] [CrossRef]
- Nanaki, S.; Karavas, E.; Kalantzi, L.; Bikiaris, D. Miscibility Study of Carrageenan Blends and Evaluation of Their Effectiveness as Sustained Release Carriers. Carbohydr. Polym. 2010, 79, 1157–1167. [Google Scholar] [CrossRef]
- Necas, J.; Bartosikova, L. Carrageenan: A Review. Vet. Med. 2013, 58, 187–205. [Google Scholar] [CrossRef]
- Sedayu, B.B.; Cran, M.J.; Bigger, S.W. A Review of Property Enhancement Techniques for Carrageenan-Based Films and Coatings. Carbohydr. Polym. 2019, 216, 287–302. [Google Scholar] [CrossRef] [PubMed]
- Therkelsen, G.H. Chapter 7—Carrageenan. In Industrial Gums, 3rd ed.; Whistler, R.L., Bemiller, J.N., Eds.; Academic Press: London, UK, 1993; pp. 145–180. ISBN 978-0-08-092654-4. [Google Scholar]
- Zia, K.M.; Tabasum, S.; Nasif, M.; Sultan, N.; Aslam, N.; Noreen, A.; Zuber, M. A Review on Synthesis, Properties and Applications of Natural Polymer Based Carrageenan Blends and Composites. Int. J. Biol. Macromol. 2017, 96, 282–301. [Google Scholar] [CrossRef] [PubMed]
- Michel, A.-S.; Mestdagh, M.M.; Axelos, M.A.V. Physico-Chemical Properties of Carrageenan Gels in Presence of Various Cations. Int. J. Biol. Macromol. 1997, 21, 195–200. [Google Scholar] [CrossRef]
- Liu, F.; Hou, P.; Zhang, H.; Tang, Q.; Xue, C.; Li, R.W. Food-Grade Carrageenans and Their Implications in Health and Disease. Compr. Rev. Food Sci. Food Saf. 2021, 20, 3918–3936. [Google Scholar] [CrossRef]
- Núñez-Santiago, M.d.C.; Pérez-López, A.; Espinosa-Solares, T.; Nicolás-Vázquez, M.I.; Laureano-López, B. Sol-Gel Transition Diagram and Theoretical Study of κ-Carrageenan in the Presence of Calcium Ions. LWT 2023, 182, 114867. [Google Scholar] [CrossRef]
- Hu, B.; Hu, J.; Han, L.; Cao, J.; Nishinari, K.; Yang, J.; Fang, Y.; Li, D. Conformational Transition and Gelation of κ-Carrageenan in Electrostatic Complexation with β-Lactoglobulin Aggregates. Food Hydrocoll. 2021, 118, 106764. [Google Scholar] [CrossRef]
- Kanmani, P.; Rhim, J.-W. Development and Characterization of Carrageenan/Grapefruit Seed Extract Composite Films for Active Packaging. Int. J. Biol. Macromol. 2014, 68, 258–266. [Google Scholar] [CrossRef]
- Sanchez-Garcia, M.D.; Hilliou, L.; Lagaron, J.M. Nanobiocomposites of Carrageenan, Zein, and Mica of Interest in Food Packaging and Coating Applications. J. Agric. Food Chem. 2010, 58, 6884–6894. [Google Scholar] [CrossRef]
- Yadav, M.; Chiu, F.-C. Cellulose Nanocrystals Reinforced κ-Carrageenan Based UV Resistant Transparent Bionanocomposite Films for Sustainable Packaging Applications. Carbohydr. Polym. 2019, 211, 181–194. [Google Scholar] [CrossRef]
- Farhan, A.; Hani, N.M. Characterization of Edible Packaging Films Based on Semi-Refined Kappa-Carrageenan Plasticized with Glycerol and Sorbitol. Food Hydrocoll. 2017, 64, 48–58. [Google Scholar] [CrossRef]
- Paula, G.A.; Benevides, N.M.B.; Cunha, A.P.; de Oliveira, A.V.; Pinto, A.M.B.; Morais, J.P.S.; Azeredo, H.M.C. Development and Characterization of Edible Films from Mixtures of κ-Carrageenan, ι-Carrageenan, and Alginate. Food Hydrocoll. 2015, 47, 140–145. [Google Scholar] [CrossRef]
- Bassi, R.; Prasher, S.O.; Simpson, B.K. Removal of Selected Metal Ions from Aqueous Solutions Using Chitosan Flakes. Sep. Sci. Technol. 2000, 35, 547–560. [Google Scholar] [CrossRef]
- Gupta, N.S. (Ed.) Chitin: Formation and Diagenesis; Topics in Geobiology; Springer: Dordrecht, The Netherlands, 2011; Volume 34, ISBN 978-90-481-9683-8. [Google Scholar]
- Roberts, G.A.F. (Ed.) Structure of Chitin and Chitosan. In Chitin Chemistry; Macmillan Education UK: London, UK, 1992; pp. 1–53. ISBN 978-1-349-11545-7. [Google Scholar]
- Fernandez-Saiz, P. 20—Chitosan Polysaccharide in Food Packaging Applications. In Multifunctional and Nanoreinforced Polymers for Food Packaging; Lagarón, J.-M., Ed.; Woodhead Publishing: Cambridge, UK, 2011; pp. 571–593. ISBN 978-1-84569-738-9. [Google Scholar]
- Tual, C.; Espuche, E.; Escoubes, M.; Domard, A. Transport Properties of Chitosan Membranes: Influence of Crosslinking. J. Polym. Sci. Part B Polym. Phys. 2000, 38, 1521–1529. [Google Scholar] [CrossRef]
- Suyatma, N.E.; Copinet, A.; Tighzert, L.; Coma, V. Mechanical and Barrier Properties of Biodegradable Films Made from Chitosan and Poly (Lactic Acid) Blends. J. Polym. Environ. 2004, 12, 1–6. [Google Scholar] [CrossRef]
- Liu, X.; Xu, Y.; Liao, W.; Guo, C.; Gan, M.; Wang, Q. Preparation and Characterization of Chitosan/Bacterial Cellulose Composite Biodegradable Films Combined with Curcumin and Its Application on Preservation of Strawberries. Food Packag. Shelf Life 2023, 35, 101006. [Google Scholar] [CrossRef]
- Bangyekan, C.; Aht-Ong, D.; Srikulkit, K. Preparation and Properties Evaluation of Chitosan-Coated Cassava Starch Films. Carbohydr. Polym. 2006, 63, 61–71. [Google Scholar] [CrossRef]
- Ferreira, A.R.V.; Alves, V.D.; Coelhoso, I.M. Polysaccharide-Based Membranes in Food Packaging Applications. Membranes 2016, 6, 22. [Google Scholar] [CrossRef]
- Sanuja, S.; Agalya, A.; Umapathy, M.J. Synthesis and Characterization of Zinc Oxide–Neem Oil–Chitosan Bionanocomposite for Food Packaging Application. Int. J. Biol. Macromol. 2015, 74, 76–84. [Google Scholar] [CrossRef]
- Surendhiran, D.; Roy, V.C.; Park, J.-S.; Chun, B.-S. Fabrication of Chitosan-Based Food Packaging Film Impregnated with Turmeric Essential Oil (TEO)-Loaded Magnetic-Silica Nanocomposites for Surimi Preservation. Int. J. Biol. Macromol. 2022, 203, 650–660. [Google Scholar] [CrossRef]
- Singhi, H.; Kumar, L.; Sarkar, P.; Gaikwad, K.K. Chitosan Based Antioxidant Biofilm with Waste Citrus Limetta Pomace Extract and Impregnated with Halloysite Nanotubes for Food Packaging. J. Food Meas. Charact. 2023, 17, 2741–2754. [Google Scholar] [CrossRef]
- Saberi Riseh, R.; Vatankhah, M.; Hassanisaadi, M.; Kennedy, J.F. Chitosan-Based Nanocomposites as Coatings and Packaging Materials for the Postharvest Improvement of Agricultural Product: A Review. Carbohydr. Polym. 2023, 309, 120666. [Google Scholar] [CrossRef] [PubMed]
- Sze, J.H.; Brownlie, J.C.; Love, C.A. Biotechnological Production of Hyaluronic Acid: A Mini Review. 3 Biotech 2016, 6, 67. [Google Scholar] [CrossRef] [PubMed]
- Abatangelo, G.; Vindigni, V.; Avruscio, G.; Pandis, L.; Brun, P. Hyaluronic Acid: Redefining Its Role. Cells 2020, 9, 1743. [Google Scholar] [CrossRef] [PubMed]
- Graça, M.F.P.; Miguel, S.P.; Cabral, C.S.D.; Correia, I.J. Hyaluronic Acid—Based Wound Dressings: A Review. Carbohydr. Polym. 2020, 241, 116364. [Google Scholar] [CrossRef]
- Burdick, J.A.; Prestwich, G.D. Hyaluronic Acid Hydrogels for Biomedical Applications. Adv. Mater. 2011, 23, H41–H56. [Google Scholar] [CrossRef]
- Necas, J.; Bartosikova, L.; Brauner, P.; Kolar, J. Hyaluronic Acid (Hyaluronan): A Review. Veterinární Medicína 2008, 53, 397–411. [Google Scholar] [CrossRef]
- Bai, H.; Sun, Y.; Xu, J.; Dong, W.; Liu, X. Rheological and Structural Characterization of HA/PVA-SbQ Composites Film-Forming Solutions and Resulting Films as Affected by UV Irradiation Time. Carbohydr. Polym. 2015, 115, 422–431. [Google Scholar] [CrossRef]
- Cheng, F.; Yu, H.; Stephanopoulos, G. Engineering Corynebacterium Glutamicum for High-Titer Biosynthesis of Hyaluronic Acid. Metab. Eng. 2019, 55, 276–289. [Google Scholar] [CrossRef]
- Qiu, Y.; Ma, Y.; Huang, Y.; Li, S.; Xu, H.; Su, E. Current Advances in the Biosynthesis of Hyaluronic Acid with Variable Molecular Weights. Carbohydr. Polym. 2021, 269, 118320. [Google Scholar] [CrossRef]
- Liu, L.; Liu, Y.; Li, J.; Du, G.; Chen, J. Microbial Production of Hyaluronic Acid: Current State, Challenges, and Perspectives. Microb. Cell Factories 2011, 10, 99. [Google Scholar] [CrossRef]
- Hoffmann, J.; Altenbuchner, J. Hyaluronic Acid Production with Corynebacterium Glutamicum: Effect of Media Composition on Yield and Molecular Weight. J. Appl. Microbiol. 2014, 117, 663–678. [Google Scholar] [CrossRef] [PubMed]
- Fakhari, A.; Berkland, C. Applications and Emerging Trends of Hyaluronic Acid in Tissue Engineering, as a Dermal Filler, and in Osteoarthritis Treatment. Acta Biomater. 2013, 9, 7081–7092. [Google Scholar] [CrossRef] [PubMed]
- Price, R.D.; Berry, M.G.; Navsaria, H.A. Hyaluronic Acid: The Scientific and Clinical Evidence. J. Plast. Reconstr. Aesthetic Surg. JPRAS 2007, 60, 1110–1119. [Google Scholar] [CrossRef] [PubMed]
- Jackson, J.K.; Skinner, K.C.; Burgess, L.; Sun, T.; Hunter, W.L.; Burt, H.M. Paclitaxel-Loaded Crosslinked Hyaluronic Acid Films for the Prevention of Postsurgical Adhesions. Pharm. Res. 2002, 19, 411–417. [Google Scholar] [CrossRef] [PubMed]
- Luo, Y.; Kirker, K.R.; Prestwich, G.D. Cross-Linked Hyaluronic Acid Hydrogel Films: New Biomaterials for Drug Delivery. J. Control. Release 2000, 69, 169–184. [Google Scholar] [CrossRef]
- Tomihata, K.; Ikada, Y. Preparation of Cross-Linked Hyaluronic Acid Films of Low Water Content. Biomaterials 1997, 18, 189–195. [Google Scholar] [CrossRef]
- Varma, R.; Varma, R.S.; Allen, W.S.; Wardi, A.H. Human Umbilical Cord Hyaluronate Neutral Sugar Content and Carbohydrate-Protein Linkage Studies. Biochim. Biophys. Acta BBA Gen. Subj. 1975, 399, 139–144. [Google Scholar] [CrossRef]
- Fan, Z.; Hao, Y.; Wang, Y.; Hu, X.; Li, T. Characterisation of Hyaluronic Acid-Curcumin-Cellulose Nanofibre Composite Film and Application in Egg Preservation. Int. J. Food Sci. Technol. 2023, 58, 6263–6271. [Google Scholar] [CrossRef]
- Jawaid, M.; Swain, S.K. (Eds.) Bionanocomposites for Packaging Applications; Springer International Publishing: Cham, Switzerland, 2018; ISBN 978-3-319-67318-9. [Google Scholar]
- Asgher, M.; Qamar, S.A.; Bilal, M.; Iqbal, H.M.N. Bio-Based Active Food Packaging Materials: Sustainable Alternative to Conventional Petrochemical-Based Packaging Materials. Food Res. Int. 2020, 137, 109625. [Google Scholar] [CrossRef]
- Lin, L.; Wu, J.; Li, C.; Chen, X.; Cui, H. Fabrication of a Dual-Response Intelligent Antibacterial Nanofiber and Its Application in Beef Preservation. LWT 2022, 154, 112606. [Google Scholar] [CrossRef]
- Pan, N.C.; Bersaneti, G.T.; Mali, S.; Celligoi, M.A.P.C. Films Based on Blends of Polyvinyl Alcohol and Microbial Hyaluronic Acid. Braz. Arch. Biol. Technol. 2020, 63, e20190386. [Google Scholar] [CrossRef]
- Picart, C.; Lavalle, P.; Hubert, P.; Cuisinier, F.J.G.; Decher, G.; Schaaf, P.; Voegel, J.-C. Buildup Mechanism for Poly(l-Lysine)/Hyaluronic Acid Films onto a Solid Surface. Langmuir 2001, 17, 7414–7424. [Google Scholar] [CrossRef]
- Mohamed, S.A.A.; El-Sakhawy, M.; Nashy, E.-S.H.A.; Othman, A.M. Novel Natural Composite Films as Packaging Materials with Enhanced Properties. Int. J. Biol. Macromol. 2019, 136, 774–784. [Google Scholar] [CrossRef]
- Dede, S.; Sadak, O.; Didin, M.; Gunasekaran, S. Antimicrobial Food Packaging Application of Angelica Root (Angelica Sylvestris) Oil-Loaded Electrospun Biofibers. Food Packag. Shelf Life 2023, 35, 101035. [Google Scholar] [CrossRef]
- Chandrasekaran, R.; Radha, A. Molecular Architectures and Functional Properties of Gellan Gum and Related Polysaccharides. Trends Food Sci. Technol. 1995, 6, 143–148. [Google Scholar] [CrossRef]
- Giavasis, I.; Harvey, L.M.; McNeil, B. Gellan Gum. Crit. Rev. Biotechnol. 2000, 20, 177–211. [Google Scholar] [CrossRef]
- Oliveira, J.T.; Martins, L.; Picciochi, R.; Malafaya, P.B.; Sousa, R.A.; Neves, N.M.; Mano, J.F.; Reis, R.L. Gellan Gum: A New Biomaterial for Cartilage Tissue Engineering Applications. J. Biomed. Mater. Res. A 2010, 93A, 852–863. [Google Scholar] [CrossRef]
- Sworn, G. 9—Gellan Gum. In Handbook of Hydrocolloids, 2nd ed.; Phillips, G.O., Williams, P.A., Eds.; Woodhead Publishing Series in Food Science, Technology and Nutrition; Woodhead Publishing: Cambridge, UK, 2009; pp. 204–227. ISBN 978-1-84569-414-2. [Google Scholar]
- Bajaj, I.B.; Survase, S.A.; Saudagar, P.S.; Singhal, R.S. Gellan Gum: Fermentative Production, Downstream Processing and Applications. Food Technol. Biotechnol. 2007, 45, 341–354. [Google Scholar]
- Osmałek, T.; Froelich, A.; Tasarek, S. Application of Gellan Gum in Pharmacy and Medicine. Int. J. Pharm. 2014, 466, 328–340. [Google Scholar] [CrossRef]
- Quinn, F.X.; Hatakeyama, T.; Yoshida, H.; Takahashi, M.; Hatakeyama, H. The Conformational Properties of Gellan Gum Hydrogels. Polym. Gels Netw. 1993, 1, 93–114. [Google Scholar] [CrossRef]
- Grasdalen, H.; Smidsrød, O. Gelation of Gellan Gum. Carbohydr. Polym. 1987, 7, 371–393. [Google Scholar] [CrossRef]
- Ogawa, E.; Takahashi, R.; Yajima, H.; Nishinari, K. Effects of Molar Mass on the Coil to Helix Transition of Sodium-Type Gellan Gums in Aqueous Solutions. Food Hydrocoll. 2006, 20, 378–385. [Google Scholar] [CrossRef]
- Deasy, P.B.; Quigley, K.J. Rheological Evaluation of Deacetylated Gellan Gum (Gelrite) for Pharmaceutical Use. Int. J. Pharm. 1991, 73, 117–123. [Google Scholar] [CrossRef]
- Mirón-Mérida, V.A.; Yáñez-Fernández, J.; Montañez-Barragán, B.; Barragán Huerta, B.E. Valorization of Coffee Parchment Waste (Coffea arabica) as a Source of Caffeine and Phenolic Compounds in Antifungal Gellan Gum Films. LWT 2019, 101, 167–174. [Google Scholar] [CrossRef]
- Wu, L.-T.; Tsai, I.-L.; Ho, Y.-C.; Hang, Y.-H.; Lin, C.; Tsai, M.-L.; Mi, F.-L. Active and Intelligent Gellan Gum-Based Packaging Films for Controlling Anthocyanins Release and Monitoring Food Freshness. Carbohydr. Polym. 2021, 254, 117410. [Google Scholar] [CrossRef]
- Zhai, X.; Li, Z.; Shi, J.; Huang, X.; Sun, Z.; Zhang, D.; Zou, X.; Sun, Y.; Zhang, J.; Holmes, M.; et al. A Colorimetric Hydrogen Sulfide Sensor Based on Gellan Gum-Silver Nanoparticles Bionanocomposite for Monitoring of Meat Spoilage in Intelligent Packaging. Food Chem. 2019, 290, 135–143. [Google Scholar] [CrossRef]
- Rukmanikrishnan, B.; Ramalingam, S.; Rajasekharan, S.K.; Lee, J.; Lee, J. Binary and Ternary Sustainable Composites of Gellan Gum, Hydroxyethyl Cellulose and Lignin for Food Packaging Applications: Biocompatibility, Antioxidant Activity, UV and Water Barrier Properties. Int. J. Biol. Macromol. 2020, 153, 55–62. [Google Scholar] [CrossRef]
- Xu, X.; Li, B.; Kennedy, J.F.; Xie, B.J.; Huang, M. Characterization of Konjac Glucomannan–Gellan Gum Blend Films and Their Suitability for Release of Nisin Incorporated Therein. Carbohydr. Polym. 2007, 70, 192–197. [Google Scholar] [CrossRef]
- Zia, K.M.; Tabasum, S.; Khan, M.F.; Akram, N.; Akhter, N.; Noreen, A.; Zuber, M. Recent Trends on Gellan Gum Blends with Natural and Synthetic Polymers: A Review. Int. J. Biol. Macromol. 2018, 109, 1068–1087. [Google Scholar] [CrossRef]
- Katzbauer, B. Properties and Applications of Xanthan Gum. Polym. Degrad. Stab. 1998, 59, 81–84. [Google Scholar] [CrossRef]
- Sworn, G. Xanthan Gum—Functionality and Application. In Practical Food Rheology; John Wiley & Sons, Ltd.: Hoboken, NJ, USA, 2011; pp. 85–112. ISBN 978-1-4443-9106-0. [Google Scholar]
- Hu, X.; Wang, K.; Yu, M.; He, P.; Qiao, H.; Zhang, H.; Wang, Z. Characterization and Antioxidant Activity of a Low-Molecular-Weight Xanthan Gum. Biomolecules 2019, 9, 730. [Google Scholar] [CrossRef]
- Sanderson, G.R. Applications of Xanthan Gum. Br. Polym. J. 1981, 13, 71–75. [Google Scholar] [CrossRef]
- García-Ochoa, F.; Santos, V.E.; Casas, J.A.; Gómez, E. Xanthan Gum: Production, Recovery, and Properties. Biotechnol. Adv. 2000, 18, 549–579. [Google Scholar] [CrossRef] [PubMed]
- Brunchi, C.-E.; Morariu, S.; Bercea, M. Intrinsic Viscosity and Conformational Parameters of Xanthan in Aqueous Solutions: Salt Addition Effect. Colloids Surf. B Biointerfaces 2014, 122, 512–519. [Google Scholar] [CrossRef]
- Zhong, L.; Oostrom, M.; Truex, M.J.; Vermeul, V.R.; Szecsody, J.E. Rheological Behavior of Xanthan Gum Solution Related to Shear Thinning Fluid Delivery for Subsurface Remediation. J. Hazard. Mater. 2013, 244–245, 160–170. [Google Scholar] [CrossRef]
- Feng, E.; Ma, G.; Wu, Y.; Wang, H.; Lei, Z. Preparation and Properties of Organic–Inorganic Composite Superabsorbent Based on Xanthan Gum and Loess. Carbohydr. Polym. 2014, 111, 463–468. [Google Scholar] [CrossRef] [PubMed]
- Nguyen, T.X.; Huang, L.; Gauthier, M.; Yang, G.; Wang, Q. Recent Advances in Liposome Surface Modification for Oral Drug Delivery. Nanomed. 2016, 11, 1169–1185. [Google Scholar] [CrossRef]
- Soukupova, J.; Zboril, R.; Medrik, I.; Filip, J.; Safarova, K.; Ledl, R.; Mashlan, M.; Nosek, J.; Cernik, M. Highly Concentrated, Reactive and Stable Dispersion of Zero-Valent Iron Nanoparticles: Direct Surface Modification and Site Application. Chem. Eng. J. 2015, 262, 813–822. [Google Scholar] [CrossRef]
- Su, L.; Ji, W.K.; Lan, W.Z.; Dong, X.Q. Chemical Modification of Xanthan Gum to Increase Dissolution Rate. Carbohydr. Polym. 2003, 53, 497–499. [Google Scholar] [CrossRef]
- Nur Hazirah, M.A.S.P.; Isa, M.I.N.; Sarbon, N.M. Effect of Xanthan Gum on the Physical and Mechanical Properties of Gelatin-Carboxymethyl Cellulose Film Blends. Food Packag. Shelf Life 2016, 9, 55–63. [Google Scholar] [CrossRef]
- Pai, V.B.; Khan, S.A. Gelation and Rheology of Xanthan/Enzyme-Modified Guar Blends. Carbohydr. Polym. 2002, 49, 207–216. [Google Scholar] [CrossRef]
- Veiga-Santos, P.; Oliveira, L.M.; Cereda, M.P.; Alves, A.J.; Scamparini, A.R.P. Mechanical Properties, Hydrophilicity and Water Activity of Starch-Gum Films: Effect of Additives and Deacetylated Xanthan Gum. Food Hydrocoll. 2005, 19, 341–349. [Google Scholar] [CrossRef]
- Wang, L.; Schiraldi, D.A.; Sánchez-Soto, M. Foamlike Xanthan Gum/Clay Aerogel Composites and Tailoring Properties by Blending with Agar. Ind. Eng. Chem. Res. 2014, 53, 7680–7687. [Google Scholar] [CrossRef]
- Yavari Maroufi, L.; Norouzi, R.; Ramezani, S.; Ghorbani, M. Novel Electrospun Nanofibers Based on Gelatin/Oxidized Xanthan Gum Containing Propolis Reinforced by Schiff Base Cross-Linking for Food Packaging. Food Chem. 2023, 416, 135806. [Google Scholar] [CrossRef]
- Julianti, E.; Rusmarilin, H.; Ridwansyah; Yusraini, E. Functional and Rheological Properties of Composite Flour from Sweet Potato, Maize, Soybean and Xanthan Gum. J. Saudi Soc. Agric. Sci. 2017, 16, 171–177. [Google Scholar] [CrossRef]
- Peng, X.; Xu, F.; Zhang, W.; Wang, J.; Zeng, C.; Niu, M.; Chmielewská, E. Magnetic Fe3O4 @ Silica–Xanthan Gum Composites for Aqueous Removal and Recovery of Pb2+. Colloids Surf. Physicochem. Eng. Asp. 2014, 443, 27–36. [Google Scholar] [CrossRef]
- Zhang, S.; Xu, F.; Wang, Y.; Zhang, W.; Peng, X.; Pepe, F. Silica Modified Calcium Alginate–Xanthan Gum Hybrid Bead Composites for the Removal and Recovery of Pb(II) from Aqueous Solution. Chem. Eng. J. 2013, 234, 33–42. [Google Scholar] [CrossRef]
- Meydanju, N.; Pirsa, S.; Farzi, J. Biodegradable Film Based on Lemon Peel Powder Containing Xanthan Gum and TiO2–Ag Nanoparticles: Investigation of Physicochemical and Antibacterial Properties. Polym. Test. 2022, 106, 107445. [Google Scholar] [CrossRef]
- Yang, J.; Fan, Y.; Cui, J.; Yang, L.; Su, H.; Yang, P.; Pan, J. Colorimetric Films Based on Pectin/Sodium Alginate/Xanthan Gum Incorporated with Raspberry Pomace Extract for Monitoring Protein-Rich Food Freshness. Int. J. Biol. Macromol. 2021, 185, 959–965. [Google Scholar] [CrossRef]
- Fan, Y.; Yang, J.; Duan, A.; Li, X. Pectin/Sodium Alginate/Xanthan Gum Edible Composite Films as the Fresh-Cut Package. Int. J. Biol. Macromol. 2021, 181, 1003–1009. [Google Scholar] [CrossRef] [PubMed]
- Chen, J.; Zheng, M.; Tan, K.B.; Lin, J.; Chen, M.; Zhu, Y. Development of Xanthan Gum/Hydroxypropyl Methyl Cellulose Composite Films Incorporating Tea Polyphenol and Its Application on Fresh-Cut Green Bell Peppers Preservation. Int. J. Biol. Macromol. 2022, 211, 198–206. [Google Scholar] [CrossRef] [PubMed]
- Lima, M.d.M.; Carneiro, L.C.; Machado, M.R.G.; Dias, A.R.G.; Zavareze, E.d.R.; Prentice, C.; Moreira, A.d.S. Application of Films Based on Chitosan and Xanthan Gum in Refrigerated Fish Conservation. Braz. Arch. Biol. Technol. 2020, 63, e20190046. [Google Scholar] [CrossRef]
- Lara, G.; Yakoubi, S.; Villacorta, C.M.; Uemura, K.; Kobayashi, I.; Takahashi, C.; Nakajima, M.; Neves, M.A. Spray Technology Applications of Xanthan Gum-Based Edible Coatings for Fresh-Cut Lotus Root (Nelumbo nucifera). Food Res. Int. 2020, 137, 109723. [Google Scholar] [CrossRef]
- Fabra, M.J.; López-Rubio, A.; Lagaron, J.M. 15—Biopolymers for Food Packaging Applications. In Smart Polymers and Their Applications; Aguilar, M.R., San Román, J., Eds.; Woodhead Publishing: Cambridge, UK, 2014; pp. 476–509. ISBN 978-0-85709-695-1. [Google Scholar]
- Grujić, R.; Vujadinović, D.; Savanović, D. Biopolymers as Food Packaging Materials. In Advances in Applications of Industrial Biomaterials; Pellicer, E., Nikolic, D., Sort, J., Baró, M., Zivic, F., Grujovic, N., Grujic, R., Pelemis, S., Eds.; Springer International Publishing: Cham, Switzerland, 2017; pp. 139–160. ISBN 978-3-319-62767-0. [Google Scholar]
- Thivya, P.; Bhanu Prakash Reddy, N.; Bhosale Yuvraj, K.; Sinija, V.R. Recent Advances and Perspectives for Effective Utilization of Onion Solid Waste in Food Packaging: A Critical Review. Rev. Environ. Sci. Biotechnol. 2023, 22, 29–53. [Google Scholar] [CrossRef]
- Souza, A.C.; Benze, R.; Ferrão, E.S.; Ditchfield, C.; Coelho, A.C.V.; Tadini, C.C. Cassava Starch Biodegradable Films: Influence of Glycerol and Clay Nanoparticles Content on Tensile and Barrier Properties and Glass Transition Temperature. LWT Food Sci. Technol. 2012, 46, 110–117. [Google Scholar] [CrossRef]
- Avella, M.; De Vlieger, J.J.; Errico, M.E.; Fischer, S.; Vacca, P.; Volpe, M.G. Biodegradable Starch/Clay Nanocomposite Films for Food Packaging Applications. Food Chem. 2005, 93, 467–474. [Google Scholar] [CrossRef]
- Wilpiszewska, K.; Antosik, A.K.; Zdanowicz, M. The Effect of Citric Acid on Physicochemical Properties of Hydrophilic Carboxymethyl Starch-Based Films. J. Polym. Environ. 2019, 27, 1379–1387. [Google Scholar] [CrossRef]
- Fujisawa, S.; Okita, Y.; Fukuzumi, H.; Saito, T.; Isogai, A. Preparation and Characterization of TEMPO-Oxidized Cellulose Nanofibril Films with Free Carboxyl Groups. Carbohydr. Polym. 2011, 84, 579–583. [Google Scholar] [CrossRef]
- Fukuzumi, H.; Saito, T.; Iwata, T.; Kumamoto, Y.; Isogai, A. Transparent and High Gas Barrier Films of Cellulose Nanofibers Prepared by TEMPO-Mediated Oxidation. Biomacromolecules 2009, 10, 162–165. [Google Scholar] [CrossRef]
- Cen, C.; Wang, F.; Wang, Y.; Li, H.; Fu, L.; Li, Y.; Chen, J.; Wang, Y. Design and Characterization of an Antibacterial Film Composited by Hydroxyethyl Cellulose (HEC), Carboxymethyl Chitosan (CMCS), and Nano ZnO for Food Packaging. Int. J. Biol. Macromol. 2023, 231, 123203. [Google Scholar] [CrossRef] [PubMed]
- Celuppi, L.C.M.; Capelezzo, A.P.; Cima, L.B.; Zeferino, R.C.F.; Carniel, T.A.; Zanetti, M.; de Mello, J.M.M.; Fiori, M.A.; Riella, H.G. Microbiological, Thermal and Mechanical Performance of Cellulose Acetate Films with Geranyl Acetate. Int. J. Biol. Macromol. 2023, 228, 517–527. [Google Scholar] [CrossRef]
- Rhim, J.-W. Effect of PLA Lamination on Performance Characteristics of Agar/κ-Carrageenan/Clay Bio-Nanocomposite Film. Food Res. Int. 2013, 51, 714–722. [Google Scholar] [CrossRef]
- Rhim, J.-W. Physical and Mechanical Properties of Water Resistant Sodium Alginate Films. LWT Food Sci. Technol. 2004, 37, 323–330. [Google Scholar] [CrossRef]
- De Carli, C.; Aylanc, V.; Mouffok, K.M.; Santamaria-Echart, A.; Barreiro, F.; Tomás, A.; Pereira, C.; Rodrigues, P.; Vilas-Boas, M.; Falcão, S.I. Production of Chitosan-Based Biodegradable Active Films Using Bio-Waste Enriched with Polyphenol Propolis Extract Envisaging Food Packaging Applications. Int. J. Biol. Macromol. 2022, 213, 486–497. [Google Scholar] [CrossRef] [PubMed]
- Ramos, Ó.L.; Pereira, R.N.; Cerqueira, M.A.; Martins, J.R.; Teixeira, J.A.; Malcata, F.X.; Vicente, A.A. Chapter 8—Bio-Based Nanocomposites for Food Packaging and Their Effect in Food Quality and Safety. In Food Packaging and Preservation; Grumezescu, A.M., Holban, A.M., Eds.; Handbook of Food Bioengineering; Academic Press: Cambridge, MA, USA, 2018; pp. 271–306. ISBN 978-0-12-811516-9. [Google Scholar]
- Ferrari, F.; Striani, R.; Fico, D.; Alam, M.M.; Greco, A.; Esposito Corcione, C. An Overview on Wood Waste Valorization as Biopolymers and Biocomposites: Definition, Classification, Production, Properties and Applications. Polymers 2022, 14, 5519. [Google Scholar] [CrossRef]
- Ragitha, V.M.; Edison, L.K. Safety Issues, Environmental Impacts, and Health Effects of Biopolymers. In Handbook of Biopolymers; Thomas, S., AR, A., Jose Chirayil, C., Thomas, B., Eds.; Springer Nature: Singapore, 2022; pp. 1–27. ISBN 9789811666032. [Google Scholar] [CrossRef]
- Shaikh, S.; Yaqoob, M.; Aggarwal, P. An Overview of Biodegradable Packaging in Food Industry. Curr. Res. Food Sci. 2021, 4, 503–520. [Google Scholar] [CrossRef]
- Zhao, Y.; Li, B.; Li, C.; Xu, Y.; Luo, Y.; Liang, D.; Huang, C. Comprehensive Review of Polysaccharide-Based Materials in Edible Packaging: A Sustainable Approach. Foods 2021, 10, 1845. [Google Scholar] [CrossRef]
- Vimala Bharathi, S.K.; Moses, J.A.; Anandharamakrishnan, C. Interaction Phenomena Between Packaging and Product. In Bio-based Materials for Food Packaging: Green and Sustainable Advanced Packaging Materials; Ahmed, S., Ed.; Springer: Singapore, 2018; pp. 33–56. ISBN 9789811319099. [Google Scholar]
- Cruz, R.M.S.; Krauter, V.; Krauter, S.; Agriopoulou, S.; Weinrich, R.; Herbes, C.; Scholten, P.B.V.; Uysal-Unalan, I.; Sogut, E.; Kopacic, S.; et al. Bioplastics for Food Packaging: Environmental Impact, Trends and Regulatory Aspects. Foods 2022, 11, 3087. [Google Scholar] [CrossRef]
- Pinto, L.; Bonifacio, M.A.; De Giglio, E.; Santovito, E.; Cometa, S.; Bevilacqua, A.; Baruzzi, F. Biopolymer Hybrid Materials: Development, Characterization, and Food Packaging Applications. Food Packag. Shelf Life 2021, 28, 100676. [Google Scholar] [CrossRef]
- Thiviya, P.; Gamage, A.; Manamperi, A.; Mani, S.; Madhujith, T. Biodegradation of Biopolymers: Reflections Towards Possible Biomagnification. In Handbook of Biopolymers; Thomas, S., AR, A., Jose Chirayil, C., Thomas, B., Eds.; Springer Nature: Singapore, 2022; pp. 1–44. ISBN 9789811666032. [Google Scholar]
- D5988-18; Standard Test Method for Determining Aerobic Biodegradation of Plastic Materials in Soil. ASTM International: West Conshohocken, PA, USA, 2018.
- 17556:19; Plastics—Determination of the Ultimate Aerobic Biodegradability of Plastic Materials in Soil by Measuring the Oxygen Demand in a Respirometer or the Amount of Carbon Dioxide Evolved. ISO: Geneva, Switzerland, 2019.
- Šerá, J.; Serbruyns, L.; De Wilde, B.; Koutný, M. Accelerated biodegradation testing of slowly degradable polyesters in soil. Polym. Degrad. Stab. 2020, 171, 109031. [Google Scholar] [CrossRef]
- Aleksanyan, K.V. Polysaccharides for Biodegradable Packaging Materials: Past, Present, and Future (Brief Review). Polymers 2023, 15, 451. [Google Scholar] [CrossRef] [PubMed]
- Satchanska, G.; Davidova, S.; Petrov, P.D. Natural and Synthetic Polymers for Biomedical and Environmental Applications. Polymers 2024, 16, 1159. [Google Scholar] [CrossRef] [PubMed]
- Sarkar, A.; Basumatary, F.; Brahma, S.; Das, B.; Basumatary, S. Recent developments on graphene oxide and its composite materials: From fundamentals to applications in biodiesel synthesis, adsorption, photocatalysis, supercapacitors, sensors and antimicrobial activity. Results Surf. Interfaces 2024, 15, 100225. [Google Scholar] [CrossRef]
- Costa, A.; Encarnação, T.; Tavares, R.; Todo Bom, T.; Mateus, A. Bioplastics: Innovation for Green Transition. Polymers 2023, 15, 517. [Google Scholar] [CrossRef]
- Hossain, M.T.; Shahid, M.A.; Akter, S.; Ferdous, J.; Afroz, K.; Refat, K.R.I.; Faruk, O.; Jamal, M.S.I.; Uddin, M.N. Samad, M.A.B. Cellulose and starch-based bioplastics: A review of advances and challenges for sustainability. Polym. Plast. Technol. Mater. 2024, 63, 1329–1349. [Google Scholar] [CrossRef]
- Di Bartolo, A.; Infurna, G.; Dintcheva, N.T. A Review of Bioplastics and Their Adoption in the Circular Economy. Polymers 2021, 13, 1229. [Google Scholar] [CrossRef]
- European Commission. A European Strategy for Plastics in a Circular Economy COM(2018) 28 Final; European Commission: Brussels, Belgium, 2018. [Google Scholar]
- Ekula, S.N.; Karahan, M.; Ari, A. Sustainable Approach to Plastics; Bioplastics. RECENT J. 2023, 69, 029–050. [Google Scholar] [CrossRef]
- Stasiškiene, Ž.; Barbir, J.; Draudviliene, L.; Chong, Z.K.; Kuchta, K.; Voronova, V.; Leal Filho, W. Challenges and Strategies for Bio-Based and Biodegradable Plastic Waste Management in Europe. Sustainability 2022, 14, 16476. [Google Scholar] [CrossRef]
- Jayakumar, A.; Radoor, S.; Siengchin, S.; Shin, G.H.; Kim, J.T. Recent progress of bioplastics in their properties, standards, certifications and regulations: A review. Total Environ. 2023, 878, 163156. [Google Scholar] [CrossRef]
- Vogli, L.; Macrelli, S.; Marazza, D.; Galletti, P.; Torri, C.; Samorì, C.; Righi, S. Life Cycle Assessment and Energy Balance of a Novel Polyhydroxyalkanoates Production Process with Mixed Microbial Cultures Fed on Pyrolytic Products of Wastewater Treatment Sludge. Energies 2020, 13, 2706. [Google Scholar] [CrossRef]
- Shen, L.; Patel, M.K. Life Cycle Assessment of Polysaccharide Materials: A Review. J. Polym. Environ. 2008, 16, 154–167. [Google Scholar] [CrossRef]
Disclaimer/Publisher’s Note: The statements, opinions and data contained in all publications are solely those of the individual author(s) and contributor(s) and not of MDPI and/or the editor(s). MDPI and/or the editor(s) disclaim responsibility for any injury to people or property resulting from any ideas, methods, instructions or products referred to in the content. |
© 2024 by the authors. Licensee MDPI, Basel, Switzerland. This article is an open access article distributed under the terms and conditions of the Creative Commons Attribution (CC BY) license (https://creativecommons.org/licenses/by/4.0/).










