Effect of Magnetic Water Treatment on the Growth, Nutritional Status, and Yield of Lettuce Plants with Irrigation Rate
Abstract
1. Introduction
2. Materials and Methods
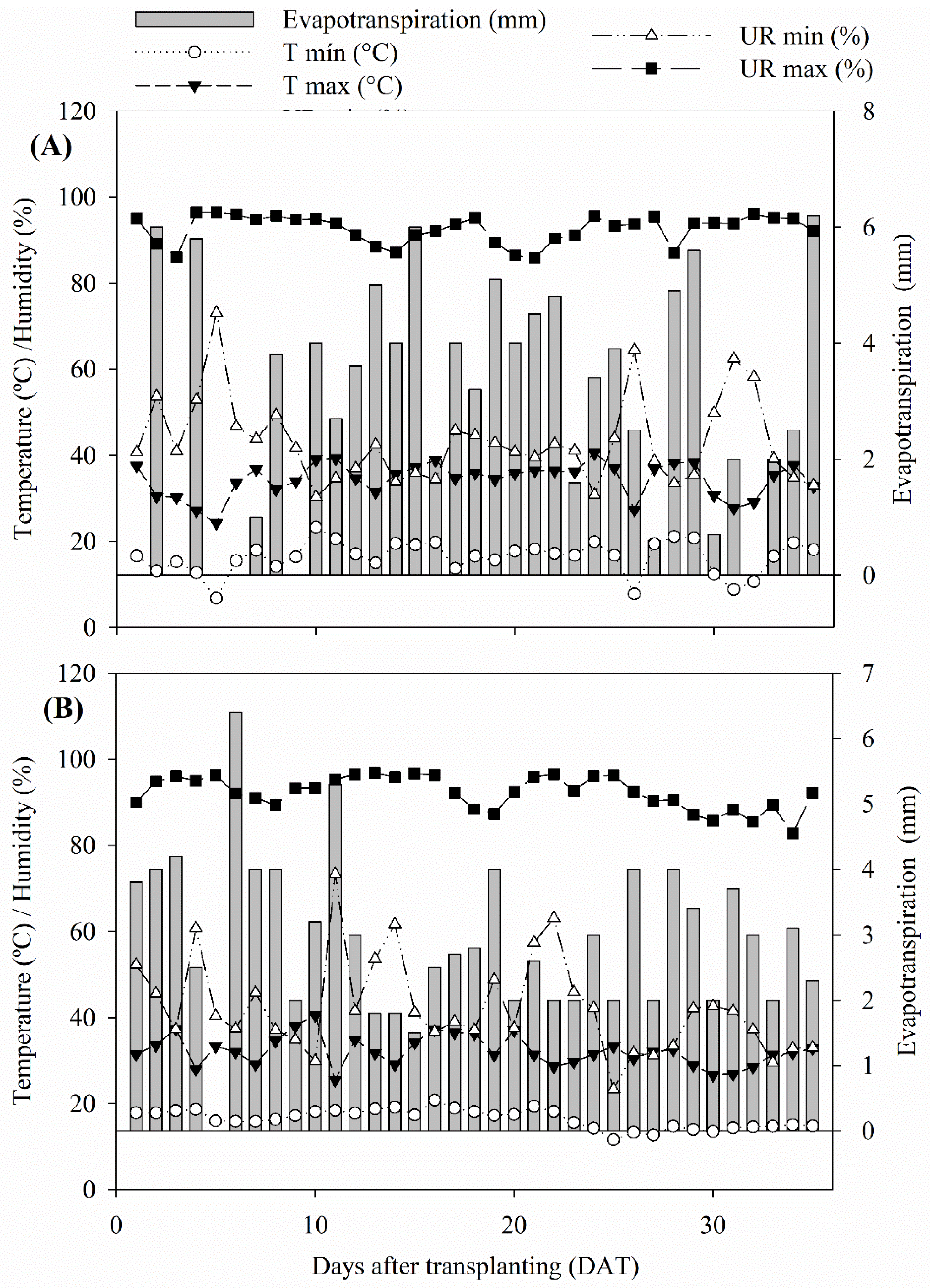
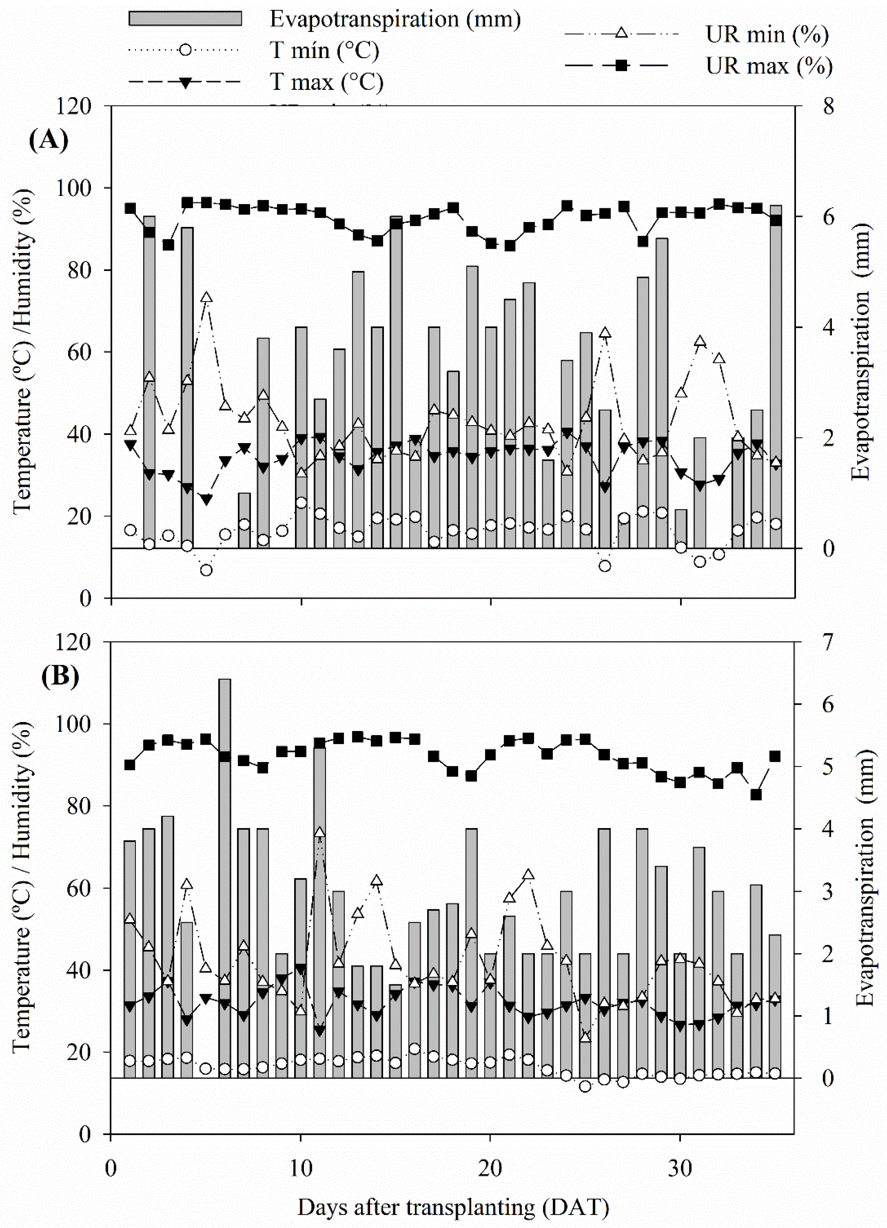
2.1. Experimental Area
2.2. Planting and Plant Management
2.3. Experimental Design and Treatments
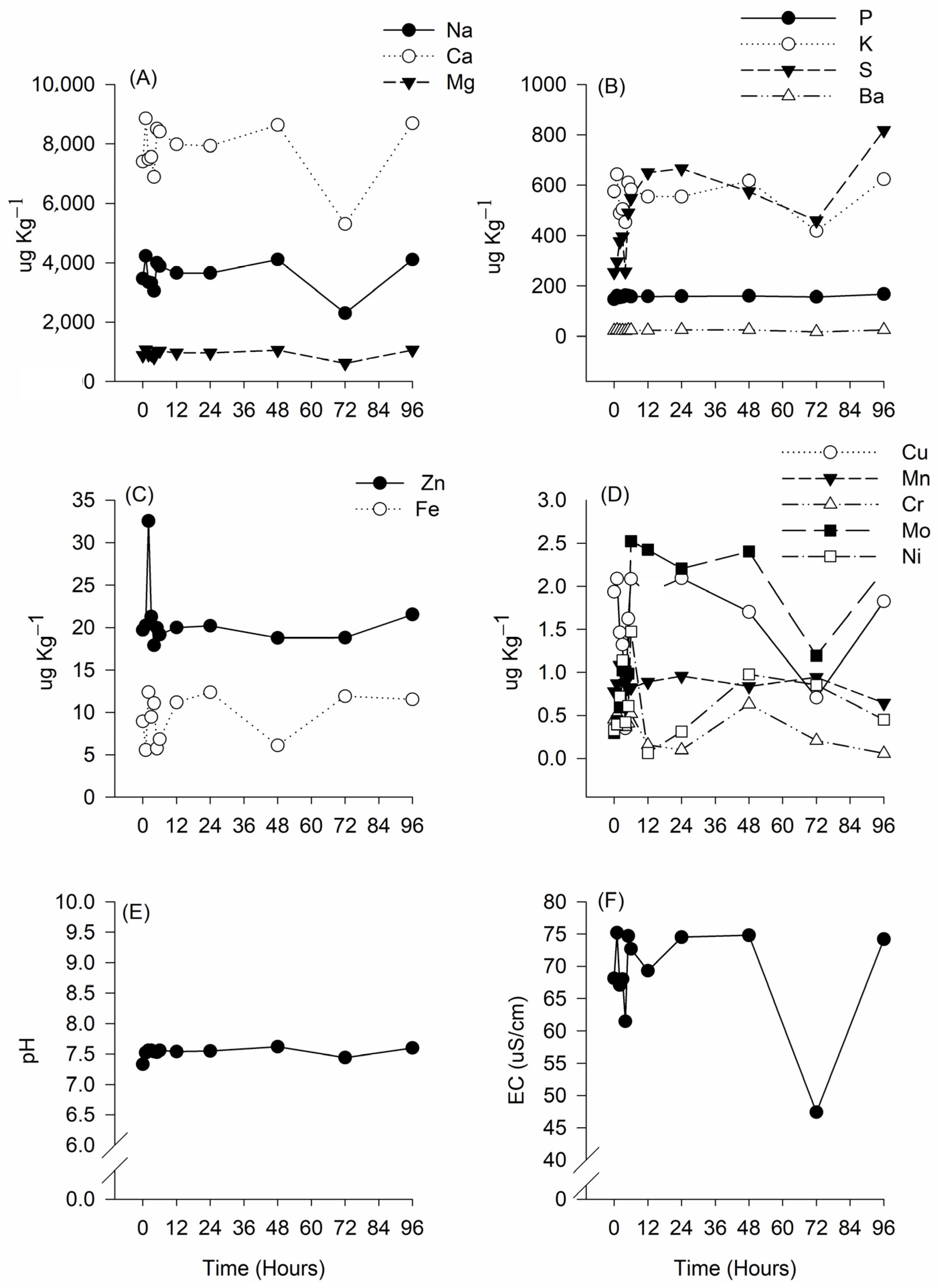
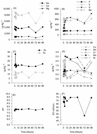
2.4. Conventional Water and Magnetic Treatment of Water
2.5. Irrigation Management
2.6. Soil Moisture, Plant Harvest, and Determination of Plant Nutrients
2.7. Statistical Analysis
3. Results
3.1. Influence of Magnetic Treatment on Soil Moisture
3.2. Influence of Magnetic Treatment on Shoot Concentrations of Macronutrients
3.3. Influence of Magnetic Treatment on Shoot Concentrations of Micronutrients
3.4. Biometric Components
3.5. Multivariate Analysis
4. Discussion
5. Conclusions
Author Contributions
Funding
Data Availability Statement
Conflicts of Interest
References
- Fontana, L.; Rossi, C.A.; Hubinger, S.Z.; Ferreira, M.D.; Spoto, M.H.F.; Sala, F.C.; Verruma-Bernardi, M.R. Physicochemical characterization and sensory evaluation of lettuce cultivated in three growing systems. Hortic. Bras. 2018, 36, 20–26. [Google Scholar] [CrossRef]
- Fereres, E.; García-Vila, M. Irrigation management for efficient crop production. Crop Sci. 2019, 5, 345–360. [Google Scholar]
- Williams, L.; Salt, D.E. The plant ionome coming into focus. Curr. Opin. Plant Biol. 2009, 12, 247. [Google Scholar] [CrossRef] [PubMed]
- Bariya, H.; Bagtharia, S.; Patel, A. Boron: A promising nutrient for increasing growth and yield of plants. In Nutrient Use Efficiency in Plants; Springer: Berlin/Heidelberg, Germany, 2014; pp. 153–170. [Google Scholar]
- Fageria, N.K. The Use of Nutrients in Crop Plants; CRC Press: Boca Raton, FL, USA, 2016. [Google Scholar]
- Ripathi, D.K.; Shweta; Singh, S.; Singh, S.; Pandey, R.; Singh, V.P.; Sharma, N.C.; Prasad, S.M.; Dubey, N.K.; Chauhan, D.K. An overview on manufactured nanoparticles in plants: Uptake, translocation, accumulation and phytotoxicity. Plant Physiol. Biochem. 2017, 110, 2–12. [Google Scholar] [CrossRef] [PubMed]
- Craine, J.M.; Dybzinski, R. Mechanisms of plant competition for nutrients, water and light. Funct. Ecol. 2013, 27, 833–840. [Google Scholar] [CrossRef]
- Androcioli, L.G.; Zeffa, D.M.; Alves, D.S.; Tomaz, J.P.; Moda-Cirino, V. Effect of Water Deficit on Morphoagronomic and Physiological Traits of Common Bean Genotypes with Contrasting Drought Tolerance. Water 2020, 12, 217. [Google Scholar] [CrossRef]
- Chai, Q.; Gan, Y.; Zhao, C.; Xu, H.-L.; Waskom, R.M.; Niu, Y.; Siddique, K.H. Regulated deficit irrigation for crop production under drought stress. A review. Agron. Sustain. Dev. 2016, 36, 3. [Google Scholar] [CrossRef]
- Farooq, M.; Wahid, A.; Kobayashi, N.; Fujita, D.; Basra, S.M.A. Plant drought stress: Effects, mechanisms and management. Sustain. Agric. 2009, 29, 153–188. [Google Scholar]
- Kapoor, D.; Bhardwaj, S.; Landi, M.; Sharma, A.; Ramakrishnan, M.; Sharma, A. The impact of drought in plant metabolism: How to exploit tolerance mechanisms to increase crop production. Appl. Sci. 2020, 10, 5692. [Google Scholar] [CrossRef]
- Altieri, M.A.; Nicholls, C.I.; Montalba, R. Technological approaches to sustainable agriculture at a crossroads: An agroecological perspective. Sustainability 2017, 9, 349. [Google Scholar] [CrossRef]
- Zlotopolski, V. The impact of magnetic water treatment on salt distribution in a large unsaturated soil column. Int. Soil Water Conserv. Res. 2017, 5, 253–257. [Google Scholar] [CrossRef]
- Mostafazadeh-Fard, B.; Khoshravesh, M.; Mousavi, S.-F.; Kiani, A.-R. Effects of magnetized water and irrigation water salinity on soil moisture distribution in trickle irrigation. J. Irrig. Drain. Eng. 2011, 137, 398–402. [Google Scholar] [CrossRef]
- Khoshravesh, M.; Mostafazadeh-Fard, B.; Mousavi, S.F.; Kiani, A.R. Effects of magnetized water on the distribution pattern of soil water with respect to time in trickle irrigation. Soil Use Manag. 2011, 27, 515–522. [Google Scholar] [CrossRef]
- Nogueira, B.B.; Vicente, E.F.; Chaves, P.P.N.; Zanetti, W.A.L.; Ono, E.O.; da Silva, G.F.; dos Reis, A.R.; Putti, F.F. Sugar Metabolism and Photosynthesis of Tomatoes Irrigated with Water Treated with Low-Frequency Electromagnetic Resonance Fields in Different Fertigation Doses. Horticulturae 2022, 8, 868. [Google Scholar] [CrossRef]
- Putti, F.F.; Nogueira, B.B.; de Souza, A.V.; Vicente, E.F.; Zanetti, W.A.L.; Sartori, D.D.L.; Barcelos, J.P.D.Q. Productive and physico-chemical parameters of tomato fruits submitted to fertigation doses with water treated with very low-frequency electromagnetic resonance fields. Plants 2022, 11, 1587. [Google Scholar] [CrossRef]
- Yusuf, K.O.; Sakariyah, S.A.; Baiyeri, M.R. Influence of magnetized water and seed on yield and uptake of heavy metals of tomato. Not. Sci. Biol. 2019, 11, 122–129. [Google Scholar] [CrossRef]
- Cui, H.; Liu, X.; Jing, R.; Zhang, M.; Wang, L.; Zheng, L.; Kong, L.; Wang, H.; Ma, F. Irrigation with Magnetized Water Affects the Soil Microenvironment and Fruit Quality of Eggplants in a Covered Vegetable Production System in Shouguang City, China. J. Soil Sci. Plant Nutr. 2020, 20, 2684–2697. [Google Scholar] [CrossRef]
- Massah, J.; Dousti, A.; Khazaei, J.; Vaezzadeh, M. Effects of water magnetic treatment on seed germination and seedling growth of wheat. J. Plant Nutr. 2019, 42, 1283–1289. [Google Scholar] [CrossRef]
- Selim, D.A.-F.H.; Nassar, R.M.A.; Boghdady, M.S.; Bonfill, M. Physiological and anatomical studies of two wheat cultivars irrigated with magnetic water under drought stress conditions. Plant Physiol. Biochem. 2019, 135, 480–488. [Google Scholar] [CrossRef]
- Rosen, A.D. Mechanism of action of moderate-intensity static magnetic fields on biological systems. Cell Biochem. Biophys. 2003, 39, 163–173. [Google Scholar] [CrossRef]
- Mghaiouini, R.; Salah, M.; Monkade, M.; El Bouari, A. A New Knowledge of Water Magnetism Phenomenon. Arab. J. Sci. Eng. 2022, 47, 1129–1136. [Google Scholar] [CrossRef]
- Gaafar, M.M.; Hussain, H.J.; Chaloob, K.A.; Raheem, S.N.; Mohamed, S.K.A.B. Effect of magnetic water on physical properties of different kind of water, and studying its ability to dissolving kidney stone. J. Nat. Sci. Res. 2015, 5, 85–94. [Google Scholar]
- Al-Ogaidi, A.A.; Wayayok, A.; Rowshon, M.; Abdullah, A.F. The influence of magnetized water on soil water dynamics under drip irrigation systems. Agric. Water Manag. 2017, 180, 70–77. [Google Scholar] [CrossRef]
- Surendran, U.; Sandeep, O.; Joseph, E. The impacts of magnetic treatment of irrigation water on plant, water and soil characteristics. Agric. Water Manag. 2016, 178, 21–29. [Google Scholar]
- Dexter, A.R. Soil physical quality: Part I. Theory, effects of soil texture, density, and organic matter, and effects on root growth. Geoderma 2004, 120, 201–214. [Google Scholar] [CrossRef]
- Shabrangi, A.; Majd, A. Effect of Magnetic Fields on Growth and Antioxidant Systems in Agricultural Plants. In Proceedings of the Progress in Electromagnetics Research Symposium (PIERS), Beijing, China, 23–27 March 2009; pp. 23–27. [Google Scholar]
- ul Haq, Z.; Jamil, Y.; Irum, S.; Randhawa, M.A.; Iqbal, M.; Amin, N. Enhancement in the germination, seedling growth and yield of radish (Raphanus sativus) using seed pre-sowing magnetic field treatment. Pol. J. Environ. Stud. 2012, 21, 369–374. [Google Scholar]
- Jamil, Y.; Haq, Z.U.; Iqbal, M.; Perveen, T.; Amin, N. Enhancement in growth and yield of mushroom using magnetic field treatment. Int. Agrophysics 2012, 26, 375–380. [Google Scholar] [CrossRef]
- Souza, A.D.; Rezende, R.; Seron, C.D.C.; Lorenzoni, M.Z.; Nascimento, J.M.R.; Lozano, C.S.; Nalin, D.; Terassi, D.D.S.; Gonçalves, A.C.A.; Saath, R.; et al. Evaluation of the growth and the yield of Eggplant crop under different irrigation depths and magnetic treatment of water. J. Agric. Sci. 2019, 11, 35–43. [Google Scholar] [CrossRef]
- Liu, X.; Zhu, H.; Meng, S.; Bi, S.; Zhang, Y.; Wang, H.; Song, C.; Ma, F. The effects of magnetic treatment of irrigation water on seedling growth, photosynthetic capacity and nutrient contents of Populus × euramericana ‘Neva’under NaCl stress. Acta Physiol. Plant. 2019, 41, 11. [Google Scholar] [CrossRef]
- Sarraf, M.; Kataria, S.; Taimourya, H.; Santos, L.O.; Menegatti, R.D.; Jain, M.; Ihtisham, M.; Liu, S. Magnetic field (MF) applications in plants: An overview. Plants 2020, 9, 1139. [Google Scholar] [CrossRef]
- Zhao, W.; Liu, L.; Shen, Q.; Yang, J.; Han, X.; Tian, F.; Wu, J. Effects of water stress on photosynthesis, yield, and water use efficiency in winter wheat. Water 2020, 12, 2127. [Google Scholar] [CrossRef]
- Escobedo, J.F.; Gomes, E.N.; Oliveira, A.P.; Soares, J. Modeling hourly and daily fractions of UV, PAR and NIR to global solar radiation under various sky conditions at Botucatu, Brazil. Appl. Energy 2009, 86, 299–309. [Google Scholar] [CrossRef]
- Köppen, W.; Geiger, R. Klimate der Erde. Gotha: Verlag Justus Perthes. In Wall-Map 150cmx200cm; 1928; pp. 91–102. [Google Scholar]
- Raij, V.; Andrade, J.C.; Cantarella, H.; Quaggio, J.A. Análise Química Para Avaliação da Fertilidade de Solos Tropicais; Instituto Agronômico Campis: Campinas, Brazil, 2001; Volume 285. [Google Scholar]
- Richards, L. Physical condition of water in soil. Methods Soil Anal. Part 1 Phys. Mineral. Prop. Incl. Stat. Meas. Sampl. 1965, 9, 128–152. [Google Scholar]
- Eriksen, R.L.; Knepper, C.; Cahn, M.D.; Mou, B. Screening of lettuce germplasm for agronomic traits under low water conditions. Hortscience 2016, 51, 669–679. [Google Scholar] [CrossRef]
- Montesano, F.; van Iersel, M.; Parente, A. Timer versus moisture sensor-based irrigation control of soilless lettuce: Effects on yield, quality and water use efficiency. Hortic. Sci. 2016, 43, 67–75. [Google Scholar] [CrossRef]
- Allen, R.G.; Pereira, L.S.; Raes, D.; Smith, M. Crop evapotranspiration-Guidelines for computing crop water requirements-FAO Irrigation and drainage paper 56. Fao Rome 1998, 300, D05109. [Google Scholar]
- Snyder, R.L. Equation for evaporation pan to evapotranspiration conversions. J. Irrig. Drain. Eng. 1992, 118, 977–980. [Google Scholar] [CrossRef]
- Merriam, J.L.; Keller, J. Farm irrigation system evaluation: A guide for management. In Farm Irrigation System Evaluation: A Guide for Management; Utah State University: Logan, UT, USA, 1978. [Google Scholar]
- Malavolta, E.; Vitti, G.C.; Oliveira, S.A. Avaliação do Estado Nutricional das Plantas: Princípios e Aplicações; Potafos, Ed.; Piracicaba, Brazil, 1997; p. 201. [Google Scholar]
- De Souza, A.V.; Da Silva Vieira, M.R.; Putti, F.F. Correlations between the Phenolic Compounds and Antioxidant Activity in the Skin and Pulp of Table Grape Varieties. Braz. J. Food Technol. 2018.
- da Silva, V.E.; Tadayozzi, Y.S.; Putti, F.F.; Santos, F.A.; Forti, J.C. Degradation of commercial glyphosate-based herbicide via advanced oxidative processes in aqueous media and phytotoxicity evaluation using maize seeds. Sci. Total Environ. 2022, 840, 156656. [Google Scholar] [CrossRef]
- Pang, X.; Deng, B. Investigation of changes in properties of water under the action of a magnetic field. Sci. China Ser. G Phys. Mech. Astron. 2008, 51, 1621–1632. [Google Scholar] [CrossRef]
- Cai, R.; Yang, H.; He, J.; Zhu, W. The effects of magnetic fields on water molecular hydrogen bonds. J. Mol. Struct. 2009, 938, 15–19. [Google Scholar] [CrossRef]
- Zhou, K.X.; Lu, G.W.; Zhou, Q.C.; Song, J.H.; Jiang, S.T.; Xia, H.R. Monte Carlo simulation of liquid water in a magnetic field. J. Appl. Phys. 2000, 88, 1802–1805. [Google Scholar] [CrossRef]
- Chang, K.-T.; Weng, C.-I. An investigation into the structure of aqueous NaCl electrolyte solutions under magnetic fields. Comput. Mater. Sci. 2008, 43, 1048–1055. [Google Scholar] [CrossRef]
- Moussa, H.R. The impact of magnetic water application for improving common bean (Phaseolus vulgaris L.) production. N. Y. Sci. J. 2011, 4, 15–20. [Google Scholar]
- Hilal, M.; Hilal, M. Application of magnetic technologies in desert agriculture. II-Effect of magnetic treatments of irrigation water on salt distribution in olive and citrus fields and induced changes of ionic balance in soil and plant. Egypt. J. Soil Sci. 2000, 40, 423–435. [Google Scholar]
- Maheshwari, B.L.; Grewal, H.S. Magnetic treatment of irrigation water: Its effects on vegetable crop yield and water productivity. Agric. Water Manag. 2009, 96, 1229–1236. [Google Scholar] [CrossRef]
- Turker, M.; Temirci, C.; Battal, P.; Erez, M. The effects of an artificial and static magnetic field on plant growth, chlorophyll and phytohormone levels in maize and sunflower plants. In Phyton-Annales Rei Botanicae; Verlag Ferdinand Berger and Soehne GmbH: Vinea, Australia, 2007. [Google Scholar]
- Moon, J.-D.; Chung, H.-S. Acceleration of germination of tomato seed by applying AC electric and magnetic fields. J. Electrost. 2000, 48, 103–114. [Google Scholar] [CrossRef]
- Paradisi, S.; Donelli, G.; Santini, M.T.; Straface, E.; Malorni, W. A 50-Hz magnetic field induces structural and biophysical changes in membranes. Bioelectromagnetics 1993, 14, 247–255. [Google Scholar] [CrossRef]
- Blank, M. Biological effects of environmental electromagnetic fields: Molecular mechanisms. Biosystems 1995, 35, 175–178. [Google Scholar] [CrossRef]
- Noran, R.; Shani, U.; Lin, I. The effect of irrigation with magnetically treated water on the translocation of minerals in the soil. Magn. Electr. Sep. 1970, 7, 109–122. [Google Scholar] [CrossRef]
- Baghel, L.; Kataria, S.; Guruprasad, K.N. Static magnetic field treatment of seeds improves carbon and nitrogen metabolism under salinity stress in soybean. Bioelectromagnetics 2016, 37, 455–470. [Google Scholar] [CrossRef] [PubMed]
- Baghel, L.; Kataria, S.; Guruprasad, K.N. Effect of static magnetic field pretreatment on growth, photosynthetic performance and yield of soybean under water stress. Photosynthetica 2018, 56, 718–730. [Google Scholar] [CrossRef]
- Anand, A.; Nagarajan, S.; Verma, A.P.S.; Joshi, D.K.; Pathak, P.C.; Bhardwaj, J. Pre-treatment of seeds with static magnetic field ameliorates soil water stress in seedlings of maize (Zea mays L.). Indian J. Biochem. Biophys. 2012, 49, 63–70. [Google Scholar]
- Matulovic, M.; Putti, F.F.; Cremasco, C.P.; Gabriel Filho, L.R.A.G. Technology 4.0 with 0.0 costs: Fuzzy model of lettuce productivity with magnetized water. Acta Sci. Agron. 2021, 43, e51384. [Google Scholar] [CrossRef]










Disclaimer/Publisher’s Note: The statements, opinions and data contained in all publications are solely those of the individual author(s) and contributor(s) and not of MDPI and/or the editor(s). MDPI and/or the editor(s) disclaim responsibility for any injury to people or property resulting from any ideas, methods, instructions or products referred to in the content. |
© 2023 by the authors. Licensee MDPI, Basel, Switzerland. This article is an open access article distributed under the terms and conditions of the Creative Commons Attribution (CC BY) license (https://creativecommons.org/licenses/by/4.0/).
Share and Cite
Putti, F.F.; Vicente, E.F.; Chaves, P.P.N.; Mantoan, L.P.B.; Cremasco, C.P.; Arruda, B.; Forti, J.C.; Junior, J.F.S.; Campos, M.; Reis, A.R.d.; et al. Effect of Magnetic Water Treatment on the Growth, Nutritional Status, and Yield of Lettuce Plants with Irrigation Rate. Horticulturae 2023, 9, 504. https://doi.org/10.3390/horticulturae9040504
Putti FF, Vicente EF, Chaves PPN, Mantoan LPB, Cremasco CP, Arruda B, Forti JC, Junior JFS, Campos M, Reis ARd, et al. Effect of Magnetic Water Treatment on the Growth, Nutritional Status, and Yield of Lettuce Plants with Irrigation Rate. Horticulturae. 2023; 9(4):504. https://doi.org/10.3390/horticulturae9040504
Chicago/Turabian StylePutti, Fernando Ferrari, Eduardo Festozo Vicente, Prínscilla Pâmela Nunes Chaves, Luís Paulo Benetti Mantoan, Camila Pires Cremasco, Bruna Arruda, Juliane Cristina Forti, Josué Ferreira Silva Junior, Marcelo Campos, André Rodrigues dos Reis, and et al. 2023. "Effect of Magnetic Water Treatment on the Growth, Nutritional Status, and Yield of Lettuce Plants with Irrigation Rate" Horticulturae 9, no. 4: 504. https://doi.org/10.3390/horticulturae9040504
APA StylePutti, F. F., Vicente, E. F., Chaves, P. P. N., Mantoan, L. P. B., Cremasco, C. P., Arruda, B., Forti, J. C., Junior, J. F. S., Campos, M., Reis, A. R. d., & Filho, L. R. A. G. (2023). Effect of Magnetic Water Treatment on the Growth, Nutritional Status, and Yield of Lettuce Plants with Irrigation Rate. Horticulturae, 9(4), 504. https://doi.org/10.3390/horticulturae9040504

