Comparative Study on Pore Characteristics and Methane Adsorption Capacity of the Lower Silurian Longmaxi Shales with Different Lithofacies
Abstract
1. Introduction
2. Geological Setting and Samples
3. Materials and Methods
3.1. TOC Content
3.2. X-Ray Diffraction (XRD)
3.3. Field Emission–Scanning Electron Microscopy (FE-SEM)
3.4. Low-Pressure Gas Adsorption
3.5. Fractal Theory
3.6. High-Pressure Methane Adsorption
3.6.1. Excess Methane Adsorption
3.6.2. Calculation of Absolute Methane Adsorption
4. Results
4.1. Shale Lithofacies
4.2. Pore Characteristics
4.2.1. Pore Types
4.2.2. Isotherms of CO2 Adsorption
4.2.3. Isotherms of N2 Adsorption and Desorption
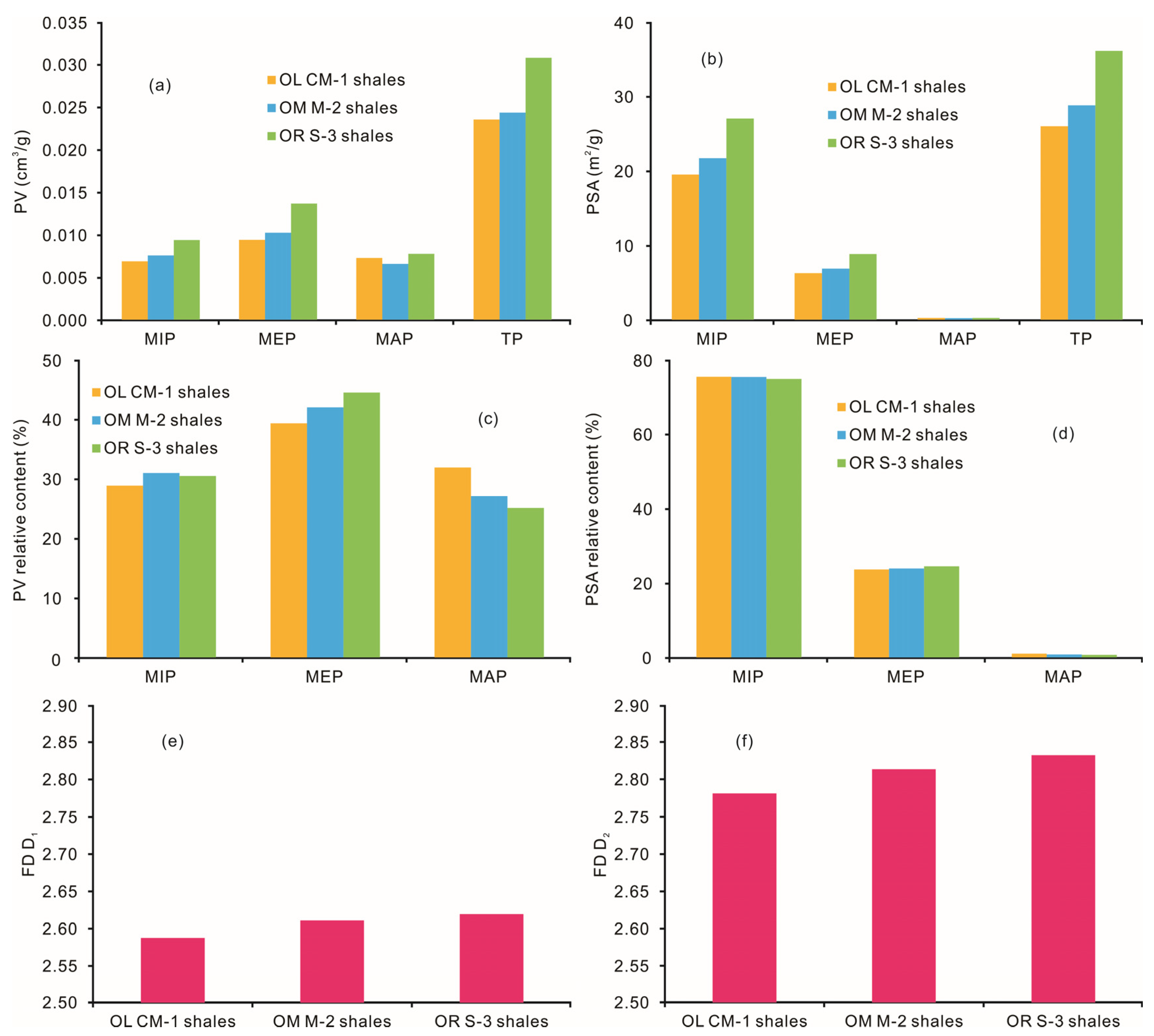
4.2.4. PV and SA
4.2.5. FD
4.3. Methane Adsorption Isotherms
5. Discussion
5.1. Controlling Factors of Pore Development
5.1.1. Effect of Organic Matter on Pore Development
5.1.2. Effect of Mineral Composition on Pore Development
5.1.3. Conceptual Model for Development of Pores in Different Shale Lithofacies
5.2. Controlling Factors of MAC
5.2.1. Effect of Organic Matter on MAC
5.2.2. Effect of Mineral Composition on MAC
5.2.3. Effect of Pore Structure on MAC
6. Conclusions
Author Contributions
Funding
Data Availability Statement
Acknowledgments
Conflicts of Interest
References
- Jarvie, D.M.; Hill, R.J.; Ruble, T.E.; Pollastro, R.M. Unconventional shale-gas systems: The Mississippian Barnett Shale of north-central Texas as one model for thermogenic shale-gas assessment. AAPG Bull. 2007, 91, 475–499. [Google Scholar] [CrossRef]
- Zou, C.N.; Dong, D.Z.; Wang, S.J.; Li, J.Z.; Li, X.J.; Wang, Y.M.; Li, D.H.; Cheng, K.M. Geological characteristics and resource potential of shale gas in China. Pet. Explor. Dev. 2010, 37, 641–653. [Google Scholar] [CrossRef]
- Zou, C.N.; Dong, D.Z.; Wang, Y.M.; Li, X.J.; Huang, J.L.; Wang, S.F.; Guan, Q.Z.; Zhang, C.C.; Wang, H.Y.; Liu, H.L.; et al. Shale gas in China: Characteristics, challenges and prospects (I). Pet. Explor. Dev. 2015, 42, 753–767. [Google Scholar] [CrossRef]
- Zou, C.N.; Dong, D.Z.; Wang, Y.M.; Li, X.J.; Huang, J.L.; Wang, S.F.; Guan, Q.Z.; Zhang, C.C.; Wang, H.Y.; Liu, H.L.; et al. Shale gas in China: Characteristics, challenges and prospects (II). Pet. Explor. Dev. 2016, 43, 182–196. [Google Scholar] [CrossRef]
- Curtis, J.B. Fractured shale-gas systems. AAPG Bull. 2002, 86, 1921–1938. [Google Scholar] [CrossRef]
- Loucks, R.G.; Reed, R.M.; Ruppel, S.C.; Jarvie, D.M. Morphology, genesis, and distribution of nanometer-scale pores in siliceous mudstones of the Mississippian Barnett Shale. J. Sediment. Res. 2009, 79, 848–861. [Google Scholar] [CrossRef]
- Loucks, R.G.; Reed, R.M.; Ruppel, S.C.; Hammes, U. Spectrum of pore types and networks in mudrocks and a descriptive classification for matrix-related mudrock pores. AAPG Bull. 2012, 96, 1071–1098. [Google Scholar] [CrossRef]
- Slatt, R.M.; O’Brien, N.R. Pore types in the Barnett and Woodford gas shales: Contribution to understanding gas storage and migration pathways in fine-grained rocks. AAPG Bull. 2011, 95, 2017–2030. [Google Scholar] [CrossRef]
- Chalmers, G.R.L.; Bustin, R.M.; Power, I.M. Characterization of gas shale pore systems by porosimetry, pycnometry, surface area, and field emission scanning electron microscopy/transmission electron microscopy image analyses: Examples from the Barnett, Woodford, Haynesville, Marcellus, and Doig units. AAPG Bull. 2012, 96, 1099–1119. [Google Scholar] [CrossRef]
- Wang, P.F.; Jiang, Z.X.; Chen, L.; Yin, L.S.; Li, Z.; Zhang, C.; Tang, X.L.; Wang, G.Z. Pore structure characterization for the Longmaxi and Niutitang shales in the Upper Yangtze Platform, South China: Evidence from focused ion beam-He ion microscopy, nano-computerized tomography and gas adsorption analysis. Mar. Pet. Geol. 2016, 77, 1323–1337. [Google Scholar] [CrossRef]
- Yang, R.; He, S.; Yi, J.Z.; Hu, Q.H. Nano-scale pore structure and fractal dimension of organic-rich Wufeng-Longmaxi shale from Jiaoshiba area, Sichuan Basin: Investigations using FE-SEM, gas adsorption and helium pycnometry. Mar. Pet. Geol. 2016, 70, 27–45. [Google Scholar] [CrossRef]
- Chen, L.; Jiang, Z.X.; Liu, Q.X.; Jiang, S.; Liu, K.Y.; Tan, J.Q.; Gao, F.L. Mechanism of shale gas occurrence: Insights from comparative study on pore structures of marine and lacustrine shales. Mar. Pet. Geol. 2019, 104, 200–216. [Google Scholar] [CrossRef]
- Li, Y.; Wang, Z.S.; Pan, Z.J.; Niu, X.L.; Yu, Y.; Meng, S.Z. Pore structure and its fractal dimensions of transitional shale: A cross-section from east margin of the Ordos Basin, China. Fuel 2019, 241, 417–431. [Google Scholar] [CrossRef]
- Ma, X.; Guo, S.B.; Shi, D.S.; Zhou, Z.; Liu, G.H. Investigation of pore structure and fractal characteristics of marine-continental transitional shales from Longtan Formation using MICP, gas adsorption, and NMR (Guizhou, China). Mar. Pet. Geol. 2019, 107, 555–571. [Google Scholar] [CrossRef]
- Xu, S.; Gou, Q.Y.; Hao, F.; Zhang, B.Q.; Shu, Z.G.; Lu, Y.B.; Wang, Y.X. Shale pore structure characteristics of the high and low productivity wells, Jiaoshiba shale gas field, Sichuan Basin, China: Dominated by lithofacies or preservation condition? Mar. Pet. Geol. 2020, 114, 104211. [Google Scholar] [CrossRef]
- Wang, P.F.; Jiang, Z.X.; Yin, L.S.; Chen, L.; Li, Z.; Zhang, C.; Li, T.W.; Huang, P. Lithofacies classification and its effect on pore structure of the Cambrian marine shale in the Upper Yangtze Platform, South China: Evidence from FE-SEM and gas adsorption analysis. J. Pet. Sci. Eng. 2017, 156, 307–321. [Google Scholar] [CrossRef]
- Li, Y.F.; Schieber, J.; Fan, T.L.; Wei, X.J. Pore characterization and shale facies analysis of the Ordovian-Silurian transition of northern Guizhou, South China: The controls of shale facies on pore distribution. Mar. Pet. Geol. 2018, 92, 697–718. [Google Scholar] [CrossRef]
- Yang, W.; Zuo, R.S.; Jiang, Z.X.; Chen, D.X.; Song, Y.; Luo, Q.; Wang, Q.Y.; Zhu, H.J. Effect of lithofacies on pore structure and new insights into pore-preserving mechanisms of the over-mature Qiongzhusi marine shales in Lower Cambrian of the southern Sichuan Basin, China. Mar. Pet. Geol. 2018, 98, 746–762. [Google Scholar] [CrossRef]
- Zhang, L.C.; Lu, S.F.; Jiang, S.; Xiao, D.S.; Chen, L.; Liu, Y.; Zhang, Y.Y.; Li, B.; Gong, C. Effect of shale lithofacies on pore structure of the Wufeng-Longmaxi shale in Southeast Chongqing, China. Energy Fuels 2018, 32, 6603–6618. [Google Scholar] [CrossRef]
- Wang, X.M.; Liu, L.F.; Wang, Y.; Sheng, Y.; Zheng, S.S.; Wu, W.W.; Luo, Z.H. Comparison of the pore structures of Lower Silurian Longmaxi Formation shales with different lithofacies in the southern Sichuan Basin, China. J. Nat. Gas Sci. Eng. 2020, 81, 103419. [Google Scholar] [CrossRef]
- Yang, W.; He, S.; Iglauer, S.; Guo, X.W.; Zhai, G.Y.; Zhou, Z.; Dong, T.; Tao, Z.; Wei, S.L. Porosity characteristics of different lithofacies in marine shale: A case study of Neoproterozoic Sinian Doushantuo formation in Yichang area, China. J. Pet. Sci. Eng. 2020, 187, 106856. [Google Scholar] [CrossRef]
- Wu, L.Y.; Lu, Y.B.; Jiang, S.; Lu, Y.C.; Liu, X.F.; Hu, H.Y. Pore structure characterization of different lithofacies in marine shale: A case study of the Upper Ordovician Wufeng-Lower Silurian Longmaxi formation in the Sichuan Basin, SW China. J. Nat. Gas Sci. Eng. 2018, 57, 203–215. [Google Scholar] [CrossRef]
- Guo, X.W.; Qin, Z.J.; Yang, R.; Dong, T.; He, S.; Hao, F.; Yi, J.Z.; Shu, Z.G.; Bao, H.Y.; Liu, K.Y. Comparison of pore systems of clay-rich and silica-rich gas shales in the lower Silurian Longmaxi formation from the Jiaoshiba area in the eastern Sichuan Basin, China. Mar. Pet. Geol. 2019, 101, 265–280. [Google Scholar] [CrossRef]
- Yang, F.; Xu, S.; Hao, F.; Hu, B.Y.; Zhang, B.Q.; Shu, Z.G.; Long, S.Y. Petrophysical characteristics of shales with different lithofacies in Jiaoshiba area, Sihuan Basin, China: Implications for shale gas accumulation mechanism. Mar. Pet. Geol. 2019, 109, 394–407. [Google Scholar] [CrossRef]
- Pan, L.; Xiao, X.M.; Tian, H.; Zhou, Q.; Cheng, P. Geological models of gas in place of the Longmaxi shale in Southeast Chongqing, South China. Mar. Pet. Geol. 2016, 73, 433–444. [Google Scholar] [CrossRef]
- Guo, T.L.; Zhang, H.R. Formation and enrichment mode of Jiaoshiba shale gas field, Sichuan Basin. Pet. Explor. Dev. 2014, 41, 31–40. [Google Scholar] [CrossRef]
- Yi, J.Z.; Bao, H.Y.; Zheng, A.W.; Zhang, B.Q.; Shu, Z.G.; Li, J.Q.; Wang, C. Main factors controlling marine shale gas enrichment and high-yield wells in South China: A case study of the Fuling shale gas field. Mar. Pet. Geol. 2019, 103, 114–125. [Google Scholar] [CrossRef]
- Guo, X.S.; Hu, D.F.; Li, Y.P.; Liu, R.B.; Wang, Q.B. Geological features and reservoiring mode of shale gas reservoirs in Longmaxi Formation of the Jiaoshiba area. Acta Geol. Sin. 2014, 88, 1811–1821. [Google Scholar] [CrossRef]
- Huang, H.Y.; He, D.F.; Li, Y.Q.; Li, J.; Zhang, L. Silurian tectonic-sedimentary setting and basin evolution in the Sichuan area, southwest China: Implications for palaeogeographic reconstructions. Mar. Pet. Geol. 2018, 92, 403–423. [Google Scholar] [CrossRef]
- Li, Y.F.; Zhang, T.W.; Ellis, G.S.; Shao, D.Y. Depositional environment and organic matter accumulation of Upper Ordovician-Lower Silurian marine shale in the Upper Yangtze Platform, South China. Palaeogeogr. Palaeoclimatol. Palaeoecol. 2017, 466, 252–264. [Google Scholar] [CrossRef]
- Pfeifer, P.; Avnir, D. Chemistry in noninteger dimensions between two and three. 1. Fractal theory of heterogeneous surfaces. J. Chem. Phys. 1983, 79, 3558–3565. [Google Scholar] [CrossRef]
- Avnir, D.; Jaroniec, M. An isotherm equation for adsorption on fractal surfaces of heterogeneous porous materials. Langmuir 1989, 5, 1431–1433. [Google Scholar] [CrossRef]
- Gasparik, M.; Ghanizadeh, A.; Bertier, P.; Gensterblum, Y.; Bouw, S.; Krooss, B.M. High-pressure methane sorption isotherms of black shales from the Netherlands. Energy Fuels 2012, 26, 4995–5004. [Google Scholar] [CrossRef]
- Gasparik, M.; Bertier, P.; Gensterblum, Y.; Ghanizadeh, A.; Krooss, B.M.; Littke, R. Geological controls on the methane storage capacity in organic-rich shales. Int. J. Coal Geol. 2014, 123, 34–51. [Google Scholar] [CrossRef]
- Rexer, T.F.; Benham, M.J.; Aplin, A.C.; Thomas, K.M. Methane adsorption on shale under simulated geological temperature and pressure conditions. Energy Fuels 2013, 27, 3099–3109. [Google Scholar] [CrossRef]
- Rexer, T.F.; Mathia, E.J.; Aplin, A.C.; Thomas, K.M. High-Pressure methane adsorption and characterization of pores in Posidonia shales and isolated kerogens. Energy Fuels 2014, 28, 2886–2901. [Google Scholar] [CrossRef]
- Tan, J.Q.; Weniger, P.; Krooss, B.; Merkel, A.; Horsfield, B.; Zhang, J.C.; Boreham, C.J.; Graas, G.V.; Tocher, B.A. Shale gas potential of the major marine shale formations in the Upper Yangtze Platform, South China, Part II: Methane sorption capacity. Fuel 2014, 129, 204–218. [Google Scholar] [CrossRef]
- Tian, H.; Li, T.F.; Zhang, T.W.; Xiao, X.M. Characterization of methane adsorption on overmature Lower Silurian-Upper Ordovician shales in Sichuan Basin, southwest China: Experimental results and geological implications. Int. J. Coal Geol. 2016, 156, 36–49. [Google Scholar] [CrossRef]
- Wu, L.Y.; Hu, D.F.; Lu, Y.C.; Liu, R.B.; Liu, X.F. Advantageous shale lithofacies of Wufeng Formation-Longmaxi Formation in Fuling gas field of Sichuan Basin, SW China. Pet. Explor. Dev. 2016, 43, 208–217. [Google Scholar] [CrossRef]
- Ross, D.J.K.; Bustin, R.M. Shale gas potential of the Lower Jurassic Gordondale Member, northeastern British Columbia, Canada. Bull. Can. Pet. Geol. 2007, 55, 51–75. [Google Scholar] [CrossRef]
- Allan, A.M.; Vanorio, T.; Dahl, J.E.P. Pyrolysis-induced P-wave velocity anisotropy in organic-rich shales. Geophysics 2014, 79, 41–53. [Google Scholar] [CrossRef]
- Guo, X.S.; Hu, D.F.; Wei, X.F.; Li, Y.P. Main controlling factors on shale fractures and their influences on production capacity in Jiaoshiba area, the Sichuan Basin. Oil Gas Geol. 2016, 37, 799–808, (in Chinese with English abstract). [Google Scholar]
- Wang, X.M.; Jiang, Z.X.; Wang, S.C.; Chen, L.; Wei, K.; Gao, F.L. Characteristics of natural fractures in shale and their control effect on shale gas accumulation and development. Sci. Technol. Eng. 2018, 18, 34–42, (in Chinese with English abstract). [Google Scholar]
- Sing, K.S.W. Reporting physisorption data for gas/solid systems with special reference to the determination of surface area and porosity. Pure Appl. Chem. 1985, 57, 603–619. [Google Scholar] [CrossRef]
- Gregg, S.J.; Sing, K.S.W. Adsorption, Surface Area, and Porosity, 2nd ed.; Academic Press: New York, NY, USA, 1982. [Google Scholar]
- Thommes, M.; Kaneko, K.; Neimark, A.V.; Olivier, J.P.; Rodriguez-Reinoso, F.; Rouquerol, J.; Sing, K.S.W. Physisorption of gases, with special reference to the evaluation of surface area and pore size distribution (IUPAC Technical Report). Pure Appl. Chem. 2015, 87, 1051–1069. [Google Scholar] [CrossRef]
- Wang, Y.; Liu, L.F.; Zheng, S.S.; Luo, Z.H.; Sheng, Y.; Wang, X.M. Full-scale pore structure and its controlling factors of the Wufeng-Longmaxi shale, southern Sichuan Basin, China: Implications for pore evolution of highly overmature marine shale. J. Nat. Gas Sci. Eng. 2019, 67, 134–146. [Google Scholar] [CrossRef]
- Yang, F.; Ning, Z.F.; Liu, H.Q. Fractal characteristics of shales from a shale gas reservoir in the Sichuan Basin, China. Fuel 2014, 115, 378–384. [Google Scholar] [CrossRef]
- Liu, X.J.; Xiong, J.; Liang, L.X. Investigation of pore structure and fractal characteristics of organic-rich Yanchang formation shale in central China by nitrogen adsorption/desorption analysis. J. Nat. Gas Sci. Eng. 2015, 22, 62–72. [Google Scholar] [CrossRef]
- Sun, W.J.B.; Zuo, Y.J.; Wang, S.Y.; Wu, Z.H.; Liu, H.; Zheng, L.J.; Luo, Y.L. Pore structures of shale cores in different tectonic locations in the complex tectonic region: A case study of the Niutitang Formation in Northern Guizhou, Southwest China. J. Nat. Gas Sci. Eng. 2020, 80, 103398. [Google Scholar] [CrossRef]
- Zhang, X.M.; Shi, W.Z.; Hu, Q.H.; Zhai, G.Y.; Wang, R.; Xu, X.F.; Meng, F.L.; Liu, Y.Z.; Bai, L.H. Developmental characteristics and controlling factors of natural fractures in the lower paleozoic marine shales of the upper Yangtze Platform, southern China. J. Nat. Gas Sci. Eng. 2020, 76, 103191. [Google Scholar] [CrossRef]
- Zhang, X.M.; Wang, R.; Shi, W.Z.; Hu, Q.H.; Xu, X.F.; Shu, Z.G.; Yang, Y.; Feng, Q. Structure- and lithofacies-controlled natural fracture developments in shale: Implications for shale gas accumulation in the Wufeng-Longmaxi Formations, Fuling Field, Sichuan Basin, China. Geoenergy Sci. Eng. 2023, 223, 211572. [Google Scholar] [CrossRef]
- Gou, Q.Y.; Xu, S.; Hao, F.; Yang, F.; Shu, Z.G.; Liu, R. The effect of tectonic deformation and preservation condition on the shale pore structure using adsorption-based textural quantification and 3D image observation. Energy 2021, 219, 119579. [Google Scholar] [CrossRef]
- Bernard, S.; Wirth, R.; Schreiber, A.; Schulz, H.M.; Horsfield, B. Formation of nanoporous pyrobitumen residues during maturation of the Barnett Shale (Fort Worth Basin). Int. J. Coal Geol. 2012, 103, 3–11. [Google Scholar] [CrossRef]
- Curtis, M.E.; Cardott, B.J.; Sondergeld, C.H.; Rai, C.S. Development of organic porosity in the Woodford Shale with increasing thermal maturity. Int. J. Coal Geol. 2012, 103, 26–31. [Google Scholar] [CrossRef]
- Chen, J.; Xiao, X.M. Evolution of nanoporosity in organic-rich shales during thermal maturation. Fuel 2014, 129, 173–181. [Google Scholar] [CrossRef]
- Pommer, M.; Milliken, K. Pore types and pore-size distributions across thermal maturity, Eagle Ford Formation, southern Texas. AAPG Bull. 2015, 99, 1713–1744. [Google Scholar] [CrossRef]
- Ko, L.T.; Loucks, R.G.; Zhang, T.W.; Ruppel, S.C.; Shao, D.Y. Pore and pore network evolution of Upper Cretaceous Boquillas (Eagle Ford-equivalent) mudrocks: Results from gold tube pyrolysis experiments. AAPG Bull. 2016, 100, 1693–1722. [Google Scholar] [CrossRef]
- Zhang, T.W.; Ellis, G.S.; Ruppel, S.C.; Milliken, K.; Yang, R.S. Effect of organic-matter type and thermal maturity on methane adsorption in shale-gas systems. Org. Geochem. 2012, 47, 120–131. [Google Scholar] [CrossRef]
- Hao, F.; Zou, H.Y.; Lu, Y.C. Mechanisms of shale gas storage: Implications for shale gas exploration in China. AAPG Bull. 2013, 97, 1325–1346. [Google Scholar] [CrossRef]
- Chalmers, G.R.L.; Bustin, R.M. The organic matter distribution and methane capacity of the Lower Cretaceous strata of Northeastern British Columbia, Canada. Int. J. Coal Geol. 2007, 70, 223–239. [Google Scholar] [CrossRef]
- Chalmers, G.R.L.; Bustin, R.M. Lower Cretaceous gas shales in northeastern British Columbia, Part I: Geological controls on methane sorption capacity. Bull. Can. Pet. Geol. 2008, 56, 1–21. [Google Scholar] [CrossRef]
- Wang, S.B.; Song, Z.G.; Cao, T.T.; Song, X. The methane sorption capacity of Paleozoic shales from the Sichuan Basin, China. Mar. Pet. Geol. 2013, 44, 112–119. [Google Scholar] [CrossRef]
- Ji, W.M.; Song, Y.; Jiang, Z.X.; Wang, X.Z.; Bai, Y.Q.; Xing, J.Y. Geological controls and estimation algorithms of lacustrine shale gas adsorption capacity: A case study of the Triassic strata in the southeastern Ordos Basin, China. Int. J. Coal Geol. 2014, 134–135, 61–73. [Google Scholar] [CrossRef]
- Ross, D.J.K.; Bustin, R.M. Characterizing the shale gas resource potential of Devonian-Mississippian strata in the Western Canada sedimentary basin: Application of an integrated formation evaluation. AAPG Bull. 2008, 92, 87–125. [Google Scholar] [CrossRef]
- Ross, D.J.K.; Bustin, R.M. The importance of shale composition and pore structure upon gas storage potential of shale gas reservoirs. Mar. Pet. Geol. 2009, 26, 916–927. [Google Scholar] [CrossRef]
- Ji, L.M.; Zhang, T.W.; Milliken, K.L.; Qu, J.L.; Zhang, X.L. Experimental investigation of main controls to methane adsorption in clay-rich rocks. Appl. Geochem. 2012, 27, 2533–2545. [Google Scholar] [CrossRef]
- Liu, D.; Yuan, P.; Liu, H.M.; Li, T.; Tan, D.Y.; Yuan, W.W.; He, H.P. High-pressure adsorption of methane on montmorillonite, kaolinite and illite. Appl. Clay Sci. 2013, 85, 25–30. [Google Scholar] [CrossRef]
- Chen, S.B.; Han, Y.F.; Fu, C.Q.; Zhang, H.; Zhu, Y.M.; Zuo, Z.X. Micro and nano-size pores of clay minerals in shale reservoirs: Implications for the accumulation of shale gas. Sediment. Geol. 2016, 342, 180–190. [Google Scholar] [CrossRef]
- Dong, T.; Harris, N.B.; Ayranci, K.; Twemlow, C.E.; Nassichuk, B.R. The impact of composition on pore throat size and permeability in high maturity shales: Middle and Upper Devonian Horn River Group, northeastern British Columbia, Canada. Mar. Pet. Geol. 2017, 81, 220–236. [Google Scholar] [CrossRef]
- Mosher, K.; He, J.J.; Liu, Y.Y.; Rupp, E.; Wilcox, J. Molecular simulation of methane adsorption in micro- and mesoporous carbons with applications to coal and gas shale systems. Int. J. Coal Geol. 2013, 109–110, 36–44. [Google Scholar] [CrossRef]



















| Well | Sample ID | Depth (m) | TOC (%) | Minerals (%) | Lithofacies | |||||
|---|---|---|---|---|---|---|---|---|---|---|
| Quartz | Feldspar | Calcite | Dolomite | Pyrite | Total Clays | |||||
| JYA | JYA-1 | 2271.72 | 0.71 | 34.9 | 5.1 | 0.0 | 0.0 | 2.0 | 58.0 | OL CM-1 |
| JYA-2 | 2277.59 | 0.50 | 37.3 | 6.2 | 0.0 | 1.8 | 2.0 | 52.7 | OL CM-1 | |
| JYA-3 | 2293.85 | 1.31 | 34.5 | 6.7 | 4.2 | 3.9 | 0.0 | 50.7 | OL CM-1 | |
| JYA-4 | 2307.17 | 1.67 | 36.6 | 9.9 | 4.1 | 0.0 | 4.7 | 44.7 | OM M-2 | |
| JYA-5 | 2310.84 | 1.81 | 35.7 | 9.7 | 2.6 | 9.6 | 4.7 | 37.7 | OM M-2 | |
| JYA-6 | 2315.71 | 1.36 | 31.0 | 12.3 | 4.9 | 8.9 | 2.8 | 40.1 | OM M-2 | |
| JYA-7 | 2330.97 | 3.20 | 42.3 | 8.9 | 3.7 | 5.2 | 7.7 | 32.2 | OR S-3 | |
| JYA-8 | 2341.34 | 2.56 | 49.0 | 9.3 | 7.4 | 3.0 | 5.4 | 25.9 | OR S-3 | |
| JYA-9 | 2350.30 | 3.85 | 50.1 | 7.2 | 2.7 | 3.6 | 11.1 | 25.3 | OR S-3 | |
| JYB | JYB-1 | 2523.35 | 0.41 | 31.3 | 5.7 | 0.0 | 0.0 | 1.7 | 61.3 | OL CM-1 |
| JYB-2 | 2538.95 | 0.41 | 27.0 | 6.1 | 0.0 | 1.9 | 1.7 | 63.3 | OL CM-1 | |
| JYB-3 | 2543.47 | 0.98 | 32.2 | 8.1 | 2.2 | 0.0 | 1.9 | 55.6 | OL CM-1 | |
| JYB-4 | 2548.08 | 1.48 | 31.5 | 5.0 | 5.3 | 9.6 | 1.6 | 47.0 | OM M-2 | |
| JYB-5 | 2566.09 | 1.36 | 37.4 | 8.2 | 3.9 | 6.1 | 3.0 | 41.4 | OM M-2 | |
| JYB-6 | 2572.28 | 1.41 | 35.9 | 9.7 | 5.6 | 6.1 | 1.9 | 40.8 | OM M-2 | |
| JYB-7 | 2598.12 | 2.71 | 46.6 | 7.4 | 8.7 | 3.7 | 5.8 | 27.8 | OR S-3 | |
| JYB-8 | 2610.63 | 3.93 | 54.4 | 8.2 | 2.6 | 5.3 | 5.4 | 24.1 | OR S-3 | |
| JYB-9 | 2617.79 | 5.27 | 58.4 | 3.5 | 3.2 | 4.9 | 5.5 | 24.5 | OR S-3 | |
| Sample ID | PVs | Lithofacies | ||||||
|---|---|---|---|---|---|---|---|---|
| MIP (cm3/g) | Percentage (%) | MEP (cm3/g) | Percentage (%) | MAP (cm3/g) | Percentage (%) | TP (cm3/g) | ||
| JYA-1 | 0.00575 | 27.91 | 0.00800 | 38.81 | 0.00686 | 33.28 | 0.02062 | OL CM-1 |
| JYA-2 | 0.00665 | 28.04 | 0.00914 | 38.55 | 0.00792 | 33.41 | 0.02370 | OL CM-1 |
| JYA-3 | 0.00898 | 31.09 | 0.01400 | 48.46 | 0.00591 | 20.45 | 0.02889 | OL CM-1 |
| JYB-1 | 0.00415 | 23.09 | 0.00561 | 31.22 | 0.00821 | 45.69 | 0.01797 | OL CM-1 |
| JYB-2 | 0.00730 | 28.33 | 0.00895 | 34.73 | 0.00952 | 36.94 | 0.02577 | OL CM-1 |
| JYB-3 | 0.00838 | 34.56 | 0.01067 | 44.00 | 0.00520 | 21.44 | 0.02425 | OL CM-1 |
| JYA-4 | 0.00669 | 28.94 | 0.01037 | 44.86 | 0.00606 | 26.20 | 0.02312 | OM M-2 |
| JYA-5 | 0.00775 | 32.01 | 0.01058 | 43.66 | 0.00589 | 24.32 | 0.02422 | OM M-2 |
| JYA-6 | 0.00745 | 30.50 | 0.01015 | 41.55 | 0.00683 | 27.95 | 0.02442 | OM M-2 |
| JYB-4 | 0.00920 | 33.43 | 0.01165 | 42.33 | 0.00667 | 24.24 | 0.02752 | OM M-2 |
| JYB-5 | 0.00761 | 31.51 | 0.01012 | 41.90 | 0.00642 | 26.58 | 0.02415 | OM M-2 |
| JYB-6 | 0.00664 | 29.38 | 0.00849 | 37.57 | 0.00747 | 33.05 | 0.02260 | OM M-2 |
| JYA-7 | 0.01038 | 32.28 | 0.01417 | 44.07 | 0.00760 | 23.65 | 0.03216 | OR S-3 |
| JYA-8 | 0.00916 | 28.91 | 0.01319 | 41.63 | 0.00933 | 29.46 | 0.03168 | OR S-3 |
| JYA-9 | 0.01022 | 31.82 | 0.01443 | 44.93 | 0.00747 | 23.25 | 0.03211 | OR S-3 |
| JYB-7 | 0.00811 | 26.65 | 0.01158 | 38.05 | 0.01074 | 35.29 | 0.03043 | OR S-3 |
| JYB-8 | 0.00881 | 30.83 | 0.01373 | 48.04 | 0.00604 | 21.13 | 0.02858 | OR S-3 |
| JYB-9 | 0.00958 | 32.30 | 0.01482 | 49.97 | 0.00526 | 17.73 | 0.02966 | OR S-3 |
| Sample ID | PSAs | Lithofacies | ||||||
|---|---|---|---|---|---|---|---|---|
| MIP (m2/g) | Percentage (%) | MEP (m2/g) | Percentage (%) | MAP (m2/g) | Percentage (%) | TP (m2/g) | ||
| JYA-1 | 16.683 | 75.60 | 5.149 | 23.33 | 0.235 | 1.06 | 22.068 | OL CM-1 |
| JYA-2 | 19.141 | 74.30 | 6.366 | 24.71 | 0.254 | 0.99 | 25.761 | OL CM-1 |
| JYA-3 | 25.572 | 71.84 | 9.803 | 27.54 | 0.222 | 0.62 | 35.597 | OL CM-1 |
| JYB-1 | 11.642 | 77.41 | 3.131 | 20.82 | 0.266 | 1.77 | 15.039 | OL CM-1 |
| JYB-2 | 20.196 | 76.65 | 5.873 | 22.29 | 0.278 | 1.06 | 26.347 | OL CM-1 |
| JYB-3 | 23.722 | 76.37 | 7.163 | 23.06 | 0.175 | 0.56 | 31.060 | OL CM-1 |
| JYA-4 | 18.885 | 72.62 | 6.902 | 26.54 | 0.218 | 0.84 | 26.006 | OM M-2 |
| JYA-5 | 22.415 | 75.69 | 6.979 | 23.57 | 0.222 | 0.75 | 29.616 | OM M-2 |
| JYA-6 | 21.084 | 75.28 | 6.696 | 23.91 | 0.229 | 0.82 | 28.009 | OM M-2 |
| JYB-4 | 26.581 | 76.45 | 7.967 | 22.91 | 0.223 | 0.64 | 34.771 | OM M-2 |
| JYB-5 | 22.032 | 75.66 | 6.874 | 23.60 | 0.215 | 0.74 | 29.121 | OM M-2 |
| JYB-6 | 19.184 | 76.17 | 5.769 | 22.90 | 0.234 | 0.93 | 25.187 | OM M-2 |
| JYA-7 | 29.400 | 74.75 | 9.663 | 24.57 | 0.267 | 0.68 | 39.330 | OR S-3 |
| JYA-8 | 25.602 | 74.08 | 8.654 | 25.04 | 0.306 | 0.89 | 34.562 | OR S-3 |
| JYA-9 | 30.060 | 75.38 | 9.540 | 23.92 | 0.279 | 0.70 | 39.879 | OR S-3 |
| JYB-7 | 23.542 | 74.16 | 7.906 | 24.90 | 0.297 | 0.94 | 31.745 | OR S-3 |
| JYB-8 | 26.435 | 74.54 | 8.818 | 24.87 | 0.210 | 0.59 | 35.463 | OR S-3 |
| JYB-9 | 27.062 | 75.97 | 8.375 | 23.51 | 0.186 | 0.52 | 35.623 | OR S-3 |
| Sample ID | D1 (P/P0 < 0.45) | Coefficient (R2) | D2 (P/P0 > 0.45) | Coefficient (R2) | Lithofacies |
|---|---|---|---|---|---|
| JYA-1 | 2.5755 | 0.9992 | 2.7663 | 0.9978 | OL CM-1 |
| JYA-2 | 2.5948 | 0.9980 | 2.7980 | 0.9912 | OL CM-1 |
| JYA-3 | 2.5994 | 0.9964 | 2.8335 | 0.9934 | OL CM-1 |
| JYB-1 | 2.5339 | 0.9988 | 2.6786 | 0.9929 | OL CM-1 |
| JYB-2 | 2.6094 | 0.9973 | 2.7822 | 0.9902 | OL CM-1 |
| JYB-3 | 2.6122 | 0.9932 | 2.8300 | 0.9933 | OL CM-1 |
| JYA-4 | 2.5771 | 0.9967 | 2.8025 | 0.9979 | OM M-2 |
| JYA-5 | 2.6332 | 0.9924 | 2.8201 | 0.9981 | OM M-2 |
| JYA-6 | 2.6196 | 0.9949 | 2.8086 | 0.9989 | OM M-2 |
| JYB-4 | 2.6313 | 0.9917 | 2.8330 | 0.9974 | OM M-2 |
| JYB-5 | 2.6007 | 0.9954 | 2.8141 | 0.9984 | OM M-2 |
| JYB-6 | 2.6049 | 0.9958 | 2.8028 | 0.9935 | OM M-2 |
| JYA-7 | 2.6194 | 0.9922 | 2.8293 | 0.9959 | OR S-3 |
| JYA-8 | 2.6057 | 0.9922 | 2.8063 | 0.9953 | OR S-3 |
| JYA-9 | 2.6222 | 0.9917 | 2.8217 | 0.9964 | OR S-3 |
| JYB-7 | 2.5878 | 0.9928 | 2.8085 | 0.9884 | OR S-3 |
| JYB-8 | 2.6343 | 0.9879 | 2.8361 | 0.9825 | OR S-3 |
| JYB-9 | 2.6482 | 0.9881 | 2.8925 | 0.9573 | OR S-3 |
Disclaimer/Publisher’s Note: The statements, opinions and data contained in all publications are solely those of the individual author(s) and contributor(s) and not of MDPI and/or the editor(s). MDPI and/or the editor(s) disclaim responsibility for any injury to people or property resulting from any ideas, methods, instructions or products referred to in the content. |
© 2026 by the authors. Licensee MDPI, Basel, Switzerland. This article is an open access article distributed under the terms and conditions of the Creative Commons Attribution (CC BY) license.
Share and Cite
Zhang, X.; Han, C.; Chen, L.; Wang, J.; Shi, W.; Shu, Z.; Zhang, X.; Chen, H.; Meng, L.; Liu, Y. Comparative Study on Pore Characteristics and Methane Adsorption Capacity of the Lower Silurian Longmaxi Shales with Different Lithofacies. Fractal Fract. 2026, 10, 154. https://doi.org/10.3390/fractalfract10030154
Zhang X, Han C, Chen L, Wang J, Shi W, Shu Z, Zhang X, Chen H, Meng L, Liu Y. Comparative Study on Pore Characteristics and Methane Adsorption Capacity of the Lower Silurian Longmaxi Shales with Different Lithofacies. Fractal and Fractional. 2026; 10(3):154. https://doi.org/10.3390/fractalfract10030154
Chicago/Turabian StyleZhang, Xiaoming, Changcheng Han, Lanpu Chen, Jian Wang, Wanzhong Shi, Zhiguo Shu, Xiaomei Zhang, Hao Chen, Lin Meng, and Yuzuo Liu. 2026. "Comparative Study on Pore Characteristics and Methane Adsorption Capacity of the Lower Silurian Longmaxi Shales with Different Lithofacies" Fractal and Fractional 10, no. 3: 154. https://doi.org/10.3390/fractalfract10030154
APA StyleZhang, X., Han, C., Chen, L., Wang, J., Shi, W., Shu, Z., Zhang, X., Chen, H., Meng, L., & Liu, Y. (2026). Comparative Study on Pore Characteristics and Methane Adsorption Capacity of the Lower Silurian Longmaxi Shales with Different Lithofacies. Fractal and Fractional, 10(3), 154. https://doi.org/10.3390/fractalfract10030154

