Collocation Method for Optimal Control of a Fractional Distributed System
Abstract
:1. Introduction
2. Mathematical Preparation
3. Analysis of Fractional Optimal-Control Problem
3.1. Formulation of Model
3.2. Fractional Variational Principle and Properties of Model
4. Numerical Algorithm
5. Numerical Experiment
5.1. Numerical Solution for System with Smooth Initial Input Signal
- (Chebyshev polynomials of the first kind),
- (Chebyshev polynomial of the second kind),
- (Legendre polynomials),
- , (non-specified Jacobi polynomials).
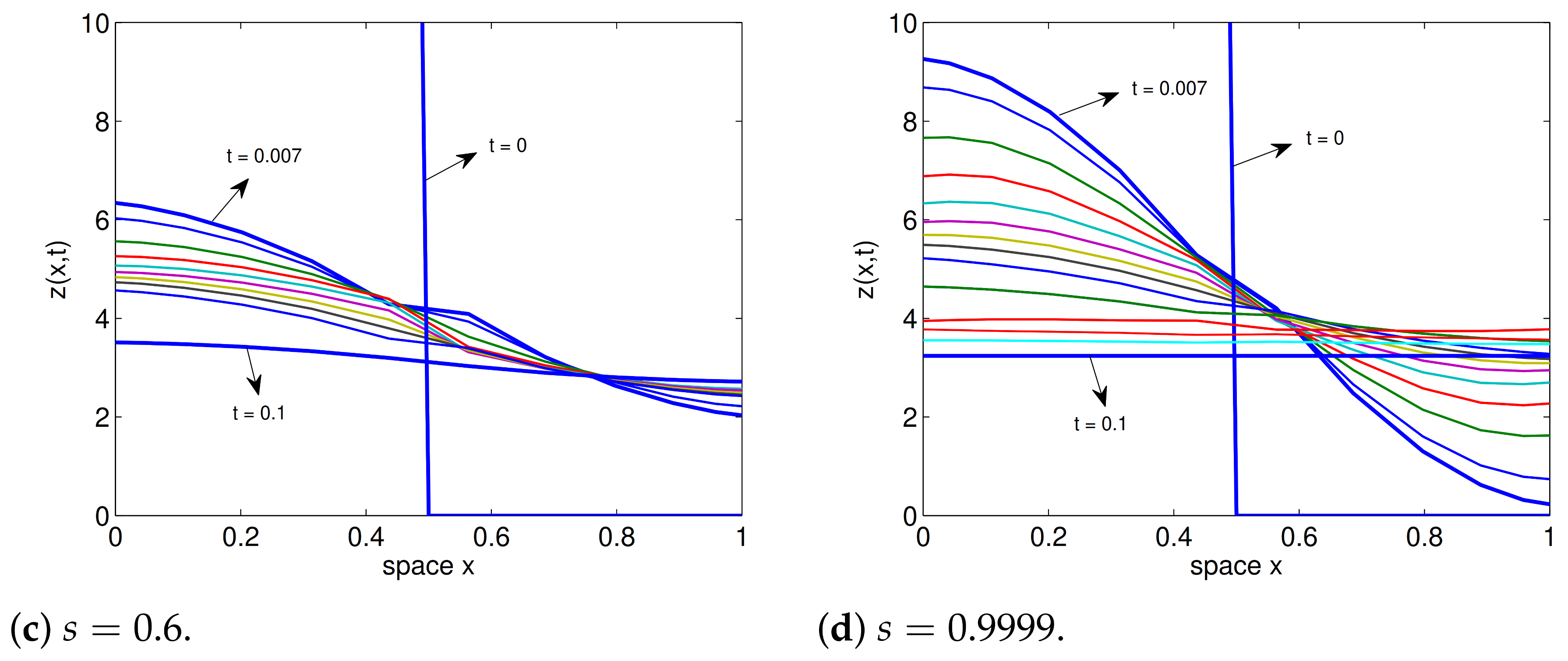
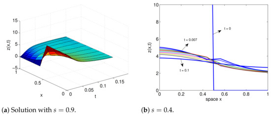
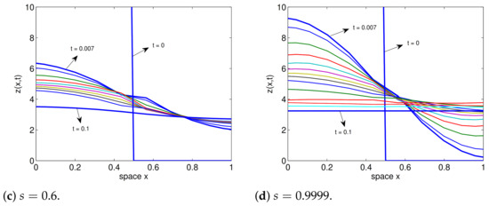
5.2. Numerical Solution for System with Discontinuous Initial Input Signal
6. Conclusions
Author Contributions
Funding
Data Availability Statement
Acknowledgments
Conflicts of Interest
References
- Sage, A.P.; White, C.C., III. Optimal Systems Control; Prentice-Hall: Englewood Cliffs, NJ, USA, 1977. [Google Scholar]
- Betts, J.T.; Erb, S.O. Optimal low thrust trajectories to the moon. SIAM J. Appl. Dyn. Syst. 2003, 2, 144–170. [Google Scholar] [CrossRef] [Green Version]
- Highfill, J.; McAsey, M. An optimal-control problem in economics. Int. J. Mathemetics Math. Sci. 1991, 14, 537–544. [Google Scholar] [CrossRef]
- Abu-Rqayiqa, A.; Alayed, H.; Zannon, M. Optimal control of a basic model of oncolytic virotherapy. J. Mathemetics Comput. Sci. 2022, 24, 119–126. [Google Scholar] [CrossRef]
- Bittner, L.; Bulirsch, R.; Heier, K.; Schmidt, W. (Eds.) Variational Calculus, Optimal Control and Applications. In Proceedings of the International Conference in Honour of L. Bittner and R. Klötzler, Trassenheide, Germany, 23–27 September 1996.
- Hull, D.G. Variational calculus and approximate solution of optimal-control problems. J. Optim. Theory Appl. 2001, 108, 483–497. [Google Scholar] [CrossRef]
- Biswas, R.K.; Sen, S. Free final time fractional optimal-control problems. J. Frankl. Inst.-Eng. Appl. Math. 2014, 351, 941–951. [Google Scholar] [CrossRef]
- Kamocki, R. On the existence of optimal solutions to fractional optimal-control problems. Appl. Math. Comput. 2014, 235, 94–104. [Google Scholar] [CrossRef]
- Almeida, R.; Torres, D.F.M. A discrete method to solve fractional optimal-control problems. Nonlinear Dyn. 2015, 80, 1811–1816. [Google Scholar] [CrossRef] [Green Version]
- Xu, Y.; Agrawal, O.P. New fractional operators and application to fractional variational problem. Comput. Math. Appl. 2016; in Press. [Google Scholar] [CrossRef]
- Paulen, R.; Kikar, M. Optimal Operation of Batch Membrane Processes; Springer: Berlin/Heidelberg, Germany, 2016. [Google Scholar]
- Agrawal, O.P. Formulation of Euler-Lagrange equations for fractional variational problems. J. Math. Anal. Appl. 2002, 272, 368–379. [Google Scholar] [CrossRef] [Green Version]
- Agrawal, O.P. A general formulation and solution scheme for fractional optimal-control problem. Nonlinear Dyn. 2004, 38, 323–337. [Google Scholar] [CrossRef]
- Agrawal, O.P. Fractional optimal control of a distributed system using eigenfunctions. ASME J. Comput. Nonlinear Dyn. 2008, 3, 021204-1–021204-6. [Google Scholar] [CrossRef]
- Baleanu, D.; Defterli, O.; Agrawal, O.P. A central difference numerical scheme for fractional optimal-control problems. J. Vib. Control. 2009, 15, 583–597. [Google Scholar] [CrossRef] [Green Version]
- Tricaud, C.; Chen, Y.Q. An approximate method for numerically solving fractional order optimal control problems of general form. Comput. Math. Appl. 2010, 59, 1644–1655. [Google Scholar] [CrossRef] [Green Version]
- Lotfi, A.; Dehghan, M.; Yousefi, S.A. A numerical technique for solving fractional optimal-control problems. Comput. Math. Appl. 2011, 62, 1055–1067. [Google Scholar] [CrossRef] [Green Version]
- Lotfi, A.; Yousefi, S.A.; Dehghan, M. Numerical solution of a class of fractional optimal-control problems via the Legendre orthonormal basis combined with the operational matrix and the Gauss quadrature rule. J. Comput. Appl. Math. 2013, 250, 143–160. [Google Scholar] [CrossRef]
- Özdemir, N.; Karadeniz, D.; İskender, B.B. Fractional optimal-control problem of a distributed system in cylindrical coordinates. Phys. Lett. A 2009, 373, 221–226. [Google Scholar] [CrossRef]
- Safaie, E.; Farahi, M.H.; Ardehaie, M.F. An approximate method for numerically solving multi-dimensional delay fractional optimal-control problems by Bernstein polynomials. Comput. Appl. Math. 2015, 34, 831–846. [Google Scholar] [CrossRef]
- Özdemir, N.; Agrawal, O.P.; İskender, B.B.; Karadeniz, D. Fractional optimal control of a 2-dimensional distributed system using eigenfunctions. Nonlinear Dyn. 2009, 55, 251–260. [Google Scholar] [CrossRef]
- Bhrawy, A.H.; Doha, E.H.; Baleanu, D.; Ezz-Eldien, S.S.; Abdelkawy, M.A. An accurate numerical technique for solving fractional optimal-control problems. Proc. Rom. Acad. Ser. A 2015, 16, 47–54. [Google Scholar]
- Darehmiraki, M.; Farahi, M.H.; Effati, S. Solution for the fractional distrubted optimal-control problem by hybrid meshless method. J. Vib. Control 2018, 24, 2149–2164. [Google Scholar] [CrossRef]
- Canuto, C.; Hussaini, M.Y.; Quarteroni, A.; Zang, T.A. Spectral Methods: Fundamentals in Single Domains. Springer: Berlin/Heidelberg, Germany, 2006. [Google Scholar]
- Yang, Y.; Chen, Y.P.; Huang, Y.Q. Convergence analysis of the Jacobi spectral-collocation method for fractional integro-differential equations. Acta Mathemetica Sci. 2014, 34B, 673–690. [Google Scholar] [CrossRef]
- Tohidi, E.; Nik, H.S. A Bessel collocation method for solving fractional optimal-control problems. Appl. Math. Model. 2015, 39, 455–465. [Google Scholar] [CrossRef]
- Nikan, O.; Avazzadeh, Z. Numerical simulation of fractional evolution model arising in viscoelastic mechanics. Appl. Numer. Math. 2021, 169, 303–320. [Google Scholar] [CrossRef]
- Shojaeizadeh, T.; Mahmoudi, M.; Darehmiraki, M. optimal-control problem of advection-diffusion-reaction equation of kind fractal-fractional applying shifted Jacobi polynomials. Chaos Solitons Fractals 2021, 143, 110568. [Google Scholar] [CrossRef]
- Kilbas, A.A.; Srivastava, H.M.; Trujillo, J.J. Theory and Applications of Fractional Differential Equations; Elsevier: Amsterdam, The Netherlands, 2006. [Google Scholar]
- Podlubny, I. Fractional Differential Equations; Academic Press: Cambridge, MA, USA, 1999. [Google Scholar]
- Hilfer, R. Fractional Calculus in Physics; World Scientific Publishing: Singapore, 2000. [Google Scholar]
- Bhrawy, A.H. A Jacobi-Gauss-Lobatto collocation method for solving generalized Fitzhugh-Nagumo equation with time-dependent coefficients. Appl. Math. Comput. 2013, 222, 255–264. [Google Scholar] [CrossRef]
- Duan, B.P.; Zheng, Z.S.; Cao, W. Spectral approximation methods and error estimates for Caputo fractional derivative with applications to initial-value problems. J. Comput. Phys. 2016, 3, 108–128. [Google Scholar] [CrossRef]



| M | MAE of z | MAE of u | ||
|---|---|---|---|---|
| 5 | 1.05 | 1.13 | ||
| 10 | −0.5 | −0.5 | 3.36 | 3.43 |
| 15 | 2.89 | 3.09 | ||
| 5 | 2.78 | 2.96 | ||
| 10 | 0.5 | 0.5 | 1.82 | 1.86 |
| 15 | 4.51 | 5.00 | ||
| 5 | 1.98 | 2.12 | ||
| 10 | 0 | 0 | 9.45 | 9.65 |
| 15 | 2.62 | 2.98 | ||
| 5 | 5.95 | 7.90 | ||
| 10 | 2 | 3 | 1.80 | 2.87 |
| 15 | 2.87 | 4.13 |
Publisher’s Note: MDPI stays neutral with regard to jurisdictional claims in published maps and institutional affiliations. |
© 2022 by the authors. Licensee MDPI, Basel, Switzerland. This article is an open access article distributed under the terms and conditions of the Creative Commons Attribution (CC BY) license (https://creativecommons.org/licenses/by/4.0/).
Share and Cite
Cao, W.; Xu, Y. Collocation Method for Optimal Control of a Fractional Distributed System. Fractal Fract. 2022, 6, 594. https://doi.org/10.3390/fractalfract6100594
Cao W, Xu Y. Collocation Method for Optimal Control of a Fractional Distributed System. Fractal and Fractional. 2022; 6(10):594. https://doi.org/10.3390/fractalfract6100594
Chicago/Turabian StyleCao, Wen, and Yufeng Xu. 2022. "Collocation Method for Optimal Control of a Fractional Distributed System" Fractal and Fractional 6, no. 10: 594. https://doi.org/10.3390/fractalfract6100594
APA StyleCao, W., & Xu, Y. (2022). Collocation Method for Optimal Control of a Fractional Distributed System. Fractal and Fractional, 6(10), 594. https://doi.org/10.3390/fractalfract6100594

