Research of Slamming Load Characteristics during Trans-Media Aircraft Entry into Water
Abstract
1. Introduction
2. Materials and Methods
2.1. Control Equations
2.2. Multiphase Flow Modeling
2.3. Turbulence Modeling
2.4. Geometric Modeling of the Aircraft
2.5. Numerical Modeling of UAV Water Entry
2.6. Grid Division
2.7. Grid-Independent Verification
2.8. Validation of the Validity of Numerical Simulations
3. Results
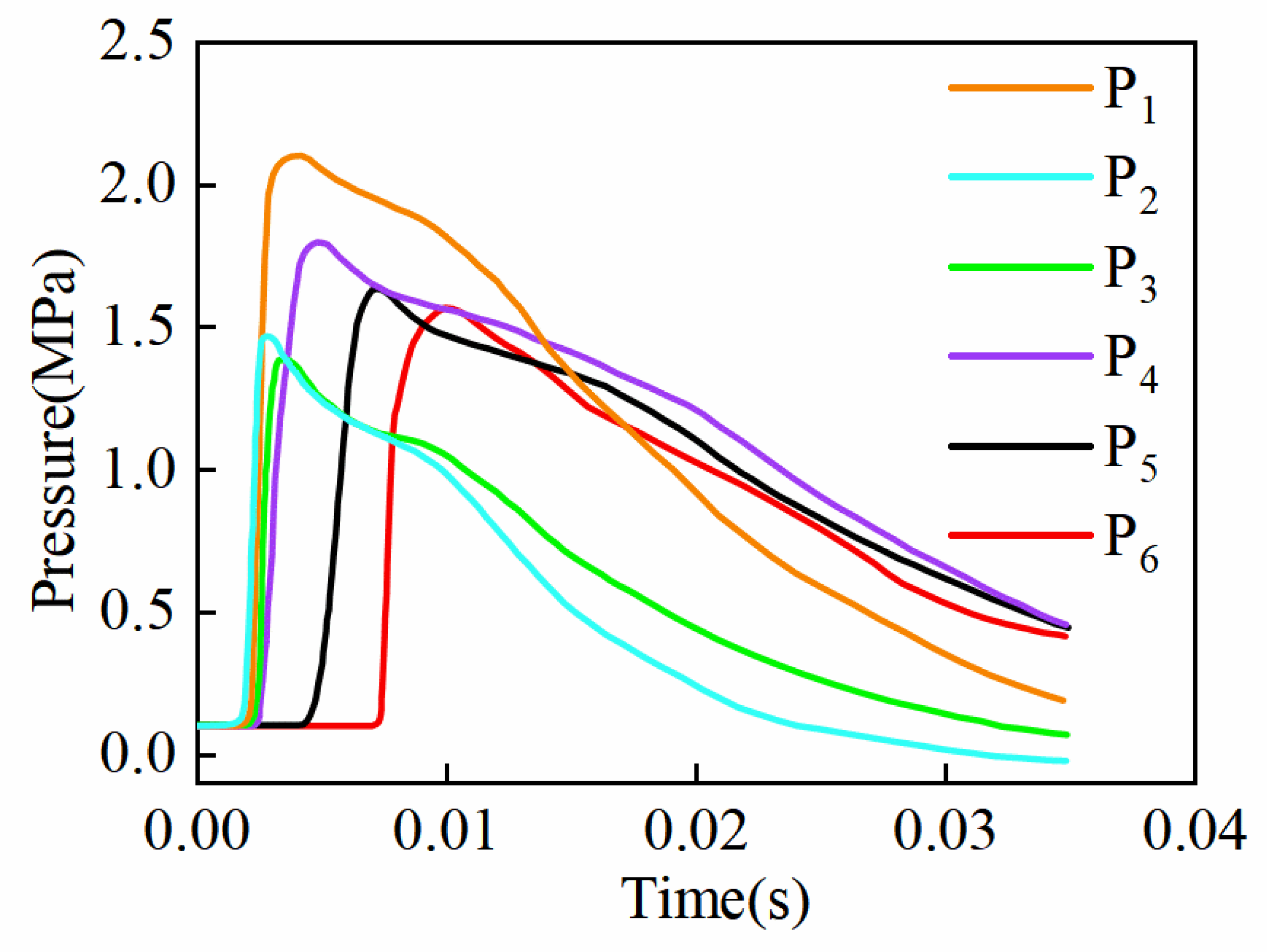
3.1. Pressure Characteristics
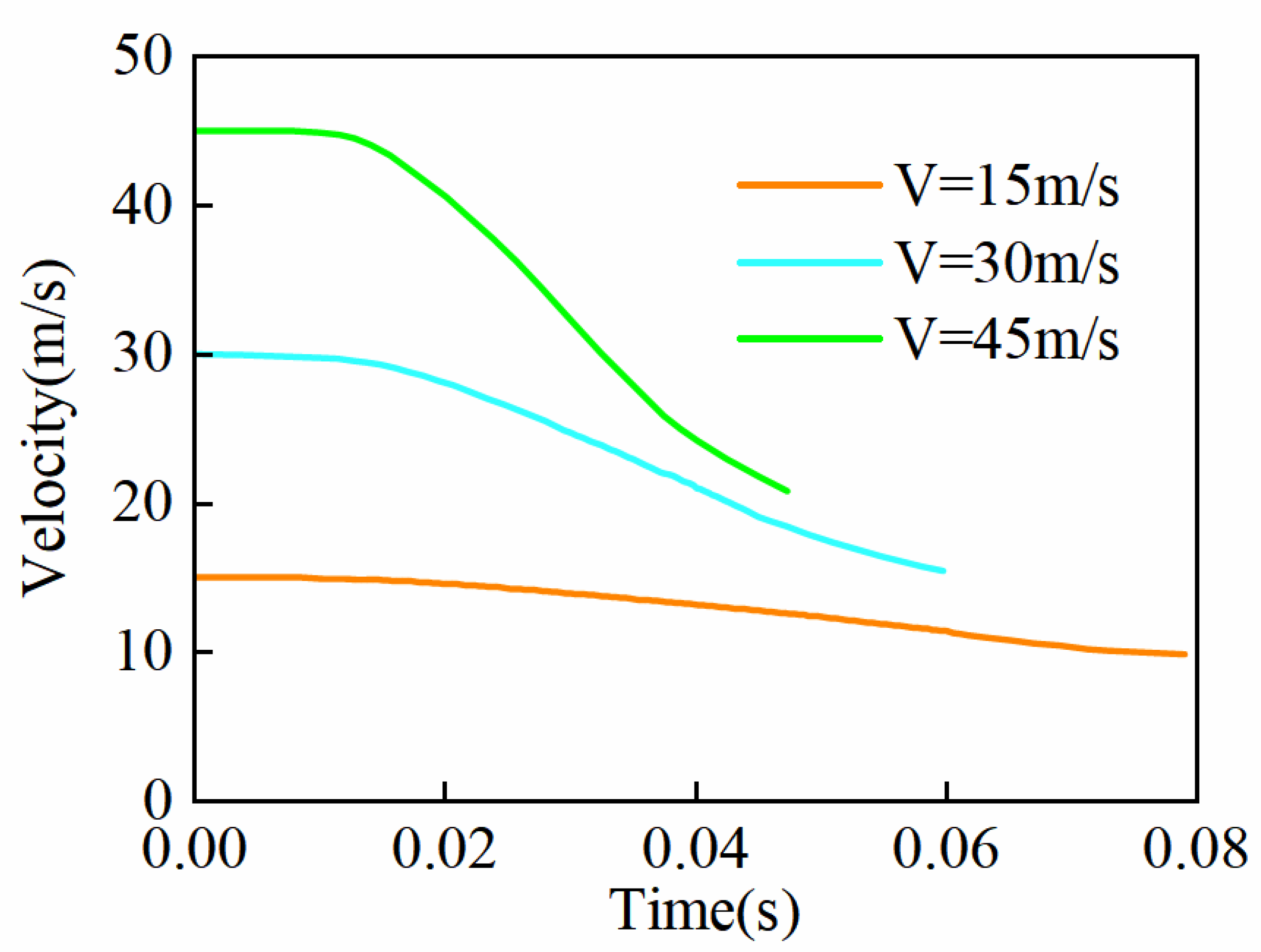
3.2. Effect of Water Entry Velocity on the Aircraft Subjected to Slamming Loads
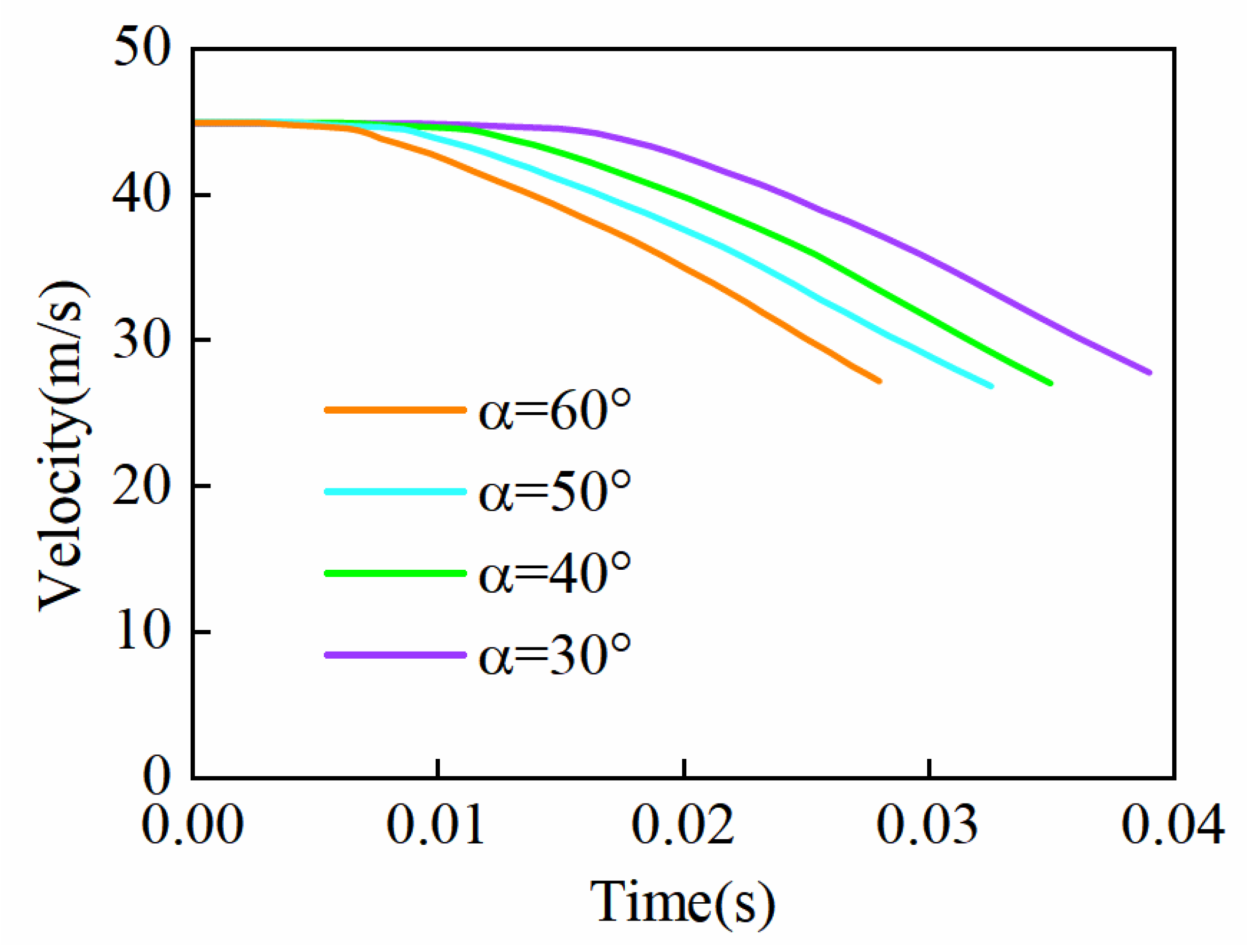
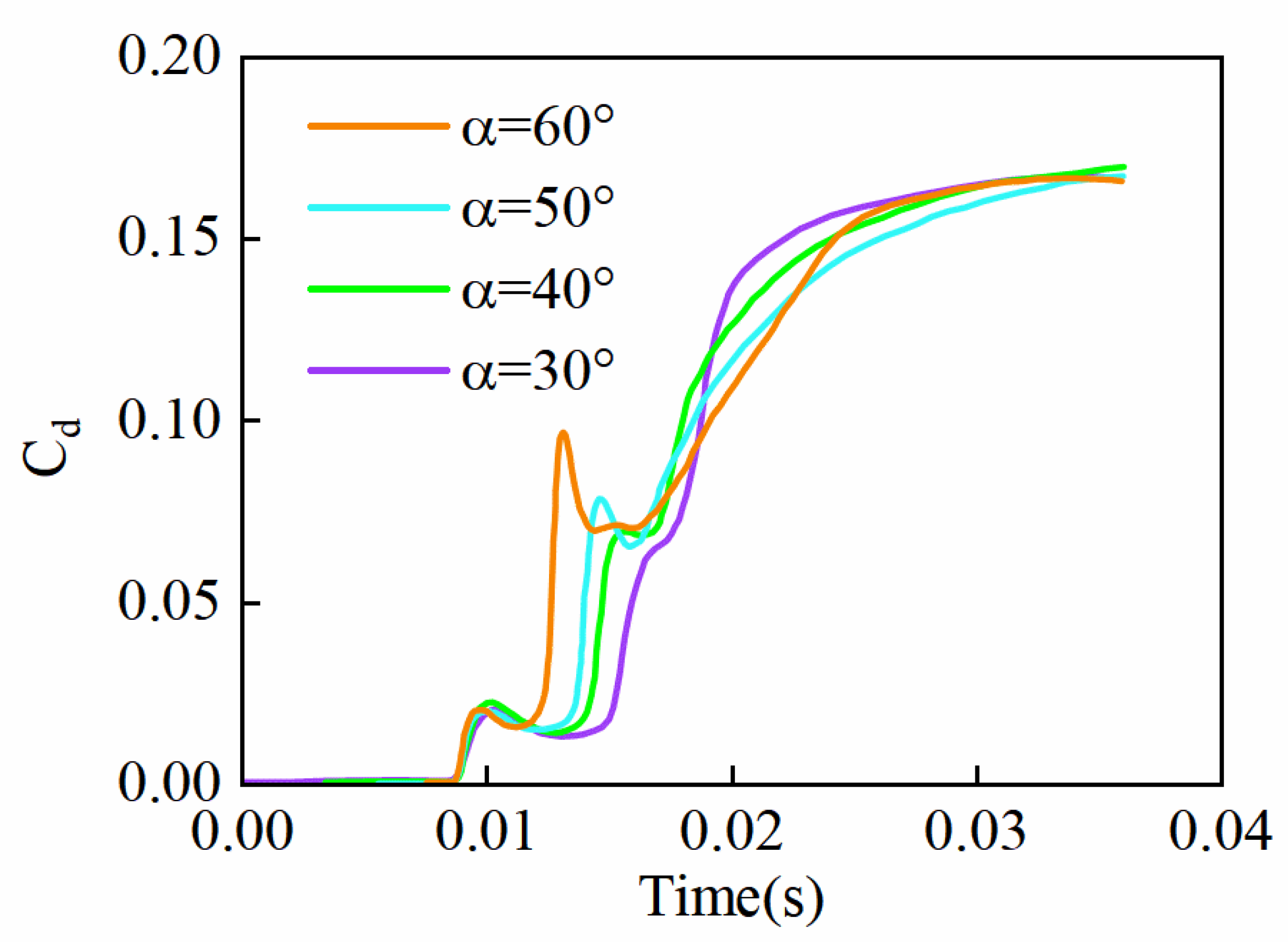
3.3. Influence of the Angle of Water Entry on the Aircraft Subjected to Slamming Loads
3.4. Effect of Angle of Attack into Water on the Aircraft Subjected to Slamming Loads
3.5. Effect of Head Shape on the Aircraft Subjected to Slamming Loads
4. Discussion
5. Conclusions
- At the beginning of water entry, the aircraft is momentarily subjected to a large slamming load, followed by a gradual decrease in the load. The maximum pressure load occurs at the head of the aircraft. The next largest load occurs at the root of the leading edge of the wing.
- Velocity change has a great effect on the aircraft subjected to the slamming load at the moment of water entry; the greater the velocity, the greater the pressure load on the aircraft at the moment of water entry, the greater the absolute value of acceleration of the decelerating motion, and the more the velocity decays.
- When the aircraft enters the water at different angles, the larger the angle is, the earlier the pressure peak appears at the moment of entering the water, and the value is larger, but there is little difference in the effect on the velocity decay. The drag coefficient changes drastically when entering the water at a large angle, which will affect the stability of the aircraft operation.
- As the angle of attack of the vehicle increases, the magnitude of the pressure load suffered by the root under the wing increases significantly, and the pressure load at the position of the head touching the water does not change much.
- The drag coefficient of the aircraft in the process of entering the water shows a general trend of increasing, with multiple extreme values and strong nonlinearity. The drag coefficient of the flat-head model is the largest, that of the conical is the smallest, and that of the hemispherical is in the middle of those two. The conical head model suffered the smallest pressure load, the flat head model suffered the largest average pressure load, and the hemispherical model was in the middle of those two.
Author Contributions
Funding
Institutional Review Board Statement
Informed Consent Statement
Data Availability Statement
Conflicts of Interest
References
- Sun, Y.; Liu, X.; Cao, K.; Shen, H.; Li, Q.; Chen, G.; Xu, J.; Ji, A. Design and Theoretical Research on Aerial-Aquatic Vehicles: A Review. J. Bionic Eng. 2023, 20, 2512–2541. [Google Scholar] [CrossRef]
- Gilbarg, D.; Anderson, R.A. Influence of Atmospheric Pressure on the Phenomena Accompanying the Entry of Spheres into Water. J. Appl. Phys. 1948, 19, 127–139. [Google Scholar] [CrossRef]
- Shams, A.; Jalalisendi, M.; Porfiri, M. Experiments on the water entry of asymmetric wedges using particle image velocimetry. Phys. Fluids 2015, 27, 027103. [Google Scholar] [CrossRef]
- Wang, Q.; Zhao, C.; Lu, H.; Liu, H. Experimental observation on water entry of a sphere in regular wave. Theor. Appl. Mech. Lett. 2023, 13, 100473. [Google Scholar] [CrossRef]
- Liu, Z.; Shi, Y.; Wu, K.; Zhao, H.; Pan, G. Experimental study on load characteristics of vehicle during high-speed water entry. Ocean Eng. 2023, 288, 116052. [Google Scholar] [CrossRef]
- Crandell, K.E.; Howe, R.O.; Falkingham, P.L. Repeated evolution of drag reduction at the air-water interface in diving kingfishers. J. R. Soc. Interface 2019, 16, 20190125. [Google Scholar] [CrossRef] [PubMed]
- Qi, D.; Feng, J.; Xu, B.; Zhang, J.; Li, Y. Investigation of water entry impact forces on airborne-launched AUVs. Eng. Appl. Comput. Fluid Mech. 2016, 10, 473–484. [Google Scholar] [CrossRef]
- Chen, C.; Yuan, X.; Dang, J.; Xu, Q. Experimental Investigation into Impact Load during Oblique Water-entry of a Supercavitating Vehicle at 20°. Acta Armamentarii 2018, 39, 1159–1164. [Google Scholar] [CrossRef]
- Chen, C.; Ma, Q.; Wei, Y.; Wang, C. Experimental study on the cavity dynamics in high-speed oblique water-entry. Fluid Dyn. Res. 2018, 50, 045511. [Google Scholar] [CrossRef]
- Korobkin, A. Analytical models of water impact. Eur. J. Appl. Math. 2004, 15, 821–838. [Google Scholar] [CrossRef]
- Shiffman, M.; Spencer, D.C. The force of impact on a cone striking a water surface (vertical entry). Commun. Pure Appl. Math. 1951, 4, 379–417. [Google Scholar] [CrossRef]
- TRUSCOTT, T.T.; TECHET, H.A. Water entry of spinning spheres. J. Fluid Mech. 2009, 625, 135–165. [Google Scholar] [CrossRef]
- Truscott, T.T.; Epps, P.B.; Belden, J. Water Entry of Projectiles. Annu. Rev. Fluid Mech. 2014, 46, 355–378. [Google Scholar] [CrossRef]
- Oger, G.; Doring, M.; Alessandrini, B.; Ferrant, P. Two-dimensional SPH simulations of wedge water entries. J. Comput. Phys. 2005, 213, 803–822. [Google Scholar] [CrossRef]
- Wang, J.; Lugni, C.; Faltinsen, M.O. Experimental and numerical investigation of a freefall wedge vertically entering the water surface. Appl. Ocean Res. 2015, 51, 181–203. [Google Scholar] [CrossRef]
- Hou, Z.; Sun, T.; Quan, X.; Zhang, G.; Sun, Z.; Zong, Z. Large eddy simulation and experimental investigation on the cavity dynamics and vortex evolution for oblique water entry of a cylinder. Appl. Ocean Res. 2018, 81, 76–92. [Google Scholar] [CrossRef]
- Shi, Y.; Pan, G.; Yan, G.; Yim, S.C. Numerical study on the cavity characteristics and impact loads of AUV water entry. Appl. Ocean Res. 2019, 89, 44–58. [Google Scholar] [CrossRef]
- Shi, Y.; Xiao, P.; Zhao, H.; Pan, G. Experimental Research on the Influences of Head Shape and Surface Properties on the Water Entry Cavity. J. Mar. Sci. Eng. 2022, 10, 1411. [Google Scholar] [CrossRef]
- Wang, X.; Shi, Y.; Pan, G.; Chen, X.; Zhao, H. Numerical research on the high-speed water entry trajectories of AUVs with asymmetric nose shapes. Ocean Eng. 2021, 234, 109274. [Google Scholar] [CrossRef]
- Wang, L.; Yang, Y.; Yang, Q. Research on the Water Entry of the Fuselage Cylindrical Structure Based on the Improved SPH Model. Appl. Sci. 2023, 13, 10801. [Google Scholar] [CrossRef]
- Xie, H.; Ren, H.; Li, H.; Tao, K. Numerical prediction of slamming on bow-flared section considering geometrical and kinematic asymmetry. Ocean Eng. 2018, 158, 311–330. [Google Scholar] [CrossRef]
- Wei, J.; Sha, Y.; Hu, X.; Yao, J.; Chen, Y. Aerodynamic Numerical Simulation Analysis of Water–Air Two-Phase Flow in Trans-Medium Aircraft. Drones 2022, 6, 236. [Google Scholar] [CrossRef]
- Wen, X.; Ong, M.C.; Yin, G. On the three-dimensional effects of the water entry of wedges. Appl. Ocean Res. 2023, 138, 103649. [Google Scholar] [CrossRef]
- Wang, Q.; Yu, P.; Zhang, B.; Li, G. Experimental Study and Numerical Simulation of the Water Entry of a Ship-Like Symmetry Section with an Obvious Bulbous Bow. Pol. Marit. Res. 2021, 28, 16–34. [Google Scholar] [CrossRef]
- Zhuang, Q.; Zhang, H.; Zhao, C.; He, X.; Liu, Y.; Liu, Z.; Li, S.; Zhu, R.; Wu, D. Effects of the launch parameters on trans-phase stability performance and mechanism for submarine-launched missiles model. Ocean Eng. 2023, 283, 115083. [Google Scholar] [CrossRef]
- Pain, C.C.; Umpleby, A.P.; de Oliveira, C.R.E.; Goddard, A.J.H. Tetrahedral mesh optimization and adaptivity for steady-state and transient finite element calculations. Comput. Methods Appl. Mech. Eng. 2001, 190, 3771–3796. [Google Scholar] [CrossRef]
- Liu, Y. Experimental and Cfd Simulation Study on the Water Entry of 3d Axisymmetric Structures. Ph.D. Thesis, Harbin Engineering University, Harbin, China, 2017. [Google Scholar] [CrossRef]
- Liu, X.; Liu, F.; Ren, H.; Chen, X.; Xie, H. Experimental investigation on the slamming loads of a truncated 3D stern model entering into water. Ocean Eng. 2022, 252, 110873. [Google Scholar] [CrossRef]
- Yan, G.; Pan, G.; Shi, Y.; Chao, L.; Zhang, D. Experimental and numerical investigation of water impact on air-launched AUVs. Ocean Eng. 2018, 167, 156–168. [Google Scholar] [CrossRef]
- Zhao, H.; Shi, Y.; Pan, G.; Huang, Q. Study on Impact Load and Head Cap Load Reduction Performance of Vehicle Entering Water at High Speed. J. Mar. Sci. Eng. 2022, 10, 1905. [Google Scholar] [CrossRef]
- Liu, X.; Luo, K.; Yuan, X.; Qi, X. Numerical study on the impact load characteristics of a trans-media vehicle during high-speed water entry and flat turning. Ocean Eng. 2023, 273, 113986. [Google Scholar] [CrossRef]
- Fu, Z.; Sun, L.; Zhi, M.; Wang, P.; Wang, D. Numerical study on the dynamic characteristics of a vehicle with a multistage load reduction structure during oblique water entry. Ocean Eng. 2024, 295, 116778. [Google Scholar] [CrossRef]
- Ma, W.; Zhang, H.; Hu, Z.; Sa, H.; Zhang, W. Numerical Simulation on Near-water-surface Skipping Motion of Trans-media Vehicle. J. Phys. Conf. Ser. 2023, 2599, 012004. [Google Scholar] [CrossRef]
- Wang, C.; Huang, Q.; Lu, L.; Pan, G.; Gao, S. Numerical investigation of water entry characteristics of a projectile in the wave environment. Ocean Eng. 2024, 294, 116821. [Google Scholar] [CrossRef]
- Zhao, G.; Chen, T.; Guo, Z.; Zhang, W. Experimental study on ballistic stability of truncated cone projectile in high-speed oblique water entry. Ocean Eng. 2023, 283, 115078. [Google Scholar] [CrossRef]
Disclaimer/Publisher’s Note: The statements, opinions and data contained in all publications are solely those of the individual author(s) and contributor(s) and not of MDPI and/or the editor(s). MDPI and/or the editor(s) disclaim responsibility for any injury to people or property resulting from any ideas, methods, instructions or products referred to in the content. |
© 2024 by the authors. Licensee MDPI, Basel, Switzerland. This article is an open access article distributed under the terms and conditions of the Creative Commons Attribution (CC BY) license (https://creativecommons.org/licenses/by/4.0/).
Share and Cite
Liu, X.; Tan, L.; Zhang, X.; Li, L. Research of Slamming Load Characteristics during Trans-Media Aircraft Entry into Water. Drones 2024, 8, 89. https://doi.org/10.3390/drones8030089
Liu X, Tan L, Zhang X, Li L. Research of Slamming Load Characteristics during Trans-Media Aircraft Entry into Water. Drones. 2024; 8(3):89. https://doi.org/10.3390/drones8030089
Chicago/Turabian StyleLiu, Xinyu, Liguo Tan, Xinbin Zhang, and Liang Li. 2024. "Research of Slamming Load Characteristics during Trans-Media Aircraft Entry into Water" Drones 8, no. 3: 89. https://doi.org/10.3390/drones8030089
APA StyleLiu, X., Tan, L., Zhang, X., & Li, L. (2024). Research of Slamming Load Characteristics during Trans-Media Aircraft Entry into Water. Drones, 8(3), 89. https://doi.org/10.3390/drones8030089