Calixarene-like Lanthanide Single-Ion Magnets Based on NdIII, GdIII, TbIII and DyIII Oxamato Complexes †
Abstract
1. Introduction
2. Experimental
2.1. Materials and Methods
2.2. Magnetic Measurements
2.3. Crystal Data Collection and Refining
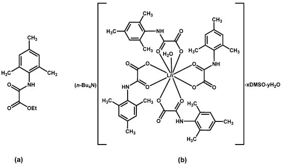
2.4. General Procedure for Synthesis of Compounds n-Bu4N[Ln(Htmpa)4(H2O)]·xDMSO·yH2O [Ln = Nd3+ (1), Gd3+ (2), Tb3+ (3) and Dy3+ (4)]
3. Results and Discussion
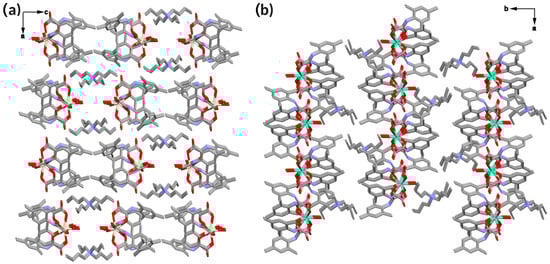
3.1. Crystal Structures
3.2. Static Magnetic Properties
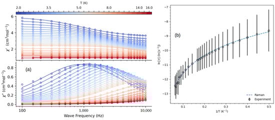
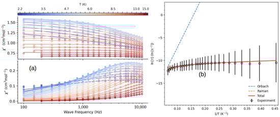
3.3. Dynamic Magnetic Properties
4. Conclusions
Supplementary Materials
Author Contributions
Funding
Data Availability Statement
Conflicts of Interest
References
- Bartolomé, E.; Arauzo, A.; Luzón, J.; Bartolomé, J.; Bartolomé, F. Magnetic Relaxation of Lanthanide-Based Molecular Magnets. In Handbook of Magnetic Materials; North-Holland: Amsterdam, The Netherlands, 2017; Volume 26, pp. 1–289. [Google Scholar] [CrossRef]
- Ferrando-Soria, J.; Vallejo, J.; Castellano, M.; Martínez-Lillo, J.; Pardo, E.; Cano, J.; Castro, I.; Lloret, F.; Ruiz-García, R.; Julve, M. Molecular Magnetism, Quo Vadis? A Historical Perspective from a Coordination Chemist Viewpoint. Coord. Chem. Rev. 2017, 339, 17–103. [Google Scholar] [CrossRef]
- Rabelo, R.; Stiriba, S.E.; Cangussu, D.; Pereira, C.L.M.; Moliner, N.; Ruiz-García, R.; Cano, J.; Faus, J.; Journaux, Y.; Julve, M. When Molecular Magnetism Meets Supramolecular Chemistry: Multifunctional and Multiresponsive Dicopper(Ii) Metallacyclophanes as Proof-of-Concept for Single-Molecule Spintronics and Quantum Computing Technologies? Magnetochemistry 2020, 6, 69. [Google Scholar] [CrossRef]
- Ishikawa, N. Simultaneous Determination of Ligand-Field Parameters of Isostructural Lanthanide Complexes by Multidimensional Optimization. J. Phys. Chem. A 2003, 107, 5831–5835. [Google Scholar] [CrossRef]
- Parmar, V.S.; Mills, D.P.; Winpenny, R.E.P. Mononuclear Dysprosium Alkoxide and Aryloxide Single-Molecule Magnets. Chem. Eur. J. 2021, 27, 7625–7645. [Google Scholar] [CrossRef]
- Blagg, R.J.; Ungur, L.; Tuna, F.; Speak, J.; Comar, P.; Collison, D.; Wernsdorfer, W.; McInnes, E.J.L.; Chibotaru, L.F.; Winpenny, R.E.P. Magnetic Relaxation Pathways in Lanthanide Single-Molecule Magnets. Nat. Chem. 2013, 5, 673–678. [Google Scholar] [CrossRef]
- Rinehart, J.D.; Long, J.R. Exploiting Single-Ion Anisotropy in the Design of f-Element Single-Molecule Magnets. Chem. Sci. 2011, 2, 2078. [Google Scholar] [CrossRef]
- Zheng, Y.Z.; Zhou, G.J.; Zheng, Z.; Winpenny, R.E.P. Molecule-Based Magnetic Coolers. Chem. Soc. Rev. 2014, 43, 1462–1475. [Google Scholar] [CrossRef]
- Bünzli, J.-C.G.; Chauvin, A.-S. Lanthanides in Solar Energy Conversion. In Handbook on the Physics and Chemistry of Rare Earths; North-Holland: Amsterdam, The Netherlands, 2014; Volume 44, pp. 169–281. [Google Scholar] [CrossRef]
- Bünzli, J.C.G. On the Design of Highly Luminescent Lanthanide Complexes. Coord. Chem. Rev. 2015, 293–294, 19–47. [Google Scholar] [CrossRef]
- Fortea-Pérez, F.R.; Vallejo, J.; Julve, M.; Lloret, F.; De Munno, G.; Armentano, D.; Pardo, E. Slow Magnetic Relaxation in a Hydrogen-Bonded 2D Array of Mononuclear Dysprosium(III) Oxamates. Inorg. Chem. 2013, 52, 4777–4779. [Google Scholar] [CrossRef]
- da Cunha, T.T.; Barbosa, V.M.M.; Oliveira, W.X.C.; Pinheiro, C.B.; Pedroso, E.F.; Nunes, W.C.; Pereira, C.L.M. Slow Magnetic Relaxation in Mononuclear Gadolinium(III) and Dysprosium(III) Oxamato Complexes. Polyhedron 2019, 169, 102–113. [Google Scholar] [CrossRef]
- Mayans, J.; Escuer, A. Correlating the Axial Zero Field Splitting with the Slow Magnetic Relaxation in GdIII SIMs. Chem. Commun. 2021, 57, 721–724. [Google Scholar] [CrossRef] [PubMed]
- da Cunha, T.T.; Barbosa, V.M.M.; Oliveira, W.X.C.; Pedroso, E.F.; García, D.M.A.; Nunes, W.C.; Pereira, C.L.M. Field-Induced Slow Magnetic Relaxation of a Six-Coordinate Mononuclear Manganese(II) and Cobalt(II) Oxamate Complexes. Inorg. Chem. 2020, 59, 12983–12987. [Google Scholar] [CrossRef] [PubMed]
- da Silveira, C.O.C.; Oliveira, W.X.C.; da Silva Júnior, E.N.; Alvarenga, M.E.; Martins, F.T.; Gatto, C.C.; Pinheiro, C.B.; Pedroso, E.F.; Silva, J.P.O.; Marques, L.F.; et al. Photoluminescence and Magnetic Properties of Isostructural Europium(III), Gadolinium(III) and Terbium(III) Oxamate-Based Coordination Polymers. Dalton Trans. 2024, 53, 14995–15009. [Google Scholar] [CrossRef] [PubMed]
- Vaz, R.C.A.; Esteves, I.O.; Oliveira, W.X.C.; Honorato, J.; Martins, F.T.; Marques, L.F.; dos Santos, G.L.; Freire, R.O.; Jesus, L.T.; Pedroso, E.F.; et al. Mononuclear Lanthanide(III)-Oxamate Complexes as New Photoluminescent Field-Induced Single-Molecule Magnets: Solid-State Photophysical and Magnetic Properties. Dalton Trans. 2020, 49, 16106–16124. [Google Scholar] [CrossRef]
- Vaz, R.C.A.; Esteves, I.O.; Oliveira, W.X.C.; Honorato, J.; Martins, F.T.; da Silva Júnior, E.N.; de C. A. Valente, D.; Cardozo, T.M.; Horta, B.A.C.; Mariano, D.L.; et al. Lanthanide(III)-Oxamato Complexes Containing Nd3+ and Ho3+: Crystal Structures, Magnetic Properties, and Ab Initio Calculations. CrystEngComm 2022, 24, 6628–6641. [Google Scholar] [CrossRef]
- Wang, J.; Jing, Y.; Cui, M.; Lu, Y.; Ouyang, Z.; Shao, C.; Wang, Z.; Song, Y. Spin Qubit in a 2D GdIII NaI -Based Oxamato Supramolecular Coordination Framework. Chem. Eur. J. 2023, 29, e202301771. [Google Scholar] [CrossRef]
- Pardo, E.; Ruiz-García, R.; Lloret, F.; Faus, J.; Julve, M.; Journaux, Y.; Delgado, F.; Ruiz-Pérez, C. Cobalt(II)-Copper(II) Bimetallic Chains as a New Class of Single-Chain Magnets. Adv. Mater. 2004, 16, 1597–1600. [Google Scholar] [CrossRef]
- Araujo Junior, C.R.; Oliveira, W.X.C.; Pinheiro, C.B.; Pedroso, E.F.; Nunes, W.C.; de Almeida, A.A.; Knobel, M.; Julve, M.; Pereira, C.L.M. Crystal Structure and Cryomagnetic Study of a Mononuclear Erbium(III) Oxamate Inclusion Complex. Acta Crystallogr. C Struct. Chem. 2024, C80, 349–356. [Google Scholar] [CrossRef]
- Macrae, C.F.; Sovago, I.; Cottrell, S.J.; Galek, P.T.A.; McCabe, P.; Pidcock, E.; Platings, M.; Shields, G.P.; Stevens, J.S.; Towler, M.; et al. Mercury 4.0: From Visualization to Analysis, Design and Prediction. J. Appl. Crystallogr. 2020, 53, 226–235. [Google Scholar] [CrossRef]
- Sheldrick, G.M. A Short History of SHELX. Acta. Crystallogr. A 2008, 64, 112–122. [Google Scholar] [CrossRef]
- Dolomanov, O.V.; Bourhis, L.J.; Gildea, R.J.; Howard, J.A.K.; Puschmann, H. OLEX2: A Complete Structure Solution, Refinement and Analysis Program. J. Appl. Crystallogr. 2009, 42, 339–341. [Google Scholar] [CrossRef]
- Rigaku, O.D. CrysAlis PRO; Rigaku Corporation: Oxford, UK, 2018. [Google Scholar]
- Palatinus, L.; Chapuis, G. SUPERFLIP—A Computer Program for the Solution of Crystal Structures by Charge Flipping in Arbitrary Dimensions. J. Appl. Crystallogr. 2007, 40, 786–790. [Google Scholar] [CrossRef]
- Sheldrick, G.M. Crystal Structure Refinement with SHELXL. Acta Crystallogr. C Struct. Chem. 2015, 71, 3–8. [Google Scholar] [CrossRef]
- Johnson, C.K. Crystallographic Computing Techniques; Ahmed, F., Hall, S.R., Huber, C.P., Eds.; Munksgaard: Copenhagen, Denmark, 1970; pp. 207–220. [Google Scholar]
- Pereira, C.L.M.; Doriguetto, A.C.; Konzen, C.; Meira-Belo, L.C.; Leitão, U.A.; Fernandes, N.G.; Mascarenhas, Y.P.; Ellena, J.; Brandl, A.L.; Knobel, M.; et al. A Crystalline Phase Transition and Optical Properties in a CoIICuII Oxamato-Bridged Ferrimagnetic Chain. Eur. J. Inorg. Chem. 2005, 2005, 5018–5025. [Google Scholar] [CrossRef]
- da Cunha, T.T.; da Silveira, C.O.C.; Barbosa, V.M.M.; Oliveira, W.X.C.; da Silva Júnior, E.N.; Ferreira, F.F.; Pedroso, E.F.; Pereira, C.L.M. Ferromagnetic Coupling in a Dicopper(II) Oxamate Complex Bridged by Carboxylate Groups. CrystEngComm 2021, 23, 1885–1897. [Google Scholar] [CrossRef]
- Lunell, M.; Casanova, D.; Cirera, J.; Alemany, P.; Alvarez, S. SHAPE, version 2.0. 2010.
- Etter, M.C. Encoding and Decoding Hydrogen-Bond Patterns of Organic Compounds. Acc. Chem. Res. 1990, 23, 120–126. [Google Scholar] [CrossRef]
- Diogo, E.B.T.; da Silva Júnior, E.N.; Oliveira, W.X.C.; Stumpf, H.O.; Fabris, F.; de Almeida, A.A.; Knobel, M.; Ferreira, F.F.; Nunes, W.C.; Pedroso, E.F.; et al. Isostructural Oxamate Complexes with Visible Luminescence (Eu3+) and Field-Induced Single-Molecule Magnet (Nd3+). Chem. Asian J. 2024, 24, e202400887. [Google Scholar] [CrossRef]
- de Oliveira Maciel, J.W.; Lemes, M.A.; Valdo, A.K.; Rabelo, R.; Martins, F.T.; Queiroz Maia, L.J.; de Santana, R.C.; Lloret, F.; Julve, M.; Cangussu, D. Europium(III), Terbium(III), and Gadolinium(III) Oxamato-Based Coordination Polymers: Visible Luminescence and Slow Magnetic Relaxation. Inorg. Chem. 2021, 60, 6176–6190. [Google Scholar] [CrossRef]
- Chilton, N.F.; Anderson, R.P.; Turner, L.D.; Soncini, A.; Murray, K.S. PHI: A Powerful New Program for the Analysis of Anisotropic Monomeric and Exchange-Coupled Polynuclear d- and f-Block Complexes. J. Comput. Chem. 2013, 34, 1164–1175. [Google Scholar] [CrossRef] [PubMed]
- Ungur, L.; Chibotaru, L.F. Computational Modelling of the Magnetic Properties of Lanthanide Compounds. In Lanthanides and Actinides in Molecular Magnetism; Wiley: Weinheim, Germany, 2015; pp. 153–184. [Google Scholar] [CrossRef]
- Chilton, N.F.; Collison, D.; McInnes, E.J.L.; Winpenny, R.E.P.; Soncini, A. An Electrostatic Model for the Determination of Magnetic Anisotropy in Dysprosium Complexes. Nat. Commun. 2013, 4, 2551. [Google Scholar] [CrossRef] [PubMed]
- Reta, D.; Chilton, N.F. Uncertainty Estimates for Magnetic Relaxation Times and Magnetic Relaxation Parameters. Phys. Chem. Chem. Phys. 2019, 21, 23567–23575. [Google Scholar] [CrossRef]
- Blackmore, W.J.A.; Gransbury, G.K.; Evans, P.; Kragskow, J.G.C.; Mills, D.P.; Chilton, N.F. Characterisation of Magnetic Relaxation on Extremely Long Timescales. Phys. Chem. Chem. Phys. 2023, 25, 16735–16744. [Google Scholar] [CrossRef]
- Cole, K.S.; Cole, R.H. Dispersion and Absorption in Dielectrics, I. Alternating Current Characteristics. J. Chem. Phys. 1941, 9, 341–351. [Google Scholar] [CrossRef]
- Hu, B.; Xi, J.; Cen, P.; Guo, Y.; Ding, Y.; Qin, Y.; Zhang, Y.-Q.; Liu, X. A Mononuclear Nine-Coordinated Dy(III) Complex Exhibiting Field-Induced Single-Ion Magnetism Behaviour. RSC Adv. 2022, 12, 13992–13998. [Google Scholar] [CrossRef]
- Wada, H.; Ooka, S.; Iwasawa, D.; Hasegawa, M.; Kajiwara, T. Slow Magnetic Relaxation of Lanthanide(III) Complexes with a Helical Ligand. Magnetochemistry 2016, 2, 43. [Google Scholar] [CrossRef]
- Wada, H.; Ooka, S.; Yamamura, T.; Kajiwara, T. Light Lanthanide Complexes with Crown Ether and Its Aza Derivative Which Show Slow Magnetic Relaxation Behaviors. Inorg. Chem. 2017, 56, 147–155. [Google Scholar] [CrossRef]
- Liddle, S.T.; Van Slageren, J. Improving F-Element Single Molecule Magnets. Chem. Soc. Rev. 2015, 44, 6655–6669. [Google Scholar] [CrossRef]
- Holmberg, R.J.; Ho, L.T.A.; Ungur, L.; Korobkov, I.; Chibotaru, L.F.; Murugesu, M. Observation of Unusual Slow-Relaxation of the Magnetisation in a Gd-EDTA Chelate. Dalton Trans. 2015, 44, 20321–20325. [Google Scholar] [CrossRef] [PubMed]
- Katoh, K.; Yasuda, N.; Damjanović, M.; Wernsdorfer, W.; Breedlove, B.K.; Yamashita, M. Manipulation of the Coordination Geometry along the C4 Rotation Axis in a Dinuclear Tb3+ Triple-Decker Complex via a Supramolecular Approach. Chem. Eur. J. 2020, 26, 4805–4815. [Google Scholar] [CrossRef] [PubMed]












| Compound | 1 | 2 | 3 | 4 |
|---|---|---|---|---|
| Formula | C60H90.8N5O15.4Nd | C66.2H106.6N5O17S3.1Gd | C65.8H104.6N5O16.5S2.9Tb | C66.2H106.6N5O17.1S3.1Dy |
| MW/g mol−1 | 1272.85 | 1502.79 | 1481.63 | 1508.04 |
| T/K | 293 | 293 | 293 | 293 |
| λ/Å | 0.71073 | 0.71073 | 0.71073 | 0.71073 |
| Crystal system | Monoclinic | Monoclinic | Monoclinic | Monoclinic |
| Space group | P2/n | P21/n | P21/n | P21/n |
| a/Å | 21.5741(6) | 15.4140(3) | 15.4180(5) | 15.4368(4) |
| b/Å | 11.9763(3) | 30.8190(8) | 30.8696(11) | 30.8542(12) |
| c/Å | 25.0931(7) | 16.1547(4) | 16.0716(5) | 16.1669(4) |
| β/° | 90.861(3) | 90.248(2) | 90.250(3) | 90.165(2) |
| V/Å3 | 6482.8(3) | 7674.1(3) | 7649.2(4) | 7700.1(4) |
| Z | 4 | 4 | 4 | 4 |
| ρ/Mg m−3 | 1.260 | 1.226 | 1.216 | 1.301 |
| μ/mm−1 | 0.862 | 0.979 | 1.038 | 1.118 |
| F(000) | 2580.0 | 2972.0 | 2936.0 | 3165.0 |
| Reflections collected | 12,320 | 14,582 | 14,533 | 88,831 |
| R a, wR b [I > 2σ(I)] | 0.0522;0.1223 | 0.0572, 0.1518 | 0.0626, 0.1616 | 0.0529, 0.1119 |
| R a, wR b (all data) | 0.0570 | 0.0839 | 0.0874 | 0.0786 |
| S c | 1.053 | 1.164 | 1.088 | 1.124 |
| ρmax and ρmin/e Å− | 0.9759/–1.3070 | 3.598/–1.417 | 3.153/–1.619 | 2.87/–1.08 |
| CCDC | 2,380,352 | 2,380,353 | 2,380,351 | 2,380,354 |
| Complex | Theory | χMT (cm3 K mol−1) Calculated | χMT (cm3 K mol−1) Experimental | Fitting Parameters | ΔE 1 (cm−1) | |||||||
|---|---|---|---|---|---|---|---|---|---|---|---|---|
| g | S | L | J | Free Ion Term | λ (cm−1) | Δ (cm−1) | g | zJ (cm−1) | ||||
| 1 | 8/11 | 3/2 | 6 | 9/2 | 4I9/2 | 1.64 | 1.53 | +258.94 | +55.45 | 1639 | ||
| 2 | 2 | 7/2 | 0 | 7/2 | 8S7/2 | 7.88 | 7.20 | 2.0 | −0.01 | |||
| 3 | 3/2 | 3 | 3 | 6 | 7F6 | 11.82 | 11.65 | −387.29 | −48.64 | −0.02 | 1936 | |
| 4 | 4/3 | 5/2 | 5 | 15/2 | 6H15/2 | 14.17 | 14.16 | |||||
| Compound | Ln···Ln a (Å) | Ln | CN b | Sym. c | HDC (kOe) | Ueff/kB (K) | τ0 (s) | τQTM (s) | C (s−1 K−1) | n | A (s−1 K−n) | Process | Ref. |
|---|---|---|---|---|---|---|---|---|---|---|---|---|---|
| 1 | 11.466 | Nd | 9 | Cs | 1.0 | 34(2) | 8.0(9) × 10−8 | 4.87(3) | 5.6(2) | Orbach + Raman | This work | ||
| 2 | 11.158 | Gd | 9 | C4v | 1.0 | 1746(12) | 1.80(2) | Bottleneck | This work | ||||
| 3 | 11.128 | Tb | 9 | C4v | 5.0 | 21(5) × 10 | 1.2(5) × 10−11 | 889(3) × 10 | Orbach + Raman + Direct | This work | |||
| 4 | 11.179 | Dy | 9 | C4v | 0 | 6.6(2) × 10−5 | 520(32) | 2.5(3) | Raman + QTM | This work | |||
| 1.0 | 9.06(7) × 10−3 | 3.2(3) × 10−4 | 9.0(3) | Raman + QTM | This work | ||||||||
| n-Bu4N[Nd(L1)4(DMSO)]2·3H2O | 11.169 | Nd | 9 | D3h | 1.0 | 16.7(5) d | 1(3) × 10−4 | 0.005(4) | 4.7(2) | Orbach + Raman | [19] | ||
| n-Bu4N[Nd(L2)4(DMSO)]2·2H2O | 11.228 | Nd | 9 | D3h | 1.0 | 4.9(1) d | 9.5(7) × 10−4 | 0.03(4) | 11(1) | Orbach + Raman | [19] | ||
| [Nd(L3)3(DMSO)2]n | 8.8709(3) | Nd | 9 | C4v | 1.0 | 42.7(2) | 2.3(1) × 10−8 | 26.7(1) | 3.9(1) | Orbach + Raman | [34] | ||
| Na[Gd(L4)4(H2O)]2·2H2O | 7.3014(7) | Gd | 9 | C4v | 1.0 | 13(1) | 6.1 × 10−6 | 2(1) × 10−5 | 3 | 2.9(1) | Direct + Raman | [14] | |
| n-Bu4N[Gd(L1)4(DMSO)]2·2H2O | 11.0272(6) | Gd | 9 | D3h | 1.0 | 4.5(5) × 103 | 1.6(1) | Bottleneck | [18] | ||||
| n-Bu4N[Gd(L2)4(DMSO)]2·3H2O | 10.6005(7) | Gd | 9 | D3h | 1.0 | 1.1(1) × 103 | 1.8(1) | Bottleneck | [18] | ||||
| {Gd2(L5)3(H2O)5·H2O}n | 10.163(3) | Gd | 8 | Td | 1.0 | 3.27 d | 5.4 × 10−6 | Orbach | [35] | ||||
| [Gd(L6)3(DMSO)2]n·nH2O | 6.702 | Gd | 9 | C4v | 1.0 | 1.9(2) | 125.89 | Bottleneck | [17] | ||||
| 6.702 | Gd | 9 | C4v | 2.5 | 2.1(1) | 39.81 | Bottleneck | [17] | |||||
| Me4N[Dy(L7)4]2CH3CN | 9.032(1) | Dy | 8 | D2d | 1.0 | 93.66 d | 2.88(8) × 10−10 | Orbach | [13] | ||||
| Na[Dy(L4)4(H2O)]2·2H2O | 7.2881(4) | Dy | 9 | C4v | 1.0 | 16(1) | 1.4(9) × 10−8 | 2(5) | 9 | Orbach + Raman | [14] | ||
| n-Bu4N[Tb(L1)4(DMSO)]2·2H2O | 10.9998(5) | Tb | 9 | D3h | 2.0 | 2.04 × 10−4 | 20(6) | 3.5(2) | Raman + QTM | [18] | |||
| n-Bu4N[Tb(L2)4(DMSO)]2·3H2O | 10.6121(2) | Tb | 9 | D3h | 1.0 | 6.6(9) | 3.8(2) | 13.7(3) × 101 | Raman + direct | [18] |
Disclaimer/Publisher’s Note: The statements, opinions and data contained in all publications are solely those of the individual author(s) and contributor(s) and not of MDPI and/or the editor(s). MDPI and/or the editor(s) disclaim responsibility for any injury to people or property resulting from any ideas, methods, instructions or products referred to in the content. |
© 2024 by the authors. Licensee MDPI, Basel, Switzerland. This article is an open access article distributed under the terms and conditions of the Creative Commons Attribution (CC BY) license (https://creativecommons.org/licenses/by/4.0/).
Share and Cite
da Cunha, T.T.; Honorato de Araujo-Neto, J.; Alvarenga, M.E.; Martins, F.T.; Pedroso, E.F.; Mariano, D.L.; Nunes, W.C.; Moliner, N.; Lloret, F.; Julve, M.; et al. Calixarene-like Lanthanide Single-Ion Magnets Based on NdIII, GdIII, TbIII and DyIII Oxamato Complexes. Magnetochemistry 2024, 10, 103. https://doi.org/10.3390/magnetochemistry10120103
da Cunha TT, Honorato de Araujo-Neto J, Alvarenga ME, Martins FT, Pedroso EF, Mariano DL, Nunes WC, Moliner N, Lloret F, Julve M, et al. Calixarene-like Lanthanide Single-Ion Magnets Based on NdIII, GdIII, TbIII and DyIII Oxamato Complexes. Magnetochemistry. 2024; 10(12):103. https://doi.org/10.3390/magnetochemistry10120103
Chicago/Turabian Styleda Cunha, Tamyris T., João Honorato de Araujo-Neto, Meiry E. Alvarenga, Felipe Terra Martins, Emerson F. Pedroso, Davor L. Mariano, Wallace C. Nunes, Nicolás Moliner, Francesc Lloret, Miguel Julve, and et al. 2024. "Calixarene-like Lanthanide Single-Ion Magnets Based on NdIII, GdIII, TbIII and DyIII Oxamato Complexes" Magnetochemistry 10, no. 12: 103. https://doi.org/10.3390/magnetochemistry10120103
APA Styleda Cunha, T. T., Honorato de Araujo-Neto, J., Alvarenga, M. E., Martins, F. T., Pedroso, E. F., Mariano, D. L., Nunes, W. C., Moliner, N., Lloret, F., Julve, M., & Pereira, C. L. M. (2024). Calixarene-like Lanthanide Single-Ion Magnets Based on NdIII, GdIII, TbIII and DyIII Oxamato Complexes. Magnetochemistry, 10(12), 103. https://doi.org/10.3390/magnetochemistry10120103

