Determination of Hourly Distribution of Tuta absoluta (Meyrick) (Lepidoptera: Gelechiidae) Using Sex Pheromone and Ultraviolet Light Traps in Protected Tomato Crops
Abstract
1. Introduction
2. Materials and Methods
2.1. Study Site
2.2. Tomatoes and Their Planting
2.3. Traps
2.3.1. Sex Pheromone Trap
2.3.2. Light Trap
2.4. Hourly Distribution Study
2.4.1. Sex Pheromone Trap Evaluation
2.4.2. UV Light Trap Evaluation
2.5. Data Collection and Analysis
3. Results
3.1. Hourly Distribution Evaluated for Sex Pheromone Traps
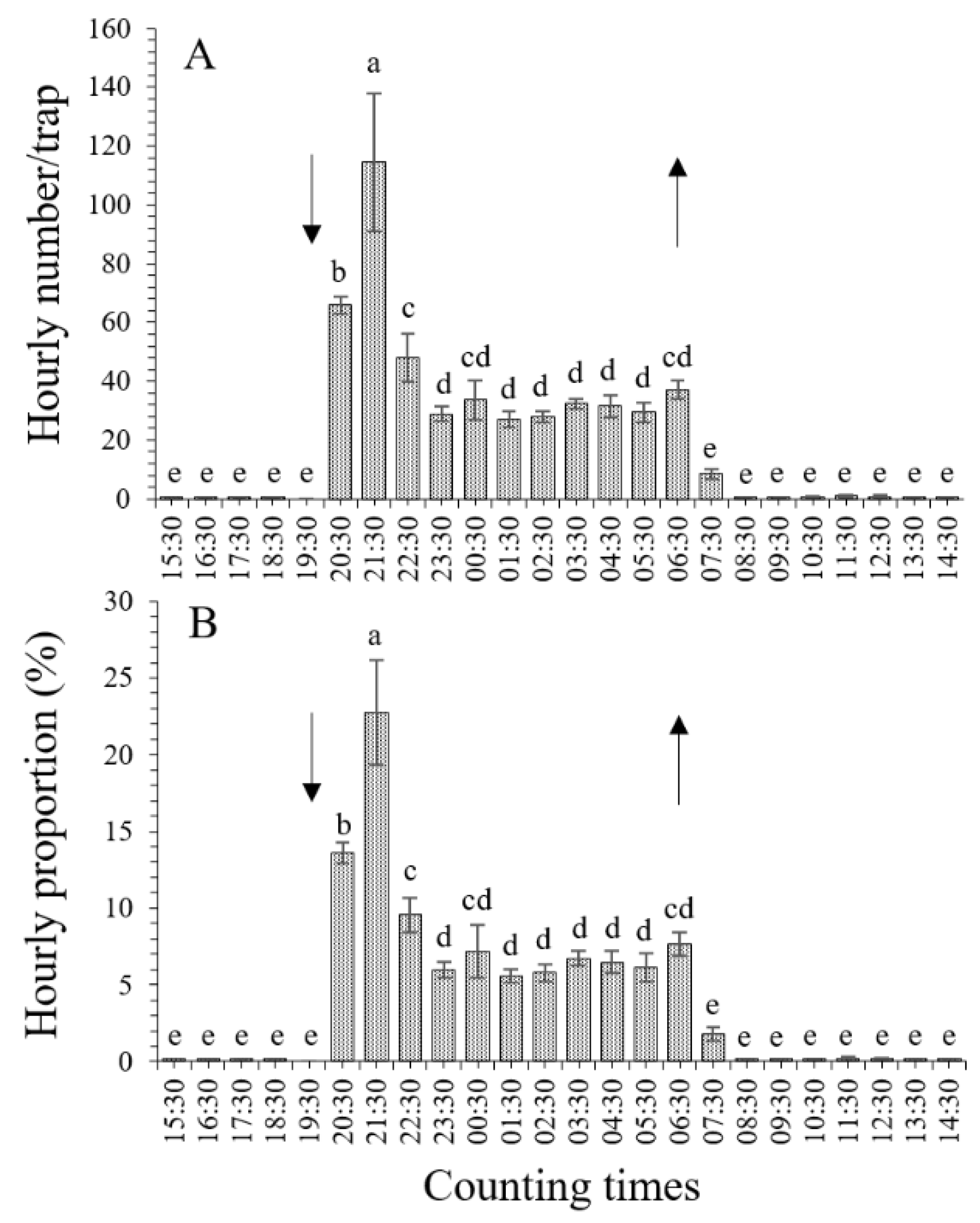
3.1.1. Hourly Distribution of Male Numbers
3.1.2. Hourly Distribution of Proportions
3.2. Hourly Distribution Evaluated for UV Light Traps
3.2.1. Hourly Distribution of Total Adults
3.2.2. Hourly Distribution of Male Adults
3.2.3. Hourly Distribution of Female Adults
3.2.4. Comprehensive Analysis
4. Discussion
5. Conclusion
Author Contributions
Funding
Institutional Review Board Statement
Informed Consent Statement
Data Availability Statement
Acknowledgments
Conflicts of Interest
References
- Desneux, N.; Wajnberg, E.; Wyckhuys, K.A.G.; Burgio, G.; Arpaia, S.; Narváez-Vasquez, C.A.; González-Cabrera, J.; Catalán Ruescas, D.; Tabone, E.; Frandon, J.; et al. Biological invasion of European tomato crops by Tuta absoluta: Ecology, geographic expansion and prospects for biological control. J. Pest Sci. 2010, 83, 197–215. [Google Scholar] [CrossRef]
- Campos, M.R.; Biondi, A.; Adiga, A.; Guedes, R.N.C.; Desneux, N. From the Western Palaearctic region to beyond: Tuta absoluta ten years after invading Europe. J. Pest Sci. 2017, 90, 787–796. [Google Scholar] [CrossRef]
- Zhang, G.F.; Ma, D.Y.; Liu, W.X.; Wang, Y.S.; Fu, W.J.; Wang, J.; Gao, Y.H.; Wan, F.H. The arrival of Tuta absoluta (Meyrick) (Lepidoptera: Gelechiidae), in China. J. Biosaf. 2019, 28, 200–203. [Google Scholar]
- Zhang, G.F.; Ma, D.Y.; Wang, Y.S.; Gao, Y.H.; Liu, W.X.; Zhang, R.; Fu, W.J.; Xian, X.Q.; Wang, J.; Kuang, M.; et al. First report of the South American tomato leafminer, Tuta absoluta (Meyrick), in China. J. Integr. Agr. 2020, 19, 1912–1917. [Google Scholar] [CrossRef]
- FAO (Food and Agriculture Organization). Online Statistical Database: Food and Agriculture Data. FAOSTAT. Available online: http://www.fao.org/faostat/en/#data (accessed on 22 December 2022).
- Biondi, A.; Guedes, N.R.C.; Wan, F.H.; Desneux, N. Ecology, worldwide spread, and management of the invasive south American tomato pinworm, Tuta absoluta: Past, present, and future. Annu. Rev. Entomol. 2018, 63, 239–258. [Google Scholar] [CrossRef]
- Zhang, G.F.; Xian, X.Q.; Zhang, Y.B.; Liu, W.X.; Liu, H.; Feng, X.D.; Ma, D.Y.; Wang, Y.S.; Gao, Y.H.; Zhang, R.; et al. Outbreak of the South American tomato leafminer, Tuta absoluta, in the Chinese mainland: Geographic and potential host range expansion. Pest Manag. Sci. 2021, 77, 5475–5488. [Google Scholar] [CrossRef] [PubMed]
- Zhang, G.F.; Zhang, Y.B.; Xian, X.Q.; Liu, W.X.; Li, P.; Liu, W.C.; Liu, H.; Feng, X.D.; Lü, Z.C.; Wang, Y.S.; et al. Damage of an important and newly invaded agricultural pest, Phthorimaea absoluta, and its prevention and management measures. Plant Prot. 2022, 48, 51–58. [Google Scholar]
- Amire, Y.S.J.; Adili, S.T.E.; Fu, K.Y.; Ding, X.H.; He, J.; Tuershun, A.H.M.T.; Guo, W.C.; Li, X.W. Control effects of 9 pesticides on tomato leafminer, Tuta absoluta (Meyrick). Xinjiang Agr. Sci. 2020, 57, 2291–2298. [Google Scholar]
- Yin, Y.Q.; Zheng, L.P.; Li, F.Q.; Ma, T.C.; Song, W.H.; Chen, F.; Chen, F.S.; Liu, Y.; Chen, A.D. Occurrence and control of Tuta absoluta (Meyrick) in Midu County, Yunnan Province. J. Environ. Entomol. 2021, 43, 559–566. [Google Scholar]
- Lietti, M.M.M.; Botto, E.; Alzogaray, A.R. Insecticide resistance in Argentine populations of Tuta absoluta (Meyrick) (Lepidoptera: Gelechiidae). Neotrop. Entomol. 2005, 34, 113–119. [Google Scholar] [CrossRef]
- Cocco, A.; Deliperi, S.; Delrio, G. Control of Tuta absoluta (Meyrick) (Lepidoptera: Gelechiidae) in greenhouse tomato crops using the mating disruption technique. J. Appl. Entomol. 2013, 137, 16–28. [Google Scholar] [CrossRef]
- Megido, R.C.; Haubruge, E.; Verheggen, F.J. Pheromone-based management strategies to control the tomato leafminer, Tuta absoluta (Lepidoptera: Gelechiidae). A review. Biotechnol. Agron. Soc. Environ. 2013, 17, 475–482. [Google Scholar]
- Aksoy, E.; Kovanci, O.B. Mass trapping low-density populations of Tuta absoluta with various types of traps in field grown tomatoes. J. Plant Dis. Protect. 2016, 123, 51–57. [Google Scholar] [CrossRef]
- Johansen, N.S.; Vänninen, I.; Pinto, D.M.; Nissinen, A.I.; Shipp, L. In the light of new greenhouse technologies: 2. Direct effects of artificial lighting on arthropods and integrated pest management in greenhouse crops. Ann. Appl. Biol. 2011, 159, 1–27. [Google Scholar] [CrossRef]
- Ben-Yakir, D.; Antignus, Y.; Offir, Y.; Shahak, Y. Optical manipulations: An advance approach for reducing sucking insect pests. In Advanced Technologies for Managing Insect Pests; Ishaaya, I., Palli, S.R., Horowitz, A.R., Eds.; Springer: Dordrecht, The Netherlands, 2013; Volume 12, pp. 249–267. ISBN 978-94-007-4497-4. [Google Scholar] [CrossRef]
- Shimoda, M.; Honda, K.I. Insect reactions to light and its applications to pest management. Appl. Entomol. Zool. 2013, 48, 413–421. [Google Scholar] [CrossRef]
- Thomas, M.B. Ecological approaches and the development of ‘truly integrated’ pest management. Proc. Natl. Acad. Sci. USA 1999, 96, 5944–5951. [Google Scholar] [CrossRef]
- Filho, M.M.; Vilela, E.F.; Attygalle, A.B.; Meinwald, J.; Atoš, A.S.; Jham, G.N. Field trapping of tomato moth, Tuta absoluta with pheromone traps. J. Chem. Ecol. 2000, 26, 875–881. [Google Scholar] [CrossRef]
- Wu, Y.J.; Liu, J.L. Application of insect sex pheromone in pest control. J. Shanxi Agr. Sci. 2009, 37, 60–62. [Google Scholar]
- Sang, W.; Huang, Q.Y.; Wang, X.P.; Guo, S.H.; Lei, C.L. Progress in research on insect phototaxis and future prospects for pest light-trap technology in China. Chinese J. Appl. Entomol. 2019, 56, 907–916. [Google Scholar]
- Yang, X.M.; Lu, Y.H.; Liang, G.M. Insect phototaxis behavior and light trapping technology. China Illumin. Eng. J. 2020, 31, 22–31. [Google Scholar]
- Pan, H.S.; Liang, G.M.; Lu, Y.H. Response of different insect groups to various wavelengths of light under field conditions. Insects 2022, 12, 427. [Google Scholar] [CrossRef] [PubMed]
- Du, J.W. Insect Pheromone and Its Application; China Forestry Publishing House: Beijing, China, 1988. [Google Scholar]
- Zhang, G.F.; Zhang, Y.B.; Liu, W.X.; Han, L.; Xian, X.Q.; Wan, F.H.; Fu, W.J.; Wang, J.; Liu, H.; Wang, Y.S.; et al. Evaluation of trapping efficacy of four sources of sex pheromone lures on the South American tomato leafminer Tuta absoluta (Meyrick), a newly invaded alien insect pest in China. Plant Prot. 2020, 46, 303–308. [Google Scholar]
- Zhang, G.F.; Zhang, Y.B.; Zhao, J.N.; Xian, X.Q.; Wang, Y.S.; Liu, W.X.; Wan, F.H.; Zhang, X.M.; Li, P.; Liu, H.; et al. Tropism of Tuta absoluta (Meyrick), an important fruit and vegetable pest insect, to different wavelengths of blue-violet light. Chin. Bull. Entomol. 2022, 59, 1353–1394. [Google Scholar] [CrossRef]
- Wang, M.H.; Ismoilov, K.; Li, H.; Zhang, X.; Lu, Z.Z.; Feng, L.K.; Dai, H.J.; Ye, Z.P.; Biondi, A.; Desneux, N.; et al. Polygyny of Tuta absoluta may affect sex pheromone-based control techniques. Entomol. Gen. 2021, 41, 357–367. [Google Scholar] [CrossRef]
- Cocco, A.; Deliperi, S.; Delrio, G. Potential of mass trapping for Tuta absoluta management in greenhouse tomato crops using light and pheromone traps. Int. Organ. Biol. Integr. Control. West Palaeartic Reg. Sect. Bull. 2012, 80, 319–324. [Google Scholar]
- Erler, F.; Bayram, Y. Efficacy of mass trapping of tomato moth, Tuta absoluta (Meyrick, 1917) (Lepidoptera: Gelechiidae), using a new designed light trap in reducing leaf and fruit damages in greenhouse grown tomatoes. J. Plant Dis. Protect. 2021, 128, 1177–1185. [Google Scholar] [CrossRef]
- Soares, M.A.; Campos, M.R. Phthorimaea absoluta (Tomato Leaf Miner). CABI Compendium. Datasheet: 30 November 2020. Available online: https://www.cabidigitallibrary.org/doi/10.1079/cabicompendium.49260 (accessed on 22 December 2022).
- Zhang, G.F.; Zhang, Y.B.; Liu, W.X.; Zhang, F.; Xian, X.Q.; Wan, F.H.; Feng, X.D.; Zhao, J.N.; Liu, H.; Liu, W.C.; et al. Effect of trap color and position on the trapping efficacy of Tuta absoluta. Sci. Agr. Sin. 2021, 4, 2343–2354. [Google Scholar]
- Uchôa-Fernandes, M.A.; Lucia, T.M.C.D.; Vilela, E.F. Mating, oviposition and pupation of Scrobipalpula absoluta (Meyrick) (Lepidoptera: Gelechiidae). An. Soc. Entomol. Bras. 1995, 24, 159–164. [Google Scholar] [CrossRef]
- Zhang, G.F.; Liu, W.X.; Hu, Q.; Pan, H.W.; Zhang, Y.B.; Wan, F.H.; Xian, X.Q.; Fu, W.J.; Ma, D.Y. A Double-Side-Equivalent Planar Trap. CN Patent ZL201821898730.8, 27 August 2019. [Google Scholar]
- Shiberu, T.; Getu, E. Evaluation of colored sticky traps for the monitoring of Tuta absoluta Meyrick (Lepidoptera: Gelechiidae) in tomato under glasshouse in Ethiopia. Agr. Res. Technol. 2017, 9, 555762. [Google Scholar] [CrossRef]
- IBM Crop. IBM SPSS Statistics for Windows, Version 23.0; IBM Crop: Armonk, NY, USA, 2015. [Google Scholar]
- Li, X.Y.; Jin, L.H.; Chen, Z.; Song, B.A. Application and development of ‘green’ preventive and control technologies in Guizhou tea plantations. Front. Agr. Sci. Eng. 2022, 9, 75–81. [Google Scholar] [CrossRef]
- Baker, G.H.; Tang, C.R.; Fitt, G.P. A tale of two trapping methods: Heliocoverpa spp. in pheromone and light traps in Australian cotton production systems. Bull. Entomol. Res. 2011, 101, 9–23. [Google Scholar] [CrossRef] [PubMed]
- Kim, K.N.; Huang, Q.Y.; Lei, C.L. Advances in insect phototaxis and application to pest management: A review. Pest Manag. Sci. 2019, 75, 3135–3143. [Google Scholar] [CrossRef] [PubMed]
- El-Shafie, H.A.F. Insect pest management in organic farming system. In Integrated Pest Management (IPM) Environmentally Sound Pest Management; Gill, H.K., Goyal, G., Eds.; IntechOpen: London, UK, 2016; Chapter 1; pp. 1–20. [Google Scholar] [CrossRef]
- Stoleru, V.; Sellitto, V.M. Pest control in organic systems. In Integrated Pest Management (IPM) Environmentally Sound Pest Management; Gill, H.K., Goyal, G., Eds.; IntechOpen: London, UK, 2016; Chapter 2; pp. 19–53. [Google Scholar] [CrossRef]
- Lee, M.S.; Albajes, R.; Eizaguirre, M. Mating behaviour of female Tuta absoluta (Lepidoptera: Gelechiidae): Polyandry increases reproductive output. J. Pest Sci. 2014, 87, 429–439. [Google Scholar] [CrossRef]
- Levi-Zada, A.; Byers, J.A. Circadian rhythms of insect pheromone titer, calling, emission, and response: A review. Sci. Nat. 2021, 108, 35. [Google Scholar] [CrossRef]
- Owens, A.C.S.; Lewis, S.M. The impact of artificial light at night on nocturnal insects: A review and synthesis. Ecol. Evol. 2018, 8, 11337–11358. [Google Scholar] [CrossRef]
- Sang, W.; Zhu, Z.H.; Lei, C.L. Review of phototaxis in insects and an introduction to the light stress hypothesis. Chin. J. Appl. Entomol. 2016, 53, 915–920. [Google Scholar]
- Ono, T.; Charlton, R.E.; Cardé, R. Variability in pheromone composition and periodicity of pheromone titer in potato tuberworm moth, Phthorimaea operculella (Lepidoptera: Gelechiidae). J. Chem. Ecol. 1990, 16, 531–542. [Google Scholar] [CrossRef]
- Rama, F.; Reggiori, F.; Pratizzoli, W. Timed mating disruption: A new pheromone-dispensing device for the protection of orchards from Cydia pomonella, C. molesta and leafrollers. In Proceedings of the Conference on “Pheromones and Other Semiochemicals in Integrated Production”, IOBC/WPRS WG Meeting, Erice, Italy, 22–27 September 2002; Available online: https://www.researchgate.net/publication/237570778 (accessed on 22 December 2022).
- Williams, C.B. An analysis of four years’ captures of insects in a light trap. Part I. General survey, sex proportion, phenology, and time of flight. Trans. R. Entomol. Soc. Lond. 1939, 89, 79–132. [Google Scholar] [CrossRef]
- Garris, H.W.; Snyder, J.A. Sex-specific attraction of moth species to ultraviolet light traps. Southeast. Nat. 2010, 9, 427–434. [Google Scholar] [CrossRef]



Disclaimer/Publisher’s Note: The statements, opinions and data contained in all publications are solely those of the individual author(s) and contributor(s) and not of MDPI and/or the editor(s). MDPI and/or the editor(s) disclaim responsibility for any injury to people or property resulting from any ideas, methods, instructions or products referred to in the content. |
© 2023 by the authors. Licensee MDPI, Basel, Switzerland. This article is an open access article distributed under the terms and conditions of the Creative Commons Attribution (CC BY) license (https://creativecommons.org/licenses/by/4.0/).
Share and Cite
Zhang, G.-F.; Zhang, Y.-B.; Zhao, L.; Wang, Y.-S.; Huang, C.; Lü, Z.-C.; Li, P.; Liu, W.-C.; Xian, X.-Q.; Zhao, J.-N.; et al. Determination of Hourly Distribution of Tuta absoluta (Meyrick) (Lepidoptera: Gelechiidae) Using Sex Pheromone and Ultraviolet Light Traps in Protected Tomato Crops. Horticulturae 2023, 9, 402. https://doi.org/10.3390/horticulturae9030402
Zhang G-F, Zhang Y-B, Zhao L, Wang Y-S, Huang C, Lü Z-C, Li P, Liu W-C, Xian X-Q, Zhao J-N, et al. Determination of Hourly Distribution of Tuta absoluta (Meyrick) (Lepidoptera: Gelechiidae) Using Sex Pheromone and Ultraviolet Light Traps in Protected Tomato Crops. Horticulturae. 2023; 9(3):402. https://doi.org/10.3390/horticulturae9030402
Chicago/Turabian StyleZhang, Gui-Fen, Yi-Bo Zhang, Lin Zhao, Yu-Sheng Wang, Cong Huang, Zhi-Chuang Lü, Ping Li, Wan-Cai Liu, Xiao-Qing Xian, Jing-Na Zhao, and et al. 2023. "Determination of Hourly Distribution of Tuta absoluta (Meyrick) (Lepidoptera: Gelechiidae) Using Sex Pheromone and Ultraviolet Light Traps in Protected Tomato Crops" Horticulturae 9, no. 3: 402. https://doi.org/10.3390/horticulturae9030402
APA StyleZhang, G.-F., Zhang, Y.-B., Zhao, L., Wang, Y.-S., Huang, C., Lü, Z.-C., Li, P., Liu, W.-C., Xian, X.-Q., Zhao, J.-N., Li, Y.-H., Wan, F.-H., Liu, W.-X., & Wang, F.-L. (2023). Determination of Hourly Distribution of Tuta absoluta (Meyrick) (Lepidoptera: Gelechiidae) Using Sex Pheromone and Ultraviolet Light Traps in Protected Tomato Crops. Horticulturae, 9(3), 402. https://doi.org/10.3390/horticulturae9030402

