Insights into the Movements and Habitat Use of Blue Marlins (Makaira nigricans) in the Southwestern Atlantic Ocean
Abstract
1. Introduction
2. Materials and Methods
2.1. Study Area
2.2. Data Collection—Tagging
2.3. Data Processing
2.4. Data Analysis
3. Results
3.1. Horizontal Movement
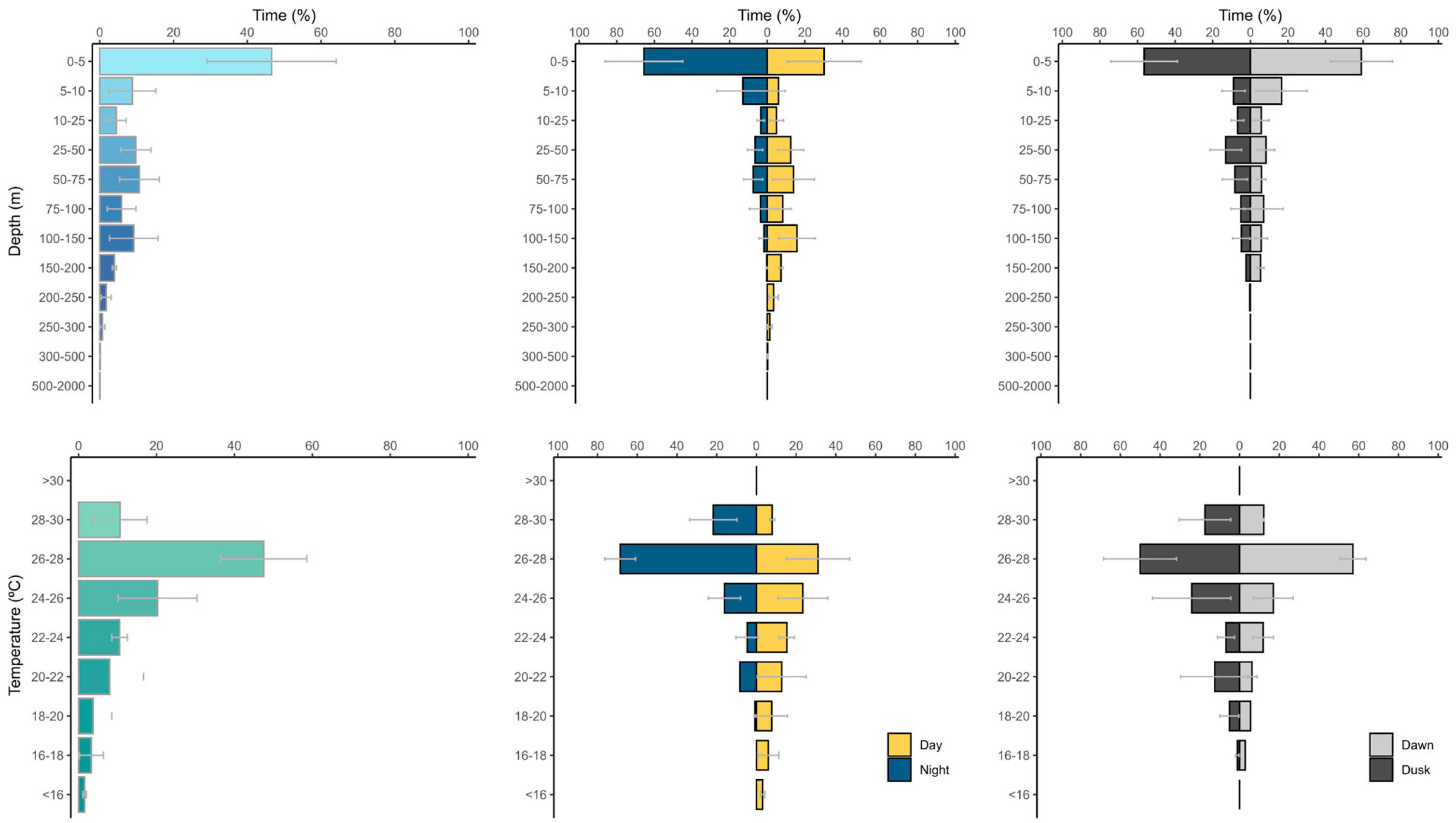
3.2. Vertical Habitat
4. Discussion
5. Conclusions
Supplementary Materials
Author Contributions
Funding
Institutional Review Board Statement
Informed Consent Statement
Data Availability Statement
Acknowledgments
Conflicts of Interest
References
- Pace, M.; Cole, J.; Carpenter, S.; Kitchell, J. Trophic Cascades Revealed in Diverse Ecosystems. Trends Ecol. Evol. 1999, 14, 483–488. [Google Scholar] [CrossRef] [PubMed]
- Kitchell, J.F.; Martell, S.J.D.; Walters, C.J.; Jensen, O.P.; Kaplan, I.C.; Watters, J.; Essington, T.E.; Boggs, C.H. Billfishes in an Ecosystem Context. Bull. Mar. Sci. 2006, 79, 669–682. [Google Scholar]
- Casini, M.; Hjelm, J.; Molinero, J.-C.; Lövgren, J.; Cardinale, M.; Bartolino, V.; Belgrano, A.; Kornilovs, G. Trophic Cascades Promote Threshold-like Shifts in Pelagic Marine Ecosystems. Proc. Natl. Acad. Sci. USA 2009, 106, 197–202. [Google Scholar] [CrossRef]
- Uozumi, Y.; Nakano, H. A historical review of Japanese longline fishery and billfish catches in the Atlantic Ocean. Col. Vol. Sci. Pap. ICCAT 1994, 41, 233–243. [Google Scholar]
- Restrepo, V.; Prince, E.D.; Scott, G.P.; Uozumi, Y. ICCAT Stock Assessments of Atlantic Billfish. Mar. Freshw. Res. 2003, 54, 361–367. [Google Scholar] [CrossRef]
- Ditton, R.B.; Stoll, J.R. Social and Economic Perspective on Recreational Bill Fish Fisheries. Mar. Freshw. Res. 2003, 54, 545–554. [Google Scholar] [CrossRef]
- Gentner, B. The Value of Billfish Resources to Both Commercial and Recreational Sectors in the Caribbean. In FAO Fisheries and Aquaculture Circular; FAO Subregional Office for Latin America and the the Caribbean: Bridgetown, Barbados, 2016; Volume 1125, p. 42. [Google Scholar]
- Hazin, H.G.; Hazin, F.; Carvalho, F.; Mourato, B.; Frédou, T.; Travassos, P.; Pacheco, J.C. Standardized Cpue Series of Blue Marlin and White Marlin Caught By Brazilian Tuna Longline Fisheries in the Southwestern Atlantic Ocean (1980–2010). Collect. Vol. Sci. Pap. ICCAT 2012, 68, 1531–1542. [Google Scholar]
- Mourato, B.L.; Winker, H.; Carvalho, F.; Ortiz, M. Stock Assessment of Atlantic Blue Marlin (Makaira nigricans) Using a Bayesian State-Space Surplus Production Model JABBA. Collect. Vol. Sci. Pap. ICCAT 2018, 75, 1003–1025. [Google Scholar]
- Pons, M.; Branch, T.A.; Melnychuk, M.C.; Jensen, O.P.; Brodziak, J.; Fromentin, J.M.; Harley, S.J.; Haynie, A.C.; Kell, L.T.; Maunder, M.N.; et al. Effects of Biological, Economic and Management Factors on Tuna and Billfish Stock Status. Fish Fish. 2016, 18, 1–21. [Google Scholar] [CrossRef]
- Normas Brasil. Instrução Normativa SEAP/PR nº 12, de 14 de julho de 2005. Estabelece Normas e Procedimentos para Captura e Comercialização dos Agulhões Brancos (Tetrapturus albidus), Agulhões Negros (Makaira nigricans), Agulhões Verdes (Tetrapturus pfluegeri) e Agulhões Vela (Istiophorus albicans), nas Águas Jurisdicionais Brasileiras e Alto-Mar. Diário Oficial da União. 15 July 2005. Available online: https://www.normasbrasil.com.br/norma/instrucao-normativa-12-2005_75831.html (accessed on 2 March 2025).
- Peel, E.; Nelson, R.; Goodyear, C.P. Managing Atlantic Marlin as Bycatch under ICCAT. The Fork in the Road: Recovery or Collapse. Mar. Freshw. Res. 2003, 54, 575–584. [Google Scholar] [CrossRef]
- Nakamura, I. FAO Species Catalogue. Vol. 5: Billfishes of the World. An Annotated and Illustrated Catalogue of Marlins, Sailfishes, Spearfishes and Swordfishes Known to Date. FAO Fish. Synop. 1985, 125, 65. [Google Scholar]
- Ortiz, M.; Prince, E.D.; Serafy, J.E.; Holts, D.B.; Davy, K.B.; Pepperell, J.G.; Lowry, M.B.; Holdsworth, J.C. Global Overview of the Major Constituent-Based Billfish Tagging Programs and Their Results since 1954. Mar. Freshw. Res. 2003, 54, 489–507. [Google Scholar] [CrossRef]
- Orbesen, E.S.; Hoolihan, J.P.; Serafy, J.E.; Snodgrass, D.; Peel, E.M.; Prince, E.D. Transboundary Movement of Atlantic Istiophorid Billfishes Among International and U.S. Domestic Management Areas Inferred from Mark-Recapture Studies. Mar. Fish. Rev. 2008, 70, 14–23. [Google Scholar]
- Recommendation by ICCAT to Amend the Plan to Rebuild Blue Marlin and White Marlin Populations. ICCAT Recommendation 01-10; International Commission for the Conservation of Atlantic Tunas ICCAT: Madrid, Spain, 2001; Available online: https://www.iccat.int/Documents/Recs/compendiopdf-e/2001-10-e.pdf (accessed on 26 April 2025).
- Report of the 2018 ICCAT Blue Marlin Stock Assessment Meeting. ICCAT: Madrid, Spain, 2018. Available online: https://www.iccat.int/Documents/Meetings/Docs/2018/REPORTS/2018_BUM_SA_ENG.pdf (accessed on 26 April 2025).
- Mourato, B.; Sant’ana, R.; Kikuchi, E.; Cardoso, L.G.; Ngom, F.; Ruiz, M.N.; Arocha, F.; Kimoto, A.; Ortiz, M. Preliminary Assessment of Atlantic Blue Marlin (Makaira nigricans) Using JABBA Model (1956–2022). Collect. Vol. Sci. Pap. ICCAT 2024, 81, 1–21. [Google Scholar]
- Graves, J.E.; Kerstetter, D.W.; Luckhurst, B.E.; Prince, E.D. Habitat Preferences of Istiophorid Billfishes in the Western North Atlantic: Applicability of Archival Tag Data to Habitat- Based Stock Assessment Methodologies. Collect. Vol. Sci. Pap. ICCAT 2003, 55, 594–602. Available online: https://nsuworks.nova.edu/occ_facreports/65/ (accessed on 10 January 2020).
- Goodyear, C.P.; Luo, J.; Prince, E.; Hoolihan, J.; Snodgrass, D.; Orbesen, E.; Serafy, J. Vertical Habitat Use of Atlantic Blue Marlin Makaira nigricans: Interaction with Pelagic Longline Gear. Mar. Ecol. Prog. Ser. 2008, 365, 233–245. [Google Scholar] [CrossRef][Green Version]
- Kraus, R.; Wells, R.J.D.; Rooker, J. Horizontal Movements of Atlantic Blue Marlin (Makaira nigricans) in the Gulf of Mexico. Mar. Biol. 2011, 158, 699–713. [Google Scholar] [CrossRef]
- Andrzejaczek, S.; Mikles, C.S.; Dale, J.J.; Castleton, M.; Block, B.A. Seasonal and Diel Habitat Use of Blue Marlin Makaira nigricans in the North Atlantic Ocean. ICES J. Mar. Sci. 2023, 80, 1002–1015. [Google Scholar] [CrossRef]
- Dale, J.J.; Brodie, S.; Carlisle, A.B.; Castleton, M.; Hazen, E.L.; Bograd, S.J.; Block, B.A. Global Habitat Loss of a Highly Migratory Predator, the Blue Marlin (Makaira nigricans). Divers. Distrib. 2022, 28, 2020–2034. [Google Scholar] [CrossRef]
- Mourato, B.L.; Hazin, F.; Bigelow, K.; Musyl, M.; Carvalho, F.; Hazin, H. Spatio-Temporal Trends of Sailfish, Istiophorus Platypterus Catch Rates in Relation to Spawning Ground and Environmental Factors in the Equatorial and Southwestern Atlantic Ocean. Fish. Oceanogr. 2014, 23, 32–44. [Google Scholar] [CrossRef]
- Afonso, A.S.; Hazin, F.H.V. Vertical Movement Patterns and Ontogenetic Niche Expansion in the Tiger Shark, Galeocerdo Cuvier. PLoS ONE 2015, 10, e0116720. [Google Scholar] [CrossRef] [PubMed]
- Carvalho, F.; Ahrens, R.; Murie, D.; Bigelow, K.; Aires-da-Silva, A.; Maunder, M.; Hazin, F. Using Pop-up Satellite Archival Tags to Inform Selectivity in Fisheries Stock Assessment Models: A Case Study for the Blue Shark in the South Atlantic Ocean. ICES J. Mar. Sci. 2015, 72, 1715–1730. [Google Scholar] [CrossRef]
- Santos, J.C.P. Estudo Do Comportamento Dos Agulhões Branco (Kajikia Albida—Poey, 1860) e Negro (Makaira nigricans—Lacepede, 1802). Ph.D. Thesis, Universidade Federal Rural de Pernambuco, Recife, Brazil, 2015; p. 84. [Google Scholar]
- Tolotti, M.T.; Bach, P.; Hazin, F.; Travassos, P.; Dagorn, L. Vulnerability of the Oceanic Whitetip Shark to Pelagic Longline Fisheries. PLoS ONE 2015, 10, e0141396. [Google Scholar] [CrossRef] [PubMed]
- Yokawa, K.; Saito, H. Use of Pop-up Tags to Esstimate Vertical Distribution of Atlantic Blue Marlin (Makaira nigricans) Released from the Commercial and Research Longline Cruise during 2002 and 2003. Collect. Vol. Sci. Pap. ICCAT 2006, 59, 252–264. [Google Scholar]
- Madigan, D.J.; Richardson, A.J.; Carlisle, A.B.; Weber, S.B.; Brown, J.; Hussey, N.E. Water Column Structure Defines Vertical Habitat of Twelve Pelagic Predators in the South Atlantic. ICES J. Mar. Sci. 2021, 78, 867–883. [Google Scholar] [CrossRef]
- Brill, R.W.; Lutcavage, M.E. Understanding Environmental Influences on Movements and Depth Distributions of Tunas and Billfishes Can Significantly Improve Population Assessments. Am. Fish. Soc. Symp. 2001, 25, 179–198. [Google Scholar]
- Bernal, D.; Sepulveda, C.; Musyl, M.; Brill, R. The Eco-Physiology of Swimming and Movement Patterns of Tunas, Billfishes, and Large Pelagic Sharks. In Fish Locomotion–an Etho-Ecological Perspective; Science Publishers: Enfield, UK, 2009; pp. 436–483. [Google Scholar]
- Brock, R.E. A Contribution To the Trophic Biology of the Blue Marlin Makaira-Nigricans in Hawaii Usa. Pac. Sci. 1984, 38, 141–149. [Google Scholar]
- Vaske, T., Jr.; Travassos, P.E.; Pinheiro, P.B.; Hazin, F.H.V.; Tolotti, M.T.; Barbosa, T.M. Diet of the Blue Marlin (Makaira nigricans, Lacepède 1802) (Perciformes: Istiophoridae) of the Southwestern Equatorial Atlantic Ocean. Braz. J. Aquat. Sci. Technol. 2011, 15, 65–70. [Google Scholar] [CrossRef]
- Shimose, T.; Shono, H.; Yokawa, K. Food and Feeding Habits of Blue Marlin, Makaira nigricans, around Yonaguni Island, Southwestern Japan. Bull. Mar. Sci. 2006, 79, 761–775. [Google Scholar]
- Harvey, G.C. An Historical Review of Recreational and Artisanal Fisheries for Billfish in Jamaica, 1976–1988. Col. Vol. Sci. Pap. ICCAT 1989, 30, 440–450. [Google Scholar]
- Brill, R.W.; Lowe, T.E.; Cousins, K.L. How Water Temperature Really Limits the Vertical Movements of Tunas and Billfishes—It’S the Heart Stupid. In Proceedings of the International Congress on Biology of Fish. American Fisheries Society, Towson University, Baltimore, MD, USA, 27–30 July 1998; p. 4. [Google Scholar]
- Braun, C.D.; Kaplan, M.B.; Horodysky, A.Z.; Llopiz, J.K. Satellite Telemetry Reveals Physical Processes Driving Billfish Behavior. Anim. Biotelem. 2015, 3, 2. [Google Scholar] [CrossRef]
- Prince, E.D.; Goodyear, C.P. Hypoxia-Based Habitat Compression of Tropical Pelagic Fishes. Fish. Oceanogr. 2006, 15, 451–464. [Google Scholar] [CrossRef]
- Carlisle, A.B.; Kochevar, R.E.; Arostegui, M.C.; Ganong, J.E.; Castleton, M.; Schratwieser, J.; Block, B.A. Influence of Temperature and Oxygen on the Distribution of Blue Marlin (Makaira nigricans) in the Central Pacific. Fish. Oceanogr. 2017, 26, 34–48. [Google Scholar] [CrossRef]
- Silva, C.M.T. Biologia Reprodutiva Do Agulhão Negro (Makaira nigricans Lacépède, 1803) No Atlântico Oeste Tropical. Master’s Thesis, Universidade Federal Rural de Pernambuco, Recife, Brazil, 2007. [Google Scholar]
- de Oliveira, Í.A.; Hazin, H.G.; Hazin, F.H.V.; Travassos, P.E.P.; da Silva, G.B.; Mourato, B.L.; Carvalho, F. Distribuição Do Agulhão Negro No Atlântico Sul e Equatorial e Potencial de Estratégia de Manejo Espacial. Bol. Inst. Pesca 2015, 41, 607–617. [Google Scholar]
- Frédou, T.; Frédou, F.L.; Hazin, F.H.V.; Travassos, P. Length Composition and Spatio-Temporal Distribution of Blue Marlin (Makaira nigricans) in the South Atlantic Ocean. Collect. Vol. Sci. Pap. ICCAT 2012, 68, 1524–1530. [Google Scholar]
- Amorim, A.; Arfelli, C.; Hazin, F.; Antero-Silva, J.; Lessa, R.; Arraes, R. Blue Marlin (Makaira nigricans) Fisheries off Brazilian Coast by National and Leased Longliners (1971–1991). Col. Vol. Sci. Pap. ICCAT 1994, 41, 208–213. [Google Scholar]
- Hazin, F.H.V. Fisheries-Oceanographical Study on Tunas, Billfishes and Sharks in the Southwestern Equatorial Atlantic Ocean. Ph.D. Thesis, University of Fisheries, Tokyo, Japan, 1994. [Google Scholar]
- Hazin, F.H.V.; Hazin, H.G.; Travassos, P.; Oliveira, M. Standardized Catch Per Unit of Effort of White Marlin, Tetrapturus Albidus, and Blue Marlin, Makaira nigricans, Caught By Brazilian Tuna Longline Fleet. Fish 2007, 60, 1652–1662. [Google Scholar]
- Mourato, B.L.; Amorim, A.F.; Arfelli, C.A.; Hazin, H.G.; Hazin, F.H.V.; Wor, C. Standardized CPUE of Atlantic Sailfish (Istiophorus Platypterus) Caught by the Recreational Fishery in Southern Brazil (1996–2007). Collect. Vol. Sci. Pap. 2009, 64, 1941–1950. [Google Scholar]
- Graves, J.E.; Luckhurst, B.E.; Prince, E.D. An Evaluation of Pop-up Satellite Tags Forestimating Postrelease Survival of Blue Marlin (Makaira nigricans) from a Recreational Fishery. Fish. Bull. 2002, 100, 134–142. [Google Scholar]
- Domeier, M.L.; Dewar, H.; Nasby-Lucas, N. Mortality Rate of Striped Marlin (Tetrapturus audax) Caught with Recreational Tackle. Mar. Freshw. Res. 2003, 54, 435–445. [Google Scholar] [CrossRef]
- Horodysky, A.Z.; Graves, J.E. Application of Pop-up Satellite Archival Tag Technology to Estimate Postrelease Survival of White Marlin (Tetrapturus albidus) Caught on Circle and Straight-Shank (“J”) Hooks in the Western North Atlantic Recreational Fishery. Fish. Bull. 2005, 103, 84–96. [Google Scholar]
- Prince, E.D.; Ortiz, M.; Venizelos, A.; Rosenthal, D.S. In-Water Conventional Tagging Techniques Developed by the Cooperative Tagging Center for Large, Highly Migratory Species. Am. Fish. Soc. Symp. 2002, 2002, 155–171. [Google Scholar]
- Ekstrom, P.A. An Advance in Geolocation by Light. Mem. Natl. Inst. Polar Res. 2004, 58, 210–226. [Google Scholar]
- Crespo, O. Utilização de Habitat e Movimentos Migratórios Do Agulhão Negro (Makaira nigricans) No Oceano Atlântico Sul. Master’s Thesis, Universidade Federal de Pernambuco, Recife, Brazil, 2016. [Google Scholar]
- Lam, C.H.; Nielsen, A.; Sibert, J.R. Incorporating Sea-Surface Temperature to the Light-Based Geolocation Model TrackIt. Mar. Ecol. Prog. Ser. 2010, 419, 71–84. [Google Scholar] [CrossRef]
- Pedersen, M.W.; Patterson, T.A.; Thygesen, U.H.; Madsen, H. Estimating Animal Behavior and Residency from Movement Data. Oikos 2011, 120, 1281–1290. [Google Scholar] [CrossRef]
- Worton, B.J. Kernel Methods for Estimating the Utilization Distribution in Home-Range Studies. Ecology 1989, 70, 164–168. [Google Scholar] [CrossRef]
- Horne, J.S.; Garton, E.O. Likelihood Cross-Validation versus Least Squares Cross-Validation for Choosing the Smoothing Parameter in Kernel Home-Range Analysis. J. Wildl. Manag. 2006, 70, 641–648. [Google Scholar] [CrossRef]
- Calenge, C. The Package “Adehabitat” for the R Software: A Tool for the Analysis of Space and Habitat Use by Animals. Ecol. Modell. 2006, 197, 516–519. [Google Scholar] [CrossRef]
- Péron, G. Modified Home Range Kernel Density Estimators That Take Environmental Interactions into Account. Mov. Ecol. 2019, 7, 16. [Google Scholar] [CrossRef]
- R Core Team, R. A Language and Environment for Statistical Computing; R Core Team, R Foundation for Statistical Computing: Vienna, Austria, 2023. [Google Scholar]
- Campana, S.E.; Dorey, A.; Fowler, M.; Joyce, W.; Wang, Z.; Wright, D.; Yashayaev, I. Migration Pathways, Behavioural Thermoregulation and Overwintering Grounds of Blue Sharks in the Northwest Atlantic. PLoS ONE 2011, 6, e16854. [Google Scholar] [CrossRef]
- Howey-Jordan, L.A.; Brooks, E.J.; Abercrombie, D.L.; Jordan, L.K.B.; Brooks, A.; Williams, S.; Gospodarczyk, E.; Chapman, D.D. Complex Movements, Philopatry and Expanded Depth Range of a Severely Threatened Pelagic Shark, the Oceanic Whitetip (Carcharhinus Longimanus) in the Western North Atlantic. PLoS ONE 2013, 8, e56588. [Google Scholar] [CrossRef] [PubMed]
- Weng, K.C.; Foley, D.G.; Ganong, J.E.; Perle, C.; Shillinger, G.L.; Block, B.A. Migration of an Upper Trophic Level Predator, the Salmon Shark Lamna Ditropis, between Distant Ecoregions. Mar. Ecol. Prog. Ser. 2008, 372, 253–264. [Google Scholar] [CrossRef]
- Jonsson, B.; Jonsson, N. Partial Migration: Niche Shift versus Sexual Maturation in Fishes. Rev. Fish. Biol. Fish. 1993, 3, 348–365. [Google Scholar] [CrossRef]
- Chapman, B.B.; Hulthén, K.; Brodersen, J.; Nilsson, P.A.; Skov, C.; Hansson, L.A.; Bronmark, C. Partial Migration in Fishes: Causes and Consequences. J. Fish. Biol. 2012, 81, 456–478. [Google Scholar] [CrossRef] [PubMed]
- James, M.C.; Ottensmeyer, C.A.; Myers, R.A. Identification of High-Use Habitat and Threats to Leatherback Sea Turtles in Northern Waters: New Directions for Conservation. Ecol. Lett. 2005, 8, 195–201. [Google Scholar] [CrossRef]
- Patterson, T.A.; Evans, K.; Carter, T.I.; Gunn, J.S. Movement and Behaviour of Large Southern Bluefin Tuna (Thunnus maccoyii) in the Australian Region Determined Using Pop-up Satellite Archival Tags. Fish. Oceanogr. 2008, 17, 352–367. [Google Scholar] [CrossRef]
- Shaffer, S.A.; Tremblay, Y.; Weimerskirch, H.; Scott, D.; Thompson, D.R.; Sagar, P.M.; Moller, H.; Taylor, G.A.; Foley, D.G.; Block, B.A.; et al. Migratory Shearwaters Integrate Oceanic Resources across the Pacific Ocean in an Endless Summer. Proc. Natl. Acad. Sci. USA 2006, 103, 12799–12802. [Google Scholar] [CrossRef]
- Mate, B.; Mesecar, R.; Lagerquist, B. The Evolution of Satellite-Monitored Radio Tags for Large Whales: One Laboratory’s Experience. Deep. Sea Res. 2 Top. Stud. Oceanogr. 2007, 54, 224–247. [Google Scholar] [CrossRef]
- Alerstam, T.; Hedenstrom, A.; Akesson, S. Long-Distance Migration: Evolution and Determinants. Oikos 2003, 103, 247–260. [Google Scholar] [CrossRef]
- Evans, K.; Kolody, D.; Abascal, F.; Holdsworth, J.; Maru, P.; Sippel, T. Spatial Dynamics of Swordfish in the South Pacific Ocean Inferred from Tagging Data; WCPFC-SC8-2012/SA-IP-05; Food and Agriculture Organisation of the United Nations: Rome, Italy, 2012; p. 36. [Google Scholar]
- Kerstetter, D.W.; Luckhurst, B.E.; Prince, E.D.; Graves, J.E. Use of Pop-up Satellite Archival Tags to Demonstrate Survival of Blue Marlin (Makaira nigricans) Released from Pelagic Longline Gear. Fish. Bull. 2003, 101, 939–948. [Google Scholar]
- Freitas, C.; Freitas, M.; Andrzejaczek, S.; Dale, J.J.; Whippen, W.; Block, B.A. First Insights into the Movements and Vertical Habitat Use of Blue Marlin (Makaira nigricans) in the Eastern North Atlantic. Anim. Biotelem. 2022, 10, 12. [Google Scholar] [CrossRef]
- Hoolihan, J.P.; Luo, J.; Abascal, F.J.; Campana, S.E.; De Metrio, G.; Dewar, H.; Domeier, M.L.; Howey, L.A.; Lutcavage, M.E.; Musyl, M.K.; et al. Evaluating Post-Release Behaviour Modification in Large Pelagic Fish Deployed with Pop-up Satellite Archival Tags. ICES J. Mar. Sci. 2011, 68, 880–889. [Google Scholar] [CrossRef]
- Braga, E.d.S.; Niencheski, L.F.H. Composição Das Massas de Água e Seus Potenciais Produtivos Na Área Entre o Cabo de São Tomé (RJ) e o Chuí (RS). In O Ambiente Oceanografia da Plataforma Continental e do Talude na Região Sudeste-Sul do Brasil; Edusp: Sao Paulo, Brazil, 2006; pp. 161–218. ISBN 10:8531409489. [Google Scholar]
- Prince, E.D.; Luo, J.; Phillip Goodyear, C.; Hoolihan, J.P.; Snodgrass, D.; Orbesen, E.S.; Serafy, J.E.; Ortiz, M.; Schirripa, M.J. Ocean Scale Hypoxia-Based Habitat Compression of Atlantic Istiophorid Billfishes. Fish. Oceanogr. 2010, 19, 448–462. [Google Scholar] [CrossRef]
- Stramma, L.; Prince, E.D.; Schmidtko, S.; Luo, J.; Hoolihan, J.P.; Visbeck, M.; Wallace, D.W.R.; Brandt, P.; Körtzinger, A. Expansion of Oxygen Minimum Zones May Reduce Available Habitat for Tropical Pelagic Fishes. Nat. Clim. Change 2011, 2, 33–37. [Google Scholar] [CrossRef]
- Castro Filho, B.M.; Miranda, L.B. Physical Oceanography of the Western Atlantic Continental Shelf Located between 4 N and 34 S: Coastal Segment (4,W). In The Sea; John Wiley & Sons: Oxford, UK, 1998; Volume 11. [Google Scholar]
- Young, T.; Pincin, J.; Neubauer, P.; Ortega-García, S.; Jensen, O.P. Investigating Diet Patterns of Highly Mobile Marine Predators Using Stomach Contents, Stable Isotope, and Fatty Acid Analyses. ICES J. Mar. Sci. 2018, 75, 1583–1590. [Google Scholar] [CrossRef]
- Vinther, M.; Eero, M. Quantifying Relative Fishing Impact on Fish Populations Based on Spatio-Temporal Overlap of Fishing Effort and Stock Density. ICES J. Mar. Sci. 2013, 70, 618–627. [Google Scholar] [CrossRef]
- Mourato, B.; Sant, R.; Kikuchi, E.; Gustavo Cardoso, L. Catch Rates of Sailfish from Brazilian Longline Fisheries in the western Atlantic (1991–2022). Collect. Vol. Sci. Pap. ICCAT 2023, 80, 226–235. [Google Scholar]
- Amorim, A.F.; Arfelli, C.A.; Antero-Silva, J.N.; Fagundes, L.; Costa, F.E.S.; Assumpção, R. Blue Marlin (Makaira nigricans) and White Marlin (Tetrapturus albidus) Caught off the Brazilian Coast. Col. Vol. Sci. Pap. ICCAT 1998, 47, 163–184. [Google Scholar]
- Reuchlin-Hugenholtz, E.; Shackell, N.L.; Hutchings, J.A. The Potential for Spatial Distribution Indices to Signal Thresholds in Marine Fish Biomass. PLoS ONE 2015, 10, e0120500. [Google Scholar] [CrossRef]
- Carson, S.; Shackell, N.; Mills Flemming, J. Local Overfishing May Be Avoided by Examining Parameters of a Spatio-Temporal Model. PLoS ONE 2017, 12, e0184427. [Google Scholar] [CrossRef]
- Rice, P.H.; Goodyear, C.P.; Prince, E.D.; Snodgrass, D.; Serafy, J.E. Use of Catenary Geometry to Estimate Hook Depth during Near-Surface Pelagic Longline Fishing: Theory versus Practice. N. Am. J. Fish. Manag. 2007, 27, 1148–1161. [Google Scholar] [CrossRef]
- Ward, P.; Hindmarsh, S. An Overview of Historical Changes in the Fishing Gear and Practices of Pelagic Longliners, with Particular Reference to Japan’s Pacific Fleet. Rev. Fish. Biol. Fish. 2007, 17, 501–516. [Google Scholar] [CrossRef]
- Su, N.J.; Sun, C.L.; Punt, A.E.; Yeh, S.Z. Environmental and Spatial Effects on the Distribution of Blue Marlin (Makaira nigricans) as Inferred from Data for Longline Fisheries in the Pacific Ocean. Fish. Oceanogr. 2008, 17, 432–445. [Google Scholar] [CrossRef]
- Bigelow, K.A.; Maunder, M.N. Does Habitat or Depth Influence Catch Rates of Pelagic Species? Can. J. Fish. Aquat. Sci. 2007, 64, 1581–1594. [Google Scholar] [CrossRef]
- Goodyear, C.P.; Bigelow, K.A. Preliminary Analyses of Simulated Longline Atlantic Blue Marlin CPUE with HBS and Generalized Linear Models. Collect. Vol. Sci. Pap. ICCAT 2012, 68, 1510–1523. [Google Scholar]
- Sippel, T.; Paige Eveson, J.; Galuardi, B.; Lam, C.; Hoyle, S.; Maunder, M.; Kleiber, P.; Carvalho, F.; Tsontos, V.; Teo, S.L.H.; et al. Using Movement Data from Electronic Tags in Fisheries Stock Assessment: A Review of Models, Technology and Experimental Design. Fish. Res. 2014, 163, 152–160. [Google Scholar] [CrossRef]
- Carvalho, F.C. Spatial Distribution of Blue Shark Catch Rate and Catch Probability of Juveniles in the Southwest Atlantic. ICES J. Mar. Sci. 2011, 68, 890–900. [Google Scholar] [CrossRef]
- Maunder, M.N.; Punt, A.E. A Review of Integrated Analysis in Fisheries Stock Assessment. Fish. Res. 2013, 142, 61–74. [Google Scholar] [CrossRef]
- Taylor, N.G.; Mcallister, M.K.; Lawson, G.L.; Carruthers, T.; Block, B.A. Atlantic Bluefin Tuna: A Novel Multistock Spatial Model for Assessing Population Biomass. PLoS ONE 2011, 6, 27693. [Google Scholar] [CrossRef]



| ID | Size | Tagging Date | Tag Type | Prog. Days | Days at Liberty | Deployment (Lat, Lon) | Pop-up (Lat, Lon) | MLD (km) | Disp. Rate (km/day) | Tagging Area |
|---|---|---|---|---|---|---|---|---|---|---|
| BUM00 | 390 | 14 March 2006 | MK-10 | 160 | 17 | 02°30′ S, 38°52′ W | 02°22′ N, 47°57′ W | 704 | 41.4 | Area I |
| BUM01 | 205 | 17 December 2011 | MK-10 | 160 | 29 | 24°38′ S, 44°29′ W | 28°46′ S, 46°53′ W | 124 | 4.3 | Area II |
| BUM02 | 280 | 2 February 2013 | MK-10 | 160 | 5 | 23°38′ S, 44°29′ W | 24°26′ S, 43°27′ W | 144.4 | 28.9 | Area II |
| BUM03 * | 250 | 3 October 2014 | MK-10 | 180 | 105 | 17°29′ S, 37°01′ W | 15°08′ S, 26°13′ W | 1182.7 | 11.3 | Area I |
| BUM04 * | 180 | 5 October 2014 | MK-10 | 180 | 87 | 17°05′ S, 37°36′ W | 13°32′ S, 34°45′ W | 499.5 | 5.7 | Area I |
| BUM05 * | 190 | 8 October 2014 | MK-10 | 180 | 113 | 17°20′ S, 37°21′ W | 19°07′ S, 32°03′ W | 596.1 | 5.3 | Area I |
| BUM06 * | 255 | 13 October 2014 | MK-10 | 180 | 133 | 17°47′ S, 37°23′ W | 08°28′ S, 29°53′ W | 1317 | 9.9 | Area I |
| BUM07 * | 175 | 2 January 2015 | MK-10 | 180 | 58 | 23°26′ S, 41°29′ W | 25°43′ S, 38°53′ W | 366.6 | 6.3 | Area II |
| BUM08 * | 185 | 8 January 2015 | MK-10 | 180 | 111 | 23°29′ S, 41°05′ W | 26°00′ S, 35°12′ W | 656.7 | 5.9 | Area II |
| BUM09 * | 225 | 11 January 2015 | MK-10 | 180 | 117 | 23°37′ S, 41°32′ W | 29°06′ S, 31°28′ W | 1175 | 10.0 | Area II |
| BUM10 * | 200 | 17 January 2015 | MK-10 | 180 | 121 | 23°50′ S, 41°37′ W | 23°12′ S, 26°18′ W | 1564.6 | 12.9 | Area II |
| BUM11 | 275 | 5 December 2014 | MK-10 | 75 | 10 | 15°51′ S, 38°36′ W | 13°09′ S, 34°35′ W | 341.5 | 34.2 | Area I |
| BUM12 | 290 | 7 December 2014 | MK-10 | 75 | - | 15°55′ S, 38°12′ W | - | - | - | Area I |
| BUM13 | 295 | 8 December 2014 | MK-10 | 75 | 75 | 15°52′ S,38°26′ W | 16°58′ S, 38°38′ W | 133 | 1.8 | Area I |
| BUM14 | 260 | 18 February 2017 | mrPAT | 132 | 132 | 15°51′ S, 38°33′ W | 01°17’N, 31°59′ W | 1995.7 | 15.1 | Area I |
| BUM15 | 270 | 1 December 2018 | miniPAT | 215 | 215 | 24°38′ S, 44°36′ W | 23°06′ S, 40°06′ W | 690.2 | 3.2 | Area II |
| BUM16 | 275 | 5 January 2019 | miniPAT | 215 | 206 | 23°51′ S, 41°35′ W | 12°54′ S, 37°52′ W | 178 | 0.9 | Area II |
| BUM17 | 230 | 17 January 2019 | miniPAT | 215 | 103 | 23°41′ S, 41°57′ W | 11°52′ S, 30°04′ W | 1770.3 | 17.2 | Area II |
| BUM18 | 260 | 12 January 2019 | miniPAT | 215 | - | 23°47′ S, 41°39′ W | - | - | - | Area II |
| BUM19 | 300 | 11 November 2019 | miniPAT | 215 | - | 15°54′ S, 38°20′ W | - | - | - | Area I |
| BUM20 | 260 | 8 January 2021 | miniPAT | 215 | 52 | 24°33′ S, 44°34′ W | 25°34′ S, 45°36′ W | 146.4 | 2.8 | Area II |
Disclaimer/Publisher’s Note: The statements, opinions and data contained in all publications are solely those of the individual author(s) and contributor(s) and not of MDPI and/or the editor(s). MDPI and/or the editor(s) disclaim responsibility for any injury to people or property resulting from any ideas, methods, instructions or products referred to in the content. |
© 2025 by the authors. Licensee MDPI, Basel, Switzerland. This article is an open access article distributed under the terms and conditions of the Creative Commons Attribution (CC BY) license (https://creativecommons.org/licenses/by/4.0/).
Share and Cite
Crespo-Neto, O.; Macena, B.C.L.; Mourato, B.; Pimenta, E.G.; Wanick, E.W.; Pacheco, J.C.; Amorim, A.F. Insights into the Movements and Habitat Use of Blue Marlins (Makaira nigricans) in the Southwestern Atlantic Ocean. Fishes 2025, 10, 201. https://doi.org/10.3390/fishes10050201
Crespo-Neto O, Macena BCL, Mourato B, Pimenta EG, Wanick EW, Pacheco JC, Amorim AF. Insights into the Movements and Habitat Use of Blue Marlins (Makaira nigricans) in the Southwestern Atlantic Ocean. Fishes. 2025; 10(5):201. https://doi.org/10.3390/fishes10050201
Chicago/Turabian StyleCrespo-Neto, Osman, Bruno C. L. Macena, Bruno Mourato, Eduardo G. Pimenta, Eduardo W. Wanick, José C. Pacheco, and Alberto F. Amorim. 2025. "Insights into the Movements and Habitat Use of Blue Marlins (Makaira nigricans) in the Southwestern Atlantic Ocean" Fishes 10, no. 5: 201. https://doi.org/10.3390/fishes10050201
APA StyleCrespo-Neto, O., Macena, B. C. L., Mourato, B., Pimenta, E. G., Wanick, E. W., Pacheco, J. C., & Amorim, A. F. (2025). Insights into the Movements and Habitat Use of Blue Marlins (Makaira nigricans) in the Southwestern Atlantic Ocean. Fishes, 10(5), 201. https://doi.org/10.3390/fishes10050201

