Influence of the Fractal Distribution of Particle Size on the Critical State Characteristics of Calcareous Sand
Abstract
:1. Introduction
2. Materials and Methods
3. Experiments
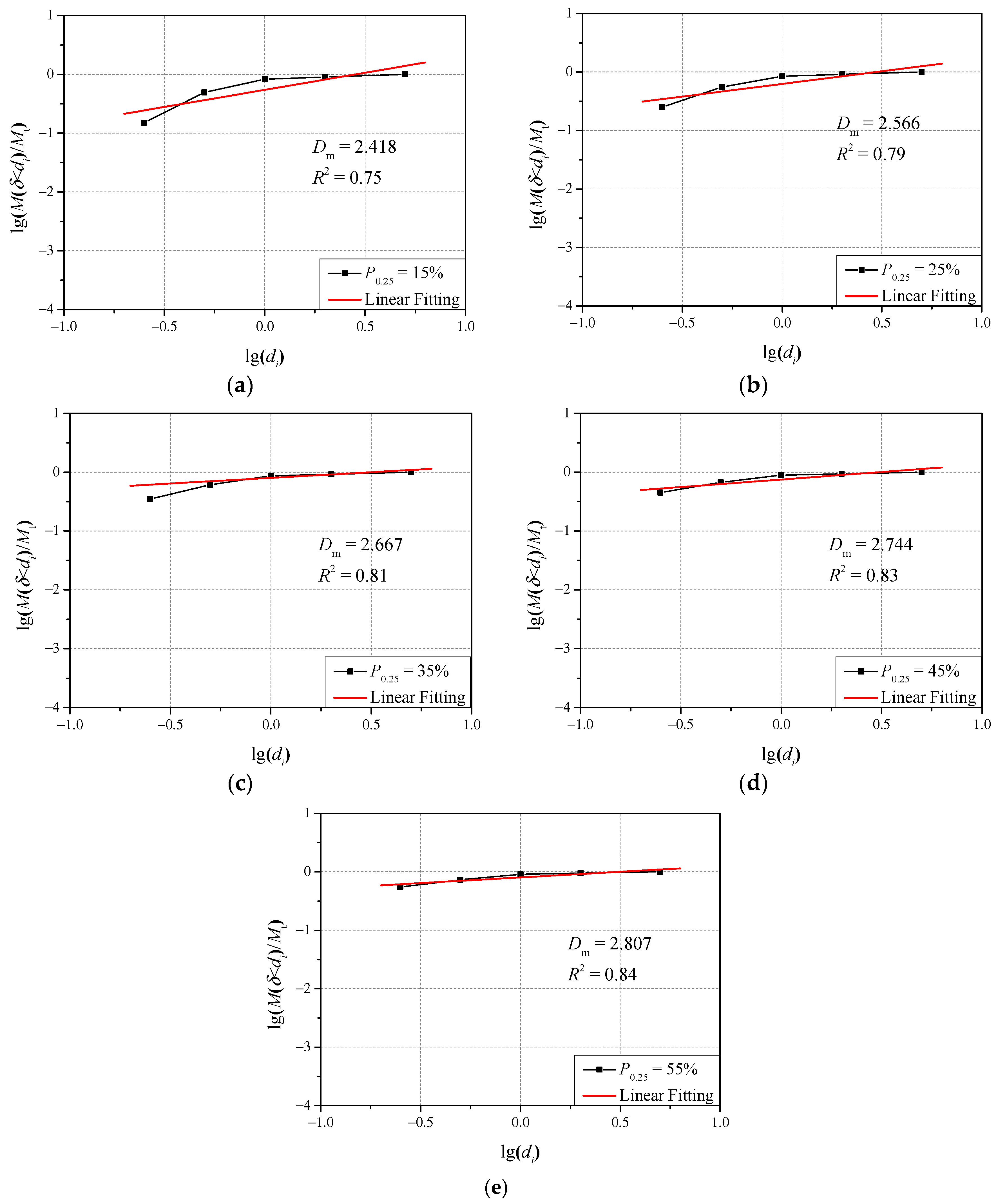
3.1. Fractal Behavior of Particle Size Distribution
3.2. Critical State Characteristics of the Calcareous Sand
3.3. Influence of the Fractal Distribution of Particle Size on the Critical State Line in the q–p′ Plane of the Calcareous Sand
3.4. Influence of the Fractal Distribution of Particle Size on the Critical State Line in the e–p′ Plane of the Calcareous Sand
4. Theoretical Model
5. Model Validation
6. Conclusions
- (1)
- The particle size distribution of calcareous sand can obey the fractal law. The higher the fine sand content in the PSD was, the larger the value of Dm was. The fractal dimension can be used to characterize the particle size distribution of calcareous sand with different fine sand content.
- (2)
- The critical stress ratio of calcareous sand (Mc = 1.556) was around 12% higher than that of quartz sand (Mc = 1.392), and its critical state line parameters λ and ec0 were also larger than those of quartz sand. In the q–p′ plane and e–(p′/pa)α plane, the critical state lines of calcareous sand were always above those of the quartz sand.
- (3)
- The critical state lines of calcareous sand with different fractal dimensions in the q–p′ plane were unique.
- (4)
- The critical state equation of sand proposed by Li and Wang [28] was suitable for the fitting of the critical state line of calcareous sand in the e–(p′/pa)α plane.
- (5)
- In the e–(p′/pa)α plane, the critical state lines appeared to rotate anticlockwise as the fractal dimension increased. There was an “intersection” in the e–(p′/pa)α plane. When the effective confining pressure p′ was equal to 425 kPa, the critical void ratios of the calcareous sand with different fractal dimensions were approximately the same. Considering the influence of the fractal distribution of particle size, an expression for the critical state of calcareous sand in the e–(p′/pa)α plane was proposed.
- (6)
- Based on the critical state characteristics of calcareous sand with different fractal dimensions, the dilatancy equation and constitutive model suitable for calcareous sand were proposed. Moreover, a complete set of model parameters suitable for calcareous sand was given.
Author Contributions
Funding
Institutional Review Board Statement
Informed Consent Statement
Data Availability Statement
Acknowledgments
Conflicts of Interest
References
- Coop, M.R. The mechanics of uncemented carbonate sands. Géotechnique 1990, 40, 607–626. [Google Scholar] [CrossRef]
- Datta, M.; Gulhati, S.K.; Rao, G.V. Crushing of calcareous sands during drained shear. Soc. Pet. Eng. J. 1980, 20, 77–85. [Google Scholar] [CrossRef]
- Yasser, D.; Habib, S.; Hossein, S.; Reza, R. Compressibility and undrained behavior of hormuz calcareous sand. Electron. J. Geotech. Eng. 2010, 15, 1684–1702. [Google Scholar]
- Liu, C.Q.; Yang, Z.Q.; Wang, R. Preliminary research on physical and mechanical properties of calcareous sand. Rock Soil Mech. 1998, 19, 32–37. [Google Scholar]
- Shahnazari, H.; Rezvani, R. Effective parameters for the particle breakage of calcareous sands: An experimental study. Eng. Geol. 2013, 159, 98–105. [Google Scholar] [CrossRef]
- Wang, G.; Wang, Z.; Ye, Q.; Zha, J. Particle breakage evolution of coral sand using triaxial compression tests. J. Rock Mech. Geotech. Eng. 2021, 13, 321–334. [Google Scholar] [CrossRef]
- Cao, Z.; Chen, J.; Ye, X.; Gu, C.; Guo, Z.; Cai, Y. Experimental study on particle breakage of carbonate gravels under cyclic loadings through large-scale triaxial tests. Transp. Geotech. 2021, 30, 100632. [Google Scholar] [CrossRef]
- Xiao, Y.; Yuan, Z.; Chu, J.; Liu, H.L.; Huang, J.; Luo, S.N.; Wang, S.; Lin, J. Particle breakage and energy dissipation of carbonate sands under quasi-static and dynamic compression. Acta Geotech. 2019, 14, 1741–1755. [Google Scholar] [CrossRef]
- Altuhafi, F.; O’Sullivan, C.; Cavarretta, I. Analysis of an image-based method to quantify the size and shape of sand particles. J. Geotech. Geoenviron. Eng. 2013, 139, 1290–1307. [Google Scholar] [CrossRef]
- Wang, X.Z.; Jiao, Y.Y.; Wang, R.; Hu, M.J.; Meng, Q.S.; Tan, F.Y. Engineering characteristics of the calcareous sand in Nansha Islands, South China Sea. Eng. Geol. 2011, 120, 40–47. [Google Scholar] [CrossRef]
- Cui, M.J.; Zheng, J.J.; Chu, J.; Wu, C.C.; Lai, H.J. Bio-mediated calcium carbonate precipitation and its effect on the shear behaviour of calcareous sand. Acta Geotech. 2021, 16, 1377–1389. [Google Scholar] [CrossRef]
- Hasanlourad, M.; Salehzadeh, H.; Shahnazari, H. Dilation and particle breakage effects on the shear strength of calcareous sands based on energy aspects. Int. J. Civ. Eng. 2008, 6, 108–119. [Google Scholar]
- Li, Y.; Lin, Z.; Li, B.; He, L.; Gong, J. Effects of gradation and grain crushing on the liquefaction resistance of calcareous sand. Geomech. Geophys. Geo-Energy Geo-Resour. 2021, 7, 12. [Google Scholar] [CrossRef]
- Wang, Y.Q.; Hong, Y.; Guo, Z.; Wang, L.Z. Micro- and macro-mechanical behavior of crushable calcareous sand in South China Sea. Rock Soil Mech. 2018, 39, 199–206. [Google Scholar]
- Qin, Y.; Yao, T.; Wang, R.; Zhu, C.Q.; Meng, Q.S. Particle breakage-asad analysis of deformation law of calcareous sediments under high-pressure consolidation. Rock Soil Mech. 2014, 35, 3123–3128. [Google Scholar]
- Lagioia, R.; Nova, R. An experimental and theoretical study of the behaviour of a calcarenite in triaxial compression. Géotechnique 1995, 45, 633–648. [Google Scholar] [CrossRef]
- Sharma, S.S.; Fahey, M. Degradation of Stiffness of Cemented Calcareous Soil in Cyclic Triaxial Tests. J. Geotech. Geoenviron. 2003, 129, 619–629. [Google Scholar] [CrossRef]
- Sharma, S.S.; Fahey, M. Deformation characteristics of two cemented calcareous soils. Can. Geotech. J. 2004, 41, 1139–1151. [Google Scholar] [CrossRef]
- Zhang, J.M.; Jiang, G.S.; Wang, R. Research on influences of particle breakage and dilatancy on shear strength of calcareous sands. Rock Soil Mech. 2009, 30, 2043–2048. [Google Scholar]
- He, S.H.; Shan, H.F.; Xia, T.D.; Liu, Z.J.; Ding, Z.; Xia, F. The effect of temperature on the drained shear behavior of calcareous sand. Acta Geotech. 2021, 16, 613–633. [Google Scholar] [CrossRef]
- He, S.H.; Zhang, Q.; Ding, Z.; Xia, T.D.; Gan, X. Experimental and Estimation Studies of Resilient Modulus of Marine Coral Sand under Cyclic Loading. J. Mar. Sci. Eng 2020, 8, 287. [Google Scholar] [CrossRef]
- Schofield, A.N.; Wroth, P. Critical State Soil Mechanics; McGraw-Hill: London, UK, 1968. [Google Scholar]
- Sladen, J.A.; D’Hollander, R.D.; Krahn, J.; Mitchell, D.E. Back analysis of the Nerlerk berm liquefaction slides. Can. Geotech. J. 1985, 22, 579–588. [Google Scholar] [CrossRef]
- Cai, Z.Y.; Hou, H.Y.; Zhang, J.X.; Zhang, L.; Guan, Y.F.; Cao, Y.Y. Critical state and constitutive model for coral sand considering particle breakage. Chin. J. Geotech. Eng. 2019, 41, 7. [Google Scholar]
- Riemer, M.F.; Seed, R.B. Factors affecting apparent position of steady-state line. J. Geotech. Geoenviron. 1997, 123, 281–288. [Google Scholar] [CrossRef]
- Manzari, M.; Dafalias, Y. A critical state two-surface plasticity model for sands. Géotechnique 1997, 47, 255–272. [Google Scholar] [CrossRef]
- Maeda, K.; Muir Wood, D.; Nukudani, E. Modelling mechanical consequences of erosion. Géotechnique 2010, 60, 447–457. [Google Scholar]
- Li, X.S.; Wang, Y. Linear Representation of Steady-State Line for Sand. J. Geotech. Geoenviron. 1998, 124, 1215–1217. [Google Scholar] [CrossRef]
- Sun, Y.F.; Wichtmann, T.; Sumelka, W.; Kan, M.E. Karlsruhe fine sand under monotonic and cyclic loads: Modelling and validation. Soil Dyn. Earthq. Eng. 2020, 133, 106119. [Google Scholar] [CrossRef]
- Turcotte, D.L. Fractals and fragmentation. J. Geophys. Res. 1986, 91, 1921–1926. [Google Scholar] [CrossRef]
- Zhang, X.; Hu, W.; Scaringi, G.; Baudet, B.A.; Han, W. Particle shape factors and fractal dimension after large shear strains in carbonate sand. Geotech. Lett. 2018, 8, 73–79. [Google Scholar] [CrossRef] [Green Version]
- Sun, Y.F.; Liu, H.L.; Yang, G. Yielding function for coarse aggregates considering gradation evolution induced by particle breakage. Rock Soil Mech. 2013, 34, 3479–3484. [Google Scholar]
- Li, Y.; Zhang, H.; Huang, M.H.; Yin, H.B.; Jiang, K.; Xiao, K.T.; Tang, S.W. Influence of Different Alkali Sulfates on the Shrinkage, Hydration, Pore Structure, Fractal Dimension and Microstructure of Low-Heat Portland Cement, Medium-Heat Portland Cement and Ordinary Portland Cement. Fractal Fract. 2021, 5, 79. [Google Scholar] [CrossRef]
- He, S.H.; Ding, Z.; Hu, H.B.; Gao, M. Effect of Grain Size on Microscopic Pore Structure and Fractal Characteristics of Carbonate-Based Sand and Silicate-Based Sand. Fractal Fract. 2021, 5, 152. [Google Scholar] [CrossRef]
- Ioelovich, M. Study of Fractal Dimensions of Microcrystalline Cellulose Obtained by the Spray-Drying Method. Fractal Fract. 2019, 3, 3. [Google Scholar] [CrossRef] [Green Version]
- Li, G.; Liu, Y.J.; Yin, Z.Y.; Dano, C.; Hicher, P.Y. Grading effect on critical state behavior of granular materials. Chin. J. Geotech. Eng. 2014, 36, 452–457. [Google Scholar]
- Liu, Y.J.; Wang, J.H.; Yin, Z.Y.; Li, G.; Xia, X.H. Constitutive modeling for granular materials considering grading effect. Chin. J. Geotech. Eng. 2015, 37, 299–305. [Google Scholar]
- Hardin, B.O. Crushing of Soil Particles. Int. J. Geotech. Eng. 1985, 111, 1177–1192. [Google Scholar] [CrossRef]
- Shen, Y.; Shen, X.; Liu, H.L.; Ge, H.Y.; Rui, X.X. Gradation affects basic mechanical characteristics of Chinese calcareous sand as airport subgrade of reefs. Mar. Georesour. Geotechnol. 2020, 38, 706–715. [Google Scholar]
- Skempton, A.W. The pore-pressure coefficients A and B. Géotechnique 1954, 4, 143–147. [Google Scholar] [CrossRef]
- Tyler, S.W.; Wheatacraft, S.W. Fractal scaling of soil particle-size distributions: Analysis and limitations. Soil Sci. Soc. Am. J. 1992, 56, 362–369. [Google Scholar] [CrossRef]
- Posadas, A.N.D.; Giménez, D.; Bittelli, M.; Vaz, C.M.P.; Flury, M. Multifractal characterization of soil particle-size distributions. Soil Sci. Soc. Am. J. 2001, 65, 1361–1367. [Google Scholar] [CrossRef]
- Wang, J.; Cao, L.; Wang, B.; Gong, H.T.; Tang, W. Overview of One-Dimensional Continuous Functions with Fractional Integral and Applications in Reinforcement Learning. Fractal Fract. 2022, 6, 69. [Google Scholar]
- Sadrekarimi, A.; Olson, S. Critical state friction angle of sands. Géotechnique 2011, 61, 771–783. [Google Scholar] [CrossRef]
- Bandini, V.; Coop, M. The influence of particle breakage on the location of the critical state line of sands. Soil Found. 2011, 51, 591–600. [Google Scholar] [CrossRef] [Green Version]
- Luzzani, L.; Coop, M.R. On the relationship between particle breakage and the critical state of sands. Soil Found. 2002, 42, 71–82. [Google Scholar] [CrossRef] [Green Version]
- Li, X.S.; Dafalias, Y.F. Dilatancy for cohesionless soils. Géotechnique 2000, 50, 449–460. [Google Scholar] [CrossRef]
- Richart, F.E.; Hall, J.R.; Woods, R.D. Vibrations of soils and foundations. Princ. Neurodyn. Spartan 1970, 209, 137. [Google Scholar]














| Particle Fraction (mm) | 5~2 | 2~1 | 1~0.5 | 0.5~0.25 | 0.25~0.075 | <0.075 | 
|---|---|---|---|---|---|---|
| Calcareous sand | 9.9% | 7.3% | 33.5% | 34.3% | 14.2% | 0.8% | 
| 8.8% | 6.5% | 29.5% | 30.2% | 23.7% | 1.3% | |
| 7.6% | 5.6% | 25.6% | 26.2% | 33.1% | 1.9% | |
| 6.4% | 4.7% | 21.7% | 22.2% | 42.6% | 2.4% | |
| 5.3% | 3.9% | 17.7% | 18.1% | 52.1% | 2.9% | |
| Quartz sand | 7.6% | 5.6% | 25.6% | 26.2% | 33.1% | 1.9% | 
| Sample | Coefficient of Uniformity (Cu) | Coefficient of Curvature (Cc) | Maximum Void Ratio (emax) | Minimum Void Ratio (emin) | Specific Gravity (Gs) | 
|---|---|---|---|---|---|
| Calcareous sand | 4.8 | 0.9 | 1.19 | 0.80 | 2.70 | 
| Quartz sand | 4.8 | 0.9 | 0.75 | 0.39 | 2.67 | 
| Elastic Parameters | Critical State Parameters | Dilatancy Parameters | Hardening Parameters | |
|---|---|---|---|---|
| G0 =125 | M = 1.58 | d = 1.91 | d0 = 6.05 | h1 = 3.35 | 
| ν = 0.30 | a = 2.20 | f = −2.30 | m = 0.74 | h2 = 3.05 | 
| b = 1.05 | α = 0.55 | n = 0.57 | ||
| c = −0.38 | ||||
| Publisher’s Note: MDPI stays neutral with regard to jurisdictional claims in published maps and institutional affiliations. | 
© 2022 by the authors. Licensee MDPI, Basel, Switzerland. This article is an open access article distributed under the terms and conditions of the Creative Commons Attribution (CC BY) license (https://creativecommons.org/licenses/by/4.0/).
Share and Cite
Shen, X.; Shen, Y.; Xu, J.; Liu, H. Influence of the Fractal Distribution of Particle Size on the Critical State Characteristics of Calcareous Sand. Fractal Fract. 2022, 6, 165. https://doi.org/10.3390/fractalfract6030165
Shen X, Shen Y, Xu J, Liu H. Influence of the Fractal Distribution of Particle Size on the Critical State Characteristics of Calcareous Sand. Fractal and Fractional. 2022; 6(3):165. https://doi.org/10.3390/fractalfract6030165
Chicago/Turabian StyleShen, Xue, Yang Shen, Junhong Xu, and Hanlong Liu. 2022. "Influence of the Fractal Distribution of Particle Size on the Critical State Characteristics of Calcareous Sand" Fractal and Fractional 6, no. 3: 165. https://doi.org/10.3390/fractalfract6030165
APA StyleShen, X., Shen, Y., Xu, J., & Liu, H. (2022). Influence of the Fractal Distribution of Particle Size on the Critical State Characteristics of Calcareous Sand. Fractal and Fractional, 6(3), 165. https://doi.org/10.3390/fractalfract6030165
 
         
                                                
 
       