Abstract
Exploiting biodiversity must be considered today an effective strategy to improve the sustainability of olive production systems. The evaluation of local cultivars, based on their vegetative and fruiting traits, along with an analysis of product quality, may contribute significantly to the development and diffusion of new olive-growing systems. The aim of this study was to evaluate growth, productivity, and olive oil quality of three Sicilian cultivars with different vigor/growth habit grown in four different combinations of training form and planting density. ‘Abunara’, ‘Calatina’, and ‘Nocellara del Belice’ olive trees were planted in four different intensive planting systems: 2 × 5 m trained to central leader (CLx2), 3 × 5 m trained to free palmette (FPx3), 4 × 5 m trained to small globe vase (GVx4), and 5 × 5 m trained to poly-conic vase (PVx5) and evaluated for seven years. Planting systems with low-density showed faster growth (trunk cross section area and canopy volume) than high-density systems. High-density systems had higher yield per hectare but lower yield per tree than low-density systems. ‘Calatina’ was the least vigorous but most productive cultivar. ‘Abunara’ and ‘Nocellara’ were relatively vigorous and suffered the tight spacings of high-density systems. Yield efficiency was generally high in ‘Calatina’, and it showed an increase with time in ‘Abunara’ and ‘Nocellara’ grown under the GVx4 and PVx5 systems. Fruit yield per hectare was highest in ‘Calatina’ grown under high-density systems. Oil yield was lower in ‘Nocellara’ than in ‘Abunara’ and ‘Calatina’. In terms of oil quality, ‘Calatina’ and ‘Abunara’ produced oils with higher oleic acid content than ‘Nocellara’. Generally, ‘Calatina’ has production characteristics of considerable interest, which, combined with low canopy volume and vigor, make it suitable for intensive pedestrian olive orchards with high levels of harvest and pruning mechanization and using different strategies and machines. Overall, for their management flexibility, these planting systems can contribute to improve sustainability of the olive industry even in sloping, dry areas of the Mediterranean.
1. Introduction
Today, the adoption of modern olive-growing systems is the only answer to increase mechanization (lower management costs), productivity, production efficiency, and final product quality. The survival of the olive and oil production sector, especially in the dry and sloping areas of the Mediterranean regions, is indeed linked to the possibility of fully mechanizing the harvest and, in part, pruning operations [1]. In several small olive farms around the dry, sloping areas of the Mediterranean (representing a major portion of the world’s olive production industry), these are indeed the only management practices still carried out today with large use of labor (high costs), compromising the economic sustainability of the entire production process [2]. To increase mechanization and, consequently, the economical profitability of olive systems and to maintain their agro-biodiversity and environmental sustainability, tree size must be reduced. Despite the work of breeding programs to obtain new low-vigor cultivars [3,4,5,6,7,8] and some combinations of rootstocks/cultivars adapted to hedgerow plantings [6,7,9], the use of dwarfing rootstocks has still not been fully achieved in olive trees [10,11,12]. Hence, the best and most immediate strategy for the survival of olive growing in the dry and sloping areas of the Mediterranean is going, for example, along the same lines as pedestrian fruit orchards [13,14].
The general concept of pedestrian orchards is to use relatively low-vigor trees planted at medium to high densities (400–1000 trees/ha) to be fully managed from the ground. In olive, this setup would represent a viable solution for those areas where site and climate conditions as well as irrigation water availability limit the use of super-high-density (SHD, >1000 trees/ha) olive planting systems. Indeed, SHD olive planting systems are often unsuitable in countries such as Greece, Italy, Turkey, and Tunisia, where most of the olive groves are traditionally grown in small farms with sloping land [2,13]. In those areas and under those conditions, pedestrian olive orchards could fill the planting density gap (300–1000 trees/ha) between traditional and SHD systems, use local cultivars that adapt well to climate and soil settings, and produce high-quality olive oils, thus representing the best and only opportunity to maintain a viable and sustainable olive industry. Indeed, the use of local cultivars in modern olive orchards with high-tech farming is important to preserve the production of high-quality olive oil with unique color, flavors, and chemical composition as well as agro-biodiversity. Using specific low-vigor cultivars, increasing planting densities, adopting planar-hedgerow tree forms, limiting water and nutrient supplies, and using cover crops, which generally restrict tree vegetative growth, are all useful tools to reduce olive tree size [15,16,17,18,19,20,21,22] and favor the development of pedestrian growing systems.
Cultivar choice plays a key role in pedestrian olive orchards. While cultivars with high vigor, upright growth, and with high yield have been successfully used in traditional planting systems, low-vigor, early fruiting, highly productive local genotypes fit well the high-density (HD, 800–1000 trees/ha) intensive planting systems [13,23,24]. In the dry and sloping areas of Mediterranean regions, the combination of low-vigor local genotypes and medium- to high-density (400–1000 trees/ha) pedestrian olive systems may represent a viable and sustainable option for three main reasons: (1) unlike the SHD systems, where only a few cultivars, currently all susceptible to dangerous diseases [25], such as Xylella fastidiosa pauca, are widely used, minor and local genotypes may adapt well to pedestrian olive orchards, maintaining high levels of olive genetic diversity and improving environmental sustainability of olive growing; (2) low-vigor cultivars with thin, flexible branches are suited also to continuous harvest with straddle machines and mechanical pruning, decreasing production costs; and (3) local cultivars and minor genotypes are often recognized and still grown for their resilience to biotic and abiotic stressors and for high-quality olive oils with unique color, flavor, phenol and fatty acid composition, increasing nutritional value and marketing opportunities of the final product. Olive oils of many Sicilian cultivars have revealed high amounts of fatty acids, such as oleic, linoleic, and palmitic acids. For example, olive oils from ‘Cerasuola’ presented particularly healthy chemical profiles with high content of oleic acid and phenols [26] as well as a rich aroma associated to positive sensory attributes [27]. Minor and neglected Sicilian cultivars also showed higher content in tocopherols, total phenols, and polar phenols compared with main cultivars [28].
Overall, the exploitation of biodiversity is an effective tool to increase olive production sustainability. The study of minor and neglected genotypes from the Mediterranean area represents one of the most original and effective approaches oriented to identify cultivars with high degree of adaptability to climate change [29] and resistance to epidemic diseases. Concurrently, the identification of those cultivars provides the opportunity to produce high-quality virgin olive oil with unique flavors and chemical composition using new planting systems [30]. In this context, a multi-year study carried out on some minor Sicilian varieties in comparison with the most representative cultivar in the area highlighted the interest in the minor cultivars Calatina and Abunara. The aim of the present study was to evaluate growth, productivity, and olive oil quality of three Sicilian cultivars with different vigor/growth habits grown in four different planting systems, each as a combination of a specific training form and planting density, and, consequently, a mechanical harvest system. Three of the systems in trial represent different possibilities of HD pedestrian orchards, and the fourth one is a medium-density system trained to poly-conic vase and taken as a reference intensive system. The results will provide useful insight on the opportunity to establish pedestrian olive orchards to increase olive production efficiency and sustainability in those areas and conditions where SHD systems may not be economically and/or environmentally viable.
2. Materials and Methods
2.1. Plant Material and Experimental Conditions
The study was conducted in a 2.79 ha experimental field located in southwest Sicily (37°31′ N, 13°03′ E, about 120 m a.s.l.) from 2015 to 2021. The climate conditions of the area are very common in many of the olive-growing districts of the Mediterranean countries, with an average annual rainfall of 680 mm for the seven years of trial (min 450 mm in 2020, max 940 mm in 2021). The orchard was planted in 2014 using 1-year-old self-rooted olive trees of the Sicilian cultivars Abunara, Calatina, and Nocellara del Belice. The first two are minor (neglected) cultivars of the autochthonous Sicilian germplasm. Nocellara del Belice is one of the widely grown cultivars (almost 20,000 ha) in the Southwest of Sicily, and its fruits are used both for table purpose (green ripe) or olive oil extraction. All three cultivars produce large fruits (5 g on average), easy to detach from the tree at veraison. Depending on the cultivar, tree height at planting varied from 60 (Calatina) to 100 cm (Nocellara del Belice). Two-hundred-sixteen trees of each of the three cultivars were planted in north–south-oriented rows at four planting densities: 2 × 5 m (1000 trees/ha), 3 × 5 m (666 trees/ha), 4 × 5 m (500 trees/ha), and 5 × 5 m (400 trees/ha). Trees at 2 × 5 m were trained to central leader (CLx2), while those at 3 × 5 m were trained to free palmette (FPx3). Both these tree shapes formed continuous walls about 3 m in height depending on the growth habit, the vigor of the cultivar, and the type of machinery to be used for harvesting: straddle for relatively thin canopies (no more 1.5 m wide) or shaker equipped with side-by-side interceptor frame for thicker canopies (no larger than 3 m). Trees at 4 × 5 m were trained to small globe vase (GVx4) and kept at 3 m in height. Trees at 5 × 5 m were trained to poly-conic vase (PVx5) and kept at 3.5 m in height.
In all four planting systems, trees were lightly pruned starting at the end of the first growing season to obtain the desired training form. In trees trained to CL, the first primary branch was selected at about 60 cm from the ground and the following branches at 30 cm upward and rotating along the main stem to avoid reciprocal shading (Figure 1). In trees trained to FP, branches directed to the inter-row were removed, whereas growth of branches on the row was favored. Each tree included three main scaffolds, the first at 60 cm from the ground and the second and third at 160 and 260 cm, respectively (Figure 1). In each scaffold, fruiting branches were growing toward the inter-row. In GV, trees were initially trained as CL, but at the end of the second year, the main stem was topped at 180 cm, and five branches with a 45° angle from the vertical were selected (Figure 1). The PV form is one of the several variants of the classic vase and was developed half a century ago in Italy to favor olive canopy management from the ground, and it may be considered the reference training form in this study. This training form was obtained according to the information reported in the literature [31].
Figure 1.
Examples of ‘Calatina’ olive trees trained to free palmette (FP); central leader (CL), with a planar canopy shape; polyconic vase (PV); and small globe vase (GV).
Two self-compensating in-line drippers per plant, delivering 16 L/h, were used for weekly irrigation from July through mid-September. Trees were deficit irrigated using a water potential threshold of −2.0 MPa [32]. The total seasonal (4th week of June to 1st week of October) application rate ranged from 500 to 1300 m3 ha−1 year−1, depending on planting density and season. All other conventional cultural cares were the same for all trees in trial. Trees were fertilized with 200 kg/ha−1 of 20-5-10 NPK complex to the soil and with 60 kg of 20-0-20 in the irrigation water, for a total of 130, 25, and 80 g/tree of N, P, and K, respectively. Soil was cultivated at a 10–20 cm depth three times per year in mid-March, at the end of May, and at the end of August.
2.2. Experiment Layout and Measurements
In 2015, nine trees for each cultivar and planting system combination in a complete random block design were selected and properly labeled (Figure S1). Fruit yield (kg/tree), trunk cross-section area (TCSA, cm−2), yield efficiency (kg cm−2), and yield (t ha−1) were determined for each tree as a biological replicate in each of the seven years of trial. In the last three years of trial (2019–2021), canopy width, thickness, and height were recorded at three positions (low, mid, and top) and used to estimate canopy surface and volume and calculate their ratio. Vegetative growth efficiency was calculated as the ratio of canopy volume to TCSA. Amount of pruned wood was also recorded in the last two years of trial and expressed as kg per tree.
Fruit of all nine trees per cultivar and planting system combination were hand harvested at veraison stage and placed in bins for processing within 48 h. Fruits were weighed and processed with a two-phase mill (Toscana Enologica Mori-TEM) with a working capacity of 400 kg of olives/run specifically built for running relatively small experimental samples. The oil extracted from each combination of factors was subsequently weighed to determine oil yield and sub-samples taken for chemical analyses. Fruit and oil yield efficiencies were calculated on a m3 of canopy volume.
2.3. Olive Oil Standard Quality
The standard oil quality parameters of free acidity (% of oleic acid), peroxide value (mEq O2 kg−1), extinction coefficients (K232, K270, and ΔK) and fatty acid composition were evaluated in accordance with the regulations of the European Union (Commission Delegated Regulation (EU) 2019/1604).
2.4. Phenol Compounds
The extraction of phenol compounds in extra virgin olive oil (EVOO) was carried out according to Taticchi et al. [33]. The analysis of phenol compounds was carried out as reported by Selvaggini et al. [34], with an Agilent Technologies HPLC system model 1100, equipped with a vacuum degasser, a quaternary pump, an autosampler, a thermostated column compartment, a diode array detector (DAD), and a fluorescence detector (FLD) controlled by a ChemStation (Agilent Technologies, Palo Alto, CA, USA) and using a C18 column Spherisorb ODS-1 (250 × 4.6 mm, 5 μm particle size) (Waters, Milan, Italy). The quantitative evaluation of the phenols was carried out by means of single calibration curves for each compound, and the results were expressed as mg kg−1 of oil.
2.5. Volatile Compounds
The evaluation of volatile compounds of VOOs was carried out with the headspace–solid phase microextraction (HS-SPME) technique followed by gas chromatography–mass spectrometry (HS-SPME-GC/MS). The sampling of headspace of volatile molecules was done with the SPME fiber (50/30 μm DVB/CAR/PDMS, length 2 cm, StableFlex, Supelco, Inc., Bellefonte, PA, USA). GC/MS analysis was conducted with an Agilent Technologies GC 7890B equipped with a “Multimode Injector” (MMI) 7693A (Agilent Technologies, Santa Clara, CA, USA) and a thermostated PAL3 RSI 120 autosampler equipped with a fiber conditioning module and an agitator (CTC Analytics AG, Zwingen, Switzerland) following the protocol described by Taticchi et al. [33]. Volatile compounds were identified by comparing their mass spectra and retention times with those of authentic reference compounds and with spectra in the NIST 2014 mass spectra library. The quantitation of the volatile molecules was performed using calibration curves for each compound with the internal standard method, and the results were expressed as µg kg−1 of oil.
2.6. Data Analysis
Analysis of variance was used to test for differences among studied factors using Jamovi procedures [35]. Yield data across the seven years of trial were analyzed using cultivar, planting system, and year as main factors; all their two-way and three-way combinations as interactions; block as a random replicate factor and the single tree as the experimental unit. Yield and growth data of the last two years were averaged and analyzed using cultivar and planting system as main factors, cultivar × planting system as the sole interaction, and the block as a replicate. When appropriate, ANOVA was followed by Tukey’s multiple comparison test (p ≤ 0.05) to separate means. Due to the limited quantity of olives and the mill working capacity (commercial mill), olive oil was extracted in three replicates per cultivar and for each planting system. Data were analyzed by ANOVA followed by Tukey’s multiple comparison test (p ≤ 0.05).
3. Results and Discussion
For data of all studied parameters, analysis of variance indicated a significant interaction among cultivar, planting system, and year. Hence, data and statistics are presented in graphs made of four different panels, each with a different planting system and containing data of the three cultivars. As expected by the end of the seven years of trial, TCSA was generally higher in GV and PV systems with 3D training forms than in CL and FP systems with 2D forms (Figure 2). This is in part due to the canopy shape and in part to the in-row distances, as they both induce tree growth reductions by foliage and root growth limitations, respectively. In terms of TCSA, ‘Calatina’ trees always grew less than ‘Abunara’ and ‘Nocellara’ trees, especially in the FPx3, GVx4, and PVx5 systems (Figure 2). Similar results were obtained by Mineo et al. [28]. ‘Abunara’ and ‘Nocellara’ trees had always similar TCSA, with the sole exception in CLx2 and at the end of the seven years of trial, where ‘Nocellara’ trees had smaller TCSA than ‘Abunara’ trees (Figure 2A). The latter indicates that high densities (smaller canopy and root allotted space) and the compact CL form depress growth of ‘Nocellara’ trees, which have the tendency to grow open with wide crotch angles.
Figure 2.
Trends of trunk cross-section area (TCSA) across the seven years of trial for ‘Abunara’, ‘Calatina’, and ‘Nocellara del Belice’ olive trees grown as central leaders at 2 × 5 m (CLx2, (A)), free palmette at 3 × 5 m (FPx3, (B)), globe vase at 4 × 5 m (GVx4, (C)), and polyconic vase at 5 × 5 m (PVx5, (D)). Error bars represent standard errors of the means. Mean separation by Tukey’s honestly significant difference (HSD, p < 0.05).
By the end of the seven years of trial (2021), ‘Abunara’ tended to have the largest canopies in all systems except in PVx5, while ‘Calatina’ presented the smallest canopies in all systems (Table 1), similar to what observed by Marino et al. [36]. Regardless of the cultivar, trees under the PVx5 system had the largest canopy volumes, while trees under the CLx2 system had the smallest canopy volumes; FPx3 and GVx4 systems exhibited trees with similar and intermediate canopy volumes. In this case, the main driving factor was tree spacing and a better total light interception, determining a greater vegetative growth above and below ground.
Table 1.
Growth parameters for ‘Abunara’, ‘Calatina’, and ‘Nocellara del Belice’ olive trees grown as central leaders at 2 × 5 m (CLx2), free palmette at 3 × 5 m (FPx3), globe vase at 4 × 5 m (GVx4), and polyconic vase at 5 × 5 m (PVx5). Mean separation by Tukey’s honestly significant difference (HSD, p < 0.05).
‘Calatina’ was more growth efficient than ‘Abunara’ and ‘Nocellara’ in all systems, especially at higher densities (FPx3 and CLx2). Growth efficiency of ‘Abunara’ and ‘Nocellara’ were similar in all four systems (Table 1).
Canopy surface, an indication of the leaf area exposed to solar radiation, followed the same trend of canopy volume (low levels for ‘Calatina’) except for the FPx3 system, which in this case, did not show differences among cultivars (Table 1). The canopy/soil surface ratio, an indication of the amount of foliage per unit of soil surface and thus a sort of vertical shading index, was also generally low in ‘Calatina’ compared to the other two cultivars. On the contrary, the canopy surface/volume ratio tended to be higher in ‘Calatina’ than in ‘Abunara’ and ‘Nocellara’, especially in the FPx3 and GVx4 systems. Both these last two parameters suggest a better use of the occupied space in terms of light interception for ‘Calatina’ compared to ‘Abunara’ and ‘Nocellara’.
In terms of pruning weight, differences were generally non-significant, with ‘Calatina’ showing the tendency to generate fewer prunings than the other two cultivars, especially in CLx2, FPx3, and GVx4 (Table 1).
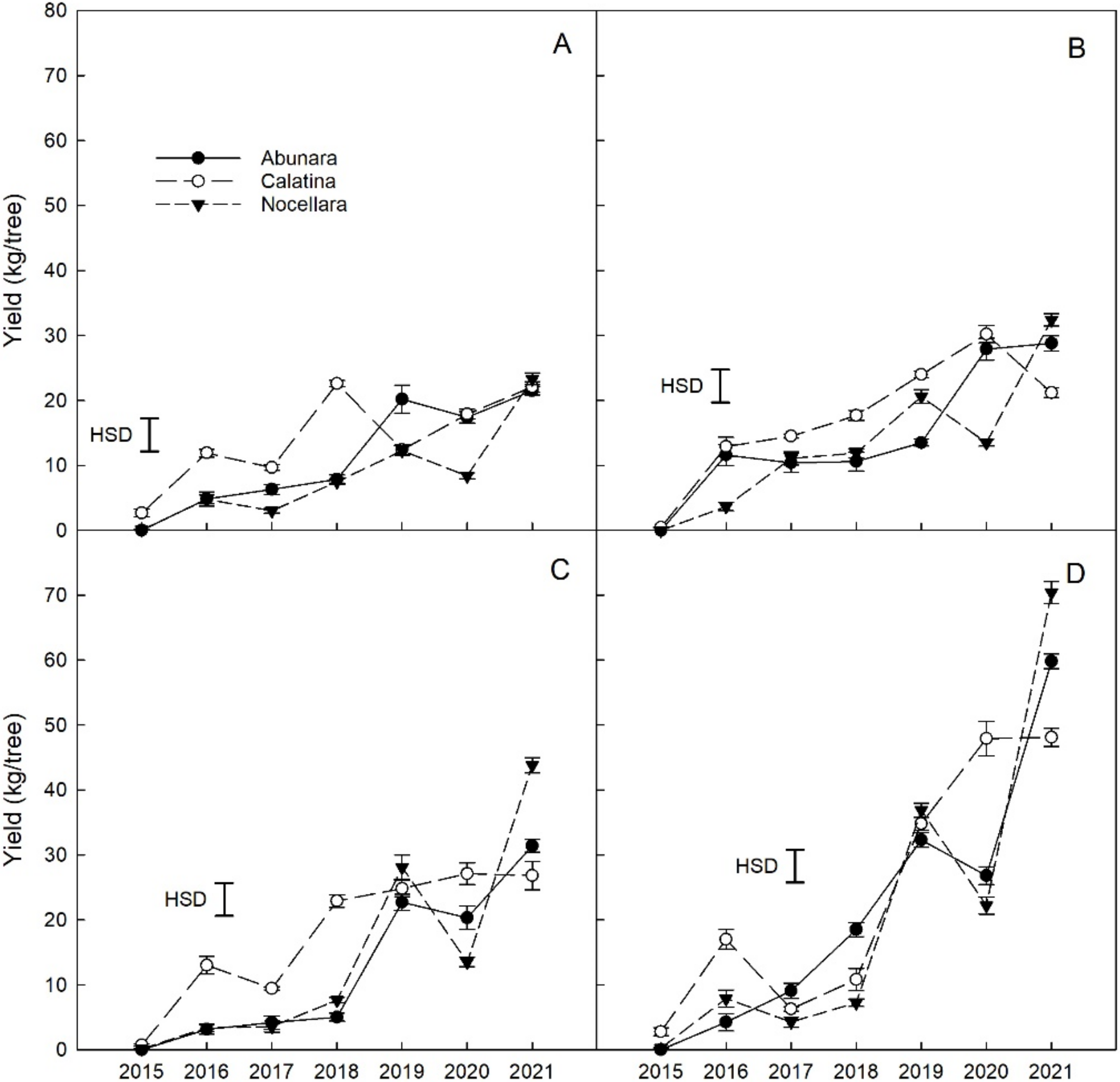
Yields per tree (average of the seven years) were generally highest in PVx5 (16.1 kg) and lowest in CLx2 (9.5 kg), with FPx3 and GVx4 showing similar intermediate levels (11–13 kg). This is generally expected, as it follows tree allotted space and canopy size: more space, bigger canopy, greater yield. Yields tended to be higher in ‘Calatina’ than in the other two cultivars in CLx2 and GVx4 during years 2016 to 2018 (Figure 3A,C), showing greater yield precocity of ‘Calatina’ under those two systems. Interestingly, ‘Calatina’ had high yields per tree until the sixth year of trial also in GVx4 and PVx5 systems, but in the seventh year, ‘Abunara’ and ‘Nocellara’ showed higher yields than ‘Calatina’ (Figure 3D). This may be in part explained by the evident alternate bearing in the vigorous cultivars. FPx3 was the planting system that showed relatively more regular yields with nearly no sign of alternate bearing, especially in ‘Calatina’ (Figure 3B). On the contrary, trees under the GVx4 and PVx5 systems showed a relatively high degree of alternate bearing (Figure 3C,D).
Figure 3.
Trends of fruit yield per tree across the seven years of trial for ‘Abunara’, ‘Calatina’, and ‘Nocellara del Belice’ olive trees grown as central leaders at 2 × 5 m (CLx2, (A)), free palmette at 3 × 5 m (FPx3, (B)), globe vase at 4 × 5 m (GVx4, (C)), and polyconic vase at 5 × 5 m (PVx5, (D)). Error bars represent standard errors of the means. Mean separation by Tukey’s honestly significant difference (HSD, p < 0.05).
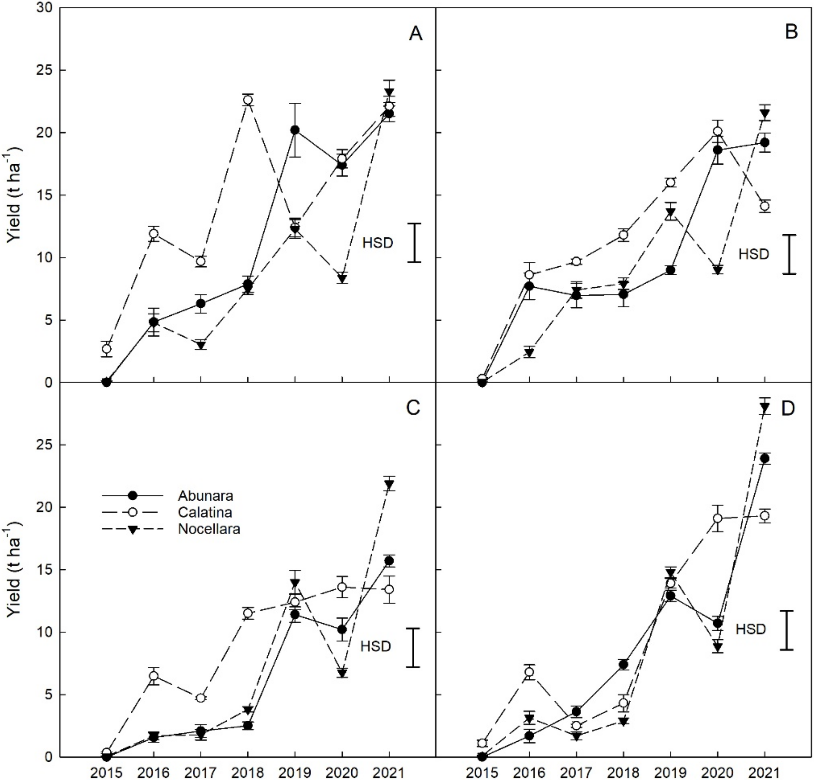
Yields per hectare of course followed the same trends as yields per tree but considered the different planting density of the various systems. In this case, trees in the CLx2 (9.5 t ha−1) and FPx3 (8.9 t ha−1) systems were significantly more productive than trees in the GVx4 (5.8 t ha−1) and PVx5 (6.4 t ha−1), with ‘Nocellara’ reaching the highest yields per hectare in 2021 under the PVx5 system (Figure 4A). Overall, ‘Calatina’ was the most productive cultivar, with yields cumulated over the seven years of 77.8 t ha−1 compared to 62.8 t ha−1 of ‘Abunara’ and 57.8 t ha−1 of ‘Nocellara’ and was certainly the most productive cultivar in the first four years from planting in CLx2, FPx3, and GVx4. Furthermore, in terms of cumulated oil yields, ‘Nocellara’ was the least productive, with 9.83 t ha−1 compared to ‘Calatina’ and ‘Abunara’, both with 10.1 t ha−1. These results confirm previous findings from other studies [28].
Figure 4.
Trends of fruit yield per hectare across the seven years of trial for ‘Abunara’, ‘Calatina’, and ‘Nocellara del Belice’ olive trees grown as central leaders at 2 × 5 m (CLx2, (A)), free palmette at 3 × 5 m (FPx3, (B)), globe vase at 4 × 5 m (GVx4, (C)), and polyconic vase at 5 × 5 m (PVx5, (D)). Error bars represent standard errors of the means. Mean separation by Tukey’s honestly significant difference (HSD, p < 0.05).
As already pointed out by Trentacoste et al. [15], higher planting densities affected positively the yield per ha and negatively the yield per tree. ‘Nocellara’ and ‘Abunara’, which were more vigorous than ‘Calatina’, filled the assigned space in the rows earlier due to faster vegetative growth and higher canopy volume. This may decrease their efficiency later on during orchard life because of canopy overlapping and reciprocal tree shading [37].
Calatina was also the most yield-efficient cultivar, with some differences among planting systems (Figure 5). In particular, ‘Calatina’ was the most efficient from the second year onward in the FPx3 and GVx4 systems (Figure 5B,C); while it was the most efficient in the first four years, it lost some efficiency in the last three years under the CLx2 system (Figure 5A). ‘Calatina’ lost efficiency in the last year in FPx3, GVx4, and PVx5 systems (Figure 5B–D). On the contrary, ‘Abunara’ and ‘Nocellara’ increased their efficiency at the end of the trial in GVx4 and PVx5 systems (Figure 5C,D), finally reaching the levels of ‘Calatina’. The latter is primarily due to the greater canopy size and yields of the two vigorous cultivars at greater in-row spacing. On the contrary, the poor performance of ‘Abunara’ and ‘Nocellara’ under the reduced in-row distances of CLx2 and FPx3 systems may be due to canopies saturating the full allotted space and intercepting less light due to some reciprocal shading. In the PVx5 system, ‘Calatina’ trees were the most efficient in the first two years and at the end (Figure 5D), and this is primarily due to marked changes in yield per tree. These results confirm previous findings of high yield efficiency and low vigor of ‘Calatina’ trees grown under the same conditions [38]. In a high-density trial, Famiani et al. [31] also obtained high yield efficiency with low-vigor, compact ‘Arbequina’ trees.
Figure 5.
Trends of yield efficiency across the seven years of trial for ‘Abunara’, ‘Calatina’, and ‘Nocellara del Belice’ olive trees grown as central leaders at 2 × 5 m (CLx2, (A)), free palmette at 3 × 5 m (FPx3, (B)), globe vase at 4 × 5 m (GVx4, (C)), and polyconic vase at 5 × 5 m (PVx5, (D)). Error bars represent standard errors of the means. Mean separation by Tukey’s honestly significant difference (HSD, p < 0.05).
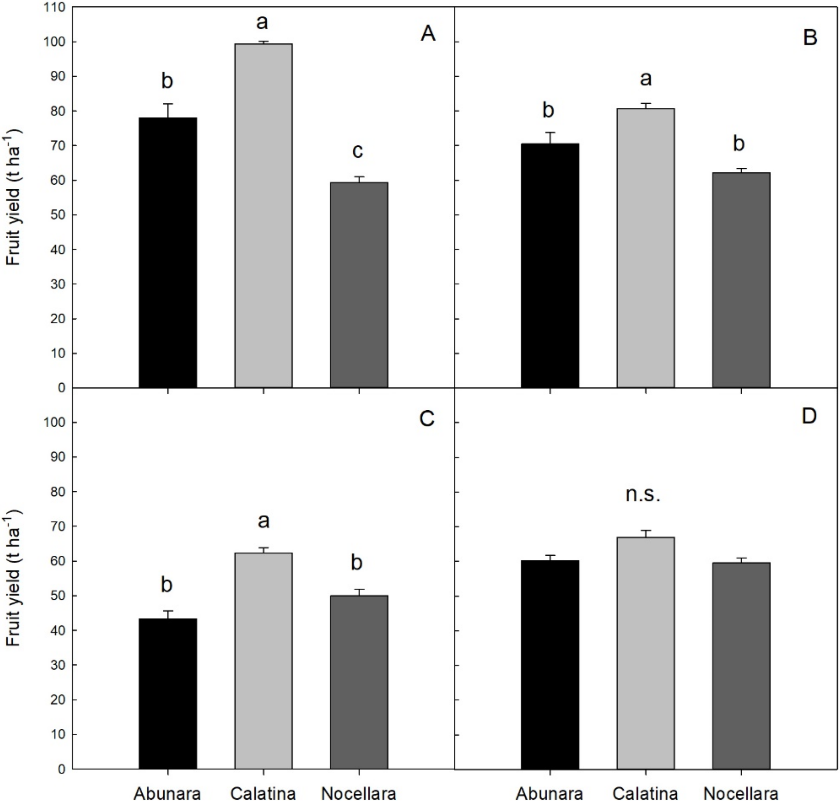
For all three cultivars, fruit yield per hectare was higher in CLx2 and FPx3 systems than in the other two. ‘Calatina’ had the highest cumulated fruit yield in CLx2, FPx3, and GVx4 systems, and the highest cumulated yield across cultivars and planting systems was obtained with ‘Calatina’ under CLx2 (Figure 6). In addition, ‘Abunara’ had its highest cumulated fruit yield per hectare in CLx2 but the absolute lowest across cultivars and planting systems in GVx4. ‘Nocellara del Belice’ exhibited similar cumulated yields in all planting systems, with a tendency to perform better under the PVx5 system.
Figure 6.
Cumulated fruit yield per hectare across the seven years of trial for ‘Abunara’, ‘Calatina’, and ‘Nocellara del Belice’ olive trees grown as central leaders at 2 × 5 m (CLx2, (A)), free palmette at 3 × 5 m (FPx3, (B)), globe vase at 4 × 5 m (GVx4, (C)), and polyconic vase at 5 × 5 m (PVx5, (D)). Error bars represent standard errors of the means. Mean separation by Tukey’s honestly significant difference (HSD, p < 0.05). Different letters indicate significant differences among cultivars and within each planting system; n.s., non-significant.
In agreement with Marino et al. [36], in CLx2, ‘Abunara’ and ‘Calatina’ had both higher oil yield than ‘Nocellara’ (Figure 7A). In FPx3 and PVx5, all the three cultivars had similar oil yield (Figure 7B,D), while in GVx4, ‘Nocellara’ had a higher oil yield than ‘Abunara’, with ‘Calatina’ showing an intermediate level (Figure 7C). Overall, in terms of oil yield, ‘Abunara’ and ‘Calatina’ performed best under higher densities with compact trees (in CLx2), while ‘Nocellara’ performed best with open center trees (5 × 4 and 5 × 5 m) under wider spacings. This further confirms that high densities and compact forms penalize growth and productive performance of ‘Nocellara’ trees, which have the tendency to grow open with wide crotch angles. To give a reference with a global cultivar such as Arbequina, the levels of oil production exhibited by ‘Calatina’ in all the four pedestrian systems tested were higher compared to those from trials with ‘Arbequina’ in SHD systems under the same environmental conditions [39], highlighting the power of biodiversity. Besides, the relatively large size of the ‘Calatina’ fruit (about 5 g) allows for a high harvesting efficiency not only with straddle machines, which can harvest also small fruit (1 g) such as that of ‘Arbequina’, but also with trunk shakers. This feature gives ‘Calatina’ and other cultivars with similar traits great adaptability to different planting systems that can be harvested with different methods and machines, contributing to a greater flexibility of olive growing systems.
Figure 7.
Cumulated oil yield per hectare across the seven years of trial for ‘Abunara’, ‘Calatina’, and ‘Nocellara del Belice’ olive trees grown as central leaders at 2 × 5 m (CLx2, (A)), free palmette at 3 × 5 m (FPx3, (B)), globe vase at 4 × 5 m (GVx4, (C)), and polyconic vase at 5 × 5 m (PVx5, (D)). Error bars represent standard errors of the means. Mean separation by Tukey’s honestly significant difference (HSD, p < 0.05). Different letters indicate significant differences among cultivars and within each planting system; n.s., non-significant.
The biennial results on the quality of the virgin olive oils did not show any significant effect of the planting system, so data from different planting systems were pooled together for each cultivar. On the other hand, oils obtained from ‘Calatina’ and ‘Abunara’ olives compared with ‘Nocellara del Belice’, one of the main Sicilian olive cultivars, showed some interesting aspects. In particular, there were no significant differences regarding the standard quality parameters; in fact, all the oils in the two-year period showed values well within the legal limits fixed for the extra virgin olive oil (Table 2).
Table 2.
Standard quality parameters of virgin olive oils from ‘Abunara’, ‘Calatina’, and ‘Nocellara del Belice’ olive trees grown as central leaders at 2 × 5 m (CLx2), free palmette at 3 × 5 m (FPx3), globe vase at 4 × 5 m (GVx4), and polyconic vase at 5 × 5 m (PVx5) in the last two years of trials. Data are expressed as means ± standard deviation (n = 12). For each cultivar, data from different planting systems were pooled together.
As for the fatty acid composition, despite a considerable variability between cultivars, ‘Calatina’ produced virgin olive oils with a high content of oleic acid, well above 70%, significantly higher than the levels found in the oils from ‘Nocellara’ (Table 3). The level of palmitic acid was then low, while ‘Calatina’ showed adequate amounts for linolenic acid. The virgin olive oil produced from ‘Abunara’ olives showed also relatively high oleic acid, around 70%, but in any case, comparable with the levels observed in ‘Nocellara’ oils and lower than ‘Calatina’ oils (Table 3). The results obtained from ‘Calatina’ are particularly interesting because the olive trees were grown in dry, warm climatic conditions where it is more difficult to produce olive oils with a high content of oleic acid than in the cooler areas of the temperate zones. It should be remembered that a high level of oleic acid, in addition to having positive health effects, increases the oil oxidative stability. Hence, the use of ‘Calatina’ olive trees in dry and warm areas could favor the production of better-quality olive oils with longer shelf life.
Table 3.
Fatty acid composition (%) of virgin olive oils from ‘Abunara’, ‘Calatina’, and ‘Nocellara del Belice’ olive trees grown as central leaders at 2 × 5 m (CLx2), free palmette at 3 × 5 m (FPx3), globe vase at 4 × 5 m (GVx4), and polyconic vase at 5 × 5 m (PVx5) in the last two years of trials. Data are expressed as means ± standard deviation (n = 12). For each cultivar, data from different planting systems were pooled together.
The concentration of bioactive phenolic compounds, evaluated over the two years, showed a considerable annual variability but highlighted that ‘Calatina’ has particularly high values of bioactive phenolic compounds when compared with oils obtained from ‘Nocellara’ (Table 4). The main phenols were the oleuropein derivatives, especially 3,4-DHPEA-EDA (oleacin), while less evident but still significant differences were observed for the ligstroside derivatives such as p-HPEA-EDA (oleocantal) and ligstroside aglycon. The lignans, which include pinoresinol and acetoxypinoresinol, did not show important differences compared to the values observed in virgin olive oils from ‘Nocellara’. High concentrations of bioactive phenolic compounds allow the production of extra virgin olive oils characterized by the health claim on phenolic compounds based on reg. EU 432/2012, even in areas characterized by hot and dry climates. Olive oils produced from ‘Abunara’ trees showed higher phenolic concentrations than oils produced from ‘Nocellara’ only in 2021 but, in both years, lower phenolic concentrations than the oils obtained from ‘Calatina’ trees. The highest differences were found in the oleuropein derivatives, mainly in 3,4-DHPEA-EDA (Table 4).
Table 4.
Phenolic composition (mg kg−1) of virgin olive oils from ‘Abunara’, ‘Calatina’, and ‘Nocellara del Belice’ olive trees grown as central leaders at 2 × 5 m (CLx2), free palmette at 3 × 5 m (FPx3), globe vase at 4 × 5 m (GVx4), and polyconic vase at 5 × 5 m (PVx5) in the last two years of trials. Data are expressed as means ± standard deviation (n = 12). For each cultivar, data from different planting systems were pooled together.
Considering the volatile compounds responsible for the virgin olive oil flavor, with particular emphasis on the compounds deriving from the lipoxygenase pathway, the oils obtained from ‘Calatina’ trees showed a high content of unsaturated aldehydes at C6. The highest levels were those of the trans-2-hexenal, responsible for the “cut grass” sensory note. Despite a relevant annual variability, the concentration of esters, such as hexenyl acetate, associated with the “floral” sensory note, was also high in the oils from ‘Calatina’. The olive oils produced by ‘Abunara’ showed the highest amount of trans-2-hexenal in both years of production and the highest concentration of (Z)-3-Hexenyl acetate in 2021. The overall aromatic composition of ‘Abunara’ olive oils indicates that drupes of this cultivar are characterized by high levels of lipoxygenase activity, leading to the production of virgin olive oils with a high level of positive sensory notes such as cut grass and floral (Table 5).
Table 5.
Volatile composition (µg kg−1) of virgin olive oils from ‘Abunara’, ‘Calatina’, and ‘Nocellara del Belice’ olive trees grown as central leaders at 2 × 5 m (CLx2, A), free palmette at 3 × 5 m (FPx3), globe vase at 4 × 5 m (GVx4), and polyconic vase at 5 × 5 m (PVx5) in the last two years of trials. Data are expressed as means ± standard deviation (n = 12). For each cultivar, data from different planting systems were pooled together.
4. Conclusions
As expected, ‘Abunara’ and ‘Nocellara’ shared several common characteristics in terms of TCSA, yield, yield efficiency, and fruit yield, probably due to similar vigor and genotypic architectural characteristics of the two cultivars. ‘Calatina’ presented some interesting characteristics related to production efficiency, such as high oil yield, fruit yield, and yield efficiency. This, presumably, is thanks to the low vigor of the cultivar and therefore to a better light effect linked with positive outcomes on the product quantity and quality. Moreover, the large fruit size makes ‘Calatina’ suitable for different mechanical harvesting procedures. A better production in terms of quantity and, above all, of quality is very important because today’s consumers prefer healthier products with better quality, which, in oils, means a higher content of unsaturated fatty acids, polyphenols, vitamins, and volatile compounds. Low canopy volume and vigor, typical of Calatina, are other important characteristics because these allow a better and easier mechanization of some management practices, such as harvesting and pruning, ensuring shorter times and considerable economic savings.
Among minor cultivars, we can find genotypes that respond better than widely grown cultivars to the specific requirements of the pedestrian olive orchards. This provides the required flexibility for developing resilient and sustainable olive-growing systems suitable for different environmental conditions or rapidly changing climates. Their different planting densities and tree forms adapt to various types of mechanical harvest and pruning and can ultimately lead to the production of new flavorful, tasty, and healthy olive oils. Last but not least, global trading is causing the rapid diffusion of epidemic diseases, which require years of research work to be controlled. Adopting planting systems that exploit biodiversity using the available local genotypes is nowadays the only effective solution to fight the unexpected climate changes and associated diseases.
Supplementary Materials
The following supporting information can be downloaded at: https://www.mdpi.com/article/10.3390/horticulturae8090817/s1. Figure S1: Satellite picture of one of the three plots representing the experimental layout. Yellow circles indicate selected trees. PV, polyconic vase; FP, free palmette; CL, central leader; GV, small globe vase. NB, ‘Nocellara del Belice’; AB, ‘Abunara’; CA, ‘Calatina’.
Author Contributions
R.M. and R.L.B. these authors share first authorship. A.I., G.V. and R.S. these authors contributed equally to this work. M.S. and T.C. these authors share senior authorship. All authors have read and agreed to the published version of the manuscript.
Funding
The present research was supported with funds of the Italian Ministry for Agricultural, Food and Forest Policies, project on “Process innovation in the Italian olive production chain aimed at improving the quality of extra virgin olive oil in relation to climate change” (OLIVENEWTECH).
Institutional Review Board Statement
Not applicable.
Informed Consent Statement
Not applicable.
Data Availability Statement
Data are available from the corresponding Author upon request.
Acknowledgments
The authors wish to thank the olive mill San Calogero di Santangelo Giuseppe and c. SAS for their support and cooperation during olive oil extractions.
Conflicts of Interest
The authors declare that the research was conducted in the absence of any commercial or financial relationships that could be construed as a potential conflict of interest. The funders had no role in the design of the study; in the collection, analyses, or interpretation of data; in the writing of the manuscript; or in the decision to publish the results.
References
- Tous, J.; Romero, A.; Hermoso, J.F.; Msallem, M.; Larbi, A. Olive orchard design and mechanization: Present and future. Acta Hortic. 2014, 1057, 231–246. [Google Scholar] [CrossRef]
- Duarte, F.; Jones, N.; Fleskens, L. Traditional olive orchards on sloping land: Sustainability or abandonment? J. Environ. Manag. 2008, 89, 86–98. [Google Scholar] [CrossRef] [PubMed]
- Rallo, L.; Barranco, D.; Caballero, J.M.; Del Río, C.; Martin, A.; Tous, J.; Trujillo, I. (Eds.) Variedades de Olivo en España; Junta de Andalucía, MAPA and Ediciones Mundi-Prensa: Madrid, Spain, 2005. [Google Scholar]
- De la Rosa, R.; León, L.; Barranco, D.; Rallo, L. El programa de mejora genética de olivo de Córdoba. Actas Hortic. 2006, 45, 195–196. [Google Scholar]
- Cunill, M.; Duran, S.; Mestre, M.; Bordas, M. Selección de variedades mejoradas de olivo adaptadas a condiciones de producción superintensiva. Actas Hortic. 2006, 45, 183–184. [Google Scholar]
- Pannelli, G.; Rosati, A.; Pandolfi, S.; Padula, G.; Mennone, C.; Giordani, E.; Bellini, E. Field evaluation of olive selections derived from a breeding program. In Proceedings of the Second International Seminar Olivebioteq, Marsala-Mazara del Vallo, Italy, 5–10 November 2006; pp. 95–102. [Google Scholar]
- Tous, J.; Romero, A.; Hermoso, J.F.; Ninot, A.; Howad, W. Selección de nuevos materiales de olivo en el IRTA de Cataluña—Resultados preliminares. In Proceedings of the II Jornadas Nacionales del Grupo Olivicultura de la SECH, Tarragona, Spain, 2–3 March 2009. [Google Scholar]
- Moutier, N.; Ricard, J.M.; Le Verge, S.; García, G.; Ben Sadok, I.; Hucbourg, B.; Metral, R.; Calleja, M.; Clipet, C.; Dosba, F.; et al. Agronomical and genetical approaches developed in France for new olive planting systems. Adv. Hortic. Sci. 2010, 24, 35–42. [Google Scholar]
- Del Rio, C.; Caballero, J. Resultados preliminares sobre el empleo de patrones para modificar el vigor y/o la producción de la variedad de olivo ‘Picual. Actas Hortic. 2006, 45, 179–180. [Google Scholar]
- Baldoni, L.; Fontanazza, G. Preliminary results on olive clonal rootstocks behaviour in the field. Acta Hortic. 1990, 286, 37–40. [Google Scholar] [CrossRef]
- Nardini, A.; Gasco, A.; Raimondo, F.; Gortan, E.; Lo Gullo, M.A.; Caruso, T.; Salleo, S. Is Rootstock-Induced Dwarfing in Olive an Effect of Reduced Plant Hydraulic Efficiency? Tree Physiol. 2006, 26, 1137–1144. [Google Scholar] [CrossRef]
- Rugini, E.; Silvestri, C.; Ceccarelli, M.; Muleo, R.; Cristofori, V. Mutagenesis and Biotechnology Techniques as Tools for Selecting New Stable Diploid and Tetraploid Olive Genotypes and Their Dwarfing Agronomical Characterization. HortScience 2016, 51, 799–804. [Google Scholar] [CrossRef]
- Lo Bianco, R.; Proietti, P.; Regni, L.; Caruso, T. Planting Systems for Modern Olive Growing: Strengths and Weaknesses. Agriculture 2021, 11, 494. [Google Scholar] [CrossRef]
- Zhang, Q. Automation in Tree Fruit Production: Principles and Practice; CABI: Boston, MA, USA, 2017; p. 304. [Google Scholar]
- Trentacoste, E.R.; Puertas, C.M.; Sadras, V.O. Effect of irrigation and tree density on vegetative growth, oil yield and water use efficiency in young olive orchard under arid conditions in Mendoza, Argentina. Irrig. Sci. 2015, 33, 429–440. [Google Scholar] [CrossRef]
- Erel, R.; Dag, A.; Ben-Gal, A.; Schwartz, A.; Yermiyahu, U. Flowering and fruit set of olive trees in response to nitrogen, phosphorus, and potassium. J. Am. Soc. Hortic. Sci. 2008, 133, 639–647. [Google Scholar] [CrossRef]
- De la Rosa, R.; León, L.; Guerrero, N.; Rallo, L.; Barranco, D. Preliminary results of an olive cultivar trial at high density. Aust. J. Agric. Res. 2007, 58, 392–395. [Google Scholar] [CrossRef]
- Dag, A.; Avidan, B.; Birger, R.; Lavee, S. High-density olive orchards in Israel. In Proceedings of the Second International Seminar Olivebioteq, Marsala-Mazara del Vallo, Italy, 5–10 November 2006; Volume 2, pp. 31–35. [Google Scholar]
- Grattan, S.R.; Berenguer, M.J.; Connell, J.H.; Polito, V.S.; Vossen, P.M. Olive oil production as influenced by different quantities of applied water. Agric. Water Manag. 2006, 85, 133–140. [Google Scholar] [CrossRef]
- Tous, J.; Romero, A.; Plana, J.; Hermoso, J.F. Olive oil cultivars suitable for very-high density planting conditions. In Proceedings of the V International Symposium on Olive Growing, Izmir, Turkey, 27 September 2004; Volume 791, pp. 403–408. [Google Scholar]
- Moriana, A.; Orgaz, F.; Pastor, M.; Fereres, E. Yield responses of a mature olive orchard to water deficits. J. Am. Soc. Hortic. Sci. 2003, 128, 425–431. [Google Scholar] [CrossRef]
- Lo Bianco, R.; Massenti, R.; Marra, F.P.; Caruso, T. Effect of soil permanent grass cover on growth, yield and water status of rainfed olive trees in Sicily. Acta Hortic. 2017, 1177, 319–325. [Google Scholar] [CrossRef]
- Diez, C.M.; Moral, J.; Cabello, D.; Morello, P.; Rallo, L.; Barranco, D. Cultivar and tree density as key factors in the long-term performance of super high-density olive orchards. Front. Plant Sci. 2016, 8, 1790. [Google Scholar] [CrossRef] [PubMed]
- Tous, J.; Romero, A.; Hermoso, J.F. New trends in olive orchard design for continuous mechanical harvesting. Adv. Hortic. Sci. 2010, 24, 43–52. [Google Scholar]
- Saponari, M.; Giampetruzzi, A.; Loconsole, G.; Boscia, D.; Saldarelli, P. Xylella fastidiosa in olive in Apulia: Where we stand. Phytopathology 2019, 109, 175–186. [Google Scholar] [CrossRef]
- Marino, G.; Macaluso, L.; Marra, F.P.; Ferguson, L.; Marchese, A.; Campisi, G.; Volo, P.; Laudicina, V.A.; Caruso, T. Horticultural performance of 23 Sicilian olive genotypes in hedgerow systems: Vegetative growth, productive potential and oil quality. Sci. Hortic. 2017, 217, 217–225. [Google Scholar] [CrossRef]
- Grilo, F.; Sedaghat, S.; Di Stefano, V.; Sacchi, R.; Caruso, T.; Lo Bianco, R. Tree Planting Density and Canopy Position Affect ‘Cerasuola’ and ‘Koroneiki’ Olive Oil Quality. Horticulturae 2021, 7, 11. [Google Scholar] [CrossRef]
- Mineo, V.; Planeta, D.; Finoli, C.; Giuliano, S. Fatty acids, Sterols and Antioxidant compounds of minor and neglected cultivar of Sicilian virgin olive oils. Prog. Nutr. 2007, 9, 259–263. [Google Scholar]
- Lo Bianco, R.; Panno, G.; Avellone, G. Characterization of Sicilian olive genotypes by multivariate analysis of leaf and fruit chemical and morphological properties. J. Agric. Sci. 2013, 5, 229. [Google Scholar] [CrossRef]
- Grilo, F.; Novara, M.E.; D’Oca, M.C.; Rubino, S.; Lo Bianco, R.; Di Stefano, V. Quality evaluation of extra-virgin olive oils from Sicilian genotypes grown in a high-density system. J. Food Sci. Nutr. 2020, 71, 397–409. [Google Scholar] [CrossRef]
- Famiani, F.; Proietti, P.; Inglese, P. Progettazione e impianto dell’oliveto. In Collana Divulgativa dell’Accademia Volume VI; Accademia Nazionale dell’Olivo e dell’Olio: Spoleto, Italy, 2011. [Google Scholar]
- Marino, G.; Caruso, T.; Ferguson, L.; Marra, F.P. Gas exchanges and stem water potential define stress thresholds for efficient irrigation management in olive (Olea europea L.). Water 2018, 10, 342. [Google Scholar] [CrossRef]
- Taticchi, A.; Esposto, S.; Veneziani, G.; Minnocci, A.; Urbani, S.; Selvaggini, R.; Sordini, B.; Daidone, L.; Sebastiani, L.; Servili, M. High vacuum-assisted extraction affects virgin olive oil quality: Impact on phenolic and volatile compounds. Food Chem. 2021, 342, 128369. [Google Scholar] [CrossRef]
- Selvaggini, R.; Esposto, S.; Taticchi, A.; Urbani, S.; Veneziani, G.; Di Maio, I.; Servili, M. Optimization of the temperature and oxygen concentration conditions in the malaxation during the oil mechanical extraction process of four Italian olive cultivars. J. Agric. Food Chem. 2014, 62, 3813–3822. [Google Scholar] [CrossRef]
- The jamovi Project. jamovi (Version 2.0). [Computer Software]. 2021. Available online: https://www.jamovi.org (accessed on 25 August 2021).
- Marino, G.; Macaluso, L.; Grilo, F.; Marra, F.P.; Caruso, T. Toward the valorization of olive (Olea europaea var. europaea L.) biodiversity: Horticultural performance of seven Sicilian cultivars in a hedgerow planting system. Sci. Hortic. 2019, 256, 108583. [Google Scholar] [CrossRef]
- Pastor, M.; García-Vila, M.; Soriano, M.A.; Vega, V.; Fereres, V. Productivity of olive orchards in response to tree density. J. Hortic. Sci. Biotechnol. 2007, 82, 555–562. [Google Scholar] [CrossRef]
- Carella, A.; Massenti, R.; Milazzo, G.; Caruso, T.; Lo Bianco, R. Fruiting, Morphology, and Architecture of ‘Arbequina’ and ‘Calatina’ Olive Branches. Horticulturae 2022, 8, 109. [Google Scholar] [CrossRef]
- Proietti, P.; Nasini, L.; Reale, L.R.L.; Caruso, T.; Ferranti, F. Productive and vegetative behavior of olive cultivars in super high-density olive grove. Sci. Agric. 2015, 72, 20–27. [Google Scholar] [CrossRef]
Publisher’s Note: MDPI stays neutral with regard to jurisdictional claims in published maps and institutional affiliations. |
© 2022 by the authors. Licensee MDPI, Basel, Switzerland. This article is an open access article distributed under the terms and conditions of the Creative Commons Attribution (CC BY) license (https://creativecommons.org/licenses/by/4.0/).






