Newly Developed Analytical Scheme and Its Applications to the Some Nonlinear Partial Differential Equations with the Conformable Derivative
Abstract
:1. Introduction
2. General Properties of Conformable Operator
3. General Properties of RSGEM
3.1. The Sine-Gordon Equation
3.2. The RSGEM
4. Applications of RSGEM
4.1. RSGEM to the Gardner Equation including a Conformable Operator
4.2. RSGEM for the mKdV-ZK Model with Conformable
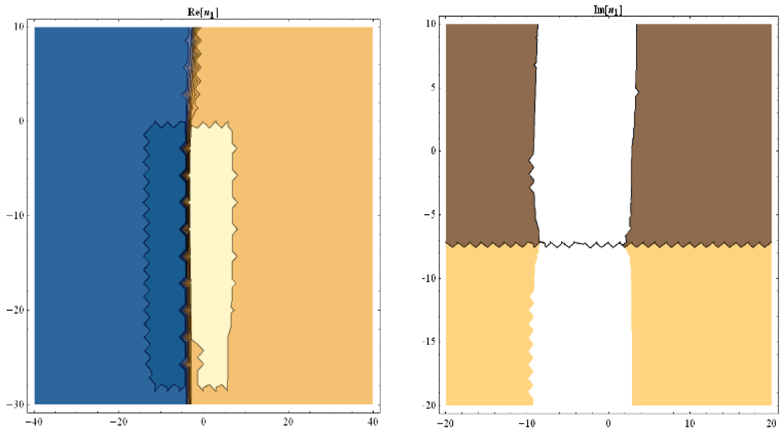
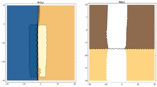
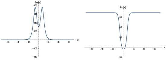
5. Discussion and Physical Meanings
6. Conclusions
Author Contributions
Funding
Institutional Review Board Statement
Informed Consent Statement
Data Availability Statement
Acknowledgments
Conflicts of Interest
References
- Debnath, L. Recent applications of fractional calculus to science and engineering. Int. J. Math. Math. Sci. 2003, 2003, 3413–3442. [Google Scholar] [CrossRef] [Green Version]
- Hilfer, R. Applications of Fractional Calculus in Physics; World Scientific Pub Co Pte Ltd.: Munich, Germany, 2000. [Google Scholar]
- Lakshmikantham, V.; Vatsala, A. Basic theory of fractional differential equations. Nonlinear Anal. Theory Methods Appl. 2008, 69, 2677–2682. [Google Scholar] [CrossRef]
- Raynaud, H.-F.; Zergainoh, A. State-space representation for fractional order controllers. Automatica 2000, 36, 1017–1021. [Google Scholar] [CrossRef]
- Podlubny, I. Fractional Differential Equations, Mathematics in Science and Engineering; Academic Press: San Diego, CA, USA, 1999. [Google Scholar]
- Sabatier, J.; Agrawal, O.P.; Machado, J.A.T. Advances in Fractional Calculus; Springer: Dordrecht, The Netherlands, 2007. [Google Scholar]
- Khalil, R.; Al Horani, M.; Yousef, A.; Sababheh, M. A new definition of fractional derivative. J. Comput. Appl. Math. 2014, 264, 65–70. [Google Scholar] [CrossRef]
- Abdeljawad, T. On conformable fractional calculus. J. Comput. Appl. Math. 2015, 279, 57–66. [Google Scholar] [CrossRef]
- Brzeziński, D.W. Comparison of Fractional Order Derivatives Computational Accuracy—Right Hand vs Left Hand Definition. Appl. Math. Nonlinear Sci. 2017, 2, 237–248. [Google Scholar] [CrossRef] [Green Version]
- Youssef, I.K.; El Dewaik, M.H. Solving Poisson’s Equations with fractional order using Haarwavelet. Appl. Math. Nonlinear Sci. 2017, 2, 271–284. [Google Scholar] [CrossRef] [Green Version]
- Eslami, M.; Rezazadeh, H. The first integral method for Wu–Zhang system with conformable time-fractional derivative. Calcolo 2016, 53, 475–485. [Google Scholar] [CrossRef]
- Khan, M.A.; Hammouch, Z.; Baleanu, D. Modeling the dynamics of hepatitis E via the Caputo–Fabrizio derivative. Math. Model. Nat. Phenom. 2019, 14, 311. [Google Scholar] [CrossRef]
- Rezazadeh, H.; Tariq, H.; Eslami, M.; Mirzazadeh, M.; Zhou, Q. New exact solutions of nonlinear conformable time-fractional Phi-4 equation. Chin. J. Phys. 2018, 56, 2805–2816. [Google Scholar] [CrossRef]
- Osman, M.S.; Korkmaz, A.; Rezazadeh, H.; Mirzazadeh, M.; Eslami, M.; Zhou, Q. The unified method for conformable time fractional Schroodinger equation with perturbation terms. Chin. J. Phys. 2018, 56, 2500–2506. [Google Scholar] [CrossRef]
- Feng, Q. A new approach for seeking coefficient function solutions of conformable fractional partial differential equations based on the Jacobi elliptic equation. Chin. J. Phys. 2018, 56, 2817–2828. [Google Scholar] [CrossRef]
- Yokuş, A.; Gülbahar, S. Numerical Solutions with Linearization Techniques of the Fractional Harry Dym Equation. Appl. Math. Nonlinear Sci. 2019, 4, 35–42. [Google Scholar] [CrossRef] [Green Version]
- Cattani, C. A Review on Harmonic Wavelets and Their Fractional Extension. J. Adv. Eng. Comput. 2018, 2, 224–238. [Google Scholar] [CrossRef] [Green Version]
- Cattani, C.; Srivastava, H.M.; Yang, X.J. Fractional Dynamics; De Gruyter: Berlin, Germany, 2015; pp. 1–5. [Google Scholar]
- Veeresha, P.; Ilhan, E.; Prakasha, D.G.; Baskonus, H.M.; Gao, W. A new numerical investigation of fractional order susceptible-infected-recovered epidemic model of childhood disease. Alex. Eng. J. 2022, 61, 1747–1756. [Google Scholar] [CrossRef]
- Kumar, D.; Singh, J.; Baleanu, D. Sushila Analysis of regularized long-wave equation associated with a new fractional operator with Mittag-Leffler type kernel. Phys. A Stat. Mech. Its Appl. 2018, 492, 155–167. [Google Scholar] [CrossRef]
- Ravichandran, C.; Logeswari, K.; Jarad, F. New results on existence in the framework of Atangana–Baleanu derivative for fractional integro-differential equations. Chaos Solitons Fractals 2019, 125, 194–200. [Google Scholar] [CrossRef]
- Baskonus, H.M.; Cattani, C.; Ciancio, A. Periodic Complex and Kink-type Solitons for the Nonlinear Model in Microtubules. J. Appl. Sci. 2019, 21, 34–45. [Google Scholar]
- Ravichandran, C.; Jothimani, K.; Baskonus, H.M.; Valliammal, N. New results on nondensely characterized integrodifferential equations with fractional order. Eur. Phys. J. Plus 2018, 133, 109. [Google Scholar] [CrossRef]
- Dananea, J.; Allalia, K.; Hammouch, Z. Mathematical analysis of a fractional differential model of HBV infection with antibody immune response. Chaos Soliton Fractals 2020, 136, 109787. [Google Scholar] [CrossRef]
- Gao, W.; Yel, G.; Baskonus, H.M.; Cattani, C. Complex solitons in the conformable (2 + 1)-dimensional Ablowitz-Kaup-Newell-Segur equation. AIMS Math. 2020, 5, 507–521. [Google Scholar] [CrossRef]
- Ganji, R.; Jafari, H.; Baleanu, D. A new approach for solving multi variable orders differential equations with Mittag–Leffler kernel. Chaos Solitons Fractals 2020, 130, 109405. [Google Scholar] [CrossRef]
- Sadeghi, S.; Jafari, H.; Nemati, S. Operational matrix for Atangana–Baleanu derivative based on Genocchi polynomials for solving FDEs. Chaos Solitons Fractals 2020, 135, 109736. [Google Scholar] [CrossRef]
- Singh, J.; Kumar, D.; Hammouch, Z.; Atangana, A. A fractional epidemiological model for computer viruses pertaining to a new fractional derivative. Appl. Math. Comput. 2018, 316, 504–515. [Google Scholar] [CrossRef]
- Rahaman, H.; Hasan, M.K.; Ali, A.; Alam, M.S. Implicit Methods for Numerical Solution of Singular Initial Value Problems. Appl. Math. Nonlinear Sci. 2021, 6, 1–8. [Google Scholar] [CrossRef]
- Gao, W.; Ismael, H.F.; Husien, A.M.; Bulut, H.; Baskonus, H.M. Optical Soliton solutions of the nonlinear Schrödinger and resonant nonlinear Schrödinger equation with parabolic law. Appl. Sci. 2020, 10, 219. [Google Scholar] [CrossRef] [Green Version]
- Ismael, H.F.; Bulut, H.; Baskonus, H.M. Optical soliton solutions to the Fokas–Lenells equation via sine-Gordon expansion method and (m+(G’/G))(m+(G’/G))-expansion method. Pramana 2020, 94, 35. [Google Scholar] [CrossRef]
- Bulut, H.; Ilhan, E. Fractional vector-borne disease model with lifelong immunity under Caputo operator. Phys. Scr. 2021, 96, 084006. [Google Scholar] [CrossRef]
- Prakasha, D.G.; Veeresha, P.; Baskonus, H.M. Two novel computational techniques for fractional Gardner and Cahn-Hilliard equations. Comput. Math. Methods 2019, 1, e1021. [Google Scholar] [CrossRef] [Green Version]
- Alderremy, A.; Saad, K.M.; Agarwal, P.; Aly, S.; Jain, S. Certain new models of the multi space-fractional Gardner equation. Phys. A Stat. Mech. Its Appl. 2020, 545, 123806. [Google Scholar] [CrossRef]
- Iyiola, O.S.; Olayinka, O.G. Analytical solutions of time-fractional models for homogeneous Gardner equation and non-homogeneous differential equations. Ain Shams Eng. J. 2014, 5, 999–1004. [Google Scholar] [CrossRef] [Green Version]
- Cao, D. The classification of the single traveling wave solutions to the time-fraction Gardner equation. Chin. J. Phys. 2019, 59, 379–392. [Google Scholar] [CrossRef]
- Pandir, Y.; Duzgun, H.H. New Exact Solutions of Time Fractional Gardner Equation by Using New Version of F -Expansion Method. Commun. Theor. Phys. 2017, 67, 9. [Google Scholar] [CrossRef]
- Yel, G.; Sulaiman, T.A.; Baskonus, H.M. On the complex solutions to the (3 + 1)-dimensional conformable fractional modified KdV-Zakharov-Kuznetsov equation. Mod. Phys. Lett. B 2020, 34, 2050069. [Google Scholar] [CrossRef]
- Baskonus, H.M.; Guirao, J.L.G.; Kumar, A.; Causanilles, F.S.V.; Bermudez, G.R. Complex mixed dark-bright wave patterns to the modified α and modified Vakhnenko-Parkes equations. Alex. Eng. J. 2020, 59, 2149–2160. [Google Scholar] [CrossRef]
- Guirao, J.L.G.; Baskonus, H.M.; Kumar, A. Regarding New Wave Patterns of the Newly Extended Nonlinear (2+1)-Dimensional Boussinesq Equation with Fourth Order. Mathematics 2020, 8, 341. [Google Scholar] [CrossRef] [Green Version]
- Baskonus, H.M. New acoustic wave behaviors to the Davey–Stewartson equation with power-law nonlinearity arising in fluid dynamics. Nonlinear Dyn. 2016, 86, 177–183. [Google Scholar] [CrossRef]
- Yamgoue, S.B.; Deffo, G.R.; Pelap, F.B. A new rational sine-Gordon expansion method and its application to nonlinear wave equations arising in mathematical physics. Eur. Phys. J. Plus 2019, 134. [Google Scholar] [CrossRef]


















Publisher’s Note: MDPI stays neutral with regard to jurisdictional claims in published maps and institutional affiliations. |
© 2021 by the authors. Licensee MDPI, Basel, Switzerland. This article is an open access article distributed under the terms and conditions of the Creative Commons Attribution (CC BY) license (https://creativecommons.org/licenses/by/4.0/).
Share and Cite
Yan, L.; Yel, G.; Kumar, A.; Baskonus, H.M.; Gao, W. Newly Developed Analytical Scheme and Its Applications to the Some Nonlinear Partial Differential Equations with the Conformable Derivative. Fractal Fract. 2021, 5, 238. https://doi.org/10.3390/fractalfract5040238
Yan L, Yel G, Kumar A, Baskonus HM, Gao W. Newly Developed Analytical Scheme and Its Applications to the Some Nonlinear Partial Differential Equations with the Conformable Derivative. Fractal and Fractional. 2021; 5(4):238. https://doi.org/10.3390/fractalfract5040238
Chicago/Turabian StyleYan, Li, Gulnur Yel, Ajay Kumar, Haci Mehmet Baskonus, and Wei Gao. 2021. "Newly Developed Analytical Scheme and Its Applications to the Some Nonlinear Partial Differential Equations with the Conformable Derivative" Fractal and Fractional 5, no. 4: 238. https://doi.org/10.3390/fractalfract5040238
APA StyleYan, L., Yel, G., Kumar, A., Baskonus, H. M., & Gao, W. (2021). Newly Developed Analytical Scheme and Its Applications to the Some Nonlinear Partial Differential Equations with the Conformable Derivative. Fractal and Fractional, 5(4), 238. https://doi.org/10.3390/fractalfract5040238

