Next Article in Journal
Finite-Time Modified Function Projective Synchronization Between Different Fractional-Order Chaotic Systems Based on RBF Neural Network and Its Application to Image Encryption
Previous Article in Journal
Preliminaries on Mean Arterial Pressure Regulation Using Closed Loop Norepinephrine Infusion
Previous Article in Special Issue
Quasi-Mittag-Leffler Projective Synchronization of Delayed Chaotic Fractional Order Neural Network with Mismatched Parameters
 
 
Font Type:
Arial Georgia Verdana
Font Size:
Aa Aa Aa
Line Spacing:
Column Width:
Background:
Article

Containment Control of Fractional-Order Time-Delay Multi-Agent Systems Employing a Fully Distributed Pull-Based Event-Triggered Approach

1
Mathematics and Physics, University of Science and Technology Beijing, Beijing 100083, China
2
Department of Mathematics, Beijing Jiaotong University, Beijing 100083, China
*
Author to whom correspondence should be addressed.
Fractal Fract. 2025, 9(10), 658; https://doi.org/10.3390/fractalfract9100658 (registering DOI)
Submission received: 2 September 2025 / Revised: 1 October 2025 / Accepted: 9 October 2025 / Published: 13 October 2025
(This article belongs to the Special Issue Analysis and Modeling of Fractional-Order Dynamical Networks)

Abstract

The current study explores the fully distributed containment control problem of fractional-order time-delay multi-agent systems by introducing a novel pull-based dynamic event-triggered approach. Firstly, to reduce communication overhead and mitigate time delays in controller updates, a pull-based dynamic event-triggered strategy is proposed. Secondly, in virtue of a Lyapunov candidate function, the proposed pull-based dynamic event-triggered control protocol exhibits inherent distributed properties enabling agents to operate independently and cooperatively without global information. Thirdly, we design adaptive parameters to ensure containment control convergence and provide a rigorous proof to preclude Zeno behavior. Eventually, numerical simulations are performed to verify the validity of the theoretical analysis.

1. Introduction

Over the past decades, collaborative dynamics within multi-agent systems (MASs) have garnered extensive research interest, fueled by their pervasive real-world applications like unmanned vehicles, sensor networks, and flocking/swarming behaviors [1,2,3,4,5]. It is widely acknowledged that consensus serves as the foundational cornerstone of coordination in this field. A significant extension of consensus, containment control, involves scenarios with multiple leaders and followers. The objective here is to engineer control strategies ensuring all followers asymptotically enter the convex hull spanned by the leaders. The inclusion of multiple leaders allows for a richer convex hull representation, enabling more flexible containment regions in practical applications such as multi-target surveillance or cooperative transport. Owing to its practical utility in areas such as robotic movement and unmanned aerial vehicles (UAVs), containment control has emerged as an increasingly prominent research field [6,7,8].
A considerable body of work now exists addressing containment control [9,10,11,12,13]. Nevertheless, prevailing research continues to concentrate predominantly on integer-order multi-agent systems (IOMASs). In-depth studies of many phenomena reveal inaccuracies when describing these complex problems using integer-order calculus. Examples span diverse areas, including biological behaviors such as food searching and flocking movement, as well as engineering challenges such as UAV operations in complex environments and the dynamics of vehicles incorporating viscoelastic materials. With the advancement of research, fractional-order systems, which have emerged in this context, can address these issues because of their excellent memory and hereditary properties [14,15,16,17]. Therefore, fractional calculus can be effectively applied to capture the behavior of complex multi-agent systems, particularly in cases involving organisms at microscopic scales, substances with high viscoelasticity, or movement across challenging substrates such as sand, mud, and vegetated ground. While containment control strategies have proven effective in IOMASs, their extension to fractional-order frameworks remains largely unexplored, necessitating the current investigation.
Recent studies reflect increasing focus on containment control within fractional-order multi-agent systems (FOMASs), with foundational contributions emerging in this domain [18,19,20,21]. In [18,19] Liu et al. established necessary and sufficient conditions for achieving containment in FOMASs with time-varying delays. In [20], Zhang et al. proposed adaptive control frameworks for nonlinear FOMASs under time-dependent parameters. A common feature of these approaches is their exclusive reliance on continuous state feedback. Practical implementation challenges arise, however, from the persistent requirement for agents to acquire neighbors’ state data via communication networks. This process not only strains communication bandwidth but also imposes considerable computational loads on onboard sensors and processing units. To address these operational constraints, this study proposes novel practical and resource-efficient control strategies for FOMASs that explicitly overcome the limitations of continuous communication and computational burden.
To deal with the above difficulties, an event-triggered mechanism (ETM) has been presented [22,23,24,25]. Bipartite containment control is examined in [22] using an ETM. For nonlinear multi-agent systems featuring input-bounded leaders and time-varying delays, containment control is tackled in [23] through a dynamic ETM. An ETM framework is utilized in [24] to investigate containment control of general linear multi-agent systems. Within the domain of FOMASs, ETMs have further facilitated command-filtered adaptive containment control solutions. By design, ETMs restrict controller actuation to event-driven instants determined by local errors, thereby yielding substantial reductions in communication overhead and computational load. This paper introduces a novel event-triggered control framework to overcome the limitations of existing ETMs in fractional-order systems. By incorporating optimized trigger conditions, the proposed design not only guarantees control precision but also improves efficiency in both communication and computational resource utilization.
Although ETMs reduce communication burden, low-frequency triggering mechanisms must be devised to efficiently achieve control objectives. The pull-based event-triggered mechanism (PETM) has recently gained prominence as an effective strategy for minimizing controller update frequency and energy consumption [26,27,28,29]. In [26], consensus problems are primarily examined using pull-based event-triggered feedback control, with results further extended to scenarios involving discontinuous communication. Containment control for IOMASs under active leaders is addressed in [27] via PETM combined with aperiodic sampled-data transmission. In [28], Jiang et al. tackle the bipartite fixed-time output control problem for heterogeneous systems with an active leader, employing a fully distributed PETM. In [29], the fully distributed consensus control problem for linear multi-agent systems is investigated using a dynamic double-event-triggered mechanism. Crucially, PETM operates differently from conventional ETMs: follower controllers update solely at their own next triggering instant, independent of neighbors’ events. Despite these valuable contributions, research targeting FOMASs remains notably absent, thus motivating the central focus of the current study.
Given the inherent constraints of limited onboard storage and computational resources in individual agents, researchers have proposed the dynamic event-triggered mechanism (DETM) [23,29,30,31]. This approach enhances standard event-triggering by incorporating auxiliary dynamic variables into the triggering conditions. The primary benefit is significantly extended inter-event intervals. Particularly beneficial for large-scale networks, this reduction in triggering frequency translates directly to substantial energy savings. However, a practical challenge arises: the computationally intensive eigenvalue calculations required can become prohibitive, hindering real-world deployment. To the best of our knowledge, the design of fully distributed pull-based dynamic event-triggered control protocols for FOMASs remains an open issue and awaits a breakthrough; this forms one key motivation for the present work.
Within real-world multi-agent deployments, communication-induced time delays prove unavoidable [6,32]. Such latency not only compromises system efficacy but may also induce instability, necessitating serious attention in design considerations. Despite these critical implications, current containment control research exhibits a notable gap: scant investigation exists into FOMASs subject to time delays. This research void underscores the pressing need for more effective methodologies to address FOMAS containment control under delay constraints. In response, we develop a novel control framework for FOMASs that explicitly incorporates communication delay considerations.
Despite the aforementioned advancements, a significant gap remains in the literature concerning the integration of fractional-order dynamics, communication delays, and a fully distributed pull-based dynamic event-triggered mechanism (PETM) for containment control. Existing works on FOMAS containment control, such as [18,19,20,21], primarily rely on continuous communication or conventional ETMs, which do not fully address the challenges of limited bandwidth and energy consumption in large-scale networks. While PETM has been successfully applied to integer-order systems [26,27,28,29] to reduce update frequency, its extension to fractional-order systems with time delays is notably absent. Furthermore, most existing event-triggered containment control strategies for FOMAS either overlook communication delays or require global network information for controller design, limiting their practical applicability in scenarios with limited onboard resources and variable communication latency. Therefore, the development of a fully distributed, delay-tolerant, and resource-efficient containment control protocol for FOMASs represents an open and compelling research problem.
Building upon the preceding analysis, this work explores fully distributed containment control for FOMASs utilizing a novel pull-based dynamic event-triggered strategy. Distinct from existing approaches, our primary contributions encompass the following: (1) Novel Integration of PETM and DETM in FOMASs: This is the first work, to the best of our knowledge, to synergistically combine the advantages of the pull-based mechanism (PETM) and the dynamic event-triggered mechanism (DETM) specifically for fractional-order multi-agent systems. This integration significantly reduces controller updates and communication burden without compromising control performance. (2) Fully Distributed and Delay-Tolerant Design: The proposed protocol is fully distributed, meaning each follower agent relies solely on local information and interactions with its neighbors. It does not require global knowledge of the network topology (e.g., Laplacian eigenvalues) or system parameters. Explicitly incorporating time delays into the control law enhances its robustness and practical relevance. (3) Rigorous Theoretical Guarantees: We provide a rigorous stability analysis using a Lyapunov approach to ensure asymptotic convergence of followers into the leaders’ convex hull. Furthermore, we rigorously prove the exclusion of Zeno behavior, ensuring the practical implementability of the proposed scheme.
The remainder of this paper is organized as follows: Section 2 provides essential background information, covering graph theory fundamentals and fractional calculus concepts. Moving to the core contribution, Section 3 details the main findings, specifically outlining the developed control protocols and conducting stability analysis. To validate the theoretical results, Section 4 offers a simulation case study. Finally, Section 5 summarizes the key conclusions drawn from this research.

2. Theoretical Foundations

2.1. Graph-Theoretic Preliminaries

Within the framework of FOMASs, a distinction is made between two types of agents: leaders and followers. A leader is defined as an agent with no incoming neighbors, whereas a follower is defined as an agent with at least one neighbor. To investigate the containment control problem, we consider a multi-agent system composed of N + M agents, comprising N followers and M leaders. The vertex set V partitions into the follower set V F = { 1 , 2 , , N } and the leader set V L = { N + 1 , N + 2 , , N + M } , forming V = V F V L . The system’s communication topology is represented by a directed graph (digraph) G = ( V , E , A ) , where E V × V denotes the edge set, and A = [ a i j ] R ( N + M ) × ( N + M ) constitutes the adjacency matrix. An edge e i j = ( i , j ) E signifies a directed information link from agent j to agent i. The adjacency matrix elements satisfy a i j > 0 if edge e i j exists, and a i j = 0 otherwise. For undirected graphs, the adjacency relationship exhibits symmetry: a i j = a j i holds for all node pairs. Within this framework, a leaderis characterized as an agent receiving no incoming edges (having no incoming neighbors), while a followerpossesses at least one incoming neighbor. The graph’s Laplacian matrix L = [ l i j ] R ( N + M ) × ( N + M ) is defined with elements
l i j = j H i a i j , i = j , a i j , i j ,
where H i is a set containing all neighbors of agent i.
Given that leaders in FOMASs do not receive incoming information flows, the Laplacian matrix L adopts a block triangular structure,
L = L 1 L 2 0 0 ,
where the submatrix L 1 R N × N captures interactions among followers, while L 2 R N × M encodes directional connections from leaders to followers.

2.2. Caputo Fractional Calculus and Containment Control Problem

Fractional calculus offers multiple formulations, with Caputo and Riemann-Liouville being the most prevalent. This work adopts the Caputo fractional operator (Definition A1) for multi-agent system modeling and analysis due to its distinct advantages in control applications. Unlike the Riemann-Liouville derivative, which requires initial conditions expressed as fractional derivatives of the state variables, the Caputo derivative utilizes standard integer-order initial conditions of the form x ( t 0 ) = x 0 . This alignment with physical initial values preserves the physical interpretability of initial states—a critical requirement for our containment control (Definition A4) framework where initial positions and velocities have clear physical meanings. Standard mathematical definitions are provided in Appendix A for reference.
Additionally, the Laplace transform of the Caputo derivative simplifies stability analysis, as it directly incorporates conventional initial conditions. These advantages make Caputo’s definition particularly suitable for engineering applications where initial value problems are fundamental.
Property 1
([33]). For any solution x ( t ) R n to the fractional system
D t α t 0 x ( t ) = f ( t , x ) , x ( t 0 ) = x 0 ,
with 0 < α < 1 and f ( t , x ) L 1 [ t 0 , T ] , an equivalent representation exists via the Volterra integral,
x ( t ) = x 0 + 1 Γ ( α ) t 0 t ( t τ ) α 1 f ( τ , x ( τ ) ) d τ ,
valid for t 0 t T . The converse also holds.
Property 2
([33]). Given matrix D and fractional order α ( 0 , 1 ) , the Mittag–Leffler function E α , β ( z ) satisfies the norm bounds
E α , 1 ( D t α ) H 1 e D t
E α , α ( D t α ) H 2 e D t
for some H 1 , H 2 1 .
Property 3
([33]). Fractional derivative operators preserve linearity: For constants m , n and functions f ( t ) , g ( t ) ,
D α [ m f ( t ) + n g ( t ) ] = m D α f ( t ) + n D α g ( t ) .

3. Fully Distributed Event-Triggered Containment Control for Time-Delayed FOMASs via a Pull-Based Communication Mechanism

3.1. Problem Statement

Consider a FOMAS comprising N followers ( V F = { 1 , 2 , , N } ) and M leaders ( V L = { N + 1 , N + 2 , , N + M } ), forming a total of N + M agents. Each agent i { 1 , 2 , , N + M } exhibits dynamics governed by
D α x i ( t ) = A x i ( t ) + B u i ( t ) ,
where α ( 0 , 1 ) denotes the fractional order, x i ( t ) R n the state vector, and u i ( t ) R m the control input, with A and B being constant matrices of compatible dimensions. Leaders are autonomous agents with u i ( t ) = 0 , while followers employ the proposed control protocol in Equation (12) to achieve containment.
Remark 1.
Extensive research on fractional calculus establishes that systems of arbitrary order can be reduced to the α ( 0 , 1 ) case through order transformation techniques. Consequently, this work focuses exclusively on the ( 0 , 1 ) order range. Our objective is to devise distributed control protocols u i ( t ) that guarantee containment control for Equation (8).
Assumption 1.
The subgraph G F induced by the N followers exhibits connectivity. Furthermore, every follower in the full graph G maintains a directed path to at least one leader.
Assumption 2.
(A, B) is stabilizable.
According to Assumption 2, there exists a positive definite solution P to Equation (14), which is used to construct the feedback gain K = B T P .
Lemma 1
([34]). Under Assumption 1, the follower interconnection matrix L 1 is positive definite and invertible, with eigenvalues μ i ( i = 1 , 2 , , N ) exhibiting strictly positive real parts ( R ( μ i ) > 0 ). Consequently, the product L 1 1 L 2 contains exclusively nonnegative entries while maintaining row sums identically equal to unity.
Proof Sketch. 
The positive definiteness of L 1 follows from the connectivity of the follower subgraph (Assumption 1) and the fact that L 1 is a principal submatrix of the Laplacian L in (2). The row sum property derives from the structure of L: since L 1 = 0 , we have L 1 1 + L 2 1 = 0 , thus L 1 1 L 2 1 = 1 . Nonnegativity follows from the M-matrix properties of L 1 under connected graphs. □
Lemma 2
([29]). For any connected undirected graph G, the Laplacian matrix L possesses a simple eigenvalue λ 1 = 0 , with its smallest nonzero eigenvalue λ 2 given by the Rayleigh quotient minimization
λ 2 = min x 0 1 T x = 0 x T L x x T x > 0 .
Proof 
(Proof Sketch). This is a standard result in spectral graph theory. The zero eigenvalue corresponds to the uniform vector 1 due to the row-sum property of L. The constraint 1 T x = 0 ensures that x is orthogonal to the kernel of L, which is spanned by the all-one vector. The positivity of λ 2 follows from graph connectivity: disconnected graphs would have multiple zero eigenvalues. The Rayleigh quotient formulation emerges from the variational characterization of eigenvalues for symmetric matrices. □
Lemma 3
([35]). If f ( t ) is a continuous function for all t > t 0 0 , and if lim t I t α t 0 | f ( t ) | p M , where 0 < α < 1 , and p and M are positive constants, then l i m t f ( t ) = 0 .
To achieve energy-efficient containment control in the FOMAS (Equation (8)), our controller design employs an event-triggered framework. This approach incorporates a dynamic triggering parameter within the event function, significantly reducing inter-agent communication requirements. We initiate the formulation by defining the aggregated measurement error for each follower agent [36].
q i ( t ) = j = 1 N + M a i j [ x i ( t ) x j ( t ) ] , i V F .
Using the Kronecker product of matrices, Equation (9) can be written in the following compact form
q ( t ) = ( L 1 I n ) x f ( t ) + ( L 2 I n ) x l ( t ) .
where x f ( t ) = [ x 1 T ( t ) , x 2 T ( t ) , , x N T ( t ) ] T , x l ( t ) = [ x N + 1 T ( t ) , x N + 2 T ( t ) , , x N + M T ( t ) ] T : = x l , q ( t ) = [ q 1 T ( t ) , q 2 T ( t ) , , q N T ( t ) ] T : = q , and ⊗ denotes the Kronecker product.
Define ψ ( t ) = ( L 1 1 L 2 I n ) x l ( t ) as the convex hull (Definition A3) spanned by the leaders’ states. The containment error is then given by δ ( t ) = x f ( t ) ψ ( t ) . This work aims to develop a control protocol ensuring asymptotic convergence: lim t δ ( t ) = 0 . Through Equation (10) and the error definition, we derive the fundamental relationship
δ ( t ) = ( L 1 1 I n ) q ( t ) .
Thus, the problem of proving lim t | | δ ( t ) | | = 0 reduces to proving lim t | | q ( t ) | | = 0 .
To realize containment control in the FOMASs (8), we develop the following fully distributed control strategy
u i ( t ) = σ i ( t ) K q i ( t k i τ ) , i V F u i ( t ) = 0 , i V L ,
where t [ t k i , t k + 1 i ) , τ 0 is time delay, K R m × n is the feedback gain matrix, t k i is the kth triggered instant of agent i. σ i ( t ) ( i = 1 , 2 , , N ) are the adaptive gains of controller with σ i ( 0 ) 0 and they update with the following law:
D α σ i ( t ) = h i q i T ( t k i τ ) P B B T P q i ( t k i τ ) ,
where h i ( i = 1 , 2 , , N ) are positive constants.
The adaptive gains σ i ( t ) represent local control intensities that self-adjust based on containment errors q i ( t ) . Each σ i ( t ) increases with error magnitude, amplifying control effort when needed, and stabilizes as errors diminish. This monotonic non-decreasing behavior ensures sustained control authority while enabling fully distributed implementation without global network knowledge. The fully distributed nature ensures the per-agent computational burden remains constant regardless of network size, providing excellent theoretical scalability.
Leveraging the stabilizability of the matrix pair ( A , B ) , we obtain a positive definite solution P R n × n to the algebraic Riccati equation:
P A + A T P P B B T P + Q = 0 ,
where Q is positive definite [29]. This solution directly determines the feedback gain matrix K = B T P for the control protocol in Equation (12). The algebraic Riccati Equation (14) inherently possesses a computational complexity of O ( n 3 ) , where n denotes the state dimension.
Remark 2.
Generally, control protocol feedback gains require explicit knowledge of Laplacian matrix eigenvalues. However, the proposed adaptive gains σ i ( t ) enable autonomous self-adjustment, eliminating dependence on global topological information.
The state measurement error for each agent is defined as
e i ( t ) = q i ( t k i τ ) q i ( t τ ) , t [ t k i , t k + 1 i ) .
The next triggering time t k + 1 i for the ith agent is determined by
t k + 1 i = inf { t | t > t k i , s i > 0 } ,
where the triggering condition is defined by s i > 0
s i = θ i [ ρ σ i ( t ) + ( γ 1 ) ] e i T P B B T P e i v i ( t ) ,
D α v i ( t ) = β i v i ( t ) [ ρ σ i ( t ) + ( γ 1 ) ] e i T P B B T P e i ,
where ρ > 1 / 2 , θ i > 0 , β i > 0 is the arbitrary positive real number, v i is the dynamic variable.
Remark 3.
Unlike existing approaches [23,24], our pull-based DETM uniquely ensures each follower’s controller updates only at its self-generated triggering instants, irrespective of neighboring agents’ events. This architecture fundamentally reduces controller update frequency and energy consumption while achieving full distribution through adaptive parameters, eliminating dependence on global network characteristics such as Laplacian eigenvalues or agent population size.
Employing the Kronecker product, Equation (9) admits the compact matrix representation:
D α x f ( t ) = ( I n A ) x f ( t ) ( L 1 B K ) x f ( t k i τ ) ( L 2 B K ) x l ( t k i τ ) , D α x l ( t ) = ( I n A ) x l ( t ) .
Thus, the α -order derivative of δ ( t τ ) = x f ( t τ ) + ( L 1 1 L 2 I n ) x l ( t τ ) satisfies
D α δ ( t τ ) = D α x f ( t τ ) + ( L 1 1 L 2 I n ) D α x l ( t τ )
= ( I N A ) δ ( t τ ) ( C B K ) q ( t k i τ ) ,
where C = d i a g { σ 1 ( t ) , σ 2 ( t ) , , σ N ( t ) } is the diagonal matrix of adaptive gains.
Theorem 1.
Subject to the fulfillment of Assumptions 1 and 2, the FOMAS ((Equation8)) attains asymptotic containment control when governed by the PETM ((Equation 12)). This convergence property holds for any bounded delay τ, where the control gain is structured as K = B T P with P being the solution to the algebraic Riccati Equation (14) for a prescribed positive definite matrix Q = Q T . The sequence of triggering instants is generated through Equations (16)–(18).
Proof. 
Consider the following time-dependent Lyapunov candidate function
V ( t ) = δ ( t τ ) T ( L 1 P ) δ ( t τ ) + i = 1 N ( σ i ( t ) c ) 2 2 c ˜ h i + i = 1 N c c ˜ v i ( t ) ,
where c and c ˜ denote positive constants to be determined.
Under Assumption 1, the follower interconnection matrix L 1 is positive definite. Since P is the solution to Equation (14) and is positive definite, the Kronecker product L 1 P is also positive definite. Therefore, the first term δ ( t τ ) T ( L 1 P ) δ ( t τ ) is nonnegative and equals zero only when δ ( t τ ) = 0 . The second term i = 1 N ( σ i ( t ) c ) 2 2 c ˜ h i is a sum of squares and is always nonnegative.
From the dynamic triggering condition in Equation (18), since β i > 0 , ρ > 1 / 2 , γ > 1 , and P B B T P is positive semidefinite, the right-hand side of Equation (18) is bounded above by β i v i ( t ) . Using the comparison lemma [20], it can be shown that if v i ( 0 ) 0 , then v i ( t ) 0 for all t 0 . Thus, the third term i = 1 N c c ˜ v i ( t ) is nonnegative. Since all three terms are nonnegative and the first term is positive definite in δ , V ( t ) is positive definite for all t 0 .
For the convenience of analysis, denote V 1 = δ ( t τ ) T ( L 1 P ) δ ( t τ ) , V 2 = i = 1 N [ ( σ i ( t ) c ) 2 / 2 c ˜ h i ] , V 3 = i = 1 N ( c / c ˜ ) v i ( t ) , According to the dynamic triggering conditions in Equations (16)–(18), one has D α v i ( t ) β i v i ( t ) [ v i ( t ) / θ i ] .
Applying the comparison lemma [20], we obtain v i ( t ) > 0 , which implies the positive definiteness of V.
The time derivative of V 1 admits the following representation:
D α V 1 = 2 δ T ( t τ ) ( L 1 P A ) δ ( t τ ) 2 q T ( t τ ) ( C P B K ) q ( t k τ ) .
Recognizing the relationship q i ( t τ ) = q i ( t k i τ ) e i ( t ) , we derive the subsequent expansion
2 q T ( t τ ) ( C P B K ) q ( t k τ ) = 2 i = 1 N σ i ( t ) ( q i ( t k i τ ) e i ( t ) ) T P B B T P q i ( t k i τ ) = 2 i = 1 N σ i ( t ) q i T ( t k i τ ) P B B T P q i ( t k i τ ) + 2 i = 1 N σ i ( t ) e i ( t ) T P B B T P q i ( t k i τ ) .
In light of Young’s inequality, it follows that
2 i = 1 N σ i ( t ) e i T P B B T P q i ( t k i τ ) 1 ρ i = 1 N σ i ( t ) q i T ( t k i τ ) P B B T P q i ( t k i τ )    + ρ i = 1 N σ i ( t ) e i T P B B T P e i ,
where ρ > 0 is a positive constant.
Invoking Equation (13), the fractional derivative of V 2 takes the form
D α V 2 = i = 1 N σ i ( t ) c c ˜ h i D α σ i ( t ) = i = 1 N σ i ( t ) c ˜ q i T ( t k i τ ) P B B T P q i ( t k i τ ) i = 1 N c c ˜ q i T ( t k i τ ) P B B T P q i ( t k i τ ) .
Applying Young’s inequality to the second summation yields
i = 1 N c c ˜ q i T ( t k i τ ) P B B T P q i ( t k i τ ) i = 1 N c c ˜ ( 1 1 γ ) q i T ( t τ ) P B B T P q i ( t τ ) + i = 1 N c c ˜ ( γ 1 ) e i ( t ) T P B B T P e i ( t ) ,
where γ > 1 .
The derivative of V 3 can be shown as
D α V 3 = i = 1 N c c ˜ D α v i ( t ) = i = 1 N c c ˜ [ ρ σ i ( t ) + ( γ 1 ) ] e i ( t ) T P B B T P e i ( t ) i = 1 N c c ˜ β i v i ( t ) .
Integrating the results from Equations (22) and (28), we derive the composite fractional derivative bound
D α V 2 δ T ( t τ ) ( L 1 P A ) δ ( t τ ) i = 1 N c c ˜ ( 1 1 γ ) q i T ( t τ ) P B B T P q i ( t τ ) + i = 1 N ( 1 ρ + 1 c ˜ 2 ) σ i ( t ) q i T ( t k i τ ) P B B T P q i ( t k i τ ) i = 1 N c c ˜ β i v i ( t ) ,
where c > c ˜ .
By choosing c ˜ ρ 2 ρ 1 with ρ > 1 2 , we ensure 1 ρ + 1 c ˜ 2 0 , which eliminates the third term on the right-hand side of Equation (29). Thus, we have
D α V ( t ) 2 δ T ( t τ ) ( L 1 P A ) δ ( t τ ) i = 1 N c c ˜ ( 1 1 γ ) q i T ( t τ ) P B B T P q i ( t τ ) i = 1 N c c ˜ β i v i ( t ) .
Now, recall that q ( t τ ) = ( L 1 I n ) δ ( t τ ) from Equation (10). Therefore, the second term can be rewritten as
i = 1 N c c ˜ ( 1 1 γ ) q i T ( t τ ) P B B T P q i ( t τ ) = c c ˜ ( 1 1 γ ) δ T ( t τ ) ( L 1 2 P B B T P ) δ ( t τ ) .
Given the positive definiteness of L 1 , there exists an orthogonal matrix U such that U T L 1 U = Λ = diag { λ 1 , , λ N } , where λ i > 0 for all i. Let δ ˜ = ( U T I n ) δ . Then, the first term becomes
2 δ T ( t τ ) ( L 1 P A ) δ ( t τ ) = 2 δ ˜ T ( t τ ) ( Λ P A ) δ ˜ ( t τ ) .
Using the algebraic Riccati Equation (14), P A + A T P = P B B T P Q , we have
2 δ T ( t τ ) ( L 1 P A ) δ ( t τ ) = δ T ( t τ ) ( L 1 ( P A + A T P ) ) δ ( t τ ) = δ T ( t τ ) ( L 1 ( P B B T P Q ) ) δ ( t τ ) .
Select c γ c ˜ / [ ( γ 1 ) λ min ( L 1 ) ] , where λ min ( L 1 ) is the minimum eigenvalue of L 1 . Then
D α V ( t ) δ T ( t τ ) L 1 ( P B B T P Q ) c c ˜ ( 1 1 γ ) ( L 1 2 P B B T P ) δ ( t τ ) i = 1 N c c ˜ β i v i ( t ) .
Through eigenvalue analysis, we can show that the matrix in the bracket is negative definite, and there exists a positive constant η > 0 such that
D α V ( t ) η δ ( t τ ) 2 i = 1 N c c ˜ β i v i ( t ) η δ ( t τ ) 2 .
Specifically, by choosing η = λ max ( L 1 ) λ min ( Q ) , we obtain
D α V ( t ) λ max ( L 1 ) λ min ( Q ) δ ( t τ ) 2 .
Equation (30) indicates that the fractional derivative of V ( t ) is non-positive for all t 0 . To apply Lemma 3, we integrate both sides of Equation (30) from t 0 to t using the fractional integral operator
I t 0 α D α V ( t ) = V ( t ) V ( t 0 ) λ max ( L 1 ) λ min ( Q ) I t 0 α δ ( t τ ) 2 .
Since V ( t ) 0 for all t 0 , we have
λ max ( L 1 ) λ min ( Q ) I t 0 α δ ( t τ ) 2 V ( t 0 ) .
Taking the limit as t
lim t λ max ( L 1 ) λ min ( Q ) I t 0 α δ ( t τ ) 2 V ( t 0 ) < .
Now, applying Lemma 3 with f ( t ) = δ ( t τ ) 2 , p = 1 , and M = V ( t 0 ) / [ λ max ( L 1 ) λ min ( Q ) ] , we conclude that
lim t δ ( t τ ) 2 = 0 ,
which implies lim t δ ( t ) = 0 since τ is bounded. This completes the proof that containment control for FOMAS in Equation (8) is achieved. □
Remark 4.
Unlike the consensus methods in [37,38] that necessitate global eigenvalue information of the asymmetric Laplacian matrix, the adaptive strategy in Equation (12) operates solely based on individual agent dynamics and local neighbor interactions. This design enables fully decentralized computation and execution by every agent.
Event-triggered control in FOMAS may induce Zeno behavior—an impractical phenomenon in real-world applications. Consequently, establishing exclusion conditions for such behavior becomes essential. Motivated by this objective, we develop the subsequent theorem.
Theorem 2.
The fully distributed pull-based event-triggered control strategy in Equation (12) effectively eliminates Zeno phenomena.
Proof. 
According to Lemma 2, agent states x i ( t ) remain bounded, implying boundedness of their fractional derivatives D α x i ( t ) . Consequently, we can select a positive constant W satisfying | | D α x i ( t ) | | W , i V where V : = { 1 , 2 , , N + M } . For any interval [ t k i , t k + 1 i ) , combining the error definition e i ( t ) with norm contraction properties yields
| | e i ( t ) | | = | | q i ( t k i τ ) q i ( t τ ) | | = | | j = 1 N + M a i j [ x i ( t k i τ ) x j ( t k i τ ) ] j = 1 N + M a i , j [ x i ( t τ ) x j ( t τ ) ] | | = | | j = 1 N + M a i j [ x i ( t k i τ ) x i ( t τ ) ( x j ( t k i τ ) x j ( t τ ) ) ] | | j = 1 N + M a i j [ | | x i ( t k i τ ) x i ( t τ ) | | + | | x j ( t k i τ ) x j ( t τ ) | | ] .
With the help of the definition of fractional order calculus, Equation (32) can be further expressed as
| | e i ( t ) | | j = 1 N + M a i j 1 Γ ( α ) t 0 t k i τ D α x i ( s ) ( t k i τ s ) 1 α d s 1 Γ ( α ) t 0 t τ D α x i ( s ) ( t τ s ) 1 α d s + 1 Γ ( α ) t 0 t k i τ D α x j ( s ) ( t k i τ s ) 1 α d s 1 Γ ( α ) t 0 t τ D α x j ( s ) ( t τ s ) 1 α d s 2 ( N + M ) Γ ( α ) t 0 t k i τ D α x ( s ) ( t k i τ s ) 1 α d s t 0 t τ D α x ( s ) ( t τ s ) 1 α d s + t k i τ t τ D α x ( s ) ( t τ s ) 1 α d s .
Since | | D α x i ( t ) | | W for all i and t, we have
| | e i ( t ) | | 2 ( N + M ) W Γ ( α ) t 0 t k i τ 1 ( t k i τ s ) 1 α d s t 0 t τ 1 ( t τ s ) 1 α d s + t k i τ t τ 1 ( t τ s ) 1 α d s .
We compute each integral separately, and substitute these results into Equation (34)
| | e i ( t ) | | 2 ( N + M ) W Γ ( α ) ( t k i τ t 0 ) α α ( t τ t 0 ) α α + ( t t k i ) α α = 2 ( N + M ) W α Γ ( α ) | ( t k i τ t 0 ) α ( t τ t 0 ) α | + | ( t t k i ) α | .
Using the property that for 0 < α < 1 and a > b > 0 , we have a α b α ( a b ) α , we can further simplify
| ( t k i τ t 0 ) α ( t τ t 0 ) α | | ( t t k i ) | α = ( t t k i ) α , | ( t t k i ) α | = ( t t k i ) α .
Therefore, the upper bound becomes
| | e i ( t ) | | 2 ( N + M ) W α Γ ( α ) ( t t k i ) α + ( t t k i ) α = 4 ( N + M ) W ( t t k i ) α α Γ ( α ) .
Recalling that Γ ( α + 1 ) = α Γ ( α ) , we finally obtain
| | e i ( t ) | | 4 ( N + M ) W ( t t k i ) α Γ ( α + 1 ) .
Since the trigger condition s i = θ i [ ρ σ i ( t ) + ( γ 1 ) ] e i T P B B T P e i v i ( t ) > 0 , i.e., θ i [ ρ σ i ( t ) + ( γ 1 ) ] e i T P B B T P e i > v i ( t ) , and v i ( t ) > 0 , we have | | e i ( t ) | | > 0 and the inequality 4 ( N + M ) W ( t t k i ) α Γ ( α + 1 ) > 0 , so ( t t k i ) α > 0 . Clearly, for all k N , T k = t k + 1 t k > 0 holds, i.e., Zeno behavior is excluded. □

3.2. Guidance on Parameter Tuning

The practical implementation and performance of the proposed control protocol hinge on the appropriate selection of parameters ρ , γ , θ i , and β i .
The parameter ρ > 1 / 2 , originating from Young’s inequality, modulates the trade-off between control effort and triggering frequency. Larger values of ρ (e.g., between 1 and 3) relax the triggering condition, reducing controller updates but potentially slowing convergence. The parameter γ > 1 , introduced in the error bound estimation, influences the weighting between current and delayed state errors. Increasing γ (typically between 1.5 and 3) enhances tolerance to measurement errors, further reducing communication at the cost of transient performance.
The scaling factor θ i > 0 directly affects the sensitivity of the triggering condition. Larger θ i values lead to more frequent updates and higher precision, suitable for critical agents, while smaller values conserve energy. A uniform initial choice of θ i = 1 is often effective. The decay rate β i > 0 governs the dynamics of the auxiliary variable v i ( t ) . A larger β i (e.g., 0.5 to 1) accelerates the decay of v i ( t ) , tightening the triggering condition and increasing updates, whereas smaller values (e.g., 0.1 to 0.3) promote longer inter-event intervals.
A recommended tuning procedure begins with conservative values: ρ = 2 , γ = 2 , θ i = 1 , and β i = 0.5 for all i. Convergence speed can be improved by slightly decreasing ρ or γ , while communication overhead can be reduced by increasing them. If oscillations occur, increasing θ i or β i enhances stability. Since these parameters are fully distributed and independent of global network information, they can be adjusted online or via simulation-based sensitivity analysis, ensuring the protocol remains practical and adaptable to various network conditions.

4. Simulation Examples

This section presents a numerical validation case study to verify the feasibility and effectiveness of the theoretical framework. The associated communication topology, comprising three leaders ( i = 4 , 5 , 6 ) and three followers ( i = 1 , 2 , 3 ), is depicted in Figure 1.
Taking the system matrices A and B in the FOMAS dynamics Equation (8), respectively, as
A = 0 2 2 0 , B = 1 1 .
The control gains were configured as follows: the Riccati equation solution
P = 6.8819 4.2361 4.2361 3.0777 ,
feedback gain matrix K = [ 0.7497 , 1.1992 ] , and adaptive gain parameters h 1 = 0.01 , h 2 = 0.02 , h 3 = 0.03 . The event-triggering threshold was set to 0.1 for all followers.
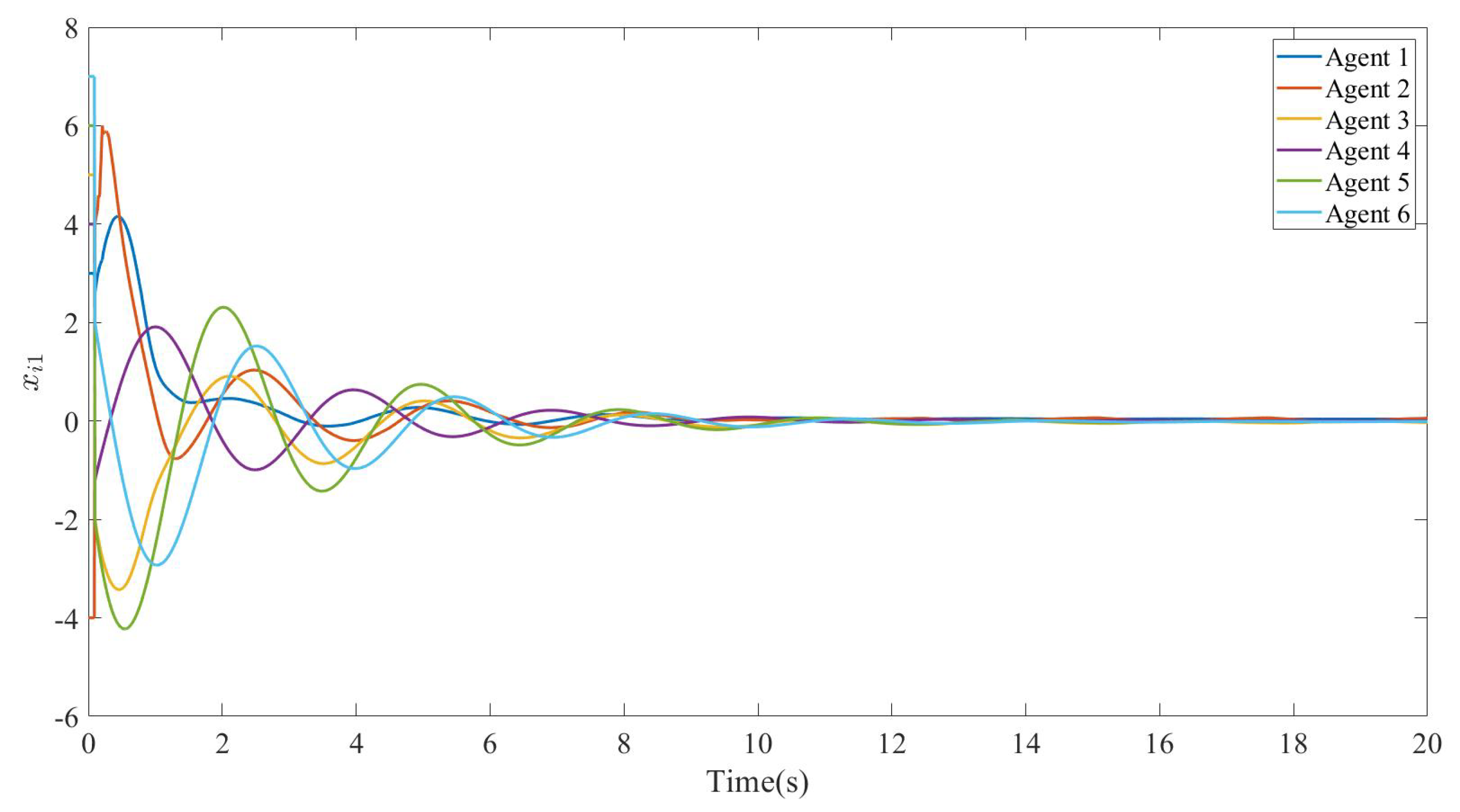
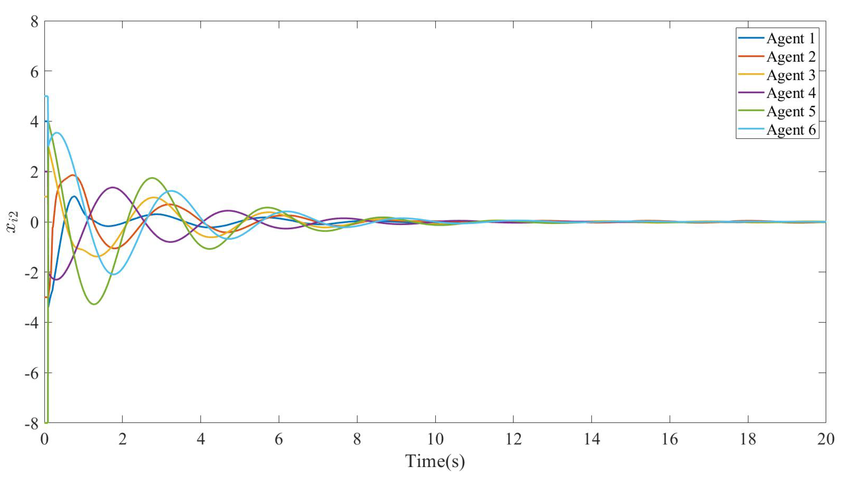
With α = 0.9 , the parameters are set to c = 10 , c ˜ = 1 , ρ = 2 , γ = 2 . Other algorithm parameters were selected to ensure stability while maintaining reasonable triggering frequency, with their evolution governed by the adaptive laws in Equations (13) and (18). The initial values of each agent state are x 1 ( t ) = ( 2.6 , 3.4 ) T , x 2 ( t ) = ( 4 , 3 ) T , x 3 ( t ) = ( 2 , 3 ) T , x 4 ( t ) = ( 1 , 2 ) T , x 5 ( t ) = ( 2 , 4 ) T , x 6 ( t ) = ( 2 , 3 ) T , and denote by x i j ( t ) the jth state component of the ith agent.
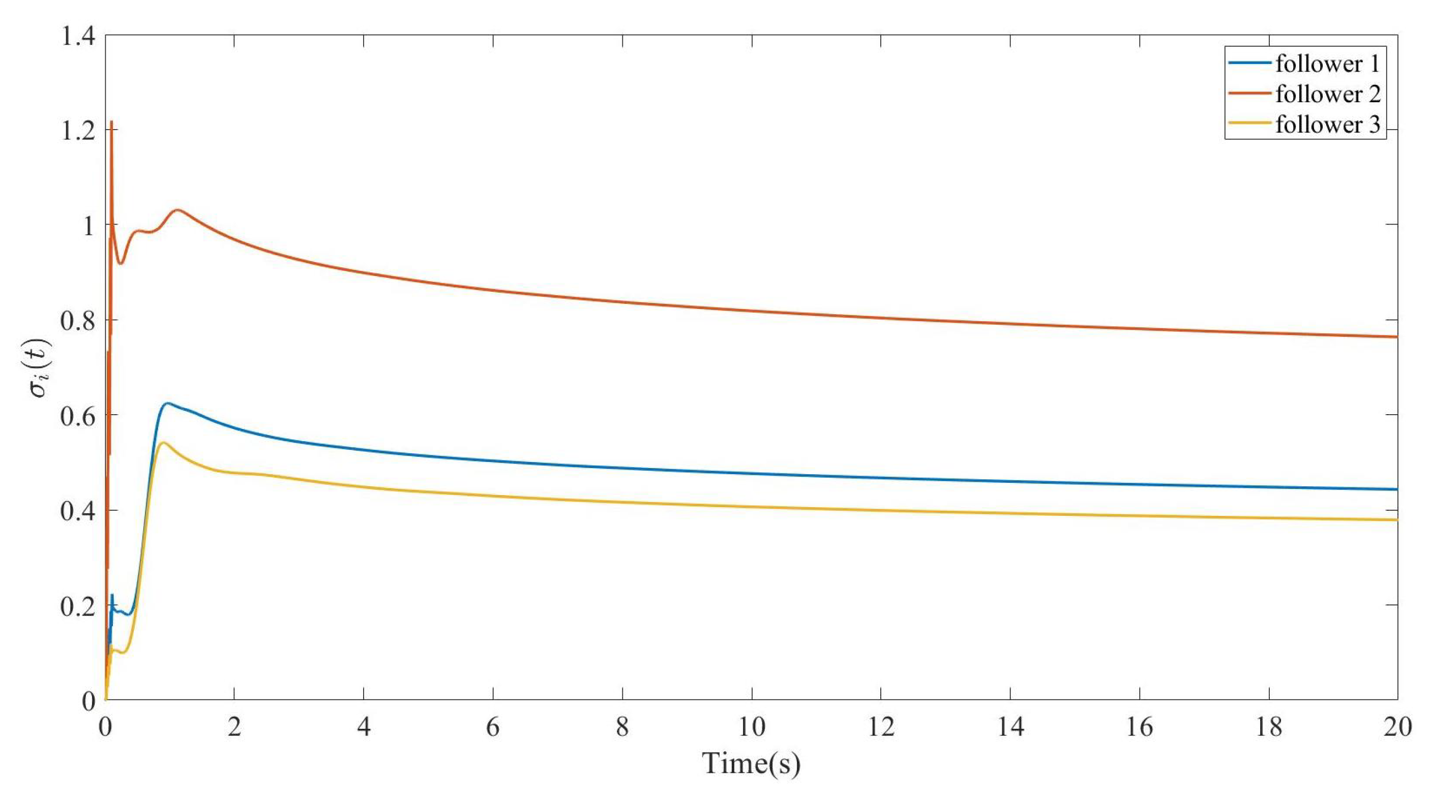
The numerical results of this algorithm are shown in Table 1 and Figure 2, Figure 3, Figure 4, Figure 5, Figure 6 and Figure 7. The evolution curves of the adaptive gains σ i ( t ) and dynamic variables v i ( t ) are shown in Figure 2 and Figure 3, respectively.
Implementing the distributed control protocol from Section 3.1 yields the simulation outcomes shown in Figure 2, Figure 3, Figure 4, Figure 5, Figure 6 and Figure 7. These results confirm that follower states successfully converge to the leaders’ convex hull, validating the containment control strategy’s performance.
This simulation employs T = 20 s and h = 0.01 s . Table 1 documents all controller triggering instants for followers during this finite horizon, alongside the update count without triggering. The substantial computational reduction afforded by the ETM is evident from comparative analysis. The recorded minimum inter-event times are 0.010 s for Follower 1, 0.010 s for Follower 2, and 0.010 s for Follower 3. These strictly positive values provide numerical evidence that the proposed event-triggered mechanism successfully avoids Zeno behavior in practice, confirming the theoretical guarantees.
Figure 4 visually documents the triggering chronology for each follower agent.
Through Figure 4, not only can we visualize the reduction in the number of triggers, but we can also conclude that the FOMAS avoids the Zeno behavior very well under the effect of control protocol (12).
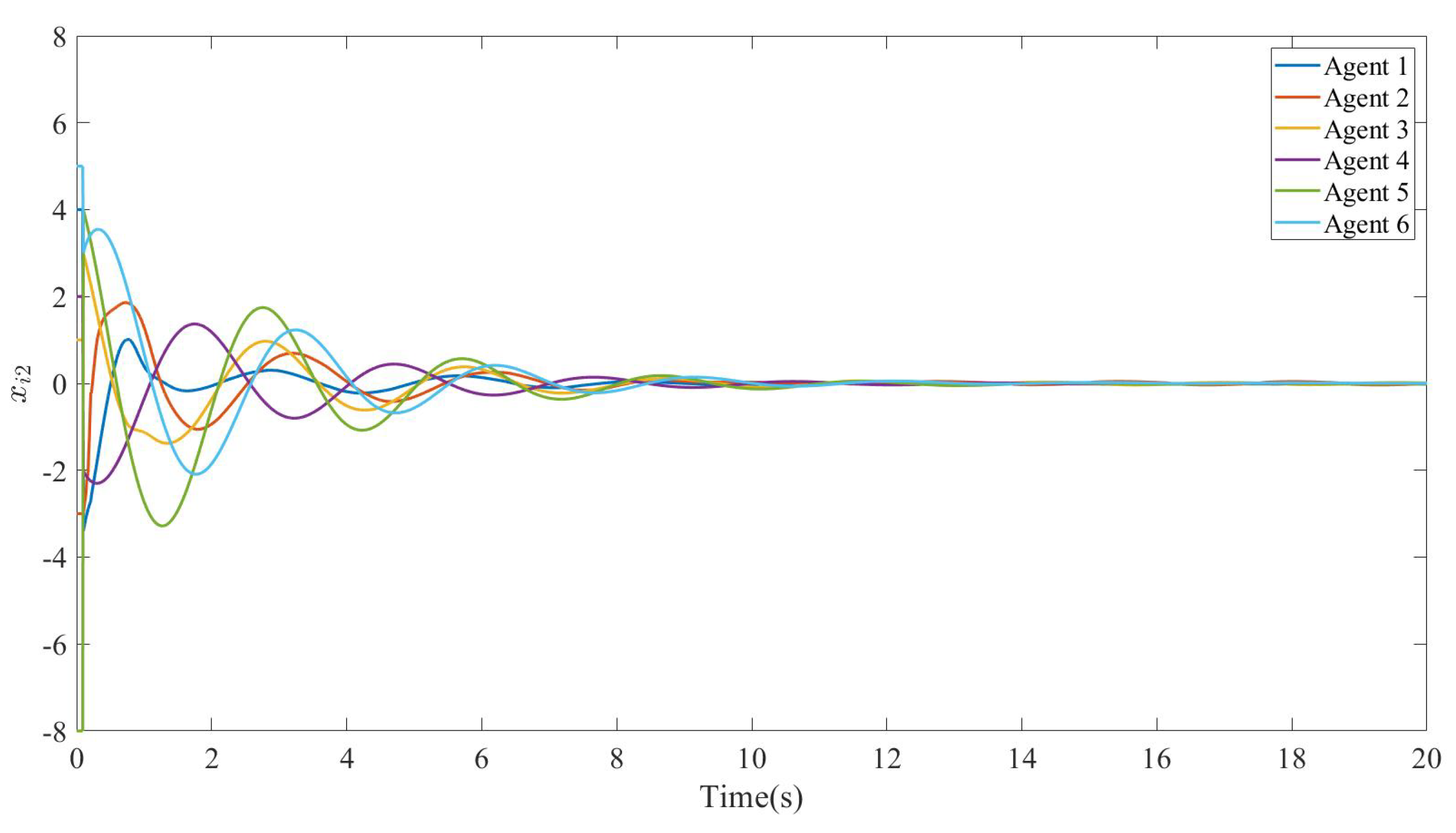
Since the states of the numerically simulated agents in this algorithm are two-dimensional, Figure 5 and Figure 6 depict the information of the first and second components of the states of each agent, respectively. The figures show all follower state components converging to the convex hull spanned by the leaders’ states, confirming successful containment control in FOMASs.
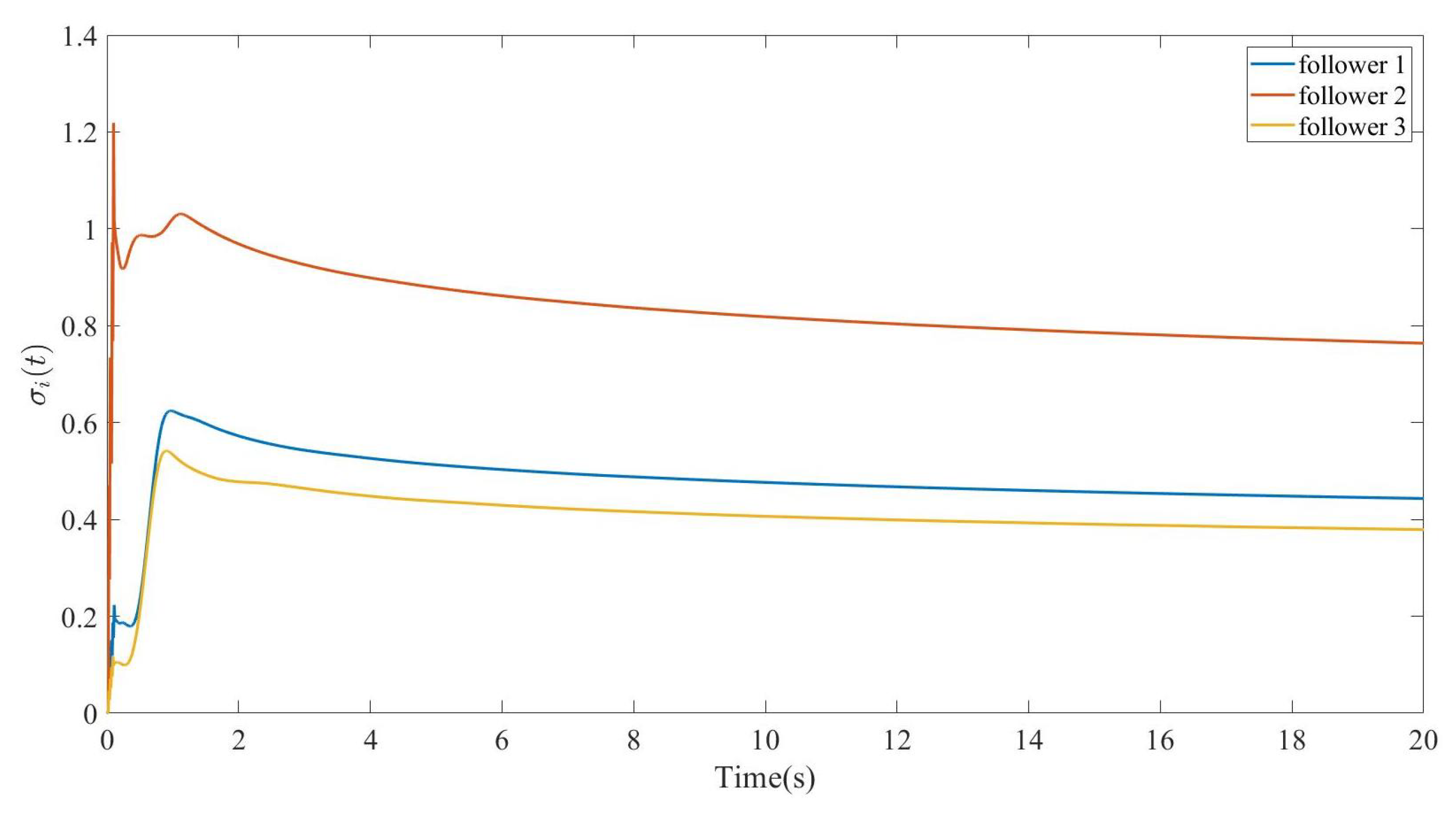
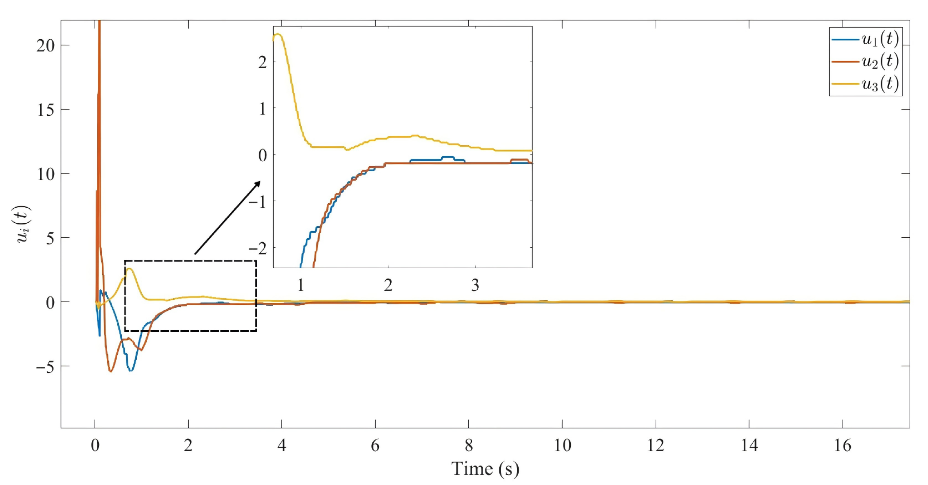
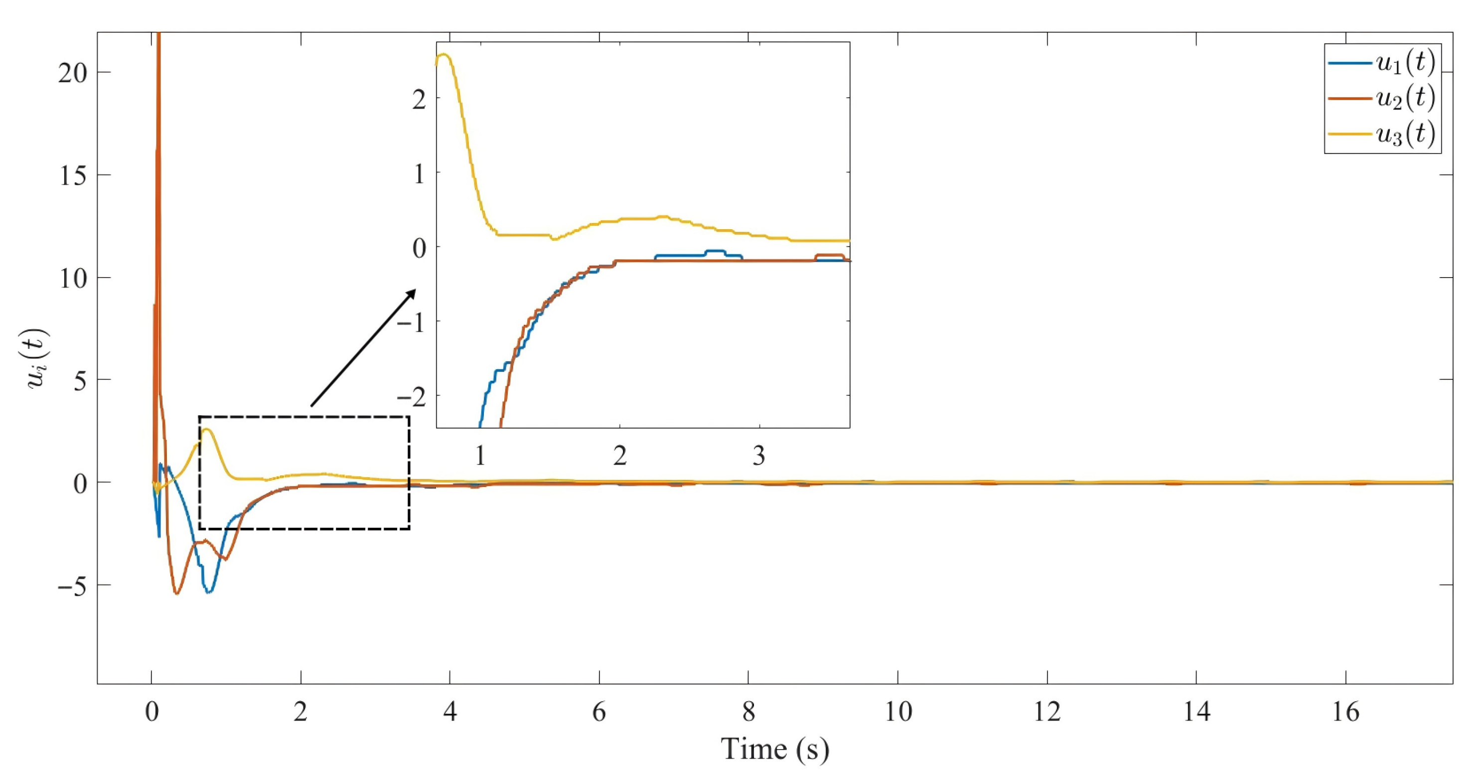
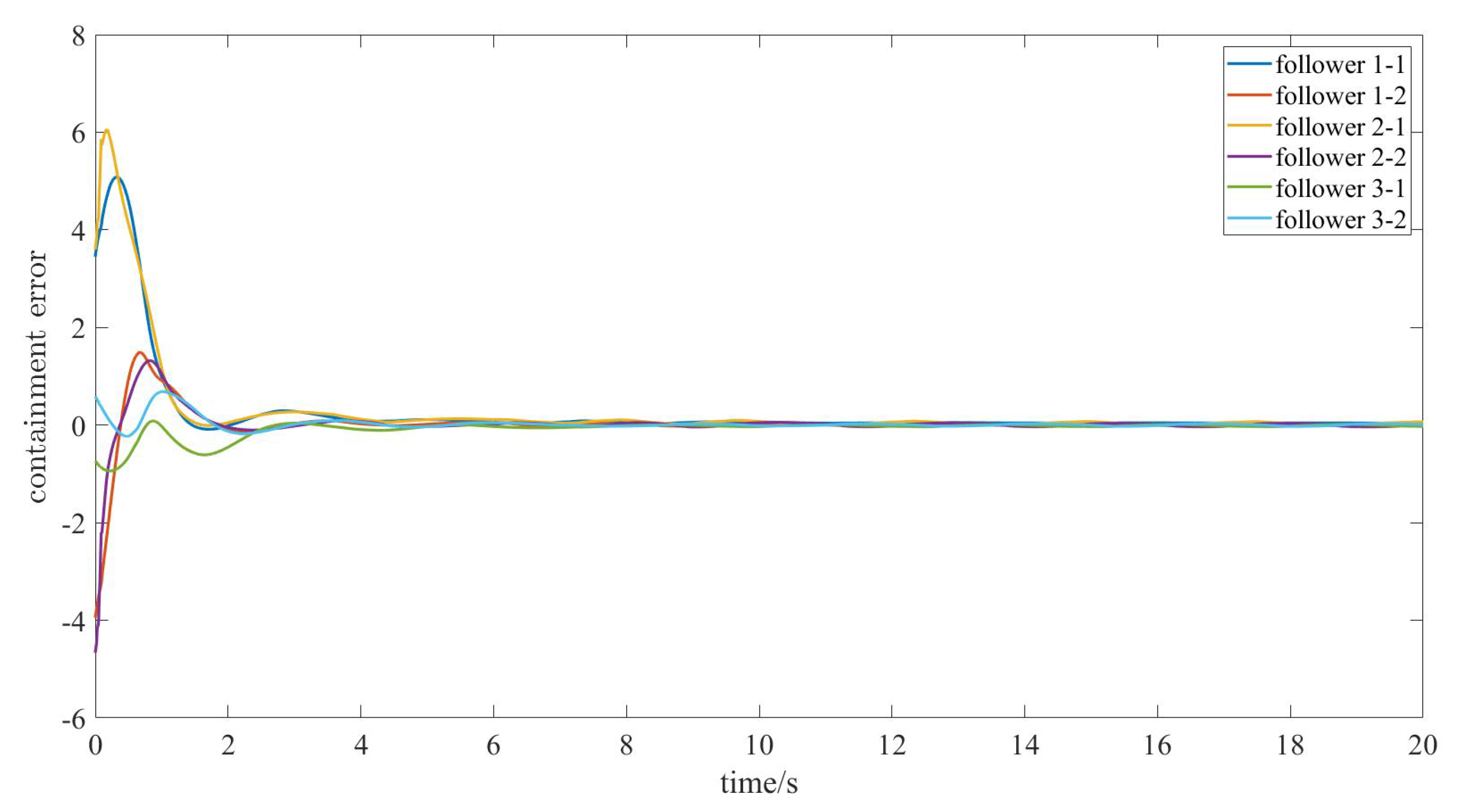
Figure 7 illustrates the bounded containment errors fluctuating near zero. The evolution of control inputs u i ( t ) is shown in Figure 8, further validating the effectiveness of the event-triggered mechanism in reducing control updates. The ensemble of results conclusively establishes asymptotic containment control realization in FOMAS (8) for any bounded input delay.
In summary, it can be seen that under the fully distributed pull-based dynamic event-triggered control protocol (12), the containment control of FOMASs (8) can be realized, and the computational cost and communication consumption can be greatly reduced.

5. Discussion and Future Directions

This section discusses the limitations and practical considerations of the proposed approach.

5.1. Practical Considerations and Limitations

Connectivity Assumptions: While Assumption 1 is standard, real-world scenarios may experience intermittent connectivity. The fractional-order memory effect and adaptive gains may provide robustness to temporary disruptions, but permanent connectivity loss would challenge containment convergence. In this context, recent methodologies addressing complex real-world systems—such as robust cascade observers for UAVs under multiple time-varying delays and uncertainties [39], consensus tracking of UAVs with distinct unknown delays [40], and distributed observers for systems with multirate sampled outputs and multiple delays [41]—provide insightful approaches that could inspire future extensions of our work to more dynamic and uncertain environments.
Triggering Condition Conservativeness: The current triggering condition ensures stability but may be conservative. Potential improvements include asymmetric thresholds, predictive triggering, and learning-based parameter optimization to reduce communication while maintaining stability through advanced analysis techniques like input-to-state stability.

5.2. Future Research Directions

Promising directions include: robust containment under switching topologies, adaptive triggering with reduced conservatism, scalable architectures for large networks, and computational efficiency improvements for high-dimensional systems.

6. Conclusions

In this paper, the fully distributed containment control problem of FOMAS is studied. Initially, we introduce a pull-based dynamic event-triggered control protocol to minimize communication overhead and controller actuation frequency. The dynamic parameters are introduced into the control protocol aiming at reducing triggering frequency. Second, time delays are considered a critical factor in controller design. In virtue of the Lyapunov candidate function, the pull-based dynamic event-triggered control protocol with time delays is proved to be effective and fully distributed, which works independently without any global information. Thirdly, the rigid proof is given to preclude Zeno behavior, and some parameters are designed to guarantee the achievement of containment control. Finally, simulation outcomes confirm asymptotic containment control achievement in FOMAS (8). From a practical perspective, real-world applications involve time-dependent connectivity patterns where agent communication topologies evolve dynamically. Consequently, future research will tackle containment challenges in FOMASs with switching network topologies.

Author Contributions

Conceptualization, Y.C.; methodology, J.B. and X.X.; investigation, J.B. and Y.C.; writing—original draft preparation, J.B., Y.C., X.X. and X.L.; writing—review and editing, J.B. and G.W.; supervision, G.W.; funding acquisition, J.B. All authors have read and agreed to the published version of the manuscript.

Funding

This work was supported by the Beijing Advanced Innovation Center for Materials Genome Engineering, University of Science and Technology Beijing under Grant GJJ2022-16, the State Key Laboratory for Advanced Metals and Materials 2025-Z14, the Beijing Natural Science Foundation under Grant L258042, the National Natural Science Foundation of China under Grant 61703035 and 61977004.

Institutional Review Board Statement

Not applicable.

Informed Consent Statement

Informed consent was obtained from all subjects involved in the study.

Data Availability Statement

Data are contained within the article.

Conflicts of Interest

The authors declare no conflicts of interest.

Appendix A. Mathematical Definitions

This appendix provides standard mathematical definitions referenced in the main text.

Appendix A.1. Fractional Calculus Definitions

Definition A1
(Caputo Fractional Derivative [33]). The Caputo fractional derivative of order α ( 0 , 1 ) for a function f ( t ) is defined as
D α f ( t ) = 1 Γ ( 1 α ) t 0 t f ( τ ) ( t τ ) α d τ ,
where Γ ( · ) is the Gamma function.
Definition A2
(Fractional Integral [33]). The fractional integral of order α ( 0 , 1 ) for an integrable function f ( t ) is
I t α t 0 f ( t ) = 1 Γ ( α ) t 0 t f ( τ ) ( t τ ) 1 α d τ .

Appendix A.2. Convex Analysis Definitions

Definition A3
(Convex Hull [6]). For a finite set of vectors X = { x 1 , x 2 , , x n } R m , the convex hull co ( X ) is the smallest convex set containing all points in X, given by
co ( X ) = i = 1 n η i x i | η i 0 , i = 1 n η i = 1 .
Definition A4
(Containment Control [18]). A multi-agent system achieves containment control when all follower states asymptotically converge to the convex hull spanned by the leaders’ states.

References

  1. Wagner, T. Application Science for Multi-Agent Systems; Springer: Boston, MA, USA, 2004. [Google Scholar]
  2. Sun, D. Synchronization and Control of Multiagent Systems; CRC Press: Baton Rouge, LA, USA, 2010. [Google Scholar]
  3. Ma, C.; Li, A.; Du, Y.; Dong, H.; Yang, Y. Efficient and scalable reinforcement learning for large-scale network control. Nat. Mach. Intell. 2024, 6, 813–821. [Google Scholar] [CrossRef]
  4. Han, Z.; Yi, F.; Ohkura, K. Collective Transport Behavior in a Robotic Swarm with Hierarchical Imitation Learning: Special Issue on Control and Applications of Multi-Agent Systems. J. Robot. Mechatron. 2024, 36, 538–545. [Google Scholar] [CrossRef]
  5. Zhang, B.; Zhi, H.; Romero, J.G.; Labazanova, L.; Duan, A.; Li, X.; Navarro-Alarcon, D. Fourier-based multi-agent formation control to track evolving closed boundaries. IEEE Trans. Circuits Syst. I Regul. Pap. 2023, 70, 4549–4559. [Google Scholar] [CrossRef]
  6. Wang, Y.; Li, S.; Chen, G.; Liu, X. Distributed Adaptive Containment Control for Nonlinear MASs with Time-Varying Delays and Directed Graphs. Automatica 2024, 160, 111852. [Google Scholar]
  7. Zhang, H.; Sun, Z.; Lewis, F.L. Output Containment of Heterogeneous MASs via Data-Driven Adaptive Control with Unknown Dynamics. IEEE Trans. Cybern. 2023, 53, 3890–3901. [Google Scholar]
  8. Li, W.; Han, J.; Zhang, Y. Distributed Fault-Tolerant Containment Control for UAV Swarms with Actuator Failures. IEEE Trans. Aerosp. Electron. Syst. 2024, 60, 2560–2572. [Google Scholar]
  9. Li, X.; Wang, Y.; Jiang, H. Distance-targeted competitive follower-attraction containment control for multi-agent systems with weighted directed graphs. Int. J. Robust Nonlinear Control 2023, 33, 6190–6204. [Google Scholar]
  10. Wu, Y.; Pan, Y.; Liang, H. Observer-based distributed fault-tolerant containment control for stochastic nonlinear multi-agent systems withasymmetric hysteretic quantization. Int. J. Robust Nonlinear Control 2022, 32, 7408–7430. [Google Scholar] [CrossRef]
  11. Li, Z.; Song, G.; Liu, Z. Containment control of heterogeneous multi-agent systems. Fractal Fract. 2023, 7, 313. [Google Scholar]
  12. Sang, J.S.; Ma, D.Z.; Zhou, Y. Group-consensus of hierarchical containment control for linear multi-agent systems. IEEE/CAA J. Autom. Sin. 2023, 10, 1462–1474. [Google Scholar] [CrossRef]
  13. Wang, X.; Wang, L. Prescribed-time containment control of high-order nonlinear multi-agent systems based on distributed observer. J. Frankl. Inst. 2023, 360, 7413–7428. [Google Scholar] [CrossRef]
  14. Xie, Y.; Ma, Q. Consensus Analysis of Fractional Multi-Agent Systems with Delayed Distributed PI Controller. J. Syst. Sci. Complex. 2023, 36, 205–221. [Google Scholar] [CrossRef]
  15. Sun, Z.; Yuan, J.; Li, X. Adaptive Neural Control for a Class of Random Fractional-Order Multi-Agent Systems with Markov Jump Parameters and Full State Constraints. Fractal Fract. 2024, 8, 278. [Google Scholar]
  16. Wang, Z.; Shen, Y.; Wei, G. Fractional-Order Consensus and Containment of MASs with Memory Effects: A Case Study on Microorganism Aggregation. IEEE Trans. Cybern. 2024, 54, 1678–1689. [Google Scholar]
  17. Zou, Y.; Li, X.; Deng, C.; Wu, X. A Finite-Dimensional Control Scheme for Fractional-Order Systems under Denial of Service Attacks. Fractal Fract. 2023, 7, 562. [Google Scholar] [CrossRef]
  18. Liu, H.; Xie, G.; Gao, Y. Containment control of fractional-order multi-agent systems with time-varying delays. J. Frankl. Inst. 2019, 356, 9992–10014. [Google Scholar] [CrossRef]
  19. Song, Z.; Wu, Z.; Huang, H. Safety-Critical Containment Control for Multi-Agent Systems With Communication Delays. IEEE Trans. Netw. Sci. Eng. 2024, 11, 4911–4922. [Google Scholar] [CrossRef]
  20. Zhang, Y.; Wang, L.; Liu, X. Fractional-Order Containment Control for Multi-Agent Systems with Nonlinear Dynamics and Communication Constraints. IEEE Trans. Autom. Control 2023, 68, 2890–2901. [Google Scholar]
  21. Xia, X.; Bai, J.; Li, X.; Wen, G. Containment control for fractional order MASs with nonlinearity and time delay via pull-based event-triggered mechanism. Appl. Math. Comput. 2023, 454, 128094. [Google Scholar] [CrossRef]
  22. Chen, W.; Li, H.; Liu, X.; Zhang, W. Event-Based Bipartite Containment Control for Multi-Agent Networks Subject to Communication Delay. IEEE Trans. Netw. Sci. Eng. 2023, 10, 2789–2801. [Google Scholar]
  23. Feng, L.; Huang, B.; Sun, J.; Xie, X.; Zhang, H.; Ren, J. Multi-stage dynamic event-triggered containment control of nonlinear multi-agent systems with input-bounded leaders and time-varying delay. Int. J. Robust Nonlinear Control 2023, 33, 574–591. [Google Scholar] [CrossRef]
  24. Zhang, J.; Zhang, H.; Cai, Y.; Li, W. Containment control of general linear multi-agent systems by event-triggered control mechanisms. Neurocomputing 2021, 433, 263–274. [Google Scholar] [CrossRef]
  25. Chen, T.; Yuan, J. Command-filtered adaptive containment control of fractional-order multi-agent systems via event-triggered mechanism. Trans. Inst. Meas. Control 2022, 45, 1646–1660. [Google Scholar] [CrossRef]
  26. Yi, X.; Lu, W.; Chen, T. Pull-Based Distributed Event-Triggered Consensus for Multiagent Systems With Directed Topologies. IEEE Trans. Neural Netw. Learn. Syst. 2017, 28, 71–79. [Google Scholar] [CrossRef] [PubMed]
  27. Xiong, G.; Wen, G.; Peng, Z.; Huang, T. Pull-Based Event-Triggered Containment Control for Multiagent Systems With Active Leaders via Aperiodic Sampled-Data Transmission. IEEE Trans. Syst. Man Cybern. Syst. 2022, 52, 214–225. [Google Scholar] [CrossRef]
  28. Jiang, D.; Wen, G.; Peng, Z.; Wang, J.L.; Huang, T. Fully Distributed Pull-Based Event-Triggered Bipartite Fixed-Time Output Control of Heterogeneous Systems With an Active Leader. IEEE Trans. Cybern. 2023, 53, 3089–3100. [Google Scholar] [CrossRef]
  29. Liu, H.; Wen, G.; Peng, Z.; Wang, J.L.; Huang, T. Fully Distributed Consensus Control for Linear Multiagent Systems with Dynamic Double-Event-Triggered Mechanism. IEEE Trans. Circuits Syst. II Express Briefs 2022, 69, 1262–1266. [Google Scholar] [CrossRef]
  30. Liu, J.; Ran, G.; Wu, Y.; Xue, L.; Sun, C. Dynamic Event-Triggered Practical Fixed-Time Consensus for Nonlinear Multiagent Systems. IEEE Trans. Circuits Syst. II Express Briefs 2022, 69, 2156–2160. [Google Scholar] [CrossRef]
  31. Yuan, J.; Chen, T. Switched Fractional Order Multiagent Systems Containment Control with Event-Triggered Mechanism and Input Quantization. Fractal Fract. 2022, 6, 77. [Google Scholar] [CrossRef]
  32. Zhang, X.; Zheng, S.; Ahn, C.K.; Xie, Y. Adaptive Neural Consensus for Fractional-Order Multi-Agent Systems With Faults and Delays. IEEE Trans. Neural Netw. Learn. Syst. 2023, 34, 7873–7886. [Google Scholar] [CrossRef] [PubMed]
  33. Podlubny, I. Fractional Differential Equations; Academic: San Diego, CA, USA, 1999. [Google Scholar]
  34. Ma, L.; Wang, S.; Min, H.; Liao, S.; Liu, Y. Distributed finite-time attitude containment control of multi-rigid-body systems. J. Frankl. Inst. 2015, 352, 2187–2203. [Google Scholar] [CrossRef]
  35. Liu, Y.; Zhang, H.; Wang, Y.; Liang, H. Adaptive containment control for fractional-order nonlinear multi-agent systems with time-varying parameters. IEEE/CAA J. Autom. Sin. 2022, 9, 1627–1638. [Google Scholar] [CrossRef]
  36. Tian, H.; Wang, P.; Huang, T. Fully distributed containment of multiple-input-multiple-output linear multi-agent systems with multiple nonautonomous leaders. Int. J. Adapt. Control Signal Process. 2022, 36, 2604–2619. [Google Scholar] [CrossRef]
  37. Rong, L.; Liu, X.; Jiang, G.P.; Xu, S. Observer-Based Multiagent Bipartite Consensus With Deterministic Disturbances and Antagonistic Interactions. IEEE Trans. Cybern. 2022, 52, 11772–11779. [Google Scholar] [CrossRef]
  38. Xu, C.; Xu, H.; Guan, Z.H.; Ge, Y. Observer-Based Dynamic Event-Triggered Semiglobal Bipartite Consensus of Linear Multi-Agent Systems With Input Saturation. IEEE Trans. Cybern. 2023, 53, 3139–3152. [Google Scholar] [CrossRef]
  39. Zhang, W.; Li, Y.; Wang, J. Robust Cascade Observers for UAVs under Multiple Time-Varying Delays and Uncertainties. Int. J. Syst. Sci. 2024, 55, 1234–1251. [Google Scholar]
  40. Liu, H.; Chen, M.Z.Q. Consensus Tracking of UAVs with Distinct Unknown Delays. In Proceedings of the 2023 International Conference on Unmanned Aircraft Systems (ICUAS), Warsaw, Poland, 6–9 June 2023; pp. 567–576. [Google Scholar]
  41. Wang, L.; Zhang, B.; Chen, Y. Distributed Observers for Systems with Multirate Sampled Outputs and Multiple Delays. Math. Control Signals Syst. 2022, 34, 201–229. [Google Scholar]
Figure 1. The communication topology of the leaders and followers.
Figure 1. The communication topology of the leaders and followers.
Fractalfract 09 00658 g001
Figure 2. Evolution of σ i ( t ) .
Figure 2. Evolution of σ i ( t ) .
Fractalfract 09 00658 g002
Figure 3. Evolution of dynamic variable v i ( t ) .
Figure 3. Evolution of dynamic variable v i ( t ) .
Fractalfract 09 00658 g003
Figure 4. Triggering time for each follower agent.
Figure 4. Triggering time for each follower agent.
Fractalfract 09 00658 g004
Figure 5. Trajectories of x i 1 ( t ) under the control law.
Figure 5. Trajectories of x i 1 ( t ) under the control law.
Fractalfract 09 00658 g005
Figure 6. Trajectories of x i 2 ( t ) under the control law.
Figure 6. Trajectories of x i 2 ( t ) under the control law.
Fractalfract 09 00658 g006
Figure 7. The containment errors of system.
Figure 7. The containment errors of system.
Fractalfract 09 00658 g007
Figure 8. Control inputs u i ( t ) .
Figure 8. Control inputs u i ( t ) .
Fractalfract 09 00658 g008
Table 1. Event-triggered times for each agent.
Table 1. Event-triggered times for each agent.
ControllerAgentUpdate Times
181
Event-triggered295
396
Continuous samplingall agents2001
Disclaimer/Publisher’s Note: The statements, opinions and data contained in all publications are solely those of the individual author(s) and contributor(s) and not of MDPI and/or the editor(s). MDPI and/or the editor(s) disclaim responsibility for any injury to people or property resulting from any ideas, methods, instructions or products referred to in the content.

Share and Cite

MDPI and ACS Style

Bai, J.; Cai, Y.; Xia, X.; Li, X.; Wen, G. Containment Control of Fractional-Order Time-Delay Multi-Agent Systems Employing a Fully Distributed Pull-Based Event-Triggered Approach. Fractal Fract. 2025, 9, 658. https://doi.org/10.3390/fractalfract9100658

AMA Style

Bai J, Cai Y, Xia X, Li X, Wen G. Containment Control of Fractional-Order Time-Delay Multi-Agent Systems Employing a Fully Distributed Pull-Based Event-Triggered Approach. Fractal and Fractional. 2025; 9(10):658. https://doi.org/10.3390/fractalfract9100658

Chicago/Turabian Style

Bai, Jing, Yaxuan Cai, Xue Xia, Xiaohe Li, and Guoguang Wen. 2025. "Containment Control of Fractional-Order Time-Delay Multi-Agent Systems Employing a Fully Distributed Pull-Based Event-Triggered Approach" Fractal and Fractional 9, no. 10: 658. https://doi.org/10.3390/fractalfract9100658

APA Style

Bai, J., Cai, Y., Xia, X., Li, X., & Wen, G. (2025). Containment Control of Fractional-Order Time-Delay Multi-Agent Systems Employing a Fully Distributed Pull-Based Event-Triggered Approach. Fractal and Fractional, 9(10), 658. https://doi.org/10.3390/fractalfract9100658

Article Metrics

Article metric data becomes available approximately 24 hours after publication online.
Back to TopTop