Grape Yield Prediction Models: Approaching Different Machine Learning Algorithms
Abstract
1. Introduction
2. Materials and Methods
2.1. Study Region and Grapevine Data
2.2. Soil Data
2.3. Weather Data
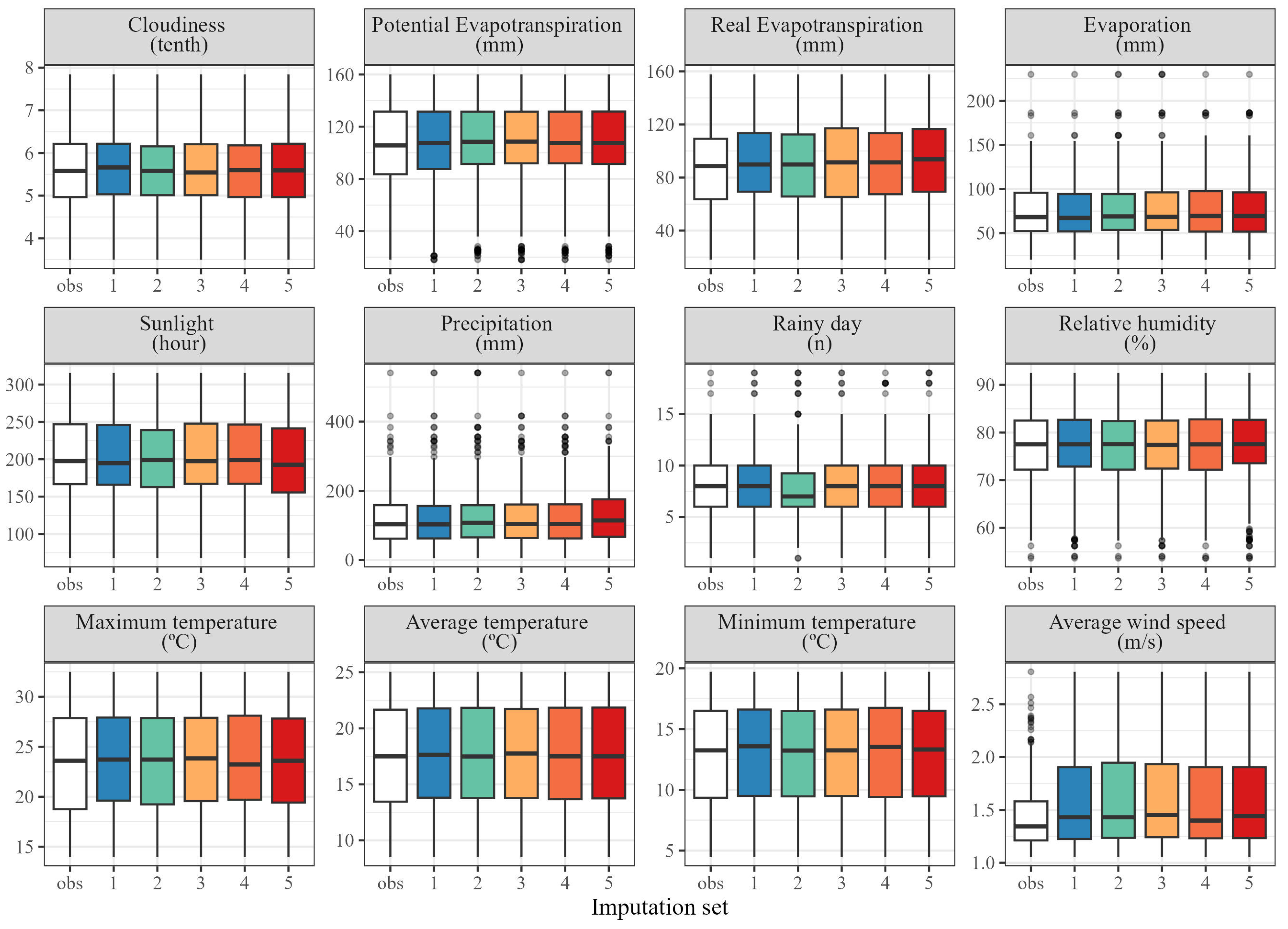
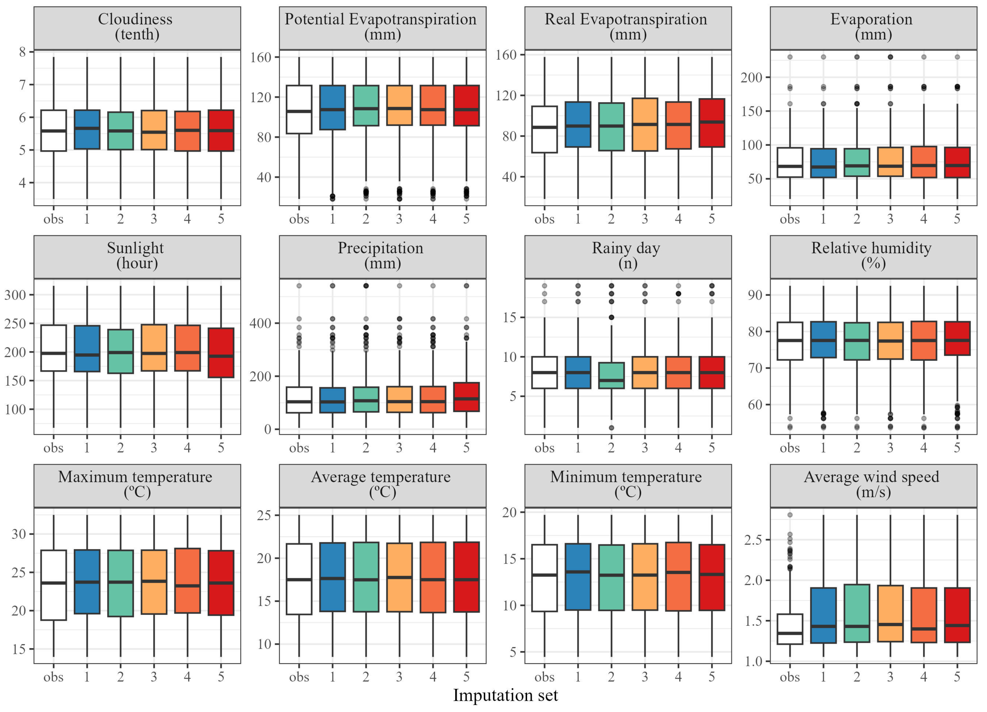
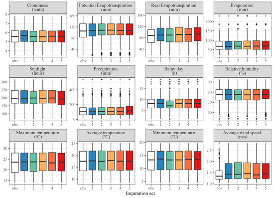
2.4. Data Imputation
2.5. Modeling
3. Results
3.1. Model Performance and Imputation Effects
3.2. Variable Importance
4. Discussion
5. Conclusions
Author Contributions
Funding
Data Availability Statement
Acknowledgments
Conflicts of Interest
References
- OIV. Statistical Report on World Vitiviniculture; International Organisation of Vine and Wine: Dijon, France, 2019; p. 23. [Google Scholar]
- OIV. State of the World Vine and Wine Sector; International Organisation of Vine and Wine: Dijon, France, 2022; p. 20. [Google Scholar]
- IBGE. Levantamento Sistemático da Produção Agropecuária; IBGE: Rio de Janeiro, Brazil, 2022. [Google Scholar]
- De Mello, L.M.R.; Machado, C.A.E. Vitivinicultura Brasileira: Panorama 2019; Comunicado Técnico, 214; Embrapa Uva e Vinho: Bento Gonçalves, Brazil, 2020; pp. 1–21. [Google Scholar]
- CQFS-RS/SC. Manual de Calagem e Adubação para os Estados do Rio Grande do Sul e Santa Catarina; Comissão de Química e Fertilidade do Solo/Núcleo Regional Sul-Sociedade Brasileira de Ciência do Solos: Passo Fundo, Brazil, 2016; ISBN 978-85-66301-80-9. [Google Scholar]
- Arab, S.T.; Noguchi, R.; Matsushita, S.; Ahamed, T. Prediction of Grape Yields from Time-Series Vegetation Indices Using Satellite Remote Sensing and a Machine-Learning Approach. Remote Sens. Appl. Soc. Environ. 2021, 22, 100485. [Google Scholar] [CrossRef]
- Barriguinha, A.; Jardim, B.; De Castro Neto, M.; Gil, A. Using NDVI, Climate Data and Machine Learning to Estimate Yield in the Douro Wine Region. Int. J. Appl. Earth Obs. Geoinf. 2022, 114, 103069. [Google Scholar] [CrossRef]
- Cunha, M.; Ribeiro, H.; Abreu, I. Pollen-Based Predictive Modelling of Wine Production: Application to an Arid Region. Eur. J. Agron. 2016, 73, 42–54. [Google Scholar] [CrossRef]
- Kadbhane, S.J.; Manekar, V.L. Development of Agro-Climatic Grape Yield Model with Future Prospective. Ital. J. Agrometeorol. 2021, 2021, 89–103. [Google Scholar] [CrossRef]
- Sirsat, M.S.; Mendes-Moreira, J.; Ferreira, C.; Cunha, M. Machine Learning Predictive Model of Grapevine Yield Based on Agroclimatic Patterns. Eng. Agric. Environ. Food 2019, 12, 443–450. [Google Scholar] [CrossRef]
- Krzyszczak, J.; Brodowska, M.; Bednarek, W.; Dresler, S.; Tkaczyk, P.; Krzyszczak, J.; Baranowski, P. Content of Certain Macro- and Microelements in Orchard Soils in Relation to Agronomic Categories and Reaction of These Soils. J. Elem. 2018, 23, 1361–1372. [Google Scholar] [CrossRef]
- Stefanello, L.; Schwalbert, R.; Schwalbert, R.; Tassinari, A.; Garlet, L.; De Conti, L.; Ciotta, M.; Ceretta, C.; Ciampitti, I.; Brunetto, G. Phosphorus Critical Levels in Soil and Grapevine Leaves for South Brazil Vineyards: A Bayesian Approach. Eur. J. Agron. 2023, 144, 126752. [Google Scholar] [CrossRef]
- Stefanello, L.O.; Schwalbert, R.; Schwalbert, R.A.; Drescher, G.L.; De Conti, L.; Pott, L.P.; Tassinari, A.; Kulmann, M.S.d.S.; da Silva, I.C.B.; Brunetto, G. Ideal Nitrogen Concentration in Leaves for the Production of High-Quality Grapes Cv ‘Alicante Bouschet’ (Vitis vinifera L.) Subjected to Modes of Application and Nitrogen Doses. Eur. J. Agron. 2021, 123, 126200. [Google Scholar] [CrossRef]
- Ebert, G. Fertilizing for High Yield and Quality: Pome and Stone Fruits of the Temperate Zone; IPI Bulletin; International Potash Institute: Horgen, Switzerland, 2009; p. 74. [Google Scholar]
- Faust, M. Physiology of Temperate Zone Fruit Trees; Wiley-Interscience: New York, NY, USA, 1989. [Google Scholar]
- Marschner, P. Marschner’s Mineral Nutrition of Higher Plants; Academic Press: San Diego, CA, USA, 2012; ISBN 978-0-12-384905-2. [Google Scholar]
- Brunetto, G.; Melo, G.W.B.D.; Toselli, M.; Quartieri, M.; Tagliavini, M. The Role of Mineral Nutrition on Yields and Fruit Quality in Grapevine, Pear and Apple. Rev. Bras. Frutic. 2015, 37, 1089–1104. [Google Scholar] [CrossRef]
- Rozane, D.E.; Parent, L.E.; Natale, W. Evolution of the Predictive Criteria for the Tropical Fruit Tree Nutritional Status. Científica 2015, 44, 102. [Google Scholar] [CrossRef]
- Brunetto, G.; Ceretta, C.A.; Kaminski, J.; de Melo, G.W.B.; Lourenzi, C.R.; Furlanetto, V.; Moraes, A. Aplicação de Nitrogênio Em Videiras Na Campanha Gaúcha: Produtividade e Características Químicas Do Mosto Da Uva. Ciência Rural. 2007, 37, 389–393. [Google Scholar] [CrossRef]
- Considine, M.J.; Foyer, C.H. Metabolic Responses to Sulfur Dioxide in Grapevine (Vitis vinifera L.): Photosynthetic Tissues and Berries. Front. Plant Sci. 2015, 6, 60. [Google Scholar] [CrossRef] [PubMed]
- Skinner, P.W.; Ishii, R.; O’Mahony, M.; Matthews, M.A. Sensory Attributes of Wines Made from Vines of Differing Phosphorus Status. Oeno One 2019, 53, 205–219. [Google Scholar] [CrossRef]
- Brunetto, G.; Ricachenevsky, F.K.; Stefanello, L.O.; de Paula, B.V.; de Souza Kulmann, M.S.; Tassinari, A.; de Melo, G.W.B.; Natale, W.; Rozane, D.E.; Ciotta, M.N.; et al. Chapter 47—Diagnosis and Management of Nutrient Constraints in Grape. In Fruit Crops; Srivastava, A.K., Hu, C., Eds.; Elsevier: Amsterdam, The Netherlands, 2020; pp. 693–710. ISBN 978-0-12-818732-6. [Google Scholar]
- Rozane, D.E.; de Paula, B.V.; de Melo, G.W.B.; Dos Santos, E.M.H.; Trentin, E.; Marchezan, C.; da Silva, L.O.S.; Tassinari, A.; Dotto, L.; de Oliveira, F.N.; et al. Compositional Nutrient Diagnosis (CND) Applied to Grapevines Grown in Subtropical Climate Region. Horticulturae 2020, 6, 56. [Google Scholar] [CrossRef]
- Tavares, T.R.; Molin, J.P.; Nunes, L.C.; Alves, E.E.N.; Krug, F.J.; De Carvalho, H.W.P. Spectral Data of Tropical Soils Using Dry-Chemistry Techniques (VNIR, XRF, and LIBS): A Dataset for Soil Fertility Prediction. Data Brief 2022, 41, 108004. [Google Scholar] [CrossRef] [PubMed]
- Tavares, T.R.; De Almeida, E.; Junior, C.R.P.; Guerrero, A.; Fiorio, P.R.; De Carvalho, H.W.P. Analysis of Total Soil Nutrient Content with X-ray Fluorescence Spectroscopy (XRF): Assessing Different Predictive Modeling Strategies and Auxiliary Variables. AgriEngineering 2023, 5, 680–697. [Google Scholar] [CrossRef]
- Poppiel, R.R.; Paiva, A.F.D.S.; Demattê, J.A.M. Bridging the Gap between Soil Spectroscopy and Traditional Laboratory: Insights for Routine Implementation. Geoderma 2022, 425, 116029. [Google Scholar] [CrossRef]
- Nadporozhskaya, M.; Kovsh, N.; Paolesse, R.; Lvova, L. Recent Advances in Chemical Sensors for Soil Analysis: A Review. Chemosensors 2022, 10, 35. [Google Scholar] [CrossRef]
- De Mello, D.C.; Barros Souza, A.; Mello, F.A.O.; Marques, K.P.P.; Poppiel, R.R.; Belinasso, H.; Di Raimo, L.D.L.; Francelino, M.R.; Fernandes-Filho, E.I.; Veloso, G.V.; et al. Sensor-Based Field Methods for Pedology and Soil Surveys: Protocol Suggestions for Brazilian Tropical Soils. Geoderma Reg. 2023, 33, e00651. [Google Scholar] [CrossRef]
- Keller, M. Managing Grapevines to Optimise Fruit Development in a Challenging Environment: A Climate Change Primer for Viticulturists. Aust. J. Grape Wine Res. 2010, 16, 56–69. [Google Scholar] [CrossRef]
- Ciotta, M.N.; Ceretta, C.A.; Ferreira, P.A.; Stefanello, L.O.; da Rosa Couto, R.; Tassianri, A.; Marchezan, C.; Girotto, E.; Conti, L.D.; Lourenzi, C.R.; et al. Phosphorus Fertilization for Young Grapevines of Chardonnay and Pinot Noir in Sandy Soil. IDESIA 2018, 36, 27–34. [Google Scholar] [CrossRef]
- Fraga, H.; de Cortázar Atauri, I.G.; Malheiro, A.C.; Santos, J.A. Modelling Climate Change Impacts on Viticultural Yield, Phenology and Stress Conditions in Europe. Glob. Chang. Biol. 2016, 22, 3774–3788. [Google Scholar] [CrossRef] [PubMed]
- Campillo, C.; Fortes, R.; Henar Prieto, M.D. Solar Radiation Effect on Crop Production. In Solar Radiation; Babatunde, E.B., Ed.; IntechOpen: London, UK, 2012; ISBN 978-953-51-6163-9. [Google Scholar]
- Venios, X.; Korkas, E.; Nisiotou, A.; Banilas, G. Grapevine Responses to Heat Stress and Global Warming. Plants 2020, 9, 1754. [Google Scholar] [CrossRef] [PubMed]
- Anzanello, R. Evolution of the Grapevine Bud Dormancy under Different Thermal Regimes. Semin. Cienc. Agrar. 2019, 40, 3419. [Google Scholar] [CrossRef]
- North, M.; Workmaster, B.A.; Atucha, A. Effects of Chill Unit Accumulation and Temperature on Woody Plant Deacclimation Kinetics. Physiol. Plant. 2022, 174, e13717. [Google Scholar] [CrossRef] [PubMed]
- Gambetta, G.A.; Herrera, J.C.; Dayer, S.; Feng, Q.; Hochberg, U.; Castellarin, S.D. The Physiology of Drought Stress in Grapevine: Towards an Integrative Definition of Drought Tolerance. J. Exp. Bot. 2020, 71, 4658–4676. [Google Scholar] [CrossRef]
- Chen, M.; Brun, F.; Raynal, M.; Makowski, D. Forecasting Severe Grape Downy Mildew Attacks Using Machine Learning. PLoS ONE 2020, 15, e0230254. [Google Scholar] [CrossRef]
- Mezei, I.; Lukić, M.; Berbakov, L.; Pavković, B.; Radovanović, B. Grapevine Downy Mildew Warning System Based on NB-IoT and Energy Harvesting Technology. Electronics 2022, 11, 356. [Google Scholar] [CrossRef]
- Müller, K.; Keller, M.; Stoll, M.; Friedel, M. Wind Speed, Sun Exposure and Water Status Alter Sunburn Susceptibility of Grape Berries. Front. Plant Sci. 2023, 14, 1145274. [Google Scholar] [CrossRef]
- Jenkins, M.; Mannsfeld, A.; Nikzad, S.; Lambert, J.-J.; Miller, K.; Burns, M.; Earles, J.M.; Block, D.E. Novel Algorithms for High-Resolution Prediction of Canopy Evapotranspiration in Grapevine. OENO One 2023, 57, 315–326. [Google Scholar] [CrossRef]
- Bonfante, A.; Alfieri, S.M.; Albrizio, R.; Basile, A.; De Mascellis, R.; Gambuti, A.; Giorio, P.; Langella, G.; Manna, P.; Monaco, E.; et al. Evaluation of the Effects of Future Climate Change on Grape Quality through a Physically Based Model Application: A Case Study for the Aglianico Grapevine in Campania Region, Italy. Agric. Syst. 2017, 152, 100–109. [Google Scholar] [CrossRef]
- Droulia, F.; Charalampopoulos, I. Future Climate Change Impacts on European Viticulture: A Review on Recent Scientific Advances. Atmosphere 2021, 12, 495. [Google Scholar] [CrossRef]
- Fraga, H.; Molitor, D.; Leolini, L.; Santos, J.A. What Is the Impact of Heatwaves on European Viticulture? A Modelling Assessment. Appl. Sci. 2020, 10, 3030. [Google Scholar] [CrossRef]
- Holland, T.; Smit, B. Climate Change and the Wine Industry: Current Research Themes and New Directions. J. Wine Res. 2010, 21, 125–136. [Google Scholar] [CrossRef]
- Moriondo, M.; Ferrise, R.; Trombi, G.; Brilli, L.; Dibari, C.; Bindi, M. Modelling Olive Trees and Grapevines in a Changing Climate. Environ. Model. Softw. 2015, 72, 387–401. [Google Scholar] [CrossRef]
- Fraga, H.; Santos, J.A. Daily Prediction of Seasonal Grapevine Production in the Douro Wine Region Based on Favourable Meteorological Conditions: Predicting Winery Grape Production in the Douro. Aust. J. Grape Wine Res. 2017, 23, 296–304. [Google Scholar] [CrossRef]
- Afrifa-Yamoah, E.; Mueller, U.A.; Taylor, S.M.; Fisher, A.J. Missing Data Imputation of High-Resolution Temporal Climate Time Series Data. Meteorol. Appl. 2020, 27, 1873. [Google Scholar] [CrossRef]
- Yozgatligil, C.; Aslan, S.; Iyigun, C.; Batmaz, I. Comparison of Missing Value Imputation Methods in Time Series: The Case of Turkish Meteorological Data. Theor. Appl. Climatol. 2013, 112, 143–167. [Google Scholar] [CrossRef]
- Parra-Plazas, J.; Gaona-Garcia, P.; Plazas-Nossa, L. Time Series Outlier Removal and Imputing Methods Based on Colombian Weather Stations Data. Environ. Sci. Pollut. Res. 2023, 30, 72319–72335. [Google Scholar] [CrossRef] [PubMed]
- Li, C.; Ren, X.; Zhao, G. Machine-Learning-Based Imputation Method for Filling Missing Values in Ground Meteorological Observation Data. Algorithms 2023, 16, 422. [Google Scholar] [CrossRef]
- Chaudhry, A.; Li, W.; Basri, A.; Patenaude, F. A Method for Improving Imputation and Prediction Accuracy of Highly Seasonal Univariate Data with Large Periods of Missingness. Wirel. Commun. Mob. Comput. 2019, 2019, 4039758. [Google Scholar] [CrossRef]
- Little, R.; Rubin, D. Statistical Analysis with Missing Data, 3rd ed.; Wiley Series in Probability and Statistics; Wiley: Hoboken, NJ, USA, 2019; ISBN 978-1-119-48226-0. [Google Scholar]
- Mera-Gaona, M.; Neumann, U.; Vargas-Canas, R.; López, D.M. Evaluating the Impact of Multivariate Imputation by MICE in Feature Selection. PLoS ONE 2021, 16, e0254720. [Google Scholar] [CrossRef]
- Andridge, R.R.; Little, R.J.A. A Review of Hot Deck Imputation for Survey Non-Response. Int. Stat. Rev. 2010, 78, 40–64. [Google Scholar] [CrossRef] [PubMed]
- Moritz, S.; Sardá, A.; Bartz-Beielstein, T.; Zaefferer, M.; Stork, J. Comparison of Different Methods for Univariate Time Series Imputation in R. arXiv 2015, arXiv:1510.03924. [Google Scholar]
- Ahn, H.; Sun, K.; Kim, K.P. Comparison of Missing Data Imputation Methods in Time Series Forecasting. Comput. Mater. Contin. 2021, 70, 767–779. [Google Scholar] [CrossRef]
- Lin, W.C.; Tsai, C.F. Missing Value Imputation: A Review and Analysis of the Literature (2006–2017). Artif. Intell. Rev. 2020, 53, 1487–1509. [Google Scholar] [CrossRef]
- Kannegowda, N.; Udayar Pillai, S.; Kommireddi, C.V.N.K. Fousiya Comparative Assessment of Univariate and Multivariate Imputation Models for Varying Lengths of Missing Rainfall Data in a Humid Tropical Region: A Case Study of Kozhikode, Kerala, India. Acta Geophys. 2023. [Google Scholar] [CrossRef]
- Lara-Estrada, L.; Rasche, L.; Sucar, L.; Schneider, U. Inferring Missing Climate Data for Agricultural Planning Using Bayesian Networks. Land 2018, 7, 4. [Google Scholar] [CrossRef]
- Azur, M.J.; Stuart, E.A.; Frangakis, C.; Leaf, P.J. Multiple Imputation by Chained Equations: What Is It and How Does It Work? Multiple Imputation by Chained Equations. Int. J. Methods Psychiatr. Res. 2011, 20, 40–49. [Google Scholar] [CrossRef]
- Buuren, S.V.; Groothuis-Oudshoorn, K. Mice: Multivariate Imputation by Chained Equations in R. J. Stat. Soft. 2011, 45, 1–67. [Google Scholar] [CrossRef]
- Liakos, K.; Busato, P.; Moshou, D.; Pearson, S.; Bochtis, D. Machine Learning in Agriculture: A Review. Sensors 2018, 18, 2674. [Google Scholar] [CrossRef] [PubMed]
- Elavarasan, D.; Vincent, D.R.; Sharma, V.; Zomaya, A.Y.; Srinivasan, K. Forecasting Yield by Integrating Agrarian Factors and Machine Learning Models: A Survey. Comput. Electron. Agric. 2018, 155, 257–282. [Google Scholar] [CrossRef]
- Chlingaryan, A.; Sukkarieh, S.; Whelan, B. Machine Learning Approaches for Crop Yield Prediction and Nitrogen Status Estimation in Precision Agriculture: A Review. Comput. Electron. Agric. 2018, 151, 61–69. [Google Scholar] [CrossRef]
- Alvares, C.A.; Stape, J.L.; Sentelhas, P.C.; de Moraes Gonçalves, J.L.; Sparovek, G. Köppen’s Climate Classification Map for Brazil. Meteorol. Z. 2013, 22, 711–728. [Google Scholar] [CrossRef] [PubMed]
- Soil Survey Staff. Keys to Soil Taxonomy, 12th ed.; USDA-Natural Resources Conservation Service: Washington, DC, USA, 2014. [Google Scholar]
- Jenks, G.F. The Data Model Concept in Statistical Mapping. Int. Yearb. Cartogr. 1967, 7, 186–190. [Google Scholar]
- Rabosky, D.L.; Grundler, M.; Anderson, C.; Title, P.; Shi, J.J.; Brown, J.W.; Huang, H.; Larson, J.G. BAMM Tools: An R Package for the Analysis of Evolutionary Dynamics on Phylogenetic Trees. Methods Ecol. Evol. 2014, 5, 701–707. [Google Scholar] [CrossRef]
- Tedesco, J.M.; Gianello, C.; Bissani, C.A.; Bohnem, H.; Volkweiss, S.J. Análise de Solo, Plantas e Outros Materiais, 2nd ed.; Universidade Federal do Rio Grande do Sul: Porto Alegre, Brazil, 1995. [Google Scholar]
- Teixeira, P.C.; Donagemma, G.K.; Fontana, A.; Teixeira, W.G. Manual de Métodos de Análise de Solo, 3rd ed.; Embrapa: Brasília, Brazil, 2017; ISBN 978-85-7035-771-7. [Google Scholar]
- Moritz, S.; Bartz-Beielstein, T. imputeTS: Time Series Missing Value Imputation in R. R J. 2017, 9, 207. [Google Scholar] [CrossRef]
- Wulff, J.; Ejlskov, L. Multiple Imputation by Chained Equations in Praxis: Guidelines and Review. Electron. J. Bus. Res. Methods 2017, 15, 2017–2058. [Google Scholar]
- Wold, S.; Sjöström, M.; Eriksson, L. PLS-Regression: A Basic Tool of Chemometrics. Chemom. Intell. Lab. Syst. 2001, 58, 109–130. [Google Scholar] [CrossRef]
- Quinlan, J.R. Combining Instance-Based and Model-Based Learning. In Proceedings of the Tenth International Conference on International Conference on Machine Learning, Amherst, MA, USA, 27–29 July 1993; pp. 236–243, ISBN 978-1-55860-307-3. [Google Scholar]
- Quinlan, J.R. Learning with Continuous Classes; World Scientific: Sinagpore, 1992; Volume 92, pp. 343–348. [Google Scholar]
- Breiman, L. Random Forests. Mach. Learn. 2001, 45, 5–32. [Google Scholar] [CrossRef]
- Chai, T.; Draxler, R.R. Root Mean Square Error (RMSE) or Mean Absolute Error (MAE)?—Arguments against Avoiding RMSE in the Literature. Geosci. Model Dev. 2014, 7, 1247–1250. [Google Scholar] [CrossRef]
- Kuhn, M. Building Predictive Models in R Using the Caret Package. J. Stat. Soft. 2008, 28, 1–26. [Google Scholar] [CrossRef]
- R Core Team. R: A Language and Environment for Statistical Computing; R Foundation for Statistical Computing: Vienna, Austria, 2023. [Google Scholar]
- RStudio Team. RStudio: Integrated Development for R; PBC: Boston, MA, USA, 2023. [Google Scholar]
- Kuhn, M.; Johnson, K. Applied Predictive Modeling; Springer: New York, NY, USA, 2013; ISBN 978-1-4614-6848-6. [Google Scholar]
- Reis Pereira, M.; Ribeiro, H.; Abreu, I.; Eiras-Dias, J.; Mota, T.; Cunha, M. Predicting the Flowering Date of Portuguese Grapevine Varieties Using Temperature-Based Phenological Models: A Multi-Site Approach. J. Agric. Sci. 2018, 156, 865–876. [Google Scholar] [CrossRef]
- Santos, J.A.; Grätsch, S.D.; Karremann, M.K.; Jones, G.V.; Pinto, J.G. Ensemble Projections for Wine Production in the Douro Valley of Portugal. Clim. Chang. 2013, 117, 211–225. [Google Scholar] [CrossRef]
- Rafael, A.; Souza, P.V.D.D. Conteúdo de Reservas, Vigor Vegetativo e Rendimento de Videiras Submetidas a Duas Safras Por Ciclo Vegetativo. Sem. Ci. Agr. 2015, 36, 719. [Google Scholar] [CrossRef][Green Version]
- Aieb, A.; Madani, K.; Scarpa, M.; Bonacorso, B.; Lefsih, K. A New Approach for Processing Climate Missing Databases Applied to Daily Rainfall Data in Soummam Watershed, Algeria. Heliyon 2019, 5, e01247. [Google Scholar] [CrossRef] [PubMed]
- Holzapfel, B.P. Seasonal Vine Nutrient Dynamics and Distribution of Shiraz Grapevines. OENO One 2019, 53, 363–372. [Google Scholar] [CrossRef]
- Sparks, D.L. Environmental Soil Chemistry, 2nd ed.; Academic Press: San Diego, CA, USA, 2003; ISBN 978-0-12-656446-4. [Google Scholar]
- Brunetto, G.; Ferreira, P.A.A.; Melo, G.W.; Ceretta, C.A.; Toselli, M. Heavy Metals in Vineyards and Orchard Soils. Rev. Bras. De Frutic. 2017, 39, 1–12. [Google Scholar] [CrossRef]
- Brunetto, G.; de Melo, G.W.B.; Terzano, R.; Del Buono, D.; Astolfi, S.; Tomasi, N.; Pii, Y.; Mimmo, T.; Cesco, S. Copper Accumulation in Vineyard Soils: Rhizosphere Processes and Agronomic Practices to Limit Its Toxicity. Chemosphere 2016, 162, 293–307. [Google Scholar] [CrossRef]
- Brunetto, G.; Miotto, A.; Ceretta, C.A.; Schmitt, D.E.; Heinzen, J.; de Moraes, M.P.; Canton, L.; Tiecher, T.L.; Comin, J.J.; Girotto, E. Mobility of Copper and Zinc Fractions in Fungicide-Amended Vineyard Sandy Soils. Arch. Agron. Soil Sci. 2014, 60, 609–624. [Google Scholar] [CrossRef]
- Rogiers, S.Y.; Coetzee, Z.A.; Walker, R.R.; Deloire, A.; Tyerman, S.D. Potassium in the Grape (Vitis vinifera L.) Berry: Transport and Function. Front. Plant Sci. 2017, 8, 01629. [Google Scholar] [CrossRef] [PubMed]
- Mpelasoka, B.S.; Schachtman, D.P.; Treeby, M.T.; Thomas, M.R. A Review of Potassium Nutrition in Grapevines with Special Emphasis on Berry Accumulation. Aust. J. Grape Wine Res. 2003, 9, 154–168. [Google Scholar] [CrossRef]
- Alloway, B.J. Micronutrients and Crop Production: An Introduction. In Micronutrient Deficiencies in Global Crop Production; Alloway, B.J., Ed.; Springer: Dordrecht, The Netherlands, 2008; pp. 1–39. ISBN 978-1-4020-6860-7. [Google Scholar]
- Ghorbani, P.; Eshghi, S.; Ershadi, A.; Shekafandeh, A.; Razzaghi, F. The Possible Role of Foliar Application of Manganese Sulfate on Mitigating Adverse Effects of Water Stress in Grapevine. Commun. Soil Sci. Plant Anal. 2019, 50, 1550–1562. [Google Scholar] [CrossRef]
- Gatti, M.; Garavani, A.; Squeri, C.; Diti, I.; De Monte, A.; Scotti, C.; Poni, S. Effects of Intra-Vineyard Variability and Soil Heterogeneity on Vine Performance, Dry Matter and Nutrient Partitioning. Precis. Agric 2022, 23, 150–177. [Google Scholar] [CrossRef]
- Paccioretti, P.; Bruno, C.; Gianinni Kurina, F.; Córdoba, M.; Bullock, D.S.; Balzarini, M. Statistical Models of Yield in On-farm Precision Experimentation. Agron. J. 2021, 113, 4916–4929. [Google Scholar] [CrossRef]
- Grund, S.; Lüdtke, O.; Robitzsch, A. Multiple Imputation of Missing Data in Multilevel Models with the R Package Mdmb: A Flexible Sequential Modeling Approach. Behav. Res. Methods 2021, 53, 2631–2649. [Google Scholar] [CrossRef] [PubMed]
- Gómez-Lagos, J.E.; González-Araya, M.C.; Ortega Blu, R.; Acosta Espejo, L.G. A New Method Based on Machine Learning to Forecast Fruit Yield Using Spectrometric Data: Analysis in a Fruit Supply Chain Context. Precis. Agric 2023, 24, 326–352. [Google Scholar] [CrossRef]
- Melo, G.W.; Rozane, D.E.; Brunetto, G.; Lattuada, D.S.; Brasileira, E.; Agropecua, D.P.; Gonçalves, B.; Grande, R. Discriminant Analysis in the Selection of Groups of Peach Cultivars. Acta Hortic. 2018, 1217, 335–342. [Google Scholar] [CrossRef]
- Parent, S.É.; Parent, L.E.; Rozane, D.E.; Natale, W. Plant Ionome Diagnosis Using Sound Balances: Case Study with Mango (Mangifera indica). Front. Plant Sci. 2013, 4, 00449. [Google Scholar] [CrossRef]
- Andrade, C.B.; Comin, J.J.; Moura-Bueno, J.M.; Brunetto, G. Obtaining Reference Values for Nutrients in Vineyard Soils through Boundary Line Approach Using Bayesian Segmented Quantile Regression on Commercial Farm Data. Eur. J. Agron. 2023, 150, 126928. [Google Scholar] [CrossRef]








| Dataset | Variable | Unit | Type | |
|---|---|---|---|---|
| Common | Vineyard plot | - | categorical | |
| Grape berry skin color | - | categorical | ||
| Grape cultivar | - | categorical | ||
| Cultivar yield class | - | categorical | ||
| Plant age | year | numerical | ||
| Weather + Soil | Weather | Evaporation | mm | numerical |
| Evapotranspiration (potential) | mm | numerical | ||
| Evapotranspiration (real) | mm | numerical | ||
| Sun exposure | hour | numerical | ||
| Cloudiness | tenth | numerical | ||
| Number of rainy days | unit | numerical | ||
| Precipitation (total) | mm | numerical | ||
| Maximum temperature | °C | numerical | ||
| Average temperature | °C | numerical | ||
| Minimum temperature | °C | numerical | ||
| Relative humidity | % | numerical | ||
| Average wind speed | m s−1 | numerical | ||
| Soil | Soil clay content | % | numerical | |
| Soil pH in water | - | numerical | ||
| Soil SMP index | - | numerical | ||
| Soil exchangeable aluminum | cmolc dm−3 | numerical | ||
| Soil potential acidity | cmolc dm−3 | numerical | ||
| Soil cation exchange capacity | cmolc dm−3 | numerical | ||
| Soil cation exchange capacity (pH 7.0) | cmolc dm−3 | numerical | ||
| Soil base saturation | % | numerical | ||
| Soil aluminum saturation | % | numerical | ||
| Soil exchangeable calcium | cmolc dm−3 | numerical | ||
| Soil exchangeable magnesium | cmolc dm−3 | numerical | ||
| Soil organic matter | % | numerical | ||
| Soil exchangeable phosphorus | mg dm−3 | numerical | ||
| Soil exchangeable potassium | mg dm−3 | numerical | ||
| Soil exchangeable sulfur | mg dm−3 | numerical | ||
| Soil exchangeable copper | mg dm−3 | numerical | ||
| Soil exchangeable zinc | mg dm−3 | numerical | ||
| Soil exchangeable boron | mg dm−3 | numerical | ||
| Soil exchangeable manganese | mg dm−3 | numerical | ||
| Predictors | Soil | Weather | Weather + Soil | ||||||
|---|---|---|---|---|---|---|---|---|---|
| Algorithm | PLRS | CUB | RF | PLRS | CUB | RF | PLRS | CUB | RF |
| R2 | 0.12 | 0.15 | 0.23 | 0.47 | 0.52 | 0.58 | 0.48 | 0.51 | 0.55 |
| RMSE (Mg ha−1) | 4.41 | 4.16 | 3.92 | 3.16 | 2.99 | 2.85 | 3.18 | 3.05 | 2.95 |
| MAE (Mg ha−1) | 3.47 | 3.20 | 2.94 | 2.55 | 2.42 | 2.24 | 2.48 | 2.42 | 2.30 |
| Imputation Set | Predictors | Algorithm | Train | Test | |||||
|---|---|---|---|---|---|---|---|---|---|
| R2 | RMSE | MAE | Best fit | R2 | RMSE | MAE | |||
| Mg ha−1 | Mg ha−1 | ||||||||
| 1 | Soil | PLSR | 0.34 | 4.00 | 3.10 | 8 | 0.12 | 4.41 | 3.47 |
| CUB | 0.90 | 1.76 | 1.35 | 9 | 0.15 | 4.16 | 3.20 | ||
| RF | 0.94 | 1.59 | 1.16 | 12/3 | 0.23 | 3.92 | 2.94 | ||
| Weather | PLSR | 0.55 | 3.33 | 2.57 | 10 | 0.46 | 3.20 | 2.54 | |
| CUB | 0.89 | 1.70 | 1.29 | 5 | 0.52 | 2.99 | 2.43 | ||
| RF | 0.89 | 1.70 | 1.28 | 65/5 | 0.59 | 2.80 | 2.23 | ||
| Weather + Soil | PLSR | 0.60 | 3.13 | 2.46 | 18 | 0.47 | 3.18 | 2.48 | |
| CUB | 0.95 | 1.25 | 0.95 | 9 | 0.50 | 3.07 | 2.47 | ||
| RF | 0.95 | 1.32 | 1.00 | 80/3 | 0.55 | 2.94 | 2.30 | ||
| 2 | Soil | PLSR | 0.56 | 3.28 | 2.54 | 15 | 0.47 | 3.15 | 2.55 |
| CUB | 0.89 | 1.69 | 1.29 | 5 | 0.52 | 3.00 | 2.44 | ||
| RF | 0.90 | 1.70 | 1.29 | 65/5 | 0.56 | 2.90 | 2.26 | ||
| Weather | PLSR | 0.60 | 3.14 | 2.46 | 17 | 0.48 | 3.17 | 2.47 | |
| CUB | 0.95 | 1.23 | 0.94 | 9 | 0.50 | 3.05 | 2.43 | ||
| RF | 0.95 | 1.33 | 1.00 | 95/3 | 0.52 | 3.04 | 2.36 | ||
| 3 | Weather | PLSR | 0.56 | 3.29 | 2.55 | 14 | 0.47 | 3.15 | 2.55 |
| CUB | 0.89 | 1.69 | 1.28 | 5 | 0.53 | 2.98 | 2.43 | ||
| RF | 0.92 | 1.53 | 1.16 | 65/3 | 0.57 | 2.85 | 2.24 | ||
| Weather + Soil | PLSR | 0.60 | 3.14 | 2.46 | 17 | 0.48 | 3.17 | 2.48 | |
| CUB | 0.95 | 1.24 | 0.95 | 9 | 0.52 | 3.00 | 2.40 | ||
| RF | 0.94 | 1.43 | 1.08 | 95/5 | 0.57 | 2.87 | 2.24 | ||
| 4 | Weather | PLSR | 0.56 | 3.28 | 2.54 | 15 | 0.47 | 3.15 | 2.55 |
| CUB | 0.90 | 1.63 | 1.23 | 5 | 0.52 | 2.98 | 2.41 | ||
| RF | 0.91 | 1.54 | 1.17 | 65/3 | 0.57 | 2.89 | 2.25 | ||
| Weather + Soil | PLSR | 0.60 | 3.13 | 2.46 | 18 | 0.47 | 3.18 | 2.49 | |
| CUB | 0.95 | 1.23 | 0.94 | 9 | 0.51 | 3.03 | 2.38 | ||
| RF | 0.95 | 1.30 | 0.98 | 95/3 | 0.54 | 2.97 | 2.31 | ||
| 5 | Soil | PLSR | 0.56 | 3.28 | 2.53 | 15 | 0.47 | 3.17 | 2.56 |
| CUB | 0.88 | 1.74 | 1.33 | 5 | 0.52 | 2.99 | 2.40 | ||
| RF | 0.90 | 1.70 | 1.29 | 65/5 | 0.59 | 2.79 | 2.20 | ||
| Weather | PLSR | 0.60 | 3.14 | 2.46 | 17 | 0.48 | 3.18 | 2.48 | |
| CUB | 0.95 | 1.28 | 0.98 | 9 | 0.50 | 3.08 | 2.44 | ||
| RF | 0.95 | 1.34 | 1.00 | 95/3 | 0.55 | 2.92 | 2.28 | ||
Disclaimer/Publisher’s Note: The statements, opinions and data contained in all publications are solely those of the individual author(s) and contributor(s) and not of MDPI and/or the editor(s). MDPI and/or the editor(s) disclaim responsibility for any injury to people or property resulting from any ideas, methods, instructions or products referred to in the content. |
© 2023 by the authors. Licensee MDPI, Basel, Switzerland. This article is an open access article distributed under the terms and conditions of the Creative Commons Attribution (CC BY) license (https://creativecommons.org/licenses/by/4.0/).
Share and Cite
Andrade, C.B.; Moura-Bueno, J.M.; Comin, J.J.; Brunetto, G. Grape Yield Prediction Models: Approaching Different Machine Learning Algorithms. Horticulturae 2023, 9, 1294. https://doi.org/10.3390/horticulturae9121294
Andrade CB, Moura-Bueno JM, Comin JJ, Brunetto G. Grape Yield Prediction Models: Approaching Different Machine Learning Algorithms. Horticulturae. 2023; 9(12):1294. https://doi.org/10.3390/horticulturae9121294
Chicago/Turabian StyleAndrade, Caio Bustani, Jean Michel Moura-Bueno, Jucinei José Comin, and Gustavo Brunetto. 2023. "Grape Yield Prediction Models: Approaching Different Machine Learning Algorithms" Horticulturae 9, no. 12: 1294. https://doi.org/10.3390/horticulturae9121294
APA StyleAndrade, C. B., Moura-Bueno, J. M., Comin, J. J., & Brunetto, G. (2023). Grape Yield Prediction Models: Approaching Different Machine Learning Algorithms. Horticulturae, 9(12), 1294. https://doi.org/10.3390/horticulturae9121294

