Online Parameter Identification of a Fractional-Order Chaotic System for Lithium-Ion Battery RC Equivalent Circuit Using a State Observer
Abstract
1. Introduction
- (1)
- A fractional-order chaotic system of first-order RC-ECM for LIBs was established by combining charge-controlled memristors and electronic components, such as inductors and capacitors. The nonlinear characteristics of this fractional-order chaotic system were analyzed.
- (2)
- A state observer is constructed and applied to identify these unknown parameters of the fractional-order chaotic system of first-order RC-ECM for LIB, enabling real-time online parameter estimation of the first-order RC-ECM for LIB.
- (3)
- The real-time performance, accuracy, and robustness of the state observer proposed in this paper were verified under different environmental temperatures through HPPC, DST, and UDDS operating conditions.
2. Establishment of First-Order RC-ECM Fractional-Order Chaotic System
2.1. Fractional Calculus
2.2. First-Order RC-ECM Fractional-Order Model
2.3. First-Order RC-ECM Fractional-Order Chaotic System Based on Memristors
3. Dynamic Characteristics Analysis of First-Order RC-ECM Fractional-Order Chaotic Systems
3.1. System Equilibrium Point Analysis
3.2. System Dissipation and Attractor Existence Analysis
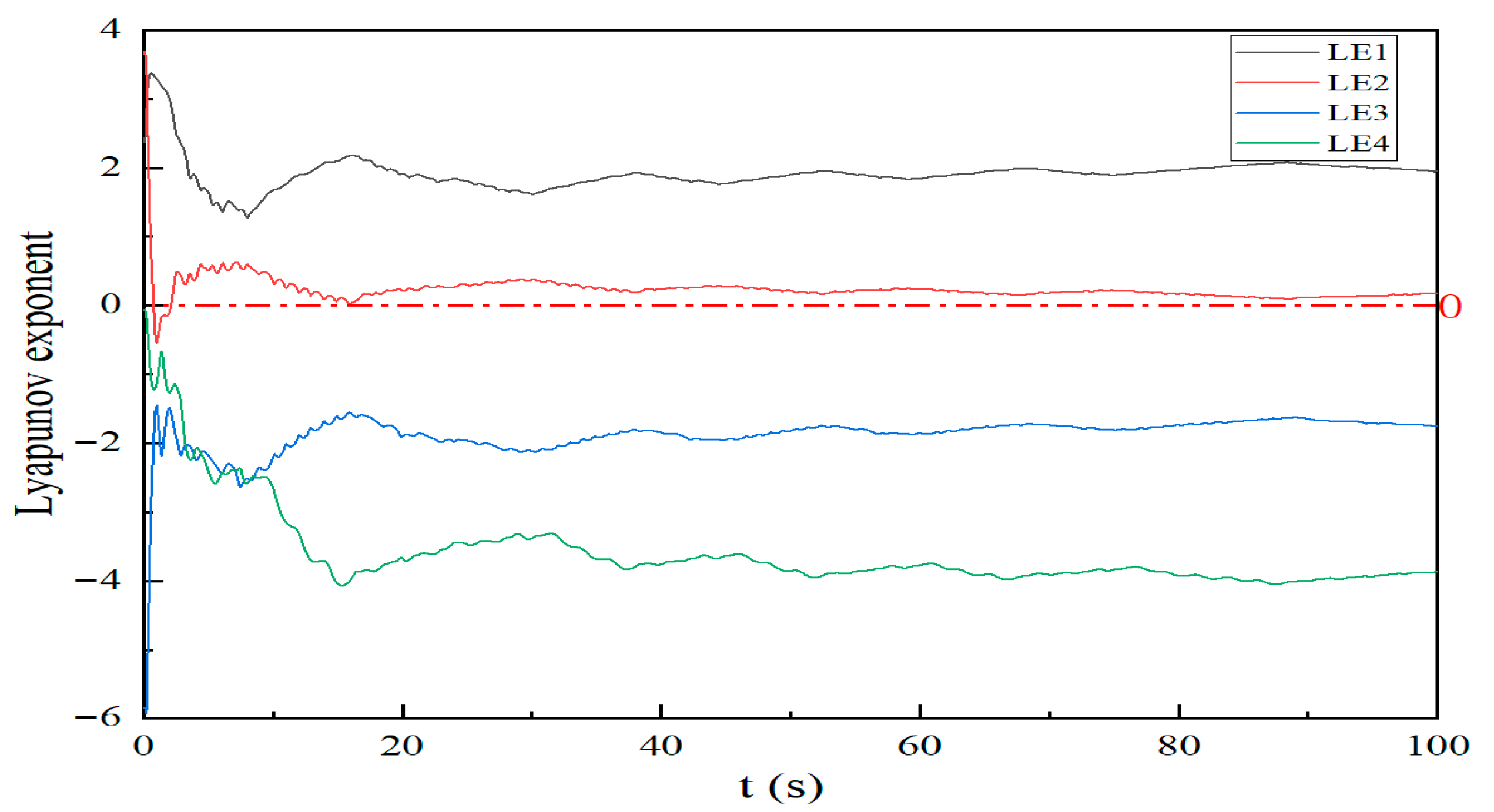
3.3. System Lyapunov Exponent Spectrum Analysis and Poincaré Section
4. Construction of State Observers for Unknown Parameters of Fractional-Order Chaotic Systems
4.1. Theory of Unknown Parameter Identification Based on Observer
4.2. Construction of State Observer
5. Experimental Results
5.1. Experimental Investigation
- (1)
- Fully charge the battery, discharge at 1 C to 10% DOD, rest for 40 min, then discharge at 5 C for 10 s, rest for 30 s, and charge for 10 s.
- (2)
- Fully charge the battery, discharge at 1 C to 20% DOD, rest for 40 min, then discharge at 2 C for 10 s, rest for 30 s, and charge for 10 s.
- (3)
- Fully charge the battery, discharge at 1 C to 30% DOD, rest for 40 min, then discharge at 2 C for 10 s, rest for 30 s, and charge for 10 s.
- (4)
- Fully charge the battery, discharge at 1 C to 40% DOD, rest for 40 min, then discharge at 2 C for 10 s, rest for 30 s, and charge for 10 s.
- (5)
- Fully charge the battery, discharge at 1 C to 50% DOD, rest for 40 min, then discharge at 2 C for 10 s, rest for 30 s, and charge for 10 s.
- (6)
- Fully charge the battery, discharge at 1 C to 60% DOD, rest for 40 min, then discharge at 2 C for 10 s, rest for 30 s, and charge for 10 s.
- (7)
- Fully charge the battery, discharge at 1 C to 70% DOD, rest for 40 min, then discharge at 2 C for 10 s, rest for 30 s, and charge for 10 s.
- (8)
- Fully charge the battery, discharge at 1 C to 80% DOD, rest for 40 min, then discharge at 2 C for 10 s, rest for 30 s, and charge for 10 s.
- (9)
- Fully charge the battery, discharge at 1 C to 90% DOD, rest for 40 min, then discharge at 2 C for 10 s, rest for 30 s, and charge for 10 s.
5.2. Analysis of Experimental Results
6. Discussion
7. Conclusions
- (1)
- A fractional-order hyperchaotic system was developed by integrating a charge-controlled memristor with electronic components (e.g., inductors and capacitors), based on the first-order RC-ECM.
- (2)
- The parameters of the charge-controlled memristor were tuned to induce chaotic behavior in the system, and the nonlinear dynamic characteristics of the fractional-order hyperchaotic system were thoroughly analyzed. A state observer for unknown parameter estimation in fractional-order chaotic systems was designed and applied for online identification of unknown parameters in the first-order RC-ECM. The validity of the designed state observer was verified through experiments conducted under various driving conditions, including DST, UDDS, and HPPC profiles.
- (3)
- The experimental validation confirms the superiority of the proposed state observer compared to FFRLS and KF algorithms. It exhibits enhanced superior real-time performance, identification accuracy, and robustness, effectively addressing critical limitations related to sample data size and demonstrating strong resilience against environmental variabilities, including temperature, road conditions, load variations, and battery material properties. To further verify the robustness of the proposed state observer, future work will focus on applying it to parameter identification in second-order or third-order RC-ECMs.
Author Contributions
Funding
Institutional Review Board Statement
Informed Consent Statement
Data Availability Statement
Acknowledgments
Conflicts of Interest
References
- Farid, H.M.; Iram, S.; Shakeel, H.M.; Hill, R. Enhancing stakeholder engagement in building energy performance assessment: A state-of-the-art literature survey. Energy Strategy Rev. 2024, 56, 101560. [Google Scholar] [CrossRef]
- International Energy Agency. Policies to Promote Electric Vehicle Deployment. Available online: https://www.iea.org/reports/global-ev-outlook-2021/policies-to-promote-electric-vehicle-deployment (accessed on 24 June 2022).
- Cheng, Y.S. Identification of parameters for equivalent circuit model of Li-ion battery cell with population based optimization algorithms. Ain Shams Eng. J. 2024, 15, 102481. [Google Scholar] [CrossRef]
- Wu, L.; Pang, H.; Geng, Y.; Liu, X.; Liu, J.; Liu, K. Low-complexity state of charge and anode potential prediction for lithium-ion batteries using a simplified electrochemical model-based observer under variable load condition. Int. J. Energy Res. 2022, 46, 11834–11848. [Google Scholar] [CrossRef]
- Khawaja, Y.; Shankar, N.; Qiqieh, I.; Alzubi, J.; Alzubi, O.; Nallakaruppan, M.; Padmanaban, S. Battery management solutions for li-ion batteries based on artificial intelligence. Ain Shams Eng. J. 2023, 14, 102213. [Google Scholar] [CrossRef]
- Choi, C.; Park, S.; Kim, J. Uniqueness of multilayer perceptron-based capacity prediction for contributing state-of-charge estimation in a lithium primary battery. Ain Shams Eng. J. 2023, 14, 101936. [Google Scholar] [CrossRef]
- Kong, X.; Plett, G.L.; Trimboli, M.S.; Zhang, Z.; Qiao, D.; Zhao, T.; Zheng, Y. Pseudo-two-dimensional model and impedance diagnosis of micro internal short circuit in lithium-ion cells. J. Energy Storage 2020, 27, 101085. [Google Scholar] [CrossRef]
- Wang, J.; Jia, Y.; Yang, N.; Lu, Y.; Shi, M.; Ren, X.; Lu, D. Precise equivalent circuit model for Li-ion battery by experimental improvement and parameter optimization. J. Energy Storage 2022, 52, 104980. [Google Scholar] [CrossRef]
- Zheng, Y.; Gao, W.; Han, X.; Ouyang, M.; Lu, L.; Guo, D. An accurate parameters extraction method for a novel on-board battery model considering electrochemical properties. Energy Storage 2019, 24, 100745. [Google Scholar] [CrossRef]
- Sun, T.; Wu, R.; Cui, Y.; Zheng, Y. Sequent extended Kalman filter capacity estimation method for lithium-ion batteries based on discrete battery aging model and support vector machine. Energy Storage 2021, 39, 102594. [Google Scholar] [CrossRef]
- Chen, Y.; Liu, Y.; Du, W.; Li, Q.; Wang, H.; Li, Q.; Wu, Q.; Qin, G. Identification of the parameters of the aluminum-air battery with regard to temperature. J. Energy Storage 2024, 88, 111397. [Google Scholar] [CrossRef]
- Tian, Y.; Lai, R.; Li, X.; Xiang, L.; Tian, J. A combined method for state-of-charge estimation for lithium-ion batteries using a long short-term memory network and an adaptive cubature Kalman filter. Appl. Energy 2020, 265, 114789. [Google Scholar] [CrossRef]
- Ma, T.; Zhang, Z.; Lin, W.; Cong, M.; Yang, Y. Impedance prediction model based on convolutional neural networks methodology for proton exchange membrane fuel cell. Int. J. Hydrogen Energy 2021, 46, 18534–18545. [Google Scholar] [CrossRef]
- Liu, F.; Shao, C.; Su, W.; Liu, Y. Online joint estimator of key states for battery based on a new equivalent circuit model. J. Energy Storage 2022, 52, 104780. [Google Scholar] [CrossRef]
- Chen, D.; Xiao, L.; Yan, W.; Guo, Y. A novel hybrid equivalent circuit model for lithium-ion battery considering nonlinear capacity effects. Energy Rep. 2021, 7, 320–329. [Google Scholar] [CrossRef]
- Ghadbane, H.E.; Rezk, H.; Ferahtia, S.; Barkat, S.; Al-Dhaifallah, M. Optimal parameter identification strategy applied to lithium-ion battery model for electric vehicles using drive cycle data. Energy Rep. 2024, 11, 2049–2058. [Google Scholar] [CrossRef]
- Hu, C.; Liu, H.; Ji, Y. Parameter and order estimation algorithms and convergence analysis for lithium-ion batteries. Int. J. Robust Nonlinear Control. 2023, 33, 11411–11433. [Google Scholar] [CrossRef]
- Shelembe, L.; Barendse, P. An adaptive amplitude-modulated pseudo-random binary sequence excitation for converter-based impedance spectroscopy characterization of photovoltaic modules. IEEE Trans. Ind. Appl. 2022, 59, 2007–2018. [Google Scholar] [CrossRef]
- Guejia-Burbano, R.A.; Petrone, G.; Piliougine, M. Impedance spectroscopy for diagnosis of photovoltaic modules under outdoor conditions. IEEE J. Photovolt. 2022, 12, 1503–1512. [Google Scholar] [CrossRef]
- Gcwensa, T.L.; Boje, E.; Barendse, P. A Direct Continuous-Time System Identification Approach for Online Estimation of Equivalent Circuit Model Parameters in Photovoltaic Cells. IEEE Trans. Energy Convers. 2024, 40, 43–54. [Google Scholar] [CrossRef]
- Buchicchio, E.; De Angelis, A.; Santoni, F.; Carbone, P. Uncertainty characterization of a CNN method for Lithium-Ion Batteries state of charge estimation using EIS data. Measurement 2023, 220, 113341. [Google Scholar] [CrossRef]
- Zhou, X.; Huang, J.; Pan, Z.; Ouyang, M. Impedance characterization of lithium-ion batteries aging under high-temperature cycling: Importance of electrolyte-phase diffusion. J. Power Sources 2019, 426, 216–222. [Google Scholar] [CrossRef]
- Xia, B.; Ye, B.; Cao, J. Polarization voltage characterization of lithium-ion batteries based on a lumped diffusion model and joint parameter estimation algorithm. Energies 2022, 15, 1150. [Google Scholar] [CrossRef]
- Zhao, Y.; Che, Y.; Wang, D.; Liu, H.; Shi, K.; Yu, D. An optimal domestic electric vehicle charging strategy for reducing network transmission loss while taking seasonal factors into consideration. Appl. Sci. 2018, 8, 191. [Google Scholar] [CrossRef]
- Hu, M.; Li, Y.; Li, S.; Fu, C.; Qin, D.; Li, Z. Lithium-ion battery modeling and parameter identification based on fractional theory. Energy 2018, 165, 153–163. [Google Scholar] [CrossRef]
- Ren, B.; Xie, C.; Sun, X.; Zhang, Q.; Yan, D. Parameter identification of a lithium-ion battery based on the improved recursive least square algorithm. IET Power Electron. 2020, 13, 2531–2537. [Google Scholar] [CrossRef]
- Inoue, T.; Komatsu, D. Online Parameter Identification for Equivalent Circuit Model of Li-ion Batteries Using the Eigenvalue Addition/Deletion Least-Squares Method with a Forgetting Factor. IEEE Access 2025, 13, 73569–73585. [Google Scholar] [CrossRef]
- Mukhopadhyay, S.; Usman, H.M.; Rehman, H. Real time li-ion battery bank parameters estimation via universal adaptive stabilization. IEEE Open J. Control. Syst. 2022, 1, 268–293. [Google Scholar] [CrossRef]
- Pillai, P.; Sundaresan, S.; Pattipati, K.R.; Balasingam, B. Optimizing current profiles for efficient online estimation of battery equivalent circuit model parameters based on Cramer–Rao lower bound. Energies 2022, 15, 8441. [Google Scholar] [CrossRef]
- Wang, S.; Takyi-Aninakwa, P.; Jin, S.; Yu, C.; Fernandez, C.; Stroe, D.-I. An improved feedforward-long short-term memory modeling method for the whole-life-cycle state of charge prediction of lithium-ion batteries considering current-voltage-temperature variation. Energy 2022, 254, 124224. [Google Scholar] [CrossRef]
- Liu, B.; Wang, H.; Tseng, M.-L.; Li, Z. State of charge estimation for lithium-ion batteries based on improved barnacle mating optimizer and support vector machine. J. Energy Storage 2022, 55, 105830. [Google Scholar] [CrossRef]
- Yang, Y.; Zhao, L.; Yu, Q.; Liu, S.; Zhou, G.; Shen, W. State of charge estimation for lithium-ion batteries based on cross-domain transfer learning with feedback mechanism. J. Energy Storage 2023, 70, 108037. [Google Scholar] [CrossRef]
- Houssein, E.H.; Hashim, F.A.; Ferahtia, S.; Rezk, H. Battery parameter identification strategy based on modified coot optimization algorithm. J. Energy Storage 2022, 46, 103848. [Google Scholar] [CrossRef]
- Chun, H.; Kim, J.; Yu, J.; Han, S. Real-time parameter estimation of an electrochemical lithium-ion battery model using a long short-term memory network. IEEE Access 2020, 8, 81789–81799. [Google Scholar] [CrossRef]
- Wang, B.C.; He, Y.B.; Liu, J.; Luo, B. Fast parameter identification of lithium-ion batteries via classification model-assisted Bayesian optimization. Energy 2024, 288, 129667. [Google Scholar] [CrossRef]
- Mani, G.; Gnanaprakasam, A.J.; Ramalingam, S.; Omer, A.S.A.; Khan, I. Mathematical model of the lumpy skin disease using Caputo fractional-order derivative via invariant point technique. Sci. Rep. 2025, 15, 9112. [Google Scholar] [CrossRef]
- Manivannan, R.; Vigneswar, N. A comprehensive review of fractional-order mathematical models for lithium-ion batteries: Historical progress, recent advancements, and future outlooks. J. Energy Storage 2025, 131, 117404. [Google Scholar] [CrossRef]
- Zhang, X.; Gao, X.; Duan, L.; Gong, Q.; Wang, Y.; Ao, X. A novel method for state of health estimation of lithium-ion batteries based on fractional-order differential voltage-capacity curve. Appl. Energy 2025, 377, 124404. [Google Scholar] [CrossRef]
- Chua, L.O. Memristor-the missing circuit element. IEEE Trans. Circuit Theory 1971, 18, 507–519. [Google Scholar] [CrossRef]
- Strukov, D.B.; Snider, G.S.; Stewart, D.R.; Williams, R.S. The missing memristor found. Nature 2008, 453, 80–83. [Google Scholar] [CrossRef]
- Zhang, Z.; Wei, Y.; Ge, Z.; Yan, L.; Zeng, J.; Liu, G. Modeling and circuit simulation of four-terminal Memristor. J. Comput.-Aided Des. Comput. Graph. 2021, 33, 1126–1131. [Google Scholar]
- Fathizadeh, S.; Behnia, S.; Nemati, F.; Salimi, M.; Borjkhani, H. Chaotic control of the dynamical behavior of COVID-19 through the electromagnetic fields. Phys. Scr. 2022, 97, 085008. [Google Scholar] [CrossRef]
- Zhong, H.; Li, G.; Xu, X. A generic voltage-controlled discrete memristor model and its application in chaotic map. Chaos Solitons Fractals 2022, 161, 112389. [Google Scholar] [CrossRef]
- Fang, L.; Wu, C.; Yang, N.; Xu, C. Dynamic analysis and FPGA implementation of memory resistive chaotic circuit based on asymmetric diode bridge. Electron. Compon. Mater. 2024, 43, 1146–1153. [Google Scholar]
- Fahmy, H.M.; Alqahtani, A.H.; Hasanien, H.M. Precise modeling of lithium-ion battery in industrial applications using Walrus optimization algorithm. Energy 2024, 294, 130859. [Google Scholar] [CrossRef]
- Shen, Y.; Li, Y.; Li, W.; Yao, Q.; Gao, H. Extremely multi-stable grid-scroll memristive chaotic system with omni-directional extended attractors and application of weak signal detection. Chaos Solitons Fractals 2025, 190, 115791. [Google Scholar] [CrossRef]
- Qian, Y.; Zheng, J.; Hu, H. Dynamic time-delay perturbation: A strategy for enhancing chaotic system performance and its applications. Nonlinear Dyn. 2025, 113, 4815–4837. [Google Scholar] [CrossRef]
- Xue, Q.; Wang, F. Parameters identification for the nonlinear systems via target system-based method with intermittent adjustment. Math. Found. Comput. 2025, 8, 331–346. [Google Scholar] [CrossRef]
- Luo, Y.; Fan, C.; Xu, C.; Li, X. Design and FPGA implementation of a high-speed PRNG based on an nD non-degenerate chaotic system. Chaos Solitons Fractals 2024, 183, 114951. [Google Scholar] [CrossRef]
- Zourmba, K.; Effa, J.Y.; Fischer, C.; Rodríguez-Muñoz, J.D.; Moreno-Lopez, M.F.; Tlelo-Cuautle, E.; Nkapkop, J.D. Fractional order 1D memristive time-delay chaotic system with application to image encryption and FPGA implementation. Math. Comput. Simul. 2025, 227, 58–84. [Google Scholar] [CrossRef]
- Sene, N. Theory and applications of new fractional-order chaotic system under Caputo operator. Int. J. Optim. Control. 2022, 12, 20–38. [Google Scholar] [CrossRef]
- You, J.; Zhang, Z. Finite-time synchronization of fractional order chaotic systems by applying the maximum-valued method of functions of five variables. AIMS Math 2025, 10, 7238–7255. [Google Scholar] [CrossRef]
- Saeidi, H.; Hejazi, S.R.; Mohammadi, S. Modeling and simulation of non-linear fractional-order chaotic system of supply chain and financial model. Int. J. Financ. Manag. Account. 2025, 12, 1–20. [Google Scholar]
- Salman, H.A.; Kamal, F.M.; Kader, A.H.A. A novel chaotic fractional-order hyperbolic-sine-based electrical circuit: Stability analysis, simulation, and image encryption application. Int. J. Dyn. Control. 2025, 13, 200. [Google Scholar] [CrossRef]
- Kadri, I.; Saadeh, R.S.; AlMutairi, D.M.; Dafaalla, M.E.; Berir, M.; Abdoon, M.A. Analytical and Numerical Investigation of a Fractional Order 4D Chaotic System via Caputo Fractional Derivative. Eur. J. Pure Appl. Math. 2025, 18, 6381. [Google Scholar] [CrossRef]
- Li, S.; Wang, H.; Aitouche, A.; Tian, Y.; Christov, N. Robust unknown input observer design for state estimation and fault detection using linear parameter varying model. In Journal of Physics: Conference Series 2017; IOP Publishing: Bristol, UK, 2017; Volume 783, p. 012001. [Google Scholar]
- Ali, T.; Saleh, D.; Abdulqader, Q.M.; Ahmed, A.O. Comparing Methods for Estimating Gamma Distribution Parameters with Outliers Observation. J. Econ. Adm. Sci. 2025, 31, 163–174. [Google Scholar] [CrossRef]
- Yao, J.; Kowal, J. A multi-scale data-driven framework for online state of charge estimation of lithium-ion batteries with a novel public drive cycle dataset. J. Energy Storage 2025, 107, 114888. [Google Scholar]
- Liu, Z.; Liu, J.; Zhang, O.; Zhao, Y.; Chen, W.; Gao, Y. Adaptive disturbance observer-based fixed-time tracking control for uncertain robotic systems. IEEE Trans. Ind. Electron. 2024, 71, 14823–14831. [Google Scholar]
- Yu, X.; Chen, W.; Wang, F.; Ke, D.; Xu, L.; Rodriguez, J. Model-free predictive control of non-isolated two-stage AC–DC–DC converter based on linear extended state observer. Int. J. Robust Nonlinear Control 2025, 35, 2642–2657. [Google Scholar]
- Hong, F.; Zhao, Y.; Ji, W.; Hao, J.; Fang, F.; Liu, J. A dynamic migration route planning optimization strategy based on real-time energy state observation considering flexibility and energy efficiency of thermal power unit. Appl. Energy 2025, 377, 124575. [Google Scholar]
- Peng, S.; Zhang, D.; Dai, G.; Wang, L.; Jiang, Y.; Zhou, F. State of charge estimation for LiFePO4 batteries joint by PID observer and improved EKF in various OCV ranges. Appl. Energy 2025, 377, 124435. [Google Scholar]
















| Identification Model | Temperature in Working Conditions | Mean Relative Error (%) | Mean Absolute Error (mV) | Root Mean Square Error (%) |
|---|---|---|---|---|
| State observer | HPPC conditions at 25 °C | 0.27 | 1.36 | 0.34 |
| FFRLS | 1.68 | 27.6 | 2.78 | |
| KF | 3.37 | 67.6 | 5.49 | |
| State observer | DST conditions at 25 °C | 0.21 | 2.36 | 0.22 |
| FFRLS | 1.91 | 31.2 | 2.36 | |
| KF | 3.28 | 74.9 | 4.46 | |
| State observer | UDDS conditions at 40 °C | 0.17 | 1.62 | 0.19 |
| FFRLS | 2.15 | 35.9 | 2.92 | |
| KF | 3.87 | 52.8 | 8.59 |
Disclaimer/Publisher’s Note: The statements, opinions and data contained in all publications are solely those of the individual author(s) and contributor(s) and not of MDPI and/or the editor(s). MDPI and/or the editor(s) disclaim responsibility for any injury to people or property resulting from any ideas, methods, instructions or products referred to in the content. |
© 2025 by the authors. Licensee MDPI, Basel, Switzerland. This article is an open access article distributed under the terms and conditions of the Creative Commons Attribution (CC BY) license (https://creativecommons.org/licenses/by/4.0/).
Share and Cite
Gao, Y.; Xu, D.; Wen, H.; Xu, L. Online Parameter Identification of a Fractional-Order Chaotic System for Lithium-Ion Battery RC Equivalent Circuit Using a State Observer. Batteries 2025, 11, 377. https://doi.org/10.3390/batteries11100377
Gao Y, Xu D, Wen H, Xu L. Online Parameter Identification of a Fractional-Order Chaotic System for Lithium-Ion Battery RC Equivalent Circuit Using a State Observer. Batteries. 2025; 11(10):377. https://doi.org/10.3390/batteries11100377
Chicago/Turabian StyleGao, Yanzeng, Donghui Xu, Haiou Wen, and Liqin Xu. 2025. "Online Parameter Identification of a Fractional-Order Chaotic System for Lithium-Ion Battery RC Equivalent Circuit Using a State Observer" Batteries 11, no. 10: 377. https://doi.org/10.3390/batteries11100377
APA StyleGao, Y., Xu, D., Wen, H., & Xu, L. (2025). Online Parameter Identification of a Fractional-Order Chaotic System for Lithium-Ion Battery RC Equivalent Circuit Using a State Observer. Batteries, 11(10), 377. https://doi.org/10.3390/batteries11100377

