Preliminary Investigation of Nitrogen Rate Influence on Irrigated Bermudagrass Forage Production
Abstract
1. Introduction
2. Materials and Methods
2.1. Field Study
2.2. Soil Analysis
2.3. Biomass Harvest
2.4. Statistical Analysis
3. Results
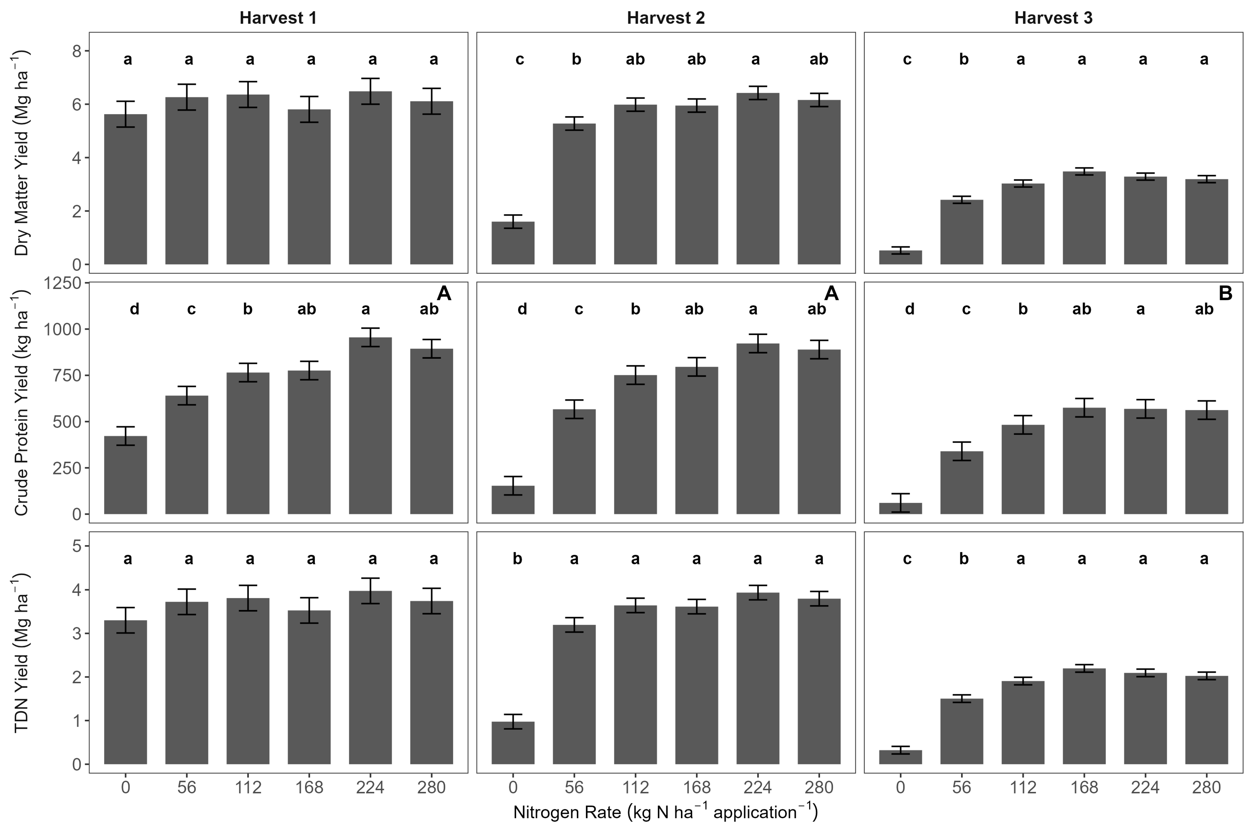
3.1. Forage Production
3.2. Quadratic Plateau Model and Optimum Nitrogen Rates
4. Discussion
4.1. Forage Production
4.2. Quadratic Plateau Model and Optimum Nitrogen Rates
5. Conclusions
Author Contributions
Funding
Data Availability Statement
Acknowledgments
Conflicts of Interest
Abbreviations
| ADF | Acid Detergent Fiber |
| AONR | Agronomic Optimum Nitrogen Rate |
| CP | Crude Protein |
| DM | Dry Matter |
| EONR | Economic Optimum Nitrogen Rate |
| K | Potassium |
| N | Nitrogen |
| NDF | Neutral Detergent Fiber |
| P | Phosphorus |
| TDN | Total Digestible Nutrients |
References
- Wilkinson, S.R.; Langdale, G.W. Fertility needs of the warm-season grasses. In Forage Fertilization; Mays, D.A., Ed.; American Society of Agronomy: Madison, WI, USA, 1974. [Google Scholar] [CrossRef]
- Osborne, S.L.; Raun, W.R.; Johnson, G.V.; Rogers, J.L.; Altom, W. Bermudagrass response to high nitrogen rates, source, and season of application. Agron. J. 1999, 91, 438–444. [Google Scholar] [CrossRef]
- Westerman, R.L.; O’Hanlon, R.J.; Fox, G.L.; Minter, D.L. Nitrogen fertilizer efficiency in bermudagrass production. Soil Sci. Soc. Am. J. 1983, 47, 810–817. [Google Scholar] [CrossRef]
- Sohm, G.; Thompson, C.; Assefa, Y.; Schlegel, A.; Holman, J. Yield and quality of irrigated bermudagrass as a function of nitrogen rate. Agron. J. 2014, 106, 1489–1496. [Google Scholar] [CrossRef]
- Kering, M.K.; Guretzky, J.; Funderburg, E.; Mosali, J. Effect of nitrogen fertilizer rate and harvest season on forage yield, quality, and macronutrient concentrations in Midland bermudagrass. Commun. Soil Sci. Plant Anal. 2011, 42, 1958–1971. [Google Scholar] [CrossRef]
- Massey, C.G.; Slaton, N.A.; Norman, R.J.; Gbur, E.E., Jr.; DeLong, R.E.; Golden, B.R. Bermudagrass forage yield and ammonia volatilization as affected by nitrogen fertilization. Soil Sci. Soc. Am. J. 2011, 75, 638–648. [Google Scholar] [CrossRef]
- Sohoulande, C.D.; Ma, L.; Qi, Z.; Szogi, A.; Stone, K.; Harmel, D.R.; Martin, J.H.; Birru, G.; Sima, M. Agronomic and environmental effects of forage-cutting schedule and nitrogen fertilization for bermudagrass (Cynodon dactylon L.). Agric. Ecosyst. Environ. 2025, 378, 109318. [Google Scholar] [CrossRef]
- Burns, J.C.; Wagger, M.G.; Fisher, D.S. Animal and pasture productivity of ‘Coastal’ and ‘Tifton 44’ bermudagrass at three nitrogen rates and associated soil nitrogen status. Agron. J. 2009, 101, 32–40. [Google Scholar] [CrossRef]
- Stone, K.C.; Bauer, P.J.; Andrae, J.O.; Busscher, W.J.; Millen, J.A.; Strickland, E.E.; Evans, D.E. Irrigation and nitrogen impact on bermudagrass yield response in the Southeastern Coastal Plain. Trans. ASABE 2012, 55, 969–978. [Google Scholar] [CrossRef]
- Hejl, R.W.; Conley, M.M.; Farias, J.G.; Serba, D.D.; Williams, C.F. Impacts of Nitrogen Fertilization on Hybrid Bermudagrass During Deficit Irrigation. Grasses 2025, 4, 25. [Google Scholar] [CrossRef]
- Ashley, D.A.; Bennett, O.L.; Doss, B.D.; Scarsbrook, C.E. Effect of nitrogen rate and irrigation on yield and residual nitrogen recovery by warm-season grasses. Agron. J. 1965, 57, 370–372. [Google Scholar] [CrossRef]
- Overman, A.R.; Neff, C.R.; Wilkinson, S.R.; Martin, F.G. Water, harvest interval, and applied nitrogen effects on forage yield of bermudagrass and bahiagrass. Agron. J. 1990, 82, 1011–1016. [Google Scholar] [CrossRef]
- Haque, M.; Epplin, F.M.; Taliaferro, C.M. Nitrogen and harvest frequency effect on yield and cost for four perennial grasses. Agron. J. 2009, 101, 1463–1469. [Google Scholar] [CrossRef]
- Mehlich, A. Mehlich 3 soil test extractant: A modification of Mehlich 2 extractant. Commun. Soil Sci. Plant Anal. 1984, 15, 1409–1416. [Google Scholar] [CrossRef]
- Zhang, H.; Wang, J.J. Measurement of soil salinity and sodicity. Soil Test Methods from the Southeastern United States. In Southern Cooperative Series Bulletin No. 419; Sikora, F.J., Moore, K.P., Eds.; University of Georgia: Athens, GA, USA, 2014; pp. 155–157. Available online: https://aesl.ces.uga.edu/sera6/ (accessed on 7 September 2025).
- Van Soest, P.J.; Robertson, J.B.; Lewis, B.A. Methods for dietary fiber, neutral detergent fiber, and nonstarch polysaccharides in relation to animal nutrition. J. Dairy Sci. 1991, 74, 3583–3597. [Google Scholar] [CrossRef] [PubMed]
- Association of Official Analytical Chemists (AOAC). Official Methods of Analysis, 15th ed.; Method 973.18: Fiber (Acid Detergent) and Lignin in Animal Feed; AOAC International: Arlington, VA, USA, 1990. [Google Scholar]
- Johnson, M.Z. Money Saved Through Cost Effective Feeding—Part 1. Cow-Calf Corner; Oklahoma State University Extension: Stillwater, OK, USA, 2023; Available online: https://extension.okstate.edu/programs/beef-extension/cow-calf-corner-the-newsletter-archives/2023/october-16-2023.html (accessed on 27 July 2025).
- McFarland, M.L.; Coker, D.L.; Mazac, F.J., Jr.; Abrameit, A. Effects of nitrogen rate on yield and quality of Tifton 85 bermudagrass. In Proceedings of the ASA–CSSA–SSSA International Annual Meetings, New Orleans, LA, USA, 4–8 November 2007; ASA–CSSA–SSSA: Madison, WI, USA, 2007. Paper 297-14. Available online: https://crops.confex.com/crops/2007am/techprogram/P37508.HTM (accessed on 17 June 2025).


| Application | |||
|---|---|---|---|
| Treatment | 1st | 2nd | 3rd |
| --------------------- kg N ha−1--------------------- | |||
| 0×3 | 0 | 0 | 0 |
| 56×3 | 56 | 56 | 56 |
| 112×3 | 112 | 112 | 112 |
| 168×3 | 168 | 168 | 168 |
| 224×3 | 224 | 224 | 224 |
| 280×3 | 280 | 280 | 280 |
| Application | |||
|---|---|---|---|
| Treatment | 1st | 2nd | 3rd |
| --------------------- kg N ha−1 --------------------- | |||
| 112×1 | 0 | 112 | 0 |
| 224×1 | 0 | 224 | 0 |
| Harvest Cycle | |||
|---|---|---|---|
| Event | 1st | 2nd | 3rd |
| Application | 6 May | 22 June | 2 August |
| Harvest | 11 June | 25 July | 30 August |
| Days of Growth | 36 | 33 | 28 |
| Cumulative Precip. (mm) | 147 | 134 | 32.5 |
| Irrigation (mm) | 0 | 0 | 25.4 |
| Variable | Harvest | Contrast | Estimate | p-Value |
|---|---|---|---|---|
| Dry Matter Yield | 2 | 112×3 v 112×1 | −0.782 | 0.0664 |
| 224×3 v 224×1 | −0.893 | 0.0382 | ||
| 3 | 112×3 v 112×1 | 1.252 | <0.0001 | |
| 224×3 v 224×1 | 0.462 | 0.0296 | ||
| Crude Protein Yield | 2 | 112×3 v 112×1 | −29.5 | 0.7256 |
| 224×3 v 224×1 | −10.9 | 0.8967 | ||
| 3 | 112×3 v 112×1 | 269 | <0.0001 | |
| 224×3 v 224×1 | 143 | 0.0005 | ||
| TDN Yield | 2 | 112×3 v 112×1 | −0.381 | 0.1719 |
| 224×3 v 224×1 | −0.482 | 0.0877 | ||
| 3 | 112×3 v 112×1 | 0.828 | <0.0001 | |
| 224×3 v 224×1 | 0.311 | 0.0208 |
| Coefficients | Agronomic Optimum | Economic Optimum | ||||||||
|---|---|---|---|---|---|---|---|---|---|---|
| Variable | Harvest | Intercept | Linear | Quadratic | Rate | Yield | Return | Rate | Yield | Return |
| Dry Matter Yield | 1 | 5.77 | 5.65 × 10−3 | −1.60 × 10−5 | 181 | 6.28 | USD 791.18 | 0 | 5.77 | USD 951.40 |
| 2 | 2.13 | 4.63 × 10−2 | −1.20 × 10−4 | 197 | 6.69 | USD 857.17 | 165 | 6.56 | USD 877.32 | |
| 3 | 0.699 | 2.94 × 10−2 | −7.50 × 10−5 | 196 | 3.58 | USD 353.01 | 147 | 3.40 | USD 382.58 | |
| Crude Protein Yield | 1 | 435 | 3.57 | −6.72 × 10−3 | 266 | 910 | USD 1233.48 | 208 | 888 | USD 1272.24 |
| 2 | 191 | 6.37 | −1.40 × 10−2 | 227 | 915 | USD 1316.64 | 202 | 905 | USD 1332.54 | |
| 3 | 76.1 | 4.91 | −1.15 × 10−2 | 213 | 598 | USD 789.02 | 183 | 588 | USD 807.16 | |
| TDN Yield | 1 | 3.38 | 4.28 × 10−3 | −1.00 × 10−5 | 206 | 3.82 | USD 1632.55 | 76 | 3.65 | USD 1720.03 |
| 2 | 1.30 | 2.79 × 10−2 | −7.00 × 10−5 | 199 | 4.08 | USD 1791.11 | 182 | 4.06 | USD 1802.26 | |
| 3 | 0.426 | 1.86 × 10−2 | −4.70 × 10−5 | 197 | 2.26 | USD 891.33 | 172 | 2.23 | USD 906.86 | |
Disclaimer/Publisher’s Note: The statements, opinions and data contained in all publications are solely those of the individual author(s) and contributor(s) and not of MDPI and/or the editor(s). MDPI and/or the editor(s) disclaim responsibility for any injury to people or property resulting from any ideas, methods, instructions or products referred to in the content. |
© 2025 by the authors. Licensee MDPI, Basel, Switzerland. This article is an open access article distributed under the terms and conditions of the Creative Commons Attribution (CC BY) license (https://creativecommons.org/licenses/by/4.0/).
Share and Cite
Finch, B.; Blythe, L. Preliminary Investigation of Nitrogen Rate Influence on Irrigated Bermudagrass Forage Production. Nitrogen 2025, 6, 88. https://doi.org/10.3390/nitrogen6040088
Finch B, Blythe L. Preliminary Investigation of Nitrogen Rate Influence on Irrigated Bermudagrass Forage Production. Nitrogen. 2025; 6(4):88. https://doi.org/10.3390/nitrogen6040088
Chicago/Turabian StyleFinch, Bronc, and Lance Blythe. 2025. "Preliminary Investigation of Nitrogen Rate Influence on Irrigated Bermudagrass Forage Production" Nitrogen 6, no. 4: 88. https://doi.org/10.3390/nitrogen6040088
APA StyleFinch, B., & Blythe, L. (2025). Preliminary Investigation of Nitrogen Rate Influence on Irrigated Bermudagrass Forage Production. Nitrogen, 6(4), 88. https://doi.org/10.3390/nitrogen6040088

