Sensitive Water Ligand Observed via Gradient Spectroscopy with 19F Detection for Analysis of Fluorinated Compounds Bound to Proteins
Abstract
:1. Introduction
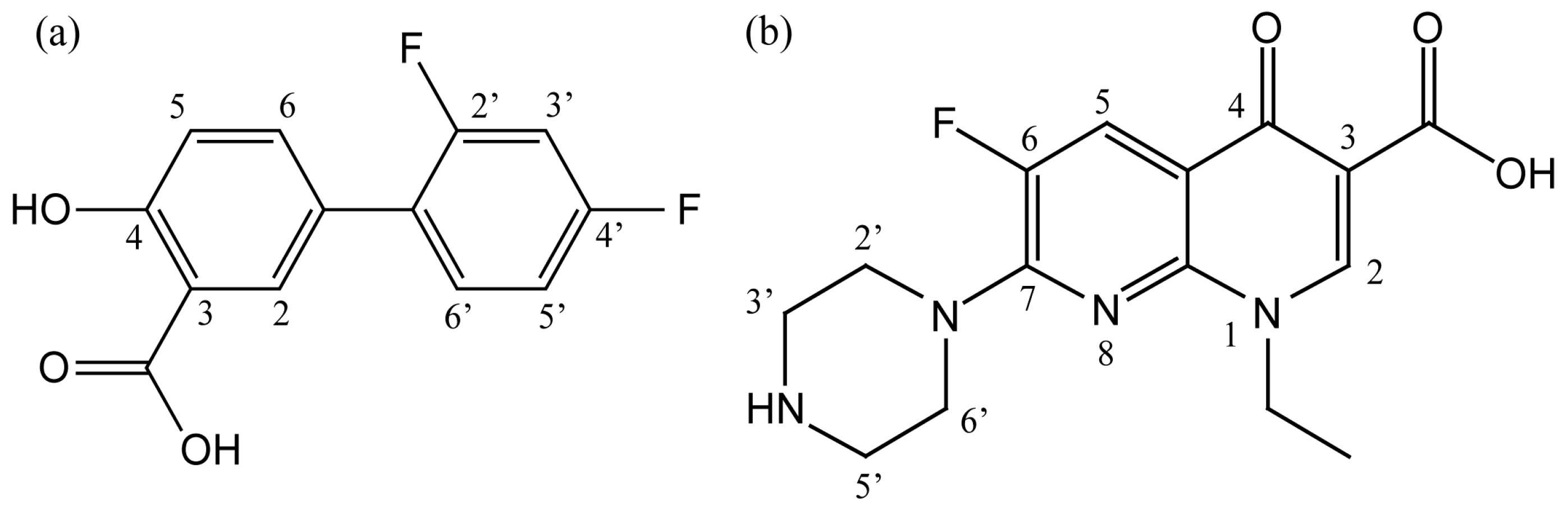
2. Results and Discussion
3. Materials and Methods
3.1. Chemicals
3.2. NMR Spectroscopy
4. Conclusions
Author Contributions
Funding
Acknowledgments
Conflicts of Interest
References
- Chen, A.; Shapiro, M.J. NOE Pumping: A novel NMR technique for identification of compounds with binding affinity to macromolecules. J. Am. Chem. Soc. 1998, 120, 10258–10259. [Google Scholar] [CrossRef]
- Maye, M.; Meyer, B. Group epitope mapping by saturation transfer difference NMR to identify segments of a ligand in direct contact with a protein receptor. J. Am. Chem. Soc. 2001, 123, 6108–6117. [Google Scholar]
- Dalvit, C.; Pevarello, P.; Tatò, M.; Veronesi, M.; Vulpetti, A.; Sundström, M. Identification of compounds with binding affinity to proteins via magnetization transfer from bulk water. J. Biomol. NMR 2000, 18, 65–68. [Google Scholar] [CrossRef] [PubMed]
- Dalvit, C.; Fogliatto, G.P.; Stewart, A.; Veronesi, M.; Stockman, B.J. WaterLOGSY as a method for primary NMR screening: Practical aspects and range of applicability. J. Biomol. NMR 2001, 21, 349–359. [Google Scholar] [CrossRef] [PubMed]
- Chen, A.; Shapiro, M.J. NOE Pumping. 2. A high-throughput method to determine compounds with binding affinity to macromolecules by NMR. J. Am. Chem. Soc. 2000, 122, 414–415. [Google Scholar] [CrossRef]
- Dalvit, C.; Fagerness, P.E.; Hadden, S.T.A.; Sarver, R.W.; Stockman, B.J. Fluorine-NMR experiments for high-throughput screening: Theoretical aspects, practical considerations, and range of applicability. J. Am. Chem. Soc. 2003, 125, 7696–7703. [Google Scholar] [CrossRef] [PubMed]
- Dalvit, C.; Flocco, M.; Stockman, B.J.; Veronesi, M. Competition binding experiments for rapidly ranking lead molecules for their binding affinity to human serum albumin. Comb. Chem. High Throughput Screen. 2002, 5, 645–650. [Google Scholar] [CrossRef] [PubMed]
- Sakuma, C.; Kurita, J.; Furihata, K.; Tashiro, M. Achievement of 1H-19F heteronuclear experiments using the conventional spectrometer with a shared single high band amplifier. Magn. Reson. Chem. 2015, 53, 327–329. [Google Scholar] [CrossRef] [PubMed]
- Diercks, T.; Ribeiro, J.P.; Canada, F.J.; Andre, S.; Jimenez-Barbero, J.; Gabius, H. Fluorinated carbohydrates as lectin ligands: Versatile sensors in 19F-Detected saturation transfer difference NMR spectroscopy. Chem. Eur. J. 2009, 15, 5666–5668. [Google Scholar] [CrossRef] [PubMed]
- Furihata, K.; Usui, M.; Tashiro, M. Application of NMR screening methods with 19F detection to fluorinated compounds bound to proteins. Magnetochemistry 2018, 4, 3. [Google Scholar] [CrossRef]
- Furihata, K.; Utsumi, H.; Kato, T.; Sakuma, C.; Tashiro, M. Application of the 19F-Waterlogsy type experiment for NMR-based screening of fluorinated compounds. Pharm. Anal. Chem. Open Access 2016, 2, 111. [Google Scholar] [CrossRef]





© 2019 by the authors. Licensee MDPI, Basel, Switzerland. This article is an open access article distributed under the terms and conditions of the Creative Commons Attribution (CC BY) license (http://creativecommons.org/licenses/by/4.0/).
Share and Cite
Furihata, K.; Tashiro, M. Sensitive Water Ligand Observed via Gradient Spectroscopy with 19F Detection for Analysis of Fluorinated Compounds Bound to Proteins. Magnetochemistry 2019, 5, 29. https://doi.org/10.3390/magnetochemistry5020029
Furihata K, Tashiro M. Sensitive Water Ligand Observed via Gradient Spectroscopy with 19F Detection for Analysis of Fluorinated Compounds Bound to Proteins. Magnetochemistry. 2019; 5(2):29. https://doi.org/10.3390/magnetochemistry5020029
Chicago/Turabian StyleFurihata, Kazuo, and Mitsuru Tashiro. 2019. "Sensitive Water Ligand Observed via Gradient Spectroscopy with 19F Detection for Analysis of Fluorinated Compounds Bound to Proteins" Magnetochemistry 5, no. 2: 29. https://doi.org/10.3390/magnetochemistry5020029
APA StyleFurihata, K., & Tashiro, M. (2019). Sensitive Water Ligand Observed via Gradient Spectroscopy with 19F Detection for Analysis of Fluorinated Compounds Bound to Proteins. Magnetochemistry, 5(2), 29. https://doi.org/10.3390/magnetochemistry5020029
