A Study on Powder Spreading Quality in Powder Bed Fusion Processes Using Discrete Element Method Simulation
Abstract
1. Introduction
2. Materials and Methods
2.1. State-of-the-Art in Modelling of Powder Spreading
2.1.1. Critical Timestep and Simulation Time
2.1.2. Particle Cohesion/Adhesion Models
Hertz–Mindlin with JKR Model
Tabor Parameter and Model Applicability
2.2. Simulation Setup
2.2.1. The Simulation Software Platform
2.2.2. Powder Modelling
Material Properties Modelling
Particle Size Distribution
| (14) | |
| (15) | |
| (16) |
Contact Model Selection
Parametrization of Cohesive Forces
2.2.3. Experimental Validation
2.2.4. Simulation Geometry and Kinematics
2.3. Surface Evaluation and Quality Criteria
2.3.1. Actual to Theoretical Layer Thickness Deviation
2.3.2. Surface Coverage Ratio
2.3.3. Root-Mean-Square Surface Roughness
2.3.4. True Packing Density
3. Results
3.1. Design of Experiments
- Translational speed of the doctor blade along the deposition () axis (), examined at three levels: 0.01 m/s, 0.05 m/s, 0.1 m/s. These levels were selected according to the current industrial SLS/SLM machines’ powder deposition speed standards. These were validated in both the prototype SLS/SLM powder deposition system designed [1,42] as well as via the industrial SLM machine of the Laboratory of Manufacturing Engineering of the School of Mechanical Engineering of NTUA (Z-rapid iSLM280, ZRapid, Suzhou, China).
- Vibrational frequency of the doctor blade along the vertical () axis (), examined at three levels: 500 Hz, 1000 Hz, 2000 Hz. The frequencies selected were relatively low compared to, say, ultrasound frequencies to maintain a reasonably high simulation timestep. Furthermore, the simulations seek to examine whether a low-frequency-vibrating doctor blade benefits powder spreading compared to vibration-less deposition, which is the common powder deposition method encountered in the industry. Preliminary testing of vibration-less doctor blade powder deposition examined the deposited layer’s quality for a flat doctor blade at two different translational speed levels, i.e., 0.08 m/s, typical of commercial machines (see Figure 10a) and 0.01 m/s (see Figure 10b). The cross-check between vibration-less and oscillating recoater deposition proved that vibration enhances the homogeneity and evenness of the deposited layer.
- Vibrational amplitude of the doctor blade along the vertical () axis (), examined at three levels: 1 μm, 2.5 μm, 5 μm. The amplitude values were selected in such a way that they are equal or less to the minimum particle diameter (5 μm), thus making it impossible for powder particles to escape behind the doctor blade via the gap between the doctor blade and the back border plate.
- Angle of relief of the doctor blade (), examined at three levels: 0°, 5°, 10°. The geometry of the doctor blade is a quasi-cubic 3D shape with a 1 mm side (see Figure 11). The feature differentiating it from a cube is its angle of relief, beginning after a 100 μm horizontal flat area, implemented to enhance the vibration’s powder compaction effect. Had this horizontal area not existed in the 5- and 10-degree doctor blades, negligible powder compaction would have been achieved via the blade’s edge. Furthermore, this would render the simulation non-realistic since no sharpened blades are used for powder deposition. The size of this feature (100 μm) was selected to be 25 μm larger than the largest particle diameter (75 μm).
3.2. Shear Modulus Sensitivity
3.3. ANOVA Results and Discussion
3.3.1. Layer Thickness Deviation
3.3.2. Surface Coverage Ratio
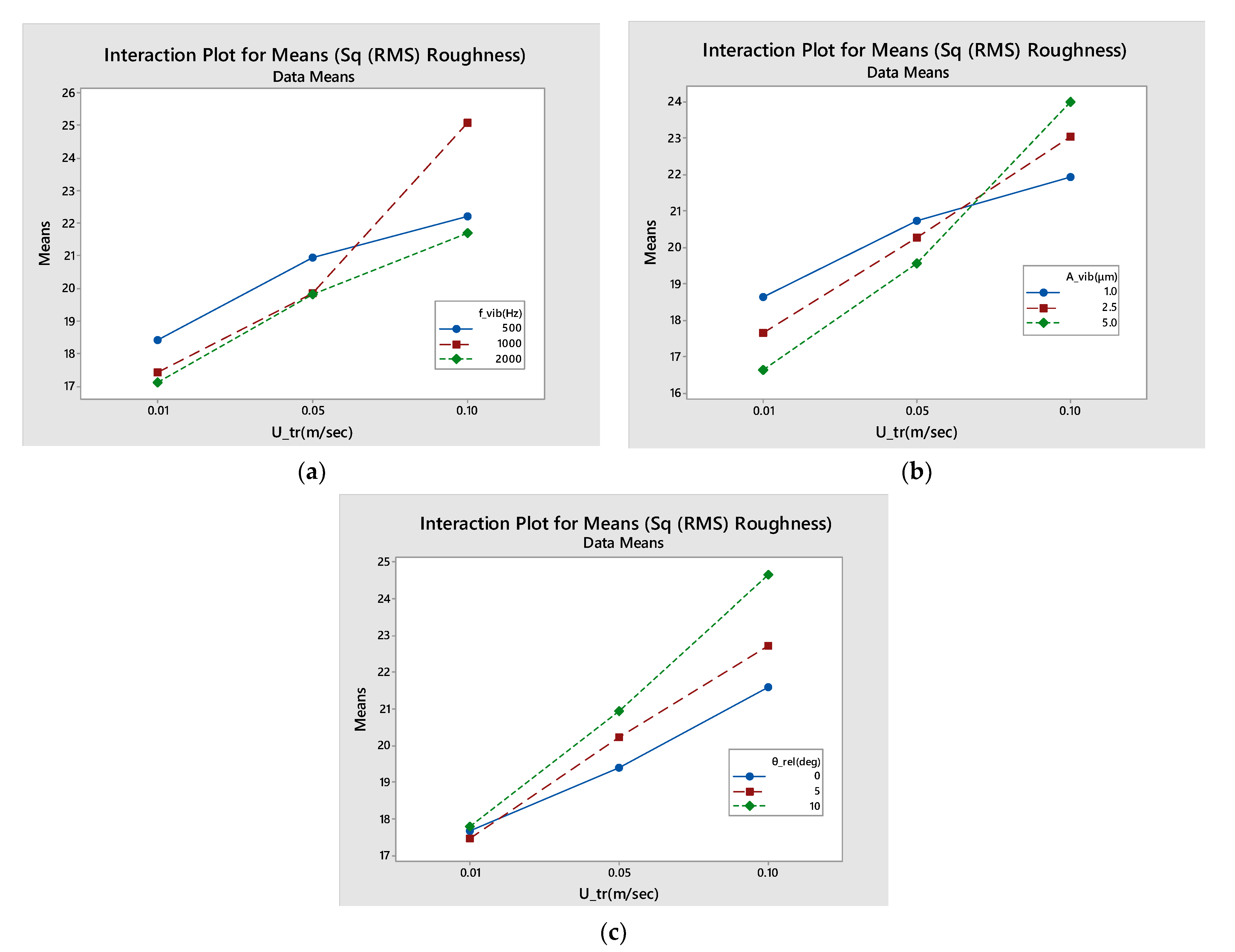
3.3.3. RMS Surface Roughness
4. Discussion
Process Parameter Optimization
5. Conclusions
- A method is presented for connecting D10, D50 and D90 of a powder to specific lognormal distribution parameters to accurately define the particle size distribution.
- Different ways of maximizing the timestep were exploited to minimize the computational time without affecting the validity of the results.
- The powder cohesion is parametrized to achieve realistic behavior of the powder.
- An appropriate contact model is selected based on powder characteristics.
Author Contributions
Funding
Data Availability Statement
Conflicts of Interest
Appendix A
| Source | DoF | SeqSS | Contribution | Adj SS | Adj MS | F-Value | p- Value |
|---|---|---|---|---|---|---|---|
| Regression | 7 | 1182.59 | 94.68% | 1182.59 | 168.941 | 48.33 | 0.000 |
| Utr (m/s) | 1 | 1092.82 | 87.49% | 65.78 | 65.783 | 18.82 | 0.000 |
| fvib(Hz) | 1 | 4.51 | 0.36% | 14.28 | 14.284 | 4.09 | 0.058 |
| Avib (μm) | 1 | 71.25 | 5.70% | 37.67 | 37.668 | 10.78 | 0.004 |
| θrel (deg) | 1 | 1.56 | 0.12% | 0.65 | 0.653 | 0.19 | 0.670 |
| Utr (m/s)*fvib (Hz) | 1 | 9.77 | 0.78% | 9.77 | 9.772 | 2.80 | 0.111 |
| Utr (m/s)*Avib (μm) | 1 | 2.66 | 0.21% | 2.66 | 2.659 | 0.76 | 0.394 |
| Utr (m/s)*θrel(deg) | 1 | 0.01 | 0.00% | 0.01 | 0.014 | 0.00 | 0.950 |
| Error | 19 | 66.42 | 5.32% | 66.42 | 3.496 | ||
| Total | 26 | 1249.01 | 100.00% |
| Source | DoF | Seq SS | Contribution | Adj SS | Adj MS | F-Value | p- Value |
|---|---|---|---|---|---|---|---|
| Regression | 7 | 264.644 | 84.48% | 264.644 | 378.063 | 14.77 | 0.000 |
| Utr (m/s) | 1 | 245.720 | 78.44% | 13.689 | 136.885 | 5.35 | 0.032 |
| fvib(Hz) | 1 | 0.3201 | 1.02% | 0.0051 | 0.00512 | 0.02 | 0.889 |
| Avib (μm) | 1 | 0.0581 | 0.19% | 0.6210 | 0.62098 | 2.43 | 0.136 |
| θrel (deg) | 1 | 0.5000 | 1.60% | 0.0021 | 0.00213 | 0.01 | 0.928 |
| Utr (m/s)*fvib (Hz) | 1 | 0.0922 | 0.29% | 0.0922 | 0.09218 | 0.36 | 0.556 |
| Utr (m/s)*Avib (μm) | 1 | 0.6259 | 2.00% | 0.6259 | 0.62591 | 2.45 | 0.134 |
| Utr (m/s)*θrel(deg) | 1 | 0.2961 | 0.95% | 0.2961 | 0.29611 | 1.16 | 0.296 |
| Error | 19 | 48.630 | 15.52% | 48.630 | 0.25595 | ||
| Total | 26 | 313.274 | 100.00% |
| Source | DoF | Seq SS | Contribution | Adj SS | Adj MS | F-Value | p- Value |
|---|---|---|---|---|---|---|---|
| Regression | 7 | 166.032 | 84.33% | 166.032 | 237.188 | 14.60 | 0.000 |
| Utr (m/s) | 1 | 129.530 | 65.79% | 0.514 | 0.5136 | 0.32 | 0.580 |
| fvib(Hz) | 1 | 5.696 | 2.89% | 1.853 | 18.529 | 1.14 | 0.299 |
| Avib (μm) | 1 | 0.632 | 0.32% | 11.329 | 113.287 | 6.97 | 0.016 |
| θrel (deg) | 1 | 11.045 | 5.61% | 0.050 | 0.0504 | 0.03 | 0.862 |
| Utr (m/s)*fvib (Hz) | 1 | 0.000 | 0.00% | 0.000 | 0.0000 | 0.00 | 0.996 |
| Utr (m/s)*Avib (μm) | 1 | 12.539 | 6.37% | 12.539 | 125.390 | 7.72 | 0.012 |
| Utr (m/s)*θrel(deg) | 1 | 6.590 | 3.35% | 6.590 | 65.902 | 4.06 | 0.058 |
| Error | 19 | 30.860 | 15.67% | 30.860 | 16.242 | ||
| Total | 26 | 196.892 | 100.00% |
| Source | DoF | Seq SS | Contribution | Adj SS | Adj MS | F-Value | p- Value |
|---|---|---|---|---|---|---|---|
| Regression | 7 | 314.077 | 90.74% | 314.077 | 0.448681 | 26.61 | 0.000 |
| Utr (m/s) | 1 | 238.472 | 68.90% | 0.00401 | 0.004008 | 0.24 | 0.631 |
| fvib(Hz) | 1 | 0.16578 | 4.79% | 0.29422 | 0.294217 | 17.45 | 0.001 |
| Avib (μm) | 1 | 0.09149 | 2.64% | 0.33803 | 0.338033 | 20.05 | 0.000 |
| θrel (deg) | 1 | 0.09188 | 2.65% | 0.01437 | 0.014371 | 0.85 | 0.367 |
| Utr (m/s)*fvib (Hz) | 1 | 0.15900 | 4.59% | 0.14302 | 0.143016 | 8.48 | 0.009 |
| Utr (m/s)*Avib (μm) | 1 | 0.14879 | 4.30% | 0.14879 | 0.148786 | 8.82 | 0.008 |
| Utr (m/s)*θrel(deg) | 1 | 0.09911 | 2.86% | 0.09911 | 0.099110 | 5.88 | 0.025 |
| Error | 19 | 0.32040 | 9.26% | 0.32040 | 0.016863 | ||
| Total | 26 | 346.117 | 100.00% |
| Source | DoF | Seq SS | Contribution | Adj SS | Adj MS | F-Value | p- Value |
|---|---|---|---|---|---|---|---|
| Regression | 7 | 301.817 | 91.23% | 301.817 | 43.117 | 28.25 | 0.000 |
| Utr (m/s) | 1 | 243.774 | 73.69% | 0.4860 | 0.4860 | 3.18 | 0.090 |
| fvib(Hz) | 1 | 11.329 | 3.42% | 14.524 | 14.524 | 9.52 | 0.006 |
| Avib (μm) | 1 | 20.368 | 6.16% | 34.737 | 34.737 | 22.76 | 0.000 |
| θrel (deg) | 1 | 0.1624 | 0.49% | 0.3852 | 0.3852 | 2.52 | 0.129 |
| Utr (m/s)*fvib (Hz) | 1 | 0.6266 | 1.89% | 0.5332 | 0.5332 | 3.49 | 0.077 |
| Utr (m/s)*Avib (μm) | 1 | 0.9391 | 2.84% | 0.9391 | 0.9391 | 6.15 | 0.023 |
| Avib (μm)*θrel(deg) | 1 | 0.9064 | 2.74% | 0.9064 | 0.9064 | 5.94 | 0.025 |
| Error | 19 | 28.999 | 8.77% | 28.999 | 0.1526 | ||
| Total | 26 | 330.816 | 100.00% |
Appendix B
| Context | Description/Definition | Symbol/ Abbreviation | Unit | Equations | Tables |
|---|---|---|---|---|---|
| General | Additive manufacturing | AM | - | - | - |
| Selective Laser Sintering/Selective Laser Melting | SLS/SLM | - | - | - | |
| Powder Bed Fusion | PBF | - | - | - | |
| Powder deposition system | PDS | - | - | - | |
| Analytic Hierarchy Process | AHP | - | - | - | |
| Discrete Element Method/Modelling | DEM | - | - | - | |
| Design of Experiments | DoE | - | - | - | |
| Analysis of Variance | ANOVA | - | - | (Table A1, Table A2, Table A3, Table A4 and Table A5) | |
| Particle size distribution | PSD | - | - | (Table 2) | |
| Hertz–Mindlin with JKR contact model | JKR | - | - | (Table 1), (Table 4) | |
| Derjaguin–Muller–Toporov contact model | DMT | - | - | (Table 1) | |
| Bradley–Derjaguin contact model | BD | - | (10) | (Table 1), (Table 4) | |
| Maugis–Dugdale analytical contact model | MD | - | - | (Table 1) | |
| Layer thickness deviation | LTD | μm | (22) | (Table 6, Table 7, Table 8, Table 9 and Table 10) | |
| Surface coverage ratio | SCR | (%) | (24) | (Table 6, Table 7, Table 8, Table 9 and Table 10) | |
| Root-mean-square surficial areal roughness | Sq-RMS | μm | (25), (27), (29), (30) | (Table 6, Table 7, Table 8, Table 9 and Table 10) | |
| Arithmetical Areal Surficial Mean Height | Sa | μm | (28) | (Table 6) | |
| Areal Surficial Skewness | Ssk | - | (29), (35) | (Table 6, Table 9 and Table 10) | |
| Areal Surficial Kurtosis | Sku | - | (30), (36) | (Table 6, Table 9 and Table 10) | |
| True packing density | PDtr (PD) | (%) | (31), (32) | (Table 6 and Table 7) | |
| Theoretical packing density | PDth | (%) | - | - | |
| Layer | Real layer height/thickness | hl | μm | (22), (23) | - |
| Theoretical layer height/thickness | hl,th | μm | (22) | - | |
| Material properties | Shear modulus | G | Pa | (1) | (Table 3 and Table 7) |
| Young’s modulus | E | Pa | (18), (21) | (Table 3 and Table 4) | |
| Poisson ratio | v | - | (2), (18), (21) | (Table 3 and Table 7) | |
| Powder bulk density | ρ | kg/m3 | (1), (32) | (Table 2 and Table 7) | |
| Coefficient of restitution of materials A–B | cr,A-B | - | - | - | |
| Coefficient of rolling friction of materials A–B | crf,A-B | - | - | - | |
| Coefficient of static friction of materials A–B | csf,A-B | - | - | - | |
| Equilibrium separation in Lennard–Jones potential | (8), (10) | (Table 3) | |||
| Particle size and distribution | Particle diameter distribution percentile (X%) | DX | μm | (14)–(16) | (Table 2) |
| Lognormal distribution’s mean | μm | (11), (12) | - | ||
| Lognormal distribution’s standard deviation | μm | (12) | - | ||
| Cumulative lognormal distribution function | - | (13)–(16) | - | ||
| Particle contact model | Effective Young’s modulus of contacting particles | E* | Pa | (5)–(8), (18) | (Table 3) |
| Effective radius at the point of interparticle contact | R* | m | (4)–(8), (10), (17), (20) | (Table 3 and Table 4) | |
| Work of adhesion | Γ | J/m2 | (4), (6)–(10), (20), (21) | (Table 3 and Table 4) | |
| Contact patch radius | α | μm | (6), (7) | - | |
| Relative particle approach | δn | μm | (3), (7), (10) | - | |
| Relative particle approach at tear-off point | δto | μm | (3), (5), (19), (21) | (Table 3 and Table 4) | |
| Normal force of particles in contact (JKR model) | N | (3), (6) | - | ||
| Pull-off force of particles in contact (JKR model) | N | (3), (4) | - | ||
| Pull-off force | Fpo | N | (5), (20) | (Table 4) | |
| Tabor’s parameter | μ | - | (8) | (Table 1, Table 3 and Table 4) | |
| Tensile load | T | N | (10) | - | |
| Simulation | Minimum particle radius in simulation | rmin | μm | (1) | (Table 7) |
| Rayleigh critical timestep | Δtc | nsec | (1) | (Table 7) | |
| Physical radius | Rparticle | μm | (19) | - | |
| Contact radius | Rc,EDEM | μm | (19) | - | |
| Average particle radius (lognormal normalization) | Rave | μm | - | (Table 3) | |
| Taguchi-DoE | Translational deposition speed of the doctor blade | utr | m/sec | (35), (36) | (Table 6, Table 8, Table 9 and Table 10) |
| Vertical vibrational frequency of the doctor blade | fvib | Hz | (35), (36) | (Table 6, Table 8, Table 9 and Table 10) | |
| Vertical vibrational amplitude of the doctor blade | Avib | μm | (35), (36) | (Table 6, Table 8, Table 9 and Table 10) | |
| Angle of relief of the doctor blade | θrel | deg. | (35), (36) | (Table 6, Table 8, Table 9 and Table 10) |
References
- Avrampos, P.; Vosniakos, G.-C. A prototype powder deposition system for an open Selective Laser Sintering machine. Procedia Manuf. 2020, 51, 755–762. [Google Scholar] [CrossRef]
- Avrampos, P. Optimized Development of a Prototype Selective Laser Sintering Powder Recoating System via Analytic Hierarchy Process. Int. J. Exp. Des. Process Optim. 2023, in press. [Google Scholar] [CrossRef]
- Haeri, S.; Wang, Y.; Ghita, O.; Sun, J. Discrete element simulation and experimental study of powder spreading process in additive manufacturing. Powder Technol. 2017, 306, 45–54. [Google Scholar] [CrossRef]
- Budding, A.; Vaneker, T.H.J. New Strategies for Powder Compaction in Powder-based Rapid Prototyping Techniques. Procedia CIRP 2013, 6, 527–532. [Google Scholar] [CrossRef]
- Haeri, S. Optimisation of blade type spreaders for powder bed preparation in Additive Manufacturing using DEM simulations. Powder Technol. 2017, 321, 94–104. [Google Scholar] [CrossRef]
- Shamsdini, S.; Ghoncheh, M.H.; Mohammadi, M. Effect of recoater-blade type on the mechanical properties and microstructure of additively manufactured maraging steels. Mater. Sci. Eng. A 2021, 812, 141104. [Google Scholar] [CrossRef]
- Zhang, J.; Tan, Y.; Bao, T.; Xu, Y.; Xiao, X.; Jiang, S. Discrete Element Simulation of the Effect of Roller-Spreading Parameters on Powder-Bed Density in Additive Manufacturing. Materials 2020, 13, 2285. [Google Scholar] [CrossRef]
- Avrampos, P.; Vosniakos, G.-C. A review of powder deposition in additive manufacturing by powder bed fusion. J. Manuf. Process. 2022, 74, 332–352. [Google Scholar] [CrossRef]
- Spierings, A.B.; Herres, N.; Levy, G. Influence of the particle size distribution on surface quality and mechanical properties in AM steel parts. Rapid Prototyp. J. 2011, 17, 195–202. [Google Scholar] [CrossRef]
- Leicht, A.; Fischer, M.; Klement, U.; Nyborg, L.; Hryha, E. Increasing the Productivity of Laser Powder Bed Fusion for Stainless Steel 316L through Increased Layer Thickness. J. Mater. Eng. Perform. 2021, 30, 575–584. [Google Scholar] [CrossRef]
- Ziegelmeier, S.; Christou, P.; Wöllecke, F.; Tuck, C.; Goodridge, R.; Hague, R.; Krampe, E.; Wintermantel, E. An experimental study into the effects of bulk and flow behaviour of laser sintering polymer powders on resulting part properties. J. Mater. Process. Technol. 2015, 215, 239–250. [Google Scholar] [CrossRef]
- Tan, P.; Shen, F.; Tey, W.S.; Zhou, K. A numerical study on the packing quality of fibre/polymer composite powder for powder bed fusion additive manufacturing. Virtual Phys. Prototyp. 2021, 16 (Suppl. S1), S1–S18. [Google Scholar] [CrossRef]
- Wang, L.; Yu, A.; Li, E.; Shen, H.; Zhou, Z. Effects of spreader geometry on powder spreading process in powder bed additive manufacturing. Powder Technol. 2021, 384, 211–222. [Google Scholar] [CrossRef]
- Burns, S.J.; Piiroinen, P.T.; Hanley, K.J. Critical time step for DEM simulations of dynamic systems using a Hertzian contact model. Int. J. Numer. Methods Eng. 2019, 119, 432–451. [Google Scholar] [CrossRef]
- Kremmer, M.; Favier, J.F. A method for representing boundaries in discrete element modelling—Part II: Kinematics. Int. J. Numer. Methods Eng. 2001, 51, 1423–1436. [Google Scholar] [CrossRef]
- Kafui, K.D.; Thornton, C.; Adams, M.J. Discrete particle-continuum fluid modelling of gas–solid fluidised beds. Chem. Eng. Sci. 2002, 57, 2395–2410. [Google Scholar] [CrossRef]
- Thornton, C.; Randall, C.W. Applications of Theoretical Contact Mechanics to Solid Particle System Simulation. In Micromechanics of Granular Materials, Proceedings of the U.S./Japan Seminar on the Micromechanics of Granular Materials, Sendai, Japan, 26–30 October 1987; Satake, M., Jenkins, J.T., Eds.; Elsevier: Amsterdam, The Netherlands, 1988; Volume 20, pp. 133–142. [Google Scholar] [CrossRef]
- Li, Y.; Xu, Y.; Thornton, C. A comparison of discrete element simulations and experiments for ‘sandpiles’ composed of spherical particles. Powder Technol. 2005, 160, 219–228. [Google Scholar] [CrossRef]
- Bauccio, M. ASM Engineered Materials Reference Book, 2nd ed.; ASM International: Novelty, OH, USA, 1994. [Google Scholar]
- AZO Materials. Alumina as a Biomaterial (99.5% Alumina). Available online: https://www.azom.com/properties.aspx?ArticleID=105 (accessed on 15 November 2023).
- AZO Materials. Alumina—Aluminium Oxide—Al2O3—A Refractory Ceramic Oxide. Available online: https://www.azom.com/properties.aspx?ArticleID=52 (accessed on 28 November 2023).
- Chen, H.; Xiao, Y.G.; Liu, Y.L.; Shi, Y.S. Effect of Young’s modulus on DEM results regarding transverse mixing of particles within a rotating drum. Powder Technol. 2017, 318, 507–517. [Google Scholar] [CrossRef]
- Thornton, C. Granular Dynamics, Contact Mechanics and Particle System Simulations; Springer International Publishing: Cham, Switzerland, 2015; Volume 24. [Google Scholar] [CrossRef]
- Johnson, K.L.; Kendall, K.; Roberts, A.D. Surface energy and the contact of elastic solids. Proc. R. Soc. Lond. A Math. Phys. Sci. 1971, 324, 301–313. [Google Scholar] [CrossRef]
- Derjaguin, B.V.; Muller, V.M.; Toporov, Y. Effect of contact deformations on the adhesion of particles. J. Colloid Interface Sci. 1975, 53, 314–326. [Google Scholar] [CrossRef]
- Greenwood, J.A. Adhesion of Elastic Spheres. Proc. Math. Phys. Eng. Sci. 1997, 453, 1277–1297. [Google Scholar] [CrossRef]
- Maugis, D. Adhesion of spheres: The JKR-DMT transition using a dugdale model. J. Colloid Interface Sci. 1992, 150, 243–269. [Google Scholar] [CrossRef]
- Edem, A. The Hertz-Mindlin with JKR Version 2 Model. Available online: https://2022.help.altair.com/2022.2/EDEM/Creator/Physics/Base_Models/Hertz-Mindlin_with_JKR_V2.htm (accessed on 27 March 2024).
- Grierson, D.S.; Flater, E.E.; Carpic, R.W.K. Accounting for the JKR–DMT transition in adhesion and friction measurements with atomic force microscopy. J. Adhes. Sci. Technol. 2005, 19, 291–311. [Google Scholar] [CrossRef]
- Shi, X.; Zhao, Y.-P. Comparison of various adhesion contact theories and the influence of dimensionless load parameter. J. Adhes. Sci. Technol. 2004, 18, 55–68. [Google Scholar] [CrossRef]
- Mukherjee, R.; Gupta, V.; Naik, S.; Sarkar, S.; Sharma, V.; Peri, P.; Chaudhuri, B. Effects of particle size on the triboelectrification phenomenon in pharmaceutical excipients: Experiments and multi-scale modeling. Asian J. Pharm. Sci. 2016, 11, 603–617. [Google Scholar] [CrossRef]
- Ose, S. Dusting of Alumina and Electrostatic Charging. Part. Sci. Technol. 2003, 21, 237–245. [Google Scholar] [CrossRef]
- Tavakoli, A.H.; Maram, P.S.; Widgeon, S.J.; Rufner, J.; van Benthem, K.; Ushakov, S.; Sen, S.; Navrotsky, A. Amorphous Alumina Nanoparticles: Structure, Surface Energy, and Thermodynamic Phase Stability. J. Phys. Chem. C 2013, 117, 17123–17130. [Google Scholar] [CrossRef]
- Vollath, D.; Fischer, F.D.; Holec, D. Surface energy of nanoparticles—Influence of particle size and structure. Beilstein J. Nanotechnol. 2018, 9, 2265–2276. [Google Scholar] [CrossRef] [PubMed]
- Tepesch, P.D.; Quong, A.A. First-Principles Calculations of α-Alumina (0001) Surfaces Energies with and without Hydrogen. Phys. Status Solidi 2000, 217, 377–387. [Google Scholar] [CrossRef]
- Vilfan, I.; Deutsch, T.; Lançon, F.; Renaud, G. Erratum to: ‘Structure determination of the (3×3) reconstructed α-Al2O3(0001)’ [Surf. Sci. 505 (2002) L215]. Surf. Sci. 2003, 529, 281. [Google Scholar] [CrossRef]
- ASTM D6773-16; Standard Shear Test Method for Bulk Solids Using the Schulze Ring Shear Tester. ASTM International: West Conshohocken, PA, USA, 2008. [CrossRef]
- Tahir, A.; Rasche, S.; Könke, C. Discrete element model development of ZTA ceramic granular powder using micro computed tomography. Adv. Powder Technol. 2018, 29, 3471–3482. [Google Scholar] [CrossRef]
- Schiller, L.; Naumann, A. A Drag Coefficient Correlation. Z. Ver. Dtsch. Ingenieure 1935, 77, 318–320. [Google Scholar]
- Karunarathne, S.S.; Tokheim, L.-A. Comparison of the influence of drag models in CFD simulation of particle mixing and segregation in a rotating cylinder. In Proceedings of the 58th Conference on Simulation and Modelling (SIMS 58), Reykjavik, Iceland, 25–27 September 2017; pp. 151–156. [Google Scholar] [CrossRef]
- AZO Materials. Stainless Steel—Grade 304 (UNS S30400). 2023. Available online: https://www.azom.com/properties.aspx?ArticleID=965 (accessed on 27 December 2023).
- Pasalopoulos, S.; Avrampos, P.; Vosniakos, G.-C. Surface quality evaluation of non-sintered powder layers in Selective Laser Sintering by 3D scanning. Procedia Manuf. 2020, 51, 748–754. [Google Scholar] [CrossRef]
- Taylor, S.; Forrest, E.C.; Jared, B.H. Investigating Applicability of Surface Roughness Parameters in Describing the Metallic Additive Manufacturing Process. In Proceedings of the Solid Freeform Fabrication Symposium, Austin, TX, USA, 11–14 August 2019; Available online: https://www.osti.gov/biblio/1641526 (accessed on 9 May 2024).
- Michigan Metrology LLC. Ssk (Skewness) and Sku (Kurtosis). 2023. Available online: https://michmet.com/glossary-term/kurtosis/ (accessed on 22 December 2023).
- OLYMPUS-IMS-EVIDENT. Surface Roughness Measurement—Parameters. 2023. Available online: https://www.olympus-ims.com/en/metrology/surface-roughness-measurement-portal/parameters/ (accessed on 23 December 2023).
- Ziri, S.; Hor, A.; Mabru, C. Effect of powder size and processing parameters on surface, density and mechanical properties of 316L elaborated by Laser Powder Bed Fusion. In Proceedings of the ESAFORM 2021 24th International Conference on Material Forming, Liege, Belgium, 14–16 April 2021. [Google Scholar] [CrossRef]
- Fouda, Y.M.; Bayly, A.E. A DEM study of powder spreading in additive layer manufacturing. Granul. Matter 2020, 22, 10. [Google Scholar] [CrossRef]
- Wu, S.; Yang, Y.; Huang, Y.; Han, C.; Chen, J.; Xiao, Y.; Li, Y.; Wang, D. Study on powder particle behavior in powder spreading with discrete element method and its critical implications for binder jetting additive manufacturing processes. Virtual Phys. Prototyp. 2023, 18, e2158877. [Google Scholar] [CrossRef]
- Roy, R. A Primer on the Taguchi Method, 1st ed.; Society of Manufacturing Engineers: New York, NY, USA, 1990. Available online: https://catalogue.nla.gov.au/Record/1852247 (accessed on 21 April 2024).
- Nasato, D.S.; Briesen, H.; Pöschel, T. Influence of vibrating recoating mechanism for the deposition of powders in additive manufacturing: Discrete element simulations of polyamide 12. Addit. Manuf. 2021, 48, 102248. [Google Scholar] [CrossRef]





















| JKR [24] | DMT [25] | BD [26] | MD [27] | |
|---|---|---|---|---|
| Thornton [23] | μ > 5 | μ < 0.1 | Not mentioned | 0.1 ≤ μ ≤ 5 |
| Shi [30] | μ ≥ 5 | μ ≤ 0.1 | Not mentioned | Any μ |
| Greenwood [26] | μ ≥ 3 | Wrong in theory and in practice | Any μ | Any μ |
| Item | Unit | Typical Value | |
|---|---|---|---|
| Particle size | D10 | μm | 8.2 |
| D50 | μm | 21 | |
| D90 | μm | 47.5 | |
| Specific Surface Area (S.S.A.) | m2/g | 0.19 | |
| Electrical Conductivity (E.C.) | μs/cm | 300 | |
| pH | - | 8.5 | |
| Moisture | % | 0.05 | |
| True Density | g/cm3 | 3.8 | |
| Spheroidization | % | 96 | |
| Chemical Composition | Al2O3 | % | 99.5 |
| Fe2O3 | ppm | 300 | |
| Na2O | ppm | 3500 | |
| Ion content | Na+ | ppm | 400 |
| 1 × 107 | 3.2 × 107 | 1.76 × 107 | ||||||||
| 1.5 × 108 | 4.8 × 108 | 2.64 × 108 | 0.239 | |||||||
| 1.29 × 1011 | 4.13 × 1011 | 2.27 × 1011 |
| REAL-WORLD PARTICLES | SIMULATION PARTICLES | |
|---|---|---|
| Young’s modulus | ↑ (less elasticity) | ↓ (more elasticity) |
| Tabor’s parameter | <5 (less elasticity) | >100 (more elasticity) |
| Suitable model for | Bradley (more cohesion) | JKR (less cohesion) |
| Relative approach to bond breakage | 3 nm (less cohesion) | 1451 nm (more cohesion) |
| 1 | 1.39 × 10−5 | −0.0001 | −0.00017 | 0.000507 |
| 3 | 1.98 × 10−5 | −0.00038 | −0.0002 | 0.000531 |
| 20,609 | 3.51 × 10−5 | −0.00013 | −0.00035 | 0.000531 |
| # | ||||||||||||
|---|---|---|---|---|---|---|---|---|---|---|---|---|
| 1 | 0.01 | 500 | 1.0 | 0 | −29.0 | 29.0 | 98.9 | 19.9 | 68.4 | 15.5 | −0.672 | 3.889 |
| 2 | 0.01 | 500 | 2.5 | 5 | −26.0 | 26.0 | 99.1 | 17.9 | 68.0 | 13.6 | −0.906 | 4.852 |
| 3 | 0.01 | 500 | 5.0 | 10 | −21.2 | 21.2 | 99.3 | 17.4 | 67.1 | 13.0 | −1.179 | 5.572 |
| 4 | 0.01 | 1000 | 1.0 | 5 | −26.7 | 26.7 | 99.1 | 18.1 | 67.6 | 13.8 | −0.956 | 4.741 |
| 5 | 0.01 | 1000 | 2.5 | 10 | −24.3 | 24.3 | 99.0 | 18.0 | 67.4 | 13.5 | −1.351 | 5.626 |
| 6 | 0.01 | 1000 | 5.0 | 0 | −22.2 | 22.2 | 99.3 | 16.1 | 68.0 | 12.1 | −1.515 | 6.403 |
| 7 | 0.01 | 2000 | 1.0 | 10 | −23.8 | 23.8 | 99.0 | 17.9 | 67.0 | 13.6 | −1.338 | 5.570 |
| 8 | 0.01 | 2000 | 2.5 | 0 | −23.0 | 23.0 | 99.1 | 17.0 | 67.8 | 12.8 | −1.503 | 6.075 |
| 9 | 0.01 | 2000 | 5.0 | 5 | −21.5 | 21.5 | 99.3 | 16.4 | 67.8 | 12.3 | −1.431 | 6.232 |
| 10 | 0.05 | 500 | 1.0 | 5 | −36.6 | 36.6 | 97.7 | 21.6 | 67.2 | 17.0 | −0.685 | 3.347 |
| 11 | 0.05 | 500 | 2.5 | 10 | −34.9 | 34.9 | 97.7 | 22.4 | 66.8 | 17.6 | −0.577 | 3.362 |
| 12 | 0.05 | 500 | 5.0 | 0 | −31.7 | 31.7 | 98.6 | 18.8 | 67.5 | 14.6 | −1.042 | 4.358 |
| 13 | 0.05 | 1000 | 1.0 | 10 | −36.9 | 36.9 | 97.9 | 20.4 | 66.8 | 16.1 | −0.811 | 3.602 |
| 14 | 0.05 | 1000 | 2.5 | 0 | −33.8 | 33.8 | 98.5 | 19.2 | 67.0 | 15.0 | −0.926 | 3.993 |
| 15 | 0.05 | 1000 | 5.0 | 5 | −32.1 | 32.1 | 98.4 | 19.9 | 67.1 | 15.5 | −0.898 | 3.993 |
| 16 | 0.05 | 2000 | 1.0 | 0 | −35.0 | 35.0 | 98.1 | 20.2 | 67.1 | 15.9 | −0.869 | 3.698 |
| 17 | 0.05 | 2000 | 2.5 | 5 | −32.4 | 32.4 | 98.6 | 19.2 | 67.1 | 14.9 | −0.962 | 4.116 |
| 18 | 0.05 | 2000 | 5.0 | 10 | −32.2 | 32.2 | 98.5 | 20.0 | 67.1 | 15.5 | −0.815 | 3.956 |
| 19 | 0.10 | 500 | 1.0 | 10 | −40.8 | 40.8 | 97.0 | 22.8 | 67.3 | 18.2 | −0.399 | 3.051 |
| 20 | 0.10 | 500 | 2.5 | 0 | −41.2 | 41.2 | 96.9 | 21.8 | 67.9 | 17.4 | −0.597 | 3.059 |
| 21 | 0.10 | 500 | 5.0 | 5 | −36.9 | 36.9 | 97.5 | 22.0 | 67.0 | 17.3 | −0.596 | 3.310 |
| 22 | 0.10 | 1000 | 1.0 | 0 | −41.4 | 41.4 | 97.0 | 21.7 | 67.6 | 17.3 | −0.633 | 3.063 |
| 23 | 0.10 | 1000 | 2.5 | 5 | −40.7 | 40.7 | 96.1 | 24.9 | 67.4 | 20.1 | −0.323 | 2.732 |
| 24 | 0.10 | 1000 | 5.0 | 10 | −37.0 | 37.0 | 94.9 | 28.7 | 66.9 | 22.9 | −0.224 | 2.753 |
| 25 | 0.10 | 2000 | 1.0 | 5 | −40.2 | 40.2 | 97.3 | 21.3 | 67.3 | 17.0 | −0.622 | 3.169 |
| 26 | 0.10 | 2000 | 2.5 | 10 | −41.1 | 41.1 | 97.3 | 22.5 | 67.5 | 18.0 | −0.335 | 2.940 |
| 27 | 0.10 | 2000 | 5.0 | 0 | −40.2 | 40.2 | 97.2 | 21.3 | 67.5 | 16.8 | −0.558 | 3.604 |
|
REP # | |||||||||||
|---|---|---|---|---|---|---|---|---|---|---|---|
| 1 | 2.5 | 3820 | 0.3 | 0.9255 | 107 | 165.861 | 2.5 | 21.5 (+18.8%) | 99.3 (−0.1%) | 16.4 (+10%) | 67.8 (+0.6%) |
| 2 | 2.5 | 3820 | 0.3 | 0.9255 | 1.5 × 108 | 42.825 | 25 | 18.9 (+4.4%) | 99.4 (≡) | 15.8 (+6%) | 67.4 (≡) |
| 3 | 2.5 | 3820 | 0.3 | 0.9255 | 1.5 × 1011 | 1.354 | 168 | 18.1 | 99.4 | 14.9 | 67.4 |
| Optimum | utr (m/s) | fvib (Hz) | Avib (μm) | θrel (°) | Regression Optimum | Simulation Optimum | Deviation (sim-reg)/reg | ANOVA Regression Error |
|---|---|---|---|---|---|---|---|---|
| |LTD| | 0.01 | 2000 | 5 | 10 | 20.8 μm | 20.4 μm | −1.9% | 5.32% |
| SCR | 0.01 | 2000 | 5 | 0 | 99.54% | 99.33% | −0.2% | 15.52% |
| Sq-RMS | 0.01 | 2000 | 5 | 0 | 15.8 μm | 15.7 μm | −0.6% | 15.67% |
| OPTIMUM | utr (m⁄s) | fvib (Hz) | Avib (μm) | θrel (deg) | |LTD|reg (|LTD|sim) | SCRreg (SCRsim) | Sq-reg (Sq-sim) | Ssksim | Skusim |
|---|---|---|---|---|---|---|---|---|---|
| |LTD| | 0.01 | 2000 | 5 | 10 | 20.8 (20.4) | 99.51 (99.29) | 15.9 (16.5) | −1.412 | 6.304 |
| SCR | 0.01 | 2000 | 5 | 0 | 21.4 (22.1) | 99.54 (99.33) | 15.8 (15.7) | −1.543 | 6.530 |
| Sq-RMS | 0.01 | 2000 | 5 | 0 | 21.4 (22.1) | 99.54 (99.33) | 15.8 (15.7) | −1.543 | 6.530 |
| utr (m⁄s) | fvib (Hz) | Avib (μm) | θrel (deg) | |LTD|reg (|LTD|sim) | SCRreg (SCRsim) | Sq-reg (Sq-sim) | Ssksim | Skusim | |
|---|---|---|---|---|---|---|---|---|---|
| NO VIB. | 0.01 | 0 | 0 | 0 | - (28.9) | - (98.56) | - (20.9) | −0.716 | 3.962 |
| OPTIMUM | 0.01 | 2000 | 5 | 0 | 21.4 (22.1) | 99.54 (99.33) | 15.8 (15.7) | −1.543 | 6.530 |
Disclaimer/Publisher’s Note: The statements, opinions and data contained in all publications are solely those of the individual author(s) and contributor(s) and not of MDPI and/or the editor(s). MDPI and/or the editor(s) disclaim responsibility for any injury to people or property resulting from any ideas, methods, instructions or products referred to in the content. |
© 2024 by the authors. Licensee MDPI, Basel, Switzerland. This article is an open access article distributed under the terms and conditions of the Creative Commons Attribution (CC BY) license (https://creativecommons.org/licenses/by/4.0/).
Share and Cite
Avrampos, P.; Vosniakos, G.-C. A Study on Powder Spreading Quality in Powder Bed Fusion Processes Using Discrete Element Method Simulation. J. Manuf. Mater. Process. 2024, 8, 101. https://doi.org/10.3390/jmmp8030101
Avrampos P, Vosniakos G-C. A Study on Powder Spreading Quality in Powder Bed Fusion Processes Using Discrete Element Method Simulation. Journal of Manufacturing and Materials Processing. 2024; 8(3):101. https://doi.org/10.3390/jmmp8030101
Chicago/Turabian StyleAvrampos, Panagiotis, and George-Christopher Vosniakos. 2024. "A Study on Powder Spreading Quality in Powder Bed Fusion Processes Using Discrete Element Method Simulation" Journal of Manufacturing and Materials Processing 8, no. 3: 101. https://doi.org/10.3390/jmmp8030101
APA StyleAvrampos, P., & Vosniakos, G.-C. (2024). A Study on Powder Spreading Quality in Powder Bed Fusion Processes Using Discrete Element Method Simulation. Journal of Manufacturing and Materials Processing, 8(3), 101. https://doi.org/10.3390/jmmp8030101

