Analytical Solutions of Free Surface Evolution Within Originally Dry, Coarse-Grain-Sized Embankment Dam Materials †
Abstract
1. Introduction
- -
- Seepage flow mainly occurs along each cross-section of the dam; that is, 2D flow for each cross-section, by neglecting the longitudinal components of the flow velocity.
- -
- Flow rates are in accordance with a Darcy laminar flow.
- -
2. The Boussinesq Equation for Simplified 1D Geometric Schemes
2.1. General Setting
2.2. The 2D Solutions for “Real” Dam Body
2.3. The 3D Simplified Solutions
3. Comparison Between Analytical Simplified Solutions and Numerical Simulations
3.1. The 2D Cases
3.2. The 3D Cases
4. Concluding Remarks
- -
- It is confirmed that, independently of the hypotheses at the basis of the respective developments (analytical solutions: negligibility of the vertical component of the seepage flow velocity, application of the method of successive stationary states; FEM solutions: partial saturation and, therefore, suction, in the portions not reached by the seepage flow), both developed analyses are sufficiently reliable.
- -
- The results obtained through the two, analytical and numerical, procedures, are favorably compared, both from qualitative and quantitative points of view.
- -
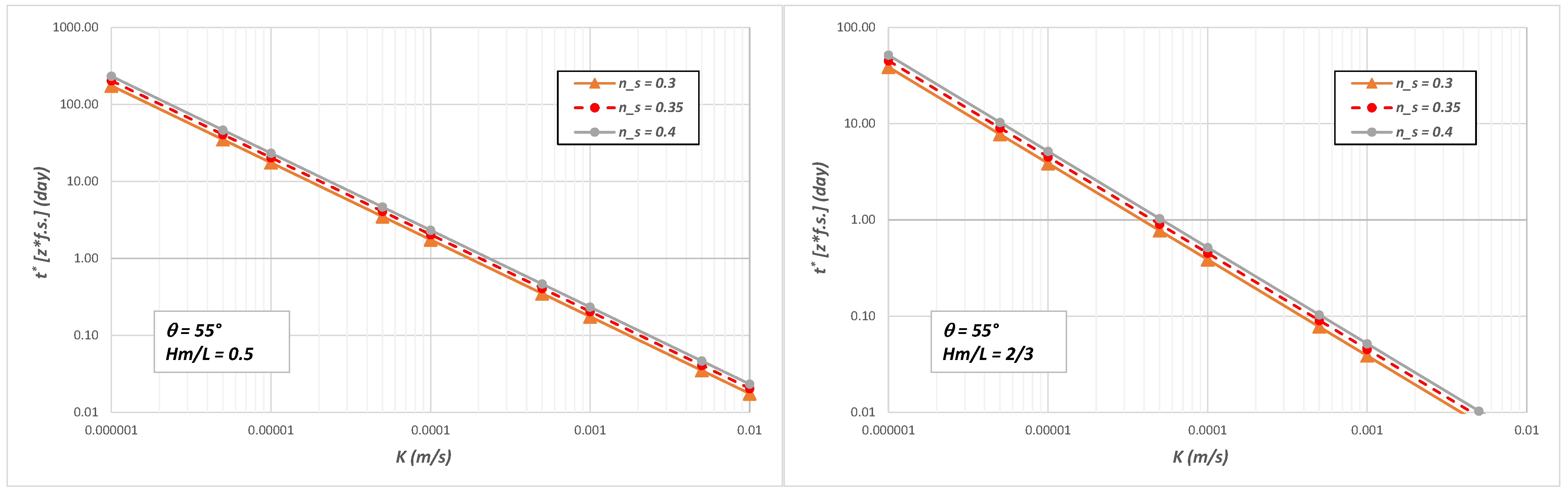
- The appreciable dependence of the obtained results on the permeability coefficient (in saturated conditions) of the dry material is highlighted.
- -
- Referring to the 2D FEM simulations, the saturation front would reach the downstream foot in about 2 h, 18 h or, again, in about 7.5 days, for values of the permeability coefficient K (saturated condition, dry material) equal to 10−3 m/s, 10−4 m/s, 10−5 m/s, respectively.
- -
Author Contributions
Funding
Data Availability Statement
Conflicts of Interest
References
- Aravin, V.I.; Numerov, S.N. Theory of Fluid Flow in Undeformable Porous Media; Moscona, A., Ed.; Aravin, V.I.; Numerov, S.N., Translators; translated from Russian; Jerusalem, Israel Program for Scientific Translations: Jerusalem, Israel, 1965. [Google Scholar]
- Casagrande, A. Seepage through dams. J. N. Engl. Water Work. 1937, 51, 295–336. [Google Scholar]
- Federico, F.; Jappelli, R.; Musso, A. Analysis of seepage limit states in embankment dams. In Proceedings of the XIX ICOLD, Florence, Italy, 26–30 May 1997; Volume I, pp. 807–818. [Google Scholar]
- Federico, F.; Calzoletti, F.; Montanaro, A. Steady state seepage flow through zoned earth structures affected by permeability defects. In Proceedings of the NUMGE 2010, 7th European Conference on Numerical Methods in Geotechnical Engineering, Trondheim, Norway, 2–4 June 2010. [Google Scholar]
- Federico, F.; Cesali, C.; Jappelli, R. Geotechnical design of large central draining cores in embankment dams. In Proceedings of the 3rd International Conference “DAM WORLD 2018”, Foz do Iguaçu, Brazil, 17–21 September 2018. [Google Scholar]
- Federico, F.; Cesali, C.; Jappelli, R. Design of draining cores to control seepage through embankment dams. In Proceedings of the XVII ECSMGE Geotechnical Engineering Foundation of the Future, Reykjavik, Iceland, 1–6 September 2019. [Google Scholar]
- Chahar, B.R. Determination of length of a horizontal drain in homogeneous. J. Irrig. Drain. Eng. 2004, 130, 530–536. [Google Scholar] [CrossRef]
- Chapuis, R.P.; Aubertin, M. A simplified method to estimate saturated and unsaturated seepage through dikes under steady-state conditions. Can. Geotech. J. 2002, 38, 1321–1328. [Google Scholar] [CrossRef]
- Jafari, N.H.; Cadigan, J.A.; Stark, T.D.; Woodward, M.L. Phreatic surface migration through an unsaturated levee embankment. J. Geotech. Geoenviron. Eng. 2019, 145, 05019010. [Google Scholar] [CrossRef]
- De Mello, V.F.B. Reflections on design decisions of practical significance to embankment dams. Geotechnique 1977, 27, 281–355. [Google Scholar] [CrossRef]
- Charles, J.A. Internal erosion in European embankment dams. In Progress Report of Working Group on Internal Erosion in Embankment Dams, Dam Safety; Berga, L., Ed.; A. A. Balkema: Rotterdam, The Netherlands, 1998; Volume 2, pp. 1567–1576. [Google Scholar]
- Jappelli, R.; Federico, F.; Marzocchi, L.; Fantoma, D.; Mariani, M.; Musso, A. Impervious facing and large central drain for the embankment dams of a pumped-storage plant. XVI Int. Congr. Large Dams Q 1988, 61, 465–492. [Google Scholar]
- Chen, Q.; Zhang, L.M. Three-dimensional analysis of water infiltration into the Gouhou rockfill dam using saturated–unsaturated seepage theory. Can. Geotech. J. 2006, 43, 449–461. [Google Scholar] [CrossRef]
- Zhang, L.M.; Chen, Q. Seepage failure mechanism of the Gouhou rockfill dam during reservoir water infiltration. Soils Found. 2006, 46, 557–568. [Google Scholar] [CrossRef]
- ICOLD. Bulletin 164: Internal Erosion of Existing Dams, Levees and Dikes, and Their Foundations. Volume 1: Internal Erosion Processes and Engineering Assessment. Volume 2: Case Histories, Investigations, Testing, Remediation and Surveillance. International Commission on Large Dams, Paris. Publication of Final Preprint in English and French. 2017. Available online: http://www.icold-cigb.org (accessed on 1 September 2017).
- Tang, Y.; Jiang, Q.; Zhou, C. Approximate analytical solution to the Boussinesq equation with a sloping water-land boundary. Water Resour. Res. 2016, 52, 2529–2550. [Google Scholar] [CrossRef]
- Boussinesq, J. Recherches théoriques sur l’écoulement des nappes d’eau infiltrées dans le sol et sur le débit des sources. J. Mathématiques Pures Appliquées 1904, 10, 5–78. [Google Scholar]
- Polubarinova-Kochina, P.Y. Theory of Ground Water Movement; Princeton University Press: Princeton, NJ, USA, 1962. [Google Scholar]
- Kacimov, A.R.; Simunek, J. Analytical traveling-wave solutions and HYDRUS modeling of wet wedges propagating into dry soils: Barenblatt’s regime for Boussinesq’s equation generalized. J. Hydrol. 2021, 598, 126413. [Google Scholar] [CrossRef]
- Jaswal, M.; Sinha, R.K.; Sen, P. Delineation of phreatic surface in soil type slope—A comparative study using physical and numerical modeling. J. Min. Sci. 2020, 56, 494–504. [Google Scholar] [CrossRef]
- Liggett, J.A.; Liu, P.L.F. Unsteady interzonal free surface flow in porous media. Water Resour. Res. 1979, 15, 240–246. [Google Scholar] [CrossRef]
- Masciopinto, C.; Passarella, G.; Vurro, M.; Castellano, L. Numerical simulations for the evaluation of the free surface history in porous media. Comparison between two different approaches. Adv. Eng. Softw. 1994, 21, 149–157. [Google Scholar] [CrossRef]
- Zhou, X.P.; Wei, X.; Liu, C.; Cheng, H. Three-dimensional stability analysis of bank slopes with reservoir drawdown based on rigorous limit equilibrium method. Int. J. Geomech. ASCE 2020, 20, 04020229. [Google Scholar] [CrossRef]














| z’ [m] | y [m] | Hm(y) [m] | B(y) [m] | r(y) [m] | t* [h] |
| 0 | 0 | 32 | 60 | 0 | 59.42 |
| 60 | 21 | 44 | 10.7 | 47.92 | |
| 120 | 11 | 28 | 21.3 | 38.80 | |
| 150 | 5 | 20 | 26.7 | 39.57 |
| Main Parameters | 2D FEM | 2D Simplified Solutions |
|---|---|---|
| K = 1 × 10−4 m/s | ||
| z*f.s. [m] | 18.5 | 24 |
| t* (z = z*f.s.) [h] | 34 | 38 |
| K = 1 × 10−3 m/s | ||
| z*f.s. [m] | 18.5 | 24 |
| t* (z = z*f.s.) [h] | 5 | 4 |
| K = 1 × 10−5 m/s | ||
| z*f.s. [m] | 21 | 24 |
| t* (z = z*f.s.) [h] | 360 | 380 |
| 3D FEM | 3D Simplified Solutions | ||
|---|---|---|---|
| t (days) | z (m) | X(z,t,y = 0) | |
| 2 | 38 | 115.0 | 100.9 |
| 4.5 | 36.5 | 129.0 | 123.6 |
| 6.5 | 34.1 | 133.3 | 141.9 |
| 9 | 33.6 | 136.0 | 158.6 |
| Main Parameters | 3D FEM | 3D Simplified Solutions |
|---|---|---|
| z*f.s. [m] | 33.6 | 32.2 |
| t* (z = z*f.s.) [days] | 9.0 | 8.50 |
Disclaimer/Publisher’s Note: The statements, opinions and data contained in all publications are solely those of the individual author(s) and contributor(s) and not of MDPI and/or the editor(s). MDPI and/or the editor(s) disclaim responsibility for any injury to people or property resulting from any ideas, methods, instructions or products referred to in the content. |
© 2026 by the authors. Licensee MDPI, Basel, Switzerland. This article is an open access article distributed under the terms and conditions of the Creative Commons Attribution (CC BY) license.
Share and Cite
Federico, F.; Cesali, C. Analytical Solutions of Free Surface Evolution Within Originally Dry, Coarse-Grain-Sized Embankment Dam Materials. Infrastructures 2026, 11, 23. https://doi.org/10.3390/infrastructures11010023
Federico F, Cesali C. Analytical Solutions of Free Surface Evolution Within Originally Dry, Coarse-Grain-Sized Embankment Dam Materials. Infrastructures. 2026; 11(1):23. https://doi.org/10.3390/infrastructures11010023
Chicago/Turabian StyleFederico, Francesco, and Chiara Cesali. 2026. "Analytical Solutions of Free Surface Evolution Within Originally Dry, Coarse-Grain-Sized Embankment Dam Materials" Infrastructures 11, no. 1: 23. https://doi.org/10.3390/infrastructures11010023
APA StyleFederico, F., & Cesali, C. (2026). Analytical Solutions of Free Surface Evolution Within Originally Dry, Coarse-Grain-Sized Embankment Dam Materials. Infrastructures, 11(1), 23. https://doi.org/10.3390/infrastructures11010023
