Climate Change and Cities of Lithuania: Threats, Problems and Prerequisites for Solution
Abstract
1. Introduction
2. Materials and Methods
3. Results
3.1. Global Climate Change
3.2. Climate Change in the Baltic Sea Region and Lithuania
3.3. Extreme Climate Change Phenomena in Lithuania and Their Impacts on People and the Living and Natural Environments
3.4. Preparation of Cities to Mitigate Risks Posed by Climate Change and Other Potential Threats to People and Urban and Natural Environments
4. Discussion
Questions and Premises for Improvement of Urban Structure, Considering the Dangers of Climate Change and Other Potential Threats
5. Conclusions
- In recent decades, key climate change indicators have reached record highs, with a growing trend. It is projected that global warming will continue to intensify in the near future (by 2040) and is likely to not only reach but potentially exceed the 1.5 °C threshold. Considering the climate response scenarios for GHG emissions, the most likely climate warming projections for 2081–2100 are 1.4 °C under the low GHG emissions scenario (SSP1–1.9), up to 2.7 °C under the intermediate GHG emissions scenario (SSP2–4.5) and 4.4 °C under the very high GHG emissions scenario (SSP5–8.5). Projections indicate that neglecting GHG emissions could lead to catastrophic consequences for the entire Earth, making it essential to pursue the lowest warming scenario to avoid these outcomes.
- According to various climate change scenarios, by the end of the twenty-first century, the temperatures in the Baltic region will rise more than the global average temperature due to significant warming during the winter season. It is expected that, by the end of the twenty-first century, the winter temperatures will be 3–9 °C higher and the summer temperatures will be 1.5–6.0 °C higher compared to the end of the twentieth century. This will result in a series of other climatic phenomena changes, including increased precipitation frequencies, more hot and tropical nights and others. These climatic factors will significantly affect the quality of the living environment, depending on how cities are prepared to adapt to the emerging climate challenges.
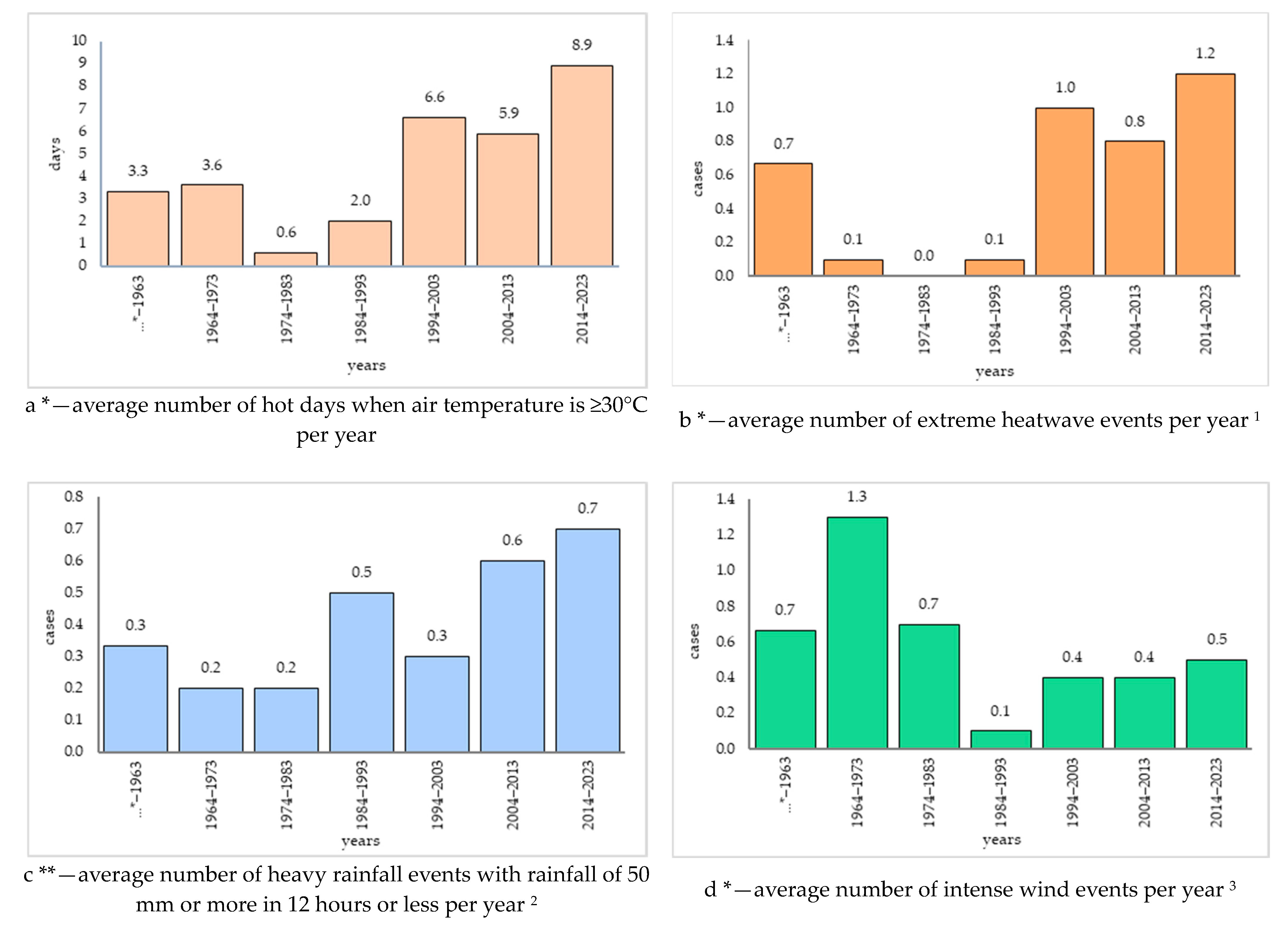
- Extreme climate phenomena—heatwaves, sudden and intense precipitation and storms—can be identified as major events that frequently pose the greatest risks and cause natural disasters in the country. The analysis of the period from 1961 to 2023 in Lithuania shows a trend of increasing heatwaves—more days with prolonged heat and the intensified recurrence of these events. Intensifying heatwaves are accompanied by an increase in heavy precipitation cases, often resulting in particularly dangerous storms. Due to the warming climate and increasing precipitation, the likelihood of spring floods is expected to decrease, while the number of floods caused by heavy rainfall is expected to rise significantly.
- Catastrophic climate change, war, pandemics and other threats differ in nature, but their destructive impacts on urban areas, the environment and people are quite similar. Therefore, the measures and infrastructure for protection against these threats are analogous. This requires a green space near residential areas with safety equipment that is not only intended for protection against these threats but also can be used for residents’ leisure, recreation and social interaction.
- It has been established that there is a lack of preparation in the country’s cities to mitigate the dangers posed by these threats. Urban planning in the country’s cities, rational land use, the creation of green spaces and the protection of natural areas from development are not being carried out. In addition, the drafting of legislation in this area and the supervision and control of its implementation by central authorities (the functions of the Ministry of the Environment) are also absent.
- Therefore, municipalities, as the primary implementers of laws and projects, operate according to their own ‘provisions’ in the absence of state oversight, with the main goal of preparing as many plots for construction as possible. As a result, there is the unreasonable allocation of land, disregarding legally protected and valuable natural areas, floodplains, water protection zones and so on. This substantially reduces or eliminates opportunities to combat climate change.
- As the country’s municipalities are undergoing an uncontrolled, unjustified urbanization process, overdeveloping agrarian and valuable natural areas, this is reducing the landscape’s resilience to the adverse effects of climate change. It is therefore essential that such indiscriminate development be stopped and that privatized sites of particular conservation value be expropriated. Moreover, urban areas should not be divided into separate plots or blocks, which cannot individually provide adequate living, recreation, activity and safety conditions.
- Given the existing and potential future threats, urban planning should follow different urban principles. Instead of separate districts, cities should be planned as sustainable structural complexes, integrated units connected by public transport links to the entire city. Such a structural urban unit would consist of groups of building blocks, combined into a whole with green spaces containing recreational and social areas, as well as protective infrastructure capable of safeguarding all residents of such a structural urban unit. The implementation of such sustainable urban structures would create conditions for the development of socially, ecologically and economically viable future cities, protected from existing and potential future threats.
Author Contributions
Funding
Data Availability Statement
Conflicts of Interest
Abbreviations
| SCN | standard climate normals |
| CMIP | Coupled Model Intercomparison Project |
| RCP | Representative Concentration Pathway |
| GCM | global climate model |
| RCM | regional climate model |
| LHMS | Lithuanian Hydrometeorological Service |
| FRD | Fire Rescue Department under the Ministry of the Interior of the Republic of Lithuania |
| WMO | World Meteorological Organisation |
| COP | UN Climate Change Conference |
| UNFCCC | United Nations Framework Convention on Climate Change |
| IPCC | Intergovernmental Panel on Climate Change |
| GHG | greenhouse gas |
| SSP | shared socioeconomic pathways |
| RSL | relative sea level |
| CN | climate normals |
References
- Fourier, J. Remarques Generales sur les Temperatures Du Globe Terrestre et des Espaces Planetaires. Ann. Chim. Phys. 1824, 27, 136–167, Archived from the Original. 2020. Available online: https://www.academie-sciences.fr/pdf/dossiers/Fourier/Fourier_pdf/Mem1827_p569_604.pdf (accessed on 27 January 2024). (In French).
- Esper, J.; Smerdon, J.E.; Anchukaitis, K.J.; Allen, K.; Cook, E.R.; D’Arrigo, R.; Guillet, S.; Ljungqvist, F.C.; Reinig, F.; Schneider, L.; et al. The IPCC’s reductive Common Era temperature history. Commun. Earth Environ. 2013, 5, 222. [Google Scholar] [CrossRef]
- McBean, G.; Ajibade, I. Climate change, related hazards and human settlements. Curr. Opin. Environ. Sustain. 2009, 1, 179–186. [Google Scholar] [CrossRef]
- Laino, E.; Iglesias, G. Extreme climate change hazards and impacts on European coastal cities: A review. Renew. Sustain. Energy Rev. 2003, 184, 113587. [Google Scholar] [CrossRef]
- Chirico, F. Spirituality to cope with COVID-19 pandemic, climate change and future global challenges. J. Health Soc. Sci. 2021, 6, 151–158. [Google Scholar]
- Gameiro, F.; Ferreira, P.; Faria, M. Association between social and emotional competencies and quality of life in the context of war, pandemic and climate change. Behav. Sci. 2023, 13, 249. [Google Scholar] [CrossRef]
- Kyoto Protocol to the United Nations Framework Convention on Climate Change; United Nations: San Francisco, CA, USA, 1998.
- Paris Agreement; United Nations: San Francisco, CA, USA, 2015.
- European Commission. Communication from the Commission to the European Parliament, the Council, the European Economic and Social Committee and the Committee of the Regions; Roadmap to a Resource Efficient Europe; Office for Official Publications of the European Communities: Brussels, Belgium, 2011. [Google Scholar]
- Decision No 1386/2013/EU of the European Parliament and of the Council of 20 November 2013 on a General Union Environment Action Programme to 2020 ‘Living Well, Within the Limits of Our Planet’. Available online: https://eur-lex.europa.eu/legal-content/EN/TXT/?uri=CELEX:32013D1386 (accessed on 27 January 2024).
- Communication from the Commission to the European Parliament, the Council, the European Economic and Social Committee and the Committee of the Regions. Managing Climate Risks—Protecting People and Prosperity; Office for Official Publications of the European Communities: Strasbourg, France, 2024; Available online: https://eur-lex.europa.eu/legal-content/EN/TXT/?uri=CELEX%3A52024DC0091 (accessed on 27 January 2024).
- Communication from the Commission. The European Green Deal; European Commision: Brussels, Belgium, 2019; COM(2019) 640 Final; Available online: https://eur-lex.europa.eu/legal-content/EN/TXT/?uri=CELEX%3A52019DC0640 (accessed on 21 August 2024).
- National Climate Change Management Policy Strategy, Adopted by Seimas of Republic of Lithuania on 6 November 2012, Amendment No XI-2375. Available online: https://e-seimas.lrs.lt/portal/legalAct/lt/TAD/TAIS.437284 (accessed on 9 August 2024).
- National Climate Change Management Agenda. Approved by Resolution No XIV-490 of the Seimas of the Republic of Lithuania of 30 June 2021. Available online: https://e-seimas.lrs.lt/portal/legalAct/lt/TAD/219a2632a6b311ecaf79c2120caf5094?jfwid=-56ckr0gcc (accessed on 21 August 2024).
- Republic of Lithuania Law on Climate Change Management. 9 July 2009; No XI-329. Available online: https://e-seimas.lrs.lt/portal/legalAct/lt/TAD/TAIS.349514/asr (accessed on 9 August 2024).
- Republic of Lithuania Law on Crisis Management and Civil Protection. 15 December 1998. No VIII-971, New Redaction from 2024-01-01. Available online: https://e-seimas.lrs.lt/portal/legalAct/lt/TAD/TAIS.69957/asr (accessed on 9 August 2024).
- Europe Sustainable Development Report 2021. Transforming the European Union to Achieve the Sustainable Development Goals. 2021 Sustainable Development Solutions Network and Institute for European Environmental Policy. Available online: https://s3.amazonaws.com/sustainabledevelopment.report/2021/Europe+Sustainable+Development+Report+2021.pdf (accessed on 1 October 2024).
- Pörtner, H.-O.; Roberts, D.C.; Poloczanska, E.S.; Mintenbeck, K.; Tignor, M.; Alegría, A.; Craig, M.; Langsdorf, S.; Löschke, S.; Möller, V.; et al. (Eds.) IPCC, 2022: Summary for Policymakers. In Climate Change 2022: Impacts, Adaptation and Vulnerability. Contribution of Working Group II to the Sixth Assessment Report of the Intergovernmental Panel on Climate Change; Cambridge University Press: Cambridge, UK; New York, NY, USA, 2022; pp. 3–33. [Google Scholar] [CrossRef]
- ERA5. Copernicus Climate Change Service/ECMWF. 2024. Available online: https://climate.copernicus.eu/climate-indicators/temperature (accessed on 21 August 2024).
- WMO. Greenhouse Gas Bulletin: The State of Greenhouse Gases in the Atmosphere Based on Global Observations through 2022; WMO: Geneva, Switzerland, 2023. [Google Scholar]
- Cahoon, D.R.; Guntenspergen, G.R. Climate Change, Sea-Level Rise, and Coastal Wetlands. Natl. Wetl. Newsl. 2010, 32, 8–12. [Google Scholar]
- Roy, P.; Pal, S.C.; Chakrabortty, R.; Chowdhuri, I.; Saha, A.; Shit, M. Effects of climate change and sea-level rise on coastal habitat: Vulnerability assessment, adaptation strategies and policy recommendations. J. Environ. Manag. 2023, 330, 117187. [Google Scholar] [CrossRef]
- Lhotka, O.; Kyselý, J.; Farda, A. Climate change scenarios of heat waves in Central Europe and their uncertainties. Theor. Appl. Climatol. 2018, 131, 1043–1054. [Google Scholar] [CrossRef]
- Cheval, S.; Amihăesei, V.-A.; Chitu, Z.; Dumitrescu, A.; Falcescu, V.; Irașoc, A.; Micu, D.M.; Mihulet, E.; Ontel, I.; Paraschiv, M.-G.; et al. A systematic review of urban heat island and heat waves research (1991–2022). Clim. Risk Manag. 2024, 44, 100603. [Google Scholar] [CrossRef]
- Burn, D.H.; Whitfield, P.H. Climate related changes to flood regimes show an increasing rainfall influence. J. Hydrol. 2023, 617, 129075. [Google Scholar] [CrossRef]
- Wang, M.; Fu, X.; Zhang, D.; Chen, F.; Liu, M.; Zhou, S.; Su, J.; Tan, S.K. Assessing urban flooding risk in response to climate change and urbanization based on shared socio-economic pathways. Sci. Total Environ. 2023, 880, 163470. [Google Scholar] [CrossRef] [PubMed]
- Barchielli, B.; Cricenti, C.; Gallè, F.; Sabella, E.A.; Liguori, F.; Molin, G.D.; Liguori, G.; Orsi, G.B.; Giannini, A.M.; Ferracuti, S.; et al. Climate Changes, Natural Resources Depletion, COVID-19 Pandemic, and Russian-Ukrainian War: What Is the Impact on Habits Change and Mental Health? Int. J. Environ. Res. Public Health 2022, 19, 11929. [Google Scholar] [CrossRef] [PubMed]
- Tang, Z.; Wang, Z.; E Koperski, T. Measuring local climate change response capacity and bridging gaps between local action plans and land use plans. Int. J. Clim. Chang. Strateg. Manag. 2011, 3, 74–100. [Google Scholar] [CrossRef]
- Garg, K.; Tumanishvili, G.G. Legal Aspects and Implications of Climate Change. Law World 2021, 17, 100–120. [Google Scholar] [CrossRef]
- Guthauser, A.; Pütz, M.; Seidl, I.; Olschewski, R. How to achieve the net-zero target? Lessons learned from past transformations. PLoS Sustain. Transform. 2023, 2, e0000068. [Google Scholar] [CrossRef]
- Kyriakopoulos, G.L.; Sebos, I. Enhancing Climate Neutrality and Resilience through Coordinated Climate Action: Review of the Synergies between Mitigation and Adaptation Actions. Climate 2023, 11, 105. [Google Scholar] [CrossRef]
- Land Take and Land Degradation in Functional Urban Areas; EEA Report No 17/2021; European Environment Agency: Copenhagen, Denmark; Publications Office of the European Union: Luxembourg, 2022; ISBN 978-92-9480-465-5. Available online: https://www.iflaeurope.eu/assets/docs/TH-AL-22-001-EN-N_Land_take_and_land_degradation.pdf (accessed on 1 October 2024).
- Lenaerts, K.; Tagliapietra, S.; Wolff, G.B. How Can the European Union Adapt to Climate Change? Intereconomics 2022, 5, 314–321. [Google Scholar] [CrossRef]
- European Environment Agency. Environmental Information Systems. An Official Website of the European Union. Available online: https://www.eea.europa.eu/en/analysis (accessed on 1 October 2024).
- Wende, W.; Huelsmann, W.; Marty, M.; Penn-Bressel, G.; Bobylev, N. Climate protection and compact urban structures in spatial planning and local construction plans in Germany. Land Use Policy 2010, 27, 864–868. [Google Scholar] [CrossRef]
- Yiannakou, A.; Salata, K.-D. Adaptation to Climate Change through Spatial Planning in Compact Urban Areas: A Case Study in the City of Thessaloniki. Sustainability 2017, 9, 271. [Google Scholar] [CrossRef]
- No Net Land Take—Policies and Practices in European Regions. Main Administrative, Economic, Political or Social Challenges to Implement No Net Land Take (NNLT); ESPON, Final Report; ESPON: Suwa, Japan; EGTC: Luxembourg, 2024; ISBN 978-2-919816-85-9.
- Ministry of Environment of the Republic of Lithuania. Developing Projections of Climate Change to 2100. Inception Report for Phase I of the Project ‘Preparation of Climate Change Projections, a National Study on the Sensitivity and Vulnerability of Lithuanian Municipalities to Climate Change, and a Climate Change Adaptation Plan for the most Vulnerable Municipality’. 2022. Available online: https://am.lrv.lt/lt/ (accessed on 27 January 2024).
- Stocker, T.F.; Qin, D.; Plattner, G.-K.; Tignor, M.; Allen, S.K.; Boschung, J.; Nauels, A.; Xia, Y.; Bex, V.; Midgley, P.M. (Eds.) IPCC, 2013: Climate Change 2013: The Physical Science Basis. Contribution of Working Group I to the Fifth Assessment Report of the Intergovernmental Panel on Climate Change; Cambridge University Press: Cambridge, UK; New York, NY, USA, 2013; p. 1535. [Google Scholar]
- Data of the Lithuanian Hydrometeorological Service (LHMS): Statistical Data of Hot Days, Extreme Heatwaves, Heavy Rainfall, Intense Wind, River Floods. Available online: https://www.meteo.lt/paslaugos/uzsakymai/istoriniai-duomenys/ (accessed on 22 March 2024).
- Annual Report for 2023 Year; Insurance Agency of Lithuania ‘Lietuvos Draudimas’: Vilnius, Lithuania, 2024.
- Register of Territorial Planning Documents of the Republic of Lithuania. 2023. Available online: www.tpdr.lt (accessed on 27 January 2024).
- Maps of Flood Risk Areas. Approved by Order No D1-655 of the Minister of Environment of the Republic of Lithuania of 6 August 2014. Available online: https://aaa.lrv.lt/lt/veiklos-sritys/vanduo/upes-ezerai-ir-tvenkiniai/potvyniu-rizikos-valdymas/potvyniu-gresmes-ir-rizikos-zemelapiai/ (accessed on 18 May 2023).
- Data of the Fire and Rescue Department (FRD) Under the Ministry of the Interior: Statistical Data of Shelters and Refuges in Lithuania for 2024. Available online: https://lt72.lt/kolektyvines-apsaugos-statiniai-priedangos-ir-rusiai/ (accessed on 22 March 2024).
- United Nations Environment Programme. Emissions Gap Report 2023: Broken Record—Temperatures Hit New Highs, Yet World Fails to Cut Emissions (Again); United Nations Environment Programme: Nairobi, Kenya, 2023. [Google Scholar] [CrossRef]
- Masson-Delmotte, V.; Zhai, P.; Pirani, A.; Connors, S.L.; Péan, C.; Berger, S.; Caud, N.; Chen, Y.; Goldfarb, L.; Gomis, M.I.; et al. (Eds.) IPCC, 2021: Climate Change 2021: The Physical Science Basis. Contribution of Working Group I to the Sixth Assessment Report of the Intergovernmental Panel on Climate Change; Cambridge University Press: Cambridge, UK; New York, NY, USA, 2023; p. 2391. [Google Scholar] [CrossRef]
- United Nations Environment Programme. Global Cooling Watch 2023: Keeping It Chill: How to Meet Cooling Demands While Cutting Emissions. Nairobi. 2023. Available online: www.unep.org (accessed on 27 January 2024).
- United Nations Environment Programme 2022 Global Status Report for Buildings and Construction: Towards a Zero-Emission, Efficient and Resilient Buildings and Construction Sector. 2022. Available online: https://wedocs.unep.org/20.500.11822/41133 (accessed on 27 January 2024).
- Yin, J.; Gentine, P.; Slater, L.; Gu, L.; Pokhrel, Y.; Hanasaki, N.; Guo, S.; Xiong, L.; Schlenker, W. Future socio-ecosystem productivity threatened by compound drought—Heatwave events. Nat. Sustain. 2023, 6, 259–272. [Google Scholar] [CrossRef]
- BACC Author Team. Assessment of Climate Change for the Baltic Sea Basin; Regional Climate Series; Springer: Berlin/Heidelberg, Germany, 2008; Available online: https://www.baltex-research.eu/BACC/index.html (accessed on 27 January 2024).
- BACC II Author Team. Assessment of Climate Change for the Baltic Sea Basin; Regional Climate Series; Springer: Berlin/Heidelberg, Germany, 2015; Available online: https://www.baltic-earth.eu/BACC2/index.html (accessed on 27 January 2024).
- Vihma, T.; Haapala, J. Geophysics of sea ice in the Baltic Sea: A review. Prog. Oceanogr. 2009, 80, 129–148. [Google Scholar] [CrossRef]
- Finnish Ice Report. The Finnish Meteorological Institute. 2024. Available online: https://en.ilmatieteenlaitos.fi/ (accessed on 27 January 2024).
- Dailidienė, I.; Davulienė, L.; Kelpšaitė, L.; Razinkovas, A. Analysis of the climate change in Lithuanian coastal areas of the Baltic Sea. J. Coast. Res. 2012, 28, 557–569. [Google Scholar] [CrossRef]
- Jarmalavičius, D.; Pupienis, D.; Žilinskas, G.; Janušaitė, R.; Karaliūnas, V. Beach-foredune sediment budget response to sea level fluctuation. Curonian Spit, Lithuania. Water 2020, 12, 583. [Google Scholar] [CrossRef]
- Kapsi, I.; Kall, T.; Liibusk, A. Sea Level Rise and Future Projections in the Baltic Sea. J. Mar. Sci. Eng. 2023, 11, 1514. [Google Scholar] [CrossRef]
- Passaro, M.; Müller, F.L.; Oelsmann, J.; Rautiainen, L.; Dettmering, D.; Hart-Davis, M.G.; Abulaitijiang, A.; Andersen, O.B.; Høyer, J.L.; Madsen, K.S.; et al. Absolute Baltic Sea Level Trends in the Satellite Altimetry Era: A Revisit. Front. Mar. Sci. 2021, 8, 647607. [Google Scholar] [CrossRef]
- Nikulin, G.; Kjellström, E.; Hansson, U.; Strandberg, G.; Ullerstig, A. Evaluation and future projections of temperature, precipitation and wind extremes over Europe in an ensemble of regional climate simulations. Tellus A Dyn. Meteorol. Oceanogr. 2010, 63, 41–55. [Google Scholar] [CrossRef]
- Dagiliūtė, R.; Kazanavičiūtė, V. Impact of Land-Use Changes on Climate Change Mitigation Goals: The Case of Lithuania. Land 2024, 13, 131. [Google Scholar] [CrossRef]
- Stonevičius, E.; Valiuškevičius, G. Identification of Significant Flood Areas in Lithuania. Water Resour. 2018, 45, 27–33. [Google Scholar] [CrossRef]
- Larsen, M.A.D.; Petrović, S.; Radoszynski, A.M.; McKenna, R.; Balyk, O. Climate change impacts on trends and extremes in future heating and cooling demands over Europe. Energy Build. 2020, 226, 110397. [Google Scholar] [CrossRef]
- Šarauskienė, D.; Akstinas, V.; Kriaučiūienė, J.; Jakimavičius, D.; Bukantis, A.; Kažys, J.; Povilaitis, A.; Ložys, L.; Kesminas, V.; Virbickas, T.; et al. Projection of Lithuanian river runoff, temperature and their extremes under climate change. Hydrol. Res. 2018, 49, 344–362. [Google Scholar] [CrossRef]
- Romanello, M.; Di Napoli, C.; Drummond, P.; Green, C.; Kennard, H.; Lampard, P.; Scamman, D.; Arnell, N.; Ayeb-Karlsson, S.; Ford, L.B.; et al. The 2022 report of the Lancet Countdown on health and climate change: Health at the mercy of fossil fuels. Countdown 2022, 400, 1619–1654. [Google Scholar] [CrossRef] [PubMed]
- Indicators for Extreme, Catastrophic, Meteorological and Hydrological Events. Adopted by Minister of Envirnonment of Republic of Lithuania 2011 11 November 2011 Order No D1-870, Implemented by Minister of Envirnonment of Republic of Lithuania 9 June 2020 Order No D1-344. Available online: https://e-seimas.lrs.lt/portal/legalAct/lt/TAD/TAIS.412088/asr (accessed on 9 August 2024).
- Wisner, B.; Blaikie, P.; Cannon, T.; Davis, I. At Risk: Natural Hazards, People’s Vulnerability and Disasters, 2nd ed.; Routledge: London, UK, 2004. [Google Scholar]
- Cutter, S.L.; Boruff, B.J. Indicators of Social Vulnerability to Hazards; Hazards Research Lab, University of South Carolina: Columbia, SC, USA, 2001; Unpublished paper. [Google Scholar]
- Scherer, D.; Fehrenbach, U.; Lakes, T.; Lauf, S.; Meier, F.; Schuster, C. Quantification of heat-stress related mortality hazard, vulnerability and risk in Berlin, Germany. DIE ERDE—J. Geogr. Soc. Berl. 2014, 144, 238–259. [Google Scholar] [CrossRef]
- Smith, K. Environmental Hazards: Assessing Risk and Reducing Disaster; Routledge: London, UK; New York, NY, USA, 2004. [Google Scholar]
- Watts, N.; Amann, M.; Arnell, N.; Ayeb-Karlsson, S.; Beagley, J.; Belesova, K.; Boykoff, M.; Byass, P.; Cai, W.; Campbell-Lendrum, D.; et al. The Lancet Countdown on Health and Climate Change: 2018 Report. Lancet 2018, 392, 2479–2514. [Google Scholar] [CrossRef]
- Basu, R.; Samet, J.M. Relation between Elevated Ambient Temperature and Mortality: A Review of the Epidemiologic Evidence. Epidemiol. Rev. 2002, 24, 190–202. [Google Scholar] [CrossRef]
- Hajat, S.; Kovats, R.S.; Atkinson, R.W.; Haines, A. Impact of hot temperatures on death in London: A time series approach. J. Epidemiol. Community Health 2002, 56, 367–372. [Google Scholar] [CrossRef]
- Diffenbaugh, N.S.; Field, C.B. Changes in ecologically critical terrestrial climate conditions. Science 2013, 341, 486–492. [Google Scholar] [CrossRef]
- IPCC. Climate Change 2014: Impacts, Adaptation, and Vulnerability. Part A: Global and Sectoral Aspects. Contribution of Working Group II to the Fifth Assessment Report of the Intergovernmental Panel on Climate Change; Cambridge University Press: Cambridge, UK; New York, NY, USA, 2014. [Google Scholar]
- Smoyer-Tomic, K.E.; Kuhn, R.; Hudson, A. Heat wave hazards: An overview of heat wave impacts in Canada. Nat. Hazards 2003, 28, 465–486. [Google Scholar] [CrossRef]
- Cutter, S.L.; Boruff, B.J.; Shirley, W.L. Social vulnerability to environmental hazards. Soc. Sci. Q. 2003, 84, 242–261. [Google Scholar] [CrossRef]
- Thieken, A.H.; Bessel, T.; Kienzler, S.; Krebich, H.; Müller, M.; Pisi, S.; Schröter, K. The flood of June 2013 in Germany: How much do we know about its impacts? Nat. Hazards Earth Syst. Sci. 2016, 16, 1519–1540. [Google Scholar] [CrossRef]
- Hallegatte, S.; Green, C.; Nicholls, R.J.; Corfee-Morlot, J. Future flood losses in major coastal cities. Nat. Clim. Chang. 2013, 3, 802–806. [Google Scholar] [CrossRef]
- Jongman, B.; Hochrainer-Stigler, S.; Feyen, L.; Aerts, J.C.J.H.; Mechler, R.; Wouter Botzen, W.J.; Bouwer, L.M.; Pflug, G.; Rojas, R.; Ward, P.J. Increasing stress on disaster-risk finance due to large floods. Nat. Clim. Chang. 2014, 4, 264–268. [Google Scholar] [CrossRef]
- Döll, P.; Douville., H.; Güntner, A.; Schmied, H.M.; Wada, Y. Modelling Freshwater Resourses at the Global Scale: Chalanges and Prospects. Surv. Geophys. 2016, 37, 195–221. [Google Scholar] [CrossRef]
- Kundzewicz, Z.W.; Kanae, S.; Seneviratne, S.I.; Handmer, J.W.; Nicholls, N.; Peduzzi, P.; Mechler, R.; Bouwer, L.M.; Arnell, N.; Mach, K.J.; et al. Flood risk and climate change: Global and regional perspectives. Hydrol. Sci. J. 2014, 59, 1–28. [Google Scholar] [CrossRef]
- Preliminary Flood Risk Assessment Report. Adopted by LR Minister of Environment 11 January 2012; Order No D1-23. Available online: https://e-seimas.lrs.lt/portal/legalAct/lt/TAD/TAIS.417035 (accessed on 9 August 2024).
- Flood–Stricken Kretinga Took a Breather, But a New Challenge Arose—Minija Can Flood Karten. Website ‘15 min’. 2023. Available online: https://www.15min.lt/naujiena/aktualu/lietuva/potvynio-kamuojama-kretinga-atsikvepe-bet-iskilo-naujas-issukis-minija-gali-uzlieti-kartena-56-2141502 (accessed on 1 October 2024).
- Finnish Civil Defence Act; Ministry of Interior: Helsinky, Finland, 1958.
- Finish Rescue Act; Ministry of the Interior: Helsinky, Finland, 2011.
- Swedish Civil Protection Act; Government Bill: Stockholm, Sweden, 2002.
- Eliasson, E. If War Comes, Where Do I Go? Master’s Thesis, Umea University, Umeå, Sweden, 2021. [Google Scholar]
- Dringelis, L.A. Institucinės Sąrangos Reorganizavimas—Svarbi Prielaida Siekiant Pagerinti Teritorijų Planavimo ir Architektūros Būklę Šalyje; Architektūros Kokybės Užtikrinimo Priemonės: Mokslo Straipsnių Rinkinys; Technika: Vilnius, Lithuania, 2017; pp. 196–207. ISBN 9786094760709. [Google Scholar]
- Dringelis, L.A.; Ramanauskas, E. Lietuvos Valstybės Teritorija: Kas Atsakingas už jos Urbanistinę Plėtrą, Racionalų Naudojimą ir Tvarkymą? SA.lt. Statyba. Architektūra; UAB “Portalas SA.lt”: Vilnius, Lithuania, 2022; Volume 5, pp. 50–53. ISSN 2538-8797. Available online: https://sa.lt/lietuvos-valstybes-teritorija-kas-atsakingas-uz-jos-urbanistine-pletra-racionalu-naudojima-ir-tvarkyma/ (accessed on 9 August 2024).
- Republic of Lithuania Law on Territorial Planning. 12 December 1995; No I-1120, new redaction from 2014-01-01. Available online: https://e-seimas.lrs.lt/portal/legalAct/lt/TAD/TAIS.23069/asr (accessed on 9 August 2024).
- Republic of Lithuania Law on Territorial Planning. Amendment of Articles No 2, 3, 6, 7, 11, 13, 14, 15, 16, 17, 18, 20, 23, 25, 26, 27, 28, 30, 31, 33, 35, 37, 39, 47 and 49 of the Law on Territorial Planning No I-1120. 12 January 2021; No XIV-158. Available online: https://e-seimas.lrs.lt/portal/legalAct/lt/TAD/5e6d35b2571411eba1f8b445a2cb2bc7 (accessed on 9 August 2024).
- State Data Agency. Statistical Data of Population of Lithuania. 2023. Available online: https://osp.stat.gov.lt/statistiniu-rodikliu-analize#/ (accessed on 27 January 2024).
- Land Bank of the Republic of Lithuania, 1 January 2023; National Land Agency of Ministry of Environment: Vilnius, Lithuania, 2023.
- Science for Environment Policy. FUTURE BRIEF: No Net Land Take by 2050? 2016. Issue 14. Available online: https://catalogue.unccd.int/650_no_net_land_take_by_2050.pdf (accessed on 27 January 2024).
- Marquard, E.; Bartke, S.; Gifreu i Font, J.; Humer, A.; Jonkman, A.; Jürgenson, E.; Marot, N.; Poelmans, L.; Repe, B.; Rybski, R.; et al. Land consumption and land take: Enhancing conceptual clarity for evaluating spatial governance in the EU context. Sustainability 2020, 12, 8269. [Google Scholar] [CrossRef]
- Torre, C.M.; Morano, P.; Tajani, F. Saving soil for sustainable land use. Sustainability 2017, 9, 350. [Google Scholar] [CrossRef]
- Build Europe. No Net Land Take by 2050. Solving the Unsolvable. 10 Solutions for an Improved Management of European Land; Build Europe: Brussels, Belgium, 2022; Available online: https://buildeurope.net/wp-content/uploads/2022/01/No-net-land-take-by-2050-Solving-the-unsolvable.pdf (accessed on 27 January 2024).
- Instruction of European Union Funding Programme for 2021–2027 Year and Economical Revitalisation and Resistance Plan ‘New Generation of Lithuania’ Administration. Adopted by Minister of Finance of Republic of Lithuania 22 June 2022; Order No 1K-237. Available online: https://e-seimas.lrs.lt/portal/legalAct/lt/TAD/fd3d3843f26111ecbfe9c72e552dd5bd (accessed on 9 August 2024).
- Žickis, A. Vilniaus želdynų plėtotės aktualijos. Lith. J. Landsc. Archit. 2023, 3, 36–48. [Google Scholar]
- Republic of Lithuania Law on Green Areas. 28 June 2007; No X-1241, new redaction from 2021-11-01. Available online: https://e-seimas.lrs.lt/portal/legalActEditions/lt/TAD/TAIS.301807 (accessed on 21 August 2024).
- Norms for Separate Green Areas for Recreational Purposes, Adopted by Minister of Environment of the Republic of Lithuania 21 December 2007; Order No D1-694. Available online: https://e-seimas.lrs.lt/portal/legalAct/lt/TAD/TAIS.311858?jfwid=v7tysp5gz (accessed on 21 August 2024).
- Norms for Public Separate Green Areas, Adopted by Minister of Environment of the Republic of Lithuania 27 May 2022; Order No D1-151, Implemented in New Redaction Adopted by Minister of Environment of the Republic of Lithuania 1 May 2023; Order No D1-146. Available online: https://www.e-tar.lt/portal/legalAct.html?documentId=a4450c00ddcf11ec8d9390588bf2de65 (accessed on 21 August 2024).
- Natural Framework Regulations, Adopted by Minister of Environment of the Republic of Lithuania 14 February 2007; Order No D1-96. Available online: https://e-seimas.lrs.lt/portal/legalActEditions/lt/TAD/TAIS.292549 (accessed on 21 August 2024).
- Republic of Lithuania Law on Protected Areas. 9 November 1993; No I-301. Available online: https://e-seimas.lrs.lt/portal/legalActEditions/lt/TAD/TAIS.5627?faces-redirect=true (accessed on 21 August 2024).
- Republic of Lithuania Law on Forests. 14 December 1994; No. 96-1872. Available online: https://e-seimas.lrs.lt/portal/legalAct/lt/TAD/TAIS.6036/bTIVIZYPXT (accessed on 21 August 2024).
- Data Viewer on Greenhouse Gas Emissions and Removals, Sent by Countries to UNFCCC and the EU Greenhouse Gas Monitoring Mechanism (EU Member States). DAS-270-en Published 15 April 2024. Available online: https://www.eea.europa.eu/data-and-maps/data/data-viewers/greenhouse-gases-viewer (accessed on 18 May 2024).
- Geo-Object Data. Lithuanian Spatial Data Web, VšĮ Statybos Sektoriaus Vystymo Agentūra (Public Institution Construction Sector Development Agency). Available online: https://www.geoportal.lt/geoportal/ (accessed on 21 August 2024).
- Technical Building Regulation STR 2.07.02:2024. Requirements for Design and Arrangement of Shelters, Collective Defence Buildings and Refuges, Adopted by Minister of Environment of the Republic of Lithuania 28 February 2024; Order No D1-63. Available online: https://e-seimas.lrs.lt/portal/legalAct/lt/TAD/e8af8d30d67911ee9269b566387cfecb?jfwid=lra0svx4u (accessed on 9 August 2024).
- Rentschler, J.; Marconcini, M.; Su, R.; Strano, E.; Hallegatte, S.; Riom, C.; Avner, P. Rapid Urban Growth in Flood Zones: Global Evidence Since 1985; Policy Research Working Paper; World Bank: Washington, DC, USA, 2022; Available online: http://hdl.handle.net/10986/37348 (accessed on 1 October 2024).
- Bodo, T.; Gimah, B.; Seomoni, K. Deforestation: Human Causes, Consequences and Possible Solution. J. Geogr. Res. 2021, 4, 22–30. [Google Scholar] [CrossRef]
- EU Countries off Target in Fighting Climate Change. Climate Action Network, Europe. 2018. Available online: https://caneurope.org/eu-countries-off-target-in-fighting-climate-change/ (accessed on 1 October 2024).
- Nathan Sourisseau. Are EU Countries Following the “No-Net-Land Take in 2050” Recommendation? Energycities, The European Learning Community for Future-Proof Cities. 2024. Available online: https://energy-cities.eu/are-eu-countries-following-the-no-net-land-take-in-2050-recommendation/ (accessed on 1 October 2024).
- Domingo, D.; Palka, G.; Hersperger, A.M. Effect of zoning plans on urban land-use change: A multi-scenario simulation for supporting sustainable urban growth. Sustain. Cities Soc. 2021, 69, 102833. [Google Scholar] [CrossRef]
- Transforming our World: The 2030 Agenda for Sustainable Development; United Nations: San Francisco, CA, USA, 2015.
- Moore, S.; Trudeau, D. New Urbanism: From Exception to Norm—The Evolution of a Global Movement. Urban Plan. 2020, 5, 384–387. [Google Scholar] [CrossRef]
- Garde, A. New urbanism: Past, present, and future. Urban Plan. 2020, 5, 453–463. [Google Scholar] [CrossRef]
- Riffat, S.; Powell, R.; Aydin, D. Future cities and environmental sustainability. Future Cities Environ. 2016, 2, 1. [Google Scholar] [CrossRef]
- Moreno, C.; Allam, Z.; Chabaud, D.; Gall, C.; Pratlong, F. Introducing the ‘15-Minute City’: Sustainability, resilience and place identity in future post-pandemic cities. Smart Cities 2021, 4, 93–111. [Google Scholar] [CrossRef]
- Whittle, N. ‘Welcome to the 15-minute City’. Financial Times, 27 March 2021. [Google Scholar]







| No. | County | Number of Municipalities | Existing Built-Up Land, 2023, km2 [80] | Area Planned to Be Urbanized Under the Master Plans of 2002–2023, km2 [42] | Planned Change Under the Master Plans of 2002–2023, % |
|---|---|---|---|---|---|
| 1 | Alytus County | 5 | 163.5 | 181.15 | 110.80 |
| 2 | Kaunas County | 8 | 406.64 | 329.46 | 81.02 |
| 3 | Klaipėda County | 7 | 241.1 | 685.21 | 284.20 |
| 4 | Marijampolė County | 5 | 162.19 | 257.61 | 158.83 |
| 5 | Panevėžys County | 6 | 248.15 | 376.29 | 151.64 |
| 6 | Šiauliai County | 7 | 259.96 | 647.63 | 249.13 |
| 7 | Tauragė County | 4 | 119.4 | 376.67 | 315.47 |
| 8 | Telšiai County | 4 | 142.31 | 320.07 | 224.91 |
| 9 | Utena County | 6 | 214.11 | 541.59 | 252.95 |
| 10 | Vilnius County | 8 | 477.33 | 620.14 | 129.92 |
| Total | 60 | 2434.69 | 4335.86 | 178.09 |
| No. | County | Flood Risk Area, km2 * | Built and Planned Construction in Flood Risk Areas, km2 ** | Percentage of Built and Planned Construction in Flood Risk Areas, % |
|---|---|---|---|---|
| 1 | Alytus County | 79.027 | 3.285 | 4.16 |
| 2 | Kaunas County | 252.475 | 25.143 | 9.96 |
| 3 | Klaipėda County | 511.540 | 28.398 | 5.55 |
| 4 | Marijampolė County | 80.076 | 5.367 | 6.70 |
| 5 | Panevėžys County | 113.920 | 8.553 | 7.51 |
| 6 | Šiauliai County | 59.485 | 3.392 | 5.70 |
| 7 | Tauragė County | 315.879 | 26.321 | 8.33 |
| 8 | Telšiai County | 28.365 | 1.627 | 5.74 |
| 9 | Utena County | 56.337 | 3.20 | 5.68 |
| 10 | Vilnius County | 67.709 | 10.458 | 15.45 |
| Total | 1564.813 | 115.744 | 7.40 |
| No. | County Name | Number of Municipalities | Population | Shelters | Refuges | |||
|---|---|---|---|---|---|---|---|---|
| Number (Units) | Number (Units) | Area (m2) | Capacity (People) | Percentage of the Population Housed in Shelters, % | ||||
| 1 | Alytus County | 5 | 134,201 | 0 | 136 | 73,837 | 47,583 | 35 |
| 2 | Kaunas County | 8 | 585,480 | 0 | 1228 | 384,319 | 243,248 | 42 |
| 3 | Klaipėda County | 7 | 339,972 | 0 | 216 | 94,210 | 62,307 | 18 |
| 4 | Marijampolė County | 5 | 134,668 | 0 | 356 | 119,454 | 74,348 | 55 |
| 5 | Panevėžys County | 6 | 209,071 | 0 | 120 | 42,405 | 28,256 | 14 |
| 6 | Šiauliai County | 7 | 266,960 | 0 | 265 | 125,074 | 79,942 | 30 |
| 7 | Tauragė County | 4 | 90,578 | 0 | 68 | 30,464 | 20,354 | 22 |
| 8 | Telšiai County | 4 | 130,918 | 0 | 89 | 25,924 | 16,927 | 13 |
| 9 | Utena County | 6 | 126,326 | 0 | 166 | 53,127 | 35,417 | 28 |
| 10 | Vilnius County | 8 | 868,341 | 0 | 804 | 496,337 | 26,558 | 38 |
| Total | 60 | 2,886,515 | 0 | 3448 | 445,151 | 934,939 | 32 | |
Disclaimer/Publisher’s Note: The statements, opinions and data contained in all publications are solely those of the individual author(s) and contributor(s) and not of MDPI and/or the editor(s). MDPI and/or the editor(s) disclaim responsibility for any injury to people or property resulting from any ideas, methods, instructions or products referred to in the content. |
© 2024 by the authors. Licensee MDPI, Basel, Switzerland. This article is an open access article distributed under the terms and conditions of the Creative Commons Attribution (CC BY) license (https://creativecommons.org/licenses/by/4.0/).
Share and Cite
Ramanauskas, E.; Bukantis, A.; Dringelis, L.; Kaveckis, G.; Jonkutė-Vilkė, G. Climate Change and Cities of Lithuania: Threats, Problems and Prerequisites for Solution. Urban Sci. 2024, 8, 186. https://doi.org/10.3390/urbansci8040186
Ramanauskas E, Bukantis A, Dringelis L, Kaveckis G, Jonkutė-Vilkė G. Climate Change and Cities of Lithuania: Threats, Problems and Prerequisites for Solution. Urban Science. 2024; 8(4):186. https://doi.org/10.3390/urbansci8040186
Chicago/Turabian StyleRamanauskas, Evaldas, Arūnas Bukantis, Liucijus Dringelis, Giedrius Kaveckis, and Gintė Jonkutė-Vilkė. 2024. "Climate Change and Cities of Lithuania: Threats, Problems and Prerequisites for Solution" Urban Science 8, no. 4: 186. https://doi.org/10.3390/urbansci8040186
APA StyleRamanauskas, E., Bukantis, A., Dringelis, L., Kaveckis, G., & Jonkutė-Vilkė, G. (2024). Climate Change and Cities of Lithuania: Threats, Problems and Prerequisites for Solution. Urban Science, 8(4), 186. https://doi.org/10.3390/urbansci8040186

