Evaluation of Several Computer Vision Feature Detectors/Extractors on Ahuna Mons Region in Ceres and Its Implications for Technosignatures Search
Abstract
:1. Introduction
2. Perception and Cognitive Bias
3. Artificial Intelligence and Computer Vision Models
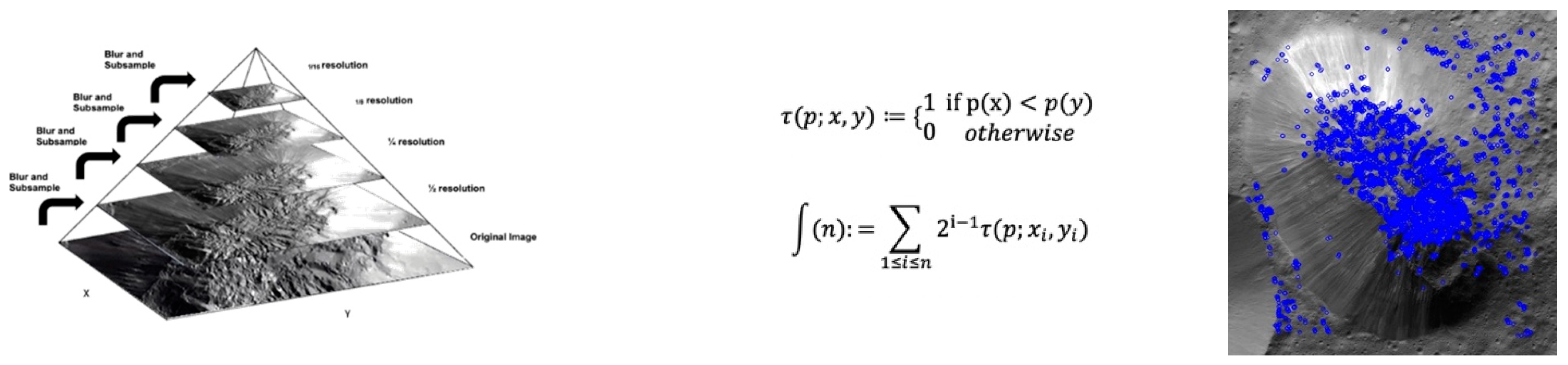
4. Methods
5. Results
6. 3D Analysis
7. Discussion
Funding
Institutional Review Board Statement
Informed Consent Statement
Data Availability Statement
Conflicts of Interest
References
- Ruesch, O.; Platz, T.; Schenk, P.; McFadden, L.A.; Castillo-Rogez, J.C.; Quick, L.C.; Byrne, S.; Preusker, F.; O’Brien, D.P.; Schmedemann, N.; et al. Cryovolcanism on Ceres. Science 2016, 353, aaf4286. [Google Scholar] [CrossRef] [PubMed]
- Kargel, J.S. Brine volcanism and the interior structures of asteroids and icy satellites. Icarus 1991, 94, 368–390. [Google Scholar] [CrossRef]
- Ermakov, A.I.; Fu, R.R.; Castillo-Rogez, J.C.; Raymond, C.A.; Park, R.S.; Preusker, F.; Russell, C.T.; Smith, D.E.; Zuber, M.T. Constraints on Ceres’ Internal Structure and Evolution From Its Shape and Gravity Measured by the Dawn Spacecraft. J. Geophys. Res. Planets 2017, 122, 2267–2293. [Google Scholar] [CrossRef]
- King, S.D.; Castillo-Rogez, J.C.; Toplis, M.J.; Bland, M.T.; Raymond, C.A.; Russell, C.T. Ceres internal structure from geophysical constraints. Meteorit. Planet. Sci. 2018, 53, 1999–2007. [Google Scholar] [CrossRef]
- Nathues, A.; Schmedemann, N.; Guneshwar, T.; Pasckert, J.H.; Mengel, K.; Castillo-Rogez, J.; Cloutis, E.; Hiesinger, H.; Hoffmann, M.; Le Corre, L.; et al. Occator Crater on Ceres: Recently Active Cryovolcanism? In Proceedings of the EPSC-DPS Joint Meeting 2019, Geneva, Switzerland, 15–20 September 2019; Volume 2019, p. EPSC-DPS2019. [Google Scholar]
- Nathues, A.; Hoffmann, M.; Cloutis, E.A.; Schäfer, M.; Reddy, V.; Christensen, U.; Sierks, H.; Thangjam, G.S.; le Corre, L.; Mengel, K.; et al. Detection of serpentine in exogenic carbonaceous chondrite material on Vesta from Dawn FC data. Icarus 2014, 239, 222–237. [Google Scholar] [CrossRef]
- Russell, C.T.; Raymond, C.A.; Ammannito, E.; Buczkowski, D.L.; De Sanctis, M.C.; Hiesinger, H.; Jaumann, R.; Konopliv, A.S.; McSween, H.Y.; Nathues, A.; et al. Dawn arrives at Ceres: Exploration of a small, volatile-rich world. Science 2016, 353, 1008–1010. [Google Scholar] [CrossRef]
- De la Torre, G.G. Does artificial intelligence dream of non-terrestrial techno-signatures? Acta Astronaut. 2020, 167, 280–285. [Google Scholar] [CrossRef]
- Roatsch, T.; Kersten, E.; Matz, K.-D.; Preusker, F.; Scholten, F.; Jaumann, R.; Raymond, C.; Russell, C. High-resolution Ceres High Altitude Mapping Orbit atlas derived from Dawn Framing Camera images. Planet. Space Sci. 2016, 129, 103–107. [Google Scholar] [CrossRef]
- Roatsch, T.; Kersten, E.; Matz, K.-D.; Preusker, F.; Scholten, F.; Jaumann, R.; Raymond, C.; Russell, C. High-resolution Ceres Low Altitude Mapping Orbit Atlas derived from Dawn Framing Camera images. Planet. Space Sci. 2017, 140, 74–79. [Google Scholar] [CrossRef]
- Küppers, M. Building mountains on Ceres. Nat. Geosci. 2019, 12, 786–787. [Google Scholar] [CrossRef]
- Bland, M.T.; Buczkowski, D.; Sizemore, H.G.; Ermakov, A.I.; King, S.D.; Sori, M.M.; Raymond, C.A.; Castillo-Rogez, J.C.; Russell, C.T. Dome formation on Ceres by solid-state flow analogous to terrestrial salt tectonics. Nat. Geosci. 2019, 12, 797–801. [Google Scholar] [CrossRef]
- Crick, F.; Koch, C. A framework for consciousness. Nat. Neurosci. 2003, 6, 119–126. [Google Scholar] [CrossRef] [PubMed]
- Kitayama, S.; Duffy, S.; Kawamura, T.; Larsen, J.T. Perceiving an object and its context in different cultures: A cultural look at new look. Psychol. Sci. 2003, 14, 201–206. [Google Scholar] [CrossRef] [PubMed]
- Chiao, J.; Harada, T. Cultural neuroscience of consciousness: From visual perception to self-awareness. J. Conscious. Stud. 2008, 15, 58–69. [Google Scholar]
- Park, D.; Gutchess, A. The Cognitive Neuroscience of Aging and Culture. Curr. Dir. Psychol. Sci. 2006, 15, 105–108. [Google Scholar] [CrossRef]
- Church, A.T.; Katigbak, M.S.; Miramontes, L.G.; Del Prado, A.M.; Cabrera, H.F. Culture and the behavioural manifestations of traits: An application of the Act Frequency Approach. Eur. J. Pers. 2007, 21, 389–417. [Google Scholar] [CrossRef]
- Chen, X.S. Behavioral Manifestations of Modesty: A Cross-Cultural Study in Hong Kong and Shanghai. Ph.D. Thesis, Chinese University of Hong Kong, Hong Kong, China, 2004. [Google Scholar]
- Cronk, L. Culture’s influence on behavior: Steps toward a theory. Evol. Behav. Sci. 2017, 11, 36. [Google Scholar] [CrossRef]
- Andrews, B.J.; Roberts, J.J.; Shipton, Z.K.; Bigi, S.; Tartarello, M.C.; Johnson, G. How do we see fractures? Quan-tifying subjective bias in fracture data collection. Solid Earth 2019, 10, 487–516. [Google Scholar] [CrossRef]
- Witkin, H.A.; Goodenough, D.R. Field dependence and interpersonal behavior. Psychol. Bull. 1977, 84, 661. [Google Scholar] [CrossRef]
- Bendall, R.C.A.; Galpin, A.; Marrow, L.P.; Cassidy, S. Cognitive Style: Time to Experiment. Front. Psychol. 2016, 7, 1786. [Google Scholar] [CrossRef]
- Evans, J.S.B.T. Dual-Processing Accounts of Reasoning, Judgment, and Social Cognition. Annu. Rev. Psychol. 2008, 59, 255–278. [Google Scholar]
- Frankish, K.; Evans, J.S.B.T. The duality of mind: An historical perspective. In In Two Minds: Dual Processes and Beyond; Oxford University Press: Oxford, UK, 2009; pp. 1–29. [Google Scholar]
- Kahneman, D. A perspective on judgment and choice: Mapping bounded rationality. Am. Psychol. 2003, 58, 697. [Google Scholar] [CrossRef] [PubMed] [Green Version]
- Armstrong, S.J.; Cools, E.; Sadler-Smith, E. Role of Cognitive Styles in Business and Management: Reviewing 40 Years of Research. Int. J. Manag. Rev. 2012, 14, 238–262. [Google Scholar]
- Fuller, L.R.; Kaplan, S.E. A Note about the Effect of Auditor Cognitive Style on Task Performance. Behav. Res. Account. 2004, 16, 131–143. [Google Scholar]
- Lowe, D.G. Distinctive Image Features from Scale-Invariant Keypoints. Int. J. Comput. Vis. 2004, 60, 91–110. [Google Scholar] [CrossRef]
- Mendoza-Martinez, C.; Pedraza-Ortega, J.C.; Ramos-Arreguin, J.M. A Novel Approach for Face Authentication Using Speeded Up Robust Features Algorithm. In Human-Inspired Computing and Its Applications, Proceedings of the Mexican International Conference on Artificial Intelligence, Tuxtla Gutiérrez, Mexico, 16–22 November 2014; Springer: Cham, Switzerland, 2014; pp. 356–367. [Google Scholar]
- Oyallon, E.; Rabin, J. An Analysis of the SURF Method. Image Process. Line 2015, 5, 176–218. [Google Scholar] [CrossRef]
- O’Mahony, N.; Campbell, S.; Carvalho, A.; Harapanahalli, S.; Hernandez, G.V.; Krpalkova, L.; Riordan, D.; Walsh, J. Deep Learning vs. Traditional Computer Vision. arXiv 2019, arXiv:1910.13796. [Google Scholar]
- Moisan, L.; Moulon, P.; Monasse, P. Automatic Homographic Registration of a Pair of Images, with A Contrario Elimination of Outliers. Image Process. Line 2012, 2, 56–73. [Google Scholar] [CrossRef]
- Sori, M.M.; Byrne, S.; Bland, M.T.; Bramson, A.M.; Ermakov, A.I.; Hamilton, C.W.; Otto, K.A.; Ruesch, O.; Russell, C.T. The vanishing cryovolcanoes of Ceres. Geophys. Res. Lett. 2017, 44, 1243–1250. [Google Scholar] [CrossRef]
- Neisser, U. The control of information pickup in selective looking. In Perception and Its Development: A Tribute to Eleanor J. Gibson; Pick, A.D., Ed.; Lawrence Erlbaum Associates: Hillsdale, NJ, USA, 1979; pp. 201–219. [Google Scholar]
- Simons, D.J.; Chabris, C.F. Gorillas in our midst: Sustained inattentional blindness for dynamic events. Perception 1999, 28, 1059–1074. [Google Scholar] [CrossRef]
- Simons, D.J. Monkeying around with the Gorillas in Our Midst: Familiarity with an Inattentional-Blindness Task Does Not Improve the Detection of Unexpected Events. i-Perception 2010, 1, 3–6. [Google Scholar] [PubMed] [Green Version]
- De la Torre, G.G.; Garcia, M.A. The cosmic gorilla effect or the problem of undetected non terrestrial intelligent signals. Acta Astronaut. 2018, 146, 83–91. [Google Scholar]
- Zambon, F.; Raponi, A.; Tosi, F.; De Sanctis, M.C.; McFadden, L.A.; Carrozzo, F.G.; Longobardo, F.; Krohn, A.; Stephan, K.; Palomba, K.; et al. Spectral analysis of Ahuna Mons from Dawn mission’s visible-infrared spectrometer. Geophys. Res. Lett. 2017, 44, 97–104. [Google Scholar]
- Scully, J.E.C.; Baker, S.R.; Castillo-Rogez, J.C.; Buczkowski, D.L.; Williams, D.A.; Sori, M.M. Potential Landing Sites for a Future Ceres Lander. In Proceedings of the Lunar and Planetary Science Conference, The Woodlands, TX, USA, 16–20 March 2020; Volume 2326, p. 1617. [Google Scholar]
- Singam, C.A.; Haqq-Misra, J.; Balbi, A.; Sessa, A.M.; Villarroel, B.; De la Torre, G.G.; Grinspoon, D.; Furukawa, H. Evaluation of Investigational Paradigms for the Discovery of Non-Canonical Astrophysical Phenomena. arXiv 2020, arXiv:2011.10086. [Google Scholar]
- Davies, P.; Wagner, R. Searching for alien artifacts on the moon. Acta Astronaut. 2013, 89, 261–265. [Google Scholar]
- Lesnikowski, A.; Bickel, V.T.; Angerhausen, D. Unsupervised Distribution Learning for Lunar Surface Anomaly Detection. arXiv 2020, arXiv:2001.04634. [Google Scholar]
- Haqq-Misra, J.; Kopparapu, R.K. On the likelihood of non-terrestrial artifacts in the Solar System. Acta Astronaut. 2012, 72, 15–20. [Google Scholar]
- Buchanan, M. Searching for Civilization. Ph.D. Thesis, Nature Publishing Group, Berlin, Germany, 2019. [Google Scholar]
- Gelino, D. NASA and the Search for Technosignatures: A Report from the NASA Technosignatures Workshop.: NASA Technosignatures Workshop Participants. arXiv 2018, arXiv:1812.08681. [Google Scholar]
- Dyson, F.J. Search for Artificial Stellar Sources of Infrared Radiation. Science 1960, 131, 1667–1668. [Google Scholar]










| Parameters | Explanation |
|---|---|
| Hessian threshold | Threshold value for filtering out the sharp keypoint detectors after applying Hessian on the output image. |
| n Octaves | Height of the octaves used to create pyramid for scale invariance. |
| n Octave layers | Number of layers used in each octave of the pyramid. |
| extended | Impacts the size of descriptor. False gives a 64D descriptor and true gives a 128D descriptor. |
| upright | Flag for computing orientation of the features to be included in the descriptor. |
| n features | Number of features that are to be included in the ORB descriptor. |
| Scale factor | Determines the factor by which the next pyramid level will decrease for scale invariance processing. |
| n levels | Gives the number of levels that the pyramid may have. |
| Edge threshold | Sets the number of pixels that are not to be considered in the descriptor. |
| First level | Level number that will contain the actual source image in the pyramid. |
| WTA_K | Impacts the dimension of the element in orient based BRIEF descriptor. |
| Score type | Takes the algorithm to be used for ranking and obtaining the best features for the target input. Default is kept to be HARRIS_SCORE. |
| Patch Size | Window size to be used for filtering a particular space (patch) in the image. |
| Fast threshold | Threshold used by the FAST algorithm to obtain the best feature keypoints. |
| contrast threshold | Threshold used by the SIFT feature to remove low contrast. |
| corn_thresh | Corner threshold value to filter whether the point is a corner. |
| DOG_thresh | Difference of Gaussians filter threshold for the selection of best points. |
| maxCorners | Limit on the maximum number of corners that an image may contain. |
| num_layers | Used by SIFT to determine the number of middle layers in an octave. |
| bytes | Sets the descriptor size for the BRIEF algorithm. |
| use_orientation | Flag to use orientation patterns/measure in the keypoint descriptor. |
| Method | Total Matches | Best Filtered Matches | Match Ratio | Execution Runtime (Seconds) |
|---|---|---|---|---|
| SURF | 1781 | 3 | 0.1684 | 1.462 |
| SIFT | 1500 | 0 | 0.0000 | 0.699 |
| ORB | 200 | 0 | 0.0000 | 0.059 |
| Canny edge | 1018 | 2 | 0.1964 | 0.842 |
| Method | Total Matches | Best Filtered Matches | Match Ratio | Execution Runtime (Seconds) |
|---|---|---|---|---|
| SURF | 1526 | 87 | 5.701 | 0.873 |
| SIFT | 1500 | 56 | 3.733 | 0.613 |
| ORB | 4682 | 52 | 1.111 | 0.739 |
| Canny edge | 1223 | 17 | 1.390 | 0.473 |
Publisher’s Note: MDPI stays neutral with regard to jurisdictional claims in published maps and institutional affiliations. |
© 2022 by the author. Licensee MDPI, Basel, Switzerland. This article is an open access article distributed under the terms and conditions of the Creative Commons Attribution (CC BY) license (https://creativecommons.org/licenses/by/4.0/).
Share and Cite
De la Torre, G.G. Evaluation of Several Computer Vision Feature Detectors/Extractors on Ahuna Mons Region in Ceres and Its Implications for Technosignatures Search. Vision 2022, 6, 54. https://doi.org/10.3390/vision6030054
De la Torre GG. Evaluation of Several Computer Vision Feature Detectors/Extractors on Ahuna Mons Region in Ceres and Its Implications for Technosignatures Search. Vision. 2022; 6(3):54. https://doi.org/10.3390/vision6030054
Chicago/Turabian StyleDe la Torre, Gabriel G. 2022. "Evaluation of Several Computer Vision Feature Detectors/Extractors on Ahuna Mons Region in Ceres and Its Implications for Technosignatures Search" Vision 6, no. 3: 54. https://doi.org/10.3390/vision6030054
APA StyleDe la Torre, G. G. (2022). Evaluation of Several Computer Vision Feature Detectors/Extractors on Ahuna Mons Region in Ceres and Its Implications for Technosignatures Search. Vision, 6(3), 54. https://doi.org/10.3390/vision6030054

