Next Article in Journal
On Novel Mathematical Modeling for Studying a Class of Nonlinear Caputo-Type Fractional-Order Boundary Value Problems Emerging in CGT
Next Article in Special Issue
Unlimited Sampling Theorem Based on Fractional Fourier Transform
Previous Article in Journal
Local Convergence of Traub’s Method and Its Extensions
Previous Article in Special Issue
LFM Signal Parameter Estimation via FTD-FRFT in Impulse Noise
 
 
Font Type:
Arial Georgia Verdana
Font Size:
Aa Aa Aa
Line Spacing:
Column Width:
Background:
Article

2D Linear Canonical Transforms on Lp and Applications

1
College of Information Technology, The University of Suwon, Hwaseong-si 18323, Republic of Korea
2
School of Mathematics and Statistics, Linyi University, Linyi 276005, China
*
Author to whom correspondence should be addressed.
Fractal Fract. 2023, 7(2), 100; https://doi.org/10.3390/fractalfract7020100
Submission received: 21 December 2022 / Revised: 6 January 2023 / Accepted: 15 January 2023 / Published: 17 January 2023
(This article belongs to the Special Issue Recent Advances in Fractional Fourier Transforms and Applications)

Abstract

As Fourier transformations of L p functions are the mathematical basis of various applications, it is necessary to develop L p theory for 2D-LCT before any further rigorous mathematical investigation of such transformations. In this paper, we study this L p theory for 1 p < . By defining an appropriate convolution, we obtain a result about the inverse of 2D-LCT on L 1 ( R 2 ) . Together with the Plancherel identity and Hausdorff–Young inequality, we establish L p ( R 2 ) multiplier theory and Littlewood–Paley theorems associated with the 2D-LCT. As applications, we demonstrate the recovery of the L 1 ( R 2 ) signal function by simulation. Moreover, we present a real-life application of such a theory of 2D-LCT by encrypting and decrypting real images.

1. Introduction

The linear canonical transform (LCT) was proposed by Collins [1] and by Moshinsky and Quesne [2] almost simultaneously in the early 1970s. Since LCT has more free parameters than the classical Fourier transform (FT) and the fractional Fourier transform (FRFT), it has become an important tool for time-frequency analysis, especially for non-stationary signals or time-varying signals, and it is widely used in many fields such as radar, sonar, communication, information security, and digital watermarking [3,4,5,6,7,8,9].
In the field of two-dimensional signal processing, sometimes we can reduce the problem to a one-dimensional situation, but in many cases it cannot be reduced, and two-dimensional signal processing tools are needed. Two-dimensional linear canonical transform (2D-LCT), as a generalized form of two-dimensional Fourier transform and two-dimensional fractional Fourier transform, has also attracted the attention of many scholars. In recent years, there are numerous applications of 2D-LCT have been discovered, including sampling theory, discrete theory, optical implementation, filter design, signal encryption, image reconstruction, and the uncertainty principle; see, for example, refs. [10,11,12,13,14,15,16,17,18,19,20] and references therein.
As Fourier transformations of L p functions are the mathematical basis of various applications, which is a complicated theory, it is necessary to develop L p theory for 2D-LCT before any further rigorous mathematical investigation of LCT. In this paper, we obtain a satisfactory L p theory for 2D-LCT. As we know, FT is only defined for L 1 functions naturally. Extending its definition to L p functions is a complicated procedure that requires deep theories such as Plancherel identity, the inversion problem, convolution theory, and the multiplication formula. Therefore, in this paper, we also establish the corresponding theory for 2D-LCT on L 1 and L 2 , and then to general L p . We further establish the L p ( R 2 ) multiplier theory and Littlewood–Paley theorems associated with the 2D-LCT. As applications, we demonstrate the recovery of the L 1 ( R 2 ) signal function by simulation.
Let us review the definition of 1D-LCT. Denote by S L 2 , R the set of all 2 × 2 real matrices of determinant 1.
Definition 1
([21]). For any matrix A = a b c d S L 2 , R , the 1D-LCT is defined by
L A f x = + K A x , t f t d t , b 0 , d e i c d 2 x 2 f d x , b = 0 ,
where
K A x , t = C A e b , d ( x ) e b , a ( t ) e b ( x , t ) ,
C A = 1 i 2 π b , e b , d ( x ) = e i d 2 b x 2 , e b , a ( x ) = e i a 2 b t 2 , e b ( x , t ) = e i b x t .
By contrast, LCT is a generalization of FRFT and FT; it has three free parameters, and the set of all LCT does not form a commutative group (Abelian group) under multiplication, which is quite different from FRFT and FT. However, for special values of a , b , c , d in Table 1, the set of all transforms forms an Abelian group, respectively.
If parameter b = 0 , the 1D-LCT will degenerate into the chirp product. Therefore, we just consider b 0 in the following.
Chen et al. [22] solved the inversion problem for the 1D-FRFT on L p ( R ) , 1 < p < 2 . Then, they obtained L p ( R ) multipliers and Littlewood–Paley theorems. Zhang and Li [23] extended their results to 2D-FRFT and obtained the Heisenberg inequality. Yang et al. [24] gave the approximation theorems of nD-FRFT and used them to verify solutions to the Laplace equation and the heat equation with particular conditions in the upper half-space. Motivated by these works, we consider the corresponding problems for 2D-LCT.
Definition 2
([21]). For any matrix A j = a j b j c j d j S L 2 , R , b j 0 , j = 1 , 2 , u = u 1 , u 2 R 2 , the 2D-LCT is defined by
L A f u = R 2 K A u , x f x d x ,
where
K A u , x = K A 1 u 1 , x 1 K A 2 u 2 , x 2 = C A e b , d u e b , a x e b u , x ,
C A = C A 1 C A 2 , A = A 1 , A 2 ,
e b , d u = e b 1 , d 1 ( u 1 ) e b 2 , d 2 ( u 2 ) = e i d 1 2 b 1 u 1 2 + d 2 2 b 2 u 2 2 ,
e b , a x = e b 1 , a 1 ( x 1 ) e b 2 , a 2 ( x 2 ) = e i a 1 2 b 1 x 1 2 + a 2 2 b 2 x 2 2 ,
e b u , x = e b 1 ( u 1 , x 1 ) e b 2 ( u 2 , x 2 ) = e i u 1 x 1 b 1 + u 2 x 2 b 2 .
Combining Definition 1 and Definition 2, we see that
L A f u = L A 2 L A 1 f u ,
where L A 1 and L A 2 are the 1 dimensional linear canonical operators of u 1 and u 2 , respectively.
From Table 1, we know that some transforms are special cases of LCT. A natural thought is whether LCT can be decomposed into a combination of these special transforms.
Recall the definition of 2D-FT. For suitable function f on R 2 , the 2D-FT of f is defined by (see [25])
F f u = R 2 f x e 2 π i x · u d x .
Considering the relationship between 2D-LCT and 2D-FT, the 2D-LCT can be rewritten as
L A f u = C A e b , d ( u ) F e b , a f u b , where u b = u 1 b 1 , u 2 b 2 .
According to (2), the 2D-LCT of f x can be decomposed as follows:
1.
Multiplying by a chirp function, g x = e b , a x f x ;
2.
2-dimensional Fourier transform, g ^ u = F g u ;
3.
Scaling, g ˜ u = g ^ u b ;
4.
Multiplying by a chirp function, L A f u = C A e b , d u g ˜ u .
In Section 2, we provide the Heisenberg inequality and inverse transform for 2D-LCT on L 2 ( R 2 ) . A natural question is whether it holds on L 1 ( R 2 ) . However, f L 1 ( R 2 ) is not a sufficient condition for L A f L 1 ( R 2 ) . In order to study the inversion problem of 2D-LCT on L 1 ( R 2 ) , we discuss the elementary properties of 2D-LCT on L 1 ( R 2 ) . In Section 3, we define the appropriate convolution and some special means. We prove that the convolution converges approximately to the original function and demonstrate the recovery of the function. Section 4 is devoted to the problem of 2D-LCT on L p ( R 2 ) for 1 < p < 2 . In Section 5, we obtain the L p ( R 2 ) multiplier theorem for 2D-LCT. In Section 6, we demonstrate the recovery of the L 1 ( R 2 ) signal function by simulation and give the 2D-LCT image of a discrete signal, considering the influence of different parameters of 2D-LCT.

2. 2D-LCT on L 2 ( R 2 )

We discuss the Heisenberg inequality for 2D-LCT on L 2 ( R 2 ) . According to the definition of 2D-LCT and the properties for 1D-LCT in [21], we can obtain the following properties for 2D-LCT.
Lemma 1.
Let f L 2 ( R 2 ) . Then,
(i) 
L A L B f = L ( A 1 , A 2 ) L ( B 1 , B 2 ) f = L ( A 1 · B 1 , A 2 · B 2 ) f ;
(ii)
L A [ f ( x s ) ] ( u ) = e i j = 1 2 c j s j u j 1 2 a j c j s j 2 L A f ( u 1 a 1 s 1 , u 2 a 2 s 2 ) ;
(iii) 
L A e i j = 1 2 μ j x j f ( x ) ( u ) = e i j = 1 2 d j μ j u j 1 2 b j d j μ j 2 L A f ( u 1 b 1 μ 1 , u 2 b 2 μ 2 ) ;
(iv) 
L A f L 2 ( R 2 ) and R 2 | L A f u | 2 d u = R 2 | f x | 2 d x .
(v) 
L A * L A f = f , where A * = A 1 * , A 2 * and A j * = d j b j c j a j is the adjoint matrix of A j , j = 1 , 2 , that is, L A * is the 2D inverse linear canonical transform on L 2 ( R 2 ) .
Proof. 
From Definition 2 and the properties for 1D-LCT in [21], it is clear that (i)–(iv) hold. We only give the proof of (v). From (i), we have
L A * L A f = L ( A 1 * , A 2 * ) L ( A 1 , A 2 ) f = L ( A 1 * · A 1 , A 2 * · A 2 ) f = f .
Lemma 1 (iv) is the Plancherel identity for 2D-LCT, which means L A f L 2 for f L 2 and L A f 2 = f 2 . In fact, the inverse transform of 2D-LCT on L 2 ( R 2 ) , that is Lemma 1 (v), can also be found in [26].
Theorem 1
(General multiplication formula). Let
A = A 1 , A 2 , A = A 1 , A 2 ,
A j = a j b j c j d j S L 2 , R , A j = d j b j c j a j S L 2 , R ,
where j = 1 , 2 . For every f , g L 2 ( R 2 ) we have
R 2 L A f u g u d u = R 2 f u L A g u d u .
Proof. 
From Fubini’s theorem, we have
R 2 L A f u g u d u = R 2 R 2 K A u , x f x d x g u d u = R 2 C A e b , d u R 2 e b , a x e b u , x f x d x g u d u = R 2 f x C A e b , a x R 2 e b , d u e b u , x g u d u d x = R 2 f x R 2 K A x , u g u d u d x = R 2 f u L A g u d u .
Hence, this theorem is proved. □
The classical Heisenberg uncertainty principle in the Fourier transform system is very important in signal processing, especially in time-frequency analysis, which states that a signal cannot be both time-limited and band-limited. In recent years, many researchers extended the Heisenberg principle to the LCT domains and its special cases such as FRFT. It is shown that there are different bounds for real and complex signals in the LCT and FRFT domains. In the 2D Non-separate LCT domain, Ding and Pei [20] discussed the related theory of Heisenberg uncertainty and revealed the lower limit of the product of time width and frequency width of signals in the 2D non-separate LCT domain. In this article, we obtain the following general Heisenberg inequality for the 2D-LCT.
Theorem 2
(General Heisenberg inequality). Let f L 2 ( R 2 ) and
A j k = a j k b j k c j k d j k S L 2 , R , j , k = 1 , 2 .
For any y = ( y 1 , y 2 ) , v = ( v 1 , v 2 ) R 2 , if A 1 1 A 2 1 * = A 1 2 A 2 2 * then
R 2 x y ˜ 2 L A 1 f x 2 d x × R 2 u v ˜ 2 L A 2 f u 2 d u a 1 1 c 2 1 b 1 1 d 2 1 2 f 2 4 ,
where
A 1 = A 1 1 , A 1 2 , A 2 = A 2 1 , A 2 2 ,
y ˜ = y 1 b 1 1 + v 1 a 1 1 , y 2 b 1 2 + v 2 a 1 2 ,
v ˜ = y 1 b 2 1 + v 1 a 2 1 , y 2 b 2 2 + v 2 a 2 2 .
Proof. 
We divide our proof into three steps.
(i) Let f C 0 ( R 2 ) , y = v = 0 and
M = A 1 1 A 2 1 * = A 1 2 A 2 2 * = a M b M c M d M .
We suppose b j k , b M 0 , j , k = 1 , 2 and define
G x = L A 1 f x e b M , a M x ,
g u = R 2 G x e i x · u d x .
Using the classical Heisenberg inequality in [27], we obtain
R 2 x 2 F g x 2 d x × R 2 u 2 g u 2 d u f 2 4 4 π 2 .
From (4) and (5), we have
R 2 x 2 F g x 2 d x = R 2 x 2 L A 1 f x 2 d x .
By adjusting the variables, we obtain
R 2 u 2 g u 2 d u = 1 b M 2 R 2 u b M 2 g u b M 2 d u .
It follows from the definition of 2D-LCT that
g u b M 2 = R 2 G x e b M ( x , u ) d x 2 = 1 C M * 2 R 2 C M * L A 1 f x e b M , a M x e b M , d M u e b M ( x , u ) d x 2 = 2 π b M 2 L M * L A 1 f u 2 = 2 π b M 2 L A 2 f u 2 ,
where M = ( M , M ) , M * = ( M * , M * ) . Then,
R 2 u 2 g u 2 d u = 2 π b M 2 R 2 u 2 L A 2 f u 2 d u .
Since M = A 1 1 A 2 1 * = A 1 2 A 2 2 * , we have
R 2 x 2 L A 1 f x 2 d x × R 2 u 2 L A 2 f u 2 d u a 1 1 c 2 1 b 1 1 d 2 1 2 f 2 4 .
(ii) Let f L 2 ( R 2 ) , y = v = 0 . If · L A 1 f · 2 < or · L A 2 f · 2 < holds for at least one, then we obtain the conclusion. Suppose that both are limited. Since C 0 ( R 2 ) is dense in L 2 ( R 2 ) , i.e., for each f L 2 ( R 2 ) , we can choose { f k } C 0 ( R 2 ) such that
f k L 2 f ,
x L A 1 f k x L 2 x L A 1 f x ,
u L A 2 f k u L 2 u L A 2 f u ,
as k . Then, we also obtain
R 2 x 2 L A 1 f x 2 d x × R 2 u 2 L A 2 f u 2 d u a 1 1 c 2 1 b 1 1 d 2 1 2 f 2 4 .
(iii) Let f L 2 ( R 2 ) , y , v R 2 . We define
g ( x ) = e i x · y f ( x + v ) .
Accoding to the time-shift property of 2D-LCT,
| L A 1 g ( x ) | 2 = | L A 1 f ( x 1 + y 1 b 1 1 + v 1 a 1 1 , x 2 + y 2 b 1 2 + v 2 a 1 2 ) | 2 ,
| L A 2 g ( x ) | 2 = | L A 2 f ( x 1 + y 1 b 2 1 + v 1 a 2 1 , x 2 + y 2 b 2 2 + v 2 a 2 2 ) | 2 .
As a result of changing variables and using (ii), we obtain
R 2 x 2 L A 1 f x 2 d x × R 2 u 2 L A 2 f u 2 d u a 1 1 c 2 1 b 1 1 d 2 1 2 f 2 4 .
This completes the proof. □

3. 2D-LCT on L 1 ( R 2 )

The inversion problem for 2D-LCT (Lemma 1 (v)) on L 2 can be easily solved due to the Plancherel identity for LCT. However, it is not always true that if f L 1 then L A f L 1 . In this section, we consider the inversion problem of the 2D-LCT on L 1 . We need the following lemma.
Lemma 2
(General Riemann–Lebesgue lemma). If f L 1 ( R 2 ) , then
lim | u | L A f u 0 .
Proof. 
According to (2), the boundedness of e b , a x and the Riemann–Lebesgue lemma of the classical Fourier transform, we obtain
lim | u | L A f u = lim | u | C A e b , d u F e b , a f u b = 0 .
Definition 3.
For f , g L 1 ( R 2 ) , we define the convolution * A by
f * A g u = e b , a u R 2 e b , a x f x g u x d x .
For ε > 0 , let ϕ ε u : = 1 ε 2 ϕ u ε .
Proposition 1.
Let ϕ L 1 ( R 2 ) and R 2 ϕ u d u = 1 . If f L p ( R 2 ) , 1 p < ; then,
lim ε 0 f * A ϕ ε f p = 0 .
Proof. 
Since R 2 ϕ u d u = 1 , we have
f * A ϕ ε u f u = e b , a u R 2 e b , a x f x ϕ ε u x d x R 2 ϕ ε x f u d x = R 2 e i a 1 2 b 1 u 1 x 1 2 u 1 2 + a 2 2 b 2 u 2 x 2 2 u 2 2 f u x f u ϕ ε x d x .
Due to Minkowski’s integral inequality, we obtain
f * A ϕ ε f p = R 2 R 2 e i a 1 2 b 1 u 1 x 1 2 u 1 2 + a 2 2 b 2 u 2 x 2 2 u 2 2 f u x f u ϕ ε x d x p d u 1 p R 2 R 2 e i a 1 2 b 1 u 1 x 1 2 u 1 2 + a 2 2 b 2 u 2 x 2 2 u 2 2 f u x f u p d u 1 p ϕ ε x d x = R 2 R 2 e i a 1 2 b 1 u 1 ε x 1 2 u 1 2 + a 2 2 b 2 u 2 ε x 2 2 u 2 2 f u ε x f u p d u 1 p ϕ x d x : = R 2 J ε x ϕ x d x .
Next, we show that
lim ε 0 J ε x = 0 , x R 2 .
Using the fact that the space of continuous functions with compact support C c ( R 2 ) is dense in L p ( R 2 ) , for an arbitrary η > 0 , there are g C c ( R 2 ) such that
f g p < η 2 .
Additionally, g is uniformly continuous,
lim ε 0 g u ε x g u = 0 .
Then, for any x R 2 ,
J ε ( x ) R 2 e i a 1 2 b 1 u 1 ε x 1 2 u 1 2 + a 2 2 b 2 u 2 ε x 2 2 u 2 2 f u ε x g u ε x p d u 1 p + R 2 e i a 1 2 b 1 u 1 ε x 1 2 u 1 2 + a 2 2 b 2 u 2 ε x 2 2 u 2 2 g u ε x g u ε x p d u 1 p + R 2 | g u ε x g | p d u 1 p + f g p 2 f g p + supp g e i a 1 2 b 1 u 1 ε x 1 2 u 1 2 + a 2 2 b 2 u 2 ε x 2 2 u 2 2 1 p d u 1 p + R 2 | g u ε x g | p d u 1 p .
Using Lebesgue’s dominated convergence theorem, we obtain
lim ¯ ε 0 J ε ( x ) η + R 2 | g u ε x g | p d u 1 p + g lim ¯ ε 0 supp g e i a 1 2 b 1 u 1 ε x 1 2 u 1 2 + a 2 2 b 2 u 2 ε x 2 2 u 2 2 1 p d u 1 p = η .
According to Lebesgue’s dominated convergence theorem and J ε ( x ) 2 f p < , we obtain
lim ε 0 f * A ϕ ε f p = 0 .
Hence, the proposition follows. □
Proposition 2.
Let ϕ L 1 ( R 2 ) and R 2 ϕ u d u = 1 . Denote by ψ u = sup x u ϕ x the decreasing radial dominant functions of ϕ. If ψ L 1 ( R 2 ) and f L p ( R 2 ) , 1 p < , then
lim ε 0 f * A ϕ ε u = f u , a . e . u R 2 .
Proof. 
As e b , a f L p ( R 2 ) , using the Lebesgue differentiation theorem, we obtain
lim γ 0 1 γ 2 | x | < γ e i a 1 2 b 1 u 1 x 1 2 u 1 2 + a 2 2 b 2 u 2 x 2 2 u 2 2 f ( u x ) f ( u ) d x = 0 , a . e . x R n .
Let
E = u R 2 : lim γ 0 1 γ 2 | x | < γ e i a 1 2 b 1 u 1 x 1 2 u 1 2 + a 2 2 b 2 u 2 x 2 2 u 2 2 f ( u x ) f ( u ) d x = 0 .
Suppose that u is any fixed point in E. For any ϵ > 0 , there are δ > 0 such that
1 γ 2 | x | < γ e i a 1 2 b 1 u 1 x 1 2 u 1 2 + a 2 2 b 2 u 2 x 2 2 u 2 2 f ( u x ) f ( u ) d x < ϵ
whenever 0 < γ δ .
By assumption,
f * α ϕ ε u f u = R 2 e i a 1 2 b 1 u 1 x 1 2 u 1 2 + a 2 2 b 2 u 2 x 2 2 u 2 2 f ( u x ) f ( u ) ϕ ε ( x ) d x = | x | < δ e i a 1 2 b 1 u 1 x 1 2 u 1 2 + a 2 2 b 2 u 2 x 2 2 u 2 2 f ( u x ) f ( u ) ϕ ε ( x ) d x + | x | δ e i a 1 2 b 1 u 1 x 1 2 u 1 2 + a 2 2 b 2 u 2 x 2 2 u 2 2 f ( u x ) f ( u ) ϕ ε ( x ) d x = : I 1 + I 2 .
We assume ψ 0 ( γ ) = ψ ( x ) , where | x | = γ . Then, ψ 0 decreases. Denoting by Ω the volume of unit sphere in R 2 , we obtain
Ω 3 4 γ 2 ψ 0 ( γ ) γ / 2 | x | γ ψ ( x ) d x 0
as γ 0 or γ . Thus, there are a constant A > 0 , such that γ 2 ψ 0 ( γ ) A , for 0 < γ < .
We define
Σ = { τ R 2 : | τ | = 1 } ,
g ( γ ) = Σ e i a 1 2 b 1 u 1 γ x 1 2 u 1 2 + a 2 2 b 2 u 2 γ x 2 2 u 2 2 f ( z γ τ ) f ( z ) d τ ,
where d τ is the surface measure on Σ . Therefore, Equation (7) is equivalent to
1 γ 2 G ( γ ) = 1 γ 2 0 γ s g ( s ) d s ϵ ,
whenever 0 < γ δ . Hence,
| I 1 | | x | < δ e i a 1 2 b 1 u 1 x 1 2 u 1 2 + a 2 2 b 2 u 2 x 2 2 u 2 2 f ( u x ) f ( u ) 1 ε 2 ϕ ( x ε ) d x | x | < δ e i a 1 2 b 1 u 1 x 1 2 u 1 2 + a 2 2 b 2 u 2 x 2 2 u 2 2 f ( u x ) f ( u ) 1 ε 2 ψ ( x ε ) d x = 0 δ γ ε 2 g ( γ ) ψ 0 γ ε d γ = G ( γ ) 1 ε 2 ψ 0 γ ε 0 δ 0 δ / 1 ε 2 G ( ε s ) d ψ 0 ( s ) ϵ A 0 δ / ε ϵ s n d ψ 0 ( s ) ϵ A 0 s n d ψ 0 ( s ) = : ϵ A 1 .
Denote by χ δ the characteristic function of the set { x R 2 : | x | δ } . It follows from the Hölder inequality that
| I 2 | | x | δ e i a 1 2 b 1 u 1 x 1 2 u 1 2 + a 2 2 b 2 u 2 x 2 2 u 2 2 f ( u x ) f ( u ) ψ ε ( x ) d x | x | δ f ( u x ) ψ ε ( x ) d x + f ( x ) | x | δ ψ ε ( x ) d x f p χ δ ψ ε ( u ) p + f ( u ) p | x | δ / ε ψ ( x ) d x 0
as ε 0 , which proves the proposition. □
Definition 4.
Let Φ L 1 ( R 2 ) with Φ 0 , 0 = 1 . For any ε > 0 , the Φ b means of the linear canonical integral with respect to A of f is defined by
M ε , Φ b f x : = R 2 L A f u K A * x , u Φ b ε u d u ,
where
Φ b u : = Φ u b .
Proposition 3.
Let f , Φ L 1 ( R 2 ) and ε > 0 . We have
M ε , Φ b f x = 1 4 π 2 f * A φ ˜ ε x ,
where φ : = F Φ and φ ˜ u = φ u .
Proof. 
From (2) and multiplication formular of 2D-FT, we obtain
M ε , Φ b f x = R 2 L A f u K A * x , u Φ b ε u d u = C A * e b , a x R 2 L A f u e b , d u e b u , x Φ b ε u d u = C A * C A e b , a x R 2 F e b , a f u b e b u , x Φ ε u b d u = 1 4 π 2 e b , a x R 2 F e b , a f u e i u · x Φ ε u d u = 1 4 π 2 e b , a x R 2 e b , a u f u F e i u ( · ) Φ ε ( · ) u d u = 1 4 π 2 e b , a x R 2 e b , a u f u φ ε u x d u = 1 4 π 2 f * A φ ˜ ε x .
Lemma 3
([25]). For any ε > 0 , we have
(i) 
F e 2 π ε · u = ε π u 2 + ε 2 3 / 2 = : P ε u (Poisson kernel);
(ii) 
F e 4 π 2 ε · 2 u = 1 4 π ε e u 2 / 4 ε = : W ε u (Gauss–Weierstrass kernel).
(iii) 
R 2 W ε u d u = R 2 P ε u d u = 1 .
Definition 5.
Let f L p ( R 2 ) , 1 p < . For any ε > 0 ,
u ε , A ( f ) x : = f * A P ˜ ε x = e b , a x R 2 e b , d u f u P ε x u d u
is called the linear canonical Poisson integral of f,
s ε , A ( f ) x : = f * A W ˜ ε x = e b , a x R 2 e b , d u f u W ε x u d u
is called the linear canonical Gauss–Weierstrass integral of f.
Definition 6.
Denote by
p ε , b u = e 2 π ε u b , w ε , b u = e 4 π 2 ε u b 2 .
Then, the Φ b means with respect to A
M p ε , b f = R 2 L A f u K A * x , u e 2 π ε u b d u
are called the Abel means of the linear canonical integral of f, while
M w ε , b f = R 2 L A f u K A * x , u e 4 π 2 ε u b 2 d u
are called the Gauss means of the linear canonical integral of f.
It is clear that
1 4 π 2 u ε , A ( f ) x = M p ε , b f , 1 4 π 2 s ε , A ( f ) x = M w ε , b f
for any ε > 0 .
From Propositions 1, 2, and 3, we can obtain the following approximation theorem.
Theorem 3.
Let Φ , φ : = F Φ L 1 ( R 2 ) with R 2 φ x d x = 1 and ψ u = sup x u φ x L 1 ( R 2 ) . Then,
(i) 
The Φ b means of the linear canonical integral of f are convergent to f in the sense of L 1 norm:
lim ε 0 M ε , Φ b f f 1 = 0 ,
(ii) 
The Φ b means of the linear canonical integral of f are convergent to f almost everywhere, i.e.,
lim ε 0 M ε , Φ b f ( x ) = f x , a . e . x R 2 .
From Theorem 3, we deduce the following conclusion.
Corollary 1.
If f L 1 ( R 2 ) , then
lim ε 0 M ε , p b f f 1 = 0 , lim ε 0 M ε , w b f f 1 = 0 ,
and
lim ε 0 M ε , p b f x = f x , lim ε 0 M ε , w b f x = f x a . e . x R 2 .
Corollary 2.
Suppose f , L A f L 1 ( R 2 ) . Then,
f x = R 2 L A f u K A * x , u d u , a . e . x R 2 .
Proof. 
By Corollary 1, we obtain
lim ε 0 M ε , w b f x = lim ε 0 R 2 L A f u K A * x , u e 2 π ε u b d u = f x
for almost every x R 2 . Using the Lebesgue dominated convergence theorem, it follows that
lim ε 0 R 2 L A f u K A * x , u e 2 π ε u b d u = R 2 L A f u K A * x , u d u .
Corollary 3.
For f 1 , f 2 , L A f 1 , L A f 2 L 1 ( R 2 ) with
L A f 1 u = L A f 2 u , u R 2 ,
we have
f 1 x = f 2 x , a . e . x R 2 .

4. 2D-LCT on L p ( R 2 ) 1 < p < 2

In this section, we consider the 2D-LCT theory on L p ( R 2 ) for 1 < p < 2 . Recall that
L 1 ( R 2 ) + L 2 ( R 2 ) = f 1 + f 2 : f 1 L 1 ( R 2 ) , f 2 L 2 ( R 2 ) .
and
L p ( R 2 ) L 1 ( R 2 ) + L 2 ( R 2 ) , 1 < p < 2 .
Definition 7.
For f L p ( R 2 ) , 1 < p < 2 , f = f 1 + f 2 , where f 1 L 1 ( R 2 ) , f 2 L 2 ( R 2 ) . We define the 2D-LCT of f by
L A f = L A f 1 + L A f 2 .
Remark 1.
The definition is well defined. In fact, let f 1 , g 1 L 1 ( R 2 ) and f 2 , g 2 L 2 ( R 2 ) . If f = f 1 + f 2 , f = g 1 + g 2 , then
f 1 g 1 = f 2 g 2 L 1 ( R 2 ) L 2 ( R 2 ) .
By uniqueness of 2D-LCT, we obtain L A f 1 L A g 1 = L A f 2 L A g 2 .
Theorem 4
(The Hausdorff–Young inequality). For 1 < p 2 , p = p / p 1 , we have that L A is a bounded linear operator from L p ( R 2 ) to L p ( R 2 ) . Moreover,
L A f p = C A 2 p 1 f p .
Proof. 
Since the Fourier transform F is bounded from L 1 to L , we have
L A f = | C A | F ( e b , a f ) | C A | e b , a f 1 = | C A | f 1 .
That is, L A maps L 1 to L . By Lemma 1 (iv), it also maps L 2 to L 2 . Using the Riesz–Thorin interpolation theorem, the Hausdorff–Young inequality holds. □

5. Multiplier Theory and Littlewood–Paley Theorem Associated with the 2D-LCT

Definition 8.
For 1 p and m A L ( R 2 ) . The operator T m A is defined by
L A T m A f x = m A x L A f x , f L 2 ( R 2 ) L p ( R 2 ) .
If there are a constant C p , A > 0 satisfying
T m A f p C p , A f p , f L 2 ( R 2 ) L p ( R 2 )
then m A is called the L p linear canonical multiplier.
Since L 2 ( R 2 ) L p ( R 2 ) is dense in L p ( R 2 ) , we can obtain a unique bounded extension of T m A in L p ( R 2 ) satisfying (11).
Example 1.
The cross-orthant Hilbert transform [28] is defined as
H A f u = 1 π 2 e b , a u p . v . R 2 f x e b , a x u 1 x 1 u 2 x 2 d x .
In other words,
H A f u = e b , a u H e b , a f u ,
where H is the double Hilbert transform. Then, using the fact that the operator norm of H is bounded on L p ( 1 < p < ) [29], we have
H A f p = e b , a H e b , a f p = H e b , a f p C e b , a f p = C f p .
That is, H A is also bounded on L p ( 1 < p < ) . By the proof of [28] [Theorem 2], we have
L A H A f u = m A L A f u ,
where m A u = ± sgn u 1 sgn u 2 . This means that m A is the L p linear canonical multiplier.
Example 2.
If m A u = e 2 π ε u b , then T m A is the linear canonical Poisson integral. The linear canonical Gauss–Weierstrass integral is the operator T m A with respect to the L p multiplier m A u = e 4 π 2 ε u b 2 .
Example 3.
Let α 1 , α 2 , β 1 , β 2 R 2 and α 1 < β 1 , α 2 < β 2 . We write χ [ α 1 , β 1 ] × [ α 2 , β 2 ] the characteristic function of the interval [ α 1 , β 1 ] × [ α 2 , β 2 ] . We will prove that χ [ α 1 , β 1 ] × [ α 2 , β 2 ] is an L p ( 1 < p < ) multiplier in the 2D-LCT context.
Theorem 5.
Let m A L ( R 2 ) . If there are a constant B > 0 satisfying one of the following conditions:
1. 
(Mikhlin’s condition)
2 u 1 u 2 m A u B u 2 ;
2. 
(Hörmander’s condition)
sup R > 0 1 R R < u < 2 R 2 u 1 u 2 m A u 2 d u B .
Then, there are C > 0 satisfying
T m A f p = L A * m A L A f p C f p , f L p ( R 2 ) .
Proof. 
It follows from (2) that
L A T m A f u = C A e b , d u F e b , a T m A f u b
and
m A u L A f u = m A u C A e b , d u F e b , a f u b .
Thus
F e b , a T m A f u = m ˜ A u F e b , a f u ,
where
m ˜ A u = m A b 1 u 1 , b 2 u 2 .
That is,
T m A f u = e b , a u F 1 m ˜ A F e b , a f u , f L p ( R 2 ) .
Then, for some positive constant C,
T m A f p = e b , a F 1 m ˜ A F e b , a f p C e b , a f p = C f p ,
which completes the proof of the theorem. □
From the prove of Theorem 5, it is easy to obtain the following results.
Corollary 4
(The Bernstein-type multiplier theorem). Assume that f L p ( R 2 ) ( 1 < p < ) and m A L ( R 2 ) C 1 ( R 2 \ { 0 } ) . If m A 2 < , then there are C > 0 satisfying
L A * m A L A f p C m A 2 1 2 m A 2 1 2 f p .
Corollary 5
(The Marcinkiewicz-type multiplier theorem). Assume that m A L ( R 2 ) C 1 ( R 2 \ { 0 } ) and f L p ( R 2 ) ( 1 < p < ). If there are B > 0 satisfying
sup I Δ I 2 x 1 x 2 m A x d x B ,
where
Δ = I × I ,
I = [ 2 j , 2 j + 1 ] , [ 2 j + 1 , 2 j ] j Z
is the set of dyadic rectangles in R 2 , then there are C > 0 satisfying
L A * m A L A f p C f p .
Let k Z . We decompose R as the union of the internally disjoint intervals. Define the internally disjoint intervals by
I k b : = [ 2 k b , 2 k + 1 b ] , I k b : = [ 2 k + 1 b , 2 k b ] , b > 0 , I k b : = [ 2 k + 1 b , 2 k b ] , I k b : = [ 2 k b , 2 k + 1 b ] , b < 0 .
With Δ representing the collection of dyadic rectangles in R 2 , that is, Δ : = ρ : ρ R 2 \ { 0 } , for any ρ b Δ we can write ρ b = I k 1 b 1 × I k 2 b 2 , where I k j b j represents the enumeration of the dyadic intervals used above.
We define the partial summation operator S ρ b associated with ρ b Δ as
L A S ρ b f u = χ ρ b u L A f u , f L 2 ( R 2 ) L p ( R 2 ) ,
where χ ρ b is the characteristic function of ρ b . It is simple to show that
ρ b Δ S ρ b f 2 2 = f 2 2 , f L 2 ( R 2 ) .
Theorem 6.
For f L p ( R 2 ) , 1 < p < , we have
ρ b Δ S ρ b f 2 1 / 2 L p ( R 2 )
and there are C 1 , C 2 > 0 satisfying
C 1 f p ρ b Δ S ρ b f 2 1 / 2 p C 2 f p .
Proof. 
Let
ρ b = [ α 1 b 1 , β 1 b 1 ] × [ α 2 b 2 , β 2 b 2 ] : = [ γ 1 , γ 2 ] × [ γ 3 , γ 4 ] ,
where α j < β j , j = 1 , 2 . Then,
χ ρ b u = χ ρ b 1 ( u 1 ) χ ρ b 2 ( u 2 ) = 1 2 sgn u 1 γ 1 sgn u 1 γ 2 × 1 2 sgn u 2 γ 3 sgn u 2 γ 4 .
For f L 2 ( R 2 ) L p ( R 2 ) , we obtain
L A S ρ b f u = χ ρ b u L A f u = χ ρ b 1 ( u 1 ) χ ρ b 2 ( u 2 ) L A 1 L A 2 f u = χ ρ b 2 ( u 2 ) L A 2 χ ρ b 1 ( u 1 ) L A 1 f u .
Now, we are only dealing with the one variable of f for χ ρ b 1 ( u 1 ) L A 1 f u . Then, f can be regarded as a one-dimensional function. Hence,
χ ρ b 1 ( u 1 ) L A 1 f ( u 1 ) = 1 2 sgn u 1 γ 1 sgn u 1 γ 2 L A 1 f ( u 1 ) = i 2 i sgn u 1 γ 1 i sgn u 1 γ 2 L A 1 f ( u 1 ) = i 2 i sgn u 1 γ 1 L A 1 f ( u 1 ) i sgn u 1 γ 2 L A 1 f ( u 1 ) = i 2 τ γ 1 i sgn u 1 · τ γ 1 L A 1 f ( u 1 ) τ γ 2 i sgn u 1 · τ γ 2 L A 1 f ( u 1 ) ,
where
τ s f ( x ) = f ( x s ) .
It is easy to obtain the decomposition of one-dimensional from (2). Based on this, we have
τ γ 1 L A 1 f ( u 1 ) = C A 1 τ γ 1 e b 1 , d 1 ( u 1 ) F e b 1 , a 1 ( x 1 ) f ( x 1 ) u 1 b 1 = C A 1 b 1 τ γ 1 e b 1 , d 1 ( u 1 ) F e b 1 , a 1 ( b 1 x 1 ) f ( b 1 x 1 ) u 1 = C A 1 b 1 e b 1 , d 1 ( u 1 + γ 1 ) τ γ 1 F e b 1 , a 1 ( b 1 x 1 ) f ( b 1 x 1 ) u 1 = C A 1 b 1 e b 1 , d 1 ( u 1 + γ 1 ) F e 2 π i ( γ 1 ) x 1 e b 1 , a 1 ( b 1 x 1 ) f ( b 1 x 1 ) u 1 .
In order to obtain the following, we need
F H f ( u 1 ) = i sgn u 1 F f ( u 1 )
in [25]. Thus,
i sgn u 1 · τ γ 1 L A 1 f u 1 = C A 1 b 1 e b 1 , d 1 ( u 1 + γ 1 ) i sgn u 1 F e 2 π i ( γ 1 ) x 1 e b 1 , a 1 ( b 1 x 1 ) f ( b 1 x 1 ) u 1 = C A 1 b 1 e b 1 , d 1 ( u 1 + γ 1 ) F H e 2 π i ( γ 1 ) ( · ) e b 1 , a 1 [ b 1 ( · ) ] f [ b 1 ( · ) ] x 1 u 1 .
Then,
τ γ 1 i sgn u 1 · τ γ 1 L A 1 f u 1 = C A 1 b 1 e b 1 , d 1 ( u 1 ) τ γ 1 F H e 2 π i ( γ 1 ) ( · ) e b 1 , a 1 [ b 1 ( · ) ] f [ b 1 ( · ) ] x 1 u 1 = C A 1 b 1 e b 1 , d 1 ( u 1 ) F e 2 π i γ 1 x 1 H e 2 π i ( γ 1 ) ( · ) e b 1 , a 1 [ b 1 ( · ) ] f [ b 1 ( · ) ] x 1 u 1 = C A 1 e b 1 , d 1 ( u 1 ) F e 2 π i α 1 ( · ) H e 2 π i ( α 1 ) ( · ) e b 1 , a 1 ( · ) f ( · ) u 1 b 1 = L A 1 e b 1 , a 1 ( · ) e 2 π i α 1 ( · ) H e 2 π i ( α 1 ) ( · ) e b 1 , a 1 ( · ) f ( · ) u 1 .
Note that
H A 1 f = e b 1 , a 1 H e b 1 , a 1 f .
Therefore,
τ γ 1 i sgn u 1 · τ γ 1 L A 1 f u 1 = L A 1 e 2 π i α 1 ( · ) H e 2 π i ( α 1 ) ( · ) f ( · ) u 1 .
Similarly, we have
τ γ 2 i sgn u 1 · τ γ 2 L A 1 f u 1 = L A 1 e 2 π i β 1 ( · ) H A 1 e 2 π i ( β 1 ) ( · ) f ( · ) u 1 .
Consequently,
χ ρ b 1 ( u 1 ) L A 1 f ( u 1 ) = i 2 { L A 1 e 2 π i α 1 ( · ) H e 2 π i ( α 1 ) ( · ) f ( · ) L A 1 e 2 π i β 1 ( · ) H A 1 e 2 π i ( β 1 ) ( · ) f ( · ) } u 1 .
Using the same method to deal with another variable of function f, we obtain
L A S ρ b f u = 1 4 L A e 2 π i x · α α H A e 2 π i s · α α f s x e 2 π i x · α β H A e 2 π i s · α β f s x e 2 π i x · β α H A e 2 π i s · β α f s x + e 2 π i x · β β H A e 2 π i s · β β f s x u ,
where α α = ( α 1 , α 2 ) , α β = ( α 1 , β 2 ) , β α = ( β 1 , α 2 ) and β β = ( β 1 , β 2 ) . That is,
S ρ b f x = 1 4 e 2 π i x · α α H A e 2 π i s · α α f s x e 2 π i x · α β H A e 2 π i s · α β f s x e 2 π i x · β α H A e 2 π i s · β α f s x + e 2 π i x · β β H A e 2 π i s · β β f s x .
It follows from (13) that S ρ b is also a bounded operator on L p , 1 < p < . If we take special matrices A 1 , A 2 = I , then S ρ b can be regarded as a two dimensional classical partial summation operator S ρ for ρ = [ α 1 , β 1 ] × [ α 2 , β 2 ] , where S ρ is defined as (refer to [27])
F S ρ f = χ ρ F f ,
S ρ f x = 1 4 e 2 π i x · α α H e 2 π i s · α α f s x e 2 π i x · α β H e 2 π i s · α β f s x e 2 π i x · β α H e 2 π i s · β α f s x + e 2 π i x · β β H e 2 π i s · β β f s x .
Using the classical Littlewood–Paley theorem, we can easily carry out this theorem. □

6. Simulation

The phenomenon in which the frequency of a signal increases or decreases with time is called chirp. It is a term in communication technology related to coded pulse technology, which means that when the pulse is encoded, its carrier frequency increases linearly during the duration of the pulse.
In the first part of this section, we show the realization of the 2D-LCT approximation theorem with a graph of a continuous function. In the second part, we process discrete signals to show the influence of parameters a, b, c, and d on the image frequency domain in 2D-LCT.

6.1. Simulation of Continuous Function

In this subsection, we demonstrate the recovery of signal f x on L 1 ( R 2 ) .
Take the original signal f,
f x = exp ( π i | x | 2 ) | x | 1 2 , 0 < x < 1 , exp ( π i | x | 2 ) | x | 4 , x 1
as an example to this recovery.
Figure 1 shows the real part, the imaginary part, and the corresponding sectional views of the original function f.
Consider the 2D-LCT of f x with respect to A , where A = A 1 , A 2 and
A 1 = 2 1 5 3 , A 2 = 3 2 7 5 .
According to (2), we draw each step of L A f . To offer more intuitionistic information, we divide the real part and the imaginary part in Figure 2 and Figure 3, respectively.
In order to recover the original signal f x , we use Theorem 3 and Corollary 1 to obtain f ε x , which approximates to f x , where
f ε x = 4 π 2 R 2 L A f u K A * x , u e 2 π ε u b d u .
Figure 4 shows the real part, the imaginary part, and the corresponding sectional views of f ε x with ε = 0.01 .
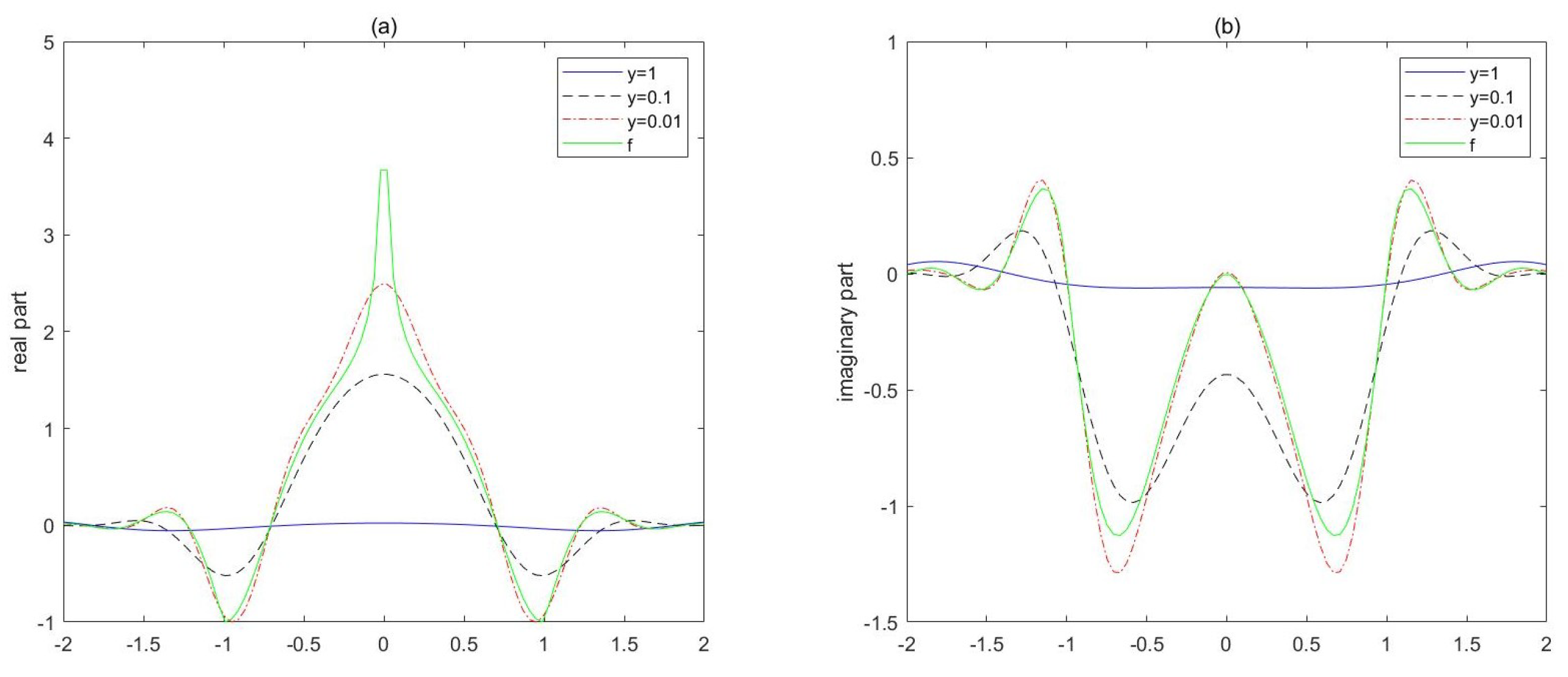
Choosing a different set of ε = 1 , 0.1 , 0.01 , from Figure 5 we know that the smaller the parameter ε is, the more precisely the approximate function of A f ε x converges to the original function.
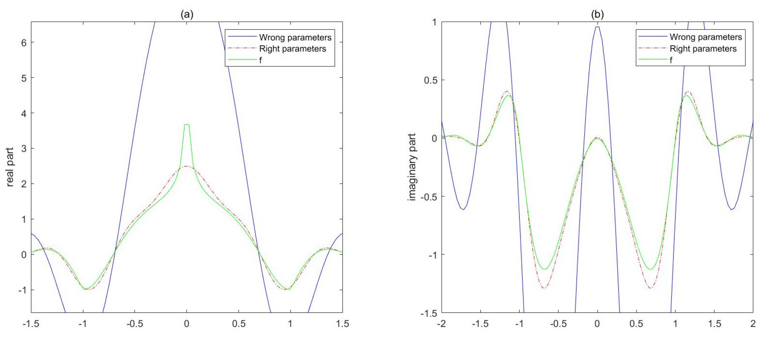
We also select a set of wrong parameters B , which is different from right parameters A , to recover the signal. We draw the to compare with the original signal. It is observed from Figure 6 that the approximate function with parameters B has considerable error compared to the original signal function.

6.2. Processing of Digital Image

In this part, we present images of 2D-LCT for a digital image to illustrate the effect of changing parameters a , b , c , d on the frequency domain. Let
A = ( A 1 , A 2 ) , A 1 = 1.1 2 1.15 3 , A 2 = 1.5 0.4 2 1.2 , B = ( B 1 , B 2 ) , B 1 = 7 6 8 7 , B 2 = 4 5 7 9 , C = ( C 1 , C 2 ) , C 1 = 12 25 12.92 27 , C 2 = 21 20 11.75 16 .
Figure 7 shows the original image and the 2D-LCT image with parameter matrices A , B , and C , respectively. Parameters a , b , c , and d of image (b) are relatively small numbers. The parameters of image (c) are larger than the parameters of image (b). The parameters of image (d) are larger than those of image (c). The larger the parameters are, the greater the frequency becomes, which means that the signal jitter is stronger. As a result, the image appears black. Furthermore, 2D-LCT is also used in the area of image encryption. As can be seen from Figure 7, we cannot directly see the original image after 2D-LCT. Since 2D-LCT has six free parameters, if the corresponding parameters of the inverse transform change, the image cannot be recovered correctly. This encryption method is more secure.
According to Lemma 1 (v), we can obtain the 2D-LCT inverse transform for a digital image by discrete method. Take A * , B * , and C * of the above parameter matrices, respectively. We can recover Figure 7b–d and obtain the correct original figure.

7. Conclusions

In this work, we consider L p theory of 2D-LCT. The first conclusion is the general Heisenberg inequality for 2D-LCT on L 2 ( R 2 ) . Secondly, we solve the inversion problem of 2D-LCT on L 1 ( R 2 ) via the approximation theorem. Then, we obtain the L p ( R 2 ) multiplier theorem for 2D-LCT. As an application, we demonstrate the recovery of the L 1 ( R 2 ) signal function by figures. For a digital image, we give the description of its 2D-LCT domain and consider the influence of different parameters, implying that it takes six keys to recover such an encrypted signal. A point that should be stressed is that the approximation theorem in this paper can be applied to partial differential equations with chirp functions. The L p theory of 2D non-separate linear canonical transform is still open; we will investigate this topic in the future.

Author Contributions

Conceptualization, Y.Y.; methodology, Y.Y. and Q.W.; software, Y.Y.; validation, Y.Y. and Q.W.; formal analysis, Y.Y.; investigation, Y.Y.; writing—original draft preparation, Y.Y.; writing—review and editing, Y.Y. and Q.W.; and funding acquisition, Q.W. and S.-T.J. All authors have read and agreed to the published version of the manuscript.

Funding

This research was funded by the National Research Foundation of Korea funded by the Ministry of Education under Grant NRF-2021R1A2C1095739; the National Natural Science Foundation of China, nos. 12171221 and 12071197; and the Natural Science Foundation of Shandong Province, nos. ZR2021MA031 and 2020KJI002.

Institutional Review Board Statement

Not applicable.

Informed Consent Statement

Not applicable.

Data Availability Statement

Not applicable.

Conflicts of Interest

The authors declare no conflict of interest.

References

  1. Collins, S.A. Lens-system diffraction integral written in terms of matrix optics. J. Opt. Soc. Am. 1970, 60, 1168–1177. [Google Scholar] [CrossRef]
  2. Moshinsky, M.; Quesne, C. Linear canonical transformations and their unitary representations. J. Math. Phys. 1971, 12, 1772–1783. [Google Scholar] [CrossRef]
  3. Barshan, B.; Kutay, M.A.; Ozaktas, H.M. Optimal filters with linear canonical transformations. Opt. Commun. 1997, 135, 32–36. [Google Scholar] [CrossRef]
  4. Chen, X.; Guan, J.; Liu, N.; Zhou, W.; He, Y. Detection of a Low Observable Sea-Surface Target With Micromotion via the Radon-Linear Canonical Transform. IEEE Geosci. Remote Sens. Lett. 2014, 11, 1225–1229. [Google Scholar] [CrossRef]
  5. Huang, X.; Zhang, L.; Li, S.; Zhao, Y. Radar high speed small target detection based on keystone transform and linear canonical transform. Digit. Signal Process. 2018, 82, 203–215. [Google Scholar] [CrossRef]
  6. Kumar, R.; Sheridan, J.T.; Bhaduri, B. Nonlinear double image encryption using 2D non-separable linear canonical transform and phase retrieval algorithm. Opt. Laser Technol. 2018, 107, 353–360. [Google Scholar] [CrossRef]
  7. Li, Z.; Li, B.; Qi, M. Two-dimensional quaternion linear canonical series for color images. Signal Process. Image Commun. 2022, 101, 116574. [Google Scholar] [CrossRef]
  8. Shi, J.; Liu, X.; He, L.; Han, M.; Li, Q.; Zhang, N. Sampling and reconstruction in arbitrary measurement and approximation spaces associated with linear canonical transform. IEEE Trans. Signal Process. 2016, 64, 6379–6391. [Google Scholar] [CrossRef]
  9. Zayed, A.I. Sampling of signals bandlimited to a disc in the linear canonical transform domain. IEEE Signal Process. Lett. 2018, 25, 1765–1769. [Google Scholar] [CrossRef]
  10. Sahin, A.; Ozaktas, H.M.; Mendlovic, D. Optical implementations of two-dimensional fractional Fourier transforms and linear canonical transforms with arbitrary parameters. Appl. Opt. 1998, 37, 2130–2141. [Google Scholar] [CrossRef]
  11. Ding, J.J.; Pei, S.C. Eigenfunctions and self-imaging phenomena of the two-dimensional nonseparable linear canonical transform. J. Opt. Soc. Am. 2011, 28, 82–95. [Google Scholar] [CrossRef] [PubMed]
  12. Ding, J.; Pei, S.S.; Liu, C.L. Improved implementation algorithms of the two-dimensional nonseparable linear canonical transform. J. Opt. Soc. Am. 2012, 29, 1615–1624. [Google Scholar] [CrossRef] [PubMed]
  13. Bastiaans, M.J.; Alieva, T. Classification of lossless first-order optical systems and the linear canonical transformation. J. Opt. Soc. Am. 2007, 27, 1053–1062. [Google Scholar] [CrossRef] [PubMed]
  14. Healy, J.; Kutay, M.; Ozaktas, H.; Sheridan, J. Linear Canonical Transforms: Theory and Applications; Springer: New York, NY, USA, 2016. [Google Scholar]
  15. Shah, F.A.; Tantary, A.Y. Linear canonical ripplet transform: Theory and localization operators. J. Pseudo-Differ. Oper. Appl. 2022, 13, 45. [Google Scholar] [CrossRef]
  16. Zhang, Z. Jittered sampling in linear canonical domain. IEEE Commun. Lett. 2020, 24, 1529–1533. [Google Scholar] [CrossRef]
  17. Wei, D.; Zhang, Y.; Li, Y.M. Linear canonical stockwell transform: Theory and applications. IEEE Trans. Signal Process. 2022, 70, 1333–1347. [Google Scholar] [CrossRef]
  18. Kumar, M.; Pradhan, T. A framework of linear canonical transform on pseudo-differential operators and its application. Math. Method. Appl. Sci. 2021, 44, 11425–11443. [Google Scholar] [CrossRef]
  19. Lian, P. Uncertainty principles in linear canonical domains. Integral Transform. Spec. Funct. 2021, 32, 67–77. [Google Scholar] [CrossRef]
  20. Ding, J.J.; Pei, S.C. Heisenberg’s uncertainty principles for the 2-D nonseparable linear canonical transforms. Signal Process. 2013, 93, 1027–1043. [Google Scholar] [CrossRef]
  21. Xu, T.Z.; Li, B.Z. Linear Canonical Transform and Its Application; Science Press: Beijing, China, 2013. [Google Scholar]
  22. Chen, W.; Fu, Z.W.; Grafakos, L.; Wu, Y. Fractional Fourier transforms on Lp and applications. Appl. Comput. Harmon. Anal. 2021, 55, 71–96. [Google Scholar] [CrossRef]
  23. Zhang, Y.; Li, W. Fractional Fourier transform on R2 and an application. Front. Math. China 2021, 17, 1181–1200. [Google Scholar] [CrossRef]
  24. Yang, Y.; Wu, Q.; Jhang, S.T.; Kang, Q. Approximation Theorems Associated with Multidimensional Fractional Fourier Transform and Applications in Laplace and Heat Equations. Fractal. Fract. 2022, 6, 625. [Google Scholar] [CrossRef]
  25. Stein, E.M.; Weiss, G. Introduction to Fourier Analysis on Euclidean Spaces; Princeton University Press: Princeton, NJ, USA, 1971. [Google Scholar]
  26. Feng, Q.; Li, B.Z. Convolution and correlation theorems for the two-dimensional linear canonical transform and its applications. IET Signal Process. 2016, 10, 125–132. [Google Scholar] [CrossRef]
  27. Grafakos, L. Classical Fourier Analysis, 3rd ed.; Springer: New York, NY, USA, 2014. [Google Scholar]
  28. Xu, G.; Wang, X.; Wang, X.; Xu, X. Generalized Hilbert transform and its properties in 2D LCT domain. Signal Process. 2009, 89, 1395–1402. [Google Scholar]
  29. Fefferman, C. Estimates for double Hilbert transforms. Stud. Math. 1972, 44, 1–15. [Google Scholar] [CrossRef]
Figure 1. (a) Real part graph of f x , (b) imaginary part graph of f x , (c) section view of real part, (d) and section view of imaginary part.
Figure 1. (a) Real part graph of f x , (b) imaginary part graph of f x , (c) section view of real part, (d) and section view of imaginary part.
Fractalfract 07 00100 g001
Figure 2. (a) Real part graph of f ( x ) , (b) real part graph of Step 1, (c) real part graph of Step 2, (d) real part graph of Steps 3 and 4, where Steps 1, 2, 3, 4 are the decomposition of 2D-LCT of f on Page 3.
Figure 2. (a) Real part graph of f ( x ) , (b) real part graph of Step 1, (c) real part graph of Step 2, (d) real part graph of Steps 3 and 4, where Steps 1, 2, 3, 4 are the decomposition of 2D-LCT of f on Page 3.
Fractalfract 07 00100 g002
Figure 3. (a) Imaginary part graph of f ( x ) , (b) imaginary part graph of Step 1, (c) imaginary part graph of Step 2, (d) imaginary part graph of Steps 3 and 4, where Steps 1, 2, 3, 4 are the decomposition of 2D-LCT of f on Page 3.
Figure 3. (a) Imaginary part graph of f ( x ) , (b) imaginary part graph of Step 1, (c) imaginary part graph of Step 2, (d) imaginary part graph of Steps 3 and 4, where Steps 1, 2, 3, 4 are the decomposition of 2D-LCT of f on Page 3.
Fractalfract 07 00100 g003
Figure 4. (a) Real part graph of f ε ( x ) , (b) imaginary part graph of f ε ( x ) , (c) section view of real part, and (d) section view of imaginary part.
Figure 4. (a) Real part graph of f ε ( x ) , (b) imaginary part graph of f ε ( x ) , (c) section view of real part, and (d) section view of imaginary part.
Fractalfract 07 00100 g004
Figure 5. (a) Real part graph of f ε , (b) imaginary part graph of f ε .
Figure 5. (a) Real part graph of f ε , (b) imaginary part graph of f ε .
Fractalfract 07 00100 g005
Figure 6. (a) Real part graph for comparison; (b) imaginary part graph for comparison.
Figure 6. (a) Real part graph for comparison; (b) imaginary part graph for comparison.
Fractalfract 07 00100 g006
Figure 7. (a) Original image, (b) 2D-LCT images of A , (c) 2D-LCT images of B , and (d) 2D-LCT images of C .
Figure 7. (a) Original image, (b) 2D-LCT images of A , (c) 2D-LCT images of B , and (d) 2D-LCT images of C .
Fractalfract 07 00100 g007
Table 1. Special cases of 1D-LCT.
Table 1. Special cases of 1D-LCT.
Parameters A L A f ( u ) Special Transforms
A = 1 0 0 1 L A f ( u ) = f ( u ) Identity transform
A = 0 1 1 0 L A f ( u ) = i F f ( u ) FT
A = cos θ sin θ sin θ cos θ L A f ( u ) = e i θ F θ f ( u ) FRFT
A = σ 0 0 σ 1 L A f ( u ) = σ 1 f ( σ 1 u ) Scaling operator
A = 1 γ 0 1 L A f ( u ) = e i π z γ R z f ( u ) Fresnel transform
Disclaimer/Publisher’s Note: The statements, opinions and data contained in all publications are solely those of the individual author(s) and contributor(s) and not of MDPI and/or the editor(s). MDPI and/or the editor(s) disclaim responsibility for any injury to people or property resulting from any ideas, methods, instructions or products referred to in the content.

Share and Cite

MDPI and ACS Style

Yang, Y.; Wu, Q.; Jhang, S.-T. 2D Linear Canonical Transforms on Lp and Applications. Fractal Fract. 2023, 7, 100. https://doi.org/10.3390/fractalfract7020100

AMA Style

Yang Y, Wu Q, Jhang S-T. 2D Linear Canonical Transforms on Lp and Applications. Fractal and Fractional. 2023; 7(2):100. https://doi.org/10.3390/fractalfract7020100

Chicago/Turabian Style

Yang, Yinuo, Qingyan Wu, and Seong-Tae Jhang. 2023. "2D Linear Canonical Transforms on Lp and Applications" Fractal and Fractional 7, no. 2: 100. https://doi.org/10.3390/fractalfract7020100

APA Style

Yang, Y., Wu, Q., & Jhang, S.-T. (2023). 2D Linear Canonical Transforms on Lp and Applications. Fractal and Fractional, 7(2), 100. https://doi.org/10.3390/fractalfract7020100

Article Metrics

Back to TopTop