Investigating the Aromatic Compound Changes in Table Grape Varieties during Growth and Development, Using HS-SPME-GC/MS
Abstract
1. Introduction
2. Materials and Methods
2.1. Plant Materials
2.2. Fruit Quality
2.3. Extraction of the Aromatic Compounds
2.4. Qualitative and Quantitative Analysis of the Aromatic Compounds
2.5. Data Analysis
3. Results
3.1. Fruit Gowth and Development
3.2. The Total Aromatic Compounds in the Three Varieties
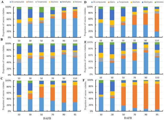
3.3. The Proportion of Each Aroma Type in the Three Varieties
3.4. The Content Changes of the Different Aromatic Compounds
3.5. Principal Component Analysis (PCA) of the Aromatic Compounds of the Three Varieties
3.6. Cluster Analysis of the Aromatic Components in the Different Varieties and Growth Stages
4. Discussion
4.1. Aroma Characteristics of the Different Varieties
4.2. Aroma Changes during Growth and Development and Selection of Harvest Time
4.3. Research Value of ‘Ryuho’ on Aroma
5. Conclusions
Supplementary Materials
Author Contributions
Funding
Data Availability Statement
Acknowledgments
Conflicts of Interest
References
- Kong, Q.S. Chinese Grape Records; China Agricultural Science and Technology Press: Beijing, China, 2004. [Google Scholar]
- Averilla, J.N.; Oh, J.; Kim, H.J.; Kim, J.S.; Kim, J.S. Potential health benefits of phenolic compounds in grape processing by-products. Food Sci. Biotechnol. 2019, 28, 1607–1615. [Google Scholar] [CrossRef] [PubMed]
- Gupta, M.; Dey, S.; Marbaniang, D.; Pal, P.; Ray, S.; Mazumder, B. Grape seed extract: Having a potential health benefit. J. Food Sci. Technol. 2020, 57, 1205–1215. [Google Scholar] [CrossRef] [PubMed]
- Zhou, Y.; Massonnet, M.; Sanjak, J.S.; Cantu, D.; Gaut, B.S. Evolutionary genomics of grape (Vitis vinifera ssp. vinifera) domestication. Proc. Natl. Acad. Sci. USA 2017, 114, 11715–11720. [Google Scholar] [CrossRef] [PubMed]
- Zhou, Y.; Minio, A.; Massonnet, M.; Solares, E.; Lv, Y.; Beridze, T.; Cantu, D.; Gaut, B.S. The population genetics of structural variants in grapevine domestication. Nat. Plants 2019, 5, 965–979. [Google Scholar] [CrossRef]
- Zhong, H.; Liu, Z.; Zhang, F.; Zhou, X.; Sun, X.; Li, Y.; Liu, W.; Xiao, H.; Wang, N.; Lu, H.; et al. Metabolomic and transcriptomic analyses reveal the effects of self-and hetero-grafting on anthocyanin biosynthesis in grapevine. Hortic. Res. 2022, 9, uhac103. [Google Scholar] [CrossRef]
- Roca, P. State of the Vitiviniculture World Market. In Proceedings of the 42nd Word Congress of Vine & Wine, Geneva, Switzerland, 15–19 July 2019; Available online: https://www.bio-conferences.org/articles/bioconf/abs/2019/04/contents/contents.html (accessed on 6 January 2023).
- Ji, X.H.; Wang, B.; Wang, X.; Shi, X.B.; Liu, P.P.; Liu, F.Z.; Wang, H.B. Effects of different color paper bags on aroma development of ‘Kyoho’ grape berries. J. Integr. Agric. 2019, 18, 70–82. [Google Scholar] [CrossRef]
- Yang, Z.Y. Study on genealogy of ‘Kyoho’ grape. Sino-Overseas Grapevine Wine 2005, 2, 38–41. [Google Scholar]
- Yamada, M.; Yamane, H.; Sato, A.; Hirakawa, N.; Iwanami, H.; Yoshinaga, K.; Ozawa, T.; Mitani, N.; Shiraishi, M.; Yoshioka, M.; et al. New grape cultivar ‘Shine Muscat’. Bulletin of the National Institute of Fruit. Tree Sci. 2008, 7, 21–38. [Google Scholar]
- Xi, X.; Zha, Q.; He, Y.; Tian, Y.; Jiang, A. Influence of cluster thinning and girdling on aroma composition in ‘Jumeigui’ table grape. Sci. Rep. 2020, 10, 6877. [Google Scholar] [CrossRef]
- El Hadi, M.A.M.; Zhang, F.J.; Wu, F.F.; Zhou, C.H.; Tao, J. Advances in fruit aroma volatile research. Molecules 2013, 18, 8200–8229. [Google Scholar] [CrossRef]
- Saša, M.; Jelena, P.D.; Ristić, R.; Dušica, Ć.; Bratislav, Ć.; Tatjana, P. Volatile aroma compounds of brandy ‘Lozovača’ produced from muscat table grapevine cultivars (Vitis vinifera L.). Molecules 2019, 24, 2485. [Google Scholar] [CrossRef]
- Zhang, W.W.; Wu, Y.S.; Chen, Y.J.; Zheng, Q.Z.; Ma, C.; Xu, W.P.; Wang, S.P. Aroma characteristics of three ‘Kyoho’ grapevine series. J. Shanghai Jiaotong Univ. Agric. Sci. Ed. 2018, 36, 51–59. Available online: http://www.cqvip.com/qk/97481a/201805/676765829.html (accessed on 6 January 2023).
- Wu, Y.; Zhang, W.; Song, S.; Xu, W.; Zhang, C.; Ma, C.; Wang, L.; Wang, S. Evolution of volatile compounds during the development of Muscat grape ‘Shine Muscat’ (Vitis labrusca × V. vinifera). Food Chem. 2020, 309, 125778. [Google Scholar] [CrossRef] [PubMed]
- Xue, H.; Sekozawa, Y.; Sugaya, S. Effects of gibberellin and abscisic acid on fruit quality and aromatic compound formation during fruit development in ‘Kyoho’ grapes (Vitis vinifera L. × Vitis labrusca L.). Environ. Control. Biol. 2022, 60, 67–78. [Google Scholar] [CrossRef]
- Yamada, M.; Sato, A. Advances in table grape breeding in Japan. Breed. Sci. 2016, 66, 34–45. [Google Scholar] [CrossRef] [PubMed]
- Zhou, J.M. Analysis on the Constituents and Metabolic Regulations of Aroma in Table Grapes. Master’s Thesis, Shandong Agriculture University, Tai’an, China, 2013. Available online: http://cdmd.cnki.com.cn/Article/CDMD-10434-1014156803.html (accessed on 6 January 2023).
- Mateo, J.J.; Jiménez, M. Monoterpenes in grape juice and wines. J. Chromatogr. A 2000, 881, 557–567. [Google Scholar] [CrossRef] [PubMed]
- Yang, C.; Wang, Y.; Liang, Z.; Fan, P.; Wu, B.; Yang, L.; Wang, Y.; Li, S. Volatiles of grape berries evaluated at the germplasm level by headspace-SPME with GC–MS. Food Chem. 2009, 114, 1106–1114. [Google Scholar] [CrossRef]
- Wu, Y.S.; Duan, S.Y.; Zhao, L.P.; Gao, Z.; Luo, M.; Song, S.R.; Xu, W.P.; Zhang, C.X.; Ma, C.; Wang, X.P. Aroma characterization based on aromatic series analysis in table grapes. Sci. Rep. 2016, 6, 31116. [Google Scholar] [CrossRef]
- Tan, W.; Tang, X.P.; Dong, Z.G.; Li, X.M. Analysis of the aromatic compounds of four tetraploid muscat flavor grapes and their diploid parents. J. Fruit Sci. 2017, 34, 435–443. [Google Scholar]
- Tan, W.; Tang, X.P.; Dong, Z.G.; Li, X.M. Analysis on fruit aromatic compounds of four seedless grape and their parents. J. Fruit Sci. 2015, 3, 440–447. [Google Scholar]
- Kang, W.H.; Xu, Y.; Cui, Y.Z. Comparative analysis of contents of C6 aldehydes and alcohols responsible for the aroma of different varieties of wine grapes. Food Sci. 2010, 31, 252–256. [Google Scholar]
- Shang, J.Y.; Tian, S.F.; Zhu, Z.Q.; Li, S.H.; Ji, X.; Gao, Y. Effects of harvesting time on fruit quality and aromatic compounds in ‘Muscat Hamburg’ grape. Acta Agric. Boreali-Sin. 2013, 28, 155–162. [Google Scholar]
- Colantonio, V.; Ferrão, L.F.V.; Tieman, D.M.; Bliznyuk, N.; Sims, C.; Klee, H.J.; Munoz, P.; Resende, M.F., Jr. Metabolomic selection for enhanced fruit flavor. Proc. Natl. Acad. Sci. USA 2022, 119, e2115865119. [Google Scholar] [CrossRef] [PubMed]












Disclaimer/Publisher’s Note: The statements, opinions and data contained in all publications are solely those of the individual author(s) and contributor(s) and not of MDPI and/or the editor(s). MDPI and/or the editor(s) disclaim responsibility for any injury to people or property resulting from any ideas, methods, instructions or products referred to in the content. |
© 2023 by the authors. Licensee MDPI, Basel, Switzerland. This article is an open access article distributed under the terms and conditions of the Creative Commons Attribution (CC BY) license (https://creativecommons.org/licenses/by/4.0/).
Share and Cite
Xue, H.; Sekozawa, Y.; Sugaya, S. Investigating the Aromatic Compound Changes in Table Grape Varieties during Growth and Development, Using HS-SPME-GC/MS. Horticulturae 2023, 9, 85. https://doi.org/10.3390/horticulturae9010085
Xue H, Sekozawa Y, Sugaya S. Investigating the Aromatic Compound Changes in Table Grape Varieties during Growth and Development, Using HS-SPME-GC/MS. Horticulturae. 2023; 9(1):85. https://doi.org/10.3390/horticulturae9010085
Chicago/Turabian StyleXue, Hui, Yoshihiko Sekozawa, and Sumiko Sugaya. 2023. "Investigating the Aromatic Compound Changes in Table Grape Varieties during Growth and Development, Using HS-SPME-GC/MS" Horticulturae 9, no. 1: 85. https://doi.org/10.3390/horticulturae9010085
APA StyleXue, H., Sekozawa, Y., & Sugaya, S. (2023). Investigating the Aromatic Compound Changes in Table Grape Varieties during Growth and Development, Using HS-SPME-GC/MS. Horticulturae, 9(1), 85. https://doi.org/10.3390/horticulturae9010085

