The Multi-Switching Sliding Mode Combination Synchronization of Fractional Order Non-Identical Chaotic System with Stochastic Disturbances and Unknown Parameters
Abstract
1. Introduction
2. Preliminaries
3. Problem Description
4. The Synchronization of Multi-Switching FO Chaotic System with Same Dimension
5. The Synchronization of Multi-Switching FO System with Different Dimensions
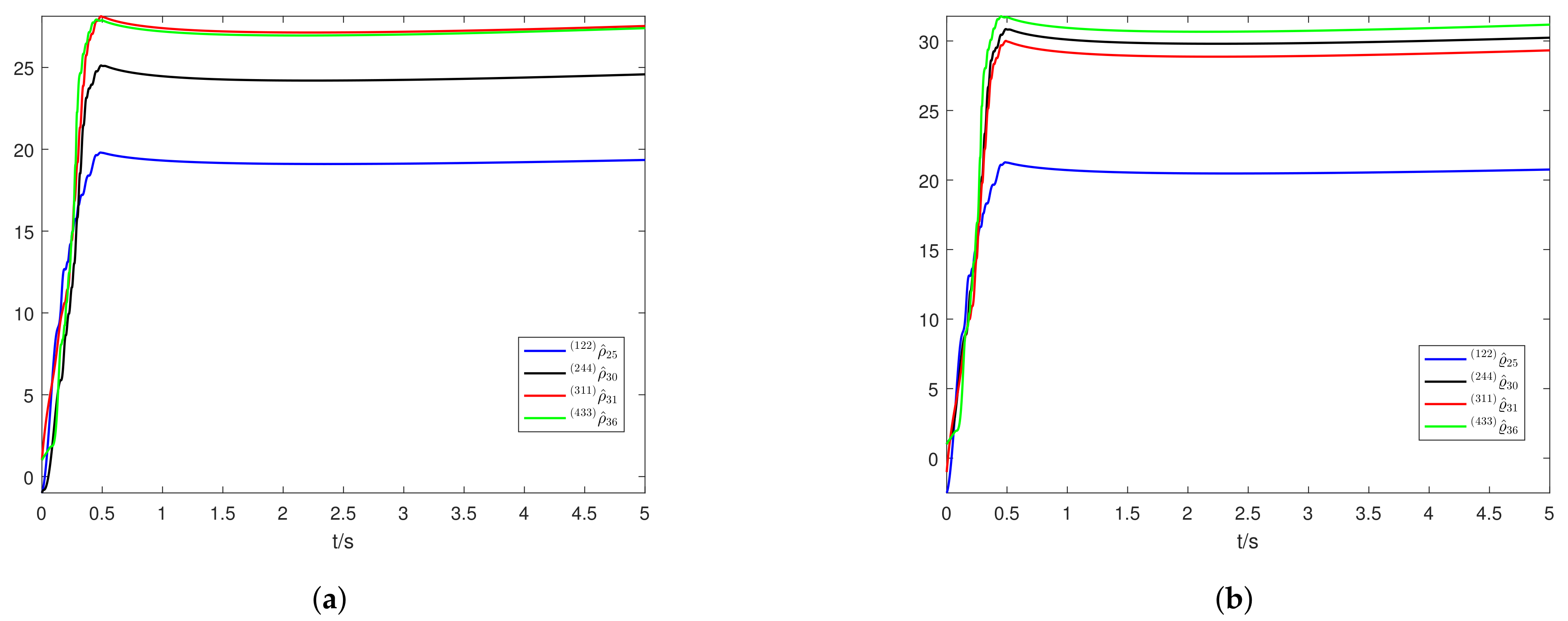
6. Numerical Simulation
6.1. Numerical Simulations for FO Chaotic System with Same Dimension
6.1.1. Switch-1
6.1.2. Switch-2
| , | |
| , | |
| , | , |
| , | , |
| , | , |
| , | , |
| , | , |
| , | , |
| , | |
| , | |
| . |
6.2. Numerical Simulations for FO Chaotic System with Diffrenrt Dimensions
6.2.1. Switch-1
6.2.2. Switch-2
| , | , |
| , | , |
| , | , |
| , | , |
7. Conclusions
Author Contributions
Funding
Institutional Review Board Statement
Informed Consent Statement
Data Availability Statement
Acknowledgments
Conflicts of Interest
References
- Ping, Z.; Peng, Z. Drive-response synchronization for chaotic systems. J. Chongqing Univ. 2002, 25, 77–79. [Google Scholar]
- Yu, J.; Hu, C.; Jiang, H. Projective synchronization for fractional neural networks. Neural Netw. 2014, 49, 87–95. [Google Scholar] [CrossRef] [PubMed]
- Shao, K.; Guo, H.; Han, F. Finite-time projective synchronization of fractional-order chaotic systems via soft variable structure control. J. Mech. Sci. Technol. 2020, 34, 369–376. [Google Scholar] [CrossRef]
- Qin, X.; Li, S.; Liu, H. Adaptive fuzzy synchronization of uncertain fractional-order chaotic systems with different structures and time-delays. Adv. Diff. Equ. 2019, 2019, 1–16. [Google Scholar] [CrossRef]
- Bouzeriba, A.; Boulkroune, A.; Bouden, T. Fuzzy adaptive synchronization of a class of fractional-order chaotic systems. Int. J. Mach. Learn. Cybern. 2016, 7, 1–16. [Google Scholar] [CrossRef]
- Liu, Y.J.; Gong, M.; Tong, S.; Chen, C.P.; Li, D.J. Adaptive fuzzy output feedback control for a class of nonlinear systems with full state constraints. IEEE Trans. Fuzzy. Syst. 2018, 26, 2607–2617. [Google Scholar] [CrossRef]
- Ha, S.; Chen, L.; Liu, H. Command filtered adaptive neural network synchronization control of fractional-order chaotic systems subject to unknown dead zones. J. Frankl. Inst. 2021, 358, 3376–3402. [Google Scholar] [CrossRef]
- Zeng, H.B.; Teo, K.L.; He, Y.; Xu, H.; Wang, W. Sampled-data synchronization control for chaotic neural networks subject to actuator saturation. Neurocomputing 2017, 185, 1656–1667. [Google Scholar] [CrossRef]
- Wang, J.; Xu, C. Stochastic feedback coupling synchronization of networked harmonic oscillators. Automatica 2018, 87, 404–411. [Google Scholar] [CrossRef]
- Li, H.L.; Jiang, Y.L.; Wang, Z.; Zhang, L.; Teng, Z. Parameter identification and adaptive-impulsive synchronization of uncertain complex networks with nonidentical topological structures. Optik-Int. J. Light Electron Opt. 2015, 126, 5771–5776. [Google Scholar] [CrossRef]
- Li, X.F.; Chu, Y.D.; Leung, A.Y.; Zhang, H. Synchronization of uncertain chaotic systems via complete-adaptive-impulsive controls. Chaos Solitons Fractals 2017, 100, 24–30. [Google Scholar] [CrossRef]
- Kocamaz, U.E.; Cevher, B.; Uyaroğlu, Y. Control and synchronization of chaos with sliding mode control based on cubic reaching rule. Chaos Solitons Fractals 2017, 105, 92–98. [Google Scholar] [CrossRef]
- Vaidyanathan, S. Anti-synchronization of 3-cells cellular neural network attractors via integral sliding mode control. Int. J. PharmTech Res. 2016, 9, 193–205. [Google Scholar]
- Li, X.; Zhao, X.S. The chaotic synchronization of fractional-order and integer-order in a class of financial systems. J. Sci. Teach. Coll. Univ. 2020, 40, 1–4. [Google Scholar]
- Jing, W.; Guang, P. Desgn of a sliding mode controller for synchronization of fractional-order chaotic systems with different structures. J. Shanghai Jiaotong Univ. 2016, 50, 849–853, 860. [Google Scholar]
- Jiang, N. The adaptive control synchronization of hyper-chaos lorenz system and hyper-chaos Rössler system. J. Taiyuan Norm Univ. 2014, 13, 47–50. [Google Scholar]
- Wei, X. Adaptive control and synchronization of Lü hyper-chaotic system. J. Honghe Univ. 2015, 13, 23–27. [Google Scholar]
- Li, T.; Wang, Y.; Zhao, C. Synchronization of fractional chaotic systems based on a simple Lyapunov function. Adv. Diff. Equ. 2017, 2017, 304. [Google Scholar] [CrossRef][Green Version]
- Wei, Y.H.; Chen, Y.Q. Lyapunov functions for nabla discrete fractional order systems. ISA Trans. 2019, 88, 82–90. [Google Scholar] [CrossRef]
- Khan, A.; Jahanzaib, L.S. Synchronization on the adaptive sliding mode controller for fractional order complex chaotic systems with uncertainty and disturbances. Int. J. Dyn. Control. 2019, 7, 1419–1433. [Google Scholar] [CrossRef]
- Luo, R.; Su, H.; Zeng, Y. Synchronization of uncertain fractional-order chaotic systems via a novel adaptive controller. Chin. J. Phys. 2017, 55, 342–349. [Google Scholar] [CrossRef]
- Zhang, R.; Yang, S. Robust chaos synchronization of fractional-order chaotic systems with unknown parameters and uncertain perturbations. Nonlinear Dyn. 2012, 69, 983–992. [Google Scholar] [CrossRef]
- Ma, S.J.; Shen, Q.; Jing, H. Modified projective synchronization of stochastic fractional order chaotic systems with uncertain parameters. Nonlinear Dyn. 2013, 73, 93–100. [Google Scholar] [CrossRef]
- Wang, Q.; Qi, D.L. Synchronization for fractional order chaotic systems with uncertain parameters. Int. J. Control. Autom. Syst. 2016, 14, 211–216. [Google Scholar] [CrossRef]
- Nian, F.; Liu, X.; Zhang, Y. Sliding mode synchronization of fractional-order complex chaotic system with parametric and external disturbances. Chaos Solitons Fractals 2018, 116, 22–28. [Google Scholar] [CrossRef]
- Zhang, X.; Zhang, X.; Li, D.; Yang, D. Adaptive synchronization for a class of fractional order time-delay uncertain chaotic systems via fuzzy fractional order neural network. Int. J. Control. Autom. Syst. 2019, 17, 1209–1220. [Google Scholar] [CrossRef]
- Deepika, D.; Kaur, S.; Narayan, S. Uncertainty and disturbance estimator based robust synchronization for a class of uncertain fractional chaotic system via fractional order sliding mode control. Chao Solitons Fractals 2018, 115, 196–203. [Google Scholar] [CrossRef]
- Luo, R.; Wang, Y.L.; Deng, S.C. Combination synchronization of three classic chaotic systems using active backstepping desgn. Chaos 2011, 21, 043114. [Google Scholar]
- Khan, A.; Nigar, U. Adaptive hybrid complex projective combination-combination synchronization in non-identical hyper-chaotic complex systems. Int. J. Dynam. Control. 2019, 7, 1404–1418. [Google Scholar] [CrossRef]
- Vincent, U.E.; Saseyi, A.O.; Mcclintock, P. Multi-switching combination synchronization of chaotic systems. Nonlinear Dyn. 2015, 80, 845–854. [Google Scholar] [CrossRef]
- Sun, J.; Cui, G.; Wang, Y.; Shen, Y. Combination complex synchronization of three chaotic complex systems. Nonlinear Dyn. 2015, 79, 953–965. [Google Scholar] [CrossRef]
- Khan, A.; Budhraja, M.; Ibraheem, A. Combination-combination synchronisation of time-delay chaotic systems for unknown parameters with uncertainties and external disturbances. Pramana 2018, 91, 20. [Google Scholar] [CrossRef]
- Sun, J.; Wang, Y.; Wang, Y.; Cui, G.; Shen, Y. Compound-combination synchronization of five chaotic systems via nonlinear control. Optik-Int. J. Light Electron. Opt. 2016, 127, 4136–4143. [Google Scholar] [CrossRef]
- Khan, A.; Trikha, P. Compound difference anti-synchronization between chaotic systems of integer and fractional order. SN Appl. Sci. 2019, 1, 1–13. [Google Scholar] [CrossRef]
- Yadav, V.K.; Prasad, G.; Srivastava, M.; Das, S. Triple compound synchronization among eight chaotic systems with external disturbances via nonlinear approach. Differ. Equ. Dyn. Syst. 2019, 2019, 1–24. [Google Scholar] [CrossRef]
- Zhang, B.; Deng, F. Double-compound synchronization of six memristor-based Lorenz systems. Nonlinear Dyn. 2014, 77, 1519–1530. [Google Scholar] [CrossRef]
- Mahmoud, G.M.; Abed-Elhameed, T.M.; Farghaly, A.A. Double compound combination synchronization among eight n-dimensional chaotic systems. Chin. Phys. B 2018, 27, 154–162. [Google Scholar] [CrossRef]
- Khan, A.; Khattar, D.; Prajapati, N. Dual combination combination multi switching synchronization of eight chaotic systems. Chin. J. Phys. 2017, 55, 1209–1218. [Google Scholar] [CrossRef]
- Ahmad, I.; Shafiq, M.; Al-Sawalha, M.M. Globally exponential multi switching-combination synchronization control of chaotic systems for secure communications. Chin. J. Phys. 2018, 56, 974–987. [Google Scholar] [CrossRef]
- Zheng, S. Multi-switching combination synchronization of three different chaotic systems via nonlinear control. Optik-Int. J. Light Electron. Opt. 2016, 127, 10247–10258. [Google Scholar] [CrossRef]
- Khan, A.; Budhraja, M.; Ibraheem, A. Synchronization among different switches of four non-identical chaotic systems via adaptive control. Arabian J. Sci. Eng. 2019, 44, 2717–2728. [Google Scholar] [CrossRef]
- Aysha, I. Multi-switching dual combination synchronization of time delay dynamical systems for fully unknown parameters via adaptive control. Arabian J. Sci. Eng. 2020, 45, 6911–6922. [Google Scholar]
- Shafiq, M.; Ahmad, I. Multi-Switching combination anti-synchronization of unknown hyper-chaotic systems. Arabian J. Sci. Eng. 2019, 44, 1–16. [Google Scholar] [CrossRef]
- Song, S.; Song, X.N.; Pathak, N.; Balsera, I.T. Multi-switching adaptive synchronization of two fractional-order chaotic systems with different structure and different order. Int. J. Control. Autom. Syst. 2017, 15, 1524–1535. [Google Scholar] [CrossRef]
- Shahzad, M. Multi-switching synchronization of different orders: A generalization of increased/reduced order synchronization. Iran. J. Sci. Technol. 2020, 44, 167–176. [Google Scholar] [CrossRef]
- Chen, X.; Park, J.H.; Cao, J.; Qiu, J. Adaptive synchronization of multiple uncertain coupled chaotic systems via sliding mode control. Neurocomputing 2018, 273, 9–21. [Google Scholar] [CrossRef]
- Chen, X.; Cao, J.; Park, J.H.; Huang, T.; Qiu, J. Finite-time multi-switching synchronization behavior for multiple chaotic systems with network transmission mode. J. Frankl. Inst. 2018, 355, 2892–2911. [Google Scholar] [CrossRef]
- Modiri, A.; Mobayen, S. Adaptive terminal sliding mode control scheme for synchronization of fractional-order uncertain chaotic systems. ISA Trans. 2020, 105, 33–50. [Google Scholar] [CrossRef]
- Sun, Z. Synchronization of fractional-order chaotic systems with non-identical orders, unknown parameters and disturbances via sliding mode control. Chin. J. Phys. 2018, 56, 2553–2559. [Google Scholar] [CrossRef]
- Rashidnejad, Z.; Karimaghaee, P. Synchronization of a class of uncertain chaotic systems utilizing a new finite-time fractional adaptive sliding mode control. Chaos Solitons Fractals X 2020, 5, 100042. [Google Scholar] [CrossRef]
- Wang, J.; Shao, C.; Chen, X. Fractional-order DOB-sliding mode control for a class of noncommensurate fractional-order systems with mismatched disturbances. Math. Methods Appl. Sci. 2019, 5, 1–15. [Google Scholar] [CrossRef]
- Wang, J.; Shao, C.; Chen, Y.Q. Fractional order sliding mode control via disturbance observer for a class of fractional order systems with mismatched disturbance. Mechatronics 2018, 53, 8–19. [Google Scholar] [CrossRef]
- Yin, C.; Huang, X.; Chen, Y.; Dadras, S.; Zhong, S.M.; Cheng, Y. Fractional-order exponential switching technique to enhance sliding mode control. Appl. Math. Modell. 2017, 44, 705–726. [Google Scholar] [CrossRef]
- Han, S.I. Fractional-order command filtered backstepping sliding mode control with fractional-order nonlinear disturbance observer for nonlinear systems. J. Franklin Inst. 2020, 357, 6760–6776. [Google Scholar] [CrossRef]
- Ma, T.; Wang, B. Disturbance observer-based Takagi-Sugeno fuzzy control of a delay fractional-order hydraulic turbine governing system with elastic water hammer via frequency distributed model. Inf. Sci. 2021, 569, 766–785. [Google Scholar] [CrossRef]
- Podlubny, I. Fractional Differential Equations; Academic Press: New York, NY, USA, 1999. [Google Scholar]
- Li, Y.; Chen, Y.Q.; Podlubny, I. Stability of fractional-order nonlinear dynamic systems: Lyapunov direct method and generalized Mittag-Leffler stability. Comput. Math. Appl. 2009, 59, 1810–1821. [Google Scholar] [CrossRef]
- Ran, M.; Wang, Q.; Hou, D. Backstepping design of missile guidance and control based on adaptive fuzzy sliding mode control. Chin. J. Aeronaut. 2014, 27, 634–642. [Google Scholar] [CrossRef]


















Publisher’s Note: MDPI stays neutral with regard to jurisdictional claims in published maps and institutional affiliations. |
© 2022 by the authors. Licensee MDPI, Basel, Switzerland. This article is an open access article distributed under the terms and conditions of the Creative Commons Attribution (CC BY) license (https://creativecommons.org/licenses/by/4.0/).
Share and Cite
Pan, W.; Li, T.; Wang, Y. The Multi-Switching Sliding Mode Combination Synchronization of Fractional Order Non-Identical Chaotic System with Stochastic Disturbances and Unknown Parameters. Fractal Fract. 2022, 6, 102. https://doi.org/10.3390/fractalfract6020102
Pan W, Li T, Wang Y. The Multi-Switching Sliding Mode Combination Synchronization of Fractional Order Non-Identical Chaotic System with Stochastic Disturbances and Unknown Parameters. Fractal and Fractional. 2022; 6(2):102. https://doi.org/10.3390/fractalfract6020102
Chicago/Turabian StylePan, Weiqiu, Tianzeng Li, and Yu Wang. 2022. "The Multi-Switching Sliding Mode Combination Synchronization of Fractional Order Non-Identical Chaotic System with Stochastic Disturbances and Unknown Parameters" Fractal and Fractional 6, no. 2: 102. https://doi.org/10.3390/fractalfract6020102
APA StylePan, W., Li, T., & Wang, Y. (2022). The Multi-Switching Sliding Mode Combination Synchronization of Fractional Order Non-Identical Chaotic System with Stochastic Disturbances and Unknown Parameters. Fractal and Fractional, 6(2), 102. https://doi.org/10.3390/fractalfract6020102

