Next Article in Journal
Role of Fungi in N2O Emissions from Nitrogen-Fertilized Lawn Soil
Previous Article in Journal
Preliminary Investigation of Nitrogen Rate Influence on Irrigated Bermudagrass Forage Production
 
 
Font Type:
Arial Georgia Verdana
Font Size:
Aa Aa Aa
Line Spacing:
Column Width:
Background:
Article

Improving Nitrogen Availability and Crop Productivity Using Bioameliorants in Maize–Soybean Intercropping on Suboptimal Land

1
Study Program of Agroecotechnology, Faculty of Agriculture, University of Mataram, Mataram 83115, West Nusa Tenggara, Indonesia
2
Department of Soil Science, Faculty of Agriculture, University of Mataram, Mataram 83115, West Nusa Tenggara, Indonesia
3
Biology Study Program, Faculty of Teacher Training and Education, University of Mataram, Mataram 83115, West Nusa Tenggara, Indonesia
4
Research Center for Marine and Land Bioindustry, National Research and Innovation Agency (BRIN), Pemenang 83352, North Lombok, Indonesia
*
Author to whom correspondence should be addressed.
Nitrogen 2025, 6(4), 89; https://doi.org/10.3390/nitrogen6040089
Submission received: 2 September 2025 / Revised: 19 September 2025 / Accepted: 23 September 2025 / Published: 1 October 2025

Abstract

Suboptimal land conditions, characterized by limited nutrient availability and poor soil physical properties, restrict the growth and productivity of maize–soybean intercropping systems. Bioameliorants containing beneficial microorganisms, such as mycorrhizae, offer a sustainable strategy to enhance soil fertility and nutrient uptake efficiency. This study evaluated the effects of different bioameliorant compositions on nitrogen availability, plant growth, and yield in maize–soybean intercropping on suboptimal land. A randomized complete block design with four replicates tested five treatments: F0 (control, no bioameliorant), F1 (10% compost + 10% rice husk charcoal + 10% manure + 70% mycorrhizal biofertilizer), F2 (15% each of compost, manure, charcoal + 55% biofertilizer), F3 (20% each + 40% biofertilizer), and F4 (25% each component). Results showed that the balanced F4 bioameliorant markedly improved nitrogen availability, soil health, and yields in maize–soybean intercropping on sandy soils. These findings highlight its potential as a sustainable strategy to enhance productivity, reduce reliance on chemical fertilizers, and strengthen agroecosystem resilience on suboptimal land. The optimized F4 formulation therefore represents a practical approach to improving nutrient availability and plant performance in maize–soybean intercropping systems under marginal soil conditions.

1. Introduction

Agricultural production on suboptimal lands, particularly drylands, plays a crucial role in ensuring national food security amidst escalating land-use competition and the dwindling availability of fertile agricultural areas. In Indonesia, West Nusa Tenggara (NTB) Province exemplifies this challenge, with approximately 84% of its land mass—equating to around 1.8 million hectares—classified as dryland [1]. Of this, merely about 31% is considered potentially cultivable, yet the productivity of these drylands remains markedly low due to inherent soil degradation issues, including diminished organic matter content, reduced cation exchange capacity, and poor physical and biological properties [2]. These limitations hinder optimal plant growth, thereby restricting crop yields and economic development.
Addressing low productivity in dryland soils necessitates sustainable soil management strategies aimed at improving soil fertility and functionality. Among these, the application of organic amendments combined with functional microorganisms—collectively termed bioameliorants—has received significant attention. Bioameliorants typically comprise organic materials such as compost, manure, or husk charcoal, enriched with beneficial microbes and organic extracts, which collectively enhance nutrient availability and uptake, improve soil physical structure, and stimulate biological activity [3,4]. Notably, humic substances within these amendments positively influence soil water retention, aeration, and nutrient cycling, thereby fostering a conducive environment for plant growth [5].
A key component of bioameliorants is arbuscular mycorrhizal fungi (AMF), which establish symbiotic relationships with plant roots, expanding the effective root zone for nutrient absorption [6,7]. AMF significantly enhance phosphorus and nitrogen uptake, bolster plant resilience under stress conditions, and reduce dependence on chemical fertilizers [8,9]. Several studies demonstrate that inoculating crops such as maize with AMF can lead to increased growth and yield, making this approach both sustainable and economically advantageous [10].
Furthermore, intercropping—cultivating multiple crops simultaneously on the same land—is an efficient agricultural practice to optimize resource utilization and improve land productivity [11]. Specifically, the maize–soybean intercropping system presents synergistic benefits, as soybeans possess nitrogen-fixing abilities that can naturally augment soil nitrogen levels, thereby supporting maize’s high nitrogen demand [12,13]. Maize and soybean are vital staple crops in Indonesia, with maize serving as a primary carbohydrate source rich in essential nutrients, and soybean providing protein for both dietary and industrial uses [14]. However, recent declines in their production—maize down by approximately 9.91% in 2023 and soybean production halving between 2020 and 2022—highlight the urgent need for sustainable intensification strategies to restore productivity under resource-constrained conditions [15,16].
Despite the potential benefits, empirical evidence on the comparative effectiveness of different bioameliorant formulations in improving nutrient uptake and crop yields within maize–soybean intercropping systems on drylands remains limited [17,18]. Thus, integrating bioameliorants with microbial inoculants into intercropping systems could present a sustainable pathway to enhance soil fertility, increase yields, and improve resilience to environmental stresses [19,20].
Therefore, this study aims to evaluate the effects of different bioameliorant compositions on nitrogen availability, plant growth, and yield in maize–soybean intercropping on suboptimal land. The findings are expected to inform sustainable agricultural practices that enhance productivity and resilience in dryland regions such as NTB and similar environments elsewhere.

2. Materials and Methods

2.1. Study Site and Experiment Design

This study used a field experiment method conducted in Sumur Mual Hamlet, Pemenang Barat Village, Pemenang District, North Lombok Regency, Indonesia. Located at the coordinates 8°26′27.6″ S and 116°6′7.2″ E (Figure 1). The research site is situated at an altitude of approximately 5 m above sea level, characterized by a dry climate with D3 to D4 climatic zones (3–4 wet months), which indicate dry conditions according to the Oldeman classification.
The research was conducted from June to August 2025. The experimental design used was a randomized complete block design (RCBD) consisting of five treatments and three replications, resulting in a total of 15 experimental units [21]. The field layout is presented in Figure 2. Laboratory analyses were carried out at the Microbiology Laboratory and Soil Chemistry Laboratory, Faculty of Agriculture, University of Mataram; the Agricultural Instrument Standardization Agency, Narmada; the Integrated Laboratory, Universitas Sumatera Utara, and Universitas Islam Negeri Mataram, Indonesia. The materials used consisted of maize seeds (variety Bisi 18), soybean seeds (variety Dering 2), mycorrhizal isolate MAA01, cattle manure, rice husk biochar, compost, inorganic fertilizers (urea and NPK Phonska), foliar fertilizer (Green Tonik), botanical pesticide (OrgaNeem), as well as supporting materials such as raffia strings, plastic bags, label papers, tissues, and analytical reagents (methylene blue, 10% KOH, sucrose, distilled water, and filter paper).
The treatments tested consisted of four bioameliorant formulations with different material compositions, namely a combination of compost, manure, rice husk charcoal, and mycorrhizal biofertilizer, as well as one control treatment (without bioameliorant). Details of the composition of each bioameliorant treatment are presented in Table 1.

2.2. Plant Sampling and Analysis

During the plant growth period (42 and 92 days after planting), rhizosphere soil samples were collected from each treatment. Plants were carefully uprooted, bulk soil loosely attached to the roots was removed, and the soil adhering to the roots was obtained by shaking the roots in one liter of 0.9% sterile NaCl solution for 10 min. These rhizosphere soil samples were analyzed for total nitrogen (N), and available phosphorus (P) [22].
For plant analysis, N and P uptake were calculated by multiplying the dry biomass of the aboveground parts by their respective nutrient concentrations at 42 and 92 days after planting (DAP). The sampled plants were oven-dried at 60 °C for 48 h, ground into a fine powder, homogenized, and a 100 g subsample was used for nutrient analysis. Plant sampling was conducted by randomly selecting five plants per plot.

2.3. Analysis of Soil Physicochemical Characteristics

Initial soil sampling was conducted prior to the experiment. Composite soil samples were collected from 40 points in the topsoil layer (0–30 cm depth) using the diagonal method. The samples were air-dried, crushed, and sieved through 2 mm and 0.5 mm mesh screens before chemical analysis. The measured soil characteristics included pH (1:2.5 soil-to-water ratio using a pH meter), total nitrogen (Kjeldahl method), available phosphorus (Olsen method), available potassium (Morgan–Wolf method), exchangeable calcium and cation exchange capacity (NH4OAc extraction), soil organic carbon (Walkley and Black method), and soil texture (hydrometer method) [23].

2.4. Bioameliorant Manufacturing

The bioameliorant was formulated from compost, cow manure, rice husk charcoal, and mycorrhizal biofertilizer. Each component was sun-dried for several days to reduce moisture content, facilitating handling and preventing clumping. The dried materials were then passed through a 2 mm sieve to achieve uniform particle size. The components were weighed according to the treatment formulations: F1 (20 kg compost, 20 kg cow manure, 20 kg rice husk charcoal, 140 kg mycorrhizal biofertilizer), F2 (30:30:30:110 kg), F3 (40:40:40:80 kg), and F4 (50:50:50:50 kg), with each batch totaling 200 kg. After precise weighing, the ingredients were thoroughly mixed until homogeneous in texture and color. The mixture was fermented under shaded conditions for three weeks to enhance microbial activity, improve nutrient solubility, and stabilize organic matter prior to field application.

2.5. Land Preparation and Planting Materials

The field experiment began with land preparation by hoeing the soil until loosened, followed by dividing the area into 15 plots, each measuring 5 m × 5 m. The plots were separated by irrigation channels 50 cm wide, and each raised bed was constructed with a height of 20–25 cm. Treatments within each block were arranged randomly using a completely randomized design, with 80 cm spacing between replications. The cropping pattern applied was a maize–soybean intercropping system, arranged in the sequence of 3 rows of maize: 3 rows of soybean: 3 rows of maize. The planting distance was 60 × 20 cm for maize and 30 × 20 cm for soybean, with an inter-row spacing of 40 cm between maize and soybean. Each plot consisted of 72 maize planting holes and 48 soybean planting holes, with two seeds sown per hole.
The experimental research was conducted on traditionally cultivated agricultural land owned by local smallholder farmers. Land preparation was executed manually using hand hoes to ensure thorough soil loosening and proper tilth for planting. The cleared area was delineated into fifteen experimental plots, each measuring 5 m × 5 m. Plots were separated by 50 cm wide irrigation channels to facilitate water distribution, and raised beds measuring 20–25 cm in height were constructed to improve drainage and soil aeration under dryland conditions. The maize variety used was the hybrid Bisi-18, which is widely recognized for its adaptability to dry and marginal environments in Indonesia. The soybean variety employed was Dering-2, a local cultivar bred for drought tolerance, particularly during the reproductive phase [24].

2.6. Mycorrhizal Applications, Bioameliorants, and Plant Maintenance

The arbuscular mycorrhizal fungi (AMF) inoculum was obtained from a three-month maize trap culture and consisted of dried and ground root fragments, fungal spores, and hyphae. The inoculum (isolate MAA01, indigenous to North Lombok) had a spore density of ~2500 spores per 20 g soil and was applied at 20 g per planting hole at sowing [25]. Bioameliorants were applied at 20 g per hole according to treatment compositions, except for F0 without AMF and without ameliorant (Table 1), followed by sowing two maize (Zea mays L.) and two soybean (Glycine max L.) seeds per hole in a 3:3 row intercropping pattern. At 7 DAP, replanting replaced dead plants, and at 14 DAP thinning left one maize and one soybean per hole. Maize received 60 kg ha−1 urea and 60 kg ha−1 NPK Phonska at 7, 21, and 28 DAP; soybean received 40 kg ha−1 urea and 20 kg ha−1 NPK Phonska at 7 DAP, followed by 20 kg ha−1 urea and 60 kg ha−1 NPK Phonska at 28 DAP, applied by ring placement (2.6 g hole−1 for maize, 1.3 g hole−1 for soybean). In this study, the urea dosage applied to soybean was deliberately reduced to half of the rate commonly recommended and practiced by local farmers, in order to minimize potential inhibition of biological nitrogen fixation while still ensuring adequate early growth. Weeds were removed manually, irrigation relied on rainfall with supplemental flooding when needed, and azadirachtin-based biopesticide (Organeem produced by the Research Institute for Tobacco and Fiber Crops, Malang, East Java, Indonesia, 5 mL L−1) was sprayed every three weeks. Harvesting occurred at 92 DAP, when 75% of leaves had yellowed and cobs/pods had turned brown, indicating physiological maturity.

2.7. Observation of Parameters

The observed parameters included: dry weight of maize cobs and soybean pods per plot, weight of shelled maize per plot, weight of soybean seeds per plot, soil nutrient contents (N and P), and plant N and P uptake. Total nitrogen in soil and plant samples was determined through digestion with (NH4)2SO4 and NaOH distillation, followed by measurement using either the indophenol colorimetric method (λ = 636 nm) or H2SO4 titration [26,27,28]. Mycorrhizal spore counts were determined using the wet sieving and centrifugation technique as described by [29], while root colonization percentage was assessed by the clearing and staining method [30] and calculated using the Gridline Intersect technique [31]. The surface morphology of the bioameliorant was examined using Scanning Electron Microscopy (SEM; JEOL JSM-6510LA, Tokyo, Japan) at the Integrated Laboratory Universitas Sumatera Utara and Universitas Islam Negeri Mataram, Indonesia. Samples were analyzed using an electron beam with an accelerating voltage of 15 kV, directed through an aperture system and electromagnetic lenses to generate a fine electron probe [32]. Prior to imaging, the samples were flattened with a specialized device and sputter-coated with a ~10 nm layer of gold–palladium (Au–Pd). Electron micrographs were then acquired using a Scanning Electron Microscopy (SEM; JEOL JCM-700, JEOL Ltd., Tokyo, Japan).

2.8. Data Analysis

Data were subjected to analysis of variance (ANOVA), and mean separation was performed using the least significant difference (LSD) test at p < 0.05 with Minitab version 22.1.0. This statistical procedure, widely applied in agronomic and soil science experiments, allows accurate detection of treatment differences [33].

3. Results

3.1. Initial Soil Properties Limiting Nitrogen Availability in Sandy Soi

The experimental site, located in the drylands of North Lombok Regency, is characterized by sandy soils derived from pumiceous parent material formed on ancient landforms. The solum depth varied from less than 10 cm to 60 cm, indicating limited rooting volume in certain areas. Initial physicochemical analyses of the topsoil (0–30 cm) are summarized in Table 2.
The data revealed a very low total nitrogen (N-total) content (<0.01%), indicating severe nitrogen deficiency. This is a common limitation in sandy soils, where low organic matter content and minimal microbial biomass contribute to limited nitrogen mineralization and poor nutrient retention. The organic carbon content (0.57%) was also classified as very low, supporting this inference.
The soil exhibited a near-neutral pH (6.25), a range typically favorable for most crops. However, cation exchange capacity (CEC) was measured at only 8.25 cmol(+) kg−1, classifying it as very low. This low CEC reflects the limited capacity of the soil to retain positively charged nutrient ions such as ammonium (NH4+), calcium (Ca2+), and potassium (K+), increasing the risk of nutrient leaching—especially under conditions of irregular rainfall or irrigation.
Available phosphorus (P) was relatively high (13.82 mg kg−1), possibly due to residual accumulation from previous phosphate fertilization. Nevertheless, the potential for P fixation by calcium (Ca) in this soil may reduce actual bioavailability. Potassium (0.57 cmol kg−1) and calcium (7.38 cmol kg−1) levels were moderate, yet their effectiveness is constrained by the low organic matter and CEC.
Soil texture was classified as loamy sand, dominated by sand particles (69.23%), with limited clay (2.4%) and silt (29.34%). This composition further explains the low water-holding capacity and rapid nutrient loss commonly observed in these dryland soils.
In summary, the combination of low total nitrogen, minimal organic carbon, very low CEC, and sandy texture collectively limits the soil’s nutrient retention capacity and biological fertility. These baseline conditions justify the application of bioameliorants as a strategy to improve nitrogen availability and support sustainable crop productivity in this fragile agroecosystem.

3.2. Soil Nitrogen Concentration and Its Effect on Plant Nutrient Uptake

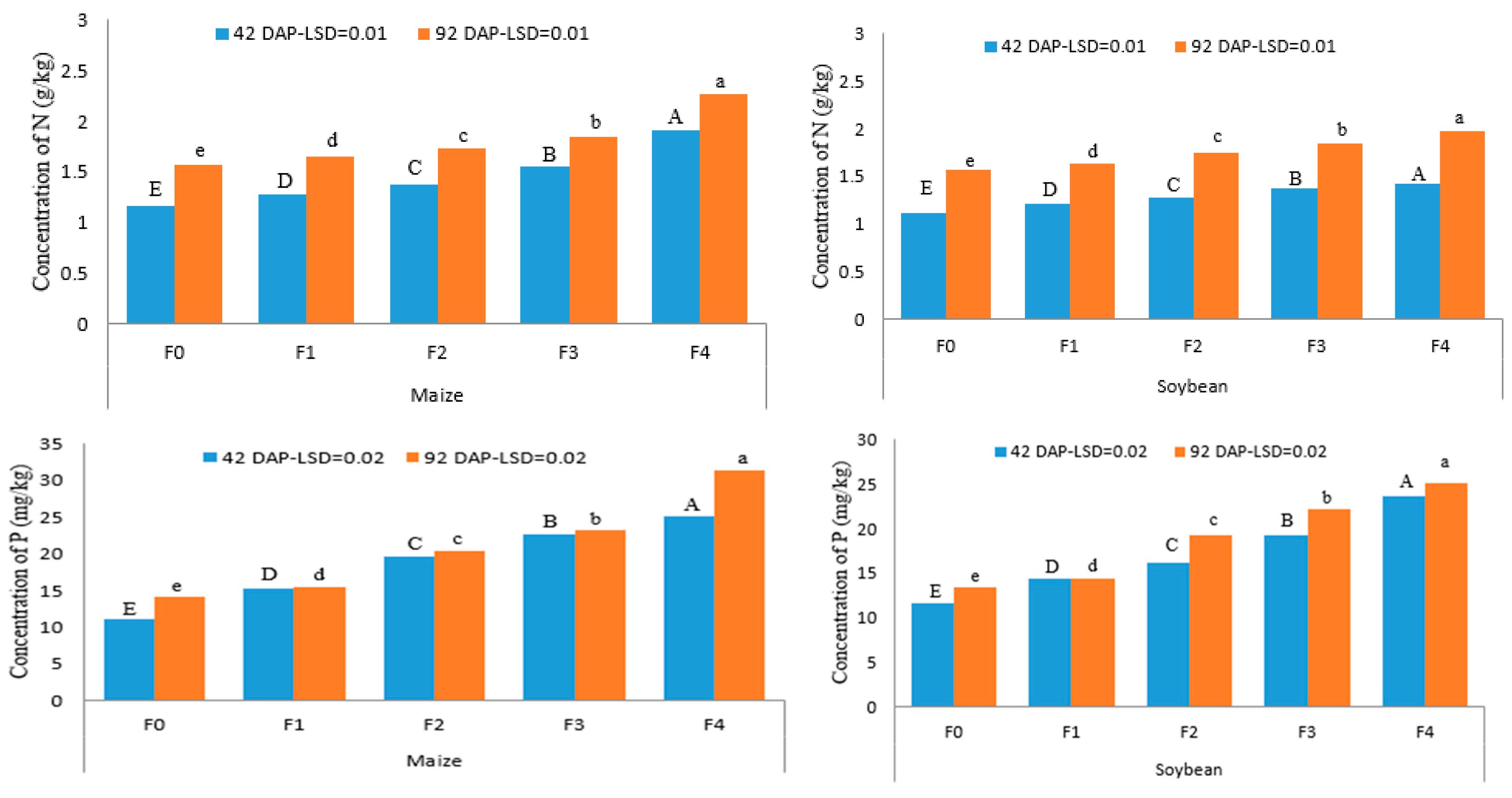
Analysis of variance showed that the F4 treatment (25% compost, 25% rice husk biochar, 25% cattle manure, and 25% mycorrhizal biofertilizer) significantly increased soil nutrient concentrations compared with the control without bioameliorant (F0) (Figure 3). The bars, representing LSD values at the 5% level of significance (as shown by same letter), indicate that in maize, total nitrogen (N) content increased from 1.91 g kg−1 at 42 DAP to 2.27 g kg−1 at 92 DAP, while in soybean, total N rose from 1.43 g kg−1 to 1.98 g kg−1 over the same period.
Available phosphorus (P) concentrations also increased under F4, with maize rising from 25.11 mg kg−1 at 42 DAP to 31.43 mg kg−1 at 92 DAP, and soybean increasing from 23.63 mg kg−1 to 25.13 mg kg−1. Similarly, soil organic carbon (C-organic) content improved, increasing in maize plots from 10.54 g kg−1 to 13.66 g kg−1 and in soybean plots from 8.44 g kg−1 to 12.96 g kg−1. These differences, as indicated by distinct letter notations, were statistically significant (p < 0.05). These results demonstrate that F4 enhanced the availability of N, P, and C-organic in both crops throughout the growing period.
The LSD value at the 5% level of significance (as shown by same letter within the same color) indicated that increasing the proportion of constituent materials in the bioameliorant significantly enhanced N and P uptake in both maize and soybean at 42 days after planting (DAP), compared with the control treatment without bioameliorant (F0) (Figure 4). Figure 4 presents nitrogen and phosphorus uptake expressed as milligrams of nutrient per gram of plant tissue, which was determined from the sampled leaf material. The values are therefore based on tissue concentration rather than extrapolated to an area basis. This approach was chosen to directly reflect the nutrient content per unit of plant biomass, providing a standardized comparison across treatments. In maize, mean nitrogen uptake increased from 26.53 mg g−1 in F0 to 31.24 mg g−1 in F4, while phosphorus uptake rose from 1.85 mg g−1 to 3.85 mg g−1. Similarly, in soybean, nitrogen uptake increased from 32.21 mg g−1 in F0 to 44.84 mg g−1 in F4, and phosphorus uptake rose from 1.86 mg g−1 to 3.84 mg g−1. These findings indicate that the balanced organic and microbial composition of F4 enhances early-season nutrient acquisition in both crops.

3.3. Spore Number and Root Colonization by Mycorrhizae

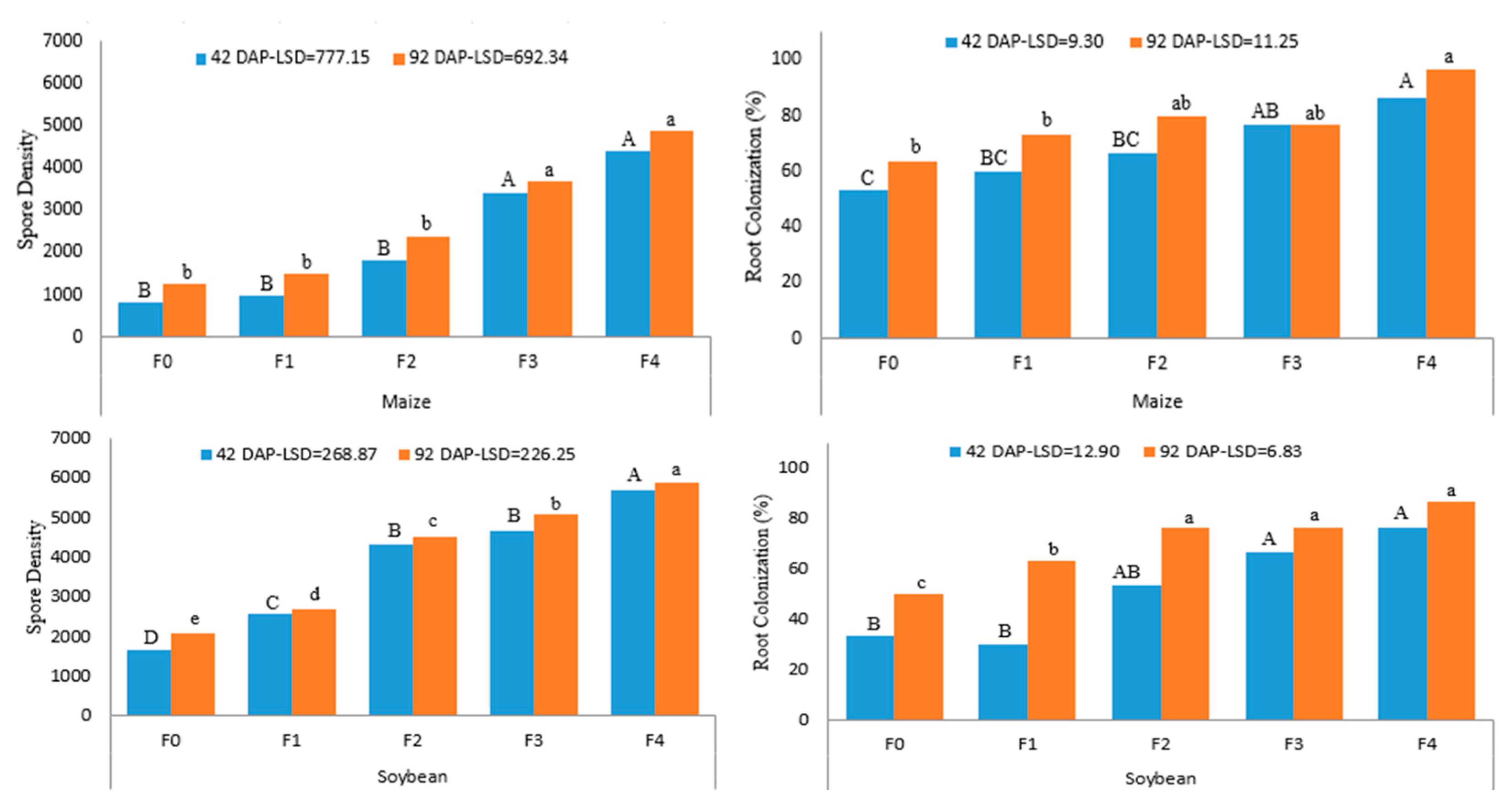
Based on the analysis of variance followed by the LSD test at the 5% significance level, the F4 bioameliorant treatment (25% compost, 25% rice husk charcoal, 25% manure, and 25% mycorrhizal biofertilizer by weight) significantly increased both the number of mycorrhizal spores and root colonization compared with the control without bioameliorant (F0), as indicated by the higher bar values in Figure 5. This enhancement was consistent at both 42 and 92 DAP, indicating sustained mycorrhizal activity throughout the growing period.
Figure 5 shows that the F3 bioameliorant treatment (20% compost, 20% rice husk charcoal, 20% manure, and 40% mycorrhizal biofertilizer by weight) significantly increased the number of mycorrhizal spores. However, F4—having equal proportions (25%) of each component—was more effective in promoting root colonization in maize at both 42 and 92 DAP. In soybean, F4 also produced the highest spore counts at both sampling times, and both F3 and F4 significantly enhanced root colonization. In maize, the maximum spore density and root colonization were 4244 spores per 100 g of soil and 86.67% at 42 DAP, increasing to 4881 spores per 100 g of soil and 96.67% at 92 DAP. In soybean, the corresponding values were 5705.3 spores per 100 g of soil and 76.67% at 42 DAP, rising to 5894 spores per 100 g of soil and 86.67% at 92 DAP—indicating sustained mycorrhizal activity throughout the growth cycle.

3.4. Maize and Soybean Yield

Analysis of variance followed by the LSD test at the 5% significance level revealed that the application of bioameliorants significantly affected cob dry weight, pod dry weight, and kernel yield per plot in both maize and soybean (Figure 6). The treatment with a balanced composition of 25% compost, 25% rice husk charcoal, 25% manure, and 25% mycorrhizal biofertilizer (F4) produced the highest values across all yield parameters. This was clearly reflected in the bar values shown in the figure, which distinguish F4 from the other treatments. However, for maize kernel weight, the treatment containing 20% compost, 20% rice husk charcoal, 20% manure, and 40% mycorrhizal biofertilizer (F3) was statistically comparable to F4, suggesting that higher proportions of mycorrhizal biofertilizer can be equally effective in enhancing kernel production.
Figure 6 shows that the F4 bioameliorant treatment substantially increased the dry weights of maize cobs, soybean pods, maize kernels, and soybean kernels from 13.06 kg to 17.28 kg, 1.17 kg to 2.06 kg, 8.46 kg to 10.40 kg, and 0.24 kg to 0.67 kg per plot, respectively. These improvements underscore the significant impact of bioameliorants with an optimized organic matter composition on crop productivity. The yield enhancement is most likely attributable to improved soil fertility and nutrient dynamics, particularly greater nitrogen (N) availability, which plays a pivotal role in supporting plant growth and yield formation.
However, Figure 6 also reveals that the proportion of kernel yield relative to cob and pod dry weight remained notably low, with maize kernels accounting for only 9–12% of cob weight and soybean kernels representing 3–6% of pod weight. Such low harvest indices suggest potential fertility constraints within the cropping system. These outcomes may have resulted from drought stress during critical reproductive stages, which restricted assimilate translocation to developing grains, or from excessive soybean planting density, which may have intensified interspecific competition for water, light, and nutrients. Both factors likely contributed to reduced reproductive efficiency, thereby explaining the relatively low kernel-to-cob and kernel-to-pod ratios observed.

3.5. Micromorphological Characteristics of Bioameliorants

Scanning Electron Microscopy (SEM) images (2500× magnification) revealed clear structural gradients among the four bioameliorant formulations (Figure 7). The F1 bioameliorant (10% compost, 10% rice husk charcoal, 10% manure, and 70% mycorrhizal biofertilizer) exhibited a compact and cohesive structure with fine particles tightly bound within the matrix and only limited pore development. In contrast, F2 (15% each of compost, manure, and rice husk charcoal, with 55% biofertilizer) displayed a more heterogeneous surface characterized by irregular fragments and the presence of small, unevenly distributed pores.
A rougher and more porous texture emerged in F3 (20% each of compost, manure, and rice husk charcoal, and 40% biofertilizer), where interconnected voids and looser particle arrangements were evident, indicating a transition toward greater structural openness. The most distinct morphology was observed in F4 (25% of each component), which exhibited abundant pores, open cavities, and uniformly distributed aggregates across the surface.
Overall, the SEM images demonstrate a progressive shift from a dense and compact structure in F1 (10% compost, 10% rice husk charcoal, 10% manure, and 70% mycorrhizal biofertilizer) to a highly porous and well-organized network in F4 (25% compost, 25% rice husk charcoal, 25% manure, and 25% mycorrhizal biofertilizer). These morphological variations highlight the role of formulation composition in shaping bioameliorant microstructure and provide a mechanistic basis for subsequent differences in soil nitrogen availability and plant performance.

3.6. Differentiation Analysis of Bioameliorant Composition Based on SEM-EDX Results

The EDX spectra and elemental composition profiles (Figure 8 and Table 3) clearly demonstrate distinct trends across the bioameliorant formulations (F1–F4). Oxygen consistently dominated all samples, accounting for 73–74% by mass and 74–77% by atom, confirming that oxide compounds represent the primary structural components of the bioameliorants. Carbon content showed a pronounced increase from F1 to F4 (3.79–7.37% mass; 5.26–9.98% atom), which corresponded directly to the greater incorporation of compost, husks, and manure in the formulations. Nitrogen levels were comparatively higher in F1–F2 (≈10% mass; 12% atom), largely attributable to higher mycorrhizal contributions, but declined in F3–F4 (≈9–9.5% mass; 11% atom) as the relative proportion of proteinaceous biological inputs decreased. Minor elements such as K, Ca, Mg, P, and Zn exhibited relatively stable concentrations across treatments; however, their atomic% values were consistently lower due to their higher atomic weights. Collectively, these findings highlight that the elemental composition of the bioameliorants is governed by the interplay between mycorrhizal inoculation, which enhances oxygen and nitrogen content, and organic amendments, which predominantly contribute to carbon and trace mineral enrichment.

4. Discussion

4.1. Physicochemical Properties of Sandy Soils Constraining Nitrogen Availability

The analytical results revealed an extremely low total nitrogen (N) content (<0.01%), which indicates a condition of severe N deficiency. This is a characteristic feature of sandy soils, which generally possess low organic matter content, weak nutrient-retention capacity, and limited microbial activity. Such edaphic constraints inherently restrict crop growth and yield potential, making external nutrient inputs indispensable to meet plant nitrogen demand. Similar findings have been reported in other tropical drylands, where sandy soils exhibit poor nutrient mineralization due to rapid organic matter decomposition and minimal humus stabilization [34,35].
Although the soil pH at the study site was near neutral—a range generally considered favorable for nutrient solubility and microbial activity—the fertility status remains poor. Available phosphorus (P) levels were relatively high, likely due to residual accumulation from previous fertilizer applications. However, the actual bioavailability of this P fraction is limited, since a large proportion becomes immobilized through precipitation with calcium (Ca). Several studies have highlighted that only 10–13% of applied P is absorbed by plants, with the remainder bound in non-labile pools. This condition emphasizes the importance of microbial-driven P mobilization processes to enhance nutrient availability [36,37].
Potassium (K) and calcium (Ca) concentrations were within a moderate range. However, the soil’s very low cation exchange capacity (CEC; 8.25 cmol(+) kg−1) reduces the retention of essential cations such as ammonium (NH4+), Ca2+, and K+. Consequently, nutrients are easily leached under irregular rainfall or irrigation, which is typical of tropical drylands. This aligns with previous reports indicating that sandy soils often require frequent fertilization to sustain optimal crop performance [38].
The soil texture, classified as loamy sand with a dominance of coarse particles (69.23% sand), further explains the poor fertility status. High sand content results in rapid drainage and low water-holding capacity, which not only accelerates nutrient leaching but also creates drought stress for crops [39]. Low organic carbon (1.21%) and reduced biological activity exacerbate these conditions by limiting microbial-driven nutrient turnover [40,41]. In this context, the soil system operates with inherently low nutrient-use efficiency (NUE), which directly constrains crop productivity [42].
The combination of low N and organic C, very low CEC, and coarse sandy texture forms a set of interrelated limitations that severely reduce nutrient retention and cycling efficiency in these soils. Overcoming such constraints requires integrated soil fertility management strategies, including organic matter enrichment and microbial inoculation, to restore biological function and nutrient dynamics. Approaches such as the application of bioameliorants enriched with arbuscular mycorrhizal fungi (AMF) and phosphate-solubilizing microorganisms (PSMs) are particularly relevant, as they not only improve N and P availability but also enhance soil structural stability and long-term resilience [43,44,45].

4.2. Enhanced Soil Nitrogen Availability and Plant Uptake Through Bioameliorant Applications

The application of bioameliorants enriched with arbuscular mycorrhizal fungi (AMF) significantly improved soil nutrient availability, particularly nitrogen (N) and phosphorus (P), under suboptimal sandy soil conditions. AMF hyphal networks extended beyond the rhizosphere, enabling access to otherwise immobile nutrient pools in soil micropores, while phosphate-solubilizing microorganisms (PSMs) secreted organic acids and phosphatase enzymes that mobilized unavailable P fractions. This synergistic interaction enhanced nutrient availability and alleviated constraints that typically limit plant growth in sandy soils [46,47].
Although AMF hyphae are known to improve plant access to additional N, this effect was also reflected in the soil analysis. The Kjeldahl method confirmed that soils treated with AMF-enriched bioameliorants maintained significantly higher total N concentrations compared with the control, indicating that improved nutrient cycling and hyphal-mediated uptake were accompanied by measurable increases in soil N availability. This finding highlights that the contribution of AMF is not only physiological, by enhancing root nutrient uptake, but also ecological, by maintaining a more fertile soil environment.
The balanced formulation of the F4 treatment (25% compost, 25% rice husk biochar, 25% cattle manure, and 25% mycorrhizal biofertilizer) demonstrated the most consistent improvement in nutrient dynamics [48]. The addition of organic matter increased soil organic carbon, improved soil structure and cation exchange capacity (CEC), and stimulated microbial biomass, thereby supporting continuous nutrient turnover and enhancing nitrogen use efficiency (NUE) [49,50]. These findings are consistent with previous studies reporting that the integration of organic inputs and microbial inoculants improves soil fertility and enhances crop performance under marginal conditions.
The application of bioameliorant mixtures significantly improved nutrient use efficiency in maize and soybean at 42 DAP. In maize, nitrogen uptake increased progressively from 26.53 mg g−1 in the control (F0) to 31.24 mg g−1 under F4 treatment, corresponding to the highest NUE. Similarly, phosphorus uptake rose from 1.85 mg g−1 (F0) to 3.85 mg g−1 (F4). In soybean, nitrogen uptake increased from 32.21 mg g−1 (F0) to 44.84 mg g−1 (F4), while phosphorus uptake improved from 1.86 mg g−1 to 3.84 mg g−1 over the same treatments. Treatments F2, F3, and particularly F4 showed a marked improvement in NUE compared with the control, indicating that the application of bioameliorant mixtures enhanced nutrient availability and uptake efficiency during early crop growth.
NUE in this study was inferred from the relationship between soil N availability and plant N uptake, as reflected in tissue N concentrations and biomass accumulation. The integration of organic matter and microbial inoculants provided a more sustained N supply through mineralization, thereby minimizing losses from leaching and volatilization in sandy soils. This improved synchrony between N release and crop demand allowed a greater proportion of applied and mineralized N to be effectively utilized by the plants. In maize, higher tissue N concentrations and improved growth performance served as practical indicators of enhanced NUE, while in soybean, the synergistic effect of bioameliorants with biological N fixation further demonstrated efficient N utilization to support both vegetative and reproductive stages [51].
The increase in P uptake is equally important, as phosphorus plays a central role in ATP synthesis, root development, and enzymatic activation. By alleviating P limitation, AMF and PSM activity indirectly promoted greater N assimilation, highlighting the close interdependence of N and P cycles in crop productivity [52,53]. This ecological intensification mechanism contributes not only to higher yields but also to reduced reliance on chemical fertilizers, thereby enhancing the sustainability of maize–soybean intercropping systems in nutrient-constrained environments [54].
Optimized bioameliorant formulations such as F4 enhanced nutrient use efficiency by simultaneously improving mineralization, mobilization, and symbiotic acquisition of nutrients. This integrated approach aligns with sustainable agricultural intensification strategies, ensuring greater resilience of maize–soybean intercropping systems in nutrient-deficient agroecosystems [55,56].
In many cases, nitrogen (N) and phosphorus (P) concentrations tend to decrease as crop growth progresses due to nutrient uptake by plants. However, in our study, the application of the F4 bioameliorant treatment (25% compost, 25% rice husk biochar, 25% cattle manure, and 25% mycorrhizal biofertilizer) created a continuous nutrient supply that sustained or even enhanced soil N and P levels over time.
Specifically, compost, cattle manure, and biochar served as slow-release nutrient sources, while the presence of arbuscular mycorrhizal fungi (AMF) improved nutrient acquisition efficiency and mineralization processes in the rhizosphere. The synergistic interactions between organic matter inputs and microbial inoculants not only replenished the nutrients being absorbed by the crops but also enhanced soil organic carbon, which stimulated microbial activity and nutrient cycling. This explains why N increased from 1.91 to 2.27 g kg−1 in maize and from 1.43 to 1.98 g kg−1 in soybean, and why available P rose from 25.11 to 31.43 mg kg−1 in maize and from 23.63 to 25.13 mg kg−1 in soybean between 42 and 92 DAP.
Thus, the observed increases in N and P concentrations do not contradict the general pattern of nutrient depletion during plant growth, but rather reflect the continuous release and mobilization of nutrients facilitated by the balanced F4 bioameliorant formulation. This mechanism has also been reported in similar studies where the integration of organic amendments and microbial inoculants improved nutrient availability and soil fertility throughout the cropping cycle.

4.3. Effects of Bioameliorant Composition on AMF Spore Density and Root Colonization

The analysis of AMF spore abundance and root colonization across different bioameliorant formulations revealed distinct and crop-specific responses. Soybean rhizospheres exhibited significantly higher spore densities, which can be attributed to nitrogen-rich microenvironments created by root nodules. These nodules not only enhance soil microbial activity but also provide favorable conditions for AMF sporulation under sufficient phosphorus availability [57]. In contrast, maize demonstrated higher root colonization levels, reflecting its extensive root system and stronger dependency on AMF associations to support nutrient uptake in nutrient-poor soils [58].
The presence of AMF in control treatments, albeit at lower levels, indicates the persistence of indigenous AMF populations in the soil. This suggests that native fungal communities maintain a baseline infection potential, consistent with earlier studies showing that AMF propagules remain viable in marginal soils even in the absence of external inoculation [59]. However, the magnitude of spore density and colonization was markedly greater in bioameliorant treatments, particularly in F4, highlighting the benefits of balanced organic–microbial amendments in promoting robust AMF activity [60].
Quantitative data further emphasize the superior performance of F4. In maize, F4 treatment achieved spore densities of 4244 spores per 100 g of soil and colonization rates of 86.67% at 42 DAP, which increased to 4881 spores per 100 g and 96.67% at 92 DAP. In soybean, spore densities reached 5705.3 spores per 100 g with 76.67% colonization at 42 DAP, and further rose to 5894 spores per 100 g with 86.67% colonization at 92 DAP. These results demonstrate that F4 not only enhanced initial AMF establishment but also sustained high spore production and colonization throughout the growth cycle, ensuring long-term symbiotic efficiency.
The balanced composition of F4 (25% compost, 25% rice husk biochar, 25% cattle manure, and 25% mycorrhizal biofertilizer) created an enriched organic and microbial environment that supported the full life cycle of AMF, from spore germination to vesicle and arbuscule formation. Enhanced soil organic carbon and improved nutrient availability under this treatment likely stimulated AMF activity, leading to more effective root colonization. This symbiotic relationship, in turn, facilitated greater uptake of immobile nutrients such as phosphorus and micronutrients, thereby improving overall plant growth and productivity [61,62].
Interestingly, the F3 treatment, with a higher proportion of mycorrhizal biofertilizer (40%), also promoted significant spore proliferation. However, F4 proved superior in sustaining both high spore densities and root colonization rates over the growing period, demonstrating that balanced proportions of organic matter and microbial inoculants are more effective than simply increasing inoculum concentration. This indicates that the interaction between soil organic substrates and microbial inoculants determines the quality of the rhizosphere environment, which ultimately governs the effectiveness of AMF colonization and function [63,64].
The composition of bioameliorants strongly influences AMF proliferation and colonization efficiency. Treatments combining organic amendments and microbial inoculants enhanced soil microbial activity, stimulated AMF development, and optimized nutrient exchange between plants and fungi. Such improvements in AMF symbiosis contribute directly to greater nutrient uptake, improved plant growth, and enhanced resilience of maize–soybean intercropping systems in nutrient-deficient agroecosystems [65].

4.4. Impact of Bioameliorant Composition on Crop Yield

The application of bioameliorants with varying compositions significantly influenced crop performance, particularly in terms of nutrient uptake, biomass accumulation, and grain yield. Across treatments, maize consistently exhibited higher nutrient concentrations compared with soybean, underscoring its greater nutrient demand and stronger competitive ability within the intercropping system. The F4 treatment (25% compost, 25% rice husk biochar, 25% cattle manure, and 25% mycorrhizal biofertilizer) yielded the highest improvement across yield parameters, including total aboveground biomass, and kernel number [66,67].
Quantitative yield data confirm the superior performance of F4. Compared with the control, F4 increased maize cob dry weight from 13.06 kg to 17.28 kg per plot and soybean pod dry weight from 1.17 kg to 2.06 kg per plot. Similarly, maize kernel dry weight rose from 8.46 kg to 10.40 kg per plot, while soybean kernel dry weight increased nearly threefold, from 0.24 kg to 0.67 kg per plot. These improvements highlight the substantial contribution of balanced bioameliorant formulations to crop productivity under sandy, nutrient-poor soil conditions.
The enhanced yield performance under F4 can be attributed to synergistic interactions between organic matter and microbial inoculants. Organic amendments improved soil organic carbon, water-holding capacity, and cation exchange capacity, while the presence of AMF facilitated improved nutrient acquisition efficiency through an expanded absorptive surface area. These improvements enhanced nitrogen use efficiency (NUE), translating into increased photosynthate production and its effective allocation to reproductive organs, thereby supporting higher grain yield and harvest index [68,69].
Interestingly, although the F3 treatment contained a higher proportion of mycorrhizal biofertilizer (40%), it was statistically comparable to F4 for certain yield parameters, such as maize kernel weight. This suggests that simply increasing inoculum concentration does not guarantee proportional yield gains; instead, a balanced formulation that combines organic matter and microbial inoculants provides a more stable and sustainable yield improvement. Such results support the principle of ecological intensification, whereby multiple soil amendments interact to create resilient and productive cropping systems [70,71].
Comparisons with previous studies further reinforce these findings. For instance, similar improvements in maize–soybean systems under biofertilizer and compost application have been reported in tropical drylands, where increases in nutrient availability were closely linked to higher grain yields. The consistency of the present results across different yield components demonstrates the robustness of bioameliorants in enhancing crop productivity under nutrient-deficient conditions. More importantly, the results confirm that bioameliorants can effectively reduce the reliance on synthetic fertilizers while sustaining high yields in intercropping systems [72,73].
The balanced F4 formulation outperformed other treatments by maximizing soil fertility restoration, enhancing AMF symbiosis, and sustaining greater nutrient uptake efficiency. These integrated improvements translated into significant yield advantages in both maize and soybean. Thus, bioameliorants not only enhance short-term productivity but also contribute to the long-term sustainability of intercropping systems in sandy, nutrient-poor soils [74].

4.5. Role of Bioameliorant Microstructure in Nitrogen Cycling and Crop Performance

The micromorphological characteristics of bioameliorants play a critical role in shaping their functional performance in soil nitrogen (N) dynamics. Scanning Electron Microscopy (SEM) analysis revealed that denser and less porous formulations, such as F1, restricted microbial colonization and limited gaseous and aqueous diffusion, thereby constraining organic matter mineralization and N turnover. In contrast, the porous architectures of F3 and particularly F4 provided larger surface areas and interconnected pore networks, which enhanced microbial colonization, facilitated substrate diffusion, and accelerated the cycling of nitrogenous compounds [75].
These structural differences are consistent with previous findings showing that biochar–compost–manure blends with higher porosity create more favorable habitats for nitrifying and denitrifying microorganisms, improving nutrient cycling while reducing N losses through leaching or volatilization [76,77,78]. Enhanced pore connectivity not only facilitates microbial proliferation but also stabilizes microbially derived organic matter, thereby promoting long-term soil fertility and carbon sequestration [79,80]. Such changes also help regulate nitrogen transformations, ensuring greater synchronization between nutrient availability and crop demand [81].
The balanced formulation in F4, combining compost, rice husk biochar, cattle manure, and mycorrhizal biofertilizer in equal proportions, not only enhanced porosity but also enriched microbial colonization sites [82]. This synergy between structural and biological attributes resulted in improved synchronization between nutrient release and plant demand, thus enhancing nitrogen use efficiency (NUE) [83]. The presence of AMF further amplified this effect by creating extensive hyphal networks that accessed nutrient microsites beyond the immediate rhizosphere, improving the acquisition of both macro- and micronutrients [84,85].
Furthermore, the improved water-holding capacity and aeration provided by porous structures buffered crops against abiotic stresses, particularly intermittent drought typical of sandy drylands [86,87,88]. This indicates that bioameliorants influence plant performance not only chemically and biologically but also physically, through changes in soil structure that govern water and nutrient availability [89]. Such multifaceted contributions underline the importance of tailoring bioameliorant composition to achieve specific structural and biological properties that match crop and environmental requirements [90].
The microstructural attributes of bioameliorants are directly linked to their capacity to regulate N cycling and crop performance. Treatments like F4, which integrate balanced organic matter inputs with microbial inoculants, optimize porosity, microbial activity, and nutrient synchronization These improvements reinforce the role of bioameliorants as a sustainable tool for enhancing soil health, reducing nutrient losses, and improving the resilience and productivity of maize–soybean intercropping systems in nutrient-deficient sandy soils [91,92].

4.6. Elemental Composition and Soil Fertility Implications

The EDX results confirmed oxygen as the dominant element across all formulations (73–74% mass; 74–77% atom), indicating that oxides form the structural backbone of the bioameliorants, consistent with previous studies on the stability and nutrient content of biochar derived from different feedstocks and pyrolysis conditions [93]. Carbon content increased markedly from F1 to F4, reflecting higher inputs of compost, husks, and manure, which are key drivers of soil organic matter and nutrient retention in sandy soils [94]. Nitrogen was relatively higher in F1–F2 due to stronger mycorrhizal contributions but declined in F3–F4 as proteinaceous sources decreased, supporting the role of microbial symbiosis and organic blends in enhancing nitrogen cycling and plant uptake [95]. Minor nutrients (K, Ca, Mg, P, Zn) were stable but agronomically important, providing essential cofactors for plant metabolism and demonstrating slow-release dynamics that are highly feedstock dependent. The findings show that the balance between mycorrhizal inoculation and organic amendments determines the elemental profile of bioameliorants. Mycorrhiza primarily enhance nitrogen enrichment, while organic matter boosts carbon and trace minerals. This complementary interaction is particularly relevant for sandy soils, where low nutrient retention limits productivity. Thus, integrated bio-based amendments such as biochar–compost–vermicompost blends offer a promising strategy to improve nutrient availability, soil quality, and sustainable crop performance [96].

5. Conclusions

  • The application of bioameliorants significantly improved soil fertility, nutrient availability, and crop productivity in maize–soybean intercropping systems on sandy soils. Among all treatments, the balanced F4 formulation (25% compost, 25% rice husk biochar, 25% cattle manure, and 25% mycorrhizal biofertilizer) was the most effective, enhancing nitrogen and phosphorus availability, increasing soil organic matter, and stimulating microbial activity.
  • Yield improvements in both maize and soybean were strongly linked to greater nutrient use efficiency, higher AMF colonization, and improved soil health. These results demonstrate that bioameliorants provide dual benefits: immediate yield gains and long-term enhancement of soil resilience and fertility.
  • Optimized bioameliorant formulations therefore represent a practical and sustainable strategy to reduce dependence on chemical fertilizers and to strengthen ecological resilience in nutrient-deficient sandy agroecosystems, contributing to the development of nitrogen-efficient and climate-resilient intercropping systems.

Author Contributions

Conceptualization, W.A.; Methodology, M.T.F., software, L.E.S. and F., validation, W.A. and L.Z.; formal analysis, L.E.S.; writing—review and editing, W.A.; supervision, W.A.; project administration, W.A.; funding acquisition, W.A. All authors have read and agreed to the published version of the manuscript.

Funding

This research was funded by the Directorate of Research and Community Service, Directorate General of Research and Development, Ministry of Higher Education, Science, and Technology of the Republic of Indonesia, under contract number: SP DIPA-139.04.1.693320/2025.

Data Availability Statement

The data presented in this study are available on request from the corresponding author.

Acknowledgments

The authors would like to thank the DP2M–Ditjen Risbang–Kemendikti-Saintek Republic of Indonesia.

Conflicts of Interest

The authors declare no conflicts of interest. The funders had no role in the study design, data collection, analysis, interpretation, manuscript writing, or publication decisions.

References

  1. Suriadi, A.; Mulyani, A.; Hadiawati, L. Biophysical characteristics of dry-climate upland and agriculture development challenges in West Nusa Tenggara and East Nusa Tenggara Provinces. IOP Conf. Ser. Earth Environ. Sci. 2021, 648, 012014. [Google Scholar] [CrossRef]
  2. Lehman, R.M.; Cambardella, C.A.; Stott, D.E.; Acosta-Martinez, V.; Manter, D.K.; Buyer, J.S.; Karlen, D.L. Understanding and enhancing soil biological health: The solution for reversing soil degradation. Sustainability 2015, 7, 988–1027. [Google Scholar] [CrossRef]
  3. Simarmata, T.; Turmuktini, T.; Fitriatin, B.N.; Setiawati, M.R. Application of bio-ameliorant and biofertilizers to increase the soil health and rice productivity. Hayati J. Biosci. 2016, 23, 181–184. [Google Scholar] [CrossRef]
  4. Allohverdi, T.; Mohanty, A.K.; Roy, P.; Misra, M. A review on current status of biochar uses in agriculture. Molecules 2021, 26, 5584. [Google Scholar] [CrossRef]
  5. Ampong, K.; Thilakaranthna, M.S.; Gorim, L.Y. Understanding the role of humic acids on crop performance and soil health. Front. Agron. 2022, 4, 848621. [Google Scholar] [CrossRef]
  6. Smith, S.E.; Read, D.J. Mycorrhizal Symbiosis, 3rd ed.; Academic Press: Cambridge, MA, USA, 2010. [Google Scholar]
  7. Berruti, A.; Lumini, E.; Balestrini, R.; Bianciotto, V. Arbuscular mycorrhizal fungi as natural biofertilizers: Let’s benefit from past successes. Front. Microbiol. 2016, 6, 1559. [Google Scholar] [CrossRef]
  8. Astiko, W.; Sastrahidayat, I.R.; Djauhari, S.; Muhibuddin, A. The role of indigenous mycorrhiza in combination with cattle manure in improving maize yield (Zea mays L.) on sandy loam of northern Lombok, eastern of Indonesia. J. Trop. Soils 2013, 18, 53–58. [Google Scholar] [CrossRef]
  9. Astiko, W.; Wangiyana, W.; Susilowati, L.E. Indigenous mycorrhizal seed-coating inoculation on plant growth and yield, and NP-uptake and availability on maize–sorghum cropping sequence in Lombok’s drylands. Pertanika J. Trop. Agric. Sci. 2019, 42, 939–950. [Google Scholar]
  10. Astiko, W.; Fauzi, M.T. Nutrient status and mycorrhizal population on various food crops grown following corn inoculated with indigenous mycorrhiza on sandy soil of North Lombok, Indonesia. J. Trop. Soils 2015, 20, 119–125. [Google Scholar] [CrossRef]
  11. Mazzafera, P.; Favarin, J.L.; Andrade, S.A.L.D. Intercropping systems in sustainable agriculture. Front. Sustain. Food Syst. 2021, 5, 634361. [Google Scholar] [CrossRef]
  12. Zhang, L.; Feng, Y.; Zhao, Z.; Cui, Z.; Baoyin, B.; Wang, H.; Cui, J. Maize/soybean intercropping with nitrogen supply levels increases maize yield and nitrogen uptake by influencing the rhizosphere bacterial diversity of soil. Front. Plant Sci. 2024, 15, 1437631. [Google Scholar] [CrossRef]
  13. Zhang, H.; Zeng, F.; Zou, Z.; Zhang, Z.; Li, Y. Nitrogen uptake and transfer in a soybean/maize intercropping system in the karst region of southwest China. Ecol. Evol. 2017, 7, 8419–8426. [Google Scholar] [CrossRef]
  14. Winarti, C.; Widayanti, S.M.; Setyawan, N.; Suryana, E.A.; Widowati, S. Nutrient composition of Indonesian specialty cereals: Rice, corn, and sorghum as alternatives to combat malnutrition. Prev. Nutr. Food Sci. 2023, 28, 471–481. [Google Scholar] [CrossRef]
  15. Prasetyo, O.R.; Kadir, K. Does government assistance increase the yield of food crops in Indonesia? J. Ekon. Indones. 2024, 13, 25–41. [Google Scholar] [CrossRef]
  16. Rinaldi, J.; Arya, N.N.; Mahaputra, I.K.; Elisabeth, D.A.A.; Resiani, N.M.D.; Arsana, I.G.K.D.; Silitonga, T.F. Production factors, technical, and economic efficiency of soybean (Glycine max L. Merr.) farming in Indonesia. Open Agric. 2023, 8, 20220194. [Google Scholar] [CrossRef]
  17. Astiko, W.; Ernawati, N.M.L.; Silawibawa, I.P. The application of several bioameliorant formulations to increase soil nutrient concentration and yields maize–soybeans intercropping flexible to climate change in suboptimal land North Lombok, Indonesia. IOP Conf. Ser. Earth Environ. Sci. 2023, 1253, 012036. [Google Scholar] [CrossRef]
  18. Astiko, W.; Fauzi, M.T.; Muthahanas, I.; Ernawati, N.M.L. Nitrogen and phosphorus status, mycorrhizal development and crop yields in maize–soybean intercropping for sustainable agriculture in drylands. J. Lifestyle SDGs Rev. 2025, 5, e04667. [Google Scholar] [CrossRef]
  19. Astiko, W.; Ernawati, N.M.L.; Silawibawa, I.P. The yield of maize–soybean intercropping on mycorrhizal inoculation treatment and plant nutrition provision in suboptimal land North Lombok, Indonesia. IOP Conf. Ser. Earth Environ. Sci. 2022, 1107, 012006. [Google Scholar] [CrossRef]
  20. Astiko, W.; Ernawati, N.M.L.; Silawibawa, I.P. Impact of different soil tillage added bio-ameliorant on nutrient concentration and growth maize–soybean intercropping adaptive to climate change in dry land. E3S Web Conf. 2023, 467, 01001. [Google Scholar] [CrossRef]
  21. Casler, M.D. Fundamentals of experimental design: Guidelines for designing successful experiments. Agron. J. 2015, 107, 692–705. [Google Scholar] [CrossRef]
  22. Barillot, C.D.; Sarde, C.; Lebeau, T.; Rodier, C.; Ducombs, G.; Loisel, F.; Bertrand, C.; Planty-Tabacchi, A. A standardized method for the sampling of rhizosphere and rhizoplan soil bacteria associated to a herbaceous root system. Ann. Microbiol. 2013, 63, 597–606. [Google Scholar] [CrossRef]
  23. Rayment, G.E.; Lyons, D.J. Soil Chemical Methods—Australasia; CSIRO Publishing: Collingwood, VIC, Australia, 2011; ISBN 978-0-643-06768-4. [Google Scholar]
  24. Harsono, A.; Harnowo, D.; Ginting, E.; Elisabeth, D.A.A. Soybean in Indonesia: Current status, challenges and opportunities to achieve self-sufficiency. In Soybean for Human Consumption and Animal Feed; IntechOpen: London, UK, 2021; Available online: https://www.intechopen.com/chapters/79556 (accessed on 8 August 2025).
  25. Astiko, W.; Ernawati, N.M.L.; Silawibawa, I.P. The effect of plant density at the maize–soybean intercropping pattern inoculated with mycorrhizae and organic fertilizer to the growth and yield in dry land North Lombok, Indonesia. Int. J. Innov. Sci. Res. Technol. 2020, 5, 260–266. [Google Scholar] [CrossRef]
  26. Rose, A.H. Chemical Microbiology: An Introduction to Microbial Physiology; Elsevier: Amsterdam, The Netherlands, 2014. [Google Scholar]
  27. Jones, J.B. Laboratory Guide for Conducting Soil Tests and Plant Analysis; CRC Press: Boca Raton, FL, USA, 2001. [Google Scholar]
  28. Bray, R.H.; Kurtz, L.T. Determination of total, organic, and available forms of phosphorus in soils. Soil Sci. 1945, 59, 39–46. [Google Scholar] [CrossRef]
  29. Brundrett, M.; Bougher, N.; Dell, B.; Grove, T.; Malajczuk, N. Examining Mycorrhizal Associations. In Working with Mycorrhizas in Forestry and Agriculture; ACIAR Monograph: Canberra, Australia, 1996; Volume 32, pp. 173–212. [Google Scholar]
  30. Kormanik, P.P.; McGraw, A.C. Quantification of vesicular-arbuscular mycorrhiza in plant roots. In Methods and Principles of Mycorrhizal Research; Schenk, N.C., Ed.; The American Phytopathological Society: St. Paul, MN, USA, 1982; p. 244. [Google Scholar]
  31. Giovannetti, M.; Mosse, B. An evaluation of techniques for measuring vesicular arbuscular mycorrhizal infection in roots. New Phytol. 1980, 84, 489–500. [Google Scholar] [CrossRef]
  32. Kaech, A. An Introduction to Electron Microscopy Instrumentation, Imaging and Preparation; Center for Microscopy and Image Analysis, University of Zurich: Zurich, Switzerland, 2013; pp. 1–28. [Google Scholar]
  33. Gomez, K.A.; Gomez, A.A. Statistical Procedures for Agricultural Research, 2nd ed.; John Wiley & Sons: New York, NY, USA, 1984. [Google Scholar]
  34. Brady, N.C.; Weil, R.R. The Nature and Properties of Soils, 15th ed.; Pearson Education: London, UK, 1996. [Google Scholar]
  35. Ross, S.M. Organic matter in tropical soils: Current conditions, concerns and prospects for conservation. Prog. Phys. Geogr. 1993, 17, 157–179. [Google Scholar] [CrossRef]
  36. Luo, X.; Elrys, A.S.; Zhang, L.; Ibrahim, M.M.; Liu, Y.; Fu, S.; Hou, E. The global fate of inorganic phosphorus fertilizers added to terrestrial ecosystems. One Earth 2024, 7, 1402–1413. [Google Scholar] [CrossRef]
  37. Ghodszad, L.; Reyhanitabar, A.; Maghsoodi, M.R.; Lajayer, B.A.; Chang, S.X. Biochar Affects the Fate of Phosphorus in Soil and Water: A Critical Review. Chemosphere 2021, 283, 131176. [Google Scholar] [CrossRef]
  38. Hazelton, P.; Murphy, B. Interpreting Soil Test Results: What Do All the Numbers Mean? CSIRO Publishing: Clayton, Australia, 2016. [Google Scholar]
  39. Obalum, S.E.; Chibuike, G.U.; Peth, S.; Ouyang, Y. Soil organic matter as sole indicator of soil degradation. Environ. Monit. Assess. 2017, 189, 176. [Google Scholar] [CrossRef]
  40. Rawls, W.J.; Pachepsky, Y.A.; Ritchie, J.C.; Sobecki, T.M.; Bloodworth, H. Effect of soil organic carbon on soil water retention. Geoderma 2003, 116, 61–76. [Google Scholar] [CrossRef]
  41. Six, J.; Frey, S.D.; Thiet, R.K.; Batten, K.M. Bacterial and fungal contributions to carbon sequestration in agroecosystems. Soil Sci. Soc. Am. J. 2006, 70, 555–569. [Google Scholar] [CrossRef]
  42. Qiu, Y.; Wang, Z.; Sun, D.; Lei, Y.; Li, Z.; Zheng, Y. Advances in Water and Nitrogen Management for Intercropping Systems: Crop Growth and Soil Environment. Agronomy 2025, 15, 2000. [Google Scholar] [CrossRef]
  43. Turner, B.L. Organic phosphorus transfer from terrestrial to aquatic environments. In Organic Phosphorus in the Environment; Turner, B.L., Frossard, E., Baldwin, D.S., Eds.; CABI: Wallingford, UK, 2005; pp. 269–294. [Google Scholar]
  44. Tejada, M.; Benítez, C. Effects of different organic wastes on soil biochemical properties and yield in an olive grove. Appl. Soil Ecol. 2020, 146, 103371. [Google Scholar] [CrossRef]
  45. Jones, D.L.; Oburger, E. Solubilization of phosphorus by soil microorganisms. In Phosphorus in Action: Biological Processes in Soil Phosphorus Cycling; Bünemann, E.K., Oberson, A., Frossard, E., Eds.; Springer: Berlin/Heidelberg, Germany, 2010; pp. 169–198. [Google Scholar] [CrossRef]
  46. Ebbisa, A. Arbuscular mycorrhizal fungi (AMF) in optimizing nutrient bioavailability and reducing agrochemicals for maintaining sustainable agroecosystems. In Arbuscular Mycorrhizal Fungi in Agriculture—New Insights; IntechOpen: London, UK, 2022; Available online: https://www.intechopen.com/chapters/83426 (accessed on 10 August 2025).
  47. Jatana, B.S.; Kitchens, C.; Ray, C.; Gerard, P.; Tharayil, N. Dual inoculation with arbuscular mycorrhizal fungi and phosphorus solubilizing fungi synergistically enhances the mobilization and plant uptake of phosphorus from meat and bone meal. Front. Soil Sci. 2021, 1, 757839. [Google Scholar] [CrossRef]
  48. Wahid, F.; Fahad, S.; Danish, S.; Adnan, M.; Yue, Z.; Saud, S.; Datta, R. Sustainable management with mycorrhizae and phosphate solubilizing bacteria for enhanced phosphorus uptake in calcareous soils. Agriculture 2020, 10, 334. [Google Scholar] [CrossRef]
  49. Gai, X.; Liu, H.; Liu, J.; Zhai, L.; Yang, B.O.; Wu, S.; Wang, H. Long-term benefits of combining chemical fertilizer and manure applications on crop yields and soil carbon and nitrogen stocks in North China Plain. Agric. Water Manag. 2018, 208, 384–392. [Google Scholar] [CrossRef]
  50. Akmal, M.; Maqbool, Z.; Khan, K.S.; Hussain, Q.; Ijaz, S.S.; Iqbal, M.; Rafa, H.U. Integrated use of biochar and compost to improve soil microbial activity, nutrient availability, and plant growth in arid soil. Arab. J. Geosci. 2019, 12, 232. [Google Scholar] [CrossRef]
  51. Singh, N.K.; Sachan, K.; Bp, M.; Panotra, N.; Katiyar, D. Building soil health and fertility through organic amendments and practices: A review. Asian J. Soil Sci. Plant Nutr. 2024, 10, 175–197. [Google Scholar] [CrossRef]
  52. Vance, C.P.; Uhde-Stone, C.; Allan, D.L. Phosphorus acquisition and use: Critical adaptations by plants for securing a nonrenewable resource. New Phytol. 2003, 157, 423–447. [Google Scholar] [CrossRef]
  53. Hinsinger, P.; Betencourt, E.; Bernard, L.; Brauman, A.; Plassard, C.; Shen, J.; Tang, X.; Zhang, F. P for two, sharing a scarce resource: Soil phosphorus acquisition in the rhizosphere of intercropped species. Plant Physiol. 2011, 156, 1078–1086. [Google Scholar] [CrossRef]
  54. Li, L.; Tilman, D.; Lambers, H.; Zhang, F. Plant diversity and overyielding: Insights from belowground facilitation of intercropping in agriculture. New Phytol. 2014, 203, 63–69. [Google Scholar] [CrossRef]
  55. Folina, A.; Kakabouki, I.; Baginetas, K.; Bilalis, D. Integration of bioresources for sustainable development in organic farming: A comprehensive review. Resources 2025, 14, 102. [Google Scholar] [CrossRef]
  56. Vahedi, R.; Rasouli-Sadaghiani, M.; Barin, M.; Vetukuri, R.R. Interactions between biochar and compost treatment and mycorrhizal fungi to improve the qualitative properties of a calcareous soil under rhizobox conditions. Agriculture 2021, 11, 993. [Google Scholar] [CrossRef]
  57. Wang, G.; Wu, F.; Gao, M.; Cheng, H.; Zhang, F. Rhizobia and arbuscular mycorrhizal fungi synergistically enhance AMF spore density and colonization in soybean rhizospheres. Agronomy 2023, 13, 738. [Google Scholar] [CrossRef]
  58. Liu, Y.; Rong, Q.; Chen, S.; Wei, X. Arbuscular mycorrhizal fungi promote root length, surface area, and volume in maize under sandy and saline–alkali soil conditions. Plants 2024, 13, 2056. [Google Scholar] [CrossRef]
  59. Redecker, D.; Kodner, R.; Graham, L.E. Glomalean fungi from the Ordovician: A 460-million-year-old fossil similar to modern mycorrhizae. Science 2000, 289, 1920–1921. [Google Scholar] [CrossRef]
  60. Hammer, E.C.; Nasr, H.; Wallander, H. Effects of different organic materials and mineral nutrients on arbuscular mycorrhizal fungal growth in a Mediterranean saline dryland. Soil Biol. Biochem. 2011, 43, 2332–2337. [Google Scholar] [CrossRef]
  61. Li, M.; Cai, L. Biochar and arbuscular mycorrhizal fungi play different roles in enabling maize to uptake phosphorus. Sustainability 2021, 13, 3244. [Google Scholar] [CrossRef]
  62. Teodoro, M.; Trakal, L.; Gallagher, B.N.; Šimek, P.; Soudek, P.; Pohořelý, M.; Beesley, L.; Jačka, L.; Kovář, M.; Seyedsadr, S. Application of co-composted biochar significantly improved plant-growth relevant physical/chemical properties of a metal contaminated soil. Chemosphere 2020, 242, 125255. [Google Scholar] [CrossRef]
  63. Atangana, A.; Khasa, D.; Chang, S.; Degrande, A. Biological nitrogen fixation and mycorrhizal associations in agroforestry. In Tropical Agroforestry; Springer: Dordrecht, The Netherlands, 2013; pp. 173–202. [Google Scholar] [CrossRef]
  64. Zhang, M.; Li, X.; Wang, H.; Huang, Q. Comprehensive analysis of grazing intensity impacts on soil organic carbon: A case study in typical steppe of Inner Mongolia, China. Appl. Soil Ecol. 2018, 129, 1–12. [Google Scholar] [CrossRef]
  65. Ahmed, N.; Li, J.; Li, Y.; Deng, L.; Deng, L.; Chachar, M.; Tu, P. Symbiotic synergy: How arbuscular mycorrhizal fungi enhance nutrient uptake, stress tolerance, and soil health through molecular mechanisms and hormonal regulation. IMA Fungus 2025, 16, e144989. [Google Scholar] [CrossRef] [PubMed]
  66. Cong, W.-F.; Hoffland, E.; Li, L.; Six, J.; Sun, J.-H.; Bao, X.-G.; Zhang, F.-S.; Van Der Werf, W. Intercropping enhances soil carbon and nitrogen. Glob. Change Biol. 2015, 21, 1715–1726. [Google Scholar] [CrossRef]
  67. Zhang, S.; Li, S.; Meng, L.; Liu, X.; Zhang, Y.; Zhao, S.; Zhao, H. Root exudation under maize/soybean intercropping system mediates the arbuscular mycorrhizal fungi diversity and improves plant growth. Front. Plant Sci. 2024, 15, 1375194. [Google Scholar] [CrossRef]
  68. Tian, Q.; Wang, X.; Zhang, X.; Shen, J. Multifaceted ability of organic fertilizers to improve crop yield, soil fertility, and nutrient use efficiency—A review. Agronomy 2024, 14, 1141. [Google Scholar] [CrossRef]
  69. Chandrasekaran, M. Arbuscular Mycorrhizal Fungi Mediated Enhanced Biomass, Root Morphological Traits and Nutrient Uptake under Drought Stress: A Meta-Analysis. J. Fungi 2022, 8, 660. [Google Scholar] [CrossRef] [PubMed]
  70. Khan, A.; Singh, A.V.; Gautam, S.S.; Agarwal, A.; Punetha, A.; Upadhayay, V.K.; Goel, R. Microbial Bioformulation: A Microbial Assisted Biostimulating Fertilization Technique for Sustainable Agriculture. Front. Plant Sci. 2023, 14, 1270039. [Google Scholar] [CrossRef] [PubMed]
  71. Ndiate, N.I.; Saeed, Q.; Haider, F.U.; Liqun, C.; Nkoh, J.N.; Mustafa, A. Co-Application of Biochar and Arbuscular Mycorrhizal Fungi Improves Salinity Tolerance, Growth and Lipid Metabolism of Maize (Zea mays L.) in an Alkaline Soil. Plants 2021, 10, 2490. [Google Scholar] [CrossRef] [PubMed]
  72. Agegnehu, G.; Bass, A.M.; Nelson, P.N.; Bird, M.I. Benefits of Biochar, Compost and Biochar–Compost for Soil Quality, Maize Yield and Greenhouse Gas Emissions in a Tropical Agricultural Soil. Sci. Total Environ. 2016, 543, 295–306. [Google Scholar] [CrossRef]
  73. Thuita, M.; Pypers, P.; Herrmann, L.; Okalebo, R.J.; Othieno, C.; Muema, E.; Lesueur, D. Commercial Rhizobial Inoculants Enhanced Growth and Grain Yield of Soybean in Kenyan Soils. Field Crops Res. 2012, 127, 129–136. [Google Scholar]
  74. Kohler, J.; Caravaca, F.; Azcón, R.; Díaz, G.; Roldán, A. The Combination of Compost Addition and Arbuscular Mycorrhizal Inoculation Produced Positive and Synergistic Effects on the Phytomanagement of a Semiarid Mine Tailing. Sci. Total Environ. 2015, 514, 42–48. [Google Scholar] [CrossRef]
  75. Berthelsen, S.; Noble, A.D.; Ruaysoongnerm, S.; Webb, M.; Hengfu, H.; Jiexiang, Y. Addition of Clay-Based Soil Ameliorants to Light Textured Soils to Reduce Nutrient Loss and Increase Crop Productivity. In Management of Tropical Sandy Soils for Sustainable Agriculture; FAO: Khon Kaen, Thailand, 2005; pp. 373–388. ISBN 978-974-7946-96-3. [Google Scholar]
  76. Alkharabsheh, H.M.; Seleiman, M.F.; Battaglia, M.L.; Shami, A.; Jalal, R.S.; Alhammad, B.A.; Almutairi, K.F.; Al-Saif, A.M. Biochar and Its Broad Impacts in Soil Quality and Fertility, Nutrient Leaching and Crop Productivity: A Review. Agronomy 2021, 11, 993. [Google Scholar] [CrossRef]
  77. Tsai, C.-C.; Chang, Y.-F. Nitrogen Availability in Biochar-Amended Soils with Excessive Compost Application. Agronomy 2020, 10, 444. [Google Scholar] [CrossRef]
  78. Yang, Y.; Liu, X.; Li, Y.; Xiao, J.; Wang, R.; Zhang, M.; Wang, Z. Soil Pore Structure Changes Induced by Biochar Affect Microbial Diversity and Community Structure in an Ultisol Amended with Straw-Derived Biochars. Soil Tillage Res. 2022, 224, 105505. [Google Scholar] [CrossRef]
  79. Kallenbach, C.M.; Frey, S.D.; Grandy, A.S. Direct Evidence for Microbial-Derived Soil Organic Matter Formation and Its Ecophysiological Controls. Nat. Commun. 2016, 7, 13630. [Google Scholar] [CrossRef]
  80. Kravchenko, A.N.; Guber, A.K.; Razavi, B.S.; Koestel, J.; Quigley, M.Y.; Robertson, G.P.; Kuzyakov, Y. Microbial Spatial Footprint as a Driver of Soil Carbon Stabilization. Nat. Commun. 2019, 10, 3121. [Google Scholar] [CrossRef] [PubMed]
  81. Luo, P.; Zhang, W.; Xiao, D.; Hu, J.; Li, N.; Yang, J. Biochar-Based Fertilizers: Advancements, Applications, and Future Directions in Sustainable Agriculture—A Review. Agronomy 2025, 15, 1104. [Google Scholar] [CrossRef]
  82. Agegnehu, G.; Srivastava, A.K.; Bird, M.I. The Role of Biochar and Compost in Improving Soil Fertility and Crop Performance: A Review. Appl. Soil Ecol. 2017, 119, 156–170. [Google Scholar] [CrossRef]
  83. Klabi, R.; Hamel, C.; Schellenberg, M.P.; Iwaasa, A.; Raies, A.; St-Arnaud, M. Interaction between Legume and Arbuscular Mycorrhizal Fungi Identity Alters the Competitive Ability of Warm-Season Grass Species in a Grassland Community. Soil Biol. Biochem. 2014, 70, 176–182. [Google Scholar] [CrossRef]
  84. Van der Heijden, M.G.A.; Martin, F.M.; Selosse, M.-A.; Sanders, I.R. Mycorrhizal Ecology and Evolution: The Past, the Present, and the Future. New Phytol. 2015, 205, 1406–1423. [Google Scholar] [CrossRef]
  85. Chandrasekaran, M.; Boughattas, S.; Hu, S.; Oh, S.-H.; Sa, T. A Meta-Analysis of Arbuscular Mycorrhizal Effects on Plants Grown under Salt Stress. Mycorrhiza 2014, 24, 611–625. [Google Scholar] [CrossRef]
  86. Laird, D.A.; Fleming, P.; Wang, B.; Horton, R.; Karlen, D.L. Biochar Impact on Nutrient Leaching from a Midwestern Agricultural Soil. Geoderma 2010, 158, 436–442. [Google Scholar] [CrossRef]
  87. Blanco-Canqui, H. Biochar and Soil Physical Properties. Soil Sci. Soc. Am. J. 2017, 81, 687–711. [Google Scholar] [CrossRef]
  88. Xu, G.; Sun, J.; Shao, H.; Chang, S.X. Biochar Had Effects on Phosphorus Sorption and Desorption in Three Soils with Differing Acidity. Ecol. Eng. 2014, 62, 54–60. [Google Scholar] [CrossRef]
  89. Biederman, L.A.; Harpole, W.S. Biochar and Its Effects on Plant Productivity and Nutrient Cycling: A Meta-Analysis. GCB Bioenergy 2013, 5, 202–214. [Google Scholar] [CrossRef]
  90. Jeffery, S.; Abalos, D.; Spokas, K.A.; Verheijen, F.G.A. Biochar Effects on Crop Yield. In Biochar for Environmental Management: Science, Technology and Implementation; Lehmann, J., Joseph, S., Eds.; Routledge: London, UK, 2015; pp. 301–325. [Google Scholar]
  91. Choudhary, M.; Datta, A.; Jat, H.S.; Yadav, A.K.; Gathala, M.K.; Sapkota, T.B.; Das, A.K.; Sharma, P.C.; Jat, M.L. Changes in Soil Biology under Conservation Agriculture Based Sustainable Intensification of Cereal Systems in Indo-Gangetic Plains. Soil Tillage Res. 2018, 186, 110–121. [Google Scholar] [CrossRef]
  92. Raza, M.A.; Yasin, H.S.; Gul, H.; Qin, R.; Mohi Ud Din, A.; Khalid, M.H.B.; Yang, W. Maize/Soybean Strip Intercropping Produces Higher Crop Yields and Saves Water under Semi-Arid Conditions. Plants 2022, 13, 1006720. [Google Scholar] [CrossRef]
  93. Joseph, S.D.; Camps-Arbestain, M.; Lin, Y.; Munroe, P.; Chia, C.H.; Hook, J.; van Zwieten, L.; Kimber, S.; Cowie, A.; Singh, B.P.; et al. An Investigation into the Reactions of Biochar in Soil. Aust. J. Soil Res. 2010, 48, 501–515. [Google Scholar] [CrossRef]
  94. Kloss, S.; Zehetner, F.; Wimmer, B.; Buecker, J.; Rempt, F.; Soja, G. Biochar Application to Temperate Soils: Effects on Soil Fertility and Crop Growth under Greenhouse Conditions. J. Environ. Qual. 2014, 43, 1956–1966. [Google Scholar] [CrossRef]
  95. Sánchez-Monedero, M.A.; Cayuela, M.L.; Sánchez-García, M.; Vandecasteele, B.; D’Hose, T.; López, G.; Martínez-Gaitán, C.; Kuikman, P.J.; Sinicco, T.; Mondini, C. Agronomic Evaluation of Biochar, Compost and Biochar-Blended Compost across Different Cropping Systems: Perspective from the European Project FERTIPLUS. Agronomy 2019, 9, 225. [Google Scholar] [CrossRef]
  96. Rehman, S.U.; De Castro, F.; Aprile, A.; Benedetti, M.; Fanizzi, F.P. Vermicompost: Enhancing Plant Growth and Combating Abiotic and Biotic Stress. Agronomy 2023, 13, 1134. [Google Scholar] [CrossRef]
Figure 1. The site of the field experiment.
Figure 1. The site of the field experiment.
Nitrogen 06 00089 g001
Figure 2. Layout of field experiment.
Figure 2. Layout of field experiment.
Nitrogen 06 00089 g002
Figure 3. Concentration of N, P and C-organic nutrients in soil in bioameliorants with different compositions. Different letters indicate significant differences among treatments.
Figure 3. Concentration of N, P and C-organic nutrients in soil in bioameliorants with different compositions. Different letters indicate significant differences among treatments.
Nitrogen 06 00089 g003aNitrogen 06 00089 g003b
Figure 4. Plant N and P Nutrient Uptake in Bioameliorants with Different Compositions. Different letters indicate significant differences among treatments.
Figure 4. Plant N and P Nutrient Uptake in Bioameliorants with Different Compositions. Different letters indicate significant differences among treatments.
Nitrogen 06 00089 g004
Figure 5. Number of Spores (per 100 g Soil) and Colonization (%) in Bioameliorants with Different Compositions at 42 and 92 DAP. Bars sharing the same letter within the same color are not significantly different according to the LSD test at the 5% level. Different letters indicate significant differences among treatments.
Figure 5. Number of Spores (per 100 g Soil) and Colonization (%) in Bioameliorants with Different Compositions at 42 and 92 DAP. Bars sharing the same letter within the same color are not significantly different according to the LSD test at the 5% level. Different letters indicate significant differences among treatments.
Nitrogen 06 00089 g005
Figure 6. Dry Weight of Maize Cobs (DWC), Soybean Pods (DWP), Maize Kernels (DWK-M), and Soybean Kernels (DWK-S) per Plot (kg). Bars sharing the same letter within the same color are not significantly different according to the LSD test at the 5% level. Different letters indicate significant differences among treatments.
Figure 6. Dry Weight of Maize Cobs (DWC), Soybean Pods (DWP), Maize Kernels (DWK-M), and Soybean Kernels (DWK-S) per Plot (kg). Bars sharing the same letter within the same color are not significantly different according to the LSD test at the 5% level. Different letters indicate significant differences among treatments.
Nitrogen 06 00089 g006
Figure 7. Visual appearance (upper row) and SEM images at 2500× magnification (lower row) of bioameliorant formulations with different compositions: F1 (10% compost + 10% rice husk charcoal + 10% manure + 70% mycorrhizal biofertilizer), F2 (15% each of compost, manure, and rice husk charcoal + 55% biofertilizer), F3 (20% each + 40% biofertilizer), and F4 (25% each component).
Figure 7. Visual appearance (upper row) and SEM images at 2500× magnification (lower row) of bioameliorant formulations with different compositions: F1 (10% compost + 10% rice husk charcoal + 10% manure + 70% mycorrhizal biofertilizer), F2 (15% each of compost, manure, and rice husk charcoal + 55% biofertilizer), F3 (20% each + 40% biofertilizer), and F4 (25% each component).
Nitrogen 06 00089 g007
Figure 8. Energy Dispersive X-ray Spectroscopy (JEOL JCM-7000 NeoScope with EDX) analysis of elemental composition in bioameliorant formulations F1–F4.
Figure 8. Energy Dispersive X-ray Spectroscopy (JEOL JCM-7000 NeoScope with EDX) analysis of elemental composition in bioameliorant formulations F1–F4.
Nitrogen 06 00089 g008
Table 1. Bioameliorant treatment with a composition of compost, manure, rice husk charcoal and mycorrhizal biofertilizer.
Table 1. Bioameliorant treatment with a composition of compost, manure, rice husk charcoal and mycorrhizal biofertilizer.
TreatmentBioameliorant Composition (% Weight)
CompostManureHusk CharcoalMycorrhiza
F0----
F110101070
F215151555
F320202040
F425252525
Table 2. Initial Physicochemical Properties of Sandy Soil at the Study Site.
Table 2. Initial Physicochemical Properties of Sandy Soil at the Study Site.
Soil PropertiesValueCategory *
pH (H2O)6.25Near-neutral
N Total % (Kjedahl)0.01Very Low
Available P (mg kg−1) (Olsen)13.82High
Available K (cmol kg−1) (Morgan-Wolf, AAS)0.57Moderate
Available Ca (cmol kg−1) (NH4OAc Extraction Method)7.38Moderate
Organic C (%) (Walkley–Black)1.21Very Low
Cation Exchange Capacity (cmol kg−1) (Ammonium Acetate)8.25Very low
- Sand (%)69.23-
- Silt (%)29.34-
- Clay (%)2.40-
Soil Texture-Loamy Sand
* Based on Soil Research Center, Bogor (2009).
Table 3. Mass% and atom% of elemental components in bioameliorant formulations (F1–F4) determined by EDX.
Table 3. Mass% and atom% of elemental components in bioameliorant formulations (F1–F4) determined by EDX.
ElementMass %Atom %
F1F2F3F4F1F2F3F4
C3.79 ± 0.134.91 ± 0.145.13 ± 0.167.37 ± 0.185.26 ± 0.186.76 ± 0.207.06 ± 0.229.98 ± 0.24
N10.05 ± 0.4710.20 ± 0.479.80 ± 0.499.48 ± 0.4711.05 ± 0.5612.04 ± 0.5511.57 ± 0.5811.01 ± 0.55
O74.41 ± 0.9373.77 ± 0.9274.02 ± 0.9773.48 ± 0.9377.53 ± 0.9776.28 ± 0.9576.46 ± 1.0074.75 ± 0.94
Mg1.46 ± 0.111.41 ± 0.101.47 ± 0.111.22 ± 0.101.00 ± 0.070.96 ± 0.071.00 ± 0.080.82 ± 0.07
P0.87 ± 0.070.73 ± 0.070.84 ± 0.080.83 ± 0.070.47 ± 0.040.39 ± 0.040.45 ± 0.040.44 ± 0.04
K4.79 ± 0.194.50 ± 0.184.68 ± 0.204.03 ± 0.182.04 ± 0.081.90 ± 0.081.98 ± 0.081.68 ± 0.07
Ca3.51 ± 0.183.35 ± 0.172.92 ± 0.172.71 ± 0.161.46 ± 0.071.38 ± 0.071.21 ± 0.071.10 ± 0.06
Zn1.13 ± 0.171.14 ± 0.171.13 ± 0.180.88 ± 0.160.29 ± 0.040.29 ± 0.040.29 ± 0.050.22 ± 0.04
Total100.00100.00100.00100.00100.00100.00100.00100.00
Disclaimer/Publisher’s Note: The statements, opinions and data contained in all publications are solely those of the individual author(s) and contributor(s) and not of MDPI and/or the editor(s). MDPI and/or the editor(s) disclaim responsibility for any injury to people or property resulting from any ideas, methods, instructions or products referred to in the content.

Share and Cite

MDPI and ACS Style

Astiko, W.; Fauzi, M.T.; Susilowati, L.E.; Zulkifli, L.; Fahrurozi. Improving Nitrogen Availability and Crop Productivity Using Bioameliorants in Maize–Soybean Intercropping on Suboptimal Land. Nitrogen 2025, 6, 89. https://doi.org/10.3390/nitrogen6040089

AMA Style

Astiko W, Fauzi MT, Susilowati LE, Zulkifli L, Fahrurozi. Improving Nitrogen Availability and Crop Productivity Using Bioameliorants in Maize–Soybean Intercropping on Suboptimal Land. Nitrogen. 2025; 6(4):89. https://doi.org/10.3390/nitrogen6040089

Chicago/Turabian Style

Astiko, Wahyu, Mohamad Taufik Fauzi, Lolita Endang Susilowati, Lalu Zulkifli, and Fahrurozi. 2025. "Improving Nitrogen Availability and Crop Productivity Using Bioameliorants in Maize–Soybean Intercropping on Suboptimal Land" Nitrogen 6, no. 4: 89. https://doi.org/10.3390/nitrogen6040089

APA Style

Astiko, W., Fauzi, M. T., Susilowati, L. E., Zulkifli, L., & Fahrurozi. (2025). Improving Nitrogen Availability and Crop Productivity Using Bioameliorants in Maize–Soybean Intercropping on Suboptimal Land. Nitrogen, 6(4), 89. https://doi.org/10.3390/nitrogen6040089

Article Metrics

Back to TopTop