Spacer Thickness and Temperature Dependences of the Interlayer Exchange Coupling in a Co/Pt/Co Three-Layer Structure
Abstract
1. Introduction
2. Experiment
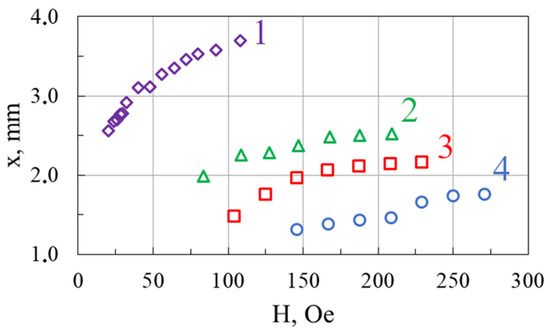
3. Results and Discussion
4. Conclusions
Author Contributions
Funding
Institutional Review Board Statement
Informed Consent Statement
Data Availability Statement
Conflicts of Interest
References
- Shull, R.D.; Iunin, Y.L.; Kabanov, Y.P.; Nikitenko, V.I.; Skryabina, O.V.; Chien, C.L. Influence of Pt spacer thickness on the domain nucleation in ultrathin Co/Pt/Co trilayers. J. Appl. Phys. 2013, 113, 17C101. [Google Scholar] [CrossRef]
- Metaxas, P.J.; Stamps, R.L.; Jamet, J.P.; Ferré, J.; Baltz, V.; Rodmacq, B.; Politi, P. Dynamic binding of driven interfaces in coupled ultrathin ferromagnetic layers. Phys. Rev. Lett. 2010, 104, 237206. [Google Scholar] [CrossRef] [PubMed]
- Politi, P.; Metaxas, P.J.; Jamet, J.P.; Stamps, R.L.; Ferré, J. Model of bound interface dynamics for coupled magnetic domain walls. Phys. Rev. B 2011, 84, 054431. [Google Scholar] [CrossRef]
- Metaxas, P.J.; Stamps, R.L.; Jamet, J.P.; Ferré, J.; Baltz, V.; Rodmacq, B. Expansion and relaxation of magnetic mirror domains in a Pt/Co/Pt/Co/Pt multilayer with antiferromagnetic interlayer coupling. J. Phys. Condens. Matter 2012, 24, 024212. [Google Scholar] [CrossRef] [PubMed]
- Matczak, M.; Schäfer, R.; Urbaniak, M.; Kuświk, P.; Szymański, B.; Schmidt, M.; Aleksiejew, J.; Stobiecki, F. Influence of domain structure induced coupling on magnetization reversal of Co/Pt/Co film with perpendicular anisotropy. J. Magn. Magn. Mat. 2017, 422, 465–469. [Google Scholar] [CrossRef]
- Metaxas, P.J.; Jamet, J.P.; Ferré, J.; Rodmacq, B.; Dieny, B.; Stamps, R.L. Magnetic domain wall creep in the presence of an effective interlayer coupling field. J. Magn. Magn. Mat. 2008, 320, 2571–2575. [Google Scholar] [CrossRef]
- Zhang, F.; Liu, Z.; Wen, F.; Liu, Q.; Li, X.; Ming, X. Magnetoresistance and anomalous Hall effect with Pt spacer thickness in the spin-valve Co/Pt/[Co/Pt] 2 multilayers. J. Supercond. Nov. Magn. 2017, 30, 533–538. [Google Scholar] [CrossRef]
- Omelchenko, P.; Montoya, E.; Girt, E.; Heinrich, B. Interlayer Exchange Coupling, Spin Pumping and Spin Transport in Metallic Magnetic Single and Bilayer Structures. J. Exp. Theor. Phys. 2020, 131, 113–129. [Google Scholar] [CrossRef]
- Liu, Q.; Jiang, S.; Teng, J. Interfacial chemical structure-modulated anomalous Hall effect in perpendicular Co/Pt multilayers. Appl. Surf. Sci. 2018, 433, 556–559. [Google Scholar] [CrossRef]
- Szulc, K.; Mendisch, S.; Mruczkiewicz, M.; Casoli, F.; Becherer, M.; Gubbiotti, G. Nonreciprocal spin-wave dynamics in Pt/Co/W/Co/Pt multilayers. Phys. Rev. B 2021, 103, 134404. [Google Scholar] [CrossRef]
- Moritz, J.; Rodmacq, B.; Auffret, S.; Dieny, B. Extraordinary Hall effect in thin magnetic films and its potential for sensors, memories and magnetic logic applications. J. Phys. D Appl. Phys. 2008, 41, 135001. [Google Scholar] [CrossRef]
- Dieny, B.; Chshiev, M. Perpendicular magnetic anisotropy at transition metal/oxide interfaces and applications. Rev. Mod. Phys. 2017, 89, 025008. [Google Scholar] [CrossRef]
- Katagiri, M.; Cuya Huaman, J.L.; Matsumoto, T.; Suzuki, K.; Miyamura, H.; Balachandran, J. Magneto-plasmonic Co@ Pt@ Au nanocrystals for biosensing and therapeutics. ACS Appl. Nano Mater. 2020, 3, 418–427. [Google Scholar] [CrossRef]
- Wilson, R.B.; Yang, Y.; Gorchon, J.; Lambert, C.H.; Salahuddin, S.; Bokor, J. Electric current induced ultrafast demagnetization. Phys. Rev. B 2017, 96, 045105. [Google Scholar] [CrossRef]
- Krusin-Elbaum, L.; Shibauchi, T.; Argyle, B.; Gignac, L.; Weller, D. Stable ultrahigh-density magneto-optical recordings using introduced linear defects. Nature 2001, 410, 444. [Google Scholar] [CrossRef] [PubMed]
- Morgunov, R.B.; Yurov, A.V.; Yurov, V.A.; Talantsev, A.D.; Bezverhnii, A.I.; Koplak, O.V. Oscillatory dynamics of the magnetic moment of a Pt/Co/Ir/Co/Pt synthetic antiferromagnet. Phys. Rev. B 2019, 100, 144407. [Google Scholar] [CrossRef]
- Morgunov, R.B.; Bezverkhnii, A.I.; Hehn, M.; Bello, J.L.; Fache, T.; Mangin, S. Dzyaloshinskii-Moriya interaction probed by magnetization reversal in bilayer Pt/Co/Ir/Co/Pt synthetic ferrimagnets. Phys. Rev. B 2021, 104, 134424. [Google Scholar] [CrossRef]
- Mazalski, P.; Anastaziak, B.; Kuświk, P.; Kurant, Z.; Sveklo, I.; Maziewski, A. Demagnetization of an ultrathin Co/NiO bilayer with creation of submicrometer domains controlled by temperature-induced changes of magnetic anisotropy. J. Magn. Magn. Mat. 2020, 508, 166871. [Google Scholar] [CrossRef]
- Hellwig, O.; Berger, A.; Fullerton, E.E. Magnetic reversal and domain structure in perpendicular AF-coupled films. J. Magn. Magn. Mat. 2005, 290–291, 1–7. [Google Scholar] [CrossRef]
- Hellwig, O.; Berger, A.; Kortright, J.B.; Fullerton, E.E. Domain structure and magnetization reversal of antiferromagnetically coupled perpendicular anisotropy films. J. Magn. Magn. Mat. 2007, 319, 13–55. [Google Scholar] [CrossRef]
- Kiselev, N.S.; Bran, C.; Wolff, U.; Schultz, L.; Bogdanov, A.N.; Hellwig, O.; Neu, V.; Rößler, U.K. Metamagnetic domains in antiferromagnetically coupled multilayers with perpendicular anisotropy. Phys. Rev. B 2010, 81, 054409. [Google Scholar] [CrossRef]
- Baruth, A.; Yuan, L.; Burton, J.D.; Janicka, K.; Tsymbal, E.Y.; Liou, S.; Adenwalla, S. Domain overlap in antiferromagnetically coupled [Co/Pt]/NiO/[Co/Pt] multilayers. Appl. Phys. Lett. 2006, 89, 202505. [Google Scholar] [CrossRef]
- Bruno, P.; Chappert, C. Ruderman-Kittel theory of oscillatory interlayer exchange coupling. Phys. Rev. B 1992, 46, 261. [Google Scholar] [CrossRef]
- Stiles, M.D. Exchange coupling in magnetic heterostructures. Phys. Rev. B 1993, 48, 7238. [Google Scholar] [CrossRef]
- Parkin, S.S. Systematic variation of the strength and oscillation period of indirect magnetic exchange coupling through the 3d, 4d, and 5d transition metals. Phys. Rev. Lett. 1991, 67, 3598. [Google Scholar] [CrossRef]
- Grolier, V.; Renard, D.; Bartenlian, B.; Beauvillain, P.; Chappert, C.; Dupas, C.; Ferré, J.; Galtier, M.; Kolb, E.; Mulloy, M.; et al. Unambiguous evidence of oscillatory magnetic coupling between Co layers in ultrahigh vacuum grown Co/Au (111)/Co trilayers. Phys. Rev. Lett. 1993, 71, 3023. [Google Scholar] [CrossRef]
- Heide, M.; Bihlmayer, G.; Mavropoulos, P.; Bringer, A.; Blügel, S. Spin orbit driven physics at surfaces. Newsl. Psi-K Netw. 2006, 78, 111–145. [Google Scholar]
- Thiaville, A.; Rohart, S.; Jué, É.; Cros, V.; Fert, A. Dynamics of Dzyaloshinskii domain walls in ultrathin magnetic films. Europhys. Lett. 2012, 100, 57002. [Google Scholar] [CrossRef]
- Shashkov, I.V.; Kabanov, Y.P.; Tikhomirov, O.A.; Gornakov, V.S. Kinetics of Domain Structure in Co/Pt/Co Ultrathin Films with Ferromagnetic Interlayer Exchange Interaction: Dependence on Interlayer Thickness. Magnetism 2022, 2, 186–194. [Google Scholar] [CrossRef]
- Kong, S.S.; Liu, W.K.; Yu, X.X.; Li, Y.L.; Yang, L.Z.; Ma, Y.; Fang, X.Y. Interlayer interaction mechanism and its regulation on optical properties of bilayer SiCNSs. Front. Phys. 2023, 18, 43302. [Google Scholar] [CrossRef]









Disclaimer/Publisher’s Note: The statements, opinions and data contained in all publications are solely those of the individual author(s) and contributor(s) and not of MDPI and/or the editor(s). MDPI and/or the editor(s) disclaim responsibility for any injury to people or property resulting from any ideas, methods, instructions or products referred to in the content. |
© 2023 by the authors. Licensee MDPI, Basel, Switzerland. This article is an open access article distributed under the terms and conditions of the Creative Commons Attribution (CC BY) license (https://creativecommons.org/licenses/by/4.0/).
Share and Cite
Gornakov, V.S.; Shashkov, I.V.; Tikhomirov, O.A.; Kabanov, Y.P. Spacer Thickness and Temperature Dependences of the Interlayer Exchange Coupling in a Co/Pt/Co Three-Layer Structure. Magnetochemistry 2023, 9, 176. https://doi.org/10.3390/magnetochemistry9070176
Gornakov VS, Shashkov IV, Tikhomirov OA, Kabanov YP. Spacer Thickness and Temperature Dependences of the Interlayer Exchange Coupling in a Co/Pt/Co Three-Layer Structure. Magnetochemistry. 2023; 9(7):176. https://doi.org/10.3390/magnetochemistry9070176
Chicago/Turabian StyleGornakov, V. S., I. V. Shashkov, O. A. Tikhomirov, and Yu. P. Kabanov. 2023. "Spacer Thickness and Temperature Dependences of the Interlayer Exchange Coupling in a Co/Pt/Co Three-Layer Structure" Magnetochemistry 9, no. 7: 176. https://doi.org/10.3390/magnetochemistry9070176
APA StyleGornakov, V. S., Shashkov, I. V., Tikhomirov, O. A., & Kabanov, Y. P. (2023). Spacer Thickness and Temperature Dependences of the Interlayer Exchange Coupling in a Co/Pt/Co Three-Layer Structure. Magnetochemistry, 9(7), 176. https://doi.org/10.3390/magnetochemistry9070176

