Particle Films Combined with Propolis Have Positive Effects in Reducing Bactrocera oleae Attacks on Olive Fruits
Abstract
1. Introduction
2. Materials and Methods
2.1. Field Trial
2.2. Physiological Tests in the Laboratory
2.3. Statistical Analysis
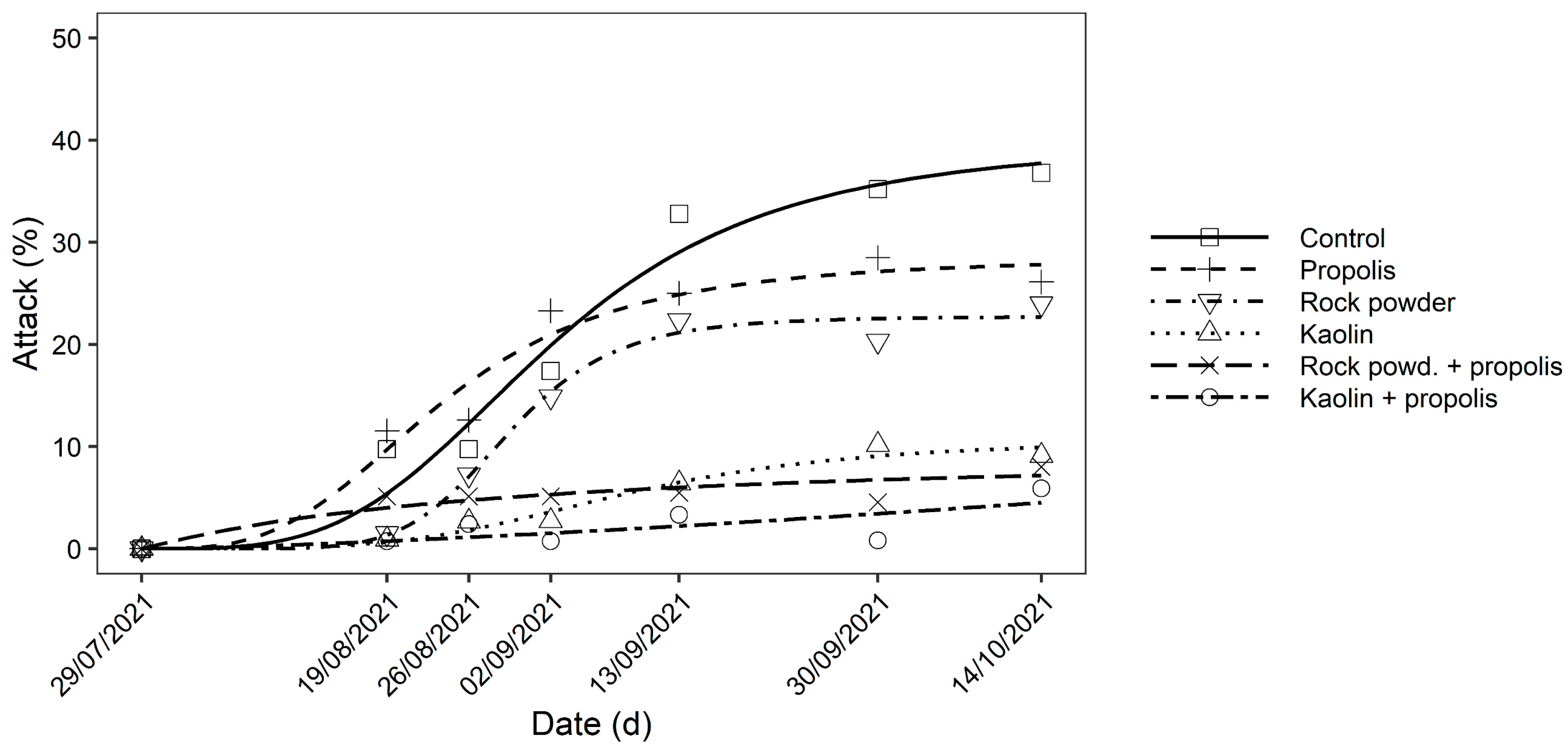
3. Results
Field Experiment and Maturity Index
4. Discussion
Supplementary Materials
Author Contributions
Funding
Institutional Review Board Statement
Data Availability Statement
Conflicts of Interest
References
- Bueno, A.M.; Jones, O. Alternative methods for controlling the olive fly, Bactrocera oleae, involving semiochemicals. IOBC-WPRS Bull. 2002, 25, 147–155. [Google Scholar]
- Van Asch, B.; Pereira-Castro, I.; Rei, F.T.; Da Costa, L.T. Marked genetic differentiation between Western Iberian and Italic populations of the olive fly: Southern France as an intermediate area. PLoS ONE 2015, 10, e0126702. [Google Scholar] [CrossRef] [PubMed]
- Daane, K.M.; Johnson, M.W. Olive fruit fly: Managing an ancient pest in modern times. Annu. Rev. Entomol. 2010, 55, 151–169. [Google Scholar] [CrossRef] [PubMed]
- Malheiro, R.; Casal, S.; Baptista, P.; Pereira, J.A. A review of Bactrocera oleae (Rossi) impact in olive products: From the tree to the table. Trends Food Sci. Technol. 2015, 44, 226–242. [Google Scholar] [CrossRef]
- Gömez-Caravaca, A.M.; Cerretani, L.; Bendini, A.; Segura-Carretero, A.; Fernández-Gutiérrez, A.; Del Carlo, M.; Compagnone, D.; Cichelli, A. Effects of fly attack (Bactrocera oleae) on the phenolic profile and selected chemical parameters of olive oil. J. Agric. Food Chem. 2008, 56, 4577–4583. [Google Scholar] [CrossRef]
- Neuenschwander, P.; Michelakis, S. Olive fruit drop caused by Dacus oleae (Gmel.) (Dipt. Tephritidae). Z. Für Angew. Entomol. 1981, 91, 193–205. [Google Scholar] [CrossRef]
- Marchi, S.; Guidotti, D.; Ricciolini, M.; Petacchi, R. Towards understanding temporal and spatial dynamics of Bactrocera oleae (Rossi) infestations using decade-long agrometeorological time series. Int. J. Biometeorol. 2016, 60, 1681–1694. [Google Scholar] [CrossRef]
- Tudi, M.; Ruan, H.D.; Wang, L.; Lyu, J.; Sadler, R.; Connell, D.; Chu, C.; Phung, D.T. Agriculture development, pesticide application and its impact on the environment. Int. J. Environ. Res. Public Health 2021, 18, 1112. [Google Scholar] [CrossRef]
- Caselli, A.; Petacchi, R. Climate change and major pests of mediterranean olive orchards: Are we ready to face the global heating? Insects 2021, 12, 802. [Google Scholar] [CrossRef]
- Damos, P. Modular structure of web-based decision support systems for integrated pest management. A review. Agron. Sustain. Dev. 2015, 35, 1347–1372. [Google Scholar] [CrossRef]
- Bayram, A.; Salerno, G.; Onofri, A.; Conti, E. Lethal and sublethal effects of preimaginal treatments with two pyrethroids on the life history of the egg parasitoid Telenomus busseolae. BioControl 2010, 55, 697–710. [Google Scholar] [CrossRef]
- Sharma, R.R.; Vijay Rakesh Reddy, S.; Datta, S.C. Particle films and their applications in horticultural crops. Appl. Clay Sci. 2015, 116–117, 54–68. [Google Scholar] [CrossRef]
- Moujahed, R.; Frati, F.; Cusumano, A.; Salerno, G.; Conti, E.; Peri, E.; Colazza, S. Egg parasitoid attraction toward induced plant volatiles is disrupted by a non-host herbivore attacking above or belowground plant organs. Front. Plant. Sci. 2014, 5, 601. [Google Scholar] [CrossRef] [PubMed]
- Voyadjoglou, A.; Haniotakis, G.E. Oviposition regulation in Dacus oleae by various olive fruit characters. Ent. Exp. Appl. 1978, 24, 387–392. [Google Scholar] [CrossRef]
- Katsoyannos, B.I.; Kouloussis, N.A. Captures of the olive fruit fly Bactrocera oleae on spheres of different colours. Entomol. Exp. Appl. 2001, 100, 165–172. [Google Scholar] [CrossRef]
- Piersanti, S.; Frati, F.; Conti, E.; Gaino, E.; Rebora, M.; Salerno, G. First evidence of the use of olfaction in Odonata behaviour. J. Insect Physiol. 2014, 62, 26–31. [Google Scholar] [CrossRef]
- Stoffolano, J.G.; Yin, L.R.S. Structure and function of the ovipositor and associated sensilla of the apple maggot, Rhagoletis pomonella (Walsh) (Diptera: Tephritidae). Int. J. Insect Morphol. Embryol. 1987, 16, 41–69. [Google Scholar] [CrossRef]
- Eisemann, C.H.; Rice, M.J. Behavioural evidence for hygro- and mechanoreception by ovipositor sensilla of Dacus tryoni (Diptera: Tephritidae). Physiol. Entomol. 1989, 14, 273–277. [Google Scholar] [CrossRef]
- Giunti, G.; Campolo, O.; Laudani, F.; Algeri, G.M.; Palmeri, V. Olive fruit volatiles route intraspecific interactions and chemotaxis in Bactrocera oleae (Rossi) (Diptera: Tephritidae) females. Sci. Rep. 2020, 10, 1666. [Google Scholar] [CrossRef]
- Cytrynowicz, M.; Morgante, J.S.; De Souza, H.M.L. Visual responses of South American fruit flies, Anastrepha fraterculus, and Mediterranean fruit flies, Ceratitis capitata, to colored rectangles and spheres. Environ. Entomol. 1982, 11, 1202–1210. [Google Scholar] [CrossRef]
- Alyokhin, A.V.; Messing, R.H.; Duan, J.J. Visual and olfactory stimuli and fruit maturity affect trap captures of oriental fruit flies (Diptera: Tephritidae). J. Econ. Entomol. 2000, 93, 644–649. [Google Scholar] [CrossRef]
- Prokopy, R.J.; Haniotakis, G.E. Responses of wild and laboratory-cultured Dacus oleae to host plant color. Ann. Entomol. Soc. Am. 1975, 68, 73–77. [Google Scholar] [CrossRef]
- Saour, G.; Makee, H. A kaolin-based particle film for suppression of the olive fruit fly Bactrocera oleae Gmelin (Dip., Tephritidae) in olive groves. J. Appl. Entomol. 2004, 128, 28–31. [Google Scholar] [CrossRef]
- Glenn, D.M.; Puterka, G.J.; Vanderzwet, T.; Byers, R.E.; Feldhake, C. Hydrophobic particle films: A new paradigm for suppression of arthropod pests and plant diseases. J. Econ. Entomol. 1999, 92, 759–771. [Google Scholar] [CrossRef]
- Lemoyne, P.; Vincent, C.; Gaul, S.; Mackenzie, K. Kaolin affects blueberry maggot behavior on fruit. J. Econ. Entomol. 2008, 101, 118–125. [Google Scholar] [CrossRef] [PubMed]
- Rotondi, A.; Morrone, L.; Facini, O.; Faccini, B.; Ferretti, G.; Coltorti, M. Distinct particle films impacts on olive leaf optical properties and plant physiology. Foods 2021, 10, 1291. [Google Scholar] [CrossRef]
- Sinno, M.; Bézier, A.; Vinale, F.; Giron, D.; Laudonia, S.; Garonna, A.P.; Pennacchio, F. Symbiosis disruption in the olive fruit fly, Bactrocera oleae (Rossi), as a potential tool for sustainable control. Pest Manag. Sci. 2020, 76, 3199–3207. [Google Scholar] [CrossRef]
- Capuzzo, C.; Firrao, G.; Mazzon, L.; Squartini, A.; Girolami, V. ‘Candidatus Erwinia dacicola’, a coevolved symbiotic bacterium of the olive fly Bactrocera oleae (Gmelin). Int. J. Syst. Evol. Microbiol. 2005, 55, 1641–1647. [Google Scholar] [CrossRef]
- Bigiotti, G.; Pastorelli, R.; Belcari, A.; Sacchetti, P. Symbiosis interruption in the olive fly: Effect of copper and propolis on Candidatus Erwinia dacicola. J. Appl. Entomol. 2019, 143, 357–364. [Google Scholar] [CrossRef]
- Burdock, G.A. Review of the biological properties and toxicity of bee propolis (propolis). Food Chem. Toxicol. 1998, 36, 347–363. [Google Scholar] [CrossRef]
- Malheiro, R.; Casal, S.; Baptista, P.; Pereira, J.A. Physico-chemical characteristics of olive leaves and fruits and their relation with Bactrocera oleae (Rossi) cultivar oviposition preference. Sci. Hortic. 2015, 194, 208–214. [Google Scholar] [CrossRef]
- Guzmán, E.; Baeten, V.; Antonio, J.; Pierna, F.; García-mesa, J.A. Determination of the olive maturity index of intact fruits using image analysis. J. Food Sci. Technol. 2015, 52, 1462–1470. [Google Scholar] [CrossRef] [PubMed]
- García, J.M.; Gutiérrez, F.; Barrera, M.J.; Albi, M.A. Storage of mill olives on an industrial scale. J. Agric. Food Chem. 1996, 44, 590–593. [Google Scholar] [CrossRef]
- Almadi, L.; Paoletti, A.; Cinosi, N.; Daher, E.; Rosati, A.; Di Vaio, C.; Famiani, F. A biostimulant based on protein hydrolysates promotes the growth of young olive trees. Agriculture 2020, 10, 618. [Google Scholar] [CrossRef]
- Pinheiro, J.; Bates, D.; R Core Team. nlme: Linear and Nonlinear Mixed Effects Models, R Package Version 3.1-160. 2022. Available online: https://CRAN.R-project.org/package=nlme (accessed on 27 January 2023).
- R Core Team. R: A Language and Environment for Statistical Computing; R Foundation for Statistical Computing: Vienna, Austria, 2022; Available online: https://www.R-project.org/ (accessed on 27 January 2023).
- Gerhard, D.; Ritz, C. _Medrc: Mixed Effect Dose-Response Curves, R Package Version 1.1-0. 2018. Available online: https://rdrr.io/github/DoseResponse/medrc/ (accessed on 27 January 2023).
- Zuur, A.F.; Ieno, E.N.; Walker, N.J.; Saveliev, A.A.; Smith, G.M. Mixed Effects Models and Extensions in Ecology with R; Springer: New York, NY, USA, 2009; ISBN 0387874577. [Google Scholar]
- Pinheiro, J.; Bates, D. Mixed-Effects Models in S and S-PLUS; Springer Science & Business Media: Berlin/Heidelberg, Germany, 2000. [Google Scholar]
- Ritz, C.; Jensen, S.M.; Gerhard, D.; Streibig, J.C. Dose-Response Analysis Using R, 1st ed.; Chapman and Hall/CRC: Boca Raton, FL, USA, 2019. [Google Scholar] [CrossRef]
- Cobourn, K.M.; Goodhue, R.E.; Williams, J.C. Managing a pest with harvest timing: Implications for crop quality and price. Eur. Rev. Agric. Econ. 2013, 40, 761–784. [Google Scholar] [CrossRef]
- Petacchi, R.; Zunin, P.; Evangelisti, F.; Tiscomia, E. Relation between Bactrocera oleae (Gmel.) infestation and oil chemical composition: Results of two-year trials in an eastern ligurian olive grove. Acta Hortic. 1994, 356, 395–398. [Google Scholar] [CrossRef]
- Crawley, M.J. The R Book; John Wiley & Sons: Chichester, UK, 2012. [Google Scholar]
- Lenth, R. Emmeans: Estimated Marginal Means, Aka Least-Squares Means, R Package Version 1.8.2. 2022. Available online: https://CRAN.R-project.org/package=emmeans (accessed on 27 January 2023).
- Alamprese, C.; Caponio, F.; Chiavaro, E. Sustainability of the olive oil system. Foods 2021, 10, 1730. [Google Scholar] [CrossRef]
- Daher, E.; Cinosi, N.; Chierici, E.; Rondoni, G.; Famiani, F.; Conti, E. Field and laboratory efficacy of low-impact commercial products in preventing olive fruit fly, Bactrocera oleae, infestation. Insects 2022, 13, 213. [Google Scholar] [CrossRef]
- De Smedt, C.; Someus, E.; Spanoghe, P. Potential and actual uses of zeolites in crop protection. Pest Manag. Sci. 2015, 71, 1355–1367. [Google Scholar] [CrossRef]
- Androcioli, H.G.; Hoshino, A.T.; Meneghin, A.M.; Ventura, M.U.; Guide, B.A.; Hata, F.T.; Menezes Junior, A.O. Alternative treatments diminish oviposition and viability of Leucoptera coffeella (Lepidoptera: Lyonetiidae) eggs and larvae on coffee plants. Coffee Sci. 2021, 16, e161936. [Google Scholar] [CrossRef]
- González-Núñez, M.; Pascual, S.; Cobo, A.; Seris, E.; Cobos, G.; Fernández, C.E.; Sánchez-Ramos, I. Copper and kaolin sprays as tools for controlling the olive fruit fly. Entomol. Gen. 2021, 41, 97–110. [Google Scholar] [CrossRef]
- Mojdehi, M.R.A.; Keyhanian, A.A.; Rafiei, B. Application of oviposition deterrent compounds for the control of olive fruit fly, Bactrocera oleae Rossi. (Dip. Tephritidae) control. Int. J. Trop. Insect Sci. 2022, 42, 63–70. [Google Scholar] [CrossRef]
- Perri, E.; Iannotta, N.; Muzzalupo, I.; Russo, A.; Caravita, M.A.; Pellegrino, M.; Parise, A.; Tucci, P. Kaolin protects olive fruits from Bactrocera oleae (Gmelin) infestations unaffecting olive oil quality. IOBC/WPRS Bull. 2006, 30, 153. [Google Scholar]
- Brito, C.; Dinis, L.T.; Moutinho-Pereira, J.; Correia, C. Kaolin, an emerging tool to alleviate the effects of abiotic stresses on crop performance. Sci. Hortic. 2019, 250, 310–316. [Google Scholar] [CrossRef]
- Rosati, A. Physiological Effects of Kaolin Particle Film Technology: A Review. Funct. Plant Sci. Biotechnol. 2007, 1, 100–105. [Google Scholar]
- Cantore, V.; Pace, B.; Albrizio, R. Kaolin-based particle film technology affects tomato physiology, yield and quality. Environ. Exp. Bot. 2009, 66, 279–288. [Google Scholar] [CrossRef]
- Saour, G.; Makee, H. Effects of kaolin particle film on olive fruit yield, oil content and quality. Adv. Hortic. Sci. 2003, 17, 204–206. [Google Scholar] [CrossRef]
- Pascual, S.; Cobos, G.; Seris, E.; González-Núñez, M. Effects of processed kaolin on pests and non-target arthropods in a Spanish olive grove. J. Pest Sci. 2010, 83, 121–133. [Google Scholar] [CrossRef]
- Bengochea, P.; Amor, F.; Saelices, R.; Hernando, S.; Budia, F.; Adán, A.; Medina, P. Kaolin and copper-based products applications: Ecotoxicology on four natural enemies. Chemosphere 2013, 91, 1189–1195. [Google Scholar] [CrossRef]
- Massaccesi, L.; Rondoni, G.; Tosti, G.; Conti, E.; Guiducci, M.; Agnelli, A. Soil functions are affected by transition from conventional to organic mulch-based cropping system. Appl. Soil Ecol. 2020, 153, 103639. [Google Scholar] [CrossRef]
- Rondoni, G.; Borges, I.; Collatz, J.; Conti, E.; Costamagna, A.C.; Dumont, F.; Evans, E.W.; Grez, A.A.; Howe, A.G.; Lucas, E.; et al. Exotic ladybirds for biological control of herbivorous insects—A review. Entomol. Exp. Appl. 2021, 169, 6–27. [Google Scholar] [CrossRef]

| Treatments | Maturity Index (0–7) |
|---|---|
| control | 2.05 ± 0.239 |
| propolis | 1.84 ± 0.212 |
| rock powder | 1.81 ± 0.248 |
| kaolin | 1.62 ± 0.244 |
| rock powder + propolis | 1.53 ± 0.138 |
| kaolin + propolis | 1.30 ± 0.049 |
Disclaimer/Publisher’s Note: The statements, opinions and data contained in all publications are solely those of the individual author(s) and contributor(s) and not of MDPI and/or the editor(s). MDPI and/or the editor(s) disclaim responsibility for any injury to people or property resulting from any ideas, methods, instructions or products referred to in the content. |
© 2023 by the authors. Licensee MDPI, Basel, Switzerland. This article is an open access article distributed under the terms and conditions of the Creative Commons Attribution (CC BY) license (https://creativecommons.org/licenses/by/4.0/).
Share and Cite
Daher, E.; Rondoni, G.; Cinosi, N.; Conti, E.; Famiani, F. Particle Films Combined with Propolis Have Positive Effects in Reducing Bactrocera oleae Attacks on Olive Fruits. Horticulturae 2023, 9, 397. https://doi.org/10.3390/horticulturae9030397
Daher E, Rondoni G, Cinosi N, Conti E, Famiani F. Particle Films Combined with Propolis Have Positive Effects in Reducing Bactrocera oleae Attacks on Olive Fruits. Horticulturae. 2023; 9(3):397. https://doi.org/10.3390/horticulturae9030397
Chicago/Turabian StyleDaher, Elissa, Gabriele Rondoni, Nicola Cinosi, Eric Conti, and Franco Famiani. 2023. "Particle Films Combined with Propolis Have Positive Effects in Reducing Bactrocera oleae Attacks on Olive Fruits" Horticulturae 9, no. 3: 397. https://doi.org/10.3390/horticulturae9030397
APA StyleDaher, E., Rondoni, G., Cinosi, N., Conti, E., & Famiani, F. (2023). Particle Films Combined with Propolis Have Positive Effects in Reducing Bactrocera oleae Attacks on Olive Fruits. Horticulturae, 9(3), 397. https://doi.org/10.3390/horticulturae9030397

