Next Article in Journal
Genotypic and Sanitary Characterization of Minority Grapevine Varieties Prospected in Andalusia, Spain
Next Article in Special Issue
Drivers of and Barriers to the Implementation of Integrated Pest Management in Horticultural Crops
Previous Article in Journal
Mapping of the Susceptibility of Colombian Musaceae Lands to a Deadly Disease: Fusarium oxysporum f. sp. cubense Tropical Race 4
Previous Article in Special Issue
Integrated Control of Scales on Highbush Blueberry in Poland
 
 
Font Type:
Arial Georgia Verdana
Font Size:
Aa Aa Aa
Line Spacing:
Column Width:
Background:
Article

Evaluation of Artemisia absinthium L. Essential Oil as a Potential Novel Prophylactic against the Asian Citrus Psyllid Diaphorina citri Kuwayama

by
Syed Arif Hussain Rizvi
1,*,
Laila A. Al-Shuraym
2,
Mariam S. Al-Ghamdi
3,
Fahd Mohammed Abd Al Galil
4,
Fahd A. Al-Mekhlafi
5,
Mohamed Wadaan
5 and
Waqar Jaleel
6,7
1
State Key Laboratory of Desert and Oasis Ecology, Xinjiang Institute of Ecology and Geography, Chinese Academy of Sciences, Urumqi 830011, China
2
Department of Biology, College of Science, Princess Nourah bint Abdulrahman University, P.O. Box 88428, Riyadh 11671, Saudi Arabia
3
Department of Biology, Faculty of Applied Sciences, Umm Al-Qura University, Makkah 24381, Saudi Arabia
4
Department of Biology, Faculty of Science, University of Bisha, P.O. Box 551, Bisha 61922, Saudi Arabia
5
Department of Zoology, College of Science, King Saud University, P.O. Box 2455, Riyadh 11451, Saudi Arabia
6
Entomology Section, Central Cotton Research Institute, Multan P.O. Box 66000, Pakistan
7
Entomology, Horticultural Research Station, Bahawalpur P.O. Box 63100, Pakistan
*
Author to whom correspondence should be addressed.
Horticulturae 2023, 9(7), 758; https://doi.org/10.3390/horticulturae9070758
Submission received: 7 May 2023 / Revised: 19 June 2023 / Accepted: 20 June 2023 / Published: 1 July 2023
(This article belongs to the Special Issue Integrated Pest Management in Horticulture)

Abstract

Simple Summary

The extensive use of synthetic chemical pesticides to manage insect pests has adversely affected humans and the environment. Therefore, botanical pesticides could be helpful as alternative tools for integrated pest management since they have low mammalian toxicity and minimal risk of developing resistance in target pests. Our current study aimed to evaluate the efficacy of Artemisia absinthium essential oil (AAEO) as a novel alternative to synthetic insecticides against Diaphorina citri. The results indicated that AAEO could be developed as a valuable novel crop protectant against D. citri.

Abstract

Interest in developing novel crop protectants has increased in the recent decade due to the harmful effects of synthetic pesticides on humans and the environment. Diaphorina citri threatens the citrus industry worldwide and is the primary vector of phloem-limited bacterium (HLB). However, there is no available cure for HLB. Diaphorina citri management mainly depends on the use of synthetic insecticides, but their massive application leads to resistance in pest populations. Therefore, alternative pest management strategies are needed. Our results indicated that fewer D. citri adults settled on plants treated with AAEO than on control 48 h after release. The psyllids fed on citrus leaves treated with AAEO significantly reduced the honeydew production compared to the control. The AAEO showed potent ovicidal activity against the D. citri eggs with LC50 5.88 mg/mL. Furthermore, we also explored the fitness of D. citri on AAEO-treated and untreated Citrus sinensis by using two-sex life table tools. Our results revealed that the intrinsic rate of increase (r) was higher on untreated seedlings (0.10 d−1) than those treated with an LC20 concentration of AAEO (0.07 d−1). Similarly, the net reproductive rate (R0) was higher for untreated seedlings (14.21 offspring) than those treated (6.405 offspring). Furthermore, the AAEO were safer against Aphis mellifera, with LC50 35.05 mg/mL, which is relatively higher than the LC50 24.40 mg/mL values against D. citri. The results indicate that AAEO exhibits toxic and behavioral effects on D. citri, which can be a potential candidate for managing this pest.

1. Introduction

The Diaphorina citri Kuwayama (Hemiptera: Psyllidae) is a well-known significant citrus pest across the globe. Huanglongbing (HLB) is the most devastating disease of Citrus spp. worldwide, limiting commercial production [1]. The HLB-infected trees show abnormal growth, yellowing of leaves, mottling of leaves, and lack of fruit juice. Eventually, the whole plant may die [2,3]. However, no cure for HLB has been reported [4] and controlling D. citri is one of the effective ways to manage HLB [5]. Currently, the primary control measures of D. citri heavily rely on synthetic insecticides [6,7].
Since 2005, the citrus industry in China, Brazil, and Florida has been massively devastated by HLB, which caused a loss of 74% of production [8]. The management of D. citri has played a significant role in HLB dispersal in citrus groves. Eight to twelve insecticide applications are commonly practiced in one cropping season in major citrus-growing countries worldwide [9]. However, the massive and repetitive use of these synthetic insecticides results in environmental pollution and the development of resistance [9,10]. Therefore, there is a need to develop novel eco-friendly alternatives for managing D. citri.
Since ancient times, botanical pesticides have been used to manage various agricultural and household pests, including Azadirachta indica and Nicotiana tabacum [11,12]. Botanical pesticides are safe because they cause no or minimal toxicity to humans and mammals [13]. Furthermore, these pesticides are biodegradable and do not produce any toxic chemicals in the environment [14].
In the recent decade, essential oils (EOs) have been gaining attention among the scientific community as novel alternatives to synthetic chemicals due to their rapid biodegradability and ability to disrupt insect biochemical, physiological, and behavioral functions [15,16]. Artemisia absinthium L. is an aromatic and medicinal herb and it has been reported to have toxicity against various agricultural and household pests, including store pests Callosobruchus maculatus and Bruchus rufimanus [17], repellent and larvicidal activity against Aedes aegypti and Musca domestica [18], contact and residual toxicity against Sitophilus oryzae [19], and fumigant mode of action against Solenopsis geminata and Tribolium castaneum [20].
Therefore, our study aimed to evaluate the A. absinthium (AAEO) toxicity and behavioral effect against D. citri. Furthermore, the effect of AAEO on the fitness of D. citri was also studied using two-sex life table tools.

2. Materials and Methods

2.1. Insects

The D. citri adults were collected from Murraya paniculata L., grown at the South China Agricultural University Guangzhou, China. The psyllids were allowed to acclimatize to laboratory conditions (28 ± 2 °C, 65 ± 5% relative humidity (RH), photoperiod 14:10 (Light: Dark)). Males and females were separated based on their morphological characteristics. The yellow or orange color of the female abdomen indicates that it contains eggs [21,22].

2.2. Plant Materials Extraction Procedure

The aerial parts of A. absinthium were collected from Skardu Baltistan, Pakistan, in August 2022. Our previously published paper reported the plant species and its GC-MS analysis [23] (Table 1). The EOs were stored in transparent glass vials and kept at 4 °C for further experimentation.

2.3. Settling Behaviour of D. citri

The attractiveness and settling behavior of D. citri adults towards sweet orange seedlings (10–15 cm in length) treated with desired concentrations 0.1, 0.5, 1, 2, 3% w/v of AAEO, diluted in 20% ethanol containing 0.01% Tween 80, which corresponds to the dosage of 1, 5, 10, 15, 20 and 30 mg/mL, respectively, were observed in a choice experiment under controlled laboratory conditions (27 ± 2 °C, 65 ± 5% RH, photoperiod 14:10 (Light: Dark). One hundred adults (50 male and 50 female) were released into the center of cages, each cage with six C. sinensis seedlings. Each seedling was sprayed using a mini plastic trigger sprayer (Deqing Yuanchen Plastic Products Co., Ltd., Deqing, China) with 1 mL of the desired concentrations of AAEO and was allowed to dry under the hood. The flasks were randomly positioned inside the cage. There was a total of five replicate cages. The total numbers of D. citri adults settling on each seedling were recorded after an interval of 12 and 24 h after release. Within 2 h after release, the cages were examined to check the mortality due to mechanical injury while aspirating was discarded. The guava crude methanolic extract at 30 mg/mL concentration was used as a positive control, as much literature indicates that Guava repels D. citri [24,25]. The number of D. citri adults that settled on each seedling under the various treatments was compared.

2.4. Antifeedent Activity of AAEO against D. citri

The amount of honeydew excreted by the adults while they were kept to C. sinensis seedlings treated with different concentrations of AAEO was used to assess the feeding activity of D. citri. The feeding bioassay arenas comprised 1.5% agar solution-coated mini glass Petri dishes [26]. Freshly excised leaves from C. sinensis were used for all bioassays. The leaf disk, average size 5.50 ± 0.3 cm in length, was dipped for 5 s in the desired concentrations of AAEO and allowed to dry for one hour under the fume hood. Ten CO2 anaesthetized D. citri adults were released in each Petri dish, and the Petri dishes were capped with a lid lined with 60 mm filter paper. One hour after release, the Petri dish was examined to check the mortality due to mechanical injury while aspirating was discarded. Then, the Petri dishes were closed with lab parafilm and turned upside down. The filter papers were removed and immersed in 1% w/v ninhydrin 48 h after release for three minutes and were then dried at room temperature [27]. The feeding activities of D. citri were measured by calculating the number of purple spots.

2.5. Ovicidal Toxicity of AAEO

Ovicidal activities AAEO against D. citri were evaluated by confining the eggs containing sprayed C. sinensis seedlings with an aerial insect net (25 cm length, 20 cm width). Sixteen mixed populations (eight male and eight female) of D. citri adults were aspirated. The psyllids were released on the potted seedlings to lay eggs, while the pots and seedlings were covered with an insect net. The psyllids were removed from the gauze nets five days after release, and the number of eggs laid was calculated. The seedlings with eggs were treated with desired concentrations of 0.1, 0.5, 1, 2, and 3% w/v of AAEO. Then, the seedlings were confined with gauze nets and the number of hatched nymphs was counted until all the eggs were hatched. The ovicidal activity was assessed regarding egg mortality rate (EMR) using the formula below.
EMR   ( % ) = N u m b e r   o f   e g g s   u n h a t c h e d   T o t a l   n u m b e r   o f   e g g s   l a i d × 100 .

2.6. Effect of AAEO on Fitness and Development of D. citri

The laboratory conditions were equal to those during the ovicidal toxicity bioassay. Briefly, the C. sinensis seedlings were sprayed with an LC20 concentration (8.3 mg/mL) of AAEO. After drying, D. citri virgin adults (five male and five female) were released in the bioassay arena for mating and oviposition. Five days after release, the adults were removed, and the number of eggs laid in each cage was calculated. The seedlings were observed daily until adult emergence was completed as well as the data of development time from eggs to adult formation, after adult formation as pre-oviposition. The following equations [28,29] were used to compute the population growth rate (PGR), oviposition, and fecundity using the age stage two-sex life table software.
P G R = N f / N o Δ t ,
whereas
  • Nf = Final number of D. citri;
  • N0 = Initial number of D. citri;
  • Δt = Total number of days for the experiment.
The result with positive values indicated an increasing population, PGR = 0 indicated a stable population, while negative values indicated a decline in population and led towards extinction.

2.7. Toxicity of AAEO against Non-Targeted Organisms

To evaluate the toxicity of AAEO against Apis mellifera, no-choice feeding bioassays were used [30] under laboratory conditions in a plastic container (0.5 L) by following the procedure described previously [31]. Briefly, the following concentrations of AAEO (24, 36, 48, 60, and 72 mg/mL) were prepared in a 50% sugar solution. Ten healthy foraging workers were introduced into the cage. Each concentration was repeated thrice, and the control contained only 50% sugar solution. The mortality data were recorded within 48 h after treatment. Each container was considered a single treatment and each treatment was replicated five times. Five replications of each container were used to represent one treatment. Imidacloprid was used as a positive control at the following concentrations (5, 10, 15, 20 and 25 ug/mL).

2.8. Statistical Analysis

Chi-square goodness of fit tests were used to estimate the significance of choice between treated and untreated seedlings. The toxicity data were assessed by using Probit analysis (SPPSS 17.0). According to Levene’s test, all data sets were homoscedastic and the mean difference between treatments was separated by using Tukey’s HSD test. The population parameters of D. citri were estimated using the age stage two-sex life table program. The population and age stage parameters of D. citri, e.g., R0, r, k and sxj, fxj, lx, mx, exj, vxj, respectively, were calculated as described in the methodology [32]. The two-sex life table was calculated using the following formulae:
l x = j = 1 k    S x j
m x = j = 1 k    S x j   f x j j = 1 k    S x j
R 0 = x = 0    l x m x ,
where k is the number of stages. This study used the Euler–Lotka formula’s iterative bisection approach to estimate the r, with the age index starting at 0, as in Equation (2).
x = 0    e r x + 1 l x m x = 1
e x j = i = x    y = j k    s i y
V x j = e r x = 1 S x j i = x    e r x + 1 y = j k    s i y f i y .

3. Results

3.1. Effect of AAEO on Settling Behavior of D. citri

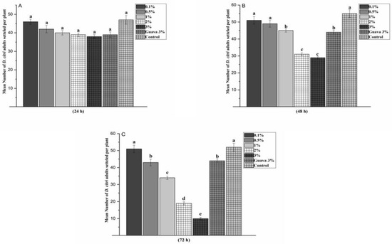
Overall, concentration and time-dependent effects were observed in the settling behavior of D. citri adults. The settling behavior of D. citri adults was not significantly different among the various AAEO concentrations tested compared with the control at 24 h (F = 18.98; df = 4, 24; p = 0.243) after release. However, significant differences were observed after 48 h (F = 66; df = 4, 24; p = 0.005) and 72 h (F = 86; df = 4, 24; p = 0.001) after release (Figure 1). On control plants, compared to those treated with AAEO, more D. citri adults were recorded after 72 h.

3.2. Effect of AAEO on D. citri Feeding Activity

The feeding activity of D. citri measured by the amount of honeydew extraction was presented in (Figure 2). The results indicated a concentration-dependent antifeedant effect of AAEO on the feeding activity of D. citri. Except for 1 mg/mL of AAEO, all the treatments, including 5, 10, 20, and 30 mg/mL, reduced the excretion of honeydew significantly in comparison to the control (F = 84.47; df = 4, 24; p < 0.0001). However, there was a 92 and 86% honeydew excretion reduction by AAEO at 20 and 30 mg/mL.

3.3. Effect of AAEO on Eggs Hatchability of D. citri

The results indicated that a concentration-dependent response of AAEO on the egg hatchability of D. citri was observed. The AAEO has shown potent ovicidal activity with an LC50 5.88 mg/mL. The number of eggs hatchability per plant was significantly lower than for the control, except for 1 mg/mL AAEO (F = 63.82; df = 5, 29; p < 0.0023). On sweet orange potted plants treated with 30 mg/mL AAEO, only 11.75% of eggs were able to hatch into adults, followed by 5, 10, and 20 mg/mL, where only 30.44, 72.46, and 83.65% of eggs were able to hatch into adults, respectively.

3.4. Population Parameters

The effect of AAEO on the population parameters of D. citri indicated that there was an increase in the intrinsic rate (r), which was higher on untreated sweet oranges (0.10 d−1) than on those treated with an LC20 concentration of AAEO (0.07 d−1). Similarly, the net reproductive rate (R0) was higher for untreated C. sinensis seedlings (14.21 offspring) than for those treated (6.40 offspring) with LC20 concentration of AAEO (Table 2).
Diaphorina citri, the comprehensive age-stage survival rate (sxj) on treated and untreated C. sinensis seedlings, was determined. Our findings showed the possibility of a freshly hatched larva making it to age x and stage j (Figure 3) because development rates varied across individuals on treated and untreated seedlings; similarly, the projected curves exhibited completely different layouts at each developmental stage. Individual survival rates rapidly dropped with age and showed an inverse relationship between treated and untreated seedlings (Figure 3). The developmental time of D. citri females was long, and the survival rate was shorter on the untreated than the treated ones, while in the case of males, the development was shorter, and the survival rate was longer on untreated compared to on treated C. sinensis seedlings (Figure 3).
The highest value of age-stage specific fecundity (fxj) was higher on untreated sweet oranges than on treated ones (Figure 3). There is a direct relation to the age-specific maternity (lx*mx) of D. citri. As the survival rate increases, fecundity increases in treated and untreated cases. However, the constant peak point of age-specific maternity (lx*mx) of D. citri was higher on untreated sweet oranges than on C. sinensis seedlings treated with AAEO (Figure 4).
The effects of treated and untreated sweet oranges on the population’s expected average life expectancy (exj) at egg, nymph, and adult stages of D. citri were determined in (Figure 5). The longevity of the newly hatched D. citri eggs was longer in untreated sweet oranges than in treated ones. The peak life expectancy (exj) value for female adults of D. citri was higher on untreated sweet oranges than on treated oranges (Figure 5). The exj of male adults of D. citri was the maximum on treated sweet oranges compared to untreated oranges. Overall, all stages of the highest life expectancy (exj) of D. citri were recorded on untreated sweet oranges (Figure 5). The age-stage reproductive value (vxj) of D. citri in (Figure 6) explains an individual’s role in the future population (i.e., the population forecasting scale) at age x and stage j.

3.5. Toxicity of AAEO against A. mellifera

The AAEO caused toxicity against A. mellifera at significantly higher concentrations, with LC50 and LC90 of 35.05 and 55.86 mg/mL, respectively, which is too high compared to the lethal dose of AAEO against D. citri LD50 of 5.20 µg/insect via the topical application method recorded in our previous published paper [33] (Table 3). Therefore, AAEO can be considered safe against A. mellifera.

4. Discussion

Botanical pesticides are plant-based substances, including pyrethrin, azadirachtin, neem, garlic, and vegetable oil. Because they degrade quickly in the presence of light and air, botanicals often have a short shelf life in the environment. [34]. These include plant extracts and essential oils, which are eco-friendly, biodegradable, and nontoxic to mammals [33]. The essential oils from various plants are reported to have antifeedant, repellent, and toxic activities against many insect pests [35]. Eos are complex mixtures of different compounds but are majorly dominated by monoterpenes and sesquiterpenes [36]. These monoterpenes and sesquiterpenes exert different toxic and behavioral effects against insects. For example, limonene decreased oviposition in mite Oligonychus ununguis [37], carvacrol and thymol showed contact toxicity against Pochazia shantungensis [38], α-pinene, eucalyptol and camphor exerted both fumigant and antifeedant activities against Solenopsis invicta and Meloidogyne incognita [39], thymol showed substantial contact toxicity against Blattella germanica (Yeom et al., 2012), and 1,8-cineole showed a fumigant mode of action against Solenopsis invicta and Ectomyelois ceratoniae [40,41]. Similarly, carvacrol showed contact toxicity against D. citri [33].
Plant volatiles are crucial in herbivore host location and recognition [42]. Odors and plant colors mediate how herbivore insects find and recognize their potential host [43]. The D. citri relies on its olfaction to locate and evaluate its potential host [44]. The volatile chemicals released by non-host plants obscure the host plant odor that phytophagous insects detect, leading to host plant avoidance and non-preference [45]. Regarding the repellent activity of AAEO against D. citri, results indicated a concentration-dependent effect. The adults strongly preferred settling on the control C. sinensis seedlings to the treated seedlings. Compared to the control, the adult D. citri settling did not significantly decrease 24 h after release. However, only a few adults were seen on the treated plant 48 and 72 h after release compared to the control because it took D. citri just around 9 h to distinguish volatiles from host plants, from a combination of volatiles from non-hosts in the open atmosphere [46]. A literature report indicated that the host finding and recognition ability of D. citri were reduced when non-host plant semiochemicals were used [45,47]. Many non-host plants have shown repellent activities against D. citri, including Guava [3,24,48], Allium spp [49,50]. HLB bacteria can only multiply in the body of the eukaryotic host [51]. The transmission of HLB bacterium from the infected to the uninfected tree was primarily taken by nymphs and adults of D. citri [52]. Here, we found that AAEO reduces the feeding activity of D. citri, measured as the number of purple spots on the treated leaf disc. AAEO at 20 and 30 mg/mL reduced honeydew secretion by 72.86 and 85.5%, respectively. However, the effect of AAEO on D. citri feeding in terms of the number of honeydew droplets recorded per filter paper disc was lower than cyantraniliprole, a synthetic anthranilic diamide insecticide, which caused an 80% reduction in honeydew droplets secretion by D. citri at 0.1 µg/mL [53]. To better understand the antifeedant activity of AAEO against D. citri, further investigation should be conducted using electrical penetration graph (EPG) technology.
Essential oils (EOs) are effective against several insect species. They act as growth inhibitors, toxins, deterrents, repellents, and toxicants [54]. The EOs of azadirachtin and Piper aduncum against nymph and adults of D. citri caused 90–100% mortality in nymph and below 80% in adults, being nontoxic to ectoparasitoid Tamarixia radiata (Hymenoptera: Eulophidae) [26]. Similarly, Syzygium aromaticum, Eucalyptus obliqua, Tithonia diversifolia, and Citrus limoniaI EOs showed considerable toxicity and repellent effects against D. citri [55,56]. Primarily D. citri management was prodigiously focused on controlling adult psyllids. For this, many classes of insecticides have been utilized [57]. Limited literature is available regarding the developmental and ovicidal products against D. citri. According to the current study, AAEO-treated potted C. sinensis seedlings exhibit concentration-dependent ovicidal action. When enclosed with the dry residue of AAEO at 20 and 30 mg/mL, respectively, only 11.75 and 30.44 eggs were able to hatch into adults, whereas in the control and 10 mg/mL concentrations, the hatching percentages were 93.45 and 93.78, respectively. The result showed that AAEO has ovicidal activity against D. citri. However, AAEO ovicidal activity was lower than that of cyantraniliprole, a synthetic anthranilic diamide insecticide, which caused complete inhibition of D. citri eggs’ hatchability at 0.025 µg/mL [53].
The potential mechanism of action of EOs against insects is neurotoxicity [58,59]. These EOs typically contain complex combinations of sesquiterpenes, biogenetically related phenols, and monoterpenes. These compounds have a variety of hydrophilic and hydrophobic properties that can easily permeate insect cuticles and disrupt their physiological processes [60,61]. Despite the most promising properties of EOs as a natural insecticide, many technical issues are raised for their broader application due to their rapid volatility and poor water solubility [15]. There are many challenges and constraints related to the commercialization of EOs, including strict legislation and lack of raw material availability [60]. Their rapid degradability and low persistence may significantly reduce toxicity [60], transient effects, and a dearth of high-quality raw materials that are affordably priced [61]. Due to their rapid breakdown and short persistence, EOs may have significantly lower toxicity [61]. However, the efficacy and persistence of EOs can be enhanced by encapsulation, nanoparticles, and nano gel formulation, and cyclodextrins [62]. Overall, EOs have the potential to develop eco-friendly candidates for novel pest management, which should be a top priority for preserving ecosystems from contamination. EOs and plant extracts are safer for the environment, humans, and non-targeted organisms than synthetic insecticides [63]. The AAEO caused toxicity against A. mellifera at significantly higher concentrations, with an LC50 value of 35.05 mg/mL, which is too high compared to the LD50 value of 5.20 µg/insect of AAEO against D. citri.

5. Conclusions

The current study found that AAEO had insignificant toxicity toward honeybees when evaluated as non-targeted organisms and demonstrated repellent and ovicidal properties against adult D. citri. More research should be pursued regarding its broader applicability and effect on natural enemies. It was concluded that the AAEO might be developed as a novel prophylactic against D. citri with the edge of being environmentally friendly.

Author Contributions

Conceptualization, S.A.H.R. and L.A.A.-S. methodology S.A.H.R. and L.A.A.-S.; software, W.J.; formal analysis, M.S.A.-G.; resources, S.A.H.R.; data curation, F.M.A.A.G. and W.J.; initial draft preparation, S.A.H.R.; review and editing, S.A.H.R., F.M.A.A.G. and M.W.; visualization, M.S.A.-G. and F.A.A.-M.; supervision, F.A.A.-M. and L.A.A.-S.; project administration; funding acquisition F.A.A.-M. and L.A.A.-S. All authors have read and agreed to the published version of the manuscript.

Funding

Project number (PNURSP2023R365), Princess Nourah bint Abdulrahman University, Riyadh, Saudi Arabia. Project (RSP2023R112), King Saud University, Riyadh, Saudi Arabia.

Institutional Review Board Statement

Not applicable.

Informed Consent Statement

Not applicable.

Data Availability Statement

Data are contained within the article.

Acknowledgments

The authors thank Princess Nourah bint Abdulrahman University Researchers Supporting Project number (PNURSP2023R365), Princess Nourah bint Abdulrahman University, Riyadh, Saudi Arabia. We also thank the Researchers Supporting Project (RSP2023R112), King Saud University, Riyadh, Saudi Arabia.

Conflicts of Interest

The authors declare no conflict of interest.

References

  1. Bové, J.M. Huanglongbing: A destructive, newly-emerging, century-old disease of citrus. J. Plant Pathol. 2006, 88, 7–37. [Google Scholar]
  2. Rizvi, S.A.H.; Ling, S.; Tian, F.; Liu, J.; Zeng, X. Interference mechanism of Sophora alopecuroides L. alkaloids extract on host finding and selection of the Asian citrus psyllid Diaphorina citri Kuwayama (Hemiptera: Psyllidae). Environ. Sci. Pollut. Res. Int. 2019, 26, 1548–1557. [Google Scholar] [CrossRef] [PubMed]
  3. Zaka, S.M.; Zeng, X.N.; Holford, P.; Beattie, G.A.C. Repellent effect of guava leaf volatiles on settlement of adults of citrus psylla, Diaphorina citri Kuwayama, on citrus. Insect Sci. 2010, 17, 39–45. [Google Scholar] [CrossRef]
  4. Halbert, S.E.; Manjunath, K.L. Asian citrus psyllids (Sternorrhyncha: Psyllidae) and greening disease of citrus: A literature review and assessment of risk in Florida. Fla. Entomol. 2004, 87, 330–353. [Google Scholar] [CrossRef]
  5. Byrne, F.J.; Daugherty, M.P.; Grafton-Cardwell, E.E.; Bethke, J.A.; Morse, J.G. Evaluation of systemic neonicotinoid insecticides for the management of the Asian citrus psyllid Diaphorina citri on containerized citrus. Pest Manag. Sci. 2017, 73, 506–514. [Google Scholar] [CrossRef]
  6. Srinivasan, R.; Hoy, M.A.; Singh, R.; Rogers, M.E. Laboratory and field evaluations of Silwet L-77 and kinetic alone and in combination with imidacloprid and abamectin for the management of the Asian citrus psyllid, Diaphorina citri (Hemiptera: Psyllidae). Fla. Entomol. 2008, 91, 87–100. [Google Scholar] [CrossRef]
  7. Witten, I.H.; Frank, E.; Hall, M.A.; Pal, C.J. Data Mining: Practical Machine Learning Tools and Techniques; Morgan Kaufmann: Burlington, MA, USA, 2016. [Google Scholar]
  8. Singerman, A.; Rogers, M.E. The economic challenges of dealing with citrus greening: The case of Florida. J. Integr. Pest Manag. 2020, 11, 3. [Google Scholar] [CrossRef]
  9. Chen, X.-D.; Kaur, N.; Horton, D.R.; Cooper, W.R.; Qureshi, J.A.; Stelinski, L.L. Crude Extracts and Alkaloids Derived from Ipomoea-Periglandula Symbiotic Association Cause Mortality of Asian Citrus Psyllid Diaphorina citri Kuwayama (Hemiptera: Psyllidae). Insects 2021, 12, 929. [Google Scholar] [CrossRef]
  10. Tian, F.; Rizvi, S.A.H.; Liu, J.; Zeng, X. Differences in susceptibility to insecticides among color morphs of the Asian citrus psyllid. Pestic. Biochem. Physiol. 2020, 163, 193–199. [Google Scholar] [CrossRef]
  11. Lee, X.; Wong, C.; Coats, J.; Paskewitz, S.M. Semi-field evaluations of three botanically derived repellents against the blacklegged tick, Ixodes scapularis (Acari: Ixodidae). bioRxiv 2022, 12, 476114. [Google Scholar]
  12. Kamaraj, C.; Gandhi, P.R.; Elango, G.; Karthi, S.; Chung, I.-M.; Rajakumar, G. Novel and environmental friendly approach; Impact of Neem (Azadirachta indica) gum nano formulation (NGNF) on Helicoverpa armigera (Hub.) and Spodoptera litura (Fab.). Int. J. Biol. Macromol. 2018, 107, 59–69. [Google Scholar] [CrossRef]
  13. Achimón, F.; Areco, V.A.; Brito, V.D.; Peschiutta, M.L.; Merlo, C.; Pizzolitto, R.P.; Zygadlo, J.A.; Zunino, M.P.; Omarini, A.B. Plants as Bioreactors for the Production of Biopesticides. Plants Bioreact. Ind. Mol. 2023, 337–366. [Google Scholar]
  14. Chen, J. Biopesticides: Global Markets to 2022. Rep. Code CHM029G 2018. [Google Scholar]
  15. Tripathi, A.K.; Upadhyay, S.; Bhuiyan, M.; Bhattacharya, P. A review on prospects of essential oils as biopesticide in insect-pest management. J. Pharmacogn. Phytother. 2009, 1, 052–063. [Google Scholar]
  16. Isman, M.B. Bridging the gap: Moving botanical insecticides from the laboratory to the farm. Ind. Crops Prod. 2017, 110, 10–14. [Google Scholar] [CrossRef]
  17. Titouhi, F.; Amri, M.; Messaoud, C.; Haouel, S.; Youssfi, S.; Cherif, A.; Jemâa, J.M.B. Protective effects of three Artemisia essential oils against Callosobruchus maculatus and Bruchus rufimanus (Coleoptera: Chrysomelidae) and the extended side-effects on their natural enemies. J. Stored Prod. Res. 2017, 72, 11–20. [Google Scholar] [CrossRef]
  18. Pradeepa, V.; Senthil-Nathan, S.; Sathish-Narayanan, S.; Selin-Rani, S.; Vasantha-Srinivasan, P.; Thanigaivel, A.; Ponsankar, A.; Edwin, E.S.; Sakthi-Bagavathy, M.; Kalaivani, K.; et al. Potential mode of action of a novel plumbagin as a mosquito repellent against the malarial vector Anopheles stephensi, (Culicidae: Diptera). Pestic. Biochem. Physiol. 2016, 134, 84–93. [Google Scholar] [CrossRef]
  19. Rusin, M.; Gospodarek, J.; BINIAŚ, B. Effect of water extracts from Artemisia absinthium L. on feeding of selected pests and their response to the odor of this plant. J. Cent. Eur. Agric. 2016, 17, 188–206. [Google Scholar] [CrossRef]
  20. Aslan, I.; Kordali, S.; Calmasur, O. Toxicity of the vapours of Artemisia absinthium essential oils to Tetranychus urticae Koch and Bemisia tabasi(Genn.). Fresenius Environ. Bull. 2005, 14, 413–417. [Google Scholar]
  21. Husain, M.A.; Nath, D. The Citrus Psylla: (Diaphorina citri, Kuw.) Psyllidae: Homoptera; Government of India Central Pubilication Branch: Delhi, India, 1927.
  22. Wenninger, E.J.; Stelinski, L.L.; Hall, D.G. Behavioral evidence for a female-produced sex attractant in Diaphorina citri. Entomol. Exp. Appl. 2008, 128, 450–459. [Google Scholar] [CrossRef]
  23. Rizvi, S.A.H.; Tao, L.; Zeng, X. Chemical composition of essential oil obtained from Artemisia absinthium L. Grown under the climatic condition of Skardu Baltistan of Pakistan. Pak. J. Bot 2018, 50, 599–604. [Google Scholar]
  24. Silva, J.A.; Hall, D.G.; Gottwald, T.R.; Andrade, M.S.; Maldonado, W.; Alessandro, R.T.; Lapointe, S.L.; Andrade, E.C.; Machado, M.A. Repellency of selected Psidium guajava cultivars to the Asian citrus psyllid, Diaphorina citri. Crop Prot. 2016, 84, 14–20. [Google Scholar] [CrossRef]
  25. Barman, J.C.; Campbell, S.A.; Zeng, X. Exposure to Guava affects citrus olfactory cues and attractiveness to Diaphorina citri (Hemiptera: Psyllidae). Environ. Entomol. 2016, 45, 694–699. [Google Scholar] [CrossRef] [PubMed]
  26. Hu, W.; Zheng, R.; Feng, X.; Kuang, F.; Chun, J.; Xu, H.; Chen, T.; Lu, J.; Li, W.; Zhang, N. Emergence inhibition, repellent activity and antifeedant responds of mineral oils against Asian citrus psyllid, Diaphorina citri (Hemiptera: Liviidae). Int. J. Pest Manag. 2023, 69, 27–34. [Google Scholar] [CrossRef]
  27. Tiwari, S.; Stelinski, L.L.; Rogers, M.E. Biochemical basis of organophosphate and carbamate resistance in Asian citrus psyllid. J. Econ. Entomol. 2012, 105, 540–548. [Google Scholar] [CrossRef]
  28. Walthall, W.K.; Stark, J.D. Comparison of two population-level ecotoxicological endpoints: The intrinsic (rm) and instantaneous (ri) rates of increase. Environ. Toxicol. Chem. Int. J. 1997, 16, 1068–1073. [Google Scholar]
  29. Bowles, S.; Gintis, H. The evolution of strong reciprocity: Cooperation in heterogeneous populations. Theor. Popul. Biol. 2004, 65, 17–28. [Google Scholar] [CrossRef]
  30. Anwar, M.I.; Sadiq, N.; Aljedani, D.M.; Iqbal, N.; Saeed, S.; Khan, H.A.A.; Naeem-Ullah, U.; Aslam, H.M.F.; Ghramh, H.A.; Khan, K.A. Toxicity of different insecticides against the dwarf honey bee, Apis florea Fabricius (Hymenoptera: Apidae). J. King Saud Univ. Sci. 2022, 34, 101712. [Google Scholar] [CrossRef]
  31. Wang, Y.; Zhu, Y.C.; Li, W. Interaction patterns and combined toxic effects of acetamiprid in combination with seven pesticides on honey bee (Apis mellifera L.). Ecotoxicol. Environ. Saf. 2020, 190, 110100. [Google Scholar] [CrossRef]
  32. Jaleel, W.; Yin, J.; Wang, D.; He, Y.; Lu, L.; Shi, H. Using two-sex life tables to determine fitness parameters of four Bactrocera species (Diptera: Tephritidae) reared on a semi-artificial diet. Bull. Entomol. Res. 2018, 108, 707–714. [Google Scholar] [CrossRef]
  33. Rizvi, S.A.H.; Ling, S.; Tian, F.; Xie, F.; Zeng, X. Toxicity and enzyme inhibition activities of the essential oil and dominant constituents derived from Artemisia absinthium L. against adult Asian citrus psyllid Diaphorina citri Kuwayama (Hemiptera: Psyllidae). Ind. Crops Prod. 2018, 121, 468–475. [Google Scholar] [CrossRef]
  34. Suladze, T.; Kintsurashvili, L.; Mshvildadze, V.; Todua, N.; Chincharadze, D.; Legault, J.; Vachnadze, N. Study of the Cytotoxic Activity of Alkaloid-Containing Fractions Isolated from Certain Plant Species Growing and Introduced in Georgia. Exp. Clin. Med. Ga. 2023. [Google Scholar] [CrossRef]
  35. da Silva Sa, G.C.; Bezerra, P.V.V.; da Silva, M.F.A.; da Silva, L.B.; Barra, P.B.; de Fátima Freire de Melo Ximenes, M.; Uchoa, A.F. Arbovirus vectors insects: Are botanical insecticides an alternative for its management? J. Pest Sci. 2023, 96, 1–20. [Google Scholar] [CrossRef]
  36. Yang, Y.; Aghbashlo, M.; Gupta, V.K.; Amiri, H.; Pan, J.; Tabatabaei, M.; Rajaei, A. Chitosan nanocarriers containing essential oils as a green strategy to improve the functional properties of chitosan: A review. Int. J. Biol. Macromol. 2023, 23, 123954. [Google Scholar] [CrossRef]
  37. Ibrahim, M.A.; Kainulainen, P.; Aflatuni, A. Insecticidal, repellent, antimicrobial activity and phytotoxicity of essential oils: With special reference to limonene and its suitability for control of insect pests. Agric. Food Sci. 2008, 10, 243–259. [Google Scholar] [CrossRef]
  38. Park, J.-H.; Jeon, Y.-J.; Lee, C.-H.; Chung, N.; Lee, H.-S. Insecticidal toxicities of carvacrol and thymol derived from Thymus vulgaris Lin. against Pochazia shantungensis Chou & Lu., newly recorded pest. Sci. Rep. 2017, 7, 40902. [Google Scholar]
  39. Karabörklü, S.; Ayvaz, A. A comprehensive review of effective essential oil components in stored-product pest management. J. Plant Dis. Prot. 2023, 13, 449–481. [Google Scholar] [CrossRef]
  40. Ben Abada, M.; Soltani, A.; Tahri, M.; Haoual Hamdi, S.; Boushih, E.; Fourmentin, S.; Greige-Gerges, H.; Mediouni Ben Jemâa, J. Encapsulation of Rosmarinus officinalis essential oil and of its main components in cyclodextrin: Application to the control of the date moth Ectomyelois ceratoniae (Pyralidae). Pest Manag. Sci. 2023, 79, 2433–2442. [Google Scholar] [CrossRef]
  41. Xie, F.; Rizvi, S.A.H.; Zeng, X. Fumigant toxicity and biochemical properties of (α+ β) thujone and 1, 8-cineole derived from Seriphidium brevifolium volatile oil against the red imported fire ant Solenopsis invicta (Hymenoptera: Formicidae). Rev. Bras. Farmacogn. 2020, 29, 720–727. [Google Scholar] [CrossRef]
  42. Karalija, E.; Šamec, D.; Dahija, S.; Ibragić, S. Plants strike back: Plant volatiles and their role in indirect defence against aphids. Physiol. Plant. 2023, 175, e13850. [Google Scholar] [CrossRef]
  43. Silva, M.S.; Patt, J.M.; de Jesus Barbosa, C.; Fancelli, M.; Mesquita, P.R.R.; de Medeiros Rodrigues, F.; Schnadelbach, A.S. Asian citrus psyllid, Diaphorina citri (Hemiptera: Liviidae) responses to plant-associated volatile organic compounds: A mini-review. Crop Prot. 2023, 169, 106242. [Google Scholar] [CrossRef]
  44. Ling, S.; Rizvi, S.A.H.; Xiong, T.; Liu, J.; Gu, Y.; Wang, S.; Zeng, X. Volatile signals from guava plants prime defense signaling and increase jasmonate-dependent herbivore resistance in neighboring citrus plants. Front. Plant Sci. 2022, 13, 833562. [Google Scholar] [CrossRef] [PubMed]
  45. Gallinger, J.; Rid-Moneta, M.; Becker, C.; Reineke, A.; Gross, J. Altered volatile emission of pear trees under elevated atmospheric CO2 levels has no relevance to pear psyllid host choice. Environ. Sci. Pollut. Res. 2023, 30, 43740–43751. [Google Scholar] [CrossRef] [PubMed]
  46. Ruan, C.-Q.; Hall, D.G.; Liu, B.; Duan, Y.-P.; Li, T.; Hu, H.-Q.; Fan, G.-C. Host-choice behavior of Diaphorina citri Kuwayama (Hemiptera: Psyllidae) under laboratory conditions. J. Insect Behav. 2015, 28, 138–146. [Google Scholar] [CrossRef]
  47. Dong, Z.; Liu, X.; Srivastava, A.K.; Tan, Q.; Low, W.; Yan, X.; Wu, S.; Sun, X.; Hu, C. Boron deficiency mediates plant-insect (Diaphorima citri) interaction by disturbing leaf volatile organic compounds and cell wall functions. Tree Physiol. 2023, 43, 597–610. [Google Scholar] [CrossRef]
  48. Hall, D.; Gottwald, T.; Nguyen, N.; Ichinose, K.; Le, Q.; Beattie, G.; Stover, E. Refereed manuscript. In Proceedings of the Florida State Horticultural Society; pp. 104–109.
  49. Mann, R.; Rouseff, R.; Smoot, J.; Castle, W.; Stelinski, L. Sulfur volatiles from Allium spp. affect Asian citrus psyllid, Diaphorina citri Kuwayama (Hemiptera: Psyllidae), response to citrus volatiles. Bull. Entomol. Res. 2011, 101, 89–97. [Google Scholar] [CrossRef]
  50. Mann, R.S.; Rouseff, R.L.; Smoot, J.; Rao, N.; Meyer, W.L.; Lapointe, S.L.; Robbins, P.S.; Cha, D.; Linn, C.E.; Webster, F.X. Chemical and behavioral analysis of the cuticular hydrocarbons from Asian citrus psyllid, Diaphorina citri. Insect Sci. 2013, 20, 367–378. [Google Scholar] [CrossRef]
  51. Zheng, Y.; Zhang, J.; Li, Y.; Liu, Y.; Liang, J.; Wang, C.; Fang, F.; Deng, X.; Zheng, Z. Pathogenicity and Transcriptomic Analyses of Two “Candidatus Liberibacter asiaticus” Strains Harboring Different Types of Phages. Microbiol. Spectr. 2023, 11, e00754-23. [Google Scholar] [CrossRef]
  52. Hosseinzadeh, S.; Heck, M. Variations on a theme: Factors regulating interaction between Diaphorina citri and “Candidatus Liberibacter asiaticus” vector and pathogen of citrus huanglongbing. Curr. Opin. Insect Sci. 2023, 56, 101025. [Google Scholar] [CrossRef]
  53. Tiwari, S.; Stelinski, L.L. Effects of cyantraniliprole, a novel anthranilic diamide insecticide, against Asian citrus psyllid under laboratory and field conditions. Pest Manag. Sci. 2013, 69, 1066–1072. [Google Scholar] [CrossRef]
  54. Assadpour, E.; Can Karaça, A.; Fasamanesh, M.; Mahdavi, S.A.; Shariat-Alavi, M.; Feng, J.; Kharazmi, M.S.; Rehman, A.; Jafari, S.M. Application of essential oils as natural biopesticides; recent advances. Crit. Rev. Food Sci. Nutr. 2023, 1–21. [Google Scholar] [CrossRef]
  55. Wuryantini, S.; Yudistira, R. The toxicity of the extract of tobacco leaf Nicotiana tabacum L, marigold leaf Tithonia diversifolia (HAMSLEY) and Citrus japansche citroen peel Citrus limonia against citrus psyllid (Diaphorina citri Kuwayama), the vector of citrus HLB disease. IOP Conf. Ser. Earth Environ. Sci. 2020, 457, 012039. [Google Scholar] [CrossRef]
  56. Hall, D.G.; Borovsky, D.; Chauhan, K.R.; Shatters, R.G. An evaluation of mosquito repellents and essential plant oils as deterrents of Asian citrus psyllid. Crop Prot. 2018, 108, 87–94. [Google Scholar] [CrossRef]
  57. Tian, F.; Li, C.; Wang, Z.; Liu, J.; Zeng, X. Identification of detoxification genes in imidacloprid-resistant Asian citrus psyllid (Hemiptera: Lividae) and their expression patterns under stress of eight insecticides. Pest Manag Sci 2019, 75, 1400–1410. [Google Scholar] [CrossRef]
  58. Lee, S.; Peterson, C.J.; Coats, J. Fumigation toxicity of monoterpenoids to several stored product insects. J. Stored Prod. Res. 2003, 39, 77–85. [Google Scholar] [CrossRef]
  59. Tak, J.-H.; Isman, M.B. Enhanced cuticular penetration as the mechanism for synergy of insecticidal constituents of rosemary essential oil in Trichoplusia ni. Sci. Rep. 2015, 5, 12690. [Google Scholar] [CrossRef]
  60. Pavela, R. Limitation of plant biopesticides. In Advances in Plant Biopesticides; Springer: Berlin/Heidelberg, Germany, 2014; pp. 347–359. [Google Scholar]
  61. Bandi, S.M.; Mishra, P.; Venkatesha, K.; Aidbhavi, R.; Singh, B. Insecticidal, residual and sub-lethal effects of some plant essential oils on Callosobruchus analis (F.) infesting stored legumes. Int. J. Trop. Insect Sci. 2023, 43, 383–395. [Google Scholar] [CrossRef]
  62. Ciobanu, A.; Landy, D.; Fourmentin, S. Complexation efficiency of cyclodextrins for volatile flavor compounds. Food Res. Int. 2013, 53, 110–114. [Google Scholar] [CrossRef]
  63. Costa, J.A.V.; Freitas, B.C.B.; Cruz, C.G.; Silveira, J.; Morais, M.G. Potential of microalgae as biopesticides to contribute to sustainable agriculture and environmental development. J. Environ. Sci. Health Part B 2019, 54, 366–375. [Google Scholar] [CrossRef]
Figure 1. Settling preference of D. citri adults on seedlings treated with various concentrations of AAEO 24 (A), 48 (B), and 72 h (C) after the release of adults. Bars within a panel not labelled by the same letter are significantly different according to Tukey’s test (p < 0.05).
Figure 1. Settling preference of D. citri adults on seedlings treated with various concentrations of AAEO 24 (A), 48 (B), and 72 h (C) after the release of adults. Bars within a panel not labelled by the same letter are significantly different according to Tukey’s test (p < 0.05).
Horticulturae 09 00758 g001
Figure 2. Effect of AAEO on D. citri adult feeding as measured by the number of honeydew droplets produced. (A) Citrus leaf discs treated with various concentrations of AAEO in 20% ethanol + 0.05% Tween 80 or 20% ethanol + 0.05% Tween 80 (as control) were exposed to 10 D. citri adults, (B) The filter papers with honeydew droplets produced by D. citri adults, filter paper immersed in 1% ninhydrin forms a purple spot. (C) Effect of AAEO on D. citri adult feeding. Bars within a panel not labelled by the same letter are significantly different according to Tukey’s test (p < 0.05).
Figure 2. Effect of AAEO on D. citri adult feeding as measured by the number of honeydew droplets produced. (A) Citrus leaf discs treated with various concentrations of AAEO in 20% ethanol + 0.05% Tween 80 or 20% ethanol + 0.05% Tween 80 (as control) were exposed to 10 D. citri adults, (B) The filter papers with honeydew droplets produced by D. citri adults, filter paper immersed in 1% ninhydrin forms a purple spot. (C) Effect of AAEO on D. citri adult feeding. Bars within a panel not labelled by the same letter are significantly different according to Tukey’s test (p < 0.05).
Horticulturae 09 00758 g002
Figure 3. Effect of AAEO on the age-stage-specific survival rate (sxj) of the D. citri on sweet orange seedlings compared to untreated sweet orange seedlings.
Figure 3. Effect of AAEO on the age-stage-specific survival rate (sxj) of the D. citri on sweet orange seedlings compared to untreated sweet orange seedlings.
Horticulturae 09 00758 g003
Figure 4. Effect of AAEO on the age-specific survival rate (lx), female age-specific fecundity (fx), age-specific fecundity (mx), and age-specific maternity (lx*mx) of the D. citri on sweet orange seedlings in comparison to untreated sweet orange seedlings.
Figure 4. Effect of AAEO on the age-specific survival rate (lx), female age-specific fecundity (fx), age-specific fecundity (mx), and age-specific maternity (lx*mx) of the D. citri on sweet orange seedlings in comparison to untreated sweet orange seedlings.
Horticulturae 09 00758 g004
Figure 5. Effect of AAEO on the life expectancy (exj) of the D. citri on sweet orange seedlings compared to untreated sweet orange seedlings.
Figure 5. Effect of AAEO on the life expectancy (exj) of the D. citri on sweet orange seedlings compared to untreated sweet orange seedlings.
Horticulturae 09 00758 g005
Figure 6. Effect of AAEO on the reproductive value (vxj) of the D. citri on sweet orange seedlings compared to untreated sweet orange seedlings.
Figure 6. Effect of AAEO on the reproductive value (vxj) of the D. citri on sweet orange seedlings compared to untreated sweet orange seedlings.
Horticulturae 09 00758 g006
Table 1. AAEO dominant constituents were identified through GC/MS [23].
Table 1. AAEO dominant constituents were identified through GC/MS [23].
Peak #Compounds Name bRelative %RT aKI (Exp) c
1β-myrcene0.8612.3511147
2Pinocarvone0.6213.2911172
3α-Gurjunene 1.6821.8381416
4α-Humulene0.9422.9761452
5α-Copaene3.5123.8111478
6g-Curcumene0.4524.0541486
7epi-Cubenol2.6724.7541508
8β -Calacorene2.1026.5991570
9(-)-Spathulenol1.9426.7371575
10Germacrene-D-4-ol3.4826.8611579
11Guaiol19.3427.5591602
12Thujol2.6927.8371620
134-epi-Cubedol1.6828.3561631
14Cubenol1.8928.641641
15γ-Eudesmol1.1929.0111654
168-epi-γ-Eudesmol1.1429.1131657
17a-Cadinol2.7629.2691663
18Geranial 8.8329.8441686
19Chamazulene5.9431.0671728
201,3-Dicyclopentylcyclopentane0.9331.4551746
21Fraganol0.9532.3551769
22Tetrakis(1-methyl)-Pyrazine2.2632.921797
24Cubedol1.1636.5681941
25Geranyl-p-Cymene1.6336.7481948
26Nerolidol-epoxyacetate1.1237.9991999
27Geranyl-α-terpinene5.6438.1762007
28Spathulenol0.8339.5492066
29Heneicosane1.6040.3412100
30Eugenol1.2140.5072102
31Carvacrol5.4741.5572147
32α-Bisabolol6.1741.7212166
331-ethyl-4-methoxy-benzene0.5343.7842256
34Tricosane1.4844.7352300
351-Heptatriacotanol1.0344.9312309
36Pentacosane2.2048.7862500
37Heptacosane1.2852.5392700
38Nonacosane0.8056.1062899
Total identified99.9
Oil yield (%)0.46
Monoterpenes20.42
Sesquiterpenes52.69
Others26.89
a Retention time. b Compounds are listed in order of their retention time. c Retention index relative to C7-C40 n-alkanes on a DB-1 (30 m × 0.22 mm i.d., 0.25 µm film thickness). Identification methods: RI, based on comparison of calculated RI with those reported in Adams or NIST 08 and previous literature.
Table 2. Effect of AAEO on reproductive and population parameters of the D. citri on treated sweet orange seedlings compared to untreated sweet orange seedlings.
Table 2. Effect of AAEO on reproductive and population parameters of the D. citri on treated sweet orange seedlings compared to untreated sweet orange seedlings.
TraitsTreated Untreated
        r (per day) 0.070.10
        ʎ (per day) 1.071.11
        GRR (offspring)7.5316.02
        R0 (offspring/individual)6.4014.21
r; The intrinsic rate of increase (per day) ʎ; The finite rate of increase (per day) GRR; Gross reproductive rate (offspring) R0; The net reproductive rate (offspring/individual).
Table 3. Toxicity of AAEO against A. mellifera.
Table 3. Toxicity of AAEO against A. mellifera.
Concentration (mg/mL)Exposed a% Mortality ± SD bLC50 c (95% CL d)LC90 e (95% CL)X² (df) fp-Value
246421.65 ± 0.8735.05 (25.58–34.69)55.86 (46.01–67.81)0.94 (2)0.23
366035.32 ± 0.59
486752.01 ± 0.87
606765.34 ± 0.60
726384.32 ± 0.51
Control654.11 ± 0.11
Imidacloprid (ug/mL)
56620.22 ± 0.2313.49 (9.45–19.34) 47.87 (33.32–55.31)4.41 (3)0.49
105829.11 ± 0.35
156948.04 ± 0.45
206165.21 ± 0.32
255681.00 ± 0.13
Control627.12 ± 0.99
a Total number of bees treated. b SD. Standard deviation. c LC50. 50 % lethal concentration. d CL. Confidence limits. e LC90. 90% lethal concentration. f χ2 chi-square, df degrees of freedom.
Disclaimer/Publisher’s Note: The statements, opinions and data contained in all publications are solely those of the individual author(s) and contributor(s) and not of MDPI and/or the editor(s). MDPI and/or the editor(s) disclaim responsibility for any injury to people or property resulting from any ideas, methods, instructions or products referred to in the content.

Share and Cite

MDPI and ACS Style

Rizvi, S.A.H.; Al-Shuraym, L.A.; Al-Ghamdi, M.S.; Al Galil, F.M.A.; Al-Mekhlafi, F.A.; Wadaan, M.; Jaleel, W. Evaluation of Artemisia absinthium L. Essential Oil as a Potential Novel Prophylactic against the Asian Citrus Psyllid Diaphorina citri Kuwayama. Horticulturae 2023, 9, 758. https://doi.org/10.3390/horticulturae9070758

AMA Style

Rizvi SAH, Al-Shuraym LA, Al-Ghamdi MS, Al Galil FMA, Al-Mekhlafi FA, Wadaan M, Jaleel W. Evaluation of Artemisia absinthium L. Essential Oil as a Potential Novel Prophylactic against the Asian Citrus Psyllid Diaphorina citri Kuwayama. Horticulturae. 2023; 9(7):758. https://doi.org/10.3390/horticulturae9070758

Chicago/Turabian Style

Rizvi, Syed Arif Hussain, Laila A. Al-Shuraym, Mariam S. Al-Ghamdi, Fahd Mohammed Abd Al Galil, Fahd A. Al-Mekhlafi, Mohamed Wadaan, and Waqar Jaleel. 2023. "Evaluation of Artemisia absinthium L. Essential Oil as a Potential Novel Prophylactic against the Asian Citrus Psyllid Diaphorina citri Kuwayama" Horticulturae 9, no. 7: 758. https://doi.org/10.3390/horticulturae9070758

APA Style

Rizvi, S. A. H., Al-Shuraym, L. A., Al-Ghamdi, M. S., Al Galil, F. M. A., Al-Mekhlafi, F. A., Wadaan, M., & Jaleel, W. (2023). Evaluation of Artemisia absinthium L. Essential Oil as a Potential Novel Prophylactic against the Asian Citrus Psyllid Diaphorina citri Kuwayama. Horticulturae, 9(7), 758. https://doi.org/10.3390/horticulturae9070758

Note that from the first issue of 2016, this journal uses article numbers instead of page numbers. See further details here.

Article Metrics

Back to TopTop