Robust H∞ Control for Fractional Order Systems with Order α (0 < α < 1)
Abstract
:1. Introduction
- The results of control based on LMI are proposed for FOS with order . Firstly, the necessary and sufficient condition of stability is proved in Theorem 1. Then, the condition of stabilization with state feedback controller is proved in Theorem 2 of Section 3.
- Robust control and analysis are studied in the paper. Theorem 3 in Section 4 is proposed and proved to solve the stability of FOS with uncertainty. Then, a condition of stabilization with state feedback controller is proved in Theorem 4.
2. Preliminaries
2.1. FOS Models
- Find the gain K to ensure close-loop FOS with is stable.
- norm in Definition 3 is minimal for close-loop FOS.
2.2. Preliminaries and Lemmas
3. Control
4. Robust Control
- Find the gain K to ensure close-loop FOS with and uncertainty is quadratically stable.
- The norm in Definition 3 is minimal for close-loop FOS with uncertainty.
5. Simulation Examples
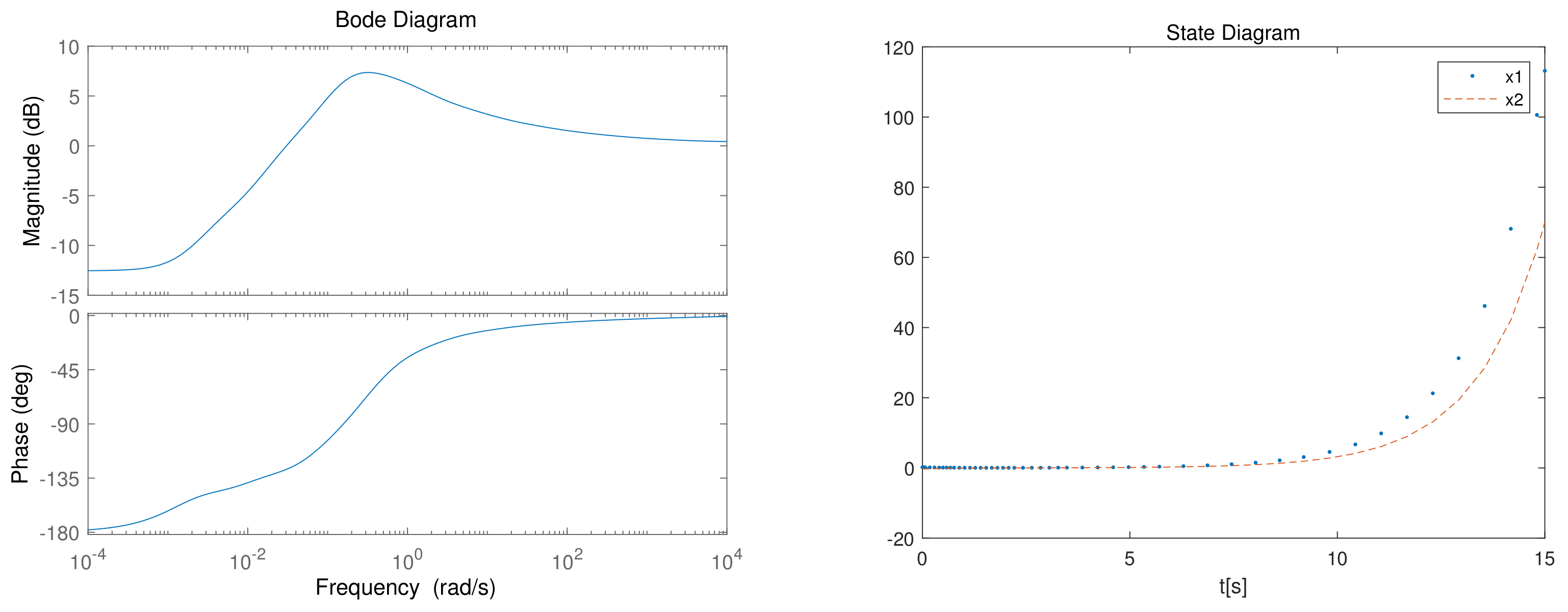
5.1. Example 1
5.2. Example 2
6. Conclusions
Author Contributions
Funding
Institutional Review Board Statement
Informed Consent Statement
Data Availability Statement
Conflicts of Interest
References
- Podlubny, I. Fractional Differential Equations; Academic Press: New York, NY, USA, 1999. [Google Scholar]
- Machado, J.A.T. Special issue on fractional calculus and applications. Nonlinear Dyn. 2002, 29, 1–385. [Google Scholar] [CrossRef]
- Ortigueira, M.D.; Machado, J.A.T. Special issue on fractional signal processing and applications. Signal Process. 2003, 83, 2285–2480. [Google Scholar] [CrossRef]
- Bagley, R.L.; Torvik, P.J. Fractional calculus in the transient analysis of viscoelastically damped structures. AIAA J. 1985, 23, 918–925. [Google Scholar] [CrossRef]
- Baillie, R.L. Long memory processes and fractional integration in econometrics. J. Econom. 1996, 73, 5–59. [Google Scholar] [CrossRef]
- Rossikhin, Y.A.; Shitikova, M.V. Applications of fractional calculus to dynamic problems of linear and nonlinear hereditary mechanics of solids. Appl. Mech. Rev. 1997, 50, 15–67. [Google Scholar] [CrossRef]
- Monje, C.A.; Ramos, F.; Vinagre, B.M. Tip position control of a lightweight flexible manipulator using a fractional order controller. IET Control Theory Appl. 2007, 1, 1451–1460. [Google Scholar] [CrossRef]
- Podlubny, I. Fractional-order systems and PIλDμ-controllers. IEEE Trans. Automat. Cont. 1999, 44, 208–214. [Google Scholar] [CrossRef]
- Oustaloup, A.; Mathieu, B.; Lanusse, P. The CRONE control of resonant plants: Application to a flexible transmission. Eur. J. Cont. 1995, 1, 113–121. [Google Scholar] [CrossRef]
- Li, Y.; Chen, Y.Q.; Podlubny, I. Mittag-Leffler stability of fractional order nonlinear dynamic systems. Automatica 2009, 45, 1965–1969. [Google Scholar] [CrossRef]
- Li, Y.; Chen, Y.Q.; Podlubny, I. Stability of fractional-order nonlinear dynamic systems: Lyapunov direct method and generalized Mittag-Leffler stability. Comput. Math. Appl. 2010, 59, 1810–1821. [Google Scholar] [CrossRef] [Green Version]
- Tavazoei, M.S.; Haeri, M. A note on the stability of fractional order systems. Math. Comput. Simulat. 2009, 79, 1566–1576. [Google Scholar] [CrossRef]
- Ahn, H.S.; Chen, Y.Q. Necessary and sufficient stability condition of fractional-order interval linear systems. Automatica 2008, 44, 2985–2988. [Google Scholar] [CrossRef]
- Lu, J.G.; Chen, G.R. Robust stability and stabilization of fractionalorder interval systems: An LMI approach. IEEE Trans. Autom. Cont. 2009, 54, 1294–1299. [Google Scholar]
- Farges, C.; Moze, M.; Sabatier, J. Pseudo-state feedback stabilization of commensurate fractional order systems. Automatica 2010, 46, 1730–1734. [Google Scholar] [CrossRef]
- Wei, Y.H.; Chen, Y.Q.; Cheng, S.S.; Wang, Y. Completeness on the stability criterion of fractional order LTI systems. Fract. Calc. Appl. Anal. 2017, 20, 159–172. [Google Scholar] [CrossRef]
- Sabatier, J.; Mathieu, M.; Farges, C. LMI stability conditions for fractional order systems. Comput. Math. Appl. 2010, 59, 1594–1609. [Google Scholar] [CrossRef]
- Lu, J.G.; Chen, Y.Q. Robust stability and stabilization of fractionalorder interval systems with the fractional order α: The 0 < α < 1 case. IEEE Trans. Autom. Cont. 2010, 55, 152–158. [Google Scholar]
- Zhang, X.F.; Chen, Y.Q. D-stability based LMI criteria of stability and stabilization for fractional order systems. In Proceedings of the International Design Engineering Technical Conferences and Computers and Information in Engineering Conference, Boston, MA, USA, 2–5 August 2015; pp. 1–6. [Google Scholar]
- Zhang, X.F.; Chen, Y.Q. Admissibility and robust stabilization of continuous linear singular fractional order systems with the fractional order α: The 0 < α < 1 case. ISA Trans. 2018, 82, 42–50. [Google Scholar]
- Zhang, X.F.; Lin, C.; Chen, Y.Q. A Unified Framework of Stability Theorems for LTI Fractional Order Systems with 0 < α < 2. IEEE Trans. Circuits II 2020, 67, 3237–3241. [Google Scholar]
- Shen, J.; Lam, J. State feedback H∞ control of commensurate fractional-order systems. Int. J. Syst. Sci. 2014, 45, 363–372. [Google Scholar] [CrossRef]
- Liang, S.; Wei, Y.H.; Pan, J.W.; Gao, Q.; Wang, Y. Bounded Real Lemmas for Fractional Order Systems. Int. J. Autom. Comput. 2015, 15, 192–198. [Google Scholar] [CrossRef] [Green Version]
- Farges, C.; Fadiga, L.; Sabatier, J. H∞ analysis and control of commensurate fractional order systems. Mechatronics 2013, 772–780. [Google Scholar] [CrossRef]
- Yakubovich, V.A. The S-procedure in nonlinear control theory. Vestnik Leningrad Univ. Math. 1977, 4, 73–93. [Google Scholar]
- Xie, L. Output feedback H∞ control of systems with parameter uncertainty. Int. J. Cont. 1996, 63, 741–750. [Google Scholar] [CrossRef]
- Iwasaki, T.; Hara, S. Generalized KYP lemma-unified frequency domain inequalities with design applications. IEEE Trans. Autom. Cont. 2005, 41–59. [Google Scholar] [CrossRef]



Publisher’s Note: MDPI stays neutral with regard to jurisdictional claims in published maps and institutional affiliations. |
© 2022 by the authors. Licensee MDPI, Basel, Switzerland. This article is an open access article distributed under the terms and conditions of the Creative Commons Attribution (CC BY) license (https://creativecommons.org/licenses/by/4.0/).
Share and Cite
Li, B.; Liu, Y.; Zhao, X. Robust H∞ Control for Fractional Order Systems with Order α (0 < α < 1). Fractal Fract. 2022, 6, 86. https://doi.org/10.3390/fractalfract6020086
Li B, Liu Y, Zhao X. Robust H∞ Control for Fractional Order Systems with Order α (0 < α < 1). Fractal and Fractional. 2022; 6(2):86. https://doi.org/10.3390/fractalfract6020086
Chicago/Turabian StyleLi, Bingxin, Yaowei Liu, and Xin Zhao. 2022. "Robust H∞ Control for Fractional Order Systems with Order α (0 < α < 1)" Fractal and Fractional 6, no. 2: 86. https://doi.org/10.3390/fractalfract6020086
APA StyleLi, B., Liu, Y., & Zhao, X. (2022). Robust H∞ Control for Fractional Order Systems with Order α (0 < α < 1). Fractal and Fractional, 6(2), 86. https://doi.org/10.3390/fractalfract6020086

