Deep Underground Neutrino Experiment (DUNE) Near Detector Conceptual Design Report
Abstract
| Contents | ||
| 1. | Introduction and Executive Summary ……………………………………………………………………………………………………………… | 11 |
| 1.1. Need for the Near Detector …………………………………………………………………………………………………………………… | 13 | |
| 1.2. Overview of the Near Detector ………………………………………………………………………………………………………………… | 14 | |
| 1.3. More on the Role of the ND and Lessons Learned …………………………………………………………………………………………… | 17 | |
| 1.3.1. An introduction to Some of the Key Complications ……………………………………………………………………………… | 18 | |
| 1.3.2. Lessons from Current Experiments ………………………………………………………………………………………………… | 19 | |
| 1.3.3. Incorporating Lessons from Current Experiments ………………………………………………………………………………… | 23 | |
| 1.4. Near Detector Requirements …………………………………………………………………………………………………………………… | 24 | |
| 1.4.1. Overarching Requirements …………………………………………………………………………………………………………… | 26 | |
| 1.4.2. Measurement Requirements ………………………………………………………………………………………………………… | 27 | |
| 1.4.3. Capability Requirements …………………………………………………………………………………………………………… | 30 | |
| 1.5. Management and Organization of the Near Detector Effort ……………………………………………………………………………… | 37 | |
| 2. | Liquid Argon TPC-ND-LAr ………………………………………………………………………………………………………………………… | 39 |
| 2.1. Introduction …………………………………………………………………………………………………………………………………… | 39 | |
| 2.2. Requirements …………………………………………………………………………………………………………………………………… | 41 | |
| 2.3. Overview of ndlar ArgonCube Structure …………………………………………………………………………………………………… | 42 | |
| 2.3.1. Field Structures ……………………………………………………………………………………………………………………… | 43 | |
| 2.3.2. Charge Readout ……………………………………………………………………………………………………………………… | 45 | |
| 2.3.3. Light Readout ………………………………………………………………………………………………………………………… | 47 | |
| 2.3.4. Module Structures …………………………………………………………………………………………………………………… | 48 | |
| 2.3.5. High Voltage ………………………………………………………………………………………………………………………… | 50 | |
| 2.4. The LArTPC Demonstrator Program ………………………………………………………………………………………………………… | 52 | |
| 2.4.1. Prototyping Plans …………………………………………………………………………………………………………………… | 53 | |
| 2.4.2. SingleCube Demonstrators ………………………………………………………………………………………………………… | 53 | |
| 2.4.3. ArgonCube 2 × 2 Demonstrator …………………………………………………………………………………………………… | 54 | |
| 2.4.4. Full-Scale Demonstrator …………………………………………………………………………………………………………… | 56 | |
| 2.5. pdnd Physics Studies ………………………………………………………………………………………………………………………… | 56 | |
| 2.5.1. Combining Light and Charge Signals …………………………………………………………………………………………… | 60 | |
| 2.5.2. Neutron Tagging …………………………………………………………………………………………………………………… | 60 | |
| 2.5.3. Reconstruction in a Modular Environment ………………………………………………………………………………………… | 64 | |
| 2.5.4. Neutral Pion Reconstruction ………………………………………………………………………………………………………… | 65 | |
| 2.5.5. Additional Studies with MINERvA Components ………………………………………………………………………………… | 67 | |
| 2.6. Acceptance and Detector Size ………………………………………………………………………………………………………………… | 67 | |
| 2.6.1. Required Dimensions for Hadronic Shower Containment ……………………………………………………………………… | 68 | |
| 2.6.2. Muon Reconstruction ………………………………………………………………………………………………………………… | 69 | |
| 2.6.3. Acceptance vs ………………………………………………………………………………………………………………………… | 70 | |
| 2.6.4. arcube Module Dimensions ………………………………………………………………………………………………………… | 72 | |
| 2.7. Event Rates in the nd LArTPC ………………………………………………………………………………………………………………… | 73 | |
| 2.8. Neutrino Pile-Up Mitigation …………………………………………………………………………………………………………………… | 74 | |
| 2.9. Muon and Electron Momentum Resolution and Scale Error ……………………………………………………………………………… | 75 | |
| 2.10. Flux Constraint with ND-LAr ………………………………………………………………………………………………………………… | 75 | |
| 2.10.1. Neutrino-Electron Elastic Scattering ……………………………………………………………………………………………… | 75 | |
| 2.10.2. Events with Low Energy Transfer to the Hadronic System …………………………………………………………………… | 77 | |
| 3. | Magnetized Argon Target System: ND-GAr …………………………………………………………………………………………………………… | 79 |
| 3.1. Introduction ……………………………………………………………………………………………………………………………………… | 79 | |
| 3.2. Role in Fulfilling Requirements ……………………………………………………………………………………………………………… | 79 | |
| 3.3. Reference Design ………………………………………………………………………………………………………………………………… | 81 | |
| 3.3.1. High-Pressure Gaseous Argon TPC (HPgTPC) ……………………………………………………………………………………… | 81 | |
| 3.3.2. HPgTPC Pressure Vessel ……………………………………………………………………………………………………………… | 84 | |
| 3.3.3. Electromagnetic Calorimeter (ECAL) ………………………………………………………………………………………………… | 86 | |
| 3.3.4. Magnet ………………………………………………………………………………………………………………………………… | 89 | |
| 3.3.5. Muon System …………………………………………………………………………………………………………………………… | 91 | |
| 3.4. Expected Performance …………………………………………………………………………………………………………………………… | 92 | |
| 3.4.1. Event Rates …………………………………………………………………………………………………………………………… | 92 | |
| 3.4.2. Essential ND-GAr Performance Metrics ……………………………………………………………………………………………… | 93 | |
| 3.4.3. Kinematic Acceptance for Muons ………………………………………………………………………………………………… | 94 | |
| 3.4.4. Magnetic Field Calibration …………………………………………………………………………………………………………… | 95 | |
| 3.4.5. Track Reconstruction and Particle Identification ………………………………………………………………………………… | 96 | |
| 3.4.6. ECAL Performance ……………………………………………………………………………………………………………………… | 107 | |
| 3.4.7. Muon System Performance …………………………………………………………………………………………………………… | 115 | |
| 4. | DUNE-PRISM …………………………………………………………………………………………………………………………………………… | 117 |
| 4.1. Introduction to DUNE-PRISM ………………………………………………………………………………………………………………… | 117 | |
| 4.2. Requirements …………………………………………………………………………………………………………………………………… | 119 | |
| 4.3. Oscillation Parameter Biases from Neutrino Interaction Modeling ……………………………………………………………………… | 119 | |
| 4.3.1. Reconstructed Neutrino Energy and Event Selection …………………………………………………………………………… | 120 | |
| 4.3.2. Mock Data Set with 20% Missing Proton Energy ………………………………………………………………………………… | 121 | |
| 4.3.3. Multivariate Event Reweighting …………………………………………………………………………………………………… | 121 | |
| 4.3.4. Propagation of the Model in True Kinematic Variables ………………………………………………………………………… | 124 | |
| 4.3.5. Effect on Measured Oscillation Parameters ……………………………………………………………………………………… | 124 | |
| 4.4. The DUNE-PRISM Measurement Program …………………………………………………………………………………………………… | 125 | |
| 4.4.1. Event Rates and Run Plan …………………………………………………………………………………………………………… | 128 | |
| 4.4.2. The LBNF Neutrino Flux at the Near Site ………………………………………………………………………………………… | 130 | |
| 4.5. Flux Matching …………………………………………………………………………………………………………………………………… | 130 | |
| 4.5.1. Incorporating Horn Current Fluxes ………………………………………………………………………………………………… | 132 | |
| 4.5.2. Electron Neutrino Appearance Flux Matching …………………………………………………………………………………… | 134 | |
| 4.5.3. Gaussian Flux Matching ……………………………………………………………………………………………………………… | 135 | |
| 4.6. Flux Systematic Uncertainties ………………………………………………………………………………………………………………… | 135 | |
| 4.6.1. Impact on Linear Combination Analysis ………………………………………………………………………………………… | 135 | |
| 4.6.2. Systematic Uncertainties on Gaussian Fluxes …………………………………………………………………………………… | 137 | |
| 4.7. Linear Combination Oscillation Analysis …………………………………………………………………………………………………… | 137 | |
| 5. | System for On-Axis Neutrino Detection–SAND …………………………………………………………………………………………………… | 142 |
| 5.1. Overview ……………………………………………………………………………………………………………………………………… | 142 | |
| 5.2. Role in Fulfilling Requirements ……………………………………………………………………………………………………………… | 142 | |
| 5.3. The Overall Design of SAND ………………………………………………………………………………………………………………… | 143 | |
| 5.3.1. The Superconducting Magnet ……………………………………………………………………………………………………… | 144 | |
| 5.3.2. The KLOE Lead/Scintillating-Fiber Calorimeter …………………………………………………………………………………… | 146 | |
| 5.3.3. Inner Target/Tracker ………………………………………………………………………………………………………………… | 149 | |
| 5.4. Technologies for the Inner Target Tracker …………………………………………………………………………………………………… | 149 | |
| 5.4.1. Three-Dimensional Projection Scintillator Tracker ……………………………………………………………………………… | 149 | |
| 5.4.2. Straw Tube Tracker Technology and Design ……………………………………………………………………………………… | 154 | |
| 5.4.3. Time Projection Chambers ………………………………………………………………………………………………………… | 157 | |
| 5.4.4. LAr Active Target …………………………………………………………………………………………………………………… | 160 | |
| 5.5. Design Options for the Inner Target Tracker ………………………………………………………………………………………………… | 160 | |
| 5.5.1. The 3DST+TPCs Design Option ……………………………………………………………………………………………………… | 160 | |
| 5.5.2. The 3DST+STT Design Option ……………………………………………………………………………………………………… | 161 | |
| 5.5.3. The STT-Only Design Option ……………………………………………………………………………………………………… | 161 | |
| 5.6. Detector and Physics Performance …………………………………………………………………………………………………………… | 162 | |
| 5.6.1. On-Axis Beam Monitoring ………………………………………………………………………………………………………… | 163 | |
| 5.6.2. Neutron Detection …………………………………………………………………………………………………………………… | 168 | |
| 5.6.3. Measurement of ν(ν¯)-Hydrogen Interactions …………………………………………………………………………………… | 170 | |
| 5.6.4. Flux Measurements …………………………………………………………………………………………………………………… | 172 | |
| 5.6.5. Constraining ν(ν¯)-Nucleus Cross-sections and Nuclear Effects ………………………………………………………………… | 174 | |
| 5.6.6. External Backgrounds ………………………………………………………………………………………………………………… | 175 | |
| 6. | Measurements of Flux and Cross Sections ………………………………………………………………………………………………………… | 176 |
| 6.1. Flux Prediction from Beam Simulation ……………………………………………………………………………………………………… | 177 | |
| 6.2. Flux Measurements …………………………………………………………………………………………………………………………… | 178 | |
| 6.2.1. Inclusive Muon Neutrino CC Interactions ………………………………………………………………………………………… | 178 | |
| 6.2.2. Neutrino-Electron Elastic Scattering ……………………………………………………………………………………………… | 178 | |
| 6.2.3. Scattering with Low Energy Transfer to the Hadronic System ………………………………………………………………… | 179 | |
| 6.2.4. Measurements Using Neutrino-Hydrogen Interactions ………………………………………………………………………… | 179 | |
| 6.2.5. Intrinsic Electron Neutrino Flux …………………………………………………………………………………………………… | 179 | |
| 6.3. The Importance of Cross Section Measurements …………………………………………………………………………………………… | 180 | |
| 6.4. Interactions in the DUNE Energy Range ……………………………………………………………………………………………………… | 182 | |
| 6.4.1. Quasi-Elastic Interactions …………………………………………………………………………………………………………… | 182 | |
| 6.4.2. Resonant Pion Production ………………………………………………………………………………………………………… | 183 | |
| 6.4.3. Inelastic Scattering ………………………………………………………………………………………………………………… | 184 | |
| 6.4.4. Coherent Pion Production ………………………………………………………………………………………………………… | 187 | |
| 6.5. Scattering from Heavy Nuclei ……………………………………………………………………………………………………………… | 189 | |
| 6.5.1. Base Nuclear Models ……………………………………………………………………………………………………………… | 189 | |
| 6.5.2. Multi-Nucleon Effects ……………………………………………………………………………………………………………… | 190 | |
| 6.5.3. Final-State Interactions ……………………………………………………………………………………………………………… | 190 | |
| 6.5.4. Electron-Nucleus Scattering ………………………………………………………………………………………………………… | 191 | |
| 6.6. Case Studies of Cross Section Measurements at the Near Detector ……………………………………………………………………… | 193 | |
| 6.6.1. Separating Interaction Channels by Pion Multiplicity …………………………………………………………………………… | 193 | |
| 6.6.2. Investigating Nuclear Effects through Transverse Kinematic Imbalance ……………………………………………………… | 195 | |
| 7. | Other Physics Opportunities with the ND ………………………………………………………………………………………………………… | 198 |
| 7.1. Beyond the Standard Model Physics ………………………………………………………………………………………………………… | 199 | |
| 7.1.1. Searches for Light Dark Matter …………………………………………………………………………………………………… | 199 | |
| 7.1.2. Neutrino Tridents …………………………………………………………………………………………………………………… | 202 | |
| 7.1.3. Search for Heavy Neutral Leptons ………………………………………………………………………………………………… | 203 | |
| 7.1.4. Sterile Neutrino Probes ……………………………………………………………………………………………………………… | 206 | |
| 7.1.5. Searches for Large Extra Dimensions ……………………………………………………………………………………………… | 207 | |
| 7.1.6. Non-Standard Neutrino Interactions ……………………………………………………………………………………………… | 208 | |
| 7.1.7. Lorentz- and CPT-Symmetry Tests ………………………………………………………………………………………………… | 209 | |
| 7.2. Some Standard Model Physics Opportunities ……………………………………………………………………………………………… | 209 | |
| 7.2.1. Electroweak Mixing Angle ………………………………………………………………………………………………………… | 210 | |
| 7.2.2. Background to Proton Decay ……………………………………………………………………………………………………… | 210 | |
| 7.2.3. Strange Particles and MA from Hyperon Decays ……………………………………………………………………………… | 210 | |
| 7.2.4. QCD and Nucleon Structure ……………………………………………………………………………………………………… | 211 | |
| 7.2.5. Isospin Physics and Sum Rules …………………………………………………………………………………………………… | 212 | |
| 8. | The ND Cavern and Facilities ……………………………………………………………………………………………………………………… | 212 |
| 8.1. Introduction …………………………………………………………………………………………………………………………………… | 212 | |
| 8.1.1. Near Detector Cavern Layout ……………………………………………………………………………………………………… | 212 | |
| 8.1.2. Detector Arrangement and Neutrino Beamline ………………………………………………………………………………… | 214 | |
| 8.2. Near Detector Installation Details …………………………………………………………………………………………………………… | 215 | |
| 8.2.1. ND-LAr Subdetector ………………………………………………………………………………………………………………… | 215 | |
| 8.2.2. ND-GAr Subdetector ………………………………………………………………………………………………………………… | 217 | |
| 8.2.3. SAND Beam Monitor ………………………………………………………………………………………………………………… | 218 | |
| 8.2.4. PRISM System ………………………………………………………………………………………………………………………… | 220 | |
| 8.3. Near Detector Facility and Installation Planning …………………………………………………………………………………………… | 224 | |
| 8.3.1. Surface Building and Rigging Access ……………………………………………………………………………………………… | 224 | |
| 8.3.2. Auxiliary Building Systems ………………………………………………………………………………………………………… | 226 | |
| 8.3.3. Installation Schedule ………………………………………………………………………………………………………………… | 229 | |
| 9. | Computing and DAQ for the ND …………………………………………………………………………………………………………………… | 231 |
| 9.1. Introduction …………………………………………………………………………………………………………………………………… | 231 | |
| 9.2. Overview ……………………………………………………………………………………………………………………………………… | 231 | |
| 9.3. Steady-State Data Types and Volume Estimates …………………………………………………………………………………………… | 232 | |
| 9.3.1. Beam and Detector Downtime Estimations ………………………………………………………………………………………… | 232 | |
| 9.3.2. Detector Components ……………………………………………………………………………………………………………… | 232 | |
| 9.4. Simulation ……………………………………………………………………………………………………………………………………… | 235 | |
| 9.5. Analysis ………………………………………………………………………………………………………………………………………… | 235 | |
| 9.6. Large-Scale Prototypes–ProtoDUNE-ND …………………………………………………………………………………………………… | 236 | |
| 9.7. Resource Usage Scenario ……………………………………………………………………………………………………………………… | 236 | |
| 9.8. DAQ System Introduction ……………………………………………………………………………………………………………………… | 237 | |
| 9.9. DAQ System Requirements …………………………………………………………………………………………………………………… | 237 | |
| 9.10. Reference Design ……………………………………………………………………………………………………………………………… | 238 | |
| 9.11. Data Selection ………………………………………………………………………………………………………………………………… | 239 | |
| 9.11.1. Timing ……………………………………………………………………………………………………………………………… | 239 | |
| 9.11.2. Backend DAQ ……………………………………………………………………………………………………………………… | 239 | |
| 9.11.3. Configuration, Control, and Monitoring ………………………………………………………………………………………… | 239 | |
| References ………………………………………………………………………………………………………………………………………………………… | 241 | |
1. Introduction and Executive Summary
- Conduct a comprehensive program of neutrino oscillation measurements using the intense LBNF (anti)neutrino beam;
- Search for proton decay in several decay modes;
- Detect and measure the flux from a core-collapse supernova within our galaxy, should one happen during the lifetime of the experiment.
- Other accelerator-based neutrino flavor transition measurements with sensitivity to BSM phenomena;
- Measurements of neutrino oscillations using atmospheric neutrinos.
- Searches for dark matter;
- A rich program of neutrino interaction physics, including a wide range of measurements of neutrino cross sections and studies of nuclear effects.
- The ND makes a high-statistics characterization of the beam close to the source. In the three-neutrino oscillation paradigm, this provides the initial state of the beam which is compared to the observations in the far detector to extract oscillation parameters. The use of a LArTPC in the ND that is functionally similar to the FD helps to reduce systematic uncertainties associated with detector and nuclear effects.
- The ND includes a powerful spectral beam monitor that can be used to detect changes in the beam in a timely fashion. The data are also useful for tuning the beam model and pinpointing the cause for changes in the beam. Since the beam model is used to extrapolate observations in the ND to the expected signal in the FD, it is a source of uncertainty that needs to be constrained.
- The high statistics collected in the ND, as well as the similar-to-superior particle ID and kinematic phase space coverage relative to the FD, make the ND data extremely useful for tuning the neutrino interaction model used to move between the beam model and the observed data. This tuning is an established, powerful technique for reducing the systematic errors in the extracted oscillation parameters. These data also will provide critically important input for improving the neutrino interaction model which, in turn, can lead to reduced and/or better understood systematic uncertainties.
- The ND will have the capability of taking data at different off-axis beam positions, which will provide data sets with different beam spectra. This will allow DUNE to deconvolve the beam and cross section models and constrain each separately. This capability also provides a powerful handle for understanding the ND response matrix and allows the creation of ND data sets with flux spectra very similar to the oscillated FD fluxes, minimizing errors arising from the near-to-far flux difference, particularly those related to the neutrino interaction model.
1.1. Need for the Near Detector
1.2. Overview of the Near Detector
1.3. More on the Role of the ND and Lessons Learned
1.3.1. An introduction to Some of the Key Complications
1.3.2. Lessons from Current Experiments
- The MINERvA tune that fits both neutrino and antineutrino CCQE data involves a significant enhancement and distortion of the 2p2h contribution to the cross section. The real physical origin of this cross-section strength is unknown. Models of multinucleon processes disagree significantly in predicted rates.
- Multinucleon processes likely contribute to resonance production. This is neither modeled nor well constrained.
- Cross-section measurements used for comparison to models are a convolution of what the models view as initial state, hard scattering, and final state physics. Measurements able to deconvolve these contributions are expected to be very useful for model refinements.10
- Most neutrino generators make assumptions about the structure of form factors and factorize nuclear effects in neutrino interactions into initial and final state effects via the impulse approximation. These are likely oversimplifications. The models will evolve and the systematic uncertainties will need to be evaluated in light of that evolution.
- Most neutrino detectors are largely blind to neutrons and low-momentum protons and pions (though some are visible via Michel decay). This leads to smearing in the reconstructed energy and tranverse momentum, as well as a reduced ability to accurately identify specific interaction morphologies. The closure of these holes in the reconstructed particle phase space is expected to provide improved handles for model refinement.
- There may be small but significant differences between the and CCQE cross sections which are poorly constrained [37].
- It is not possible, with current computing resources, to make ab initio calculations for heavy nuclei. Assumptions must be made in any nuclear model.
1.3.3. Incorporating Lessons from Current Experiments
1.4. Near Detector Requirements
- Overarching: General goals of the ND system that must be fulfilled in order for DUNE to achieve its scientific goals.
- Measurements: Measurements that must be performed with the ND in order to fulfill the overarching requirements.
- Capabilities: Capabilities, in terms of detector performance, statistics, etc. that the ND subsystems must have to perform the required measurements.
- Technical: Technical specifications of detectors, in terms of dimensions, mass, tolerances, etc. that must be fulfilled in order for the subsystems to have their required capabilities.
- The requirements focus on the immediate needs of the long-baseline neutrino oscillation analysis. Neutrino interaction/cross section and beyond the Standard Model physics are an important part of the ND and DUNE program overall. However the requirements for these physics programs are not reflected in these tables. Likewise there are many measurements, particularly neutrino interaction studies, that would provide important cross checks which are also not in the scope of these requirements.
- The requirements remain a work in progress and will be continuously developed as simulation tools and other developments continue. In some cases, the requirements, particularly for the higher level overarching and measurement requirements, do not lend themselves to quantitative specifications. In other cases, such specifications are still being studied, in which case there is a blank entry.
- The fourth level of “Technical Requirements” is still in development for each detector system and are not described in the document.
1.4.1. Overarching Requirements
- ND-O1: ND measurements must be transferable to the FD. Since the FD are LArTPCs, the ND must be able to measure interactions on an argon target, and furthermore must have a component that is a LArTPC. The transfer must be performed accounting for uncertainties arising from detector modeling, including thresholds, efficiencies, purities, and resolutions for observables that are used in the FD, as well as uncertainties in the flux and cross-section prediction.
- ND-O2: The FD performance couples the modeling of the outgoing particles in terms of the exclusive and differential cross sections to the efficiency to identify these particles. The ND detector must sufficiently measure and constrain the uncertainties in this modeling to minimize their impact on the oscillation measurement.
- ND-O3: The ab initio prediction of the neutrino flux based on Monte Carlo simulation has significant uncertainties arising from particle production, beam optics, operational variation, etc. that must be constrained by the ND. The various flavor components of the beam must also be suitably constrained.
- ND-O4: Due to the primary role of the neutrino energy in the oscillation physics and the significant model dependence in reconstructing this quantity, the ND must verify that its model predictions and constraints are robust by taking data with different neutrino spectra.
- ND-O5: The flux and spectrum of neutrinos delivered by the beam can vary due to operational variations as well as unexpected component variances or failures. The ND must detect such variations promptly to minimize impact on overall data quality.
- ND-O6: The ND must separate cosmic rays, rock muons, and other beam-induced activity from the activity associated with neutrino interactions in the fiducial volume (FV), including from other neutrino interactions that may be happening in the FV (pile-up).
1.4.2. Measurement Requirements
- ND-M1: Due to the intrinsic coupling between the outgoing particles as modeled by the neutrino cross-section model (ND-O2) and the detector response (ND-O1), the ND must have a LArTPC component that performs comparably or better than the FD in all performance metrics relevant for identifying and reconstructing neutrino interactions at the FD for a representative sample of neutrino interactions in order to directly inform how such interactions would appear in the FD. For the critical task of muon spectrometry, due to the limited space in the near detector conventional facilities which results in the inability to make muon momentum measurements by range for forward, high momentum muons from ND-LAr, ND-GAr provides this capability for neutrino interactions observed in ND-LAr. Specific metrics are described in the related capabilities requirements that follow.
- ND-M3-6: These measurements relate to measuring the neutrino flux as described in ND-O3. “Standard candles” such as elastic scattering (ND-M3) and “low-”’ events (ND-M4) with small energy transfer must be performed by the ND in order to verify and reduce the uncertainties in the flux model. Due to the small cross section of interactions, this requirement also drives the fiducial mass and electron identification and reconstruction capabilities of ND-LAr, which will perform this measurement. This will also allow it to perform a measurement of the intrinsic content of the beam (ND-M6) that is an irreducible background to events at the FD. The sign selection capabilities of ND-GAr allow the measurement of the “wrong sign” content of the beam (i.e., neutrinos in RHC and vice versa) which dilute asymmetry measurements at the FD (which does not have this separation), with events originating in both ND-LAr and ND-GAr and events in ND-GAr. Target uncertainties in these measurements are set so that they saturate the systematic error budget for a observation of CP violation in the most favorable scenarios.
- ND-M2: Systematic errors in the FD will depend on the accuracy with which thresholds, acceptances, and other detector effects in LArTPC (e.g., secondary interactions) are modeled, which couple to the intrinsic properties of the neutrino interactions in terms of the multiplicity, topology, type, and kinematics of the particles emerging (mainly pions and nucleons) from the interaction, and impact the performance of LArTPCs, including ND-LAr. A magnetized low density argon-based detector surrounded by a calorimeter and a muon system (much like a collider detector) verifies these intrinsic properties are properly modeled prior to the detector effects associated with the dense tracking medium in the FD and ND-LAr.
- ND-M7: The primary means by which the spectrum at the ND will be varied (ND-O4) is by DUNE-PRISM, which exploits the steady decrease and narrowing of neutrino energies as one samples the beam further from the beam axis. Localized variations of the spectrum across the energy range of interest for neutrino oscillation measurements are needed to validate the model across these energies.
- ND-M8, 9: The on-axis neutrino flux which is incident on the FD must be continuously monitored for potential variations in the beam line operations, both controlled and inadvertent. The on-axis position also has the largest spectrum variation and flux in the event of any such variation. ND-O5 is fulfilled by the SAND, which must remain on-axis and have sufficient rate (ND-M8), muon spectrometry, and position capabilities (ND-M9) to perform this monitoring.
- ND-M10: Due to the shallow site and the intensity of the neutrino beam, the ND operates in an environment with cosmic rays and a high level of beam-induced background activity. In order to verify that these backgrounds are correctly accounted for and modeled, the ND must be able to measure them.
1.4.3. Capability Requirements
1.4.3.1. ND-M1/ND-C1.1.(1-4): Match FD Performance in ND-LAr
1.4.3.2. ND-M3/ND-C1.2.(1-5): Elastic Scattering
1.4.3.3. ND-M4: Low-
1.4.3.4. ND-M5: Wrong Sign Background
1.4.3.5. ND-M6: Intrinsic Background
1.4.3.6. ND-M10/ND-C1.3.(1,2)
1.4.3.7. ND-M1,4,5,10/ND-C2.(1-4): Reconstruction of muons from ND-LAr with ND-GAr
1.4.3.8. ND-M2,4,5,6/ND-C3.(1-7): Low-Threshold, Uniform Acceptance Measurements in ND-GAr
1.4.3.9. ND-M7/ND-C4.1-5: DUNE-PRISM
1.4.3.10. ND-M8,9/ND-C5.1-4: On-Axis Beam Monitoring
1.5. Management and Organization of the Near Detector Effort
- ND Liquid-argon consortium (ND-LAr);
- ND Beam Monitor consortium (SAND).
2. Liquid Argon TPC - ND-LAr
2.1. Introduction
2.2. Requirements
- To fulfill the overarching requirement ND-O1 and the measurement requirement ND-M1, the ND must have a LArTPC. The reconstruction capabilities of the ND-LAr have to be comparable to the far detector despite the high intensity of the beam at the near site, in order to effectively transfer measurements. This means that the interactions must be observed in liquid argon with sufficiently high acceptance to cover the phase space of neutrino energy and energy transfer with small uncertainties. The ND-LAr fills this role as described in Section 2.6.
- To fulfill the overarching requirement ND-O3 and measurement requirement ND-M3 the ND-LAr must be able to measure the neutrino flux using established techniques with sufficient statistics that it can constrain the flux at the FD over periods relevant for oscillation analyses. The ND-LAr fulfills ND-M3 and the derived requirements by measuring the flux with reliable standard candles, such as the -e scattering, providing a normalization measurement. The event rates are shown in Section 2.7.
- The ND must have the ability to reconstruct the neutrino energy (ND-M1) as well or better than can be done in the FD and measure the wrong-sign contamination of the flux (ND-M5). This assumes the presence of a muon range stack or spectrometer downstream of ND-LAr.
- To fulfill ND-M4 the ND-LAr must identify and measure low recoil events which have flat energy dependence in order to measure the spectrum, i.e., the low- technique of measuring the spectral shape. The design to fulfill this is described in Section 2.6 and Section 2.10.2.
- To fulfill measurement requirement ND-M6, the ND must measure and validate the modeling of the irreducible background. The detection thresholds for electromagnetic showers and distinction of electrons from photons in the ND-LAr fulfill this requirement. The performance will be validated as described in Section 2.5.
- ND-LAr must have the ability to make measurements both on and off the beam axis (overarching requirement ND-O4 and measurement requirement ND-M7). This allows for the collection of data with different flux spectra enabling the deconvolution of flux and cross section uncertainties and the combination of different fluxes during analysis. The ND-LAr is mobile and can take data up to m off-axis (∼50 mrad) as described in Section 4. These capabilities satisfy requirements ND-C4.1
- To fulfill the derived requirements ND-C1.2 and sub-items from ND-M3 the ND-LAr is designed to collect a sufficiently large sample of -e elastic events and identify them with high efficiency and low backgrounds to allow <2% statistical uncertainty in the measurement. As shown in Section 2.7 we expect a multiple of the required ∼2500 -e scattering events per year in the on-axis location to be accepted.
- ND-LAr must have sufficient kinematic acceptance and particle identification capabilities to perform differential measurements of many neutrino interaction morphologies as required in the derived requirements ND-C1.1 and ND-C1.2. The performance will be validated as described in Section 2.5.
- The ND-LAr active size must be such that the hadronic recoil from neutrino interactions is contained for a representative sample of such interactions across the relevant phase space of incident neutrino energy and energy transfer.
- To fulfill the derived requirements ND-M1, ND-M2, ND-M8, and ND-M9, all ND components must be functional in the presence of beam-related backgrounds and pile-up. The modular design of the ND-LAr addresses this requirement, as demonstrated in Section 2.8.
- The target nucleus of the ND-LAr is argon and the ND-LAr is based on liquid argon TPC technology to fulfill ND-C1.1.
- Since auxiliary detectors are not employed, the ND-LAr volume must also contain muons emerging “sideways” from CC interactions, i.e., those that do not enter the downstream muon spectrometer, to fulfill ND-C1.1.
2.3. Overview of ND-LAr ArgonCube Structure
2.3.1. Field Structures
- it extends the achievable active volume by having a smaller the footprint but also by reducing the local field non-uniformity created by field-shaping rings;
- the resistive heating is spread over entire panels instead of being localized on the surface of resistors, which reduces significantly liquid argon nucleation;
- it does not suffer from single points of failure, as the whole panel drives the resistance;
- the field does not spike around rings, considerably reducing the risk of arcing.
2.3.2. Charge Readout
2.3.3. Light Readout
2.3.4. Module Structures
2.3.5. High Voltage
2.4. The LArTPC Demonstrator Program
2.4.1. Prototyping Plans
2.4.2. SingleCube Demonstrators
2.4.3. ArgonCube 2 × 2 Demonstrator
- Verification of the mechanical robustness (in liquid argon) of the modular LArTPC design, fabricated primarily of fiberglass laminate panels (G10);
- Stable delivery of 25 kV baseline (50 kV goal) high voltage to the LArTPC cathode;
- Demonstration of an electron lifetime of greater than 500 s within the LArTPC;
- Demonstration of a pixel charge readout noise of less than 1000 e ENC (uncorrelated);
- Demonstration of a module scintillation detection efficiency for signals of >50 MeV deposited energy.
- 3D imaging and reconstruction of cosmic rays in the modular LArTPC design;
- Measurement of the drift field uniformity in the modular LArTPC design.
- Evaluation of the relative performance of multiple LArTPC modules operating within a common high-purity LAr bath;
- Evaluation of the impact of dead volumes using cosmic rays which span multiple LArTPC modules.
- LArTPC module performance in response to beam neutrino interactions;
- Long term operational and stability studies;
- Reconstruction of events in multiple modules;
- Pile-up studies in the intense beam environment (combination of light and charge signals appropriately in reconstruction);
- Connection of tracks from the LArTPC to external detectors (see Section 2.5.5).
2.4.4. Full-Scale Demonstrator
- Demonstrate that the full-scale LArTPC design continues to meet the key technical specifications described in the preceding section on Module 0 technical targets (e.g., cryo-mechanical stability, HV, LAr purity, charge readout noise, and scintillation efficiency);
- Establish and exercise the production and assembly processes for the ND LArTPC modules, including: component production and testing processes, design and production of assembly rigs and lifting fixtures, documented assembly procedures, hazard analyses and safety reviews, etc.;
- Identify potential QA/QC issues and use them to refine the QA/QC program in advance of component production;
- If appropriate, revise the design to facilitate component production and LArTPC module assembly;
- Establish the testing program to be used at the Module Integration Facility (i.e., the ND LArTPC assembly line). This program will provide validation of the performance of each LArTPC module before these are delivered to the ND site for installation and detector commissioning.
2.5. ProtoDUNE-ND Physics Studies
2.5.1. Combining Light and Charge Signals
2.5.2. Neutron Tagging
2.5.3. Reconstruction in a Modular Environment
2.5.4. Neutral Pion Reconstruction
2.5.5. Additional Studies with MINERvA Components
2.6. Acceptance and Detector Size
2.6.1. Required Dimensions for Hadronic Shower Containment
2.6.2. Muon Reconstruction
2.6.3. Acceptance vs. Energy and Momentum Transfer
2.6.4. ArgonCube Module Dimensions
2.7. Event Rates in the ND LArTPC
2.8. Neutrino Pile-Up Mitigation
2.9. Muon and Electron Momentum Resolution and Scale Error
2.10. Flux Constraint with ND-LAr
2.10.1. Neutrino-Electron Elastic Scattering
2.10.2. Events with Low Energy Transfer to the Hadronic System
3. Magnetized Argon Target System: ND-GAr
3.1. Introduction
3.2. Role in Fulfilling Requirements
- To fulfill ND-M1, ND-M4, ND-M5 and ND-M7 (and their derived capability requirements ND-C2.X, ND-C3.X) the ND must track, identify the sign, and momentum-analyze muons exiting ND-LAr to measure the energy spectrum of and charged current interactions that occur in ND-LAr. ND-GAr fills this role and the performance is described in Section 3.4.3.
- To fulfill ND-M2 (and its derived requirements ND-C3.X), the ND must measure neutrino interactions on argon with a kinematic acceptance and reconstruction precision that equals or exceeds the FD across the energy range relevant to oscillations. This will allow the ND to constrain interaction systematic uncertainties and verify the limited acceptance modeling in regions of kinematic phase space not accessible to ND-LAr. ND-GAr fills this role and the performance is described in Section 3.4.3.
- To fulfill ND-M2 (and its derived requirements ND-C3.X), the ND must also have the ability to clarify the relationship between true and reconstructed energy by studying neutrino interactions on argon with low energy thresholds, good kinematic resolutions, and good particle identification. This will demand that the ND be sensitive to particles that are not observed or may be misidentifed in a liquid argon TPC. These include low energy charged tracks, photons, and neutrons.
- The ND must be able to make measurements to constrain the muon energy scale with an uncertainty of 1% or better to achieve the oscillation sensitivity described in volume-II of the DUNE FD TDR [2]. The associated requirements are ND-M1 and ND-M2. The strongest constraint comes from the calibrated magnetic field of the HPgTPC coupled with in situ measurements of strange decays. These constraints are described in Section 3.4.4 and Section 3.4.4.1.
- The ND must be able to measure muons with a momentum resolution good enough to satisfy ND-C2.2. The muon resolution of ND-GAr is described in Section 3.4.5.1.
- To fulfill ND-C3.2, the ND must have a tracking threshold low enough to measure the energy spectrum of protons emitted due to FSI in CC interactions. Theoretical studies, such as those reported in [91,92,93], suggest that FSI cause a dramatic increase in final state nucleons with kinetic energies in the range of a few tens of . ND-GAr is suitable for measuring such low energy protons. The kinetic energy threshold in ND-GAr is an interplay between the argon gas density, readout pixel size, and ionization electron dispersion. A threshold of 5 (97 MeV/c) is achievable and satisfies this requirement. The performance study that establishes this threshold is shown in Section 3.4.5.2.
- To fulfill ND-C3.1 and ND-C3.3, the ND must be able to characterize the charged pion energy spectrum in & CC interactions from a few down to the low energy region where FSI are expected to have their largest effect.
- -
- Theoretical studies, such as those reported in [94], predict that FSI are expected to cause a large increase in the number of pions with kinetic energies between 20 and 150 and a decrease in the range 150–400 . A kinetic energy of 20 corresponds to a momentum of 77 /c. ND-GAr must be able to measure 70 /c charged pions with an efficiency of at least 50% so as to keep the overall efficiency for measuring events with three pions at the 70 /c threshold above 10%. Charged track reconstruction is described in Section 3.4.5.
- -
- To fulfill ND-C3.3 ND-GAr must also have the ability to measure the pion multiplicity and charge in 1, 2, and 3 pion final states so as to inform the pion mass correction in the ND and FD LArTPCs. This capability is most important for pions with an energy above a few 100 since those pions predominantly shower in LAr. A mock data study showing the impact that multiplicity measurements can have on measurements is shown in Section 3.4.5.3.
- To fulfill ND-C3.6, the ND must be able to characterize the neutral pion spectrum in and CC interactions over the same momentum range as for charged pions. Photon and neutral pion reconstruction in ND-GAr is described in Section 3.4.6.5.
- To fulfill ND-C3.5, the ND must be able to identify electrons, muons, pions, kaons and protons. ND-GAr addresses this requirement using a combination of: in the HPgTPC, using the energy measured in the ECAL and the momentum measured by magnetic spectroscopy in the HPgTPC, and by penetration through the ECAL and muon system. These capabilities are described in Section 3.4.5, Section 3.4.6.4, and Section 3.4.7.
3.3. Reference Design
3.3.1. High-Pressure Gaseous Argon TPC (HPgTPC)
- Gas mixture studies: The ALICE TPC operated at atmospheric pressure with a gas mixture of Ne/CO/N or of Ar/CO, which are not the gas mixture and pressure proposed for DUNE. Work is currently in progress to determine the breakdown voltage, gas gain, and diffusion coefficients for the DUNE reference design gas mixture. Work is also in progress to measure the achievable gain with that gas mixture and an ALICE IROC at pressures ranging from 1 to 10 atmospheres. Additional studies will be needed for promising alternative gas mixtures which aim to have unique optical properties for light production and detection, while maintaining wire chamber operational stability.
- Electronics and data acquisition (DAQ) development: While the readout chambers are available from ALICE, the ALICE front end electronics are not. To achieve a very attractive price point for the front end electronics, and to maximize the synergies with the liquid argon near detector, it is hoped that similar electronics can be used for the HPgTPC and the ND LArTPC. LArPix [97] development is in progress for the LArTPC, but some modifications are needed to adapt this for use in the HPgTPC, since the HPgTPC signal is faster and inverted compared to the liquid argon near detector (as the gaseous argon reads out an induced charge), and the gain in the gas also results in a widened dynamic range. Readout electronics will also need to be developed for the light collection system.
- Design of additional ROCs and mechanical supports: New central readout chambers will need to be designed to cover the central area of the endcaps, which was not part of the TPC in ALICE. This central region would likely be segmented into multiple chambers, rather than a single large chamber, to keep the wire spans in the range of those for the existing IROCs and OROCs. A suitable wire spacing and pad layout must be developed for the central region. Prototypes for the new CROCs will also need to be tested with the appropriate gas mixture. A gas-tight structure must be designed to support the field cage, readout chambers, and supports will need to be developed outside this for the readout electronics, cabling, and services such as water cooling lines. A concept for supporting the entire detector within the pressure vessel must also be developed.
- Field cage and high voltage: A new field cage and mechanical endcap structures will need to be constructed for the DUNE HPgTPC as well. While ALICE had an inner and outer field cage, the DUNE design will only have an outer field cage. The ALICE field cage was constructed of parallel mylar strips creating rings surrounding the active volume, as they had very stringent requirements on the material budget. DUNE is investigating a more robust option, in part because the detector is mobile. In ALICE, the field cage elements were housed inside a thin but gas-tight outer field cage vessel to isolate the high voltages of the field cage rings in Ar/CO from the grounded containment vessel wall. The gap region between the outer wall of the field cage vessel and the inner wall of the pressure vessel was filled with CO gas, which has a higher breakdown voltage than that of Ar/CO. The DUNE design is complicated by the fact that the HPgTPC will be operated at high pressure, which may necessitate a different solution to the field cage isolation, in order not to introduce complications related to strict regulation of differential pressures between two independent gas volumes. It will also be necessary to develop a high voltage feed-through to deliver the kV to the drift electrode within the pressure vessel.
- Light collection: Primary light production in pure argon in the VUV is well understood [98]. In pure argon at a pressure of 10 atm, it is estimated that a minimum ionizing particle will produce approximately 400 photons/cm [99], but in typical gas TPC operation a quenching gas, or gases, are added that absorb essentially all the VUV photons. Recent studies have indicated that with the addition of Xe or CF gas, among others [100], to an argon mixture, it may be possible to quench the VUV component of the scintillation, allowing for stable wire gain, while producing light in the visible or near-IR. With suitable instrumentation, this light signal could be used to provide a timestamp for events in the gas. Utilizing this light would be a novel development for a gaseous argon TPC. R&D will be needed to understand the potential wavelength-shifting properties and light yield of the argon gas mixtures under study in order to design a photon detection system. With close coordination among the gas mixture, field cage, and HV groups, a conceptual design will be developed for the collection and readout of light in the gas volume if a suitable gas mixture is identified.
- Calibration and slow controls: To precisely monitor any variations of the drift velocity and inhomogeneities in the drift field, the ALICE TPC used a laser calibration system to produce hundreds of beams that could monitor the drift behavior across different slices of the drift region. The light was transmitted though the field cage support rods. For the DUNE HPgTPC, a conceptual design for a laser calibration system will be developed which might be distributed throughout the drift region as in ALICE, or might only involve light injection from the end caps. Its design will need to be developed in close collaboration with the HV field cage design. It should be pointed out that due to the low occupancy in the DUNE HPgTPC the impact of space charge on field uniformity is expected to be negligible, in contrast to the operation of ALICE. Many other detector parameters will also need to be continuously monitored, such as temperatures, voltages, currents, as well as gas properties such as drift velocity and diffusion. The HPgTPC slow control design will be developed in synergy with the other systems in the DUNE ND hall.
- Gas and cooling systems: The detector performance depends crucially on the stability and quality of the gas. If the ALICE gas volume designs are adopted, the HPgTPC design will likely require two gas systems: one for the Ar/CH drift gas, and one for the CO gas that isolates the field cage vessel HV from the pressure vessel. In this case, the two volumes will need to be kept at similar pressures in order to avoid excessive stresses on the field cage vessel. For the DUNE HPgTPC system, it will be necessary to develop a list of requirements on the control and stability of the CH level in the drift gas mixture as well as upper limits on O and HO contaminant levels in the gas. The temperature uniformity requirements for the DUNE HPgTPC design will also need to be developed. In addition, the capability to temporarily inject a radioactive gas into the drift region for pad response calibration will need to be developed.
3.3.2. HPgTPC Pressure Vessel
- Weldments An initial analysis of the weldments has been performed. In this analysis the following points have been considered following ASME Subsection B.
- Weld joint categories and joint efficiency consideration
- Design of weld joints
- Challenges of welding aluminum cum solutions
- Category A: Longitudinal or spiral welds in main shell.
- Category B: Circumferential welds in main shell.
- Category C: Welds connecting flanges to main shell.
- Category D: Welds connecting nozzles or communicating chambers to main shell.
- Thermal conductivity: aluminum is 5 times more thermally conductive than steel. It can cause a lack of penetration in the weld.
- -
- Solution: Preheating the aluminum work piece.
- Hydrogen and porosity: H is very soluble in liquid aluminum. Once the molten material starts to solidify, it can’t hold the hydrogen in a homogenous mixture anymore. The hydrogen forms bubbles that become trapped in the metal, leading to porosity.
- -
- Shielding by inert gas.
- Melting point: aluminum has lower melting point than steel that can result in burn-throughs. However, aluminum oxide has a much higher melting point than aluminum base metal. It acts as an insulator that can cause arc start problems and very high heat is required to weld through the oxide layer. This can cause burn-through on the base material and porosity, since the oxide layer tends to hold moisture.
- -
- Solution: a welding machine with current control is useful for keeping the aluminum work piece from overheating, causing a burn-through. Proper cleaning and removing the oxide layers are of utmost importance.
- 3D FE Analysis with distributed mass (300 Ton, ECAL) The stress on the cylindrical shell has been analyzed assuming a 300 t ECAL load on the shell. It has been determined via analytical calculation that an aluminum shell thickness of 42mm will meet ASME code. The stainless steel heads and interface to the cylindrical body have also been studied. Results from this analysis are shown in Figure 48.
3.3.3. Electromagnetic Calorimeter (ECAL)
- ECAL Design The ECAL reference design, shown in Figure 49, is inspired by the CALICE analog hadron calorimeter (AHCAL) [102]. The barrel has an octagonal shape with each octant composed of several trapezoidal modules. Each module consists of layers of polystyrene scintillator as active material read out by silicon photomultipliers (SiPMs), sandwiched between absorber sheets. The scintillating layers consist of a mix of tiles with dimensions between cm to cm (see Figure 50) and cross-strips spanning a full ECAL module length (between 1.5 and m, depending on the strip orientation) with a width of 4 cm to achieve a comparable effective granularity. The strip design could be very similar to the T2K ECAL strips [103] using embedded wavelength-shifting fibers, but a solution with no fibers and a more transparent scintillator material is being considered in order to achieve the best possible time resolution. The high-granularity layers are concentrated in the inner layers of the detector, since that has been shown to be the most relevant factor for the angular resolution [104]. With the current design, the number of channels is about 2–3 million. A first design of the ECAL and the simulated performance has already been studied in [104].
3.3.4. Magnet
3.3.4.1. Reference Design Details
3.3.4.2. Backup Design Overview
3.3.5. Muon System
3.4. Expected Performance
3.4.1. Event Rates
3.4.2. Essential ND-GAr Performance Metrics
3.4.3. Kinematic Acceptance for Muons
- Kinematic acceptance of muons produced by ND-LAr: ND-LAr will not fully contain high-energy muons or measure lepton charge. The downstream ND-GAr will be able to determine the charge sign and measure the momenta of the muons that enter its acceptance, using the curvature of the associated track in the magnetic field. Figure 56 shows the expected distribution of muon angle vs. energy for interactions at the near site. Events with muon kinetic energies below 1 GeV are well contained within ND-LAr15, while events with higher energy muons traveling within 20 degrees of the beam direction will exit ND-LAr and enter ND-GAr.
- Acceptance Comparisons with the FD: Figure 57 compares the muon acceptance for CC interactions in ND-LAr (aided by ND-GAr, acting as a muon spectrometer), interactions in ND-GAr, and interactions in the FD. In each case, the interactions are in a fiducial volume containing liquid or gaseous argon (i.e., not in the ECAL, support structure, etc). Compared to ND-LAr, ND-GAr has an acceptance that is much more uniform across the kinematic phase space and much more similar to the FD.
3.4.4. Magnetic Field Calibration
- Based on the known configuration and material of the iron yokes and coils, the magnetic field was calculated with TOSCA code.
- Detailed field measurements by means of Hall probes on a three-dimensional grid, with spacing were performed.
3.4.4.1. Calibration with Neutral Kaons
3.4.5. Track Reconstruction and Particle Identification
3.4.5.1. Momentum and Angular Resolution
3.4.5.2. Low Energy Proton Reconstruction
- 0–4 protons, number determined randomly with equal probabilities;
- all protons share a common starting point (vertex) whose position in the TPC is randomly determined;
- the direction of each proton is randomly generated from an isotropic distribution;
- the momentum of each proton is randomly generated from a uniform distribution in the range 0–200 /c (0–21 MeV kinetic energy).
3.4.5.3. Pion Multiplicity Measurements
3.4.5.3.1. Far Detector Fits with HPgTPC-Driven Reweighting
- The nominal GENIE MC.
- The MC reweighted with the weights, separated by pion multiplicity.
- The MC reweighted with the weights unseparated by pion multiplicity. This is referred to as “CC inc”.
3.4.6. ECAL Performance
- 8 layers of 2 mm copper + 5 mm of cm tiles + 1 mm FR4
- 52 layers of 2 mm copper + 5 mm of cross-strips 4 wide
3.4.6.1. Energy Resolution
3.4.6.2. Angular Resolution
3.4.6.3. ECAL Optimization
3.4.6.4. Particle Identification
3.4.6.5. Reconstruction
3.4.6.6. Neutron Detection and Energy Measurement
- Neutron and photon-induced clusters are separated based on the total number of hits in the cluster, the total energy of the cluster and the maximum hit energy. Neutron clusters are selected by requiring at least 3 of total visible energy and that < 5 −1(-4), where is the number of hits in the cluster and , the maximum hit energy in the cluster in MeV. This cut requires that clusters have few hits with at least one large energy deposit corresponding to the knock-out proton depositing most of its energy in the scintillator. Figure 80 shows the 2D distributions of the number of hits as a function of the maximum hit energy for both neutron and photon clusters.
- Further background can be rejected by requiring that the distance between an isolated cluster and a charged track is over 70 . This cut mostly rejects correlated background originating from a charged particle interacting in the pressure vessel or ECAL and producing a neutron subsequently. The distribution of the cluster distance to a charged track is shown in Figure 81.
- To improve the background rejection, especially from uncorrelated background, a veto can be applied using additional activity in the ECAL. It is expected that an isolated cluster from the uncorrelated background should be relatively close in distance to some other activity in the ECAL. On the other hand, an isolated cluster from signal is expected to be far from such other activity. Figure 81 shows the distance between an isolated cluster and any other activity occurring within 15 ns of it elsewhere in the ECAL. Uncorrelated background is rejected by eliminating clusters that are within 2 of other ECAL activity.
- Finally, an isolation cut is applied to the candidate neutron cluster. It is required that the candidate is further than 70 away from any other isolated cluster. This cut removes further correlated background that passed the first cut. The distribution of the distance to the nearest cluster is shown in Figure 82.
3.4.7. Muon System Performance
4. DUNE-PRISM
4.1. Introduction to DUNE-PRISM
4.2. Requirements
4.3. Oscillation Parameter Biases from Neutrino Interaction Modeling
4.3.1. Reconstructed Neutrino Energy and Event Selection
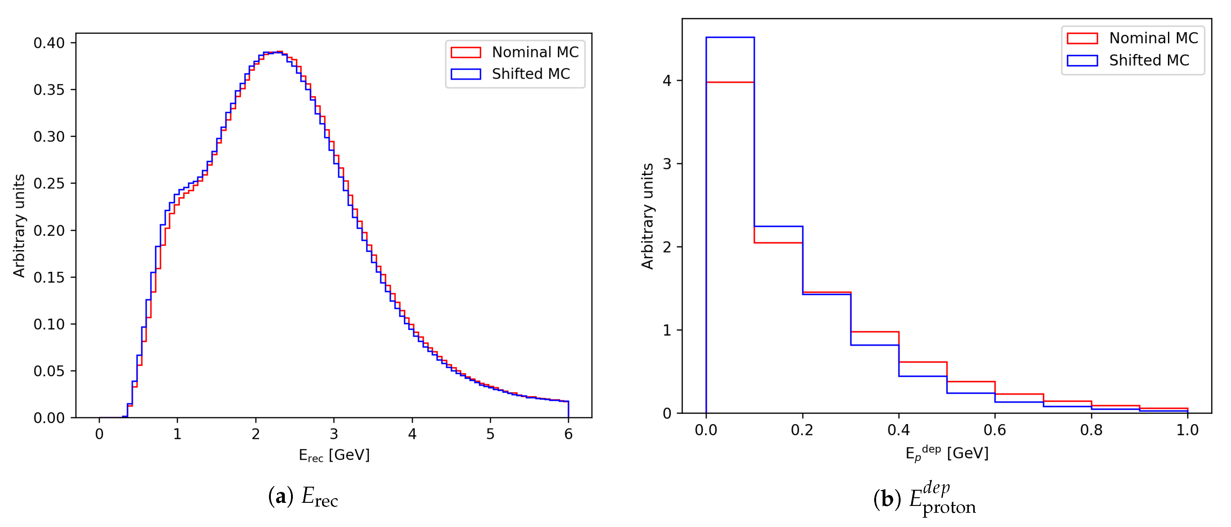
4.3.2. Mock Data Set with 20% Missing Proton Energy
4.3.3. Multivariate Event Reweighting
4.3.4. Propagation of the Model in True Kinematic Variables
4.3.5. Effect on Measured Oscillation Parameters
4.4. The DUNE-PRISM Measurement Program
- To identify problems in neutrino interaction modeling. By comparing ND data to MC at off-axis locations with different energy spectra, the neutrino interaction model will be over-constrained, and the potential for biases in the measured oscillation parameters can be identified. Figure 100 demonstrates that the oscillation parameter biases seen in the mock data study described above can be clearly identified off-axis by the disagreement between the data and the predicted rate.This use of off-axis data is similar to the approach used by existing long-baseline neutrino experiments, in which data are iteratively compared to improvements in the neutrino interaction model until satisfactory agreement is achieved. However, since DUNE-PRISM provides data across a wide range of neutrino energy spectra that span the important oscillation features in the FD energy spectrum, this requirement becomes more stringent. Any neutrino interaction model that can simultaneously reproduce all relevant final state kinematic distributions over all the sampled initial energy spectra is expected to accurately predict the various oscillated FD energy spectra.
- To overcome problems in neutrino interaction modeling. It is possible that no first-principles neutrino interaction model with sufficient precision to achieve DUNE physics goals will be available on the timescale of the experiment. In this scenario, the most important novel feature of DUNE-PRISM is that measurements at different off-axis positions within the detector can be linearly combined to statistically determine any observable for a given choice of incident neutrino flux. In particular, it is possible to match any given oscillated FD neutrino energy spectrum using a linear combination of off-axis ND neutrino energy spectra. By applying this linear combination to any measured quantity (e.g., calorimetrically reconstructed neutrino energy, ), it is possible to directly measure the expected FD for any chosen set of oscillation parameters. Using this method, any unknown cross section effects that produce a mismatch between and are naturally incorporated into the FD prediction.It is also possible to use this technique to produce Gaussian incident neutrino energy spectra, which allows for a direct measurement of the relationship between true and reconstructed neutrino energy. To construct such a spectrum for a desired neutrino energy, the linear combination primarily utilizes measurements from the off-axis region that peaks at the chosen mean energy, and then subtracts contributions from the more on-axis (off-axis) detector locations to reduce the high (low) energy tails of the energy spectrum. These constructions can produce strong constraints on neutrino interaction models, and provide the first ever mechanism to measure neutral current interactions as a function of neutrino energy, which will provide direct constraints on backgrounds to the oscillation measurement.
4.4.1. Event Rates and Run Plan
4.4.2. The LBNF Neutrino Flux at the near Site
4.5. Flux Matching
4.5.1. Incorporating Horn Current Fluxes
4.5.2. Electron Neutrino Appearance Flux Matching
- A fit of the ND off-axis fluxes to the FD oscillated spectrum. This generates a FD prediction under the assumption that and interactions have identical cross sections.
- A fit of the ND off-axis fluxes to the ND intrinsic spectrum. This allows for a double-differential comparison in lepton kinematics and hadronic energy of the and cross sections and detector response, from which a correction can be extracted for step 1. The intrinsic data used in this step are integrated over the off-axis range between 16 m and 32 m to achieve sufficient statistics, and to reduce the contamination from backgrounds.
- A direct measurement of the neutral current backgrounds using data from the on-axis ND position, which has an NC energy spectrum similar to that of the FD. The NC backgrounds will also be constrained from Gaussian flux matched data as described in Section 4.5.3
4.5.3. Gaussian Flux Matching
4.6. Flux Systematic Uncertainties
4.6.1. Impact on Linear Combination Analysis
4.6.2. Systematic Uncertainties on Gaussian Fluxes
4.7. Linear Combination Oscillation Analysis
4.7.1. Observation Weights
4.7.1.1. Event Selection
4.7.1.2. Impact of Backgrounds
4.7.1.3. Efficiency Correction
4.7.1.4. Flux Matching Correction
4.7.1.5. The Far Detector Prediction
5. System for On-Axis Neutrino Detection - SAND
5.1. Overview
5.2. Role in Fulfilling Requirements
- Fulfilling ND-M8 To fulfill ND-M8 (and the overarching requirement ND-O5) SAND monitors the beam on-axis. It must also have a target mass that is large enough for the interaction rate of neutrinos to provide statistically significant feedback on changes in the beam over a short time period. The requirement ND-C5.1 defines the short time period as one week.
- Fulfilling ND-M9 To fulfill ND-M9 SAND must measure the muon/neutrino energy and vertex distribution to detect representative changes in the beamline. There are two follow-on requirements: ND-C5.2 requires that SAND have sufficient muon or neutrino energy resolution in events to detect spectral variations; ND-C5.3 requires that the muon vertices in CC events be measured well enough to divide the sample spatially relative to the beam center.
- Derived SAND Detector Capabilities
- SAND is able to provide an independent measurement of the interaction rate and energy spectra of the , , and , beam components. The capability of SAND to identify and reconstruct different types of interactions will enable complementary measurements of both the normalization and energy dependence of the flux. This redundancy can be used to improve confidence in the extrapolation of the neutrino and anti-neutrino fluxes to the far detector.
- As discussed at length in Section 1, nuclear effects present a significant source of uncertainty for DUNE. There are large uncertainties in the modeling of (anti)neutrino-nucleus cross sections. In particular, final state interactions are not well modeled but change the composition of hadrons in the final state and the hadrons’ energies. The choice of argon as the primary target nucleus in the ND is to mitigate the effect of these uncertainties in the ND to FD comparison. That said, things will not cancel perfectly in the near-to-far extrapolation, even with the implementation of DUNE-PRISM. SAND enables a program of measurements on nuclei other than argon (carbon and hydrocarbons) that may help constrain systematic uncertainties arising from nuclear effects.
- The hydrocarbon in the target/tracker of both the reference and alternative designs results in a large event sample on carbon and also a smaller but still significant event sample on hydrogen. For some interaction channels, hydrogen enriched samples can be selected using transverse kinematic imbalance, or TKI, techniques [38,39,40,41,42,43,44,45,46,47,48,49,50,51]. The isolation of a sample enriched in neutrino–hydrogen interactions is very valuable since uncertainties due to nuclear effects are only present in the background and may potentially be mitigated by kinematic sidebands or the use of carbon targets with acceptance identical to the hydrocarbon ones. These targets are foreseen to allow a model independent background subtraction.
- SAND is able to combine information from the ECAL and tracker/target to tag neutrons and measure their energy. The use of this information will improve the neutrino energy resolution and reduce the bias in the neutrino energy measurement, leading to a reduction in the related systematics. Neutron measurements can also improve the reconstruction of event kinematics.
5.3. The Overall Design of SAND
- The Reference Design uses a 3D scintillator tracker (3DST) system (Section 5.4.1) as an active target inside of the magnet’s tracking region. It is surrounded on the top, bottom, and downstream sides by low-density tracking chambers that measure the charge and momentum of outgoing particles. The tracking chambers will be TPCs (Section 5.4.3), straw tubes trackers (STT) (Section 5.5.2), or a mix. These two variants on the reference design are called 3DST+TPCs and 3DST+STT. The reference design is illustrated in Figure 115.
- The Alternative Design does not use the 3DST and surrounding tracking chambers. It instead fills most of the magnetic volume with orthogonal XY planes of STT (the same technology as for the reference design) interleaved with various thin carbon and hydrocarbon layers to add mass and act as additional targets for neutrino interactions. This variant is called STT-only.
5.3.1. The Superconducting Magnet
- 55 W at 4.4 K for the magnet coil;
- 0.6 g/s of liquid He for the current leads;
- and 530 W at 70 K for the thermal radiation shields.
5.3.2. The KLOE Lead/Scintillating-Fiber Calorimeter
5.3.2.1. Detector Description
5.3.2.2. Reconstruction of Time, Position and Energy
- Energy resolution: ,
- Time resolution: ps.
5.3.2.3. Calibration and Performance
5.3.3. Inner Target/Tracker
5.4. Technologies for the Inner Target Tracker
5.4.1. Three-Dimensional Projection Scintillator Tracker
5.4.1.1. Characterization of the 3D Plastic Scintillator Concept with Beam Tests
5.4.1.2. The Mechanical Box
5.4.1.3. The Light Readout System
5.4.1.4. The Front-End Electronics
5.4.1.5. The Light Readout Calibration System
5.4.1.6. Current Prototypes and Future R&D
5.4.2. Straw Tube Tracker Technology and Design
5.4.2.1. A Compact Modular Design
5.4.2.2. Concept of “Solid” Hydrogen Target
5.4.2.3. Prototyping and Tests
5.4.3. Time Projection Chambers
5.4.3.1. TPC General Design
5.4.3.2. TPC Performances and Specifications
5.4.3.3. TPC Micromegas Modules and Electronics
5.4.4. LAr Active Target
5.5. Design Options for the Inner Target Tracker
5.5.1. The 3DST+TPCs Design Option
5.5.2. The 3DST+STT Design Option
- Three special tracking modules with 8 straw layers each (these modules are a variant of the standard STT modules).
- Followed by 25 regular modules, consisting of:
- -
- Twenty three modules equipped with polypropylene targets and radiator foils
- -
- The 23 modules are interleaved with 2 modules equipped with only graphite targets and no radiators.
- Finally there are 5 modules with radiators and no targets.
5.5.3. The STT-Only Design Option
5.6. Detector and Physics Performance
5.6.1. On-Axis Beam Monitoring
5.6.1.1. Impact of Beam Monitoring on Oscillation Results
5.6.1.2. Beam Monitoring with the 3DST+STT/TPC Option
5.6.1.3. Beam Monitoring with the STT-Only Option
5.6.2. Neutron Detection
5.6.2.1. Performance of the 3DST+TPCs Option
5.6.2.2. Performance of the STT-Only Option
5.6.3. Measurement of -Hydrogen Interactions
5.6.3.1. Measurements with the 3DST+TPCs/STT Option
5.6.3.2. Measurements with the STT-Only Option
5.6.4. Flux Measurements
5.6.4.1. Measurements Made with the 3DST+TPCs/STT Option
- elastic scattering.
- with low transverse momentum imbalance.
- Low-.
5.6.4.2. Measurements Made with the STT-Only Option
- and on H.
- elastic scattering.
- Low-.
5.6.5. Constraining -Nucleus Cross-sections and Nuclear Effects
5.6.6. External Backgrounds
5.6.6.1. Performance of the 3DST+TPCs/STT Option
5.6.6.2. Performance of the STT-Only Option
6. Measurements of Flux and Cross Sections
- = ,
- = detector index (FD, ND27)
- = interaction target/material, (e.g., H, C, or Ar)
- = true neutrino energy
- = reconstructed neutrino energy
- = true to reconstruction transfer function
- = neutrino interaction cross section
- = un-oscillated neutrino flux
- = oscillation probability
- = measured differential event rate per target (nucleus/electron)
6.1. Flux Prediction from Beam Simulation
6.2. Flux Measurements
6.2.1. Inclusive Muon Neutrino CC Interactions
6.2.2. Neutrino-Electron Elastic Scattering
6.2.3. Scattering with Low Energy Transfer to the Hadronic System
6.2.4. Measurements Using Neutrino-Hydrogen Interactions
6.2.5. Intrinsic Electron Neutrino Flux
6.3. The Importance of Cross Section Measurements
6.4. Interactions in the DUNE Energy Range
6.4.1. Quasi-Elastic Interactions
6.4.2. Resonant Pion Production
6.4.3. Inelastic Scattering
6.4.3.1. Nonresonant Inelastic Scattering and Long-Baseline Oscillations
6.4.4. Coherent Pion Production
6.5. Scattering from Heavy Nuclei
6.5.1. Base Nuclear Models
6.5.2. Multi-Nucleon Effects
6.5.3. Final-State Interactions
6.5.4. Electron-Nucleus Scattering
6.6. Case Studies of Cross Section Measurements at the Near Detector
6.6.1. Separating Interaction Channels by Pion Multiplicity
6.6.2. Investigating Nuclear Effects through Transverse Kinematic Imbalance
7. Other Physics Opportunities with the ND
7.1. Beyond the Standard Model Physics
7.1.1. Searches for Light Dark Matter
7.1.2. Neutrino Tridents
7.1.3. Search for Heavy Neutral Leptons
7.1.4. Sterile Neutrino Probes
7.1.5. Searches for Large Extra Dimensions
7.1.6. Non-Standard Neutrino Interactions
7.1.7. Lorentz- and CPT-Symmetry Tests
7.2. Some Standard Model Physics Opportunities
7.2.1. Electroweak Mixing Angle
7.2.2. Background to Proton Decay
7.2.3. Strange Particles and M from Hyperon Decays
7.2.4. QCD and Nucleon Structure
7.2.5. Isospin Physics and Sum Rules
8. The ND Cavern and Facilities
8.1. Introduction
8.1.1. Near Detector Cavern Layout
8.1.2. Detector Arrangement and Neutrino Beamline
8.2. Near Detector Installation Details
8.2.1. ND-LAr Subdetector
8.2.2. ND-GAr Subdetector
8.2.3. SAND Beam Monitor
8.2.4. PRISM System
8.3. Near Detector Facility and Installation Planning
8.3.1. Surface Building and Rigging Access
8.3.2. Auxiliary Building Systems
- Air conditioning,
- Industrial water cooling,
- Compressed air,
- Lighting,
- Stand-by power,
- Access control,
- Fire safety systems, and
- Oxygen deficiency hazard (ODH) safety systems.
8.3.3. Installation Schedule
9. Computing and DAQ for the ND
9.1. Introduction
9.2. Overview
9.3. Steady-State Data Types and Volume Estimates
9.3.1. Beam and Detector Downtime Estimations
9.3.2. Detector Components
9.3.2.1. ND-LAr
9.3.2.2. ND-GAr
9.3.2.3. SAND
9.4. Simulation
9.5. Analysis
9.6. Large-Scale Prototypes - ProtoDUNE-ND
9.7. Resource Usage Scenario
9.8. DAQ System Introduction
9.9. DAQ System Requirements
- must be able to trigger and acquire data on indication of a beam spill signal received from the accelerator complex;
- must be able to trigger and acquire data consistent with cosmic rays crossing the detector(s);
- must provide the ability to distribute configurable time-synchronous commands to the calibration systems, and capture the response of the detectors to calibration signals;
- must be able to acquire data consistent with Ar-39 decay in the liquid argon subdetector;
- shall be able to trigger and acquire data without missing beam spills due to other triggers;
- shall have an uptime that does not compromise the overall uptime of the ND;
- shall be able to run combinations of subdetectors independently;
- shall form a data record corresponding to every trigger to be transferred to offline together with the metadata necessary for validation and processing;
- shall check integrity of data at every data transfer step. It shall only delete data from the local storage after confirmation that data have been correctly recorded to permanent storage;
- shall support storing triggered data with a variable size readout window, from few s (calibration) to the full readout time of the drift detectors; and
- shall be able to accept the continuous data stream from all subdetectors.
9.10. Reference Design
- A wider variety of interfaces to subdetectors, some of which may require interfaces to legacy equipment.
- The use of the externally generated beam trigger and the generation of internally generated triggers (cosmics) that may be propagated to other subdetectors.
Upstream DAQ
9.11. Data Selection
9.11.1. Timing
9.11.2. Backend DAQ
9.11.3. Configuration, Control, and Monitoring
Funding
Conflicts of Interest
References
- DUNE Collaboration. Deep Underground Neutrino Experiment (DUNE), Far Detector Technical Design Report, Volume I Introduction to DUNE. JINST 2020, 15, 08008. [Google Scholar]
- DUNE Collaboration. Deep Underground Neutrino Experiment (DUNE), Far Detector Technical Design Report, Volume II DUNE Physics. arXiv 2020, arXiv:2002.03005. [Google Scholar]
- DUNE Collaboration. Deep Underground Neutrino Experiment (DUNE), Far Detector Technical Design Report, Volume III DUNE Far Detector Technical Coordination. JINST 2020, 15, 08009. [Google Scholar]
- DUNE Collaboration. Deep Underground Neutrino Experiment (DUNE), Far Detector Technical Design Report, Volume IV Far Detector Single-phase Technology. JINST 2020, 15, 08010. [Google Scholar]
- DUNE Collaboration. Long-Baseline Neutrino Facility (LBNF) and Deep Underground Neutrino Experiment (DUNE). arXiv 2016, arXiv:1601.05471. [Google Scholar]
- DUNE Collaboration. Long-Baseline Neutrino Facility (LBNF) and Deep Underground Neutrino Experiment (DUNE). arXiv 2016, arXiv:1512.06148. [Google Scholar]
- DUNE Collaboration. Long-Baseline Neutrino Facility (LBNF) and Deep Underground Neutrino Experiment (DUNE). arXiv 2016, arXiv:1601.05823. [Google Scholar]
- DUNE Collaboration. Long-Baseline Neutrino Facility (LBNF) and Deep Underground Neutrino Experiment (DUNE). arXiv 2016, arXiv:1601.02984. [Google Scholar]
- HEPAP Subcommittee Collaboration. Building for Discovery: Strategic Plan for U.S. Particle Physics in the Global Context. 2014. Available online: https://inspirehep.net/literature/1299183 (accessed on 2 August 2021).
- Friedland, A.; Li, S.W. Understanding the energy resolution of liquid argon neutrino detectors. Phys. Rev. 2019, D99, 036009. [Google Scholar] [CrossRef]
- Franzini, P.; Moulson, M. The Physics of DAFNE and KLOE. Ann. Rev. Nucl. Part. Sci. 2006, 56, 207–251. [Google Scholar] [CrossRef]
- Smith, R.A.; Moniz, E.J. Neutrino reactions on nuclear targets. Nucl. Phys. B 1972, 43, 605. [Google Scholar] [CrossRef]
- Bodek, A.; Christy, M.E.; Coopersmith, B. Effective spectral function for quasielastic scattering on nuclei from to . AIP Conf. Proc. 2015, 1680, 020003. [Google Scholar]
- MINERvA Collaboration. Measurement of Quasielastic-Like Neutrino Scattering at 〈Eν〉∼3.5 GeV on a Hydrocarbon Target. Phys. Rev. D 2019, 99, 012004. [Google Scholar] [CrossRef]
- T2K Collaboration. Search for CP Violation in Neutrino and Antineutrino Oscillations by the T2K Experiment with 2.2 × 1021 Protons on Target. Phys. Rev. Lett. 2018, 121, 171802. [Google Scholar] [CrossRef]
- NOvA Collaboration. New constraints on oscillation parameters from νe appearance and νμ disappearance in the NOvA experiment. Phys. Rev. D 2018, 98, 032012. [Google Scholar] [CrossRef]
- Wolcott, J. Impact of Cross Section Modeling on NOvA Oscillation Analyses. 2018. Available online: https://indico.cern.ch/event/703880/contributions/3159021/attachments/1735451/2806895/2018-10-17_Wolcott_XS_unc_on_NOvA_osc_-_NuInt.pdf (accessed on 2 August 2021).
- Jena, D. MINERvA adventures in flux determination. In NuInt 2018; L’Aquila, Italy. 2018. Available online: https://indico.cern.ch/event/703880/contributions/3159052/attachments/1735968/2817449/NuInt2018_DeepikaJena_Flux.pdf. (accessed on 2 August 2021).
- MiniBooNE Collaboration. Measurement of the Neutrino Neutral-Current Elastic Differential Cross Section on Mineral Oil at Eν∼1 GeV. Phys. Rev. D 2010, 82, 092005. [Google Scholar] [CrossRef]
- K2K Collaboration. Measurement of the quasi-elastic axial vector mass in neutrino-oxygen interactions. Phys. Rev. D 2006, 74, 052002. [Google Scholar] [CrossRef]
- MINOS Collaboration. Study of quasielastic scattering using charged-current νμ-iron interactions in the MINOS near detector. Phys. Rev. D 2015, 91, 012005. [Google Scholar] [CrossRef]
- Martini, M.; Ericson, M.; Chanfray, G. Energy reconstruction effects in neutrino oscillation experiments and implications for the analysis. Phys. Rev. D 2013, 87, 013009. [Google Scholar] [CrossRef]
- NOvA Collaboration. First measurement of muon-neutrino disappearance in NOvA. Phys. Rev. D 2016, 93, 051104. [Google Scholar] [CrossRef]
- Bodek, A.; Ritchie, J.L. Further Studies of Fermi Motion Effects in Lepton Scattering from Nuclear Targets. Phys. Rev. D 1981, 24, 1400. [Google Scholar] [CrossRef]
- Dytman, S. Neutrino event generators. AIP Conf. Proc. 2007, 896, 178–184. [Google Scholar]
- Nieves, J.; Amaro, J.E.; Valverde, M. Inclusive quasi-elastic neutrino reactions. Phys. Rev. C 2004, 70, 055503. [Google Scholar] [CrossRef]
- Gran, R. Model Uncertainties for Valencia RPA Effect for MINERvA. arXiv 2017, arXiv:1705.02932. [Google Scholar]
- Nieves, J.; Simo, I.R.; Vacas, M.J.V. Inclusive Charged–Current Neutrino–Nucleus Reactions. Phys. Rev. C 2011, 83, 045501. [Google Scholar] [CrossRef]
- Gran, R.; Nieves, J.; Sanchez, F.; Vacas, M.J.V. Neutrino-nucleus quasi-elastic and 2p2h interactions up to 10 GeV. Phys. Rev. D 2013, 88, 113007. [Google Scholar] [CrossRef]
- Schwehr, J.; Cherdack, D.; Gran, R. GENIE implementation of IFIC Valencia model for QE-like 2p2h neutrino-nucleus cross section. arXiv 2016, arXiv:1601.02038. [Google Scholar]
- Alam, M.; Andreopoulos, C.; Athar, M.; Bodek, A.; Christy, E.; Coopersmith, B.; Dennis, S.; Dytman, S.; Gallagher, H.; Geary, N. GENIE Production Release 2.10.0. arXiv 2015, arXiv:1512.06882. [Google Scholar]
- Bercellie, A. Pion production at MINERvA. 2018. Available online: https://indico.cern.ch/event/703880/contributions/3157434/attachments/1734544/2808228/Minerva_LE_Pions_NUINT2018.pdf (accessed on 2 August 2021).
- MINERvA Collaboration. Measurement of νμ charged-current single π0 production on hydrocarbon in the few-GeV region using MINERvA. Phys. Rev. D 2017, 96, 072003. [Google Scholar] [CrossRef]
- MINERvA Collaboration. Single Neutral Pion Production by Charged-Current ν¯μ Interactions on Hydrocarbon at 〈Eν〉= 3.6 GeV. Phys. Lett. B 2015, 749, 130–136. [CrossRef]
- MINERvA Collaboration. Cross sections for νμ and ν¯μ induced pion production on hydrocarbon in the few-GeV region using MINERvA. Phys. Rev. D 2016, 94, 052005. [Google Scholar] [CrossRef]
- NOvA and MINOS Collaborations. Personal communication.
- Day, M.; McFarland, K.S. Differences in quasielastic cross sections of muon and electron neutrinos. Phys. Rev. D 2012, 86, 053003. [Google Scholar] [CrossRef]
- Lu, X.-G.; Pickering, L.; Dolan, S.; Barr, G.; Coplowe, D.; Uchida, Y.; Wark, D.; Wascko, M.; Weber, A.; Yuan, T. Measurement of nuclear effects in neutrino interactions with minimal dependence on neutrino energy. Phys. Rev. C 2016, 94, 015503. [Google Scholar] [CrossRef]
- Furmanski, A.P.; Sobczyk, J.T. Neutrino energy reconstruction from one muon and one proton events. Phys. Rev. C 2017, 95, 065501. [Google Scholar] [CrossRef]
- T2K Collaboration. Characterization of nuclear effects in muon-neutrino scattering on hydrocarbon with a measurement of final-state kinematics and correlations in charged-current pionless interactions at T2K. Phys. Rev. D 2018, 98, 032003. [Google Scholar] [CrossRef]
- Dolan, S.; Mosel, U.; Gallmeister, K.; Pickering, L.; Bolognesi, S. Sensitivity of Neutrino-Nucleus Interaction Measurements to 2p2h Excitations. Phys. Rev. C 2018, 98, 045502. [Google Scholar] [CrossRef]
- MINERvA Collaboration. Measurement of final-state correlations in neutrino muon-proton mesonless production on hydrocarbon at 〈Eν〉=3 GeV. Phys. Rev. Lett. 2018, 121, 022504. [Google Scholar] [CrossRef]
- Dolan, S. Exploring Nuclear Effects in Neutrino-Nucleus Interactions Using Measurements of Transverse Kinematic Imbalance from T2K and MINERvA. arXiv 2018, arXiv:1810.06043. [Google Scholar]
- Lu, X.-G.; Sobczyk, J.T. Identification of nuclear effects in neutrino and antineutrino interactions on nuclei using generalized final-state correlations. Phys. Rev. C 2019, 99, 055504. [Google Scholar] [CrossRef]
- Harewood, L.; Gran, R. Elastic hadron-nucleus scattering in neutrino-nucleus reactions and transverse kinematics measurements. arXiv 2019, arXiv:1906.10576. [Google Scholar]
- Cai, T.; Lu, X.-G.; Ruterbories, D. Pion-proton correlation in neutrino interactions on nuclei. Phys. Rev. D 2019, 100, 073010. [Google Scholar] [CrossRef]
- MINERvA Collaboration. Nucleon binding energy and transverse momentum imbalance in neutrino-nucleus reactions. Phys. Rev. D 2020, 101, 092001. [Google Scholar] [CrossRef]
- MINERvA Collaboration. Probing Nuclear Effects with Neutrino-induced Charged-Current Neutral Pion Production. arXiv 2020, arXiv:2002.05812.
- Lu, X.-G.; Coplowe, D.; Shah, R.; Barr, G.; Wark, D.; Weber, A. Reconstruction of Energy Spectra of Neutrino Beams Independent of Nuclear Effects. Phys. Rev. D 2015, 92, 051302. [Google Scholar] [CrossRef]
- Duyang, H.; Guo, B.; Mishra, S.R.; Petti, R. A Novel Approach to Neutrino-Hydrogen Measurements. arXiv 2018, arXiv:1809.08752. [Google Scholar]
- Duyang, H.; Guo, B.; Mishra, S.; Petti, R. A Precise Determination of (Anti)neutrino Fluxes with (Anti)neutrino-Hydrogen Interactions. Phys. Lett. B 2019, 795, 424–431. [Google Scholar] [CrossRef]
- Munteanu, L.; Suvorov, S.; Dolan, S.; Sgalaberna, D.; Bolognesi, S.; Manly, S.; Yang, G.; Giganti, C.; Iwamoto, K.; Jesús-Valls, C. A new method for an improved anti-neutrino energy reconstruction with charged-current interactions in next-generation detectors. arXiv 2019, arXiv:1912.01511. [Google Scholar]
- Hamacher-Baumann, P.; Lu, X.-G.; Martín-Albo, J. Neutrino-hydrogen interactions with a high-pressure TPC. arXiv 2020, arXiv:2005.05252. [Google Scholar]
- Marshall, C.M.; McFarland, K.S.; Wilkinson, C. Neutrino-electron elastic scattering for flux determination at the DUNE oscillation experiment. arXiv 2019, arXiv:1910.10996. [Google Scholar] [CrossRef]
- Mishra, S.R. Probing Hadron Structure with Neutrino Experiments. In Workshop on Hadron Structure Functions and Parton Distributions; Geesaman, D.F., Morfin, J., Sazama, C., Tung-Fermilab, W.-K., Eds.; Fermilab, April, 1990; Nevis Preprint # 1426, June 1990; World Scientific: Singapore, 1990; pp. 84–123. [Google Scholar]
- MINERvA Collaboration. Measurements of the Inclusive Neutrino and Antineutrino Charged Current Cross Sections in MINERvA Using the Low-ν Flux Method. Phys. Rev. D 2016, 94, 112007. [Google Scholar] [CrossRef]
- ArgonCube Collaboration. ArgonCube: A Novel, Fully-Modular Approach for the Realization of Large-Mass Liquid Argon TPC Neutrino Detectors; Tech. Rep. CERN-SPSC-2015-009. SPSC-I-243; CERN: Geneva, Switzerland, 2015. [Google Scholar]
- Asaadi, J.; Auger, M.; Ereditato, A.; Goeldi, D.; Haenni, R.; Kose, U.; Kreslo, I.; Lorca, D.; Luethi, M.; Rudolf Von Rohr, C. First Demonstration of a Pixelated Charge Readout for Single-Phase Liquid Argon Time Projection Chambers. arXiv 2018, arXiv:1801.08884. [Google Scholar]
- Krieger, A.; Dwyer, D.; Garcia-Sciveres, M.; Gnani, D.; Grace, C. A micropower readout ASIC for pixelated liquid Ar TPCs. In Topical Workshop on Electronics for Particle Physics; 2017; Available online: https://pos.sissa.it/313 (accessed on 2 August 2021).
- Auger, M.; Chen, Y.; Ereditato, A.; Goeldi, D.; Kreslo, I.; Lorca, D.; Luethi, M.; Mettler, T.; Sinclair, J.R.; Weber, M.S. ArCLight-A Compact Dielectric Large-Area Photon Detector. Instruments 2018, 2, 3. [Google Scholar] [CrossRef]
- Auger, M.; Berner, R.; Chen, Y.; Ereditato, A.; Goeldi, D.; Koller, P.P.; Kreslo, I.; Lorca, D.; Mettler, T.; Piastra, F.; et al. A Concept for the Fourth DUNE Far Detector Module. DUNE doc 10419, 2018. Available online: https://arxiv.org/abs/1908.10956 (accessed on 2 August 2021).
- DUNE Collaboration. The Single-Phase ProtoDUNE Technical Design Report. arXiv 2017, arXiv:1706.07081.
- Ereditato, A.; Hsu, C.C.; Janos, S.; Kreslo, I.; Messina, M.; von Rohr, C.R.; Rossi, B.; Strauss, T.; Weber, M.S.; Zeller, M. Design and operation of ARGONTUBE: A 5 m long drift liquid argon TPC. JINST 2013, 8, 07002. [Google Scholar] [CrossRef][Green Version]
- Zeller, M.; Ereditato, A.; Haug, S.; Hsu, C.-C.; Janos, S.; Kreslo, I.; Messina, M.; von Rohr, C.R.; Rossi, B.; Strauss, T. First measurements with ARGONTUBE, a 5m long drift Liquid Argon TPC. Nucl. Instrum. Meth. 2013, 718, 454–458. [Google Scholar] [CrossRef]
- Ereditato, A.; Göldi, D.; Janos, S.; Kreslo, I.; Luethi, M.; von Rohr, C.R.; Schenk, M.; Strauss, T.; Weber, M.; Zeller, M. Performance of cryogenic charge readout electronics with the ARGONTUBE LAr TPC. J. Instrum. 2014, 9, P11022. [Google Scholar] [CrossRef][Green Version]
- LArIAT Collaboration; Cavanna, F.; Kordosky, M.; Raaf, J.; Rebel, B. LArIAT: Liquid Argon In A Testbeam. arXiv 2014, arXiv:1406.5560. [Google Scholar]
- Auger, M.; et al. ProtoDUNE-ND: Proposal to Place the ArgonCube 2 × 2 Demonstrator On-Axis in NuMI; Fermilab: Batavia, IL, USA, 2019. [Google Scholar]
- Adamson, P. Long-Baseline Neutrino Facility (LBNF)/DUNE Conceptual Design Report: Annex 3A_opt. DUNE doc 4559. 2017. Available online: http://docs.dunescience.org/cgi-bin/ShowDocument?docid=4559&asof=2019-7-15 (accessed on 2 August 2021).
- Convery, M.; Decker, K.; Fields, L.; Fleming, B.; Geer, S.; Geesaman, D.; Harris, D.; Johnson, D.; Kobilarcik, T.; Messier, M. Accelerator/Experiment Operations-FY 2017; Fermi National Accelerator Lab. (FNAL): Batavia, IL, USA, 2017. [Google Scholar]
- Mahn, K.; Marshall, C.; Wilkinson, C. Progress in Measurements of 0.1-10 GeV Neutrino-Nucleus Scattering and Anticipated Results from Future Experiments. Ann. Rev. Nucl. Part. Sci. 2018, 68, 105–129. [Google Scholar] [CrossRef]
- Andreopoulos, C.; Bell, A.; Bhattacharya, D.; Cavanna, F.; Dobson, J.; Dytman, S.; Gallagher, H.; Guzowski, P.; Hatcher, R.; Kehayias, P.; et al. The GENIE Neutrino Monte Carlo Generator. Nucl. Instrum. Methods A 2010, 614, 87–104. [Google Scholar] [CrossRef]
- Acciarri, R.; Adams, C.; An, R.; Aparicio, A.; Aponte, S.; Asaadi, J.; Auger, M.; Ayoub, N.; Bagby, L.; Baller, B.; et al. Design and construction of the microboone detector. J. Instrum. 2017, 12, P02017. [Google Scholar] [CrossRef]
- ICARUS Collaboration; Varanini, F. ICARUS detector: Present and future. EPJ Web Conf. 2017, 164, 07017. [Google Scholar] [CrossRef][Green Version]
- MicroBooNE Collaboration. The Pandora multi-algorithm approach to automated pattern recognition of cosmic-ray muon and neutrino events in the MicroBooNE detector. Eur. Phys. J. C 2018, 78, 82. [Google Scholar] [CrossRef]
- Particle Data Group Collaboration. Review of Particle Physics. Phys. Rev. D 2018, 98, 030001. [Google Scholar] [CrossRef]
- Goeldi, D. A Novel Liquid Argon Time Projection Chamber Detector: The ArgonCube Concept. TH002. Ph.D. Thesis, Universitat Bern, Bern, Switzerland, 2018. [Google Scholar]
- MINERvA Collaboration. Design, Calibration, and Performance of the MINERvA Detector. Nucl. Instrum. Meth. 2014, 743, 130–159. [Google Scholar] [CrossRef]
- MicroBooNE Collaboration. Determination of muon momentum in the MicroBooNE LArTPC using an improved model of multiple Coulomb scattering. JINST 2017, 12, P10010. [Google Scholar] [CrossRef][Green Version]
- Heindl, T.; Dandl, T.; Fedenev, A.; Hofmann, M.; Krücken, R.; Oberauer, L.; Potzel, W.; Wieser, J.; Ulrich, A. Table-top setup for investigating the scintillation properties of liquid argon. JINST 2011, 6, P02011. [Google Scholar] [CrossRef]
- Grace, E.; Nikkel, J.A. Index of refraction, Rayleigh scattering length, and Sellmeier coefficients in solid and liquid argon and xenon. Nucl. Instrum. Meth. 2017, 867, 204–208. [Google Scholar] [CrossRef]
- Kubota, S.; Hishida, M.; Suzuki, M.; Ruan(Gen), J.-Z. Dynamical behavior of free electrons in the recombination process in liquid argon, krypton, and xenon. Phys. Rev. B 1979, 20, 3486–3496. [Google Scholar] [CrossRef]
- Hitachi, A.; Takahashi, T.; Funayama, N.; Masuda, K.; Kikuchi, J.; Doke, T. Effect of ionization density on the time dependence of luminescence from liquid argon and xenon. Phys. Rev. B 1983, 27, 5279–5285. [Google Scholar] [CrossRef]
- MINERvA Collaboration. Measurement of Neutrino Flux from Neutrino-Electron Elastic Scattering. Phys. Rev. D 2016, 93, 112007. [Google Scholar] [CrossRef]
- MINERvA Collaboration. Constraint of the MINERνA medium energy neutrino flux using neutrino-electron elastic scattering. Phys. Rev. D 2019, 100, 092001. [Google Scholar] [CrossRef]
- NA61/SHINE Collaboration; Laszlo, A. The NA61/SHINE Experiment at the CERN SPS. Nucl. Phys. A 2009, 830, 559C–562C. [Google Scholar] [CrossRef]
- Belusevic, R.; Rein, D. Neutrino Reactions in the Low Y Region. Phys. Rev. D 1988, 38, 2753–2757. [Google Scholar] [CrossRef] [PubMed]
- Seligman, W.G. A Next-to-Leading Order QCD Analysis of Neutrino–Iron Structure Functions at the Tevatron. Ph.D. Thesis, Nevis Labs, Columbia University, Irvington, NY, USA, 1997. [Google Scholar]
- NuTeV Collaboration. Precise measurement of neutrino and anti-neutrino differential cross sections. Phys. Rev. D 2006, 74, 012008. [Google Scholar] [CrossRef]
- MINOS Collaboration. Neutrino and Antineutrino Inclusive Charged-current Cross Section Measurements with the MINOS Near Detector. Phys. Rev. D 2010, 81, 072002. [Google Scholar] [CrossRef]
- Bodek, A.; Sarica, U.; Naples, D.; Ren, L. Methods to Determine Neutrino Flux at Low Energies:Investigation of the Low ν Method. Eur. Phys. J. C 2012, 72, 1973. [Google Scholar] [CrossRef][Green Version]
- Nieves, J.; Valverde, M.; Vacas, M.J.V. Inclusive nucleon emission induced by quasi-elastic neutrino-nucleus interactions. Phys. Rev. C 2006, 73, 025504. [Google Scholar] [CrossRef]
- Lalakulich, O.; Gallmeister, K.; Mosel, U. Neutrino- and antineutrino-induced reactions with nuclei between 1 and 50 GeV. Phys. Rev. C 2012, 86, 014607. [Google Scholar] [CrossRef]
- Mosel, U.; Lalakulich, O.; Gallmeister, K. Energy reconstruction in the long-baseline neutrino experiment. Phys. Rev. Lett. 2014, 112, 151802. [Google Scholar] [CrossRef]
- Mosel, U.; Lalakulich, O.; Gallmeister, K. Reaction mechanisms at MINERvA. Phys. Rev. D 2014, 89, 093003. [Google Scholar] [CrossRef]
- ALICE Collaboration. ALICE: Technical Design Report of the Time Projection Chamber. Available online: http://cds.cern.ch/record/451098 (accessed on 2 August 2021).
- Alme, J.; Andres, Y.; Appelshäuser, H.; Bablok, S.; Bialas, N.; Bolgen, R.; Bonnes, U.; Bramm, R.; Braun-Munzinger, P.; Campagnolo, R.; et al. The ALICE TPC, a large 3-dimensional tracking device with fast readout for ultra-high multiplicity events. Nucl. Instrum. Meth. 2010, 622, 316–367. [Google Scholar] [CrossRef]
- Dwyer, D.A.; Garcia-Sciveres, M.; Gnani, D.; Grace, C.; Kohn, S.; Kramer, M.; Krieger, A.; Lin, C.; Luk, K.; Madigan, P.; et al. LArPix: Demonstration of low-power 3D pixelated charge readout for liquid argon time projection chambers. JINST 2018, 13, P10007. [Google Scholar] [CrossRef]
- Gonzalez-Diaz, D.; Monrabal, F.; Murphy, S. Gaseous and dual-phase time projection chambers for imaging rare processes. Nucl. Instrum. Meth. 2018, 878, 200–255. [Google Scholar] [CrossRef]
- Chandrasekharan, R.; Knecht, A.; Messina, M.; Regenfus, C.; Rubbia, A. High efficiency detection of argon scintillation light of 128 nm using LAAPDs. In Proceedings of the 2005 IEEE Nuclear Science Symposium and Medical Imaging Conference: El Conquistador Resort, Fajardo, PR, USA, 23–29 October 2005; pp. 181–185. [Google Scholar]
- Neumeier, A.; Dandl, T.; Heindl, T.; Himpsl, A.; Hagn, H.; Hofmann, M.; Oberauer, L.; Potzel, W.; Roth, S.; Schönert, S.; et al. Intense infrared scintillation of liquid Ar-Xe mixtures. EPL 2014, 106, 32001. [Google Scholar] [CrossRef]
- Simon, F.; Soldner, C.; Weuste, L. T3B — an experiment to measure the time structure of hadronic showers. JINST 2013, 8, P12001. [Google Scholar] [CrossRef]
- CALICE Collaboration. Construction and Commissioning of the CALICE Analog Hadron Calorimeter Prototype. JINST 2010, 5, P05004. [Google Scholar]
- T2K UK Collaboration. The Electromagnetic Calorimeter for the T2K Near Detector ND280. JINST 2013, 8, P10019. [Google Scholar] [CrossRef]
- Emberger, L.; Simon, F. A highly granular calorimeter concept for long baseline near detectors. J. Phys. Conf. Ser. 2019, 1162, 012033. [Google Scholar] [CrossRef]
- Kvasnicka, J. Data acquisition system for the CALICE AHCAL calorimeter. J. Instrum. 2017, 12, C03043. [Google Scholar] [CrossRef]
- Behnke, T.; Brau, J.E.; Burrows, P.N.; Fuster, J.; Peskin, M.; Stanitzki, M.; Sugimoto, Y.; Yamada, S.; Yamamoto, H. The International Linear Collider Technical Design Report–Volume 4: Detectors. arXiv 2013, arXiv:1306.6329. [Google Scholar]
- Lorenzo, S.C.D.; Callier, S.; Fleury, J.; Dulucq, F.; la Taille, C.D.; Chassard, G.M.; Raux, L.; Seguin-Moreau, N. SPIROC: Design and performances of a dedicated very front-end electronics for an ILC analog hadronic CALorimeter (AHCAL) prototype with SiPM read-out. J. Instrum. 2013, 8, C01027. [Google Scholar] [CrossRef]
- MPD-Collaboration. Multi Purpose Detector Solenoidal Magnet Technical Design Report; Tech. Rep.; ASG Superconductors: 2019. Available online: https://www.google.com/url?sa=t&rct=j&q=&esrc=s&source=web&cd=&ved=2ahUKEwiW4o-lvOHrAhVPoHIEHUSIAlEQFjAAegQIAhAB&url=http%3A%32F%32Fmpd.jinr.ru%32Fwp-content%32Fuploads%32F2019%32F09%32FMAGNET-TDR-aug_2019.pdf&usg=AOvVaw11oXj6JBDExkKou3bidaay (accessed on 2 August 2021).
- Layter, J. Results from pep-4 tpc. In Electroweak Effects at High Energies; Springer: Berlin/Heidelberg, Germany, 1985; pp. 201–213. [Google Scholar]
- PEP4 Collaboration; Stork, D.H. First Operation of the TPC Facility at PEP. J. Phys. Colloq. 1982, 43, 42. [Google Scholar]
- TPC/Two Gamma Collaboration. SPATIAL RESOLUTION OF THE PEP-4 TIME PROJECTION CHAMBER. IEEE Trans. Nucl. Sci. 1983, 30, 76–81. [Google Scholar] [CrossRef]
- ALICE Collaboration. ALICE: Physics performance report, volume II. J. Phys. G 2006, 32, 1295–2040. [Google Scholar] [CrossRef]
- NA49 Collaboration; Makariev, M. Pion production in p + C collisions at 158-GeV/c beam momentum. AIP Conf. Proc. 2007, 899, 203. [Google Scholar]
- Grupen, C. Physics of particle detection. AIP Conf. Proc. 2000, 536, 3–34. [Google Scholar]
- Lippmann, C. Performance of the ALICE Time Projection Chamber. Phys. Procedia 2012, 37, 434–441. [Google Scholar] [CrossRef]
- ALICE Collaboration. Performance of the ALICE Experiment at the CERN LHC. Int. J. Mod. Phys. 2014, 29, 1430044. [Google Scholar] [CrossRef]
- DUNE Collaboration; Vilela, C. Generating Mock Data. Tech. Rep. 2019. Available online: https://indico.fnal.gov/event/21568/contribution/1/material/slides/0.pdf (accessed on 2 August 2021).
- MINERvA Collaboration. Identification of nuclear effects in neutrino-carbon interactions at low three-momentum transfer. Phys. Rev. Lett. 2016, 116, 071802. [Google Scholar] [CrossRef]
- GEANT4 Collaboration. GEANT4: A Simulation toolkit. Nucl. Instrum. Meth. A 2003, 506, 250–303. [Google Scholar] [CrossRef]
- Garsoft Redmine Repository. Available online: https://cdcvs.fnal.gov/redmine/projects/garsoft (accessed on 19 February 2019).
- Marshall, C. Neutron Reconstruction from Time of Flight in the MPD Calorimeter. DUNE doc 19033, 2020.
- Rogozhnikov, A. Reweighting with Boosted Decision Trees. J. Phys. Conf. Ser. 2016, 762, 012036. [Google Scholar] [CrossRef]
- Tikhonov, A.N.; Arsenin, V.I. Solutions of Ill-Posed Problems/Andrey N. Tikhonov and Vasiliy Y. Arsenin; Fritz, J., Translator; Winston; Halsted Press Washington: New York, NY, USA, 1977. [Google Scholar]
- Hansen, P. The L-Curve and Its Use in the Numerical Treatment of Inverse Problems; WIT Press: Southampton, UK, 2001; Volume 4, pp. 119–142. [Google Scholar]
- Smith, K.; Broadbent, A.; Greenslade, M.; Harrison, S.; Jenkins, D.; Ross, J.; Street, A.; Townsend, M.; Wiatrzyk, J.; Franzini, J. Progress in the design and manufacture of the KLOE solenoid for the DAPHNE ring at Frascati. IEEE Trans. Appl. Supercond. 1997, 7, 630–632. [Google Scholar] [CrossRef]
- Modena, M. The DAPHNE Cryogenic System. Report Number LNF-97-046-IR. 1997. Available online: https://www.openaccessrepository.it/record/19403/files/LNF-97-046%28NT%29.pdf?download=1 (accessed on 2 August 2021).
- Adinolfi, M.; Ambrosino, F.; Antonelli, A.; Antonelli, M.; Anulli, F.; Barbiellini, G.; Bencivenni, G.; Bertolucci, S.; Bini, C.; Bloise, C.; et al. The KLOE electromagnetic calorimeter. Nucl. Instrum. Meth. 2002, 482, 364–386. [Google Scholar] [CrossRef]
- KLOE Collaboration; Ceccarelli, A.; Dell’Agnello, S.; Virgilio, A.D.; Moccia, A.S. Survey and Alignment of the KLOE Experiment at DAPHNE; 1997; Available online: https://inis.iaea.org/collection/NCLCollectionStore/_Public/29/056/29056139.pdf (accessed on 2 August 2021).
- Anelli, M.; Battistoni, G.; Bertolucci, S.; Bini, C.; Branchini, P.; Curceanu, C.; De Zorzi, G.; Di Domenico, A.; Di Micco, B.; Ferrari, A.; et al. Measurement and simulation of the neutron response and detection efficiency of a Pb-scintillating fiber calorimeter. IEEE Trans. Nucl. Sci. 2008, 55, 1409–1412. [Google Scholar] [CrossRef]
- Adamov, G. A Proposal to Enhance the DUNE Near Detector Complex. DUNE doc 13262, 2019.
- Blondel, A.; Cadoux, F.; Fedotov, S.; Khabibullin, M.; Khotjantsev, A.; Korzenev, A.; Kostin, A.; Kudenko, Y.; Longhin, A.; Mefodiev, A.; et al. A fully active fine grained detector with three readout views. JINST 2018, 13, P02006. [Google Scholar] [CrossRef]
- Wood, K.; Yang, G.; Palomino, J. Studies of Muon and Electron Angular Resolution and Pi-Zero Containment in the 3DST. DUNE doc 19972, 2018.
- Park, J. Neutrino-Electron Scattering in MINERvA for Constraining the NuMI Neutrino Flux. Ph.D. Thesis, University Rochester, Rochester, NY, USA, 2013. [Google Scholar]
- T2K Collaboration. T2K ND280 Upgrade-Technical Design Report. arXiv 2019, arXiv:1901.03750.
- Mineev, O.; Blondel, A.; Favre, Y.; Fedotov, S.; Khotjantsev, A.; Korzenev, A.; Kudenko, Y.; Mefodiev, A.; Noah, E.; Sgalaberna, D.; et al. Beam test results of 3D fine-grained scintillator detector prototype for a T2K ND280 neutrino active target. Nucl. Instrum. Meth. 2019, 923, 134–138. [Google Scholar] [CrossRef]
- Basille, O.; Blondel, A.; Benoit, P.; Bogomilov, M.; Bron, S.; Cadoux, F.; Chikuma, N.; Douqa, D.; Dudarev, A.; Ekelöf, T.; et al. Baby MIND Readout Electronics Architecture for Accelerator Neutrino Particle Physics Detectors Employing Silicon Photomultipliers. JPS Conf. Proc. 2019, 27, 011011. [Google Scholar]
- CALICE Collaboration; Kvasnicka, J.; Polak, I. LED Calibration Systems for CALICE Hadron Calorimeter. Phys. Procedia 2012, 27, 402–409. [Google Scholar]
- H., B.; et al. Study of Neutron Interaction in a Scintillator Tracker Using LANL Neutron Beam. DUNE doc 15763, 2019.
- Petti, R. Precision Measurements of Fundamental Interactions with (Anti)Neutrinos. In Proceedings of the 27th International Workshop on Deep Inelastic Scattering and Related Subjects (DIS 2019), Torino, Italy, 8–12 April 2019. [Google Scholar]
- Sergi, A. NA62 Spectrometer: A Low Mass Straw Tracker. Phys. Procedia 2012, 37, 530–534. [Google Scholar] [CrossRef]
- SHiP Collaboration. A facility to Search for Hidden Particles (SHiP) at the CERN SPS. arXiv 2015, arXiv:1504.04956. [Google Scholar]
- Nishiguchi, H.; Evtoukhovitch, P.; Fujii, Y.; Hamada, E.; Mihara, S.; Moiseenko, A.; Noguchi, K.; Oishi, K.; Tanaka, S.; Tojo, J.; et al. Development of an extremely thin-wall straw tracker operational in vacuum – The COMET straw tracker system. Nucl. Instrum. Meth. 2017, 845, 269–272. [Google Scholar] [CrossRef]
- Mu2e Collaboration; Lee, M. The Straw-tube Tracker for the Mu2e Experiment. Nucl. Part. Phys. Proc. 2016, 273, 2530–2532. [Google Scholar]
- Gianotti, P.; Lucherini, V.; Pace, E.; Boca, G.; Costanza, S.; Genova, P.; Lavezzi, L.; Montanga, P.; Rotondi, A.; Bragadireanu, M.; et al. The Straw Tube Trackers of the PANDA Experiment. In Proceedings of the 3rd International Conference on Advancements in Nuclear Instrumentation Measurement Methods and their Applications (ANIMMA 2013), Marseille, France, 23–27 June 2013. [Google Scholar]
- Geronimo, G.D.; Fried, J.; Li, S.; Metcalfe, J.; Nambiar, N.; Vernon, E.; Polychronakos, V. VMM1—An ASIC for Micropattern Detectors. IEEE Trans. Nucl. Sci. 2013, 60, 2314–2321. [Google Scholar] [CrossRef]
- T2K Collaboration. The T2K Experiment. Nucl. Instrum. Meth. 2011, 659, 106–135. [Google Scholar] [CrossRef]
- Dixit, M.S.; Dubeau, J.; Martin, J.P.; Sachs, K. Position sensing from charge dispersion in micropattern gas detectors with a resistive anode. Nucl. Instrum. Meth. 2004, 518, 721–727. [Google Scholar] [CrossRef]
- Attié, D.; Batkiewicz-Kwasniak, M.; Boix, J.; Bolognesi, S.; Bordoni, S.; Calvet, D.; Catanesi, M.; Cicerchia, M.; Cogo, G.; Colas, P.; et al. Performances of a resistive MicroMegas module for the Time Projection Chambers of the T2K Near Detector upgrade. arXiv 2019, arXiv:1907.07060. [Google Scholar] [CrossRef]
- T2K ND280 TPC Collaboration. Time Projection Chambers for the T2K Near Detectors. Nucl. Instrum. Meth. 2011, 637, 25–46. [Google Scholar] [CrossRef]
- Giomataris, I.; Oliveira, R.D.; Andriamonje, S.; Aune, S.; Charpak, G.; Colas, P.; Giganon, A.; Rebourgeard, P.; Salin, P. Micromegas in a bulk. Nucl. Instrum. Meth. 2006, 560, 405–408. [Google Scholar] [CrossRef]
- T2K Collaboration. Measurement of the intrinsic electron neutrino component in the T2K neutrino beam with the ND280 detector. Phys. Rev. D 2014, 89, 092003. [Google Scholar] [CrossRef]
- Baron, P.; Calvet, D.; Delagnes, E.; Broise, X.d.; Delbart, A.; Druillole, F.; Monmarthe, E.; Mazzucato, E.; Pierre, F.; Zito, M. AFTER, an ASIC for the readout of the large T2K time projection chambers. IEEE Trans. Nucl. Sci. 2008, 55, 1744–1752. [Google Scholar] [CrossRef]
- NOMAD Collaboration. The NOMAD experiment at the CERN SPS. Nucl. Instrum. Meth. 1998, 404, 96–128. [Google Scholar] [CrossRef]
- NOMAD Collaboration. A Precise measurement of the muon neutrino-nucleon inclusive charged current cross-section off an isoscalar target in the energy range 2.5 < E(nu) < 40-GeV by NOMAD. Phys. Lett. B 2008, 660, 19–25. [Google Scholar]
- Jung, C.; Manly, S.; Mauger, C.; Sgalaberna, D.; Yang, G. 3DST-S White Paper. DUNE doc 16103, 2019.
- Holin, A. NUMI Beam Lessons and Work in Progress MINOS/MINOS+. 2017. Available online: https://indico.cern.ch/event/674901/contributions/2799260/attachments/1565380/2466505/beam_27Nov2017CERN-CENF-NDmeeting.pdf (accessed on 2 August 2021).
- Nufit Collaboration. Three-Neutrino Fit Based on Data Available in November 2018. 2018. Available online: http://www.nu-fit.org/?q=node/177 (accessed on 2 August 2021).
- Gluckstern, R. Uncertainties in track momentum and direction, due to multiple scattering and measurement errors. Nucl. Instrum. Meth. 1963, 24, 381–389. [Google Scholar] [CrossRef]
- MINERvA Collaboration. Neutron measurements from anti-neutrino hydrocarbon reactions. arXiv 2019, arXiv:1901.04892. [Google Scholar]
- Dolan, S. Talk at ect* Modeling Neutrino-Nucleus Interacrtions. Transverse Variables, qe and 2p2h. 2018. Available online: https://indico.ectstar.eu/event/19/contributions/409/attachments/313/414/sdolanTalk.pdf (accessed on 2 August 2021).
- NOMAD Collaboration. Final NOMAD results on muon-neutrino —> tau-neutrino and electron-neutrino —> tau-neutrino oscillations including a new search for tau-neutrino appearance using hadronic tau decays. Nucl. Phys. B 2001, 611, 3–39. [Google Scholar] [CrossRef]
- NOMAD Collaboration. A Study of strange particles produced in neutrino neutral current interactions in the NOMAD experiment. Nucl. Phys. B 2004, 700, 51–68. [Google Scholar] [CrossRef][Green Version]
- NuSTEC Collaboration. NuSTEC White Paper: Status and challenges of neutrino–nucleus scattering. Prog. Part. Nucl. Phys. 2018, 100, 1–68. [Google Scholar] [CrossRef]
- Amaro, J.; Barbaro, M.; Caballero, J.; González-Jiménez, R.; Megias, G.; Simo, I.R. Electron- versus neutrino-nucleus scattering. arXiv 2019, arXiv:1912.10612. [Google Scholar]
- Dolan, S.; Bolognesi, S.; Sgalaberna, D.; Megias, G.; Barbaro, M.; Caballero, J. Constraining Neutrino Interactions on an Argon Target Using Carbon Data in Modern Nuclear Models. DUNE doc 16058, 2019.
- Bernardini, P. Enhancing the LBNF/DUNE Physics Program. European Particle Physics Strategy Update 2018–2020 131. 2019. Available online: https://indico.cern.ch/event/765096/contributions/3295805/ (accessed on 2 August 2021).
- Bishai, M. Determining the Neutrino Flux from Accelerator Neutrino Beams. Nucl. Phys. B Proc. Suppl. 2012, 229, 210–214. [Google Scholar] [CrossRef]
- MINERvA Collaboration. Neutrino Flux Predictions for the NuMI Beam. Phys. Rev. D 2016, 94, 092005. [Google Scholar] [CrossRef]
- T2K Collaboration. T2K neutrino flux prediction. Phys. Rev. D 2013, 87, 012001. [Google Scholar] [CrossRef]
- Vladisavljevic, T. Constraining the T2K Neutrino Flux Prediction with 2009 NA61/SHINE Replica-Target Data. In Proceedings of the Prospects in Neutrino Physics (NuPhys2017), London, UK, 20–22 December 2017; pp. 189–193. [Google Scholar]
- MIPP Collaboration. Measurement of Charged Pion Production Yields off the NuMI Target. Phys. Rev. D 2014, 90, 032001. [Google Scholar] [CrossRef]
- NOvA Collaboration. First Measurement of Neutrino Oscillation Parameters using Neutrinos and Antineutrinos by NOvA. Phys. Rev. Lett. 2019, 123, 151803. [Google Scholar] [CrossRef]
- LAr1-ND, ICARUS-WA104, MicroBooNE Collaboration. A Proposal for a Three Detector Short-Baseline Neutrino Oscillation Program in the Fermilab Booster Neutrino Beam. arXiv 2015, arXiv:1503.01520. [Google Scholar]
- Anderson, C.; Antonello, M.; Baller, B.; Bolton, T.; Bromberg, C.; Cavanna, F.; Church, E.; Edmunds, D.; Ereditato, A.; Farooq, S.; et al. The ArgoNeuT Detector in the NuMI Low-Energy beam line at Fermilab. JINST 2012, 7, P10019. [Google Scholar] [CrossRef]
- MINERvA Collaboration. Measurement of Ratios of νμ Charged-Current Cross Sections on C, Fe, and Pb to CH at Neutrino Energies 2-20 GeV. Phys. Rev. Lett. 2014, 112, 231801. [Google Scholar] [CrossRef] [PubMed]
- MINERvA Collaboration. Tuning the GENIE Pion Production Model with MINERνA Data. Phys. Rev. D 2019, 100, 072005. [Google Scholar] [CrossRef]
- Fields, L.; McFarland, K.; Betancourt, M. Generator Tools Workshop. 2020. Available online: https://indico.fnal.gov/event/22294/overview (accessed on 2 August 2021).
- Smith, C.L. Neutrino reactions at accelerator energies. Phys. Rep. 1972, 3, 261–379. [Google Scholar] [CrossRef]
- Bradford, R.; Bodek, A.; Budd, H.S.; Arrington, J. A New parameterization of the nucleon elastic form-factors. Nucl. Phys. B Proc. Suppl. 2006, 159, 127–132. [Google Scholar] [CrossRef]
- Meyer, A.S.; Betancourt, M.; Gran, R.; Hill, R.J. Deuterium target data for precision neutrino-nucleus cross sections. Phys. Rev. D 2016, 93, 113015. [Google Scholar] [CrossRef]
- Rein, D.; Sehgal, L.M. Neutrino Excitation of Baryon Resonances and Single Pion Production. Ann. Phys. 1981, 133, 79–153. [Google Scholar] [CrossRef]
- MINERvA Collaboration. Measurement of ν¯μ Charged-Current Single π- Production on Hydrocarbon in the Few-GeV Region using MINERvA. Phys. Rev. D 2019, 100, 052008. [Google Scholar] [CrossRef]
- MINERvA Collaboration. Charged pion production in νμ interactions on hydrocarbon at 〈Eν〉 = 4.0 GeV. Phys. Rev. D 2015, 92, 092008. [Google Scholar] [CrossRef]
- MiniBooNE Collaboration. Measurement of Neutrino-Induced Charged-Current Charged Pion Production Cross Sections on Mineral Oil at Eν∼1 GeV. Phys. Rev. D 2011, 83, 052007. [Google Scholar] [CrossRef]
- T2K Collaboration. First measurement of the muon neutrino charged current single pion production cross section on water with the T2K near detector. Phys. Rev. D 2017, 95, 012010. [Google Scholar] [CrossRef]
- T2K Collaboration. Measurement of the muon neutrino charged-current single π+ production on hydrocarbon using the T2K off-axis near detector ND280. Phys. Rev. D 2020, 101, 012007. [Google Scholar] [CrossRef]
- Kulagin, S.A.; Petti, R. Global study of nuclear structure functions. Nucl. Phys. A 2006, 765, 126–187. [Google Scholar] [CrossRef]
- Bodek, A.; Yang, U.K. Higher twist, xi(omega) scaling, and effective LO PDFs for lepton scattering in the few GeV region. J. Phys. G 2003, 29, 899–1906. [Google Scholar] [CrossRef]
- Andersson, B. The Lund model. Camb. Monogr. Part. Phys. Nucl. Phys. Cosmol. 1997, 7, 1–471. [Google Scholar]
- Yang, T.; Andreopoulos, C.; Gallagher, H.; Hoffmann, K.; Kehayias, P. A Hadronization Model for Few-GeV Neutrino Interactions. Eur. Phys. J. C 2009, 63, 1–10. [Google Scholar] [CrossRef]
- DUNE Collaboration. TDR Volume 2: The Physics Program for DUNE at LBNF. Tech. Rep. 2018. Available online: https://arxiv.org/abs/2002.03005 (accessed on 2 August 2021).
- Andreopoulos, C.; Barry, C.; Dytman, S.; Gallagher, H.; Golan, T.; Hatcher, R.; Perdue, G.; Yarba, J. The GENIE Neutrino Monte Carlo Generator: Physics and User Manual. arXiv 2015, arXiv:1510.05494. [Google Scholar]
- Kuzmin, K.S.; Naumov, V.A. Mean charged multiplicities in charged-current neutrino scattering on hydrogen and deuterium. Phys. Rev. C 2013, 88, 065501. [Google Scholar] [CrossRef]
- T2K Collaboration. Observation of Electron Neutrino Appearance in a Muon Neutrino Beam. Phys. Rev. Lett. 2014, 112, 061802. [Google Scholar] [CrossRef] [PubMed]
- MINERvA Collaboration. Measurement of electron neutrino quasielastic and quasielasticlike scattering on hydrocarbon at 〈Eν〉 = 3.6 GeV. Phys. Rev. Lett. 2016, 116, 081802. [Google Scholar] [CrossRef]
- Rein, D.; Sehgal, L.M. Coherent pizero production in neutrino reactions. Nucl. Phys. B 1983, 223, 29–44. [Google Scholar] [CrossRef]
- Hernández, E.; Nieves, J.; Vacas, M.J.V. Neutrino induced coherent pion production off nuclei and the partial conservation of the axial current. Phys. Rev. D 2009, 80, 013003. [Google Scholar] [CrossRef]
- Paschos, E.A.; Schalla, D. Coherent pion production by neutrinos. Phys. Rev. D 2009, 80, 033005. [Google Scholar] [CrossRef]
- Berger, C.; Sehgal, L.M. PCAC and coherent pion production by low energy neutrinos. Phys. Rev. D 2009, 79, 053003. [Google Scholar] [CrossRef]
- Amaro, J.E.; Hernández, E.; Nieves, J.; Valverde, M. Theoretical study of neutrino-induced coherent pion production off nuclei at t2k and miniboone energies. Phys. Rev. D 2009, 79, 013002. [Google Scholar] [CrossRef]
- Zhang, X.; Serot, B.D. Coherent neutrinoproduction of photons and pions in a chiral effective field theory for nuclei. Phys. Rev. C 2012, 86, 035504. [Google Scholar] [CrossRef]
- Kelkar, N.G.; Oset, E.; de Córdoba, P.F. Coherent pion production in neutrino nucleus collision in the 1 gev region. Phys. Rev. C 1997, 55, 1964–1971. [Google Scholar] [CrossRef]
- Singh, S.K.; Athar, M.S.; Ahmad, S. Nuclear effects in neutrino induced coherent pion production at k2k and miniboone. Phys. Rev. Lett. 2006, 86, 241801. [Google Scholar] [CrossRef]
- Alvarez-Ruso, L.; Geng, L.; Hirenzaki, S.; Vacas, M.V. Charged current neutrino induced coherent pion production. Phys. Rev. C 2007, 75, 055501. [Google Scholar] [CrossRef]
- Alvarez-Ruso, L.; Geng, L.; Vacas, M.V. Neutral current coherent pion production. Phys. Rev. C 2007, 76, 068501. [Google Scholar] [CrossRef]
- Leitner, T.; Mosel, U.; Winkelmann, S. Neutrino-induced coherent pion production off nuclei reexamined. Phys. Rev. C 2009, 79, 057601. [Google Scholar] [CrossRef]
- Nakamura, S.X.; Sato, T.; Lee, T.-S.H.; Szczerbinska, B.; Kubodera, K. Dynamical model of coherent pion production in neutrino-nucleus scattering. Phys. Rev. C 2010, 81, 035502. [Google Scholar] [CrossRef]
- Wang, E.; Alvarez-Ruso, L.; Nieves, J. Photon emission in neutral-current interactions at intermediate energies. Phys. Rev. C 2014, 89, 015503. [Google Scholar] [CrossRef]
- T2K Collaboration. Measurement of Coherent π+ Production in Low Energy Neutrino-Carbon Scattering. Phys. Rev. Lett. 2016, 117, 192501. [Google Scholar] [CrossRef] [PubMed]
- MINERvA Collaboration. Measurement of total and differential cross sections of neutrino and antineutrino coherent π± production on carbon. Phys. Rev. D 2018, 97, 032014. [Google Scholar] [CrossRef]
- Benhar, O.; Fantoni, S.; Lykasov, G.; Slavin, N. Multiple hadron production in electron scattering off nuclear targets. Phys. Rev. C 1997, 55, 244–252. [Google Scholar] [CrossRef]
- Benhar, O.; Fantoni, S.; Lykasov, G. Backward hadron production in neutrino nucleus interactions. Eur. Phys. J. A 2000, 7, 415–419. [Google Scholar] [CrossRef][Green Version]
- Ankowski, A.M.; Sobczyk, J.T. Construction of spectral functions for medium-mass nuclei. Phys. Rev. C 2008, 77, 044311. [Google Scholar] [CrossRef]
- Benhar, O.; Fabrocini, A.; Fantoni, S.; Sick, I. Spectral function of finite nuclei and scattering of GeV electrons. Nucl. Phys. A 1994, 579, 493–517. [Google Scholar] [CrossRef]
- Negele, J.W. Structure of Finite Nuclei in the Local-Density Approximation. Phys. Rev. C 1970, 1, 1260–1321. [Google Scholar] [CrossRef]
- Hayato, Y. A neutrino interaction simulation program library NEUT. Acta Phys. Pol. B 2009, 40, 2477–2489. [Google Scholar]
- Singh, S. The Effect of final state interactions and deuteron binding in neutrino d –> Mu- p p. Nucl. Phys. B 1972, 36, 419–435. [Google Scholar] [CrossRef]
- Golan, T.; Sobczyk, J.T.; Zmuda, J. NuWro: The Wroclaw Monte Carlo Generator of Neutrino Interactions. Nucl. Phys. Proc. Suppl. 2012, 229, 499. [Google Scholar] [CrossRef]
- Subedi, R.; Shneor, R.; Monaghan, P.; Anderson, B.; Aniol, K.; Annand, J.; Arrington, J.; Benaoum, H.; Benmokhtar, F.; Boeglin, W.; et al. Probing Cold Dense Nuclear Matter. Science 2008, 320, 1476–1478. [Google Scholar] [CrossRef]
- Morfin, J.G.; Nieves, J.; Sobczyk, J.T. Recent Developments in Neutrino/Antineutrino - Nucleus Interactions. Adv. High Energy Phys. 2012, 2012, 934597. [Google Scholar] [CrossRef]
- Dolan, S.; Megias, G.; Bolognesi, S. Implementation of the susav2-mec 1p1h and 2p2h models in genie and analysis of nuclear effects in t2k measurements. Phys. Rev. D 2020, 101, 033003. [Google Scholar] [CrossRef]
- Carneiro, M.; Ruterbories, D.; Dar, Z.A.; Akbar, F.; Andrade, D.; Ascencio, M.; Badgett, W.; Bashyal, A.; Bercellie, A.; Betancourt, M.; et al. High-statistics measurement of neutrino quasielastic-like scattering at Eν= 6 GeV on a hydrocarbon target. Phys. Rev. Lett. 2020, 124, 121801. [Google Scholar] [CrossRef]
- Nikolakopoulos, A.; Martini, M.; Ericson, M.; Dessel, N.V.; González-Jiménez, R.; Jachowicz, N. Mean field approach to reconstructed neutrino energy distributions in accelerator-based experiments. Phys. Rev. C 2018, 98, 054603. [Google Scholar] [CrossRef]
- Ankowski, A.M. Effect of the charged-lepton’s mass on the quasielastic neutrino cross sections. Phys. Rev. C 2017, 96, 035501. [Google Scholar] [CrossRef]
- Weil, J.; Mosel, U. The GiBUU transport model. EPJ Web Conf. 2013, 52, 06007. [Google Scholar] [CrossRef]
- Amaro, J.; Barbaro, M.; Caballero, J.; Donnelly, T.; Udias, J. Relativistic analyses of quasielastic neutrino cross sections at MiniBooNE kinematics. Phys. Rev. D 2011, 84, 033004. [Google Scholar] [CrossRef]
- Megias, G.D.; Ivanov, M.V.; González-Jiménez, R.; Barbaro, M.B.; Caballero, J.A.; Donnelly, T.W.; Udías, J.M. Nuclear effects in neutrino and antineutrino charged-current quasielastic scattering at MINERνA kinematics. Phys. Rev. D 2014, 89, 093002. [Google Scholar] [CrossRef]
- CLAS Collaboration. The CEBAF Large Acceptance Spectrometer (CLAS). Nucl. Instrum. Meth. 2003, 503, 513–553. [Google Scholar] [CrossRef]
- CLAS Collaboration; Carman, D.S. CLAS Collaboration; Carman, D.S. Excited Nucleon Spectrum and Structure Studies with CLAS and CLAS12. In Proceedings of the 15th International Conference on Meson-Nucleon Physics and the Structure of the Nucleon (MENU 2019), Pittsburgh, PA, USA, 2–7 June 2019. [Google Scholar]
- CLAS Collaboration. Center of Mass Motion of Short-Range Correlated Nucleon Pairs studied via the A(e,e′pp) Reaction. Phys. Rev. Lett. 2018, 121, 092501. [Google Scholar] [CrossRef]
- CLAS Collaboration. Measurement of Nuclear Transparency Ratios for Protons and Neutrons. Phys. Lett. B 2019, 797, 134792. [Google Scholar] [CrossRef]
- CLAS Collaboration; Mokeev, V.L. Nucleon Resonance Structure from Exclusive Meson Electroproduction with CLAS. Few Body Syst. 2018, 59, 46. [Google Scholar] [CrossRef]
- Ankowski, A.M.; Friedland, A.; Li, S.W.; Moreno, O.; Schuster, P.; Toro, N.; Tran, N. Lepton-nucleus cross section measurements for dune with the ldmx detector. Phys. Rev. D 2020, 101, 053004. [Google Scholar] [CrossRef]
- Kisslinger, L.S.; Das, D. A brief review of dark matter. Int. J. Mod. Phys. A 2019, 34, 1930013. [Google Scholar] [CrossRef]
- Romeri, V.D.; Kelly, K.J.; Machado, P.A.N. Hunting On- and Off-Axis for Light Dark Matter with DUNE-PRISM. arXiv 2019, arXiv:1903.10505. [Google Scholar]
- LDMX Collaboration. Light Dark Matter eXperiment (LDMX). arXiv 2018, arXiv:1808.05219. [Google Scholar]
- deNiverville, P.; Frugiuele, C. Hunting sub-GeV dark matter with the NOνA near detector. Phys. Rev. D 2019, 99, 051701. [Google Scholar] [CrossRef]
- MiniBooNE DM Collaboration. Dark Matter Search in Nucleon, Pion, and Electron Channels from a Proton Beam Dump with MiniBooNE. Phys. Rev. D 2018, 98, 112004. [Google Scholar] [CrossRef]
- BaBar Collaboration. Search for Invisible Decays of a Dark Photon Produced in e+e- Collisions at BaBar. Phys. Rev. Lett. 2017, 119, 131804. [Google Scholar] [CrossRef]
- Davier, M.; Ngoc, H.N. An Unambiguous Search for a Light Higgs Boson. Phys. Lett. B 1989, 229, 150–155. [Google Scholar] [CrossRef]
- NA48/2 Collaboration. Search for the dark photon in π0 decays. Phys. Lett. B 2015, 746, 178–185. [Google Scholar] [CrossRef]
- Bjorken, J.D.; Ecklund, S.; Nelson, W.R.; Abashian, A.; Church, C.; Lu, B.; Mo, L.W.; Nunamaker, T.A.; Rassmann, P. Search for Neutral Metastable Penetrating Particles Produced in the SLAC Beam Dump. Phys. Rev. D 1988, 38, 3375. [Google Scholar] [CrossRef] [PubMed]
- Riordan, E.; Krasny, M.; Lang, K.; De Barbaro, P.; Bodek, A.; Dasu, S.; Varelas, N.; Wang, X.; Arnold, R.; Benton, D.; et al. A Search for Short Lived Axions in an Electron Beam Dump Experiment. Phys. Rev. Lett. 1987, 59, 755. [Google Scholar] [CrossRef] [PubMed]
- Bjorken, J.D.; Essig, R.; Schuster, P.; Toro, N. New Fixed-Target Experiments to Search for Dark Gauge Forces. Phys. Rev. D 2009, 80, 075018. [Google Scholar] [CrossRef]
- Bross, A.; Crisler, M.; Pordes, S.H.; Volk, J.; Errede, S.; Wrbanek, J. A Search for Shortlived Particles Produced in an Electron Beam Dump. Phys. Rev. Lett. 1991, 67, 2942–2945. [Google Scholar] [CrossRef]
- CHARM-II Collaboration. First observation of neutrino trident production. Phys. Lett. B 1990, 245, 271–275. [Google Scholar] [CrossRef]
- CCFR Collaboration. Neutrino tridents and W Z interference. Phys. Rev. Lett. 1991, 66, 3117–3120. [Google Scholar] [CrossRef] [PubMed]
- NuTeV Collaboration. Evidence for diffractive charm production in muon-neutrino Fe and anti-muon-neutrino Fe scattering at the Tevatron. Phys. Rev. D 2000, 61, 092001. [Google Scholar] [CrossRef]
- CMS Collaboration. Search for an Lμ-Lτ gauge boson using Z→4μ events in proton-proton collisions at = 13 TeV. Phys. Lett. 2018. submitted. [Google Scholar]
- BaBar Collaboration. Search for a muonic dark force at BABAR. Phys. Rev. D 2016, 94, 011102. [Google Scholar] [CrossRef]
- Altmannshofer, W.; Gori, S.; Pospelov, M.; Yavin, I. Neutrino Trident Production: A Powerful Probe of New Physics with Neutrino Beams. Phys. Rev. Lett. 2014, 113, 091801. [Google Scholar] [CrossRef] [PubMed]
- Bellini, G.; Benziger, J.; Bick, D.; Bonetti, S.; Bonfini, G.; Avanzini, M.B.; Caccianiga, B.; Cadonati, L.; Calaprice, F.; Carraro, C.; et al. Precision measurement of the 7Be solar neutrino interaction rate in Borexino. Phys. Rev. Lett. 2011, 107, 141302. [Google Scholar] [CrossRef]
- Harnik, R.; Kopp, J.; Machado, P.A.N. Exploring nu Signals in Dark Matter Detectors. JCAP 2012, 1207, 026. [Google Scholar] [CrossRef]
- Borexino Collaboration. First Simultaneous Precision Spectroscopy of pp, 7Be, and pep Solar Neutrinos with Borexino Phase-II. arXiv 2017, arXiv:1707.09279.
- Ahlgren, B.; Ohlsson, T.; Zhou, S. Comment on ‘Is Dark Matter with Long-Range Interactions a Solution to All Small-Scale Problems of Λ Cold Dark Matter Cosmology’? Phys. Rev. Lett. 2013, 111, 199001. [Google Scholar] [CrossRef]
- Kamada, A.; Yu, H.-B. Coherent Propagation of PeV Neutrinos and the Dip in the Neutrino Spectrum at IceCube. Phys. Rev. D 2015, 92, 113004. [Google Scholar] [CrossRef]
- SHiP Collaboration. Sensitivity of the SHiP experiment to Heavy Neutral Leptons. JHEP 2019, 4, 077. [Google Scholar]
- Balantekin, A.B.; de Gouvêa, A.; Kayser, B. Addressing the Majorana vs. Dirac Question with Neutrino Decays. Phys. Lett. B 2019, 789, 488–495. [Google Scholar] [CrossRef]
- Ballett, P.; Boschi, T.; Pascoli, S. Heavy Neutral Leptons from low-scale seesaws at the DUNE Near Detector. arXiv 2019, arXiv:1905.00284. [Google Scholar] [CrossRef]
- Bonivento, W.; Boyarsky, A.; Dijkstra, H.; Egede, U.; Ferro-Luzzi, M.; Goddard, B.; Golutvin, A.; Gorbunov, D.; Jacobsson, R.; Panman, J.; et al. Proposal to Search for Heavy Neutral Leptons at the SPS. arXiv 2013, arXiv:1310.1762. [Google Scholar]
- MINOS+, Daya Bay Collaboration. Improved Constraints on Sterile Neutrino Mixing from Disappearance Searches in the MINOS, MINOS+, Daya Bay, and Bugey-3 Experiments. Phys. Rev. Lett. 2020, 125, 071801. [Google Scholar] [CrossRef] [PubMed]
- IceCube Collaboration. Searching for eV-scale sterile neutrinos with eight years of atmospheric neutrinos at the IceCube Neutrino Telescope. Phys. Rev. D 2020, 102, 052009. [Google Scholar] [CrossRef]
- Altmannshofer, W.; Tammaro, M.; Zupan, J. Non-standard neutrino interactions and low energy experiments. JHEP 2019, 9, 083. [Google Scholar] [CrossRef]
- Kostelecký, V.A.; Samuel, S. Spontaneous Breaking of Lorentz Symmetry in String Theory. Phys. Rev. D 1989, 39, 683. [Google Scholar] [CrossRef] [PubMed]
- Kostelecký, V.A.; Potting, R. CPT and strings. Nucl. Phys. B 1991, 359, 545–570. [Google Scholar] [CrossRef]
- Kostelecký, V.A.; Russell, N. Data Tables for Lorentz and CPT Violation. Rev. Mod. Phys. 2011, 83, 11–31. [Google Scholar] [CrossRef]
- Kostelecký, A.; Mewes, M. Neutrinos with Lorentz-violating operators of arbitrary dimension. Phys. Rev. D 2012, 85, 096005. [Google Scholar] [CrossRef]
- Kostelecký, V.A.; Mewes, M. Lorentz violation and short-baseline neutrino experiments. Phys. Rev. D 2004, 70, 076002. [Google Scholar] [CrossRef]
- Diaz, J.S.; Kostelecký, V.A.; Mewes, M. Perturbative Lorentz and CPT violation for neutrino and antineutrino oscillations. Phys.Rev. D 2009, 80, 076007. [Google Scholar] [CrossRef]
- MINOS Collaboration. Testing Lorentz Invariance and CPT Conservation with NuMI Neutrinos in the MINOS Near Detector. Phys. Rev. Lett. 2008, 101, 151601. [Google Scholar] [CrossRef] [PubMed]
- MINOS Collaboration. Search for Lorentz invariance and CPT violation with muon antineutrinos in the MINOS Near Detector. Phys. Rev. D 2012, 85, 031101. [Google Scholar] [CrossRef]
- T2K Collaboration. Search for Lorentz and CPT violation using sidereal time dependence of neutrino flavor transitions over a short baseline. Phys. Rev. D 2017, 95, 111101. [Google Scholar] [CrossRef]
- CHARM Collaboration. A Precise Determination of the Electroweak Mixing Angle from Semileptonic Neutrino Scattering. Z. Phys. C 1987, 36, 611. [Google Scholar] [CrossRef]
- CCFR, E744, E770 Collaboration. A Precision measurement of electroweak parameters in neutrino–nucleon scattering. Eur. Phys. J. C 1998, 1, 509–513. [Google Scholar] [CrossRef]
- NuTeV Collaboration. A Precise Determination of Electroweak Parameters in Neutrino Nucleon Scattering. Phys. Rev. Lett. 2002, 88, 091802. [Google Scholar] [CrossRef] [PubMed]
- Particle Data Group Collaboration. Review of Particle Physics. PTEP 2020, 8, 083C01. [Google Scholar]
- CHARM Collaboration. Experimental results on neutrino-electron scattering. Z. Phys. C 1989, 41, 567, Erratum in 1991, 51, 142. [Google Scholar]
- Ahrens, L.; Aronson, S.; Connolly, P.; Gibbard, B.; Murtagh, M.; Murtagh, S.; Terada, S.; White, D.; Callas, J.; Cutts, D.; et al. Determination of electroweak parameters from the elastic scattering of muon-neutrinos and anti-neutrinos on electrons. Phys. Rev. D 1990, 41, 3297–3316. [Google Scholar] [CrossRef] [PubMed]
- CHARM-II Collaboration. Precision measurement of electroweak parameters from the scattering of muon-neutrinos on electrons. Phys. Lett. B 1994, 335, 246–252. [Google Scholar] [CrossRef]
- NOMAD Collaboration. A Study of strange particle production in muon-neutrino charged current interactions in the NOMAD experiment. Nucl. Phys. B 2002, 621, 3–34. [Google Scholar] [CrossRef][Green Version]
- MINERvA Collaboration. Measurement of neutral-current K+ production by neutrinos using MINERvA. Phys. Rev. Lett. 2017, 119, 011802. [Google Scholar] [CrossRef] [PubMed]
- Akbar, F.; Alam, M.R.; Athar, M.S.; Singh, S. Quasielastic production of polarized hyperons in antineutrino–nucleon reactions. Phys. Rev. D 2016, 94, 114031. [Google Scholar] [CrossRef]
- Erriquez, O.; Muciaccia, M.F.; Natali, S.; Nuzzo, S.; Halsteinslid, A.; Jarlskog, C.; Myklebost, K.; Rognebakke, A.; Skjeggestad, O.; Tvedt, B.; et al. Production of Strange Particles in anti-neutrino Interactions at the CERN PS. Nucl. Phys. B 1978, 140, 123–140. [Google Scholar] [CrossRef]
- Athar, M.S.; Morfin, J.G. Neutrino(Antineutrino)-Nucleus Interactions in the Shallow- and Deep-Inelastic Scattering Regions. arXiv 2020, arXiv:2006.08603. [Google Scholar]
- NuSTEC Collaboration. Summary of the NuSTEC Workshop on Shallow- and Deep-Inelastic Scattering. arXiv 2019, arXiv:1907.13252. [Google Scholar]
- Kopeliovich, B.; Morfin, J.; Schmidt, I. Nuclear Shadowing in Electro-Weak Interactions. Prog. Part. Nucl. Phys. 2013, 68, 314–372. [Google Scholar] [CrossRef]
- Alekhin, S.; Blümlein, J.; Kulagin, S.; Moch, S.-O.; Petti, R. Strange and non-strange distributions from the collider data. arXiv 2018, arXiv:1808.06871. [Google Scholar]
- NOMAD Collaboration. A Precision Measurement of Charm Dimuon Production in Neutrino Interactions from the NOMAD Experiment. Nucl. Phys. B 2013, 876, 339–375. [Google Scholar] [CrossRef]
- Alekhin, S.; Kulagin, S.; Petti, R. Nuclear Effects in the Deuteron and Constraints on the d/u Ratio. Phys. Rev. D 2017, 96, 054005. [Google Scholar] [CrossRef]
- Accardi, A.; Brady, L.; Melnitchouk, W.; Owens, J.; Sato, N. Constraints on large-x parton distributions from new weak boson production and deep-inelastic scattering data. Phys. Rev. D 2016, 93, 114017. [Google Scholar] [CrossRef]
- Adler, S.L. Tests of the Conserved Vector Current and Partially Conserved Axial-Vector Current Hypotheses in High-Energy Neutrino Reactions. Phys. Rev. 1964, 135, B963–B966. [Google Scholar] [CrossRef]
- Allasia, D.; Angelini, C.; Baldini, A.; Bertanza, L.; Bigi, A.; Bisi, V.; Bobisut, F.; Bolognese, T.; Borg, A.; Calimani, E.; et al. Q**2 Dependence of the Proton and Neutron Structure Functions from Neutrino and anti-neutrinos Scattering in Deuterium. Z. Phys. C 1985, 28, 321. [Google Scholar] [CrossRef]
- Kulagin, S.A.; Petti, R. Neutrino inelastic scattering off nuclei. Phys. Rev. D 2007, 76, 094023. [Google Scholar] [CrossRef]
- Gross, D.J.; Smith, C.H.L. High-energy neutrino - nucleon scattering, current algebra and partons. Nucl. Phys. B 1969, 14, 337–347. [Google Scholar] [CrossRef]
- Kim, J.H.; Harris, D.; Arroyo, C.; De Barbaro, L.; De Barbaro, P.; Bazarko, A.; Bernstein, R.; Bodek, A.; Bolton, T.; Budd, H.; et al. A Measurement of alpha(s)(Q**2) from the Gross-Llewellyn Smith sum rule. Phys. Rev. Lett. 1998, 81, 3595–3598. [Google Scholar] [CrossRef]
- Larin, S.; Vermaseren, J. The alpha-s**3 corrections to the Bjorken sum rule for polarized electroproduction and to the Gross-Llewellyn Smith sum rule. Phys. Lett. B 1991, 259, 345–352. [Google Scholar] [CrossRef]
- Kataev, A.L.; Sidorov, A.V. The Jacobi polynomials QCD analysis of the CCFR data for xF3 and the Q**2 dependence of the Gross-Llewellyn-Smith sum rule. Phys. Lett. B 1994, 331, 179–186. [Google Scholar] [CrossRef]
- DUNE Collaboration. TDR Volume 1: The LBNF and DUNE Projects. Tech. Rep. 2019. Available online: https://arxiv.org/abs/2002.02967 (accessed on 2 August 2021).
- DUNE Collaboration. The DUNE Far Detector Interim Design Report, Volume 3: Dual-Phase Module. arXiv 2018, arXiv:1807.10340. [Google Scholar]
| 1 | Aspects of the language commonly used in neutrino physics, and in this document, can be confusing or ambiguous.
|
| 2 | In the standard parametrization. |
| 3 | Note that many of the ND data samples, particularly those on argon targets, are incorporated into the oscillation analyses directly. |
| 4 | This is an important technique since it is largely independent of nuclear and cross-section uncertainties. |
| 5 | The addition of the neutron reconstruction capability extends the DUNE ND theme of including regions of phase space in neutrino interactions not seen in previous experiments. DUNE is studying neutron reconstruction in each of the component detectors of the ND. |
| 6 | This idealization is a common model used by neutrino event generators. |
| 7 | With the conservation of four energy-momentum, and can be computed.The nucleon does not need to be observed. |
| 8 | These numbers are not used directly in the analysis but were extracted to provide an indication of the power of the ND constraint. |
| 9 | is the energy transfer between the incoming neutrino and the target. A low- cut selects events with small recoil energy. |
| 10 | This simplification must be approached with caution, as the three stages are physically interdependent. |
| 11 | The Day 1 detector and TMS are not discussed further in this document. They are described in other documents under preparation and may be covered in detail in the ND TDR. |
| 12 | The version of GENIE used for the studies shown in this section used the “ValenciaQEBergerSehgalCOHRES” configuration, which is described in the appendix of Reference [70]. |
| 13 | https://github.com/dadwyer/argon_box, accessed on 2 August 2021. |
| 14 | Rock muons are muons formed by beam neutrino interactions in the upstream rock. Often the term means generically beam-related muons formed from interactions outside the detector that pass through the detector. |
| 15 | The containment varies by energy within the 1 GeV bin. Muon containment in ND-LAr drops quickly above 600 MeV, as shown in Figure 56. |
| 16 | i.e., as the detectors move in the PRISM measurement program. |
| 17 | A volume of 4 upstream, 2 top and bottom was used. That volume is sufficient to include 95% of the background rate from the full rock volume. |
| 18 | The overshoot is because the background due to duplicate neutrons (those that scatter multiple times such that one true neutron is reconstructed as multiple neutrons) is subtracted from MC. So when events with neutrons are weighted up, this background becomes larger and is underestimated, resulting in a slight overshoot of the background-subtracted “data”. |
| 19 | This version of the tracker is presented as an option in Section 5.5.3. Here, the study illustrates the ECAL performance and is not strongly dependent on the tracker details. |
| 20 | For comparison, MINERvA’s angular resolution for electrons of the same energy was about 11 mrad, but that was with a better developed reconstruction [133]. |
| 21 | The TPC gas mixture used by T2K is argon + 2% isobutane + 3% carbon tetraflouride. |
| 22 | Furthermore, referred to as CH in the text. |
| 23 | Furthermore, referred to as carbon (C) in the text. |
| 24 | The timescale and significance are defined by the requirements ND-M8, ND-M9 and their derived requirements. |
| 25 | To be precise, the variation was equivalent to a shift in the horn current that is three times the tolerance. |
| 26 | This target and subtraction scheme is referred to in Section 5.4.2.2 as a “solid” hydrogen target. |
| 27 | Generally, the ND index refers to ND-LAr, but could be ND-Gar or SAND, depending on the measurement. |
| 28 | Nucleons are also emitted in resonant decays, but the discussion here focuses on the pions. |
| 29 | with and M = mass of nucleon. |
| 30 | In this study, for practical reasons the NuWro sample was formed by reweighting the GENIE sample in an 18-dimensional space using a boosted decision tree algorithm. |
| 31 | This description is relevant for the 5-coil magnet design. The procedures for constructing the SPY design are under study. |


























































































































































































| Expected Events (3.5 Years Staged per Mode) | ||
|---|---|---|
| Mode | Mode | |
| Signal NO (IO) | 1092 (497) | 76 (36) |
| NO (IO) | 18(31) | 224 (470) |
| Total Signal NO (IO) | 1110 (528) | 300 (506) |
| Beam background | 190 | 117 |
| NC background | 81 | 38 |
| CC background | 32 | 20 |
| CC background | 14 | 5 |
| Total background | 317 | 180 |
| Label | Description |
|---|---|
| ND-O0 | Predict the Observed Neutrino Spectrum at FD |
| ND-O1 | Transfer measurements to FD |
| ND-O2 | Constrain the cross section model |
| ND-O3 | Measure the neutrino flux |
| ND-O4 | Obtain measurements with different fluxes |
| ND-O5 | Monitor time variations of the neutrino beam |
| ND-O6 | Operate in high rate environment |
| Label | Description | Spec. | Rationale | System | Ref. Req. |
|---|---|---|---|---|---|
| ND-M1 | Classify interactions and measure outgoing particles in a LArTPC with performance comparable to or exceeding that of the FD | N/A | The ND must have a LArTPC with reconstruction capabilities comparable/exceeding the FD in order to effectively transfer measurements. | ND-LAr, ND-GAr | ND-O1, ND-O2 |
| ND-M2 | Measure particles in -Ar interactions with uniform acceptance, lower thresholds than LArTPC, minimal secondary interaction effects | N/A | The ND must measure outgoing recoil particles (, p, ) in -Ar interactions to ensure that sensitive phase space is properly modeled. | ND-GAr | ND-O1, ND-O2 |
| ND-M3 | Measure the flux using scattering | 2% | The ND must measure the flux normalization with this “standard candle”. | ND-LAr | ND-O3 |
| ND-M4 | Measure the neutrino flux spectrum using the ’low-’ method | 5% for GeV | The ND must identify/measure low recoil events which have flat energy dependence in order to measure the spectrum. | ND-LAr, ND-GAr | ND-O3 |
| ND-M5 | Measure the wrong sign contamination | FHC < 20%, RHC < 5% | The ND must measure and validate the modeling of wrong-sign interactions that dilute the oscillation asymmetries at the FD. | ND-GAr | ND-O3 |
| ND-M6 | Measure the intrinsic beam component | 2% | The ND must measure and validate the modeling of this irreducible background | ND-LAr, ND-GAr | ND-O3 |
| ND-M7 | Take measurements with off-axis fluxes with spectra spanning region of interest | 0.5–3.0 GeV | The ND must be able to move off the beam axis to take data with different neutrino spectra. | ND-LAr, ND-GAr, DUNE-PRISM | ND-O4 |
| ND-M8 | Monitor the rate of neutrino interactions on-axis | <1% in a week | The ND must have a component that remains on-axis where beam monitoring is most sensitive and collects a sufficient number of CC events. | SAND | ND-O5 |
| ND-M9 | Monitor the beam spectrum on-axis | N/A | The ND must use spectrum and position information to detect representative changes in the beam line. | SAND | ND-O5 |
| ND-M10 | Assess External Background | N/A | The ND must measure external backgrounds, which include cosmic and beam-induced activity. | ND-LAr, ND-GAr, SAND | ND-O6 |
| Label | Description | Specification | Rationale | Ref. Req. |
|---|---|---|---|---|
| ND-C1.1 | Classify events, measure outgoing particles with performance comparable/exceeding that of the FD | N/A | To translate measurements, ND-LAr must reconstruct neutrino events with comparable/better performance than the FD. | ND-M1 |
| ND-C1.1.1 | identification | Eff. > 90%, Bkg. < 3%, res. <10–15% | ND-LAr must identify and reconstruct events as well as FD. | ND-M1 |
| ND-C1.1.2 | identification | Eff. > 95%, Bkg. < 3%, res. < 17% | ND-LAr must identify and reconstruct events as well as FD. | ND-M1 |
| ND-C1.1.3 | Contained particle reconstruction | Eff. > 90% for > 20 MeV/c, > 100 MeV/c, p > 500 MeV/c | Contained particles should be detected as well as FD. | ND-M1 |
| ND-C1.1.4 | Phase space coverage | <1% uncovered phase space | Event topologies and kinematics where no geometric configuration would contain the hadron shower must be limited. | ND-M1 |
| Label | Description | Specification | Rationale | Ref. Req. |
|---|---|---|---|---|
| ND-C1.2 | Sufficiently large sample of -e elastic events identified with high efficiency and low backgrounds | ∼2% | This is necessary to perform an adequate elastic measurement for the flux measurement. | ND-M3 |
| ND-C1.2.1 | Fiducial mass/statistics | >2500 ev/yr | ND-LAr must collect sufficient statistics to allow <2% statistical uncertainty in the measurement | ND-M3 |
| ND-C1.2.2 | identification | ND-LAr must be able to distinguish the outgoing electron from other particles (, , ) | ND-M3 | |
| ND-C1.2.3 | Electron energy resolution | Energy resolution is needed to identify the forward events. | ND-M3 | |
| ND-C1.2.4 | Electron angular resolution | core < 5 mrad, tail < 12 mrad for > 2 GeV | A tight cut on forward electrons is needed to identify events | ND-M3 |
| ND-C1.2.5 | Vertex activity threshold | 20 MeV | Identifying vertex activity is necessary to reject backgrounds | ND-M3 |
| ND-C1.3.1 | Timing resolution for scintillation detection | <20 ns | Scintillation timing is required to set the for the charge readout and to separate event pile-up | ND-M6 |
| ND-C1.3.2 | Intermodule synchronization of scintillation detection. | <20 ns | Timing between modules must seamlessly integrate activity observed in the separate modules. | ND-M6 |
| Label | Description | Specification | Rationale | Ref. Req. |
|---|---|---|---|---|
| ND-C2.1 | Acceptance for muons exiting ND-LAr | GeV/c, | ND-GAr must detect and analyze muons exiting the ND-LAr without a gap in phase space. | ND-M1 |
| ND-C2.2 | Momentum resolution for muons exiting ND-LAr | core < 4%, RMS < | ND-GAr must measure these at least as accurately as the FD would. | ND-M1 |
| ND-C2.3 | Time resolution for muons exiting ND-LAr | Work-in-Progress | ND-GAr must determine of the timing of tracks to separate each track from other activity. | ND-M1 |
| ND-C2.4 | Time synchronization with ND-LAr | <20 ns | ND-GAr must be synchronized with ND-LAr to match activity in the two detectors | ND-M1 |
| ND-C3.1 | Sign-select/momentum analyze across the range of interest | GeV/c) | Precise lepton reconstruction is needed for detailed kinematic studies, beam , and wrong-sign measurements | ND-M2, ND-M4, ND-M5, ND-M6 |
| ND-C3.2 | Detect, identify, measure momentum of protons emitted from -Ar interactions | <10 MeV (5 MeV) | Low energy proton reconstruction is needed to verify FSI models and LAr response modeling. | ND-M2, ND-M4 |
| ND-C3.3 | Detect, identify, sign-select, measure the momentum of emitted from -Ar interactions | <20 MeV (5 MeV) | Pion multiplicity and spectrum must be measured to ensure accurate -Ar and LAr response modeling. | ND-M2, ND-M4 |
| ND-C3.4 | Momentum resolution | Precise momentum resolution of charged recoil particles is needed to study thresholds and measure spectra. | ND-M2, ND-M4 | |
| ND-C3.5 | Charged particle identification | Recoil particles must be identified to categorize interactions, tag flavor, and verify modeling and ND-LAr thresholds. | ND-M2, ND-M4, ND-M6 | |
| ND-C3.6 | Detect and measure the ’s with the photons from their decay | ’s must be identified/reconstructed to have a complete model of the pion emission from -Ar interactions | ND-M2, ND-M4 | |
| ND-C3.7 | Absolute time measurement for tracks | Precise timing is required to provide an absolute reference for the charge signal in the HPgTPC of ND-GAr | ND-M2, ND-M4, ND-M10 |
| Label | Description | Specification | Rationale | Ref. Req |
|---|---|---|---|---|
| ND-C4.1 | Maximum travel distance | >30.5 m | This distance is necessary to cover the relevant energy range | ND-M7 |
| ND-C4.2 | Maintain uniform detector performance across the full off-axis range | <1% for relevant quantities such as efficiencies, resolutions, etc. | Uniform performance is needed to make comparative measurements across data taken at different locations | ND-M1, ND-M7 |
| ND-C4.3 | Place the detector with sufficient granularity and accuracy | <10 cm gran., <1 cm acc. | The positioning must be granular and precise enough to control spectrum and detector response variations. | ND-M7 |
| ND-C4.4 | Minimize downtime for motion | <8 h | The ramp down, movement, and ramp up cycle must be as short as possible | ND-M7 |
| ND-C4.5 | Regular suite of measurements | <1 year | Given expected annual variations in the beam, a suite of PRISM measurements should be taken each year. | ND-M7 |
| Label | Description | Specification | Rationale | Ref. Req |
|---|---|---|---|---|
| ND-C5.1 | Statistics of identified CC events | >20 tons for , >5 tons for | SAND must collect and identify enough CC interactions to perform beam monitoring on a weekly basis. | ND-M8 |
| ND-C5.2 | resolution | at 5 GeV/c, improving to 5% at 1 GeV/c, or | SAND must have sufficient muon resolution to detect spectral variations in CC events from a representative set of variations in a week. | ND-M9 |
| ND-C5.3 | Vertex reconstruction | <5 cm | SAND must have the ability to determine the neutrino vertex to separate interactions occurring over distances where the spectrum may vary. | ND-M9 |
| ND-C5.4 | Track timing | <5 (1) ns in tracker, <400 ps on hits in ECAL | SAND must have timing to identify and separate activity occurring within the neutrino beam delivery window. Better (1 ns) resolution would further enable directionality capabilities. | ND-M9, ND-M10 |
| Parameters of the HV Distribution and Delivery System. Parameter | Nominal Value |
|---|---|
| Output channels | 35 |
| Output voltage | <=50 kV |
| Current per channel | 0.8 mA |
| Output ripple voltage | <4 mV |
| Long-term stability | <0.1% |
| Voltage ramp/down rate | 100 V/s (<1 pA/pix) |
| Voltage monitor sensitivity | 0.1 V/kV |
| Current pickup sensitivity | 1 V/mA |
| PFD-5 Surface temperature | <50 C |
| FHC Mode | Total | Accepted | 0.5 GeV to 4.0 GeV | Accepted |
|---|---|---|---|---|
| CC | ||||
| CC | ||||
| NC total | ||||
| CC | ||||
| CC | ||||
| CC | ||||
| CC | ||||
| CC other | ||||
| CC | ||||
| elastic |
| RHC Mode | Total | Accepted | 0.5 GeV to 4.0 GeV | Accepted |
|---|---|---|---|---|
| CC | ||||
| CC | ||||
| NC total | ||||
| CC | ||||
| CC | ||||
| CC | ||||
| CC | ||||
| CC | ||||
| CC other | ||||
| CC | ||||
| elastic |
| Parameter | Value | Unit |
|---|---|---|
| Central field | 0.5 | T |
| Field uniformity | % | |
| Inner diameter | >7 | m |
| Weight | ∼800 | t |
| Material budget along particle path | <0.5 | (≃50 MeV) |
| Parameter | Value | Unit |
|---|---|---|
| Central field | 0.5 | T |
| Field uniformity | % | |
| Stored energy | 48 | MJ |
| Maximum field on cable | 1 | T |
| Current density on coil | 30 | A/mm |
| Magnetic force between cold masses | 0.5 | MN |
| Magnetic force on SAND yoke | 20 | kN |
| FHC Beam | RHC Beam | ||
|---|---|---|---|
| Process | Events/ton/yr | Process | Events/ton/yr |
| All -CC | 1.64 × 106 | All -CC | 5.26 × 105 |
| CC | 5.85 × 105 | CC | 2.36 × 105 |
| CC | 4.09 × 105 | CC | 1.51 × 105 |
| CC | 1.61 × 105 | CC | 4.77 × 104 |
| CC | 2.10 × 105 | CC | 5.21 × 104 |
| CC | 9.28 × 104 | CC | 1.66 × 104 |
| CC | 1.20 × 104 | CC | 2.72 × 103 |
| CC | 4.57 × 104 | CC | 4.19 × 103 |
| CC other | 1.27 × 105 | CC other | 1.62 × 104 |
| All -CC | 7.16 × 104 | All -CC | 2.72 × 105 |
| All NC | 5.52 × 105 | All NC | 3.05 × 105 |
| All -CC | 2.85 × 104 | All -CC | 1.84 × 104 |
| 170 | 120 |
| Parameter | Value | Comments |
|---|---|---|
| Single hit resolution | 250 m | *⊥ to TPC drift direction |
| Single hit resolution | 1500 m | *‖ to TPC drift direction |
| Two-track separation | 1 cm | * |
| () | 5% | * |
| reconstruction: | (2.9%, 14%) | (core, tails), CC events, LBNF flux |
| vs. track length | (10%, 4%, 3%) | (core),(1,2, 3 m), CC events, LBNF flux |
| Angular resolution | CC events, LBNF flux | |
| Energy scale uncertainty | ≲1% | * (by spectrometry) |
| Proton detection threshold | 5 MeV | kinetic energy |
| ECAL energy resolution | 6%/ | |
| ECAL pointing resolution | 10 at 500 |
| ND-LAr | ND-GAr | |||||
|---|---|---|---|---|---|---|
| All int. | Selected | All int. | ||||
| Stop | Run Duration | N | N | WSB | NC | N |
| On axis (293 kA) m | 14 wks. | 21.6 M | 10.1 M | 0.2% | 1.3% | 580,000 |
| On axis (280 kA) m | 1 wk. | 1.5 M | 690,000 | 0.3% | 1.3% | 40,000 |
| 4 m off axis m | 12 dys. | 2.3 M | 1.2 M | 0.3% | 1.0% | 61,000 |
| 8 m off axis m | 12 dys. | 1.3 M | 670,000 | 0.5% | 0.9% | 35,000 |
| 12 m off axis m | 12 dys. | 650,000 | 330,000 | 0.8% | 0.7% | 17,000 |
| 16 m off axis m | 12 dys. | 370,000 | 190,000 | 1.1% | 0.7% | 10,000 |
| 20 m off axis m | 12 dys. | 230,000 | 120,000 | 1.3% | 0.7% | 6200 |
| 24 m off axis m | 12 dys. | 150,000 | 75,000 | 1.8% | 0.7% | 4100 |
| 28 m off axis m | 12 dys. | 110,000 | 50,000 | 2.1% | 0.8% | 2900 |
| 30.5 m off axis m | 12 dys. | 87,000 | 39,000 | 2.3% | 0.7% | 2300 |
| FHC Beam | RHC Beam | ||
|---|---|---|---|
| Process | Rate | Process | Rate |
| All -CC | 1.5 × 107 | All -CC | 5.5 × 106 |
| CC | 4.4 × 106 | CC | 2.4 × 106 |
| CC | 4.3 × 106 | CC | 1.6 × 106 |
| CC | 1.3 × 106 | CC | 5.4 × 105 |
| CC | 1.9 × 106 | CC | 5.1 × 105 |
| CC | 8.3 × 105 | CC | 1.6 × 105 |
| CC other | 1.9 × 106 | CC other | 3.0 × 105 |
| -CC COH | 1.3 × 105 | -CC COH | 1.1 × 105 |
| -CC COH | 1.2 × 104 | -CC COH | 1.6 × 104 |
| -CC () | 2.4 × 106 | -CC () | 1.9 × 106 |
| All -CC | 7.1 × 105 | All -CC | 2.3 × 106 |
| All NC | 5.3 × 106 | All NC | 2.9 × 106 |
| All +-CC | 2.6 × 105 | All +-CC | 1.7 × 105 |
| 2.0 × 103 | 1.1 × 103 |
| ECAL+3DST Option | Parameter Description | Significance, | |||
|---|---|---|---|---|---|
| Beam Parameter | Nominal | Changed | Rate-Only | FHC | RHC |
| proton target density | 1.71 g/cm | 1.74 g/cm | 0.02 | 8.51 | 5.65 |
| proton beam width | 2.7 mm | 2.8 mm | 0.02 | 4.67 | 2.93 |
| proton beam offset x | N/A | +0.45 mm | 0.09 | 2.84 | 1.70 |
| proton beam | N/A | 0.07 mrad | 0.03 | 0.50 | 0.42 |
| proton beam ( | N/A | (0.07, 1.571) mrad | 0.00 | 0.51 | 0.35 |
| horn current | 293 kA | 296 kA | 0.2 | 12.64 | 7.97 |
| water layer thickness | 1 mm | 1.5 mm | 0.5 | 5.30 | 3.20 |
| decay pipe radius | 2 m | 2.1 m | 0.5 | 7.45 | 4.20 |
| horn 1 along x | N/A | 0.5 mm | 0.5 | 4.77 | 2.94 |
| horn 1 along y | N/A | 0.5 mm | 0.1 | 3.53 | 2.27 |
| horn 2 along x | N/A | 0.5 mm | 0.02 | 0.85 | 0.62 |
| horn 2 along y | N/A | 0.5 mm | 0.00 | 0.24 | 1.81 |
| ECAL+3DST Option | Parameter Description | Significance, | ||
|---|---|---|---|---|
| Beam Parameter | Nominal | Changed | Rate-Only | ECAL+STT |
| proton target density | 1.71 g/cm | 1.74 g/cm | 0.02 | 4.4 |
| proton beam width | 2.7 mm | 2.8 mm | 0.02 | 6.1 |
| proton beam offset x | N/A | +0.45 mm | 0.09 | 4.7 |
| proton beam | N/A | 0.07 mrad | 0.03 | 0.5 |
| proton beam ( | N/A | (0.07,1.571) mrad | 0.00 | 0.4 |
| horn current | 293 kA | 296 kA | 0.2 | 10.3 |
| water layer thickness | 1 mm | 1.5 mm | 0.5 | 4.7 |
| decay pipe radius | 2 m | 2.1 m | 0.5 | 6.9 |
| horn 1 along x | N/A | 0.5 mm | 0.5 | 3.8 |
| horn 1 along y | N/A | 0.5 mm | 0.1 | 4.2 |
| horn 2 along x | N/A | 0.5 mm | 0.02 | 0.5 |
| horn 2 along y | N/A | 0.5 mm | 0.00 | 0.4 |
| Generator | SBN Experiments | Resonance Model | Coherent Model | FSI Model |
|---|---|---|---|---|
| NUANCE | MiniBooNE | Rein–Sehgal | Rein–Sehgal | Cascade |
| KNL-BRS | ||||
| GENIE | MicroBooNE | Rein–Sehgal | Rein–Sehgal | INTRANUKE/hA |
| T2K | KNL-BRS | Bergel–Sehgal | ||
| SBN (ND and FD) | ||||
| NEUT | T2K | Graczyk–Sobczyk | Rein–Sehgal | Hybrid Oset et al. |
| Bergel–Sehgal | + exp. Based tune | |||
| NuWro | T2K | Home-grown | Rein–Sehgal | Cascade |
| MicroBooNE | Bergel–Sehgal |
| Interaction Channel | Event Rate | |||
|---|---|---|---|---|
| ND-LAr | ND-GAr | |||
| CC | ||||
| 0 | ||||
| other | ||||
| NC | ||||
| Coherent | Incoherent | |
|---|---|---|
| 0 | 0 | |
| 0 | 0 | |
| Cavern Parameter | Dimension |
|---|---|
| Main Cavern Length | 166 |
| Main Cavern Width | 63 |
| Main Cavern Height | 50 |
| Alcove Width | 40 –2 |
| Alcove Depth | 50 –6 |
| Alcove Height | 37 |
| Access Shaft Clear Diameter | 38 |
| Detector | Approximate Weight |
|---|---|
| ND-LAr Subdetector | 880 |
| ND-GAr Subdetector | 710 |
| SAND Beam Monitor | 900 |
| PRISM | included with detector weights |
| Parameter | Quantity |
|---|---|
| Central Magnetic Field | |
| Solenoid Coil Inner Diameter | |
| Cryostat Inner Diameter | |
| Cryostat Outer Diameter | |
| Cryostat Length | |
| Coldmass and Cryostat Weight | 36 |
| Iron Return Yoke Weight | 475 |
| Operating Current | 2902 A |
| Stored Energy |
| Parameter | Quantity |
|---|---|
| Travel Distance | 30.5 m |
| Average Movement Speed | 8.5 cm/min |
| Top Movement Speed | 10.2 cm/min |
| Time To Reach Top Movement Speed | 60 min |
| Resulting Linear Acceleration | 0.17 cm/s2 |
| Time To Travel Entire Travel Distance Without Stopping | ∼6 h |
| Planned Stops Per Experimental Run | ∼9 (locations may vary per run) |
| Stop Location-Position Repeatability | <1 cm |
| Stop Location-Position Measurement Accuracy | 1 mm |
| Experimental Run Time For A Full Round Trip | 2 weeks |
| Parameter | Quantity |
|---|---|
| Length | 128 ft |
| Width | 64 ft |
| Height | 38 ft |
| Crane Capacity | 15 ton |
| Primary Shaft Clear Diameter | 38 ft |
| System | Power |
|---|---|
| LHe Cryoplant (surface building) | 500 kVA |
| DAQ Room and UPS (surface building) | 75 kVA |
| ND-LAr | 225 kVA |
| ND-GAr | 225 kVA |
| SAND | 500 kVA |
| LHe Cold Box | 75 kVA |
| PRISM Motors | 75 kVA |
| LAr Cryogenics | 45 kVA |
| Subdetector | Terabytes |
|---|---|
| ND-LAr | |
| In-spill data | 144 |
| Out-of-spill cosmics | 16 |
| Calibration | 16 |
| Total | 176 |
| ND-GAr | |
| In-spill data | 52 |
| Out-of-spill cosmics | 10 |
| Calibration | 6 |
| Total | 68 |
| SAND | |
| In-spill data | 4 |
| Out-of-spill cosmics | 1 |
| Calibration | 1 |
| Total | 6 |
| Total ND | 250 |
| Subdetector | Seconds |
|---|---|
| ND-LAr | |
| Monte Carlo gen+sim | 100 |
| Reconstruction | 60 |
| ND-GAr | |
| Monte Carlo gen+sim | 100 |
| Reconstruction | 12 |
| SAND | |
| Monte Carlo gen+sim | 100 |
| Reconstruction | 10 |
| Data | Raw | Test | Reco | Reco | Sim | Sim | Sim | Analysis | |
|---|---|---|---|---|---|---|---|---|---|
| Events | Data | Data | Data | CPU | Events | Data | CPU | CPU | |
| Year | [M] | [TB] | [TB] | [TB] | [MHrs] | [M] | [TB] | [MHrs] | [MHrs] |
| 2020 | 0 | 0 | 0 | 0 | 0 | 10.0 | 200 | 1 | 1 |
| 2021 | 0 | 0 | 0 | 0 | 0 | 25.0 | 500 | 3 | 3 |
| 2022 | 10.0 | 100 | 300 | 200 | 0.3 | 10.0 | 200 | 1.2 | 2.2 |
| 2023 | 10.0 | 100 | 300 | 200 | 0.3 | 10.0 | 200 | 1.2 | 2.2 |
| 2024 | 0 | 0 | 0 | 0 | 0.3 | 10.0 | 400 | 1.2 | 2.2 |
| 2025 | 0 | 0 | 0 | 0 | 0.3 | 10.0 | 400 | 1.2 | 2.2 |
| 2026 | 0 | 0 | 0 | 0 | 0 | 50.0 | 2000 | 6 | 6 |
| 2027 | 0 | 0 | 0 | 0 | 0 | 50.0 | 2000 | 6 | 6 |
| 2028 | 25 | 250 | 500 | 250 | 2.4 | 100.0 | 5000 | 12 | 14.4 |
| 2029 | 25 | 250 | 500 | 250 | 2.4 | 100.0 | 5000 | 12 | 14.4 |
| 2030 | 25 | 250 | 500 | 250 | 2.4 | 100.0 | 5000 | 12 | 14.4 |
Publisher’s Note: MDPI stays neutral with regard to jurisdictional claims in published maps and institutional affiliations. |
© 2021 by the authors. Licensee MDPI, Basel, Switzerland. This article is an open access article distributed under the terms and conditions of the Creative Commons Attribution (CC BY) license (https://creativecommons.org/licenses/by/4.0/).
Share and Cite
Abud, A.A.; Abi, B.; Acciarri, R.; Acero, M.A.; Adamov, G.; Adams, D.; Adinolfi, M.; Aduszkiewicz, A.; Ahmad, Z.; Ahmed, J.; et al. Deep Underground Neutrino Experiment (DUNE) Near Detector Conceptual Design Report. Instruments 2021, 5, 31. https://doi.org/10.3390/instruments5040031
Abud AA, Abi B, Acciarri R, Acero MA, Adamov G, Adams D, Adinolfi M, Aduszkiewicz A, Ahmad Z, Ahmed J, et al. Deep Underground Neutrino Experiment (DUNE) Near Detector Conceptual Design Report. Instruments. 2021; 5(4):31. https://doi.org/10.3390/instruments5040031
Chicago/Turabian StyleAbud, A. Abed, B. Abi, R. Acciarri, M. A. Acero, G. Adamov, D. Adams, M. Adinolfi, A. Aduszkiewicz, Z. Ahmad, J. Ahmed, and et al. 2021. "Deep Underground Neutrino Experiment (DUNE) Near Detector Conceptual Design Report" Instruments 5, no. 4: 31. https://doi.org/10.3390/instruments5040031
APA StyleAbud, A. A., Abi, B., Acciarri, R., Acero, M. A., Adamov, G., Adams, D., Adinolfi, M., Aduszkiewicz, A., Ahmad, Z., Ahmed, J., Alion, T., Monsalve, S. A., Alrashed, M., Alt, C., Alton, A., Amedo, P., Anderson, J., Andreopoulos, C., Andrews, M. P., ... On behalf of the DUNE Collaboration. (2021). Deep Underground Neutrino Experiment (DUNE) Near Detector Conceptual Design Report. Instruments, 5(4), 31. https://doi.org/10.3390/instruments5040031
