Next Article in Journal
Combined Use of TiO2 Nanoparticles and Biochar Produced from Moss (Leucobryum glaucum (Hedw.) Ångstr.) Biomass for Chinese Spinach (Amaranthus dubius L.) Cultivation under Saline Stress
Previous Article in Journal
Analysis of the Aroma Volatile Profile of Muscadine Grape Germplasm by Headspace Solid-Phase Microextraction Coupled with Gas Chromatography-Mass Spectrometry
Previous Article in Special Issue
Vernonia amygdalina Leaf Extract Loaded Electrosprayed Particles for Inhibiting Phytophthora spp. Causing Citrus Root Rot
 
 
Font Type:
Arial Georgia Verdana
Font Size:
Aa Aa Aa
Line Spacing:
Column Width:
Background:
Article

BAP (6-Benzylaminopurine) Seed-Priming Enhanced Growth, Antioxidant Accumulation and Anthocyanin Metabolism in Olive Sprouts

1
Department of Clinical Laboratory Sciences, College of Applied Medical Sciences, Jouf University, Sakaka 72388, Saudi Arabia
2
Olive Research Center, Jouf University, Sakaka 72388, Saudi Arabia
3
Higher Institute of Preparatory Studies in Biology and Geology, University of Carthage, Tunis 1073, Tunisia
4
Laboratory of Engineering Processes and Industrial Systems, Chemical Engineering Department, National School of Engineers of Gabes, University of Gabes, Gabes 6029, Tunisia
5
Department of Chemistry, College of Science, Jouf University, Sakaka 72388, Saudi Arabia
6
Department of Pharmaceutical Chemistry, College of Pharmacy, Jouf University, Sakaka 72388, Saudi Arabia
7
Department of Biology, College of Science, Jouf University, Sakaka 72388, Saudi Arabia
8
Department of Clinical Microbiology and Immunology, Faculty of Medicine, King Abdulaziz University, Jeddah 25729, Saudi Arabia
9
Department of Hematology and Oncology, Yousef Abdulatif Jameel Scientific Chair of Prophetic Medicine Application, Faculty of Medicine, King Abdulaziz University, Jeddah 25729, Saudi Arabia
10
Department of Pharmacology, College of Pharmacy, Jouf University, Sakaka 72388, Saudi Arabia
11
Department of Clinical Laboratory Sciences, College of Applied Medical Sciences at Al-Quriat, Jouf University, Al Qurayyat 77425, Saudi Arabia
12
Department of Botany and Microbiology, Faculty of Science, Beni-Suef University, Beni-Suef 62521, Egypt
*
Authors to whom correspondence should be addressed.
Horticulturae 2023, 9(9), 1055; https://doi.org/10.3390/horticulturae9091055
Submission received: 4 August 2023 / Revised: 13 September 2023 / Accepted: 13 September 2023 / Published: 20 September 2023

Abstract

:
Given the importance of olive sprouts, it is crucial to explore their potential as an innovative source of bioactive and nutritive compounds through research. Here, we aimed at investigating the potential role of benzylaminopurine (BAP) in improving the tissue chemical composition and bioactivity of olive sprouts. To this end, seeds of two olive varieties (Olea europaea L. vr. Kroniaki and Coratina) were primed with BAP at 25 µM. A substantial enhancement was observed in biomass accumulation by 35% and 30% in Kroniaki and Coratina varieties, respectively. Likewise, the photosynthetic pigments (total chlorophyll, α- and β-carotene, lutein and β-cryptoxanthin) in both varieties were increased, mainly in Coratina. At primary metabolic level, BAP priming improved sprout lipid composition, particularly in Coratina variety. At antioxidant level, BAP priming improved lipid antioxidants (α-, β- and γ-tocopherols) and water-soluble antioxidants (phenols, flavonoids, ascorbate, glutathione and anthocyanins) in both olive varieties. At the anthocyanins level, their precursors (phenylalanine, cinnamic acid, coumaric acid and naringenin) and key biosynthetic enzyme activity (phenylalanine ammonia-lyase (PAL), chalcone synthase (CHS), coenzyme A ligase (4CL) and cinnamate 4-hydroxylase (C4H)) were improved in olive varieties, but to a greater extent in Coratina variety. Overall, the sprouts of BAP-primed olive seeds could potentially enhance their nutritional value, suggesting that the sprouts of BAP-primed olive seeds can be used as a food ingredient and additives.

1. Introduction

Olive (Olea europeae) is an evergreen tree or shrub native to Mediterranean Europe, Asia and Africa from ancient times. Olive is adapted to a wide agroecological zone, but nowadays there is increased degradation of olive groves [1]. The seeds of olives are a by-product of the pitted table olive industry [2]. To improve seed oil [3], several uses for this by-product have been researched, including fractionation, combustion, production of activated carbon, furfural, bio-oil, and resins, and extraction of phenolics and other phytochemicals [2]. Moreover, several studies have shown that sprouting seeds of several herbaceous species considerably improves their phytochemical content when compared to seeds. For example, sprouts are rich in bioactive compounds [4], thus they are considered a good source of minerals, vitamins, unsaturated fatty acids, antioxidants, essential amino acids and other nutrients that promote their biological function.
Other than the seed coat, endosperm and embryo itself, the stony endocarp of seeds is the major barrier to olive seed germination [1]. In this context, the endocarp and endosperm are responsible for 56% and 28% of the dormancy of olive seeds, respectively. In actuality, dormancy affects olive seeds and must be broken with specialized methods such as chemical scarification [5] or cold stratification [6]. To overcome physical barriers of seed dormancy and improve seed germination, seed priming is widely used. In this context, numerous priming techniques have successfully [7] improved seed germination and emergence of seedlings. Seed priming has been shown to induce biochemical changes in seeds, leading to improved germination rates, faster and more uniform emergence, and enhanced seedling vigor crops [8]. Priming can not only improve the seed germination, but it can also increase seedling quality and accumulation of bioactive metabolites [9]. Some of the common compounds used for seed priming include plant hormones (such as gibberellic acid or cytokinins), antioxidants, osmoprotectants (such as polyethylene glycol or mannitol) and beneficial microorganisms. For instance, priming of seeds with hormones such as 6-benzylaminopurine (BAP) can facilitate the processes of seed germination and seedling emergence [10]. It improved minerals and bioactive secondary metabolite accumulation [10]. Thus, olive sprouts can also be utilized as additives in various food products. They can be processed into powders, extracts or oils to impart their flavor and nutritional benefits to a wide range of food items.
While there are numerous studies available on the application of BAP to enhance plant bioactivity, as far as we know, the impact of BAP on enhancing the sprouting of olive seeds and the accumulation of bioactive metabolites has not been investigated yet. Only a few studies have shown that BAP priming improved sprouting and significantly enhanced the phytochemical content compared to their seeds. Hence, the aim of this work was to study the effect of hormonal (BAP) priming on enhancing the sprouting process by inducing accumulation of bioactive compounds in spouts of two olive varieties: Kroniaki and Coratina. Coratina is characterized by early production and its adaptability to different soils and climates. It is primarily used for olive oil production and is known for its robust flavor profile, as well as its high oil and polyphenol content [11]. Kroniaki is also known for high oil production and is rich in bioactive compounds such as polyphenols, terpenic acids and unsaturated fatty acids [12]. Thus, olive sprouts could be exploited more readily for food supplementation and pharmaceutics. We hypothesize that BAP will not only improve olive sprout growth, but will also improve its nutritive and health-promoting values of olive sprouts from two olive varieties. Moreover, our study introduces the sprouts of BAP-primed olive seeds as a food ingredient and additive.

2. Materials and Methods

2.1. Sprout Production

After collecting olive seeds of Kroniaki and Coratina varieties from whole stones, seeds were sterilized with sodium hypochlorite (2.7%) for 4 min. Then, seeds were treated for 30 days for stratification in the dark (at 15 °C) in plastic trays. The trays contained sterile peat wetted with distilled water and were moved to a growth cabinet under controlled conditions (21/18 °C over a 16/8 h day/night photoperiod, 150 µmol PAR m−2 s−1, with 60% humidity). BAP priming at a concentration of 25 µM was applied to seeds for 8 h [13,14]. Control seeds were hydro primed for 8 h. The BAP concentration of 25 μM was selected by preliminary sprouting experiments, where various concentrations (ranging from 0 to 50 μM) were assessed for their effects on the growth (fresh weight) and total antioxidant capacity (evaluated using the ferric reducing antioxidant power (FRAP) assay) of olive sprouts. The sprouts of olive seed primed with 25 μM BAP showed the highest growth and antioxidant capacity, therefore, it was selected. During seed germination, plants were watered twice per week and Hoagland nutrient solution was provided at the commencement of the experiment. After 10 days of germination, the fresh weight of the olive sprouts was measured and then sprout tissues were stored (−80 °C) for biochemical analyses. For each measurement, we utilized 6 biological replicates, with each replicate consisting of 15 sprouts.

2.2. Analysis of Pigment Profile

For pigment analysis, about 200 mg of fresh olive sprouts was ground in liquid nitrogen and homogenized for 30 s in 5 mL of 95.5% acetone using MagNALyser (Roche, Vilvoorde, Belgium) for 1 min, 7000 rpm. After homogenization and centrifugation for 20 min (14,000× g, 4 °C) [15], the sample’s clear supernatant was filtered through an Acrodisc GHP filter with a 0.45 m pore size. With the help of high-performance liquid chromatography (HPLC, Shimadzu SIL10-ADVP), reversed phase at 4 °C, pigments such as chlorophylls, α-carotene, β-carotene, lutein and β-cryptoxanthin were analyzed. The pigments were fractionated on a silica-based C18 column. The mobile phase consisted of a mixture of acetonitrile, methanol and water (81:9:10, solvent A), along with methanol and ethyl acetate (68:32, solvent B). The mobile phase was injected at the rate of 1.0 mL/min at room temperature. Subsequently, pigments were identified with the assistance of a diode array detector, and Shimadzu Lab Solutions Lite software (Shimadzu UV-1800 series, software UV probe version 2.42, Tokyo, Japan) was employed for quantifying pigment concentrations.

2.3. Determination of Fatty Acid Levels

Fatty acid levels in olive sprouts were quantified by GC/MS (MSD 5975-mass spectrometer) [16]. Methanol (100%) was applied to extract fatty acids from 250 mg of fresh olive sprouts at 24 °C. The internal standards (nonadecanoic acids) were added during extractions. GC-MS analysis was conducted using a Hewlett Packard 6890 coupled with an MSD 5975. Fatty acids were separated on an HP-5 MS column with a length of 30 m, an internal diameter of 0.32 mm and a film thickness of 0.25 μm. To identify the fatty acids, both the NIST 05 database and the Golm Metabolome Database, accessible at http://gmd.mpimp-golm.mpg.de (accessed on 5 March 2023), were employed. The concentration of each molecule was calculated by comparing the peak area of each chemical to a calibration curve of the pertinent standard.

2.4. Quantification of Lipid Antioxidant Metabolites

Tocopherols were quantified by using HPLC (normal phase conditions, Particle Pac 5 µm column material) [17]. Tocopherols were extracted from 0.2 g of fresh sprouts using 5 mL of hexane, followed by centrifugation at 13,500× g for 27 min. The resulting extracts were then dehydrated using a CentriVap concentrator (Labconco in Kansas, MO, USA), and subsequently reconstituted in hexane. The quantification of tocopherols was performed through HPLC using a Shimadzu instrument located in Hertogenbosch, The Netherlands, under normal phase conditions. Separation was achieved using a Particle Pac 5 mm column with dimensions of 220 mm in length and 4.5 mm in inner diameter. Dimethyl tocol (DMT) was employed as an internal standard at 5 ppm.

2.5. Quantification of Water-Soluble Antioxidant Metabolites

The total phenols and flavonoids were also extracted from 100 mg of fresh sprouts in 80% ethanol to assess their total concentration. The Folin–Ciocalteu assay and Al (III)-flavonoid complex colorimetric method were used to quantify the phenolic content and flavonoid content, respectively. Gallic acid was employed as a standard for quantifying total phenolic content, and the results were reported as μmol GAE/g FW. As for flavonoids, the color produced was measured at 417 nm, and the findings were expressed as μmol QE/g FW.
For ascorbic acid (ASC) and glutathione (GSH) measurements, fresh sprouts were extracted in meta-phosphoric acid (6%, w/v). These antioxidants were measured by a reversed phase of HPLC analysis (Shimadzu, Hertogenbosch, The Netherlands) after separation on a C18-A column (Polaris C18-A 100 mm length × 4.6 mm internal diameter) using diode array detector (DAD) [18]. The components were quantified utilizing a bespoke electrochemical detector and the total GSH and ASC measured after reduction with dithiothreitol (0.04 M).

2.6. Determination of Anthocyanin Content, Percussors and the Activity of Related Biosynthetic Enzymes

Anthocyanins were obtained through extraction using methanol:HCl in a 99:1 (v/v). Following this, the homogenate of fresh sprouts was placed in darkness and incubated at 24 °C for 22 h, after which it underwent centrifugation at 3500× g for 15 min. To determine the anthocyanin content of the extract, its absorbance at 545 nm was measured, and the [19] phenylalanine ammonia-lyase (PAL) extraction was performed [19]. Sample preparation involved grinding one gram of fresh sprout tissue with a pestle and mortar using liquid N, followed by the addition of 12 mL of acetone. This mixture was then placed at −20 °C for 12 min, filtered, washed twice with cold acetone, and dried at 24 °C. The activity of PAL was monitored by measuring the absorbance of trans-cinnamic acid at 290 nm. To assay 4-coumarate: coenzyme A ligase (4CL) activity, the increase in coumarate was measured at 333 nm. Fresh samples were extracted in Tris-HCL buffer (pH = 8.9), and the activity was monitored by measuring the absorbance of the product, 4-hydroxy-trans-cinnamic acid. Protein content was determined using the Folin–Lowry method, where 0.2 g of frozen olive sprouts was homogenized in a chloroform/methanol (2:1, v/v) solution and centrifuged at 3000× g for 15 min to measure the total protein content [19].

2.7. Total Antioxidant Capacity

The total antioxidant capacity was extracted from 100 mg olive sprouts in 80% ethanol solution by shaking. After centrifugation (14,000× g, 4 ºC, 25 min). The total antioxidant capacity was performed by using FRAP assay using reaction buffer containing 0.3 M acetate buffer (pH 3.6), 0.01 mM TPTZ in HCl (0.04 mM) and 0.02 M FeCl3. Trolox was applied as a standard [20,21]. The values were expressed as μmol Trolox equivalents/g of plant extract using the standard curve established previously. Extract supernatants were also mixed with DPPH reagent to measure total antioxidant capacity as DPPH at 517 nm using the spectrometric method [22].

2.8. Statistical Analyses

One-way analysis (ANOVA) was carried out using SPSS v25.0 (SPSS, Inc., Chicago, IL, USA). Tukey’s test (p < 0.05) was used. Data normality was checked by using Levene’s test. Data were also checked by a Bartlett’s test for equal variances. Six biological replicates (n = 6) were conducted.

3. Results

3.1. BAP Improved Biomass Accumulation in Kroniaki and Coratina Varieties

The effect of BAP treatment on the biomass accumulation of Kroniaki variety and Coratina variety sprouts (Figure 1). The fresh (FW) and dry weight (DW) of sprouts were significantly increased by BAP priming. The highest increase was recorded for the sprouts of BAP-primed seeds of Kroniaki variety (35%) as compared to the sprouts of BAP-primed olive seeds of Coratina variety (30%). Overall, this indicated that BAP priming equally increased the growth of the two sprout varieties.

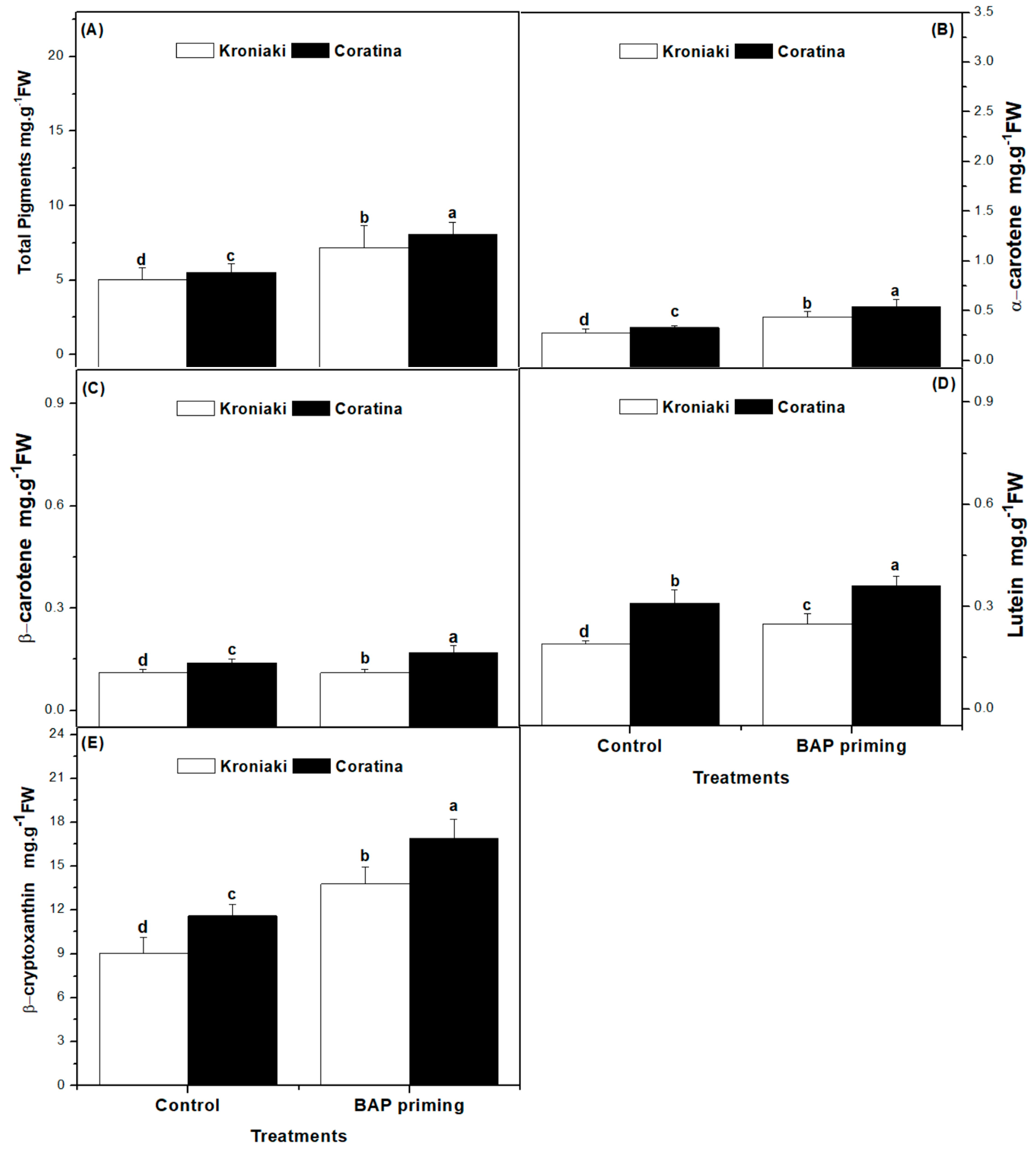
3.2. BAP Differentially Increased the Photosynthetic Pigments in Kroniaki and Coratina Varieties

Depending on olive varieties, differential increases in the pigment’s levels were observed (Figure 2). There were significant (p < 0.05) increases in total chlorophyll, α- and β-carotene, lutein and β-cryptoxanthin by 33%, 33%, 26%, 35% and 36%, respectively, in the sprouts of BAP-primed olive seeds of Coratina variety, which exhibited significant increases in pigment levels but to less extent as compared to the sprouts of BAP-primed olive seeds of Kroniaki variety.

3.3. BAP Increased Fatty Acids and Lipid Antioxidant Accumulation in Kroniaki and Coratina Varieties

Saturated and unsaturated fatty acid compositions of the sprouts of BAP-primed olive seeds were investigated (Table 1). The obtained results showed that Coratina variety showed higher fatty acid levels than Kroniaki variety under both control and BAP treatment conditions. When exposed to BAP priming, fatty acid levels exhibited distinct behavior. Compared to the control, the BAP priming treatment resulted in a significant increase in saturated fatty acids (stearic (C18:0), arachidic (C20:0), docosanoic (C22:0), tricosanoic (C23:0), pentacosanoic (C25:0)) and unsaturated fatty acids (palmitoleic (C16:1), heptadecenoic (C17:1), oleic (C18:1) and linoleic (C18:2)) in the sprouts of the varieties. On the other hand, a significant decrease in arachidic acid (C20:0) and eicosenoic (C20:1) was observed in the sprouts of BAP-primed olive seeds of the two olive varieties (Table 1).
The lipid antioxidants (tocopherols) contribute to preventing lipid oxidation by scavenging free radicals and interacting with singlet oxygen. BAP priming also significantly increased the content of individual α-, β-, γ- as well as the total tocopherol content in sprouts of both olive varieties (Table 2). The highest increase was recorded for Coratina variety by 33%, 32%, 16% and 33% in α-, β-, γ- and total tocopherol levels compared to control, respectively. Similarly, the sprouts of BAP-primed olive seeds of Kroniaki variety exhibited significant increases in tocopherol levels but to less extent than the Coratina variety.

3.4. The Sprouts of BAP-Primed Olive Seeds Accumulated High Level of Water-Soluble Antioxidants

A plant extracts as an antioxidant are significantly reflected by the levels of water-soluble phenolics and flavonoids. The current findings showed that phenolic components in sprouts of both olive varieties were altered in the sprouts of BAP-primed olive seeds (Figure 3). It significantly (p < 0.05) increased total phenolic and flavonoid contents. For instance, total phenolic and flavonoid contents were increased in the sprouts of Kroniaki variety by 31% and 35%, respectively. Additionally, a significant (p < 0.05) increase in the total phenolic and flavonoid contents was observed in Coratina variety, where they were increased by about 32% and 31%, respectively (Figure 3).
Similar to the increases in phenolic and flavonoid levels, ASC and GSH accumulations were also observed. Likewise, a significant increase in total ASC and GSH was recorded in both varieties of olive sprouts (p < 0.05) (Figure 4). This indicated that BAP priming improved the redox status in the sprouts of both olive varieties.

3.5. Anthocyanin Metabolism Induction in the Sprouts of BAP-Primed Olive Seeds

Anthocyanins are well known as antioxidants and nutritive metabolites. BAP priming significantly improved anthocyanin accumulation in the sprouts of both olive varieties, but to a greater extent in the Coratina variety (Table 3). BAP priming treatments led to increased levels of anthocyanin biosynthetic precursors (phenylalanine, coumaric, cinnamic acid and naringenin). At anthocyanin metabolism, the anthocyanin percussor (L-phenylalanine) levels were significantly increased (p < 0.05) in the sprouts of both olive varieties. Phenylalanine increased in the sprouts of BAP-primed olive seeds of both olive varieties by 88% in Kroniaki variety and by 52% in Coratina variety compared to control (Table 3). Cinnamic acid was considerably (p < 0.05) greater in the sprouts of BAP-primed olive seeds of Kroniaki variety and Coratina variety (Table 3). Regarding biosynthetic enzymes, we also measured the enzymatic activities that are involved in anthocyanin biosynthesis to better explain these results. PAL enzyme activity was significantly (p < 0.05) increased in sprouts of both olive varieties after BAP priming treatment. However, this effect of BAP priming on PAL enzyme had a substantial (p < 0.05) impact on the Coratina variety. Sprouts of both olive varieties showed considerable (p < 0.05) increase in the 4CL enzymatic activity. On the other hand, the sprouts of BAP-primed olive seeds of Coratina variety showed a significant (p < 0.05) increase in C4H enzymatic activity.

3.6. BAP Priming Effect on Antioxidant Capacity of Olive Sprouts

The current investigation also revealed considerable increases in the total antioxidant capacities of olive sprouts, as indicated by DPPH and FRAP scavenging potentials (Figure 5). BAP priming enhanced FRAP (35%, 30% in Kroniaki and Coratina, respectively) and DPPH (38%, 42% in Kroniaki and Coratina, respectively) radical scavenging activities as compared to control.

4. Discussion

4.1. BAP Priming Improved Sprouting Growth

Seed priming triggered the growth and activation of metabolic processes inherent to seeds. For instance, it enhanced seed germination, improved seedling vigor and provided better protection against environmental stresses [8]. Seeds priming with phytohormones is a widely practiced technique employed to improve seed germination and metabolic processes. In this regard, BAP is a synthetic cytokinin plant growth regulator commonly used in plant tissue culture and some agricultural practices. Here, BAP priming improved biomass accumulation in olive sprouts. In line with our results, seed priming with BAP improved seed germination [8] and growth parameters of linseed sprouts [20]. According to our results, BAP priming-induced growth improvement was dependent on olive variety. For instance, compared to Coratina variety, Kroniaki variety showed higher biomass accumulation. In this regard, research studies on Medicago sprouts showed variations in emergence and growth among different plant varieties [21]. Furthermore, increased leaf pigments can explain the improvement in growth metrics of the sprouts of BAP-primed olive seeds. Here, the BAP priming improved the total chlorophyll as well as carotenoids, including α-carotene and β-carotene and xanthophyll, like lutein and β-cryptoxanthin. Similar to BAP treatment, cytokinin application improved photosynthetic pigments [22,23]. Furthermore, it is widely recognized that the external application of BAP elevates cytokinin levels, subsequently fostering germination [24,25].

4.2. BAP Priming Improved the Nutritional Values of Olive Sprouts

The subsequent mobilization of the major seed storage reserves is associated with improved sprout germination [24]. Therefore, it is important to delve into the underlying biochemical bases that drive these processes, including the activation of metabolic activities [25]. In this context, it is worth noting that the metabolic processes, such as bioactive metabolite accumulation induced by BAP, may have a direct correlation with the enhancement of the nutritive values of olive sprouts. In the present investigation, BAP priming improved the accumulation of primary and secondary metabolites and induced the antioxidant activity of olive variety sprouts. As the primary metabolites, olive oils encompass increased levels of several unsaturated fatty acids, which indicates enhanced biological benefits. This qualitative pattern showed resemblance with that found in olive seeds [8]. It is also likely that hormones boosted overall capacity of the cells for biosynthesis of active primary metabolites [26]. BAP priming enhanced the accumulation of six fatty acids in the sprouts of both olive varieties. Interestingly, oleic acid is the primary monounsaturated fatty acid generated and exported by plastids, the predominance of oleic acid in the sprouts of both olive varieties [27,28]. Additionally, our findings demonstrated that BAP priming increased the production of linolenic acid. The increased oleic acid concentration in sprouts as a result of BAP priming suggested an increase in diene and triene fatty acid biosynthesis [29]. This was most likely caused by cytokinin’s capacity to promote photosynthesis-induced primary metabolism [30].
Olive oil is more resistant to heat oxidation during frying in addition to having antioxidant potential in biological systems [31]. For instance, oil rich in vitamin E, a fat-soluble vitamin, supra-nutritional vitamin E levels have been shown to have positive benefits on conditions like Alzheimer’s, Parkinson’s, cancer and chronic inflammation [8]. Thus, increased tocopherol levels suggest a high biological activity [31,32]. Among tocopherols, α-tocopherol is the most prevalent vitamin [33]. It has an antioxidant role that protects cell membranes from lipid peroxidation and scavenges reactive oxygen species, protecting tissues from oxidative damage as a result. In our study, α- and γ-tocopherols were the most prevalent tocopherols in olive sprouts. BAP priming enhanced the accumulation of total tocopherol, mainly in Coratina variety, and improved the α-, β-, and γ-tocopherol forms in both olive varieties. Similar results were observed, and this variation in the content of specific α, β, and γ-tocopherols was also found to be dependent on the type of sprouts studied [34].
In addition, aside from the bioactive functions of lipid antioxidant tocopherols, the notably high levels of carotenoid and xanthophyll pigments (water-soluble antioxidants) also indicate an enhanced biological value of the sprouts of BAP-primed olive seeds. Therefore, we considered their potential roles in disease prevention, as assessed in previous studies [33]. For instance, lutein has potent anti-inflammatory and antioxidant effects and is highly effective against liver tumors [35]. As water-soluble antioxidants, the total phenol and flavonoid contents were improved by BAP priming in both varieties. In the previous study by Okla et al. [36], BAP priming increased the accumulation of water-soluble antioxidants [37]. Increased levels of such antioxidant metabolites (phenolic, flavonoids, ASC, GSH, anthocyanin) can significantly help in free radical scavenging.
It is important to note that the specific effects of seed priming on secondary metabolites and the overall nutritive value of olive sprouts can vary depending on various factors, including the plant varieties [26]. In this context, flavonoids and ASC concentration increased to a greater extent in the Coratina variety compared to the Kroniaki variety. Furthermore, the heightened antioxidant activity observed in the Kroniaki variety appeared to be attributed to the accumulation of anthocyanins in response to BAP priming. On the other hand, Coratina variety of sprouts showed the greatest increase in anthocyanin content, indicating that BAP was a positive regulator of the pathway involved in producing anthocyanins. Regarding anthocyanin synthesis in sprouts, it depends on the specific plant species and cultivar, while some sprouts exhibit anthocyanin synthesis, such as broccoli sprouts or cabbage sprouts. Moreover, it is important to note that the anthocyanin content in sprouts can vary based on growing conditions, harvest time, and plant genetics. These factors are mediated via a variety of regulatory elements that function at the transcriptional level [38]. Numerous plants, including the carrot, artichoke, Haplopappus gracilis, garden balsam, rose and grape, have shown that BAP stimulates the accumulation of anthocyanins [39]. Hence, BAP-induced stimulation of anthocyanin biosynthesis could serve as a valuable tool in exploring the cytokinin action mechanism. This is facilitated by the extensive knowledge available regarding the molecular biology and genetics associated with anthocyanin biosynthesis [40]. Overall, when seeds germinate, they undergo biochemical changes that result in increased nutrient content compared to the mature plant. Therefore, sprouts are considered a nutrient-dense food and can be a valuable addition to a healthy diet.

5. Conclusions

Olive sprouts can be used as ingredients in various food products. When they are used as ingredients, they contribute to the overall nutritional composition. BAP priming further improved the nutritive value of olive sprouts. BAP priming increased lipid- and water-soluble antioxidants and stimulated anthocyanin biosynthesis. This influence of BAP priming displayed unique responses depending on the variety. The elevated levels of these bioactive compounds may hold potential benefits in the prevention of various human diseases.

Author Contributions

Conceptualization, S.S., M.A., M.M.A.-S., T.S.A., M.S.A., S.K.A.J., S.H., M.W., H.A. and A.Z.; methodology, S.S., M.A., M.M.A.-S., T.S.A., M.S.A., S.K.A.J., S.H., M.W., H.A. and A.Z.; software S.S., M.A., M.M.A.-S., T.S.A., M.S.A., S.K.A.J., S.H., M.W., H.A. and A.Z.; validation, S.S., M.A., M.M.A.-S., T.S.A., M.S.A., S.K.A.J., S.H., M.W., H.A. and A.Z.; formal analysis, S.S., M.A., M.M.A.-S., T.S.A., M.S.A., S.K.A.J., S.H., M.W., H.A. and A.Z.; investigation, S.S., M.A., M.M.A.-S., T.S.A., M.S.A., S.K.A.J., S.H., M.W., H.A. and A.Z.; resources, S.S., M.A., M.M.A.-S., T.S.A., M.S.A., S.K.A.J., S.H., M.W., H.A. and A.Z.; data curation, S.S., M.A., M.M.A.-S., T.S.A., M.S.A., S.K.A.J., S.H., M.W., H.A. and A.Z.; writing—original draft preparation, S.S., M.A., M.M.A.-S., T.S.A., M.S.A., S.K.A.J., S.H., M.W., H.A. and A.Z.; writing—review and editing, S.S., M.A., M.M.A.-S., T.S.A., M.S.A., S.K.A.J., S.H., M.W., H.A. and A.Z.; visualization, S.S., M.A., M.M.A.-S., T.S.A., M.S.A., S.K.A.J., S.H., M.W., H.A. and A.Z.; supervision, S.S.; project administration, S.S.; funding acquisition, S.S., M.A., M.M.A.-S., T.S.A., M.S.A., S.K.A.J., S.H., M.W. and H.A. All authors have read and agreed to the published version of the manuscript.

Funding

This work was funded by the Deanship of Scientific Research in cooperation with Olive Research Center at Jouf University (Grant Number: DSR2022-RG-0169).

Data Availability Statement

The data generated and analyzed during this study are included in this article.

Conflicts of Interest

The authors declare no conflict of interest.

References

  1. Somova, L.I.; Shode, F.O.; Ramnanan, P.; Nadar, A. Antihypertensive, antiatherosclerotic and antioxidant activity of triterpenoids isolated from Olea europaea, subspecies africana leaves. J. Ethnopharmacol. 2003, 84, 299–305. [Google Scholar] [CrossRef]
  2. Antónia Nunes, M.; Pimentel, F.; Costa, A.S.G.; Alves, R.C.; Oliveira, M.B.P.P. Olive by-products for functional and food applications: Challenging opportunities to face environmental constraints. Innov. Food Sci. Emerg. Technol. 2016, 35, 139–148. [Google Scholar] [CrossRef]
  3. Frangipane, M.T.; Cecchini, M.; Massantini, R. Extra virgin olive oil from destoned fruits to improve the quality of the oil and environmental sustainability. Foods 2022, 11, 1479. [Google Scholar] [CrossRef]
  4. Al-qabba, M.M.; El-mowafy, M.A.; Althwab, S.A.; Alfheeaid, H.A. Phenolic profile, antioxidant activity, and ameliorating ffficacy of Chenopodium quinoa sprouts against CCl4-induced oxidative stress in rats. Nutrients 2020, 12, 2904. [Google Scholar] [CrossRef]
  5. Lal, S.; Ahmed, N.; Srivastava, K.K.; Singh, D.B. Olive (Olea europaea L.) seed germination as affected by different scarification treatments. Afr. J. Agric. Res. 2015, 10, 3570–3574. [Google Scholar] [CrossRef]
  6. Morales-Sillero, A.; Suárez, M.P.; Jiménez, M.R.; Casanova, L.; Ordovás, J.; Rallo, P. Olive seed germination and initial seedling vigor as influenced by stratification treatment and the female parent. HortScience 2012, 47, 1672–1678. [Google Scholar] [CrossRef]
  7. Ghassemi-Golezani, K.; Nikpour-Rashidabad, N.; Valizadeh, M. Influence of seed pretreatments parameters of dill under salt stress on growth and yield. J. Biodivers. Environ. Sci. 2016, 9, 448–454. [Google Scholar]
  8. Maestri, D.; Barrionuevo, D.; Bodoira, R.; Zafra, A.; Jiménez-López, J.; Alché, J. de D. Nutritional profile and nutraceutical components of olive (Olea europaea L.) seeds. J. Food Sci. Technol. 2019, 56, 4359–4370. [Google Scholar] [CrossRef] [PubMed]
  9. Varmaghany, S.; Rahimi, S.; Karimi Torshizi, M.A.; Lotfollahian, H.; Hassanzadeh, M. Effect of olive leaves on ascites incidence, hematological parameters and growth performance in broilers reared under standard and cold temperature conditions. Anim. Feed. Sci. Technol. 2013, 185, 60–69. [Google Scholar] [CrossRef]
  10. Zrig, A.; Najar, B.; Magdy Korany, S.; Hassan, A.H.A.; Alsherif, E.A.; Ali Shah, A.; Fahad, S.; Selim, S.; AbdElgawad, H. The interaction effect of laser irradiation and 6-Benzylaminopurine improves the chemical composition and biological activities of Linseed (Linum usitatissimum) sprouts. Biology 2022, 11, 1398. [Google Scholar] [CrossRef] [PubMed]
  11. Difonzo, G.; Russo, A.; Trani, A.; Paradiso, V.M.; Ranieri, M.; Pasqualone, A.; Summo, C.; Tamma, G.; Silletti, R.; Caponio, F. Green extracts from Coratina olive cultivar leaves: Antioxidant characterization and biological activity. J. Funct. Foods 2017, 31, 63–70. [Google Scholar] [CrossRef]
  12. Anastasopoulos, E.; Kalogeropoulos, N.; Kaliora, A.C.; Kountouri, A.M.; Andrikopoulos, N.K. Quality indices, polyphenols, terpenic acids, squalene, fatty acid profile, and sterols in virgin olive oil produced by organic versus non-organic cultivation method. WIT Trans. Ecol. Environ. 2011, 152, 135–143. [Google Scholar] [CrossRef]
  13. Ajouri, A.; Asgedom, H.; Becker, M. Seed priming enhances germination and seedling growth of barley under conditions of P and Zn deficiency. J. Plant Nutr. Soil Sci. 2004, 167, 630–636. [Google Scholar] [CrossRef]
  14. Singh, K.; Gupta, N.; Dhingra, M. Effect of temperature regimes, seed priming and priming duration on germination and seedling growth on American cotton. J. Environ. Biol. 2018, 39, 83–91. [Google Scholar] [CrossRef]
  15. Thayer, S.S.; Bjrkman, O. Leaf Xanthophyll content and composition in sun and shade determined by HPLC. Photosynth. Res. 1990, 23, 331–343. [Google Scholar] [CrossRef] [PubMed]
  16. Hassanpour, H.; Khavari-Nejad, R.A.; Niknam, V.; Razavi, K.; Najafi, F. Effect of penconazole and drought stress on the essential oil composition and gene expression of Mentha pulegium L. (Lamiaceae) at flowering stage. Acta Physiol. Plant. 2014, 36, 1167–1175. [Google Scholar] [CrossRef]
  17. Zinta, G.; AbdElgawad, H.; Domagalska, M.A.; Vergauwen, L.; Knapen, D.; Nijs, I.; Janssens, I.A.; Beemster, G.T.S.; Asard, H. Physiological, biochemical, and genome-wide transcriptional analysis reveals that elevated CO2 mitigates the impact of combined heat wave and drought stress in Arabidopsis thaliana at multiple organizational levels. Glob. Change Biol. 2014, 20, 3670–3685. [Google Scholar] [CrossRef]
  18. Potters, G.; Horemans, N.; Bellone, S.; Caubergs, R.J.; Trost, P.; Guisez, Y.; Asard, H. Dehydroascorbate influences the plant cell cycle through a glutathione-independent reduction mechanism. Plant Physiol. 2004, 134, 1479–1487. [Google Scholar] [CrossRef]
  19. Selim, S.; Abuelsoud, W.; Al-Sanea, M.M.; AbdElgawad, H. Elevated CO2 differently suppresses the arsenic oxide nanoparticles-induced stress in C3 (Hordeum vulgare) and C4 (Zea maize) plants via altered homeostasis in metabolites specifically proline and anthocyanin metabolism. Plant Physiol. Biochem. 2021, 166, 235–245. [Google Scholar] [CrossRef]
  20. Benzie, I.F.F.; Strain, J.J. The ferric reducing ability of plasma (FRAP) as a measure of “antioxidant power”: The FRAP Assay. Anal. Biochem. 1996, 76, 70–76. [Google Scholar] [CrossRef]
  21. Zrig, A.; Saleh, A.; Sheteiwy, M.S.; Hamouda, F.; Selim, S.; Abdel-Mawgoud, M.; Almuhayawi, M.S.; Okla, M.K.; Abbas, Z.K.; Al-Qahtani, W.H.; et al. Melatonin priming as a promising approach to improve biomass accumulation and the nutritional values of Chenopodium quinoa sprouts: A genotype-based study. Sci. Hort. 2022, 301, 111088. [Google Scholar] [CrossRef]
  22. Zrig, A.; Saleh, A.; Hamouda, F.; Okla, M.K.; Al-Qahtani, W.H.; Alwasel, Y.A.; Al-Hashimi, A.; Hegab, M.Y.; Hassan, A.H.; AbdElgawad, H. Impact of sprouting under potassium nitrate priming on nitrogen assimilation and bioactivity of three Medicago species. Plants 2021, 11, 71. [Google Scholar] [CrossRef]
  23. Buta, S.D. Seed priming with potassium nitrate and gibberellic acid enhances the performance of dry direct seeded rice. Agronomy 2021, 11, 849. [Google Scholar]
  24. Iqbal, M.; Ashraf, M. Presowing seed treatment with cytokinins and its effect on growth, photosynthetic rate, ionic levels and yield of two wheat cultivars differing in salt tolerance. J. Integr. Plant Biol. 2005, 47, 1315–1325. [Google Scholar] [CrossRef]
  25. Nambiar, N.; Siang, T.C.; Mahmood, M. Effect of 6-Benzylaminopurine on flowering of a Dendrobium orchid. Aust. J. Crop Sci. 2012, 6, 225–231. [Google Scholar]
  26. Bewley, J.D. Seed germination and dormancy. Plant Cell 1997, 9, 1055–1066. [Google Scholar] [CrossRef] [PubMed]
  27. Logan, D.C.; Millar, A.H.; Sweetlove, L.J.; Hill, S.A.; Leaver, C.J. Mitochondrial biogenesis during germination in maize embryos. Plant Physiol. 2001, 125, 662–672. [Google Scholar] [CrossRef]
  28. León-López, L.; Escobar-Zúñiga, Y.; Salazar-Salas, N.Y.; Mora Rochín, S.; Cuevas-Rodríguez, E.O.; Reyes-Moreno, C.; Milán-Carrillo, J. Improving polyphenolic compounds: Antioxidant activity in chickpea sprouts through elicitation with hydrogen peroxide. Foods 2020, 9, 1791. [Google Scholar] [CrossRef]
  29. León, L.; Uceda, M.; Jiménez, A.; Martín, L.M.; Rallo, L. Variability of fatty acid composition in olive (Olea europaea L.) progenies. Span. J. Agric. Res. 2004, 2, 353. [Google Scholar] [CrossRef]
  30. Vollár, M.; Feigl, G.; Oláh, D.; Horváth, A.; Molnár, Á.; Kúsz, N.; Ördög, A.; Csupor, D.; Kolbert, Z. Nitro-oleic acid in seeds and differently developed. Plants 2020, 9, 406. [Google Scholar] [CrossRef]
  31. Polari, J.J.; Crawford, L.M.; Wang, S.C. Cultivar determines fatty acids and phenolics dynamics for olive fruit and oil in super-high-density orchards. Agronomy 2021, 11, 313. [Google Scholar] [CrossRef]
  32. Contreras, C.; Pierantozzi, P.; Maestri, D.; Tivani, M.; Searles, P.; Brizuela, M.; Fernández, F.; Toro, A.; Puertas, C.; Trentacoste, E.R. How temperatures may affect the synthesis of fatty acids during olive fruit ripening: Genes at work in the field. Plants 2023, 12, 54. [Google Scholar] [CrossRef] [PubMed]
  33. Gucci, R.; Lombardini, L.; Tattini, M. Analysis of leaf water relations in leaves of two olive (Olea europaea) cultivars differing in tolerance to salinity. Tree Physiol. 1997, 17, 13–21. [Google Scholar] [CrossRef] [PubMed]
  34. Tang, Y.; Li, X.; Chen, P.X.; Zhang, B.; Liu, R.; Hernandez, M.; Draves, J.; Marcone, M.F.; Tsao, R. Assessing the fatty acid, carotenoid, and tocopherol compositions of amaranth and quinoa seeds grown in Ontario and their overall contribution to nutritional quality. J. Agric. Food Chem. 2016, 64, 1103–1110. [Google Scholar] [CrossRef] [PubMed]
  35. Zeb, A.; Murkovic, M. Olive (Olea europaea L.) Seeds, From chemistry to health benefits. In Nuts and Seeds in Health and Disease Prevention; Academic Press: Cambridge, MA, USA, 2011; pp. 847–853. [Google Scholar] [CrossRef]
  36. Shah, T.; Latif, S.; Khan, H.; Munsif, F.; Nie, L. Ascorbic acid priming enhances seed germination and seedling growth of winter wheat under low temperature due to late sowing in Pakistan. Agronomy 2019, 9, 757. [Google Scholar] [CrossRef]
  37. Saldeen, K.; Saldeen, T. Importance of tocopherols beyond α-tocopherol: Evidence from animal and human studies. Nutr. Res. 2005, 25, 877–889. [Google Scholar] [CrossRef]
  38. Ergönül, P.G.; Köseoǧlu, O. Changes in α-, β-, γ- And δ-tocopherol contents of mostly consumed vegetable oils during refining process. CYTA-J. Food 2014, 12, 199–202. [Google Scholar] [CrossRef]
  39. Okla, M.K.; Rubnawaz, S.; Dawoud, T.M.; Al-Amri, S.; El-Tayeb, M.A.; Abdel-Maksoud, M.A.; Akhtar, N.; Zrig, A.; AbdElgayed, G.; AbdElgawad, H. Laser light treatment improves the mineral composition, essential oil production and antimicrobial activity of mycorrhizal treated Pelargonium graveolens. Molecules 2022, 27, 1752. [Google Scholar] [CrossRef]
  40. Okla, M.K.; El-tayeb, M.A.; Qahtan, A.A.; Abdel-maksoud, M.A.; Elbadawi, Y.B.; Alaskary, M.K.; Balkhyour, M.A.; Hassan, A.H.A. Laser light treatment of seeds for improving the biomass photosynthesis, chemical composition and biological activities of lemongrass sprouts. Agronomy 2021, 11, 478. [Google Scholar] [CrossRef]
Figure 1. Effect of BAP priming (25 µM, 8 h) on growth parameters including fresh weight (A) and dry weight (B) of the two varieties of 10-day-old olive sprouts (Kroniaki and Coratina). Data are represented by means ± standard errors. Different small letters (a, b, c and d) above bars indicate significant differences in the two varieties between the means of control and BAP treatments (p < 0.05).
Figure 1. Effect of BAP priming (25 µM, 8 h) on growth parameters including fresh weight (A) and dry weight (B) of the two varieties of 10-day-old olive sprouts (Kroniaki and Coratina). Data are represented by means ± standard errors. Different small letters (a, b, c and d) above bars indicate significant differences in the two varieties between the means of control and BAP treatments (p < 0.05).
Horticulturae 09 01055 g001
Figure 2. Effect of BAP priming (25 µM, 8 h) on leaf pigments including (A) total pigments, (B) α-carotene, (C) β-carotene, (D) Lutein, and (E) β-cryptoxanthin levels of the two varieties of 10-day-old olive sprouts (Kroniaki and Coratina). Data are represented by means ± standard errors. Different small letters (a, b, c and d) above bars indicate significant differences in the two varieties between the means of control and BAP treatments (p < 0.05).
Figure 2. Effect of BAP priming (25 µM, 8 h) on leaf pigments including (A) total pigments, (B) α-carotene, (C) β-carotene, (D) Lutein, and (E) β-cryptoxanthin levels of the two varieties of 10-day-old olive sprouts (Kroniaki and Coratina). Data are represented by means ± standard errors. Different small letters (a, b, c and d) above bars indicate significant differences in the two varieties between the means of control and BAP treatments (p < 0.05).
Horticulturae 09 01055 g002
Figure 3. Effect of BAP priming (25 µM, 8 h) on total polyphenol (A) and flavonoid (B) contents of the two varieties of 10-day-old olive sprouts (Kroniaki and Coratina). Data are represented by means ± standard errors. Different small letters (a, b, c and d) above bars indicate significant differences in the two varieties between the means of control and BAP treatments (p < 0.05). Data were statistically analyzed by one-way ANOVA followed by Tukey’s post hoc test.
Figure 3. Effect of BAP priming (25 µM, 8 h) on total polyphenol (A) and flavonoid (B) contents of the two varieties of 10-day-old olive sprouts (Kroniaki and Coratina). Data are represented by means ± standard errors. Different small letters (a, b, c and d) above bars indicate significant differences in the two varieties between the means of control and BAP treatments (p < 0.05). Data were statistically analyzed by one-way ANOVA followed by Tukey’s post hoc test.
Horticulturae 09 01055 g003
Figure 4. Effect of BAP priming (25 µM, 8 h) on total ascorbate (ASC) (A) and glutathione (GSH) (B) content of the two varieties of 10-day-old olive sprouts (Kroniaki and Coratina). Data are represented by means ± standard errors. Different small letters (a, b and c) above bars indicate significant differences between the control and BAP treatment in the two varieties (p < 0.05). Data were statistically analyzed by one-way ANOVA followed by Tukey’s post hoc test.
Figure 4. Effect of BAP priming (25 µM, 8 h) on total ascorbate (ASC) (A) and glutathione (GSH) (B) content of the two varieties of 10-day-old olive sprouts (Kroniaki and Coratina). Data are represented by means ± standard errors. Different small letters (a, b and c) above bars indicate significant differences between the control and BAP treatment in the two varieties (p < 0.05). Data were statistically analyzed by one-way ANOVA followed by Tukey’s post hoc test.
Horticulturae 09 01055 g004
Figure 5. Effect of BAP priming (25 µM, 8 h) on total antioxidant capacity including FRAP (A) and DPPH (B) content of the two varieties of 10-day-old olive sprouts (Kroniaki and Coratina). Data are represented by means ± standard errors. Different small letters (a, b, c and d) above bars indicate significant differences between the control and BAP treatment in the two varieties (p < 0.05).
Figure 5. Effect of BAP priming (25 µM, 8 h) on total antioxidant capacity including FRAP (A) and DPPH (B) content of the two varieties of 10-day-old olive sprouts (Kroniaki and Coratina). Data are represented by means ± standard errors. Different small letters (a, b, c and d) above bars indicate significant differences between the control and BAP treatment in the two varieties (p < 0.05).
Horticulturae 09 01055 g005
Table 1. Effect of 6-benzylaminopurine (BAP) priming (25 µM, 8 h) on fatty acid profile of the two varieties of 10-day-old olive sprouts (Kroniaki and Coratina).
Table 1. Effect of 6-benzylaminopurine (BAP) priming (25 µM, 8 h) on fatty acid profile of the two varieties of 10-day-old olive sprouts (Kroniaki and Coratina).
VarietiesKroniakiCoratina
mg.g−1 FWControlBAPControlBAP
Myristic (C14:0)1.08 ± 0.07 c1.64 ± 0.04 b1.69 ± 0.22 b2.06 ± 0.04 a
Palmitic (C16:0)15.13 ± 5.11 b27.23 ± 5.02 a17.28 ± 8.26 b25.92 ± 4.98 a
Heptadecanoic (C17:0)0.07 ± 0.01 b0.07 ± 0.01 b0.14 ± 0.01 a0.14 ± 0.01 a
Stearic (C18:0)2.97 ± 0.05 b4.3 ± 0.32 a3.59 ± 0.52 a6.00 ± 0.83 a
Arachidic (C20:0)1.56 ± 0.29 b1.71 ± 0.12 ab20.4 ± 0.3 ab2.24 ± 0.13 a
Docosanoic (C22:0)0.86 ± 0.06 b1.15 ± 0.08 a0.82 ± 0.03 b1.47 ± 0.19a
Tricosanoic (C23:0)0.06 ± 0.02 b0.04 ± 0.01 b0.12 ± 0.01 a0.04 ± 0.01 b
Pentacosanoic (C25:0)0.01 ± 0.00 a0.00 ± 0.00 b0.01 ± 0.00 a0.01 ± 0.00 a
Palmitoleic (C16:1)0.13 ± 0.01 b0.12 ± 0.03 b0.26 ± 0.07 a0.26 ± 0.07 a
Heptadecenoic (C17:1)0.34 ± 0.12 b0.44 ± 0.10 a0.29 ± 0.03 b0.48 ± 0.19 a
Oleic (C18:1)68.2 ± 2 c101.7 ± 4 b82.8 ± 4 b128.2 ± 19 a
Linoleic (C18:2)11.7 ± 1.38 b19.04 ± 0.51 ab11.33 ± 1.15 b19.18 ± 1.24 a
Linolenic (C18:3 ω−3)1.13 ± 0.13 a0.05 ± 0.02 c1.17 ± 0.26 a0.77 ± 0.09 b
Arachidonic (C20:4)NDND1.11 ± 0.44 b2.01 ± 0.32 a
Eicosenoic (C20:1)0.51 ± 0.05 a0.22 ± 0.05 bNDND
Data are represented by means ± standard errors. Different small letters (a, b, c) in the same row indicate significant differences between the control and BAP treatment in the two varieties (p < 0.05). Data were statistically analyzed by one-way ANOVA followed by Tukey’s post hoc test.
Table 2. Effect of 6-benzylaminopurine (BAP) priming (25 µM, 8 h) on alpha (α), beta (β) and gamma (γ) tocopherol levels of the two varieties of 10-day-old olive sprouts (Kroniaki and Coratina).
Table 2. Effect of 6-benzylaminopurine (BAP) priming (25 µM, 8 h) on alpha (α), beta (β) and gamma (γ) tocopherol levels of the two varieties of 10-day-old olive sprouts (Kroniaki and Coratina).
VarietiesKroniakiCoratina
mg.g−1 FWControlBAPControlBAP
α-tocopherol1.93 ± 0.44 b2.87 ± 0.21 a2.32 ± 0.15 b3.39 ± 0.41 a
β-tocopherol0.29 ± 0.02 b0.49 ± 0.04 b0.37 ± 0.02 b0.60 ± 0.04 a
γ-tocopherol0.09 ± 0.02 c0.08 ± 0.01 c0.10 ± 0.00 b0.15 ± 0.04 a
Total tocopherols1.89 ± 0.20 c3.42 ± 0.25 a2.47 ± 0.27 c3.68 ± 0.38 a
Data are represented by means ± standard errors. Different small letters (a, b, c) in the same row indicate significant differences between the control and BAP treatment of the two varieties (p < 0.05). Data were statistically analyzed by one-way ANOVA followed by Tukey’s post hoc test.
Table 3. Effect of 6-benzylaminopurine (BAP) priming (25 µM, 8 h) on anthocyanin metabolism of the two varieties of 10-day-old olive sprouts (Kroniaki and Coratina).
Table 3. Effect of 6-benzylaminopurine (BAP) priming (25 µM, 8 h) on anthocyanin metabolism of the two varieties of 10-day-old olive sprouts (Kroniaki and Coratina).
VarietiesKroniakiCoratina
ControlBAPControlBAP
Metabolite level (mg. g−1 FW)
Anthocyanin1.04 ± 0.39 c2.50 ± 0.28 c3.29 ± 1.23 b6.19 ± 0.13 a
Phenylalanine1.04 ± 0.12 c1.68 ± 0.16 a1.30 ± 0.17 b1.96 ± 0.24 a
Cinnamic acid6.04 ± 0.51 b9.59 ± 1.23 a8.12 ± 1.05 b11.44 ± 0.59 a
Coumaric acid1.89 ± 0.23 b1.71 ± 0.17 b3.74 ± 0.84 a3.63 ± 0.47 a
Naringenin6.41 ± 0.86 c5.38 ± 0.8 b9.9 ± 0.54 ab9.32 ± 0.41 a
Enzyme activity (µmol. mg−1 protein. g−1 FW)
Phenylalanine ammonia lyase2.81 ± 0.22 b1.97 ± 0.5 b2.70 ± 0.41 a3.22 ± 0.74 a
Chalcone synthase 0.83 ± 0.14 c1.09 ± 0.14 a1.04 ± 0.14 b2.01 ± 0.22 c
Cinnamate 4-hydroxylase 2.75 ± 0.37 b4.32 ± 0.25 b2.10 ± 0.11 b1.23 ± 0.31 a
Coenzyme A ligase0.40 ± 0.07 b0.37 ± 0.08 a1.06 ± 0.06 a1.48 ± 0.19 b
Data are represented by means ± standard errors. Different small letters (a, b, c) in the same row indicate significant differences between the control and BAP treatment in the two varieties (p < 0.05). Data were statistically analyzed by one-way ANOVA followed by Tukey’s post hoc test.
Disclaimer/Publisher’s Note: The statements, opinions and data contained in all publications are solely those of the individual author(s) and contributor(s) and not of MDPI and/or the editor(s). MDPI and/or the editor(s) disclaim responsibility for any injury to people or property resulting from any ideas, methods, instructions or products referred to in the content.

Share and Cite

MDPI and ACS Style

Selim, S.; Zrig, A.; Albqmi, M.; M. Al-Sanea, M.; Alnusaire, T.S.; Almuhayawi, M.S.; Jaouni, S.K.A.; Hussein, S.; Warrad, M.; AbdElgawad, H. BAP (6-Benzylaminopurine) Seed-Priming Enhanced Growth, Antioxidant Accumulation and Anthocyanin Metabolism in Olive Sprouts. Horticulturae 2023, 9, 1055. https://doi.org/10.3390/horticulturae9091055

AMA Style

Selim S, Zrig A, Albqmi M, M. Al-Sanea M, Alnusaire TS, Almuhayawi MS, Jaouni SKA, Hussein S, Warrad M, AbdElgawad H. BAP (6-Benzylaminopurine) Seed-Priming Enhanced Growth, Antioxidant Accumulation and Anthocyanin Metabolism in Olive Sprouts. Horticulturae. 2023; 9(9):1055. https://doi.org/10.3390/horticulturae9091055

Chicago/Turabian Style

Selim, Samy, Ahlem Zrig, Mha Albqmi, Mohammad M. Al-Sanea, Taghreed S. Alnusaire, Mohammed S. Almuhayawi, Soad K. Al Jaouni, Shaimaa Hussein, Mona Warrad, and Hamada AbdElgawad. 2023. "BAP (6-Benzylaminopurine) Seed-Priming Enhanced Growth, Antioxidant Accumulation and Anthocyanin Metabolism in Olive Sprouts" Horticulturae 9, no. 9: 1055. https://doi.org/10.3390/horticulturae9091055

APA Style

Selim, S., Zrig, A., Albqmi, M., M. Al-Sanea, M., Alnusaire, T. S., Almuhayawi, M. S., Jaouni, S. K. A., Hussein, S., Warrad, M., & AbdElgawad, H. (2023). BAP (6-Benzylaminopurine) Seed-Priming Enhanced Growth, Antioxidant Accumulation and Anthocyanin Metabolism in Olive Sprouts. Horticulturae, 9(9), 1055. https://doi.org/10.3390/horticulturae9091055

Note that from the first issue of 2016, this journal uses article numbers instead of page numbers. See further details here.

Article Metrics

Back to TopTop