Next Article in Journal
Less Is More? Field Evaluation of Short-Stature Banana Cultivars in a Mediterranean Environment
Next Article in Special Issue
Low Tree Vigor, Free Palmette Training Form, and High Planting Density Increase Olive and Oil Yield Efficiency in Dry, Sloping Areas of Mediterranean Regions
Previous Article in Journal
Study on the Mechanism of Rootstock Damage during Clamping in Watermelon Grafting
Previous Article in Special Issue
Evolution of Oleuropein and Other Bioactive Compounds in Arbequina Olive Leaves under Different Agronomic Conditions
 
 
Font Type:
Arial Georgia Verdana
Font Size:
Aa Aa Aa
Line Spacing:
Column Width:
Background:
Article

Crop Diversification Effects on Soil Aggregation and Aggregate-Associated Carbon and Nitrogen in Short-Term Rainfed Olive Groves under Semiarid Mediterranean Conditions

by
Manuel González-Rosado
,
Luis Parras-Alcántara
,
Jesús Aguilera-Huertas
and
Beatriz Lozano-García
*
SUMAS Research Group, Department of Agricultural Chemistry, Soil Science and Microbiology, Faculty of Science, Agrifood Campus of International Excellence—ceiA3, University of Cordoba, 14071 Cordoba, Spain
*
Author to whom correspondence should be addressed.
Horticulturae 2022, 8(7), 618; https://doi.org/10.3390/horticulturae8070618
Submission received: 26 May 2022 / Revised: 1 July 2022 / Accepted: 6 July 2022 / Published: 8 July 2022
(This article belongs to the Special Issue Sustainable Oliviculture Facing Emerging Challenges)

Abstract

:
Soil particle aggregation and their associated carbon (C) and nitrogen (N) content can provide valuable diagnostic indicators of changes in soil properties in response to the implementation of different agricultural management practices. In this sense, there is limited knowledge regarding the impact of intercropping on soil organic carbon (SOC) and total nitrogen (TN) pools in aggregates. This study aimed to evaluate the short-term effect (4 years) of three crop diversifications in rainfed olive orchards on soil aggregation, SOC and TN concentration and SOC stocks (SOC-S) under semi-arid Mediterranean conditions. Olive orchards were diversified with Crocus sativus (D-S), Vicia sativa and Avena sativa in rotation (D-O) and Lavandula x intermedia (D-L) and compared with monocropping system (CT). Soil samples were collected at two depths (0–10 and 10–30 cm) and analysed for soil aggregate mass, SOC and TN content in aggregate-size fractions obtained by the wet-sieving method. Changes caused by crop diversifications on SOC-S were also determined. Overall, after 4 years, a reduction in aggregation values was observed. However, D-S increased the macroaggregates (>250 μm) percentage, Mean Weigh Diameter values, and Geometric Mean Value in the 0–10 cm. Across treatments, aggregate-associated C in 0–10 cm was higher in the D-S treatment, while in the 10–30 cm soil layer, the greatest values were found in CT. Regarding the SOC-S, after 4 years, significant losses were recorded under CT management in 0–10 cm (−1.21 Mg ha−1) and 10–30 cm (−0.84 Mg ha−1), while D-O and D-L showed similar values to those obtained at the beginning of the study. The highest increases in SOC-S were found in D-S, with an increase of 5.88% in the 0–10 cm and 14.47% in the 10–30 cm. Our results showed the high potential of the diversified cropping system to increase soil stability and SOC sequestration.

1. Introduction

The severe impacts expected from climate change in the Mediterranean area require that adaptation to these environmental conditions is essential for the agricultural sector [1,2,3]. Particularly vulnerable to these effects are semiarid zones, which have been identified as areas highly exposed to adverse environmental changes [4] such as increased temperature [5] and modifications of the rainfall regimes with increased drought risk [6] and rainfall erosivity [7] and, consequently, soil losses due to water erosion [8].
Considering these environmental risks associated with monocropping and high-input systems, increasing attention is being focused on sustainable management systems and optimized land resource use, contributing to the long-term sustainability of agroecosystems and climate change mitigation and adaptation [9,10]. The transition from intensive soil management practices to a sustainable agricultural system has become one of the significant challenges of contemporary agriculture. In this sense, management practices such as intensive tillage degrade the soil quality and compromise their productive capacity and aptitude to provide ecosystem services [11,12,13,14]. On the other hand, the implementation of sustainable management practices, such as reduced tillage with minimal or no-tillage, crop rotation, or establishment of soil coverage, are essential to mitigate CO2 emissions and increase the C sequestration rates in agricultural soils [5,15]. In addition, sustainable management practices can lead to soil organic matter (SOM) increase and thus improve soil quality by increasing soil fertility [16,17], water retention capacity [18], greater resistance to prolonged periods of drought [19] and erosive processes [20]. In this regard, sustainable management practices have been identified as a crucial element in the achievement of relevant climate change mitigation strategies and policies such as the 4‰ [21], European Green Deal [22], or Horizon Europe Mission on Soil Health and Food [23].
In the soil C balance, soil organic carbon (SOC) inputs or outputs can predominate, generating a flux in which C stored in the soil can be returned to the atmosphere. These SOC losses are caused by soil disruption processes such as erosion, land-use change, and conventional tillage [24,25,26]. Management practices applied to the soil can modify soil structure, aggregate stability, and organic C distribution, and, consequently, is a critical factor in C sequestration and storage processes [27,28,29]. SOM is the primary binding agent in the constitution of aggregates, which can follow a process of formation or degradation according to the disturbances suffered by the soil [30]. Through the aggregation process, SOC is protected [31,32], and thus different C pools with variable degrees of stabilization are established [33,34]. Indeed, aggregate formation and breakdown and the SOC distribution in the different soil aggregate fractions play a key role in understanding C sequestration and stabilization processes [35,36]. Moreover, the diverse aggregates composition of different sizes class is influenced by human impacts, among which land use modification and management plays a vital role in altering the soil aggregates composition [37].
The intercropping system, i.e., cultivating two or more crop species simultaneously in the same field area [38], has been proposed as a sustainable management practice that enhances soil productivity as well as encouraging the more efficient use of resources such as water or nutrients [39,40,41] and promoting bacterial community structure changes [42]. In addition, several studies have demonstrated that intercropping significantly promotes agroecosystem services [43,44,45,46]. In this sense, the implementation of an intercropping system could increase the parameter values such as SOC, total nitrogen (TN) content, or soil aggregate stability [47,48,49], accordingly enhancing soil quality [50,51]. However, the combination of species selected to constitute the intercropping system is critical to achieving a sustainable cropping system that provides the benefits mentioned above [52] because some crop diversifications are more effective than others [53]. Furthermore, aspects such as competition for light, water, or nutrients must be assessed before developing these management systems. In woody crops, and specifically in rainfed olive groves, little attention has been paid to the impacts of crop diversification on C stock associated with aggregate size fractions and the influence of the management system on their distribution with a low input rainfed management regime in semi-arid Mediterranean conditions.
Therefore, this study assessed the implementation of three crop diversifications (Crocus sativus, Vicia sativa, and Avena sativa in rotation and Lavandula x intermedia) in the alley between olive orchard rows and their impact on the particle size distribution of soil aggregates, the concentrations of SOC and TN associated with the aggregates size and SOC-S in aggregates to understand the effect of the intercropping system in a Calcaric Cambisol soil under semiarid conditions. We hypothesized that olive orchards diversification would improve soil aggregation and C storage compared to the monocropping olive system. The specific purposes of this study were to evaluate the impact of the crop diversification system on: (i) soil aggregate size distribution and structural stability; (ii) aggregate-associated SOC and TN; and (iii) SOC-S in aggregate fractions balance under low-input rainfed olive cropping system.

2. Materials and Methods

2.1. Study Site

This research was performed on an experimental olive farm (slope gradient 4–8%; elevation 450 m) in Torredelcampo (Jaén, Andalusia, Spain, 37°46′26.0″ N, 3°54′41.5″ W) (Figure 1). Due to historical reasons, the degradation of the olive grove in this area has been severe since the middle of the last century due to agricultural management intensification. The site is characterised by low hills with centenary rainfed olive trees (Olea europea var. picual) with 2–3 trunks under monocropping conditions and large growing frames (12 m × 12 m pattern). This is the most common olive farm typology in the region.
The Mediterranean climate dominates the area, with average precipitation and temperature of 493 mm and 16.6 °C, respectively. There are important thermal oscillations throughout the study area throughout the year, winters with average minimum temperatures of 8.3 °C in January and hot and dry summers that reach an average of over 27 °C in July.

2.2. Experimental Detail

The research methodology was included in the H2020—Diverfarming project (Crop diversification and low-input farming cross Europe: from practitioners’ engagement and ecosystems services to increased revenues and value chain organisation). The experimental design included four scenarios varying in the cropping system, tillage, intercropping crop, and residue management practices (Figure 2). The study was conducted for four years, from 2018 to 2021, in the mentioned study area. The traditional management of the farm was conventional tillage (CT), but in 2018, a portion of the area dedicated to CT changed to agricultural management with three different crop diversifications, Crocus sativus (saffron) (D-S), Vicia sativa (vetch), and Avena sativa (oat) in rotation (D-O) and Lavandula x intermedia (lavender) (D-L), diversifications crops were implemented in the olive alleys and each diversification covered about 2000 m2. In CT, fertilizer was applied (100 kg ha−1 urea, N richness 46%) in alternate years after the olives had been harvested. In addition, the pruning remains were incorporated every two years after the pruning of the olive trees, and fungicides (copper oxychloride 34.5% w.p.) were spread. In CT treatment, vegetation was eliminated by applying preemergence herbicides (1.0 L 36% glyphosate ha−1) in autumn to control weeds. The plot managed under CT was tilled (25 cm) with a cultivator in spring, followed by tine and disc harrowing in summer. Diversification plots were established without irrigation, no herbicides or fertilizer were applied, and cultivation work consisted of incorporating olive pruning residues, mechanical weeding carried out using a manually operated star cono weeder, and minimum tillage (10 cm) for the seedbed (in D-O, tillage was carried out annually). Diversification was selected according to soil and environmental conditions, looking for crops with the capacity to grow in poor soils, with low water requirements, and resistant to drought periods. In addition, the Diverfarming project aimed at economic profitability for the farmer. Crocus sativus was sown only once with seed rates of 2000 kg ha−1, and Lavandula x intermedia needed replanting in the second year (12,000 plants ha−1). On the other hand, Vicia sativa and Avena sativa were grown annually with a seed rate of 120 kg ha−1 and 140 kg ha−1, respectively.

2.3. Soil Sampling

Soil samples were collected in September 2018 and 2021 in all research plots simultaneously. A randomized block design with three replicate plots per treatment was established to compare the diversification managements (D-S, D-O, and D-L) with the monocrop system (CT). Under each management, nine random sampling points were selected in the experimental plots, and soil samples were collected in the olive alleys at 0–10 cm and 10–30 cm depth. The soils were characterised by low organic matter levels [11] and high erosion rates [12] that have deteriorated soil properties and quality. According to World Reference Base for Soil Resources, the soil of the study site was classified as Calcaric Cambisol [54]. The general physicochemical properties of the soil before the beginning of the experiment were: (i) clayey soils (sand: 5%, silt: 22%, and clay: 72%); (ii) soil pH values of 7.9; (iii) bulk density up to 1.30 mg m−3, and (iv) organic matter content ranging between 1.2% and 0.7%.

2.4. Soil Particle-Size Separation, Water-Stable Aggregates, and Aggregate-Associated Carbon and Nitrogen

According to the wet-sieving process, soil samples collected were passed through an 8 mm sieve to remove roots and rock fragments before the continuous oscillating soil aggregates in water. The aggregate stability analysis of soil was performed by the wet sieving method [55]. Three sieves were used for the aggregate size distribution (2000, 250, 53 μm). In the wet-sieving procedure, 100 g air-dried soil samples were placed in a 2000 μm sieve and submerged in distilled water for five minutes. After the slaking process, manual wet sieving was performed. The soil aggregates were oscillated in water at 50 cycles for 2 min and passed through progressively smaller sieves (i.e., 250 and 53 μm mesh sizes). After the oscillating process, the remaining soil aggregates on each mesh screen were washed from the sieves into aluminium pans, oven-dried at 50 °C for 24 h, and weighed separately by aggregate-size class (i.e., >2000, 2000–250, 250–53, and <53 μm).
Soil Mean Weight Diameter (MWD) Equation (1), Geometric Mean Diameter (GMD) Equation (2) and GMD sensitivity index (SIGMD) Equation (3) were calculated to analyse soil aggregate stability index [56,57]. The MWD, GMD and SIGMD were determined as follows:
MWD = i = 1 n x i w i  
where, n indicates the number of aggregate size fractions, xi represents the mean diameter in millimetres of aggregates remaining on the respective sieves, wi represents the proportion of the total soil sample weight associated with each size fraction.
GMD = exp [ i = 1 n w i logx i i = 1 n w i ]
where, n represents the number of aggregate size fractions xi indicates the mean diameter of each aggregate oversize of each sieve, wi denotes the dry weight of the total sample in the corresponding size fraction.
SI GMD = GMDt / GMDc
where GMDt is the GMD of each management, and GMDc is the GMD of the control treatment in the corresponding soil layer.
Soil aggregate fractions were ground with mortar for the aggregate-associated SOC and TN measurement by the dry combustion method with a CN elemental analyser [58]. The aggregates SOC stock (SOC-S) Equation (4) was calculated as follows [59]:
SOC-S = Bd   ×   H   ( 1 δ ) i = 1 n m i SOC i
where Bd denotes the bulk density (mg m−3) of the soil sample, H represents the soil horizon thickness (cm), δ is the gravel mass (%), n indicates a number of aggregate size fractions, mi is the aggregate mass ratio (%), and SOCi is the soil organic carbon content in each size aggregate fraction (g kg−1).

2.5. Statistical Analyses

The interactive effects of intercropping and monocropping systems related to aggregate size distribution, soil aggregate stability, aggregate-associated SOC and TN, and aggregates SOC-S were previously tested for normality to verify the model assumptions using the Kolmogorov–Smirnov test. When significant differences among treatments were identified, mean comparisons were performed with one-way analysis of variance (ANOVA) followed by post hoc tests, Tukey’s honestly significant difference (HSD), to compare soil properties data among the treatments (significance level of p < 0.05). Two-way ANOVA was applied to compare changes in soil properties in factors depth and time, Dunnett’s was used for comparisons between diversifications and the control system. Statistical analyses were carried out using SigmaPlot v14.0 (San Jose, CA, USA).

3. Results

3.1. Aggregate Size Distribution

In the study period, the soil aggregate size distribution under the wet sieving method is shown in Figure 3 (surface layer) and Figure 4 (subsurface layer). Results showed clear differences in the four size aggregate fractions (>2000 μm, 2000–250 μm, 250–53 μm, and <53 μm) from the start of the study (2018) to the end of the study period (2021). In the surface layer (0–10) (Figure 3), at the beginning of the research, all managements presented similar macroaggregate (>250 μm) values D-L and D-O registered 36.9 and 36.4%, respectively, followed by D-S (33.1%) and CT (31.9%) (Figure 3a,b). Over time, the amount of macroaggregates decreased in managements under D-O (−8%), D-L (−5.5%), CT (−4.3%) and increased in D-S (1.2%). In the 10–30 cm depth, the highest macroaggregate percentage was recorded in 2018 under D-L (47.1%), while the rest of the management obtained similar values, ranging between 38 and 38.5% (Figure 4a,b). After four years, the higher macroaggregate losses were detected under D-L (−10.5%) and CT (−9.4%), while D-S (−4.1%) and D-O (−3.7%) obtained lower decreases in macroaggregates amount.
The dominant aggregate size class in the 0–10 cm soil layer was the 250–53 μm fraction, both at the beginning and the end of the research period, with percentages between 42% and 58% of the total soil sample, followed by the 250–2000 μm and <53 μm fractions (Figure 3b–d). While in the 10–30 cm soil layer, the aggregate size class predominant was also 250–53 μm (Figure 4c). This showed that the intercrop establishment in olive groves did not affect the dominance of the predominant fraction in the short term under the soil management implemented. In addition, the hierarchical distribution of soil aggregates in the analysed area was not modified.
In depth significant differences were found in the D-S (>2000 μm fraction) and D-L plots (250–2000 and 250–53 μm fractions) in both years (2018 and 2021). These significant differences showed higher large macroaggregates (>2000 μm) in D-S in 0–10 cm and higher small macroaggregates (250–2000 μm) and large microaggregates (250–53 μm) fractions in D-L in 10–30 cm and 0–10 cm soil layer, respectively.
The main changes in the aggregate fractions of the analysed managements were observed in the >2000 μm fraction of the 0–10 cm layer, where all the analysed managements reduced the percentage of this fraction significantly about the conventional tillage system (Figure 3a) except D-S management, which maintained the rate of this aggregate size fraction above 10%. In addition, significant differences were found in some aggregate size fractions at 10–30 soil layers. As in the topsoil layer, a reduction in a large macroaggregate (>2000 μm) was found, which was especially significant in CT and D-O management, while in the rest of the management, similar values to the initial ones were obtained. The other analysed fractions remained identical to the values recorded at the beginning of the experiment, both in 0–10 and 10–30 cm layers, except for the 53–250 μm fraction under D-L diversification, which recorded an increase reaching 49.6% in the surface layer.

3.2. Soil Aggregate Stability

In the study area, soil aggregate stability was determined by calculating three different soil aggregation indices: MWD, GMD, and SIGMD (Figure 5 and Table 1). In the 0–10 cm soil layer, the MWD ranged between 0.50 and 0.83 mm, and similar values were found in the 10–30 cm (0.50–0.92 mm). The highest MWD values were observed in the surface layer at the end of the analysed period (2021) in D-S management (0.83 mm). In the short-term, significant variations were detected in this layer (Figure 5a), while in D-S management, an increase was registered. In the rest of the management (CT, D-O, and D-L), MWD values decreased by 0.48, 0.52 and 0.50 mm, respectively. In the 10–30 cm soil layer (Figure 5b), the trend found was a significant decline concerning the control (0.72 mm; 2018) under the annually tilled management CT (0.50 mm) and D-O (0.53 mm), while in the non-tilled managements, the decreases were smaller: D-S (0.62 mm) and D-L (0.65 mm).
Regarding GMD, similar values for the two analysed soil layers were found. However, the GMD of the aggregates presented significant differences between treatments in the surface layer, with higher GMD values in the D-S diversification plot (0.26 mm) (Figure 5c). In comparison, D-L (0.24 mm) obtained the higher values in the 10–30 cm soil layer (Figure 5d). However, significant differences with the introduction of diversifications crops regarding the control management in 2018 were not detected in this aggregation index.
In depth significant MWD differences were only detected in the D-S plot in 2021 due to the increase in MWD values in the 0–10 cm layer (Figure 5a,b). In GMD, differences were observed in the D-L plot in 2018 but not in 2021 (Figure 5c,d).
On the other hand, SIGMD values (Table 1) showed both in the surface layer (0–10 cm) and in the 10–30 cm layer significant differences with continued CT management (0.81 and 0.79 mm, respectively) with regard to the same management in 2018. However, although the other studied treatments showed no differences between the surface layer, it is evident that the D-S treatment presented 24% higher than the reference treatment (CT; 2018). Significant differences in depth were found in the D-S plot with higher SIGMD values in 0–10 cm (1.24 mm) than in the 10–30 cm (0.90 mm).

3.3. Aggregate Associated SOC and TN

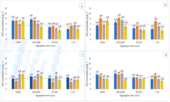
Higher SOC and TN contents were detected in macroaggregate fractions (>250 μm) in all treatments and soil layers. The aggregate-associated SOC results (Figure 6) showed improvements in the surface layer for intercropping with D-S regarding CT. However, this increase was only significant in the <53 μm aggregate size fraction. D-S reached the highest SOC levels in all analysed fractions in this layer. At the same time, D-O and D-L registered SOC losses in the different aggregate sizes, which were especially significant in the 250–2000 μm fraction under D-L, showing a similar trend to that found under CT management for the studied period. In the 10–30 cm layer, no significant differences were recorded with respect to CT in the initial situation after four years. However, in D-S diversification, SOC increases were observed in all fractions while D-O and D-L showed the opposite trend.
Considering the variations in the aggregate-associated TN between different sizes of soil water-stable aggregates and treatments, significant differences were found in the surface soil layer in >2000 μm, where an increase was detected under D-O and D-S, reaching 1.72 and 1.11 g kg−1, respectively, while in the initial situation under CT values they were 0.72 g kg−1. Meanwhile, D-L recorded significant TN losses in the 250–2000 μm and <53 μm fractions, which amounted to −0.40 and −0.37 g kg−1 with regard to the initial situation, respectively. In the 10–30 cm layer, CT significatively increased the TN concentration in >2000 μm (+0.52 g kg−1), while D-S increased TN values in 53–250 μm (+0.64 g kg−1).
Regarding depth, the main variations were detected in D-S diversification where all fractions showed significant differences between the two analysed layers with higher SOC values in 0–10 cm in 2018 and these differences were maintained in 2021 (Figure 6a–d). In D-L, differences were only found in the macroaggregate fractions (>2000 and 250–2000 μm) in 2021 due to a reduction in SOC content in the 10–30 cm layer in these aggregate size fractions. In TN, differences in depth were detected in the macroaggregates (>250 μm), thus CT registered variations in >2000 μm in 2021 due to the increase in TN in 10–30 cm (Figure 7d), while in the same aggregate size fraction D-O increased TN content in 0–10 cm and showed significant differences with the 10–30 cm layer (Figure 7b). In the 250–2000 fraction, differences were found in D-S and D-L in 2021 due to a reduction in TN content in the 10–30 cm layer (Figure 7d).

3.4. SOC Stock in Soil Aggregates Size Class

In the short-term period, the reserves of SOC-S related to soil aggregates size class and soil depths were determined (Figure 8). In all analysed managements, periods, and layers, microaggregates (<250 μm) reached a higher SOC-S content than macroaggregates (>250 μm). In more detail, the aggregate fractions analysed showed the following order 53–250 μm > 250–2000 μm > 53 μm > 2000 μm, except for the D-L management in 2018 at 10—30 cm depth, which showed a higher content in 250–2000 μm than the 53–250 μm size fraction.
In the surface layer, significant differences were found between the respective treatments in 2021 (Figure 8a,b). In this sense, the highest SOC-S values were found under D-S management in 2018 (4.9 Mg ha−1) and 2021 (5.2 Mg ha−1), followed by D-O (4.1 Mg ha−1) and D-L (3.7 Mg ha−1), which maintained the same SOC-S level both in 2018 and 2021. Furthermore, the lowest values were detected under CT in 2021 (2.6 Mg ha−1) These results implied significant losses under this management in the studied period (−1.2 Mg ha−1).
In contrast, CT treatment reached the highest SOC-S values in the 10–30 cm soil layer in 2018 (9.3 Mg ha−1), while in 2021, the highest levels were found in D-S (9.9 Mg ha−1); therefore, in the short-term under this management, the SOC-S content increased in 1.2 Mg ha−1 (Figure 8c,d). In this soil layer under the diversifications, D-O and D-L, the lowest SOC-S values, were registered with equivalent results in the initial and final periods of the research (7.3 and 6.4 Mg ha−1, respectively), showing significant differences compared to the olive monocrop in the initial stage.

4. Discussion

4.1. Soil Aggregate Distribution and Stability

Crop diversification is recognized as an environmentally sustainable agricultural practice that improves the efficiency of agroecosystems and increases the sustainable use of resources [44,60,61]. Although several studies have been conducted on cover crops in olive groves (i.e., herbaceous plants established in the inter-rows of olive groves) [62,63,64,65], little is known about integrating a second crop in the olive grove alleys.
Regardless of the established system (monocrop or diversification), the microaggregates played predominant roles in the 0–10 and 10–30 cm soil layers, indicating a lack of transformation in soil aggregate composition in the hierarchy of the dominant soil aggregate fractions in the short term. In relation to this, the microaggregates predominance in the soil structure has been detected in several studies as a crucial factor in the dynamics of different soil functions such as infiltration, water retention, and carbon sequestration [66]. The dominance of microaggregates in the surface layer is especially relevant due to the soil degradation process. Therefore, it can aggravate erosive processes [67] because the predominance of fine particles reduces the porosity and promotes surface soil sealing, thus enhancing runoff rates. In the study area, a long period of intensive tillage has caused significant erosion rates detected in previous studies [13]. In this sense, soil erosion, transport, and sedimentation promote the modification of aggregate size distributions [68,69]. This soil structural configuration in the context of torrential precipitations characteristic of the Mediterranean region hinders the implementation of diversifications and soil properties restoration that increase soil quality, since erosive processes encourage soil loss and thus reduce fertile soil layers and fertility [70,71].
During the study period, all managements reduced the macroaggregate percentage (>250 μm) in the short term except D-S, which increased slightly. The lowest macroaggregate levels were detected in 2021 in CT management in the surface and 10–30 cm soil layers. In relation to these results, it has been widely reported that tillage destroys the macroaggregates contributing to the microaggregates predominance [72,73]. Although important soil structure and aggregate size distribution modifications under different managements were not detected, and intercropping did not significantly increase the levels of macroaggregates, in D-S diversification, a different trend was observed because no significant losses in macroaggregates were recorded. The level of large macroaggregates (>2000) increased with regard to the reference treatment (CT) and the other diversifications (D-O and D-L). This was reflected in the aggregation indices MWD, GMD, and SIGMD, which showed a higher soil aggregation under D-S, especially in the 0–10 cm layer (0.83, 0.26, and 1.24 mm, respectively). At the same time, D-O (0.52, 0.19 and 0.94 mm), D-L (0.50, 0.19 and 0.90 mm) and CT (0.48, 016, 0.81 mm) remained at lower values. The higher aggregation index values found in D-S diversification in the soil surface layer could be due to the greater development of the vegetation cover associated with saffron cultivation. In this sense, the root system affects the macroaggregation process and soil stability through the natural release of exudates of spontaneous vegetation into the soil, promoting a more stable soil structure around the roots [74]. On the other hand, a greater amount of plant residues associated with the spontaneous biomass could also affect larger particle size aggregation [67]. In this sense, the D-S management was the only management that obtained significantly higher MWD values in the 0–10 cm than in the 10–30 cm layer, showing the greater effect of the management change on the aggregation rates in the surface layer. Similar findings were observed for Kumar et al. [75] under the zero tillage and crop diversification system. The lack of spontaneous cover crop development in combination with lavender cultivation due to the high levels of soil degradation and the tillage applied to the D-O diversification for the annual planting of the cover crop could be the reasons for which the results obtained in the D-S diversification were not found in the other diversifications implemented in the study area. Jat et al. [76] evaluated the effect of zero tillage and crop diversification on soil aggregation and found an improvement in total water-stable aggregates after 4 years of the experiment. Similarly, Nunes et al. [77] observed the beneficial effect of the cropping system diversification on the formation and preservation of water-stable aggregates during the same temporal period on plots under no-till. In these studies, crop residue retention and tillage removal were highlighted as key factors in increasing soil aggregation levels. In line with these results, Singh et al. [78], in a 3-year study of the semi-arid soil of India under rainfed conditions, stated that diverse crop groups did not affect the soil aggregation; however, the crop residue retention resulted in about 20% increase in aggregation indices.

4.2. SOC Stock and Aggregate-Associated C and N

Numerous studies have demonstrated that sustainable soil management, such as soil coverage and spontaneous vegetation in the inter-row areas, significantly affects the dynamics of SOC and nutrients in olive orchards [79,80,81]. However, reports of the impacts of intercropping and diversification on the aggregate-associated SOC, total nitrogen, and SOC aggregate storage are few.
In our study area, aggregates SOC concentration decreased with soil depth from 0 to 10 to 10−30 cm depth. In D-S diversification, significant differences in SOC concentration were found in all fractions in the two analysed periods and in D-L in 2021 linked to a SOC decrease in the macroaggregates fractions of 10–30 cm layer. TN showed significant differences between the soil analysed layers, mainly in 2021, due to a higher increase in TN concentration in the macroaggregates in diversification plots in 0–10 cm and in CT in 10–30 cm. Differences in depth were caused by an increase in SOC and TN in the 0–10 layer or a reduction in the 10–30 layer under the diversifications plots and the contrary trend in the monocropping system. Therefore, in line with other research [82,83], in diversifications plots surface layer, (0–10 cm) was shown to be more sensitive to increased SOC and TN than the subsurface layer (10–30 cm). The macroaggregates fraction (>250 μm) obtained the highest mean SOC and TN concentration in soil for all the treatments and depths (Figure 6 and Figure 7); these aggregate size fractions contained between 15–48% and 14–40% higher SOC and TN contents, respectively than microaggregates (<250 μm) in soil. This finding is related to the fact that organic matter acts as an essential binding agent in soil aggregation processes, and microaggregates are occluded into macroaggregates establishing the soil aggregate hierarchy model [84]. However, considering the SOC-S in soil aggregates size classes (Figure 8), it was observed that microaggregate fractions concentrated the largest proportion of SOC-S in the soil, since microaggregates obtained the highest aggregate soil mass. These results showed that although macroaggregates have a greater capacity to contain SOC and TN, these soils, highly degraded due to a long history of unsustainable management, have lost the majority of the SOC-S available in macroaggregates, which are extremely sensitive to management alterations and are easily disrupted. In contrast, microaggregates were the largest reservoir of SOC in these soils because they provide physical protection to the SOC, thus promoting the long-term fixation of SOC into the soil [85,86,87]. In this regard, the sustainable management practices aimed at increasing C stocks and C sequestration in agricultural soils should encourage the development and preservation of macroaggregates in line with Zheng et al. [88], whose evaluation and monitoring can serve as a key parameter in the impact assessment of the implemented crop management and diversifications.
Under D-S, saffron associated with spontaneous cover for a large part of the crop cycle enhanced SOC and TN content in all aggregate fractions in the surface and sub-surface soil layer (Figure 6 and Figure 7). These results are connected to better soil aggregation (macroaggregate percentage and MWD). Under D-O and D-L diversifications, the results obtained in SOC concentration were not as positive as those shown in D-S and were similar to those found under CT. However, in the superficial layer, TN content showed a significant increase, especially in the large macroaggregate fraction (>2000 μm) under D-O diversification. However, in the subsurface layer, the values were similar to or lower than those observed in CT. Our data suggest that the presence of crop residues on the soil surface enhances soil responses under D-S, not only the lack of soil disturbance. However, in the diversifications under D-O, where soil disturbance by tillage was maintained, and D-L, where no spontaneous vegetation associated with lavender was generated, the results were close to those obtained in the control treatment. Hence, the quantity, quality, and residues covering soil appear to influence the aggregate fractions’ C and N attributes [49]. Related to these aspects, intercropping under long-term sustainable practices is expected to significantly increase the macroaggregate amount, the structural stability, and the SOC and N associated with the aggregates.
In the study area, aggregate-associated SOC-S in microaggregates (53–250 μm) presented a higher contribution to the soil C storage in the surface layer (0–10 cm) and subsurface layer (10–30 cm), indicating that microaggregates were the main SOC reservoir in the soil. Based on the above findings, the associated SOC-S in soil aggregates was determined by the mass proportion of aggregate size class in the short-term analysed period. The aggregate-associated SOC-S distribution in the intercropping olive orchards showed different trends according to the management and intercropping system implemented. In D-S treatment, SOC-S were increased by, respectively, 5.88% and 14.47% compared with those in the 0–10 and 10–30 cm soil layer in 2018, reaching 5.19 and 9.87 Mg ha−1. This implied that SOC accumulation was three times higher in the subsurface layer than in the topsoil during the analysed period. This pattern has been reported in other studies assessing tillage removal and cover crop installation [89,90], even in the short-term under semiarid climatic conditions [48,91]. Under D-S in the two soil layers analysed, major increases in SOC-S were found in the 250–2000 μm fraction. This is a particularly interesting finding since it showed a change in the trend of C distribution in the different soil fractions where microaggregates were predominant, and macroaggregates increased their storage capacity due to less soil disturbance and surface organic residues. Consequently, these results could indicate the beginning of a process of soil re-carbonisation and a return to a period where macroaggregates predominated in C storage in the study area and which were deteriorated by long periods of unsustainable management [92].
In our study site, D-O and D-L crop diversification practices did not enhance SOC-S in the rainfed olive grove and showed similar values to those obtained at the initial stage. These diversification practices did not record the SOC-S losses found under CT management in the topsoil (−1.21 Mg ha−1) and subsurface layer (−0.84 Mg ha−1). In addition, D-O and D-L diversification systems showed a better SOC-S balance with respect to the monocrop system; however, the absence of crop residues in considerable quantities and annual tillage for sowing were driving factors for the reduced accumulation of soil C in the different aggregate size classes. Similar findings were observed in Oliveira et al. [93] and Martinez Mena et al. [94], where SOC-S was not affected in the short-term. Moreover, the short-term period of this field study (i.e., 4 years) to assess the diversification effect combined with severe environmental conditions, especially in the dry season months (temperatures above 40 °C, no rainfall events, extreme evapotranspiration rates), SOM-poor soils, low structural stability and parent material consisting of the sedimentary substrate (mainly, limestones and marls), which are easily erodible, hindered the diversification development and contributed to decelerate the SOC dynamics and C sequestration processes. In this sense, under the mentioned conditions, a longer period is required to evaluate changes in soil structure and SOC related to these intercropping systems.
The results showed that diversified cropping systems could improve stability conditions and C sequestration in the aggregates with respect to the monocropping olive system, as demonstrated under D-S diversification. In accordance with these results, on a larger scale, the inclusion of diversifications in olive orchards could provide considerable environmental benefits and lead to healthy soils, as proposed by the EU soil strategy 2030 [23]. However, under Mediterranean conditions the establishment of diversified systems could require long periods before their impacts are observed. These results were in line with Yan et al. [95], who found an increase in C and N stocks in diversified systems versus traditional systems in a recent study. However, in semiarid Mediterranean under rainfed conditions, these processes may not be observed in the first years of intercropping and low input agricultural strategies, as found in D-O and D-L diversification. Consequently, a longer period may be necessary to improve soil quality and agroecosystems sustainability, as highlighted by Martinez Mena et al. [94] in similar conditions in woody cropping systems. In this regard, the first years after the implementation of an intercrop in a monocrop system can be difficult in terms of improving soil properties, especially when soils, such as those analysed in this study, have suffered long processes of degradation that have left adverse conditions, not only for the development of a crop with specific productive yields but also for the development of vegetation covers with a high percentage of coverage and plant development. These aspects are of vital importance because the exposure of the soil to Mediterranean climatic conditions, especially torrential rainfall episodes, causes alterations in the soil C balance and the rapid deterioration of the improvements obtained with sustainable management practices such as intercropping.

5. Conclusions

The intercropping system showed differences among the different diversification strategies implemented in the study area for 4 years. D-S significantly improved the SOC and TN content in all aggregate fractions and SOC-S and showed higher aggregation rates. Our results indicated that in this management system, D-S intercropping with ground cover and without soil disturbance improves soil properties in terms of fertility, SOC sequestration, and soil aggregation. However, our results showed that D-O and D-L diversification did not improve soil aggregation processes or structural stability in our study and did not affect SOC stocks, although the severe losses found under the monocropping system were not recorded.
The SOC-S were primarily dominated by small microaggregates (53–250 μm) in the topsoil and subsurface soil layers for all cropping systems. However, in the short-term study under D-S, the largest increases were recorded in the 2000–250 μm fraction. This showed a process of C redistribution towards a larger aggregates size class that increased sequestration and storage capacity in these soils with the implemented system.
Our findings reveal the high potential of intercropping associated with vegetation coverage and without soil disturbance in rainfed olive groves under semiarid conditions to increase aggregation levels and SOC sequestration. Consequently, it was demonstrated that this management strategy can be positive in re-carbonising highly degraded soils, thus mitigating climate change impacts. Further long-term research on the effects caused by intercropping systems related to aggregation and SOC-S dynamics under Mediterranean conditions is needed.

Author Contributions

Conceptualization, M.G.-R. and B.L.-G.; methodology, B.L.-G., L.P.-A., J.A.-H. and M.G.-R.; validation, B.L.-G., L.P.-A. and M.G.-R.; formal analysis, B.L.-G. and L.P.-A.; investigation, L.P.-A., B.L.-G., J.A.-H. and M.G.-R.; resources, B.L.-G. and L.P.-A.; data curation, M.G.-R.; writing—original draft preparation, M.G.-R.; writing—review and editing, M.G.-R., B.L.-G. and L.P.-A.; visualization, B.L.-G. and L.P.-A.; supervision, B.L.-G. and L.P.-A.; project administration, B.L.-G. and L.P.-A.; funding acquisition, B.L.-G. and L.P.-A. All authors have read and agreed to the published version of the manuscript.

Funding

This research was funded by The European Commission Horizon 2020 project Diverfarming (crop diversification and low-input farming cross Europe: from practitioners’ engagement and ecosystems services to increased revenues and value chain organisation), grant agreement 728003.

Institutional Review Board Statement

Not applicable.

Informed Consent Statement

Informed consent was obtained from all subjects involved in the study.

Data Availability Statement

Data sharing is not applicable.

Acknowledgments

We are grateful for the help of the farmer Antonio Parras Rosa in the fieldwork and the transfer of the experimental farm.

Conflicts of Interest

The authors declare no conflict of interest.

References

  1. Abd-Elmabod, S.K.; Muñoz-Rojas, M.; Jordán, A.; Anaya-Romero, M.; Phillips, J.D.; Jones, L.; Zhang, Z.; Pereira, P.; Fleskens, L.; van der Ploeg, M.; et al. Climate change impacts on agricultural suitability and yield reduction in a Mediterranean region. Geoderma 2020, 374, 114453. [Google Scholar] [CrossRef]
  2. Hossain, A.; Sab, A.E.; Barutcular, C.; Bhatt, R.; Cig, F.; Seydosoglu, S.; Turan, N.; Konuskan, O.; Iqbal, M.A.; Abdelhamid, M.; et al. Sustainable crop production to ensuring food security under climate change: A Mediterranean perspective. Aust. J. Crop Sci. 2020, 14, 439–446. [Google Scholar] [CrossRef]
  3. Tramblay, Y.; Llasat, M.C.; Randin, C.; Coppola, E. Climate change impacts on water resources in the Mediterranean. Reg. Environ. Chang. 2020, 20, 83. [Google Scholar] [CrossRef]
  4. Aguilera, E.; Díaz-Gaona, C.; García-Laureano, R.; Reyes-Palomo, C.; Guzmán, G.I.; Ortolani, L.; Sánchez-Rodríguez, M.; Rodríguez-Estévez, V. Agroecology for adaptation to climate change and resource depletion in the Mediterranean region. A review. Agric. Syst. 2020, 181, 102809. [Google Scholar] [CrossRef]
  5. Intergovernmental Panel of Climate Change. Climate Change and Land: An IPCC Special Report on Climate Change, Desertification, Land Degradation, Sustainable Land Management, Food Security, and Greenhouse Gas Fluxes in Terrestrial Ecosystems; Shukla, P.R., Skeg, J., Buendia, E.C., Masson-Delmotte, V., Pörtner, H.O., Roberts, D.C., Zhai, P., Slade, R., Connors, S., Van Diemen, S., et al., Eds.; IPCC: Geneva, Switzerland, 2019; Available online: https://www.ipcc.ch/srccl/ (accessed on 15 May 2022).
  6. Carrão, H.; Naumann, G.; Barbosa, P. Mapping global patterns of drought risk: An empirical framework based on sub-national estimates of hazard, exposure and vulnerability. Glob. Environ. Chang. 2016, 39, 108–124. [Google Scholar] [CrossRef]
  7. Romera, R.; Gaertner, M.A.; Sánchez, E.; Domínguez, M.; González-Alemán, J.J.; Miglietta, M.M. Climate change projections of medicanes with a large multi-model ensemble of regional climate models. Glob. Planet. Chang. 2017, 151, 134–143. [Google Scholar] [CrossRef]
  8. Panagos, P.; Ballabio, C.; Himics, M.; Scarpa, S.; Matthews, F.; Bogonos, M.; Poesen, J.; Borrelli, P. Projections of soil loss by water erosion in Europe by 2050. Environ. Sci. Policy 2021, 124, 380–392. [Google Scholar] [CrossRef]
  9. Amelung, W.; Bossio, D.; de Vries, W.; Kögel-Knabner, I.; Lehmann, J.; Amundson, R.; Bol, R.; Collins, C.; Lal, R.; Leifeld, J.; et al. Towards a global-scale soil climate mitigation strategy. Nat. Commun. 2020, 11, 5427. [Google Scholar] [CrossRef]
  10. Hou, D.; Bolan, N.S.; Tsang, D.C.; Kirkham, M.B.; O’Connor, D. Sustainable soil use and management: An interdisciplinary and systematic approach. Sci. Total Environ. 2020, 729, 138961. [Google Scholar] [CrossRef]
  11. Abidela Hussein, M.; Muche, H.; Schmitter, P.; Nakawuka, P.; Tilahun, S.A.; Langan, S.; Barron, J.; Steenhuis, T.S. Deep Tillage Improves Degraded Soils in the (Sub) Humid Ethiopian Highlands. Land 2019, 8, 159. [Google Scholar] [CrossRef] [Green Version]
  12. González-Rosado, M.; Parras-Alcántara, L.; Aguilera-Huertas, J.; Lozano-García, B. Long-term evaluation of the initiative 4‰ under different soil managements in Mediterranean olive groves. Sci. Total Environ. 2021, 758, 143591. [Google Scholar] [CrossRef] [PubMed]
  13. González-Rosado, M.; Parras-Alcántara, L.; Aguilera-Huertas, J.; Lozano-García, B. Soil Productivity Degradation in a Long-Term Eroded Olive Orchard under Semiarid Mediterranean Conditions. Agronomy 2021, 11, 812. [Google Scholar] [CrossRef]
  14. Xiao, H.; Li, Z.; Chang, X.; Huang, B.; Nie, X.; Liu, C.; Liu, L.; Wang, D.; Jiang, J. The mineralization and sequestration of organic carbon in relation to agricultural soil erosion. Geoderma 2018, 329, 73–81. [Google Scholar] [CrossRef]
  15. Paustian, K.; Lehmann, J.; Ogle, S.; Reay, D.; Robertson, G.P.; Smith, P. Climate-smart soils. Nature 2016, 532, 49–57. [Google Scholar] [CrossRef] [PubMed] [Green Version]
  16. Oldfield, E.E.; Wood, S.A.; Bradford, M.A. Direct effects of soil organic matter on productivity mirror those observed with organic amendments. Plant Soil 2018, 423, 363–373. [Google Scholar] [CrossRef]
  17. Abbas, F.; Hammad, H.; Ishaq, W.; Farooque, A.; Bakhat, H.; Zia, Z.; Fahad, S.; Farhad, W.; Cerdá, A. A review of soil carbon dynamics resulting from agricultural practices. J. Environ. Manag. 2020, 268, 110319. [Google Scholar] [CrossRef]
  18. Igor, B.; Leon Josip, T.; Paulo, P. Agriculture Management Impacts on Soil Properties and Hydrological Response in Istria (Croatia). Agronomy 2020, 10, 282. [Google Scholar] [CrossRef] [Green Version]
  19. Zomer, R.J.; Bossio, D.A.; Sommer, R.; Verchot, L.V. Global sequestration potential of increased organic carbon in cropland soils. Sci. Rep. 2017, 7, 15554. [Google Scholar] [CrossRef] [Green Version]
  20. Bombino, G.; Denisi, P.; Gómez, J.A.; Zema, D.A. Mulching as best management practice to reduce surface runoff and erosion in steep clayey olive groves. Int. Soil Water Conserv. Res. 2020, 9, 26–36. [Google Scholar] [CrossRef]
  21. Montanarella, L.; Panagos, P. The relevance of sustainable soil management within the European Green Deal. Land Use Policy 2021, 100, 104950. [Google Scholar] [CrossRef]
  22. Rumpel, C.; Amiraslani, F.; Chenu, C.; Cardenas, M.G.; Kaonga, M.; Koutika, L.S.; Ladha, J.; Madari, B.; Shirato, Y.; Smith, P.; et al. The 4p1000 initiative: Opportunities, limitations and challenges for implementing soil organic carbon sequestration as a sustainable development strategy. Ambio 2020, 49, 350–360. [Google Scholar] [CrossRef] [PubMed] [Green Version]
  23. Veerman, C.; Pinto Correia, T.; Bastioli, C.; Biro, B.; Bouma, J.; Cienciela, E. Caring for Soil is Caring for Life; EU Soil Health and Food Mission Board: Brussels, Belgium, 2020. [Google Scholar]
  24. Fang, H. Impacts of rainfall and soil conservation measures on soil, SOC, and TN losses on slopes in the black soil region, northeastern China. Ecol. Indic. 2021, 129, 108016. [Google Scholar] [CrossRef]
  25. Wei, X.; Shao, M.; Gale, W.; Li, L. Global pattern of soil carbon losses due to the conversion of forests to agricultural land. Sci. Rep. 2014, 4, 4062. [Google Scholar] [CrossRef] [PubMed]
  26. Francaviglia, R.; Renzi, G.; Doro, L.; Parras-Alcántara, L.; Lozano-García, B.; Ledda, L. Soil sampling approaches in Mediterranean agro-ecosystems. Influence on soil organic carbon stocks. Catena 2017, 158, 113–120. [Google Scholar] [CrossRef]
  27. Lozano-García, B.; Francaviglia, R.; Renzi, G.; Doro, L.; Ledda, L.; Benítez, C.; González-Rosado, M.; Parras-Alcántara, L. Land use change effects on soil organic carbon store. An opportunity to soils regeneration in Mediterranean areas: Implications in the 4p1000 notion. Ecol. Indic. 2020, 119, 106831. [Google Scholar] [CrossRef]
  28. Aguilera-Huertas, J.; Lozano-García, B.; González-Rosado, M.; Parras-Alcántara, L. Effects of Management and Hillside Position on Soil Organic Carbon Stratification in Mediterranean Centenary Olive Grove. Agronomy 2021, 11, 650. [Google Scholar] [CrossRef]
  29. González-Rosado, M.; Parras-Alcántara, L.; Aguilera-Huertas, J.; Benítez, C.; Lozano-García, B. Effects of land management change on soil aggregates and organic carbon in Mediterranean olive groves. Catena 2020, 195, 104840. [Google Scholar] [CrossRef]
  30. Six, J.; Elliott, E.T.; Paustian, K. Soil macroaggregate turnover and microaggregate formation: A mechanism for C sequestration under no-tillage agriculture. Soil Biol. Biochem. 2000, 32, 2099–2103. [Google Scholar] [CrossRef]
  31. Sekaran, U.; Sagar, K.L.; Kumar, S. Soil aggregates, aggregate-associated carbon and nitrogen, and water retention as influenced by short and long-term no-till systems. Soil Tillage Res. 2021, 208, 104885. [Google Scholar] [CrossRef]
  32. Liu, K.; Xu, Y.; Feng, W.; Zhang, X.; Yao, S.; Zhang, B. Modeling the dynamics of protected and primed organic carbon in soil and aggregates under constant soil moisture following litter incorporation. Soil Biol. Biochem. 2020, 151, 108039. [Google Scholar] [CrossRef]
  33. Vicente-Vicente, J.L.; Gómez-Muñoz, B.; Hinojosa-Centeno, M.B.; Smith, P.; Garcia-Ruiz, R. Carbon saturation and assessment of soil organic carbon fractions in Mediterranean rainfed olive orchards under plant cover management. Agric. Ecosyst. Environ. 2017, 245, 135–146. [Google Scholar] [CrossRef] [Green Version]
  34. Six, J.; Conant, R.T.; Paul, E.A.; Paustian, K. Stabilization mechanisms of soil organic matter: Implications for C-saturation of soils. Plant Soil 2002, 241, 155–176. [Google Scholar] [CrossRef]
  35. Six, J.; Paustian, K. Aggregate-associated soil organic matter as an ecosystem property and a measurement tool. Soil Biol. Biochem. 2014, 68, A4–A9. [Google Scholar] [CrossRef]
  36. Xiao, L.; Zhang, W.; Hu, P.; Xiao, D.; Yang, R.; Ye, Y.; Wang, K. The formation of large macroaggregates induces soil organic carbon sequestration in short-term cropland restoration in a typical karst area. Sci. Total Environ. 2021, 801, 149588. [Google Scholar] [CrossRef] [PubMed]
  37. Cao, S.; Zhou, Y.; Zhou, Y.; Zhou, X.; Zhou, W. Soil organic carbon and soil aggregate stability associated with aggregate fractions in a chronosequence of citrus orchards plantations. J. Environ. Manag. 2021, 293, 112847. [Google Scholar] [CrossRef] [PubMed]
  38. Wang, Z.G.; Jin, X.; Bao, X.G.; Li, X.F.; Zhao, J.H.; Sun, J.H.; Christie, P.; Li, L. Intercropping enhances productivity and maintains the most soil fertility properties relative to sole cropping. PLoS ONE 2014, 9, e113984. [Google Scholar] [CrossRef] [Green Version]
  39. Xu, K.; Chai, Q.; Hu, F.; Fan, Z.; Yin, W. N-fertilizer postponing application improves dry matter translocation and increases system productivity of wheat/maize intercropping. Sci. Rep. 2021, 11, 22825. [Google Scholar] [CrossRef]
  40. Raza, M.A.; Gul, H.; Wang, J.; Yasin, H.S.; Qin, R.; Khalid, M.H.B.; Naeem, M.; Feng, L.Y.; Iqbal, N.; Gitari, H.; et al. Land productivity and water use efficiency of maize-soybean strip intercropping systems in semi-arid areas: A case study in Punjab Province, Pakistan. J. Clean. Prod. 2021, 308, 127282. [Google Scholar] [CrossRef]
  41. Singh, S.R.; Yadav, P.; Singh, D.; Shukla, S.K.; Tripathi, M.K.; Bahadur, L.; Mishra, A.; Kumar, S. Intercropping in Sugarcane Improves Functional Diversity, Soil Quality and Crop Productivity. Sugar Tech. 2021, 23, 794–810. [Google Scholar] [CrossRef]
  42. Cuartero, J.; Pascual, J.A.; Vivo, J.M.; Özbolat, O.; Sánchez-Navarro, V.; Egea-Cortines, M.; Zornoza, R.; Mena, M.M.; Garcia, E.; Ros, M. A first-year melon/cowpea intercropping system improves soil nutrients and changes the soil microbial community. Agric. Ecosyst. Environ. 2022, 328, 107856. [Google Scholar] [CrossRef]
  43. Jensen, E.S.; Carlsson, G.; Hauggaard-Nielsen, H. Intercropping of grain legumes and cereals improves the use of soil N resources and reduces the requirement for synthetic fertilizer N: A global-scale analysis. Agron. Sustain. Dev. 2020, 40, 5. [Google Scholar] [CrossRef] [Green Version]
  44. Morugán-Coronado, A.; Linares, P.C.; Gómez-López, M.; Faz, Á.; Zornoza, R. The impact of intercropping, tillage and fertilizer type on soil and crop yield in fruit orchards under Mediterranean conditions: A meta-analysis of field studies. Agric. Syst. 2020, 178, 102736. [Google Scholar] [CrossRef]
  45. Tamburini, G.; Bommarco, R.; Wanger, T.C.; Kremen, C.; van der Heijden, M.G.A.; Liebman, M.; Hallin, S. Agricultural diversifcation promotes multiple ecosystem services without compromising yield. Sci. Adv. 2020, 6, eaba1715. [Google Scholar] [CrossRef] [PubMed]
  46. Wagg, C.; van Erk, A.; Fava, E.; Comeau, L.P.; Mitterboeck, T.F.; Goyer, C.; Li, S.; McKenzie-Gopsil, A.; Mills, A. Full-Season Cover Crops and Their Traits that Promote Agroecosystem Services. Agriculture 2021, 11, 830. [Google Scholar] [CrossRef]
  47. Martínez-Mena, M.; Carrillo-López, E.; Boix-Fayos, C.; Almagro, M.; Franco, N.G.; Díaz-Pereira, E.; Montoya, I.; de Vente, J. Long-term ef-fectiveness of sustainable land management practices to control runoff, soil erosion, and nutrient loss and the role of rainfall intensity in Mediterranean rainfed agroecosystems. Catena 2020, 187, 104352. [Google Scholar] [CrossRef]
  48. González-Rosado, M.; Lozano-García, B.; Aguilera-Huertas, J.; Parras-Alcántara, L. Short-term effects of land management change linked to cover crop on soil organic carbon in Mediterranean olive grove hillsides. Sci. Total Environ. 2020, 744, 140683. [Google Scholar] [CrossRef] [PubMed]
  49. Rigon, J.P.G.; Franzluebbers, A.J.; Calonego, J.C. Soil aggregation and potential carbon and nitrogen mineralization with cover crops under tropical no-till. J. Soil Water Conserv. 2020, 75, 601–609. [Google Scholar] [CrossRef]
  50. Adetunji, A.T.; Ncube, B.; Mulidzi, R.; Lewu, F.B. Management impact and benefit of cover crops on soil quality: A review. Soil Tillage Res. 2020, 204, 104717. [Google Scholar] [CrossRef]
  51. Nouri, A.; Lee, J.; Yin, X.; Tyler, D.D.; Saxton, A.M. Thirty-four years of no-tillage and cover crops improve soil quality and increase cotton yield in Alfisols, Southeastern USA. Geoderma 2019, 337, 998–1008. [Google Scholar] [CrossRef]
  52. Lithourgidis, A.S.; Vlachostergios, D.N.; Dordas, C.A.; Damalas, C.A. Dry matter yield, nitrogen content, and competition in pea–cereal intercropping systems. Eur. J. Agron. 2011, 34, 287–294. [Google Scholar] [CrossRef]
  53. Beillouin, D.; Ben-Ari, T.; Malézieux, E.; Seufert, V.; Makowski, D. Positive but variable effects of crop diversification on biodiversity and ecosystem services. Glob. Chang. Biol. 2021, 27, 4697–4710. [Google Scholar] [CrossRef] [PubMed]
  54. Food and Agriculture Organization Working Group WRB. World Reference Base for Soil Resources 2014, Update 2015: International Soil Classification System for Naming Soils and Creating Legends for Soil Maps; World Soil Resources Reports; FAO: Rome, Italy, 2015; No. 106. [Google Scholar]
  55. Six, J.; Hüppi, R. Aggregate stability and size distribution. In Handbook of Plant and Soil Analysis for Agricultural Systems; Álvaro-Fuentes, J., Lóczy, D., Thiele-Bruhn, S., Zornoza, R., Eds.; CRAI: Cartagena, Spain, 2019; Volume 1, pp. 188–190. [Google Scholar] [CrossRef]
  56. Kemper, W.D.; Rosenau, R.C. Aggregate stability and size distribution. In Methods of Soil Analysis: Part 1 Physical and Mineralogical Methods, 2nd ed.; Klute, A., Ed.; ASA: Madison, WI, USA, 1986; pp. 425–442. [Google Scholar]
  57. Santos, C.; Loss, A.; Piccolo, M.d.C.; Girotto, E.; Ludwig, M.P.; Decarli, J.; Torres, J.L.R.; Brunetto, G. Aggregation Index and Carbon and Nitrogen Contents in Aggregates of Pasture Soils under Successive Applications of Pig Slurry in Southern Brazil. Agronomy 2022, 12, 320. [Google Scholar] [CrossRef]
  58. Díaz Pereira, E.; Martinez-Mena, M.; Vente, J.; Almagro Bonmatí, M.; Boix-Fayos, C. Total carbon (organic and inorganic carbon) and nitrogen. In Handbook of Plant and Soil Analysis for Agricultural Systems; Álvaro-Fuentes, J., Lóczy, D., Thiele-Bruhn, S., Zornoza, R., Eds.; CRAI: Cartagena, Spain, 2019; Volume 1, pp. 277–280. [Google Scholar] [CrossRef]
  59. Eynard, A.; Schumacher, T.E.; Lindstrom, M.J.; Malo, D.D. Effects of agricultural management systems on soil organic carbon in aggregates of Ustolls and Usterts. Soil Tillage Res. 2005, 81, 253–263. [Google Scholar] [CrossRef]
  60. Beillouin, D.; Pelzer, E.; Baranger, E.; Carrouée, B.; Cernay, C.; de Chezelles, E.; Schneider, A.; Jeuffroy, M.H. Diversifying cropping sequence reduces nitrogen leaching risks. Field Crops Res. 2021, 272, 108268. [Google Scholar] [CrossRef]
  61. Viguier, L.; Cavan, N.; Bockstaller, C.; Cadoux, S.; Corre-Hellou, G.; Dubois, S.; Duval, R.; Keichinger, O.; Toqué, C.; de Cordoue, A.-L.T.; et al. Combining diversification practices to enhance the sustainability of conventional cropping systems. Eur. J. Agron. 2021, 127, 126279. [Google Scholar] [CrossRef]
  62. Nieto, O.M.; Castro, J.; Fernández-Ondoño, E. Conventional tillage versus cover crops in relation to carbon fixation in Mediterranean olive cultivation. Plant Soil 2013, 365, 321–335. [Google Scholar] [CrossRef]
  63. Gómez, J.A.; Campos, M.; Guzmán, G.; Castillo-Llanque, F.; Vanwalleghem, T.; Lora, Á.; Giráldez, J.V. Soil erosion control, plant diversity, and arthropod communities under heterogeneous cover crops in an olive orchard. Environ. Sci. Pollut. Res. 2018, 25, 977–989. [Google Scholar] [CrossRef]
  64. de Torres, M.A.R.R.; Carbonell-Bojollo, R.M.; Moreno-García, M.; Ordóñez-Fernández, R.; Rodríguez-Lizana, A. Soil organic matter and nutrient improvement through cover crops in a Mediterranean olive orchard. Soil Tillage Res. 2021, 210, 104977. [Google Scholar] [CrossRef]
  65. López-Vicente, M.; Gomez, J.A.; Guzmán, G.; Calero, J.; García-Ruiz, R. The role of cover crops in the loss of protected and non-protected soil organic carbon fractions due to water erosion in a Mediterranean olive grove. Soil Tillage Res. 2021, 213, 105119. [Google Scholar] [CrossRef]
  66. Totsche, K.U.; Amelung, W.; Gerzabek, M.H.; Guggenberger, G.; Klumpp, E.; Knief, C.; Lehndorff, E.; Mikutta, R.; Peth, S.; Prechtel, A.; et al. Microaggregates in soils. J. Plant Nutr. Soil Sci. 2018, 181, 104–136. [Google Scholar] [CrossRef] [Green Version]
  67. Nath, A.J.; Lal, R. Effects of tillage practices and land use management on soil aggregates and soil organic carbon in the North Appalachian region, USA. Pedosphere 2017, 27, 172–176. [Google Scholar] [CrossRef]
  68. Wang, Y.; Fang, N.; Zhang, F.; Wang, L.; Wu, G.; Yang, M. Effects of erosion on the microaggregate organic carbon dynamics in a small catchment of the Loess Plateau, China. Soil Tillage Res. 2017, 174, 205–213. [Google Scholar] [CrossRef]
  69. Wang, X.; Cammeraat, E.L.H.; Cerli, C.; Kalbitz, K. Soil aggregation and the stabilization of organic carbon as affected by erosion and deposition. Soil Biol. Biochem. 2014, 72, 55–65. [Google Scholar] [CrossRef]
  70. Costantini, E.A.; Castaldini, M.; Diago, M.P.; Giffard, B.; Lagomarsino, A.; Schroers, H.J.; Priori, S.; Valboa, G.; Agnelli, A.E.; Akça, E.; et al. Effects of soil erosion on agro-ecosystem services and soil functions: A multidisciplinary study in nineteen organically farmed European and Turkish vineyards. J. Environ. Manag. 2018, 223, 614–624. [Google Scholar] [CrossRef] [PubMed]
  71. Bhat, S.A.; Dar, M.U.D.; Meena, R.S. Soil Erosion and Management Strategies. In Sustainable Management of Soil and Environment; Meena, R., Kumar, S., Bohra, J., Jat, M., Eds.; Springer: Singapore, 2019. [Google Scholar] [CrossRef]
  72. Weidhuner, A.; Hanauer, A.; Krausz, R.; Crittenden, S.J.; Gage, K.; Sadeghpour, A. Tillage impacts on soil aggregation and aggregate-associated carbon and nitrogen after 49 years. Soil Tillage Res. 2021, 208, 104878. [Google Scholar] [CrossRef]
  73. Farahani, E.; Emami, H.; Forouhar, M. Effects of tillage systems on soil organic carbon and some soil physical properties. Land Degrad. Dev. 2022, 33, 1307–1320. [Google Scholar] [CrossRef]
  74. Naveed, M.; Brown, L.K.; Raffan, A.C.; George, T.S.; Bengough, A.G.; Roose, T.; Sinclair, I.; Koebernick, N.; Cooper, L.; Hackett, C.A.; et al. Plant exudates may stabilize or weaken soil depending on species, origin and time. Eur. J. Soil Sci. 2017, 68, 806–816. [Google Scholar] [CrossRef] [Green Version]
  75. Kumar, N.; Nath, C.P.; Hazra, K.K.; Das, K.; Venkatesh, M.S.; Singh, M.K.; Singh, S.S.; Praharaj, C.S.; Singh, N.P. Impact of zero-till residue management and crop diversification with legumes on soil aggregation and carbon sequestration. Soil Tillage Res. 2019, 189, 158–167. [Google Scholar] [CrossRef]
  76. Jat, H.S.; Datta, A.; Choudhary, M.; Yadav, A.K.; Choudhary, V.; Sharma, P.C.; Gathala, M.K.; Jat, M.L.; McDonald, A. Effects of tillage, crop establishment and diversification on soil organic carbon, aggregation, aggregate associated carbon and productivity in cereal systems of semi-arid Northwest India. Soil Tillage Res. 2019, 190, 128–138. [Google Scholar] [CrossRef]
  77. Nunes, M.R.; van Es, H.M.; Schindelbeck, R.; Ristow, A.J.; Ryan, M. No-till and cropping system diversification improve soil health and crop yield. Geoderma 2018, 328, 30–43. [Google Scholar] [CrossRef]
  78. Singh, G.; Bhattacharyya, R.; Das, T.K.; Sharma, A.R.; Ghosh, A.; Das, S.; Jha, P. Crop rotation and residue management effects on soil enzyme activities, glomalin and aggregate stability under zero tillage in the Indo-Gangetic Plains. Soil Tillage Res. 2018, 184, 291–300. [Google Scholar] [CrossRef]
  79. Durán-Zuazo, V.H.; Rodríguez, B.C.; García-Tejero, I.F.; Gálvez Ruiz, B.; Cuadros, T.S. Benefits of organic olive rainfed systems to control soil erosion and runoff and improve soil health restoration. Agron. Sustain. Dev. 2020, 40, 41. [Google Scholar] [CrossRef]
  80. Rodríguez-Lizana, A.; Repullo-Ruibérriz de Torres, M.Á.; Carbonell-Bojollo, R.; Moreno-García, M.; Ordóñez-Fernández, R. Study of C, N, P and K Release from Residues of Newly Proposed Cover Crops in a Spanish Olive Grove. Agronomy 2020, 10, 1041. [Google Scholar] [CrossRef]
  81. Las Casas, G.; Ciaccia, C.; Iovino, V.; Ferlito, F.; Torrisi, B.; Lodolini, E.M.; Giuffrida, A.; Catania, R.; Nicolosi, E.; Bella, S. Effects of Different Inter-Row Soil Management and Intra-Row Living Mulch on Spontaneous Flora, Beneficial Insects, and Growth of Young Olive Trees in Southern Italy. Plants 2022, 11, 545. [Google Scholar] [CrossRef]
  82. Ghosh, P.K.; Hazra, K.K.; Venkatesh, M.S.; Nath, C.P.; Singh, J.; Nadarajan, N. Increasing Soil Organic Carbon Through Crop Diversification in Cereal–Cereal Rotations of Indo-Gangetic Plain. Proc. Natl. Acad. Sci. India Sect. B Biol. Sci 2019, 89, 429–440. [Google Scholar] [CrossRef]
  83. St. Luce, M.; Ziadi, N.; Chantigny, M.H.; Braun, J. Long-term effects of tillage and nitrogen fertilization on soil C and N fractions in a corn–soybean rotation. Can. J. Soil Sci. 2021, 102, 277–292. [Google Scholar] [CrossRef]
  84. Six, J.; Paustian, K.; Elliott, E.T.; Combrink, C. Soil structure and organic matter: I. Distribution of aggregate-size classes and aggregate-associated carbon. Soil Sci. Soc. Am. J. 2000, 64, 681–689. [Google Scholar] [CrossRef]
  85. Hernández, T.D.B.; Slater, B.K.; Corbalá, R.T.; Shaffer, J.M. Assessment of long-term tillage practices on physical properties of two Ohio soils. Soil Tillage Res. 2019, 186, 270–279. [Google Scholar] [CrossRef]
  86. Lambie, S.M.; Ghani, A.; Mudge, P.L.; Stevenson, B.A. Decadal changes in soil organic matter due to microaggregate and hot water extractable pools. Soil Sci. Soc. Am. J. 2019, 83, 78–85. [Google Scholar] [CrossRef]
  87. Bansal, S.; Yin, X.; Sykes, V.; Lee, J.; Jagadamma, S. Soil aggregate-associated organic carbon and nitrogen response to long-term no-till crop rotation, cover crop, and manure application. Soil Sci. Soc. Am. J. 2021, 85, 2169–2184. [Google Scholar] [CrossRef]
  88. Zheng, H.; Liu, W.; Zheng, J.; Luo, Y.; Li, R.; Wang, H.; Qi, H. Effect of long-term tillage on soil aggregates and aggregate-associated carbon in black soil of Northeast China. PLoS ONE 2018, 13, e0199523. [Google Scholar] [CrossRef] [PubMed]
  89. Ruis, S.; Blanco-Canqui, H. Cover crops could offset crop residue removal effects on soil carbon and other properties: A review. Agron. J. 2017, 109, 1785–1805. [Google Scholar] [CrossRef]
  90. Wang, H.; Wang, S.; Yu, Q.; Zhang, Y.; Wang, R.; Li, J.; Wang, X. No tillage increases soil organic carbon storage and decreases carbon dioxide emission in the crop residue-returned farming system. J. Environ. Manag. 2020, 261, 110261. [Google Scholar] [CrossRef]
  91. Ghahremani, S.; Ebadi, A.; Tobeh, A.; Hashemi, M.; Sedghi, M.; Gholipoouri, A.; Barker, A.V. Short-term impact of monocultured and mixed cover crops on soil properties, weed suppression, and lettuce yield. Commun. Soil Sci. Plant Anal. 2021, 52, 406–415. [Google Scholar] [CrossRef]
  92. González-Rosado, M.; Parras-Alcántara, L.; Aguilera-Huertas, J.; Lozano-García, B. No-Tillage Does Not Always Stop the Soil Degradation in Relation to Aggregation and Soil Carbon Storage in Mediterranean Olive Orchards. Agriculture 2022, 12, 407. [Google Scholar] [CrossRef]
  93. Oliveira, M.; Barre, P.; Trindade, H.; Virto, I. Different efficiencies of grain legumes in crop rotations to improve soil aggregation and organic carbon in the short-term in a sandy Cambisol. Soil Tillage Res. 2019, 186, 23–35. [Google Scholar] [CrossRef]
  94. Martínez-Mena, M.; Boix-Fayos, C.; Carrillo-López, E.; Díaz-Pereira, E.; Zornoza, R.; Sánchez-Navarro, V.; Acosta, J.A.; Martínez-Martínez, S.; Almagro, M. Short-term impact of crop diversification on soil carbon fluxes and balance in rainfed and irrigated woody cropping systems under semiarid Mediterranean conditions. Plant Soil 2021, 467, 499–514. [Google Scholar] [CrossRef]
  95. Yan, Z.; Zhou, J.; Yang, L.; Gunina, A.; Yang, Y.; Peixoto, L.; Zeng, Z.; Zang, H.; Kuzyakov, Y. Diversified cropping systems benefit soil carbon and nitrogen stocks by increasing aggregate stability: Results of three fractionation methods. Sci. Total Environ. 2022, 824, 153878. [Google Scholar] [CrossRef]
Figure 1. Location map Andalusia region (A) and aerial view of the experimental treatments (B); conventional tillage (blue); saffron (orange); oats (grey), and lavender (yellow bars).
Figure 1. Location map Andalusia region (A) and aerial view of the experimental treatments (B); conventional tillage (blue); saffron (orange); oats (grey), and lavender (yellow bars).
Horticulturae 08 00618 g001
Figure 2. Management systems and crop diversifications implemented in the study area (A) Olive intercropping with Crocus sativus, (B) Olive intercropping with Lavandula x Intermedia, (C) Conventional Tillage, and (D) Olive intercropping with Vicia Sativa and Avena sativa in rotation.
Figure 2. Management systems and crop diversifications implemented in the study area (A) Olive intercropping with Crocus sativus, (B) Olive intercropping with Lavandula x Intermedia, (C) Conventional Tillage, and (D) Olive intercropping with Vicia Sativa and Avena sativa in rotation.
Horticulturae 08 00618 g002
Figure 3. Soil water-stable aggregate size distribution (%) for conventional-tillage (CT; blue bars); saffron (D-S; orange bars); oats (D-O; grey bars), and lavender (D-L; yellow bars) treatments at 0–10 cm depth for (a) >2000 μm, (b) 250–2000 μm, (c) 53–250 μm and (d) <53 μm. The different lowercase letters above the error bars for the same soil layer indicate significant differences between managements at p < 0.05. Different capital letters are indicating differences in depth between 0–10 cm layer and 10–30 cm layer which is represented in Figure 4. Each cultivation system (*) represents significant differences between managements compared to olive monocrop conventional tillage system in 2018 (control treatment) by Dunnett’s test (p < 0.01); missing asterisks denote non-significant differences.
Figure 3. Soil water-stable aggregate size distribution (%) for conventional-tillage (CT; blue bars); saffron (D-S; orange bars); oats (D-O; grey bars), and lavender (D-L; yellow bars) treatments at 0–10 cm depth for (a) >2000 μm, (b) 250–2000 μm, (c) 53–250 μm and (d) <53 μm. The different lowercase letters above the error bars for the same soil layer indicate significant differences between managements at p < 0.05. Different capital letters are indicating differences in depth between 0–10 cm layer and 10–30 cm layer which is represented in Figure 4. Each cultivation system (*) represents significant differences between managements compared to olive monocrop conventional tillage system in 2018 (control treatment) by Dunnett’s test (p < 0.01); missing asterisks denote non-significant differences.
Horticulturae 08 00618 g003
Figure 4. Soil water-stable aggregate size distribution (%) for conventional-tillage (CT; blue bars); saffron (D-S; orange bars); oats (D-O; grey bars), and lavender (D-L; yellow bars) treatments at 10–30 cm depth for (a) >2000 μm, (b) 250–2000 μm, (c) 53–250 μm and (d) <53 μm. The different lowercase letters above the error bars for the same soil layer indicate significant differences between managements at p < 0.05. Different capital letters are indicating differences in depth between 10–30 cm layer and 0–10 cm layer which is represented in Figure 3. Each cultivation system (*) represents significant differences with respect to the olive monocrop conventional tillage system in 2018 (control treatment) by Dunnett’s test (p < 0.01); missing asterisks denote non-significant differences.
Figure 4. Soil water-stable aggregate size distribution (%) for conventional-tillage (CT; blue bars); saffron (D-S; orange bars); oats (D-O; grey bars), and lavender (D-L; yellow bars) treatments at 10–30 cm depth for (a) >2000 μm, (b) 250–2000 μm, (c) 53–250 μm and (d) <53 μm. The different lowercase letters above the error bars for the same soil layer indicate significant differences between managements at p < 0.05. Different capital letters are indicating differences in depth between 10–30 cm layer and 0–10 cm layer which is represented in Figure 3. Each cultivation system (*) represents significant differences with respect to the olive monocrop conventional tillage system in 2018 (control treatment) by Dunnett’s test (p < 0.01); missing asterisks denote non-significant differences.
Horticulturae 08 00618 g004
Figure 5. Mean weight diameter (MWD) and geometric mean diameter (GMD), for conventional-tillage (CT; blue bars); saffron (D-S; orange bars); oats (D-O; grey bars) and lavender (D-L; yellow bars) treatments at (a) 0–10 cm depth, (b) 10–30 cm depth, (c) 0–10 cm depth and (d) 10–30 cm depth. The different lowercase letters above the error bars for the same soil layer indicate significant differences between managements at p < 0.05. Different capital letters are indicating differences in depth. Each cultivation system (*) represents significant differences with respect to the olive monocrop conventional tillage system in 2018 (control treatment) by Dunnett’s test (p < 0.001). Missing asterisks denote non-significant differences.
Figure 5. Mean weight diameter (MWD) and geometric mean diameter (GMD), for conventional-tillage (CT; blue bars); saffron (D-S; orange bars); oats (D-O; grey bars) and lavender (D-L; yellow bars) treatments at (a) 0–10 cm depth, (b) 10–30 cm depth, (c) 0–10 cm depth and (d) 10–30 cm depth. The different lowercase letters above the error bars for the same soil layer indicate significant differences between managements at p < 0.05. Different capital letters are indicating differences in depth. Each cultivation system (*) represents significant differences with respect to the olive monocrop conventional tillage system in 2018 (control treatment) by Dunnett’s test (p < 0.001). Missing asterisks denote non-significant differences.
Horticulturae 08 00618 g005
Figure 6. Aggregate-associated soil organic carbon (SOC) concentration (g kg−1) in different sizes of soil water-stable aggregates for conventional-tillage (CT; blue bars); saffron (D-S; orange bars); oats (D-O; grey bars) and lavender (D-L; yellow bars) treatments at (a) 0–10 cm depth (2018), (b) 0–10 cm depth (2021), (c) 10–30 cm depth (2018) and (d) 10–30 cm depth (2021). The different lowercase letters above the error bars for the same soil layer indicate significant differences between managements at p < 0.05. Different capital letters are indicating differences in depth. Each cultivation system (*) represents significant differences with respect to the olive monocrop conventional tillage system in 2018 (control treatment) by Dunnett’s test (* p < 0.05). Missing asterisks denote non-significant differences.
Figure 6. Aggregate-associated soil organic carbon (SOC) concentration (g kg−1) in different sizes of soil water-stable aggregates for conventional-tillage (CT; blue bars); saffron (D-S; orange bars); oats (D-O; grey bars) and lavender (D-L; yellow bars) treatments at (a) 0–10 cm depth (2018), (b) 0–10 cm depth (2021), (c) 10–30 cm depth (2018) and (d) 10–30 cm depth (2021). The different lowercase letters above the error bars for the same soil layer indicate significant differences between managements at p < 0.05. Different capital letters are indicating differences in depth. Each cultivation system (*) represents significant differences with respect to the olive monocrop conventional tillage system in 2018 (control treatment) by Dunnett’s test (* p < 0.05). Missing asterisks denote non-significant differences.
Horticulturae 08 00618 g006
Figure 7. Aggregate-associated total nitrogen (TN) concentration (g kg−1) in different sizes of soil water-stable aggregates for conventional-tillage (CT; blue bars); saffron (D-S; orange bars); oats (D-O; grey bars) and lavender (D-L; yellow bars) treatments at (a) 0–10 cm depth (2018), (b) 0–10 cm depth (2021), (c) 10–30 cm depth (2018) and (d) 10–30 cm depth (2021). The different lowercase letters above the error bars for the same soil layer indicate significant differences between managements at p < 0.05. Different capital letters are indicating differences in depth. Each cultivation system (*) represents significant differences with respect to the olive monocrop conventional tillage system in 2018 (control treatment) by Dunnett’s test (* p < 0.05). Missing asterisks denote non-significant differences.
Figure 7. Aggregate-associated total nitrogen (TN) concentration (g kg−1) in different sizes of soil water-stable aggregates for conventional-tillage (CT; blue bars); saffron (D-S; orange bars); oats (D-O; grey bars) and lavender (D-L; yellow bars) treatments at (a) 0–10 cm depth (2018), (b) 0–10 cm depth (2021), (c) 10–30 cm depth (2018) and (d) 10–30 cm depth (2021). The different lowercase letters above the error bars for the same soil layer indicate significant differences between managements at p < 0.05. Different capital letters are indicating differences in depth. Each cultivation system (*) represents significant differences with respect to the olive monocrop conventional tillage system in 2018 (control treatment) by Dunnett’s test (* p < 0.05). Missing asterisks denote non-significant differences.
Horticulturae 08 00618 g007
Figure 8. Aggregate-associated soil organic carbon stocks (SOC-S) distribution (Mg ha−1) within soil water-stable aggregates for conventional-tillage (CT); saffron (D-S); oats (D-O) and lavender (D-L) treatments at (a) 0–10 cm depth (2018), (b) 0–10 cm depth (2021), (c) 10–30 cm depth (2018) and (d) 10–30 cm depth (2021). The different lowercase letters above the error bars for the same soil layer indicate significant differences between managements at p < 0.05. Each cultivation system (*) represents significant differences with respect to the olive monocrop conventional tillage system in 2018 (control treatment) by Dunnett’s test (* p < 0.05). Missing asterisks denote non-significant differences.
Figure 8. Aggregate-associated soil organic carbon stocks (SOC-S) distribution (Mg ha−1) within soil water-stable aggregates for conventional-tillage (CT); saffron (D-S); oats (D-O) and lavender (D-L) treatments at (a) 0–10 cm depth (2018), (b) 0–10 cm depth (2021), (c) 10–30 cm depth (2018) and (d) 10–30 cm depth (2021). The different lowercase letters above the error bars for the same soil layer indicate significant differences between managements at p < 0.05. Each cultivation system (*) represents significant differences with respect to the olive monocrop conventional tillage system in 2018 (control treatment) by Dunnett’s test (* p < 0.05). Missing asterisks denote non-significant differences.
Horticulturae 08 00618 g008
Table 1. GMD sensitivity index (SIGMD) in the 0–10, and 10–30 cm layers.
Table 1. GMD sensitivity index (SIGMD) in the 0–10, and 10–30 cm layers.
TreatmentsSIGMD
0–1010–30
D-S1.24 aA0.90 aB
D-O0.94 aA0.91 aA
D-L0.90 aA1.05 aA
CT (2021)0.81 bA0.79 bA
CT (2018)1.00 aA1.00 aA
Treatments; saffron (D-S), oats (D-O), lavender (D-L), conventional tillage (CT 2021), and conventional tillage (CT 2018). Means followed by the different lowercase letters in the columns are significantly different from each other (p < 0.05). Different capital letters are indicating differences in depth.
Publisher’s Note: MDPI stays neutral with regard to jurisdictional claims in published maps and institutional affiliations.

Share and Cite

MDPI and ACS Style

González-Rosado, M.; Parras-Alcántara, L.; Aguilera-Huertas, J.; Lozano-García, B. Crop Diversification Effects on Soil Aggregation and Aggregate-Associated Carbon and Nitrogen in Short-Term Rainfed Olive Groves under Semiarid Mediterranean Conditions. Horticulturae 2022, 8, 618. https://doi.org/10.3390/horticulturae8070618

AMA Style

González-Rosado M, Parras-Alcántara L, Aguilera-Huertas J, Lozano-García B. Crop Diversification Effects on Soil Aggregation and Aggregate-Associated Carbon and Nitrogen in Short-Term Rainfed Olive Groves under Semiarid Mediterranean Conditions. Horticulturae. 2022; 8(7):618. https://doi.org/10.3390/horticulturae8070618

Chicago/Turabian Style

González-Rosado, Manuel, Luis Parras-Alcántara, Jesús Aguilera-Huertas, and Beatriz Lozano-García. 2022. "Crop Diversification Effects on Soil Aggregation and Aggregate-Associated Carbon and Nitrogen in Short-Term Rainfed Olive Groves under Semiarid Mediterranean Conditions" Horticulturae 8, no. 7: 618. https://doi.org/10.3390/horticulturae8070618

APA Style

González-Rosado, M., Parras-Alcántara, L., Aguilera-Huertas, J., & Lozano-García, B. (2022). Crop Diversification Effects on Soil Aggregation and Aggregate-Associated Carbon and Nitrogen in Short-Term Rainfed Olive Groves under Semiarid Mediterranean Conditions. Horticulturae, 8(7), 618. https://doi.org/10.3390/horticulturae8070618

Note that from the first issue of 2016, this journal uses article numbers instead of page numbers. See further details here.

Article Metrics

Back to TopTop