Confinement in Extruded Nanocomposites Based on PCL and Mesoporous Silicas: Effect of Pore Sizes and Their Influence in Ultimate Mechanical Response
Abstract
1. Introduction
2. Materials and Methods
2.1. Materials and Chemicals
2.2. (Nano)Composite and Film Preparation
2.3. Scanning Electron Microscopy
2.4. Thermogravimetric Analysis
2.5. Differential Scanning Calorimetry
2.6. X-ray Experiments with Synchrotron Radiation
2.7. Dynamic Mechanical Thermal Analysis (DMTA)
2.8. Mechanical Behavior by Means of Stress-Strain Tests
3. Results and Discussion
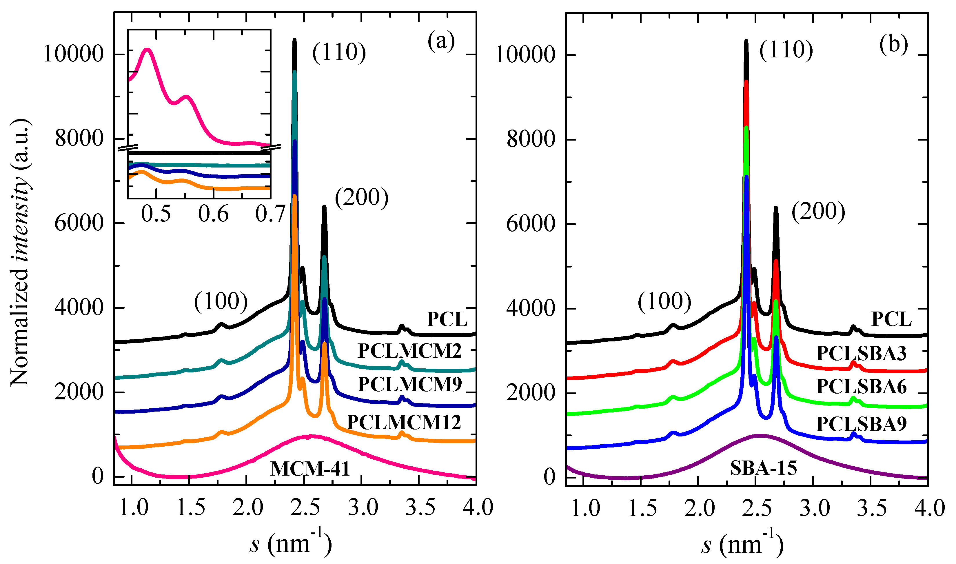
3.1. Morphological Characteristics
3.2. Thermal Stability
3.3. Phase Transitions, Crystalline Characteristics and Confinement of PCL Chains
3.4. Viscoelastic Behaviour and Mechanical Properties
4. Conclusions
Author Contributions
Funding
Acknowledgments
Conflicts of Interest
References
- Haller, W. Chromatography on Glass of Controlled Pore Size. Nature 1965, 206, 693–696. [Google Scholar] [CrossRef]
- Jackson, C.L.; McKenna, G.B. The melting behavior of organic materials confined in porous solids. J. Chem. Phys. 1990, 93, 9002–9011. [Google Scholar] [CrossRef]
- Gibbs, J.W. On the Equilibrium of Heterogeneous Substances. In Collected Works, Volume I: Thermodynamics, Chapter III; Longmans: Green, NY, USA, 1928; pp. 55–353. [Google Scholar]
- Defay, R.; Prigogine, I.; Bellemans, A.; Everett, D.H. Surface Tension and Adsorption; Wiley: New York, NY, USA, 1966. [Google Scholar]
- Thomson, W. On the equilibrium of vapor at a curved surface of liquid. Philos. Mag. 1871, 42, 448–452. [Google Scholar] [CrossRef]
- Beck, J.S.; Vartuli, J.C.; Roth, W.J.; Leonowicz, M.E.; Kresge, C.T.; Schmitt, K.D.; Chu, C.T.-W.; Olson, D.H.; Sheppard, E.W.; McCullen, S.B.; et al. A new family of mesoporous molecular sieves prepared with liquid crystal templates. J. Am. Chem. Soc. 1992, 114, 10834–10843. [Google Scholar] [CrossRef]
- Roth, W.J.; Vartuli, J.C. Synthesis of mesoporous molecular sieves. Stud. Surf. Sci. Catal. 2005, 157, 91–110. [Google Scholar] [CrossRef]
- Zhao, D.; Feng, J.; Huo, Q.; Melosh, N.; Fredrickson, G.H.; Chmelka, B.F.; Stucky, G.D. Triblock copolymer syntheses of mesoporous silica with periodic 50 to 300 angstrom pores. Science 1998, 279, 548–552. [Google Scholar] [CrossRef] [PubMed]
- Cerrada, M.L.; Pérez, E.; Lourenço, J.P.; Campos, J.M.; Ribeiro, M.R. Hybrid HDPE/MCM-41 nanocomposites: Crystalline structure and viscoelastic behaviour. Microporous Mesoporous Mater. 2010, 130, 215–223. [Google Scholar] [CrossRef]
- Cerrada, M.L.; Pérez, E.; Lourenço, J.P.; Bento, A.; Ribeiro, M.R. Decorated MCM-41/polyethylene hybrids: Crystalline Details and Viscoelastic Behavior. Polymer 2013, 54, 2611–2620. [Google Scholar] [CrossRef]
- Cerrada, M.L.; Bento, A.; Pérez, E.; Lorenzo, V.; Lourenço, J.P.; Ribeiro, M.R. Hybrid Materials Based on Polyethylene and MCM-41 Particles Functionalized with Silanes: Catalytic Aspects of In Situ Polymerization, Crystalline Features and Mechanical Properties. Microporous Mesoporous Mater. 2016, 232, 86–96. [Google Scholar] [CrossRef]
- Ferreira, A.E.; Cerrada, M.L.; Pérez, E.; Lorenzo, V.; Cramail, H.; Lourenço, J.P.; Quijada, R.; Ribeiro, M.R. Hafnocene catalyst for polyethylene and its nanocomposites with SBA-15 by in situ polymerization: Immobilization approaches, catalytic behavior and properties evaluation. Eur. Polym. J. 2016, 85, 298–312. [Google Scholar] [CrossRef]
- Ferreira, A.E.; Cerrada, M.L.; Pérez, E.; Lorenzo, V.; Cramail, H.; Lourenço, J.P.; Ribeiro, M.R. UHMWPE/SBA-15 nanocomposites synthesized by in situ polymerization. Microporous Mesoporous Mater. 2016, 232, 13–25. [Google Scholar] [CrossRef]
- Ferreira, A.E.; Cerrada, M.L.; Perez, E.; Lorenzo, V.; Valles, E.; Ressia, J.; Cramail, H.; Lourenço, J.P.; Ribeiro, M.R. UHMWPE/HDPE in-reactor blends, prepared by in situ polymerization: Synthetic aspects and characterization. Express Polym. Lett. 2017, 11, 344–361. [Google Scholar] [CrossRef][Green Version]
- Barranco-García, R.; Ferreira, A.E.; Ribeiro, M.R.; Lorenzo, V.; García-Peñas, A.; Gómez-Elvira, J.M.; Pérez, E.; Cerrada, M.L. Hybrid materials obtained by in situ polymerization based on polypropylene and mesoporous SBA-15 silica particles: Catalytic aspects, crystalline details and mechanical behavior. Polymer 2018, 151, 218–230. [Google Scholar] [CrossRef]
- Barranco-García, R.; López-Majada, J.M.; Lorenzo, V.; Gómez-Elvira, J.M.; Pérez, E.; Cerrada, M.L. Confinement of iPP chains in the interior of SBA-15 mesostructure ascertained by gas transport properties in iPP-SBA-15 nanocomposites prepared by extrusion. J. Membr. Sci. 2018, 569, 137–148. [Google Scholar] [CrossRef]
- Barranco-García, R.; Gómez-Elvira, J.M.; Ressia, J.A.; Quinzani, L.; Vallés, E.M.; Pérez, E.; Cerrada, M.L. Effect of iPP molecular weight on its confinement within mesoporous SBA-15 silica in extruded iPP−SBA-15 nanocomposites. Microporous Mesoporous Mater. 2019, 294, 109945. [Google Scholar] [CrossRef]
- Barranco-García, R.; López-Majada, J.M.; Martínez, J.C.; Gómez-Elvira, J.M.; Pérez, E.; Cerrada, M.L. Confinement of iPP crystallites within mesoporous SBA-15 channels in extruded iPP-SBA-15 nanocomposites studied by Small Angle X-ray scattering. Microporous Mesoporous Mater. 2018, 272, 209–216. [Google Scholar] [CrossRef]
- Hammond, W.; Prouzet, E.; Mahanti, S.; Pinnavaia, T.J. Structure factor for the periodic walls of mesoporous MCM-41 molecular sieves. Microporous Mesoporous Mater. 1999, 27, 19–25. [Google Scholar] [CrossRef]
- Sauer, J.; Marlow, F.; Schüth, F. Simulation of powder diffraction patterns of modified ordered mesoporous materials. Phys. Chem. Chem. Phys. 2001, 3, 5579–5584. [Google Scholar] [CrossRef]
- Wang, X.; Ma, X.; Song, C.; Locke, D.R.; Siefert, S.; Winans, R.E.; Möllmer, J.; Lange, M.; Möller, A.; Gläser, R. Molecular basket sorbents polyethylenimine–SBA-15 for CO2 capture from flue gas: Characterization and sorption properties. Microporous Mesoporous Mater. 2013, 169, 103–111. [Google Scholar] [CrossRef]
- Barranco-García, R.; Gómez-Elvira, J.M.; Ressia, J.A.; Quinzani, L.; Vallés, E.M.; Pérez, E.; Cerrada, M.L. Variation of Ultimate Properties in Extruded iPP-Mesoporous Silica Nanocomposites by Effect of iPP Confinement within the Mesostructures. Polymers 2020, 12, 70. [Google Scholar] [CrossRef] [PubMed]
- Kapeliouchko, V.; Palamone, G.; Poggio, T.; Zuccheri, G.; Passeri, R.; Sparnacci, K.; Antonioli, D.; Deregibus, S.; Laus, M. PMMA-based core-shell nanoparticles with various PTFE cores. J. Polym. Sci. Part A Polym. Chem. 2009, 47, 2928–2937. [Google Scholar] [CrossRef]
- Laus, M.; Sparnacci, K.; Antonioli, D.; Deregibus, S.; Kapeliouchko, V.; Palamone, G.; Poggio, T.; Zuccheri, G.; Passeri, R. On the multiple crystallization behavior of PTFE in PMMA/PTFE nanocomposites from core-shell nanoparticles. J. Polym. Sci. Part B Polym. Phys. 2010, 48, 548–554. [Google Scholar] [CrossRef]
- Watanabe, R.; Hagihara, H.; Sato, H. Structure-property relationship of polypropylene-based nanocomposites by dispersing mesoporous silica in functionalized polypropylene containing hydroxyl groups. Part 1: Toughness, stiffness and transparency. Polym. J. 2018, 50, 1057–1065. [Google Scholar] [CrossRef]
- Nakagawa, S.; Kadena, K.-I.; Ishizone, T.; Nojima, S.; Shimizu, T.; Yamaguchi, K.; Nakahama, S. Crystallization Behavior and Crystal Orientation of Poly(ε-caprolactone) Homopolymers Confined in Nanocylinders: Effects of Nanocylinder Dimension. Macromolecules 2012, 45, 1892–1900. [Google Scholar] [CrossRef]
- Muñoz-Bonilla, A.; Cerrada, M.L.; Fernández-García, M.; Kubacka, A.; Ferrer, M.; Fernández-García, M. Biodegradable Polycaprolactone-Titania Nanocomposites: Preparation, Characterization and Antimicrobial Properties. Int. J. Mol. Sci. 2013, 14, 9249–9266. [Google Scholar] [CrossRef] [PubMed]
- Bento, A.; Lourenço, J.P.; Fernandes, A.; Cerrada, M.L.; Ribeiro, M.R. Functionalization of Mesoporous MCM-41 (Nano)particles: Preparation Methodologies, Role on Catalytic Features, and Dispersion Within Polyethylene Nanocomposites. ChemCatChem 2013, 5, 966–976. [Google Scholar] [CrossRef]
- Persenaire, O.; Alexandre, M.; Degée, A.P.; Dubois, P. Mechanisms and Kinetics of Thermal Degradation of Poly(ε-caprolactone). Biomacromolecules 2001, 2, 288–294. [Google Scholar] [CrossRef] [PubMed]
- Mofokeng, J.; Kelnar, I.; Luyt, A. Effect of layered silicates on the thermal stability of PCL/PLA microfibrillar composites. Polym. Test. 2016, 50, 9–14. [Google Scholar] [CrossRef]
- Marcilla, A.; Gómez-Siurana, A.; Menargues, S.; Ruiz-Femenia, R.; García-Quesada, J. Oxidative degradation of EVA copolymers in the presence of MCM-41. J. Anal. Appl. Pyrolysis 2006, 76, 138–143. [Google Scholar] [CrossRef]
- Aguado, J.; Serrano, D.P.; Romero, M.D.; Escola, J.M. Catalytic conversion of polyethylene into fuels over mesoporous MCM-41. Chem. Commun. 1996, 725–726. [Google Scholar] [CrossRef]
- Campos, J.; Lourenço, J.P.; Perez, E.; Cerrada, M.L.; Ribeiro, M.D.R. Self-Reinforced Hybrid Polyethylene/MCM-41 Nanocomposites: In-Situ Polymerisation and Effect of MCM-41 Content on Rigidity. J. Nanosci. Nanotechnol. 2009, 9, 3966–3974. [Google Scholar] [CrossRef] [PubMed]
- Bento, A.; Lourenço, J.P.; Fernandes, A.; Ribeiro, M.R.; Arranz-Andrés, J.; Lorenzo, V.; Cerrada, M.L. Gas permeability properties of decorated MCM 41/polyethylene hybrids prepared by in situ polymerization. J. Membr. Sci. 2012, 415–416, 702–711. [Google Scholar] [CrossRef]
- Blázquez-Blázquez, E.; Pérez, E.; Lorenzo, V.; Cerrada, M.L. Crystalline characteristics and their influence in the Mechanical Performance in Poly(ε-caprolactone)/High Density Polyethylene Blends. Polymers 2019, 11, 1874. [Google Scholar] [CrossRef] [PubMed]
- Hu, H.; Dorset, D.L. Crystal Structure of Poly(ε-capro1actone). Macromolecules 1990, 23, 4604–4607. [Google Scholar] [CrossRef]
- Alexander, L.E. X-ray Diffraction Methods in Polymer Science; Wiley-Interscience: New York, NY, USA, 1969. [Google Scholar]
- Zhao, D.; Huo, Q.; Feng, J.; Chmelka, B.F.; Stucky, G.D. Nonionic Triblock and Star Diblock Copolymer and Oligomeric Surfactant Syntheses of Highly Ordered, Hydrothermally Stable, Mesoporous Silica Structures. J. Am. Chem. Soc. 1998, 120, 6024–6036. [Google Scholar] [CrossRef]
- Xu, X.; Song, C.; Andrésen, J.M.; Miller, B.G.; Scaroni, A.W. Preparation and characterization of novel CO2 “molecular basket” adsorbents based on polymer-modified mesoporous molecular sieve MCM-41. Microporous Mesoporous Mater. 2003, 62, 29–45. [Google Scholar] [CrossRef]
- Son, W.-J.; Choi, J.-S.; Ahn, W.-S. Adsorptive removal of carbon dioxide using polyethyleneimine-loaded mesoporous silica materials. Microporous Mesoporous Mater. 2008, 113, 31–40. [Google Scholar] [CrossRef]
- Ruggerone, R.; Plummer, C.J.; Herrera, N.N.; Bourgeat-Lami, E.; Månson, J.-A.E. Highly filled polystyrene–laponite nanocomposites prepared by emulsion polymerization. Eur. Polym. J. 2009, 45, 621–629. [Google Scholar] [CrossRef]
- Antonioli, D.; Laus, M.; Sparnacci, K.; Deregibus, S.; Kapeliouchko, V.; Palamone, G.; Poggio, T.; Zuccheri, G.; Passeri, R. Thermal and DMA Characterization of PTFE-PMMA Nanocomposites from Core-Shell Nanoparticles. Macromol. Symp. 2010, 296, 197–202. [Google Scholar] [CrossRef]
- Antonioli, D.; Laus, M.; Zuccheri, G.; Kapeliouchko, V.; Righetti, M.C.; Boarino, L.; Sparnacci, K. Preparation and Properties of PTFE-PMMA Core-Shell Nanoparticles and Nanocomposites. J. Nanotechnol. 2012, 2012, 875815. [Google Scholar] [CrossRef]
- Saladino, M.; Motaung, T.; Luyt, A.; Spinella, A.; Nasillo, G.; Caponetti, E. The effect of silica nanoparticles on the morphology, mechanical properties and thermal degradation kinetics of PMMA. Polym. Degrad. Stab. 2011, 97, 452–459. [Google Scholar] [CrossRef]
- Nielsen, L.E.; Landel, R.W. Mechanical Properties of Polymers and Composite; Marcel Dekker: New York, NY, USA, 1994. [Google Scholar]
- Sabater i Serra, R.; Escobar Ivirico, J.L.; Meseguer Dueñas, J.M.; Andrio Balado, A.; Gómez Ribelles, J.L.; Salmerón Sánchez, M. Dielectric relaxation spectrum of poly(ε-caprolactone) networks hydrophilized by copolymerization with 2-hydroxyethyl acrylate. Eur. Phys. J. E 2007, 22, 293–302. [Google Scholar] [CrossRef] [PubMed]
- Cerrada, M.L.; Pereña, J.M.; Benavente, R.; Pérez, E. Viscoelastic processes in vinyl alcohol-ethylene copolymers. Influence of composition and thermal treatment. Polymer 2000, 41, 6655–6661. [Google Scholar] [CrossRef]
- Harrison, K.L.; Jenkins, M.J. The effect of crystallinity and water absorption on the dynamic mechanical relaxation behaviour of polycaprolactone. Polym. Int. 2004, 53, 1298–1304. [Google Scholar] [CrossRef]
- Nikolic, M.S.; Mitric, M.; Dapcevic, A.; Djonlagic, J. Viscoelastic properties of poly(ε-caprolactone)/clay nanocomposites in solid and in melt state. J. Appl. Polym. Sci. 2016, 133, 42896. [Google Scholar] [CrossRef]












| Sample | Average Silica Content (wt.%) | Inert Atmosphere | Oxidative Atmosphere | ||||
|---|---|---|---|---|---|---|---|
| T10% (°C) | Tmax (°C) | Silica (wt.%) | T10% (°C) | Tmax (°C) | Silica (wt.%) | ||
| PCL | 0 | 359.0 | 360.0 | 0 | 344.5 | 356.0 | 0 |
| PCLMCM2 | 1.9 | 360.5 | 355.0 | 1.9 | 333.0 | 359.5 | 1.8 |
| PCLMCM9 | 8.9 | 354.5 | 356.0 | 8.7 | 347.0 | 354.5 | 9.0 |
| PCLMCM12 | 12.5 | 352.5 | 354.5 | 12.6 | 349.0 | 356.5 | 12.4 |
| PCLSBA3 | 3.3 | 357.5 | 359.5 | 3.8 | 350.5 | 354.5 | 2.8 |
| PCLSBA6 | 6.0 | 358.0 | 359.5 | 6.0 | 353.0 | 357.5 | 6.0 |
| PCLSBA9 | 9.0 | 358.5 | 361.0 | 9.3 | 347.0 | 355.5 | 8.6 |
| Sample | Silica Content (wt.%) | Tg (°C) | Tm1 (°C) | fcm1NORM | Tc (°C) | fcCNORM | Tm2 (°C) | fcm2NORM |
|---|---|---|---|---|---|---|---|---|
| PCL | 0 | −64.5 | 59.0 | 0.51 | 27.5 | 0.42 | 55.5 | 0.42 |
| PCLMCM2 | 1.9 | −64.5 | 59.5 | 0.51 | 28.5 | 0.41 | 55.5 | 0.41 |
| PCLMCM9 | 8.9 | −64.5 | 59.5 | 0.48 | 28.5 | 0.37 | 56.0 | 0.37 |
| PCLMCM12 | 12.5 | −64.0 | 59.0 | 0.44 | 28.0 | 0.36 | 55.0 | 0.36 |
| PCLSBA3 | 3.3 | −64.5 | 58.5 | 0.50 | 30.5 | 0.41 | 55.0 | 0.41 |
| PCLSBA6 | 6.0 | −64.0 | 59.0 | 0.50 | 29.5 | 0.41 | 55.5 | 0.41 |
| PCLSBA9 | 9.0 | −64.0 | 59.0 | 0.51 | 29.0 | 0.40 | 55.5 | 0.40 |
| Sample | Silica Content (wt.%) | fcPCLWAXS | LPCLSAXS (nm) | lc (nm) |
|---|---|---|---|---|
| PCL | 0 | 0.57 | 17.1 | 9.7 |
| PCLMCM2 | 1.9 | 0.56 | 17.1 | 9.6 |
| PCLMCM9 | 8.9 | 0.53 | 17.6 | 9.3 |
| PCLMCM12 | 12.5 | 0.51 | 18.1 | 9.2 |
| PCLSBA3 | 3.3 | 0.56 | 17.6 | 9.8 |
| PCLSBA6 | 6.0 | 0.55 | 17.8 | 9.8 |
| PCLSBA9 | 9.0 | 0.55 | 18.1 | 10.0 |
| Sample | Silica Content (wt.%) | E′-100 (MPa) | E′-50 (MPa) | E′0 (MPa) | E′25 (MPa) | E′50 (MPa) |
|---|---|---|---|---|---|---|
| PCL | 0 | 2975 | 1545 | 415 | 285 | 145 |
| PCLMCM2 | 1.9 | 3850 | 2015 | 545 | 375 | 175 |
| PCLMCM9 | 8.9 | 3835 | 2185 | 685 | 485 | 240 |
| PCLMCM12 | 12.5 | 3900 | 2215 | 760 | 575 | 315 |
| PCLSBA3 | 3.3 | 4335 | 2335 | 710 | 500 | 270 |
| PCLSBA6 | 6.0 | 4765 | 2670 | 855 | 605 | 325 |
| PCLSBA9 | 9.0 | 5415 | 3105 | 1155 | 845 | 500 |
Publisher’s Note: MDPI stays neutral with regard to jurisdictional claims in published maps and institutional affiliations. |
© 2021 by the authors. Licensee MDPI, Basel, Switzerland. This article is an open access article distributed under the terms and conditions of the Creative Commons Attribution (CC BY) license (https://creativecommons.org/licenses/by/4.0/).
Share and Cite
Díez-Rodríguez, T.M.; Blázquez-Blázquez, E.; Antunes, N.L.C.; Ribeiro, M.d.R.; Pérez, E.; Cerrada, M.L. Confinement in Extruded Nanocomposites Based on PCL and Mesoporous Silicas: Effect of Pore Sizes and Their Influence in Ultimate Mechanical Response. J. Compos. Sci. 2021, 5, 321. https://doi.org/10.3390/jcs5120321
Díez-Rodríguez TM, Blázquez-Blázquez E, Antunes NLC, Ribeiro MdR, Pérez E, Cerrada ML. Confinement in Extruded Nanocomposites Based on PCL and Mesoporous Silicas: Effect of Pore Sizes and Their Influence in Ultimate Mechanical Response. Journal of Composites Science. 2021; 5(12):321. https://doi.org/10.3390/jcs5120321
Chicago/Turabian StyleDíez-Rodríguez, Tamara M., Enrique Blázquez-Blázquez, Nadine L. C. Antunes, Maria do Rosário Ribeiro, Ernesto Pérez, and María L. Cerrada. 2021. "Confinement in Extruded Nanocomposites Based on PCL and Mesoporous Silicas: Effect of Pore Sizes and Their Influence in Ultimate Mechanical Response" Journal of Composites Science 5, no. 12: 321. https://doi.org/10.3390/jcs5120321
APA StyleDíez-Rodríguez, T. M., Blázquez-Blázquez, E., Antunes, N. L. C., Ribeiro, M. d. R., Pérez, E., & Cerrada, M. L. (2021). Confinement in Extruded Nanocomposites Based on PCL and Mesoporous Silicas: Effect of Pore Sizes and Their Influence in Ultimate Mechanical Response. Journal of Composites Science, 5(12), 321. https://doi.org/10.3390/jcs5120321

