Chitosan Application Improves the Growth and Physiological Parameters of Tomato Crops
Abstract
1. Introduction
2. Materials and Methods
2.1. Study Site
2.2. Experimental Design and Treatments
2.3. Experiment Management
2.4. Microclimate
2.5. Morphometric Variables
2.6. Physiological Variables
2.6.1. Leaf Water Potential
2.6.2. Gas Exchange
2.6.3. Leaf Area Index Measurement
2.7. Chlorophyll Content
2.8. Fruit Quality Indicators
2.8.1. Polyphenol Content
2.8.2. Antioxidant Capacity
2.8.3. Flavonoid Content
2.8.4. Carotenoids
2.8.5. Vitamin C Content
2.8.6. Total Soluble Solids
2.9. Statistical Analysis
3. Results
3.1. Microclimate
3.2. Morphometric Variables
3.3. Water Potential
3.4. Gas Exchange
3.5. Leaf Area Index
3.6. Chlorophyll Content
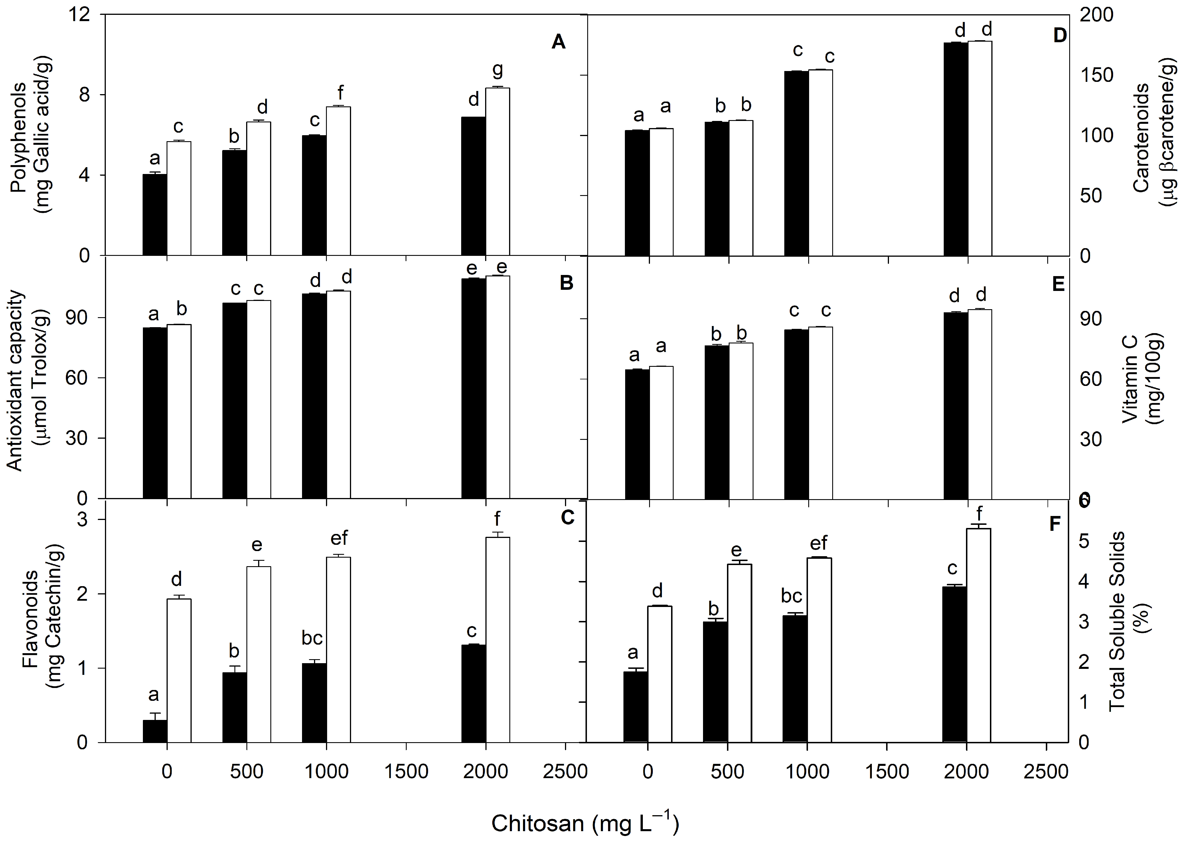
3.7. Fruit Quality Indicators
3.8. Multivariate Analysis
4. Discussion
5. Conclusions
Author Contributions
Funding
Data Availability Statement
Acknowledgments
Conflicts of Interest
References
- Campos, M.D.; Felix, M.D.R.; Patanita, M.; Materatski, P.; Albuquerque, A.; Ribeiro, J.A.; Varanda, C. Defense strategies: The role of transcription factors in tomato–pathogen interaction. Biology 2022, 11, 235. [Google Scholar] [CrossRef]
- Meng, F.; Li, Y.; Li, S.; Chen, H.; Shao, Z.; Jian, Y.; Mao, Y.; Liu, L.; Wang, Q. Carotenoid biofortification in tomato products along whole agro-food chain from field to fork. Trends Food Sci. Technol. 2022, 124, 296–308. [Google Scholar] [CrossRef]
- Terry Alfonso, E.; Falcón Rodríguez, A.; Ruiz Padrón, J.; Carrillo Sosa, Y.; Morales Morales, H. Respuesta agronómica del cultivo de tomate al bioproducto QuitoMax®. Cultiv. Trop. 2017, 38, 147–154. [Google Scholar]
- Torres-Rodriguez, J.A.; Reyes-Pérez, J.J.; Quiñones-Aguilar, E.E.; Hernandez-Montiel, L.G. Actinomycete potential as biocontrol agent of phytopathogenic fungi: Mechanisms, source, and applications. Plants 2022, 11, 3201. [Google Scholar] [CrossRef]
- Sabiha-Javied; Siddque, N.; Waheed, S.; Uz Zaman, Q.; Aslam, A.; Tufail, M.; Nasir, R. Uptake of heavy metal in wheat from application of different phosphorus fertilizers. J. Food Compos. Anal. 2023, 115, 104958. [Google Scholar] [CrossRef]
- Guangbin, Z.; Kaifu, S.; Xi, M.; Qiong, H.; Jing, M.; Huang, Q.; Ma, J.; Gong, H.; Zhang, Y.; Paustian, K.; et al. Nitrous oxide emissions, ammonia volatilization, and grain-heavy metal levels during the wheat season: Effect of partial organic substitution for chemical fertilizer. Agric. Ecosyst. Environ. 2021, 311, 107340. [Google Scholar] [CrossRef]
- Li, R.; Liu, B.; Xu, W.; Yu, L.; Zhang, C.; Cheng, J.; Tao, L.; Li, Z.; Zhang, Y. DNA damage and cell apoptosis induced by fungicide difenoconazole in mouse mononuclear macrophage RAW264.7. Environ. Toxicol. 2022, 37, 650–659. [Google Scholar] [CrossRef]
- Wang, Q.; Mao, Y.; Li, S.; Li, T.; Wang, J.; Zhou, M.; Duan, Y. Molecular mechanism of Sclerotinia sclerotiorum resistance to succinate dehydrogenase inhibitor fungicides. J. Agric. Food Chem. 2022, 70, 7039–7048. [Google Scholar] [CrossRef]
- Reyes-Pérez, J.J.; Rodríguez-Rodríguez, S.; Torres-Rodríguez, J.A.; Llerena-Ramos, L.T.; Hernández-Montiel, L.G.; Ruiz-Espinoza, F.H. Biofortificación con Silicio en el Crecimiento y Rendimiento de Pimiento (Capsicum annuum L.) en Ambiente Controlado. Terra Latinoam. 2023, 41, 1–10. [Google Scholar] [CrossRef]
- Torres-Rodriguez, J.A.; Ramos-Remache, R.A.; Reyes-Pérez, J.J.; Quinatoa-Lozada, E.F.; Rivas-García, T. Silicio como Bioestimulante en el Cultivo de Cacao (Theobroma cacao L.) y Agente de Control Biológico de Moniliophthora roreri. Terra Latinoam. 2024, 42, e1817. [Google Scholar] [CrossRef]
- Torres-Rodriguez, J.A.; Reyes-Perez, J.J.; Castellanos, T.; Angulo, C.; Quinones-Aguilar, E.E.; Hernandez-Montiel, L.G. A biopolymer with antimicrobial properties and plant resistance inducer against phytopathogens: Chitosan. Not. Bot. Horti Agrobot. 2021, 49, 12231. [Google Scholar] [CrossRef]
- Qiu, S.; Zhou, S.; Tan, Y.; Feng, J.; Bai, Y.; He, J.; Cao, H.; Che, Q.; Guo, J.; Su, Z. Biodegradation and Prospect of Polysaccharide from Crustaceans. Mar. Drugs 2022, 20, 310. [Google Scholar] [CrossRef]
- Mohan, K.; Ganesan, A.R.; Ezhilarasi, P.N.; Kondamareddy, K.K.; Rajan, D.K.; Sathishkumar, P.; Rajarajeswaran, J.; Conterno, L. Green and eco-friendly approaches for the extraction of chitin and chitosan: A review. Carbohydr. Polym. 2022, 287, 119349. [Google Scholar] [CrossRef]
- Hahn, T.; Tafi, E.; von Seggern, N.; Falabella, P.; Salvia, R.; Thomä, J.; Febel, E.; Fijalkowska, M.; Schmitt, E.; Stegbauer, L.; et al. Purification of Chitin from Pupal Exuviae of the Black Soldier Fly. Waste Biomass Valorization 2022, 13, 1993–2008. [Google Scholar] [CrossRef]
- Suarez-Fernandez, M.; Marhuenda-Egea, F.C.; Lopez-Moya, F.; Arnao, M.B.; Cabrera Escribano, F.; Nueda, M.J.; Gunsé, B.; Lopez-Llorca, L.V. Chitosan Induces Plant Hormones and Defenses in Tomato Root Exudates. Front. Plant Sci. 2020, 11, 572087. [Google Scholar] [CrossRef]
- Singh, R.K.; Ruiz-May, E.; Rajput, V.D.; Minkina, T.; Gómez-Peraza, R.L.; Verma, K.K.; Shekhawat, M.S.; Pinto, C.; Falco, V.; Quiroz-Figueroa, F.R. Viewpoint of Chitosan Application in Grapevine for Abiotic Stress/Disease Management towards More Resilient Viticulture Practices. Agriculture 2022, 12, 1369. [Google Scholar] [CrossRef]
- Suwanchaikasem, P.; Nie, S.; Idnurm, A.; Selby-Pham, J.; Walker, R.; Boughton, B.A. Effects of chitin and chitosan on root growth, biochemical defense response and exudate proteome of Cannabis sativa. Plant-Environ. Interact. 2023, 4, 115–133. [Google Scholar] [CrossRef]
- El Amerany, F.; Meddich, A.; Wahbi, S.; Porzel, A.; Taourirte, M.; Rhazi, M.; Hause, B. Foliar Application of Chitosan Increases Tomato Growth and Influences Mycorrhization and Expression of Endochitinase-Encoding Genes. Int. J. Mol. Sci. 2020, 21, 535. [Google Scholar] [CrossRef] [PubMed]
- Parvin, M.A.; Zakir, H.M.; Sultana, N.; Kafi, A.; Seal, H.P. Effects of different application methods of chitosan on growth, yield and quality of tomato (Lycopersicon esculentum Mill.). Arch. Agric. Environ. 2019, 4, 261–267. [Google Scholar] [CrossRef]
- Reyes-Pérez, J.J.; Enríquez-Acosta, E.A.; Ramírez-Arrebato, M.Á.; Zúñiga Valenzuela, E.; Lara-Capistrán, L.; Hernández-Montiel, L.G. Efecto del quitosano sobre variables del crecimiento, rendimiento y contenido nutricional del tomate. Rev. Mex. Cienc. Agríc. 2020, 11, 457–465. [Google Scholar] [CrossRef]
- Hussain, I.; Ahmad, S.; Ullah, I.; Ahmad, I.; Alam, M.; Khan, S.; Ayaz, S. Foliar application of Chitosan modulates the morphological and biochemical characteristics of tomato. Asian J. Agric. Biol. 2019, 7, 365–372. [Google Scholar]
- Kumar, S.; Ye, F.; Dobretsov, S.; Dutta, J. Chitosan Nanocomposite Coatings for Food, Paints, and Water Treatment Applications. Appl. Sci. 2019, 9, 2409. [Google Scholar] [CrossRef]
- Costales-Menéndez, D.; Nápoles-García, M.C.; Travieso-Hernández, L.; Cartaya-Rubio, O.; Falcón-Rodríguez, A.B. Compatibilidad Quitosano-Bradyrhizobium aplicados a semillas y su efecto en el desarrollo vegetativo de soya (Glycine max (L.) Merrill). Agron. Mesoam. 2021, 32, 869–887. [Google Scholar] [CrossRef]
- Attaran Dowom, S.; Karimian, Z.; Mostafaei Dehnavi, M.; Samiei, L. Chitosan nanoparticles improve physiological and biochemical responses of Salvia abrotanoides (Kar.) under drought stress. BMC Plant Biol. 2022, 22, 364. [Google Scholar] [CrossRef]
- El Amerany, F.; Rhazi, M.; Balcke, G.; Wahbi, S.; Meddich, A.; Taourirte, M.; Hause, B. The Effect of Chitosan on Plant Physiology, Wound Response, and Fruit Quality of Tomato. Polymers 2022, 14, 5006. [Google Scholar] [CrossRef]
- dos Reis, C.O.; Magalhães, P.C.; Avila, R.G.; Almeida, L.G.; Rabelo, V.M.; Carvalho, D.; Cabral, D.F.; Karam, D.; de Souza, T. Action of N-Succinyl and N,O-Dicarboxymethyl Chitosan Derivatives on Chlorophyll Photosynthesis and Fluorescence in Drought-Sensitive Maize. J. Plant Growth Regul. 2019, 38, 619–630. [Google Scholar] [CrossRef]
- Salimi, A.; Oraghi Ardebili, Z.; Salehibakhsh, M. Potential benefits of foliar application of chitosan and Zinc in tomato. Iran. J. Plant Physiol. 2019, 9, 2703–2708. [Google Scholar]
- Chakraborty, M.; Hasanuzzaman, M.; Rahman, M.; Khan, M.A.R.; Bhowmik, P.; Mahmud, N.U.; Tanveer, M.; Islam, T. Mechanism of Plant Growth Promotion and Disease Suppression by Chitosan Biopolymer. Agriculture 2020, 10, 624. [Google Scholar] [CrossRef]
- Mukarram, M.; Khan, M.M.A.; Kurjak, D.; Corpas, F.J. Chitosanoligomers (COS) trigger a coordinated biochemical response of lemongrass (Cymbopogon flexuosus) plants to palliate salinity-induced oxidative stress. Sci. Rep. 2023, 13, 8636. [Google Scholar] [CrossRef]
- Ávila, R.G.; Magalhães, P.C.; Vitorino, L.C.; Bessa, L.A.; Dázio de Souza, K.R.; Barros Queiroz, R.; Jakelaitis, A.; Teixeira, M.B. Chitosan Induces Sorghum Tolerance to Water Deficits by Positively Regulating Photosynthesis and the Production of Primary Metabolites, Osmoregulators, and Antioxidants. J. Soil Sci. Plant Nutr. 2023, 23, 1156–1172. [Google Scholar] [CrossRef]
- Lakshari, W.A.I.; Sukanya, M.; Hewavitharan, K.H.I.K. Effect of different concentrations of foliar application of chitosan on growth development of tomato (Solanum lycopersicum L.) cultivar grown in Sri Lanka. J. Res. Technol. Eng. 2023, 4, 1–8. [Google Scholar]
- Attia, M.S.; Osman, M.S.; Mohamed, A.S.; Mahgoub, H.A.; Garada, M.O.; Abdelmouty, E.S.; Abdel Latef, A.A.H. Impact of Foliar Application of Chitosan Dissolved in Different Organic Acids on Isozymes, Protein Patterns and Physio-Biochemical Characteristics of tomato Grown under Salinity Stress. Plants 2021, 10, 388. [Google Scholar] [CrossRef]
- Behboudi, F.; Tahmasebi-Sarvestani, Z.; Kassaee, M.Z.; Modarres-Sanavy, S.A.M.; Sorooshzadeh, A.; Mokhtassi-Bidgoli, A. Evaluation of chitosan nanoparticles effects with two application methods on wheat under drought stress. J. Plant Nutr. 2019, 42, 1439–1451. [Google Scholar] [CrossRef]
- Ali, E.F.; El-Shehawi, A.M.; Ibrahim, O.H.M.; Abdul-Hafeez, E.Y.; Moussa, M.M.; Hassan, F.A.S. A vital role of chitosan nanoparticles in improvisation the drought stress tolerance in Catharanthus roseus (L.) through biochemical and gene expression modulation. Plant Physiol. Biochem. 2021, 161, 166–175. [Google Scholar] [CrossRef]
- Rabelo, V.M.; Magalhaes, P.C.; Bressanin, L.A.; Carvalho, D.T.; Reis, C.O.D.; Karam, D.; Doriguetto, A.C.; Santos, M.H.D.; Santos Filho, P.R.D.S.; Souza, T.C. The foliar application of a mixture of semisynthetic chitosan derivatives induces tolerance to water deficit in maize, improving the antioxidant system and increasing photosynthesis and grain yield. Sci. Rep. 2019, 9, 8164. [Google Scholar] [CrossRef]
- Reyes-Pérez, J.J.; Rivero-Herrada, M.; García-Bustamante, E.L.; Beltran-Morales, F.A.; Ruiz-Espinoza, F.H. Aplicación de quitosano incrementa la emergencia, crecimiento y rendimiento del cultivo de tomate (Solanum lycopersicum L.) en condiciones de invernadero. Biotecnia 2020, 22, 156–163. [Google Scholar] [CrossRef]
- Kahromi, S.; Khara, J. Chitosan stimulates secondary metabolite production and nutrient uptake in medicinal plant Dracocephalum kotschyi. J. Sci. Food Agric. 2021, 101, 3898–3907. [Google Scholar] [CrossRef]
- Reyes-Pérez, J.J.; Rivero-Herrada, M.; Andagoya Fajardo, C.J.; Beltrán-Morales, F.A.; Hernández-Montiel, L.G.; García Liscano, A.E.; Ruiz-Espinoza, F.H. Emergencia y características agronómicas del Cucumis sativus a la aplicación de quitosano, Glomus cubense y ácidos húmicos. Biotecnia 2021, 23, 38–44. [Google Scholar] [CrossRef]
- Reyes-Pérez, J.J.; Llerena-Ramos, L.T.; Rivero-Herrada, M.; Pincay-Ganchozo, R.A.; Hernández-Montiel, L.G.; Ruiz-Espinoza, F.H. Agrobiological ef fectiveness of chitosane, humic acids and mycorrhzic fungi in two varieties of tomato (Solanum lycopersicum L.). Terra Latinoam. 2022, 40, e1078. [Google Scholar] [CrossRef]
- Terry Alfonso, E.; Ruiz Padrón, J.; Rivera Espinosa, R.; Falcón Rodríguez, A.; Carrillo Sosa, Y. Bioproducts as partial substitutes for the mineral nutrition of the pepper crop (Capsicum annuum L.). Acta Agronómica 2021, 70, 266–273. [Google Scholar]
- USDA. United States Standards for Grades of Fresh Tomatoes. Available online: https://www.ams.usda.gov/sites/default/files/media/Tomato_Standard%5B1%5D.pdf (accessed on 22 July 2024).
- Cumplido-Nájera, C.F.; González-Morales, S.; Ortega-Ortíz, H.; Cadenas-Pliego, G.; Benavides-Mendoza, A.; Juárez-Maldonado, A. The application of copper nanoparticles and potassium silicate stimulate the tolerance to Clavibacter michiganensis in tomato plants. Sci. Hortic. 2019, 245, 82–89. [Google Scholar] [CrossRef]
- Henriquez, C.; Aliaga, C.; Lissi, E. Formation and decay of the ABTS derived radical cation: A comparison of different preparation procedures. Int. J. Chem. Kinet. 2022, 34, 659–665. [Google Scholar] [CrossRef]
- Zhishen, J.; Mengcheng, T.; Jianming, W. The determination of flavonoid contents in mulberry and their scavenging effects on superoxide radicals. Food Chem. 1999, 64, 555–559. [Google Scholar] [CrossRef]
- Nagata, M.; Yamashita, I. Simple Method for Simultaneous Determination of Chlorophyll and Carotenoids in Tomato Fruit. Nippon Shokuhin Kogyo Gakkaishi 1992, 39, 925–928. [Google Scholar] [CrossRef]
- Levine, M.; Katz, A.; Padayatty, S.J.; Wang, Y.; Eck, P.; Kwon, O.; Chen, S.; Lee, J.H.; Vitamin, C. Encyclopedia of Dietary Supplements; Marcel Dekker: New York, NY, USA, 2016; pp. 745–755. ISBN 0824755030. [Google Scholar]
- Amirkhani, M.; Netravali, A.N.; Huang, W.; Taylor, A.G. Investigation of soy protein–based biostimulant seed coating for broccoli seedling and plant growth enhancement. HortScience 2016, 51, 1121–1126. [Google Scholar] [CrossRef]
- Sharif, R.; Mujtaba, M.; Ur Rahman, M.; Shalmani, A.; Ahmad, H.; Anwar, T.; Tianchan, D.; Wang, X. The Multifunctional Role of Chitosan in Horticultural Crops; A Review. Molecules 2018, 23, 872. [Google Scholar] [CrossRef]
- Sathiyabama, M.; Bernstein, N.; Anusuya, S. Chitosan elicitation for increased curcumin production and stimulation of defence response in turmeric (Curcuma longa L.). Ind. Crops Prod. 2016, 89, 87–94. [Google Scholar] [CrossRef]
- Ghasemi Pirbalouti, A.; Malekpoor, F.; Salimi, A.; Golparvar, A. Exogenous application of chitosan on biochemical and physiological characteristics, phenolic content and antioxidant activity of two species of basil (Ocimum ciliatum and Ocimum basilicum) under reduced irrigation. Sci. Hortic. 2017, 217, 114–122. [Google Scholar] [CrossRef]
- Tabassum, M.; Noreen, Z.; Aslam, M.; Shah, A.N.; Usman, S.; Waqas, A.; Alsherif, E.A.; Korany, S.M.; Nazim, M. Chitosan modulated antioxidant activity, inorganic ions homeostasis and endogenous melatonin to improve yield of Pisum sativum L. accessions under salt stress. Sci. Hortic. 2024, 323, 112509. [Google Scholar] [CrossRef]
- Anjum, S.; Ain, Q.; Sarwar, M.; Alam, M.W.; Mushtaq, Z.; Mukhtar, A.M.; Ashraf, I.; Alasmari, A. Chitosan Induced Modification in Morpho-Physiological, Biochemical and Yield Attributes of Pea (Pisum Sativum L.) Under Salt Stress. J. Soil Sci. Plant Nutr. 2025, 25, 1311–1321. [Google Scholar] [CrossRef]
- Holguin-Peña, R.J.; Vargas-López, J.M.; López-Ahumada, G.A.; Rodríguez-Félix, F.; Borbón-Morales, C.G.; Rueda-Puente, E.O. Effect of chitosan and Bacillus amilolyquefasciens on sorghum yield in the indigenous area “Mayos” in Sonora. Terra Latinoam. 2020, 38, 705–714. [Google Scholar] [CrossRef]
- Pincay-Manzaba, D.F.; Cedeño-Loor, J.C.; Espinosa Cunuhay, K.A. Efecto del quitosano sobre el crecimiento y la productividad de Solanum lycopersicum. Cent. Agrícola 2021, 48, 25–31. [Google Scholar]
- González, L.G.; Paz, I.; Martínez, B.; Jiménez, M.C.; Torres, J.A.; Falcón, A. Respuesta agronómica del cultivo del tomate (Solanum lycopersicum, L) var. HA 3019 a la aplicación de quitosana. UTCiencia 2017, 2, 55–60. [Google Scholar]
- Chanaluisa-Saltos, J.S.; Sánchez, A.R.Á.; Reyes-Pérez, J.J.; Lizarde, N.A. Respuesta agronómica y fitosanitaria de plantas de tomate (Solanum lycopersicum L.) a la aplicación de quitosano en condiciones controladas. Rev. Científica Agroecosistemas 2022, 10, 139–145. [Google Scholar]
- Torres Rodríguez, J.A.; Reyes Pérez, J.J.; González Rodríguez, J.C. Efecto de un bioestimulante natural sobre algunos parámetros de calidad en plántulas de tomate (Solanum lycopersicum, L.) bajo condiciones de salinidad. Biotecnia 2016, 18, 11–15. [Google Scholar] [CrossRef]
- González Peña, D.; Costales, D.; Falcón, A.B. Influencia de un polímero de quitosana en el crecimiento y la actividad de enzimas defensivas en tomate (Solanum lycopersicum L.). Cultiv. Trop. 2014, 35, 35–42. [Google Scholar]
- Bianchi, A.R.; Vitale, E.; Guerretti, V.; Palumbo, G.; De Clemente, I.M.; Vitale, L.; Arena, C.; De Maio, A. Antioxidant Characterization of Six Tomato Cultivars and Derived Products Destined for Human Consumption. Antioxidants 2023, 12, 761. [Google Scholar] [CrossRef]
- Reyes-Pérez, J.J.; Rivero-Herrada, M.; Solórzano-Cedeño, A.E.; Carballo-Méndez, F.D.J.; Lucero-Vega, G.; Ruiz-Espinoza, F.H. Aplicación de ácidos húmicos, quitosano y hongos micorrízicos como influyen en el crecimiento y desarrollo de pimiento. Terra Latinoam. 2021, 39, e833. [Google Scholar] [CrossRef]
- Reyes-Pérez, J.J.; Enríquez-Acosta, E.A.; Ramírez-Arrebato, M.Á.; Rodríguez-Pedroso, A.T.; Rivero-Herrada, M. Respuesta de plántulas de cultivares de tomate a la aplicación de quitosano. Cent. Agrícola 2019, 46, 21–29. [Google Scholar]
- Peralta-Antonio, N.; Bernardo de Freitas, G.; Watthier, M.; Silva Santos, R.H. Compost, bokashi y microorganismos eficientes: Sus beneficios en cultivos sucesivos de brócolis. Idesia 2019, 37, 59–66. [Google Scholar] [CrossRef]
- Morales Guevara, D.; Dell Amico Rodríguez, J.; Jerez Mompié, E.; Hernández, Y.D.; Martín Martín, R. Efecto del QuitoMax® en el crecimiento y rendimiento del frijol (Phaseolus vulgaris L.). Cultiv. Trop. 2016, 37, 142–147. [Google Scholar]
- Cardona-Ayala, C.; Jarma-Orozco, A.; Araméndiz-Tatis, H.; Peña-Agresott, M.; Vergara-Córdoba, C. Respuestas fisiológicas y bioquímicas del fríjol caupí (Vigna unguiculata L. Walp.) bajo déficit hídrico. Rev. Colomb. Cienc. 2014, 8, 250–261. [Google Scholar] [CrossRef]
- Pedroza-Sandoval, A.; Trejo-Calzada, R.; Sánchez-Cohen, I.; Samaniego-Gaxiola, J.A.; Yáñez-Chávez, L.G. Evaluation of three pinto bean varieties under drought and irrigation in Durango, Mexico. Agron. Mesoam. 2016, 27, 167–176. [Google Scholar] [CrossRef]
- Bittelli, M.; Flury, M.; Campbell, G.S.; Nichols, E.J. Reduction of transpiration through foliar application of chitosan. Agric. For. Meteorol. 2001, 107, 167–175. [Google Scholar] [CrossRef]
- Iriti, M.; Picchi, V.; Rossoni, M.; Gomarasca, S.; Ludwig, N.; Gargano, M.; Faoro, F. Chitosan antitranspirant activity is due to abscisic acid-dependent stomatal closure. Environ. Exp. Bot. 2009, 66, 493–500. [Google Scholar] [CrossRef]
- Lopez-Moya, F.; Suarez-Fernandez, M.; Lopez-Llorca, L.V. Molecular Mechanisms of Chitosan Interactions with Fungi and Plants. Int. J. Mol. Sci. 2019, 20, 332. [Google Scholar] [CrossRef]







| Variable | Variety | Control | 500 mg L−1 | 1000 mg L−1 | 2000 mg L−1 |
|---|---|---|---|---|---|
| Height (cm) | Floradade | 106.5 ± 3.0 a | 114.27 ± 2.1 a | 117.20 ± 2.1 ab | 116.53 ± 1.8 a |
| Candela F1 | 120.02 ± 2.5 b | 123.47 ± 2.1 bc | 125.9 ± 1.8 bc | 130.47 ± 1.9 c | |
| Stem Diameter (mm) | Floradade | 9.40 ± 0.3 ab | 9.67 ± 0.2 ab | 9.67 ± 0.2 ab | 10.13 ± 0.4 ab |
| Candela F1 | 8.20 ± 0.3 a | 10.30 ± 0.2 b | 10.30 ± 0.3 b | 10.80 ± 0.21 b | |
| Root Dry Weight (RDW) (g) | Floradade | 52.8 ± 7.1 cd | 56.7 ± 5.4 de | 58.3 ± 6.5 de | 70.3 ± 6.5 e |
| Candela F1 | 28.3 ± 2.0 a | 36.7 ± 4.7 ab | 38.7 ± 4.7 abc | 48.2 ± 1.9 bcd | |
| Leaf Dry Weight (LDW) (g) | Floradade | 38.0 ± 2.5 ab | 42.0 ± 3.7 bc | 42.7 ± 2.1 c | 44.0 ± 1.9 c |
| Candela F1 | 32.2 ± 3.7 a | 36.7 ± 1.7 ab | 37.2 ± 2.8 ab | 39.3 ± 2.4 b | |
| Stem Dry Weight (SDW) (g) | Floradade | 23.8 ± 1.6 bc | 26.0 ± 1.3 c | 27.2 ± 1.9 c | 27.0 ± 0.7 c |
| Candela F1 | 15.5 ± 1.1 a | 18.7 ± 1.9 ab | 21.2 ± 2.2 bc | 23.8 ± 1.6 bc | |
| Shoot Dry Weight (ShDW) (g) | Floradade | 64.8 ± 4.6 ab | 65.8 ± 3.3 ab | 69.8 ± 3.7 b | 71.0 ± 2.3 b |
| Candela F1 | 50.7 ± 4.5 a | 55.8 ± 4.1 ab | 57.8 ± 3.5 ab | 63.2 ± 3.2 ab | |
| Shoot/Root (Sh/R) | Floradade | 1.0 ± 0.2 a | 1.2 ± 0.1 a | 1.3 ± 0.1 a | 1.4 ± 0.1 a |
| Candela F1 | 1.1 ± 0.2 a | 1.6 ± 0.3 ab | 2.1 ± 0.4 b | 2.1 ± 0.2 b |
| Variable | Variety | Control | 500 mg L−1 | 1000 mg L−1 | 2000 mg L−1 |
|---|---|---|---|---|---|
| Yield (Kg ha−1) | Floradade | 51,844 ± 6680 ab | 71,882 ± 11,812 bc | 43,119 ± 7675 a | 91,452 ± 17,580 c |
| Candela F1 | 29,293 ± 5927 a | 31,915 ± 8826 a | 28,011 ± 3406 a | 48,456 ± 6594 ab | |
| Total Clusters (TC) | Floradade | 2.07 ± 0.2 d | 2.5 ± 0.2 c | 2.87 ± 0.2 b | 3.07 ± 0.2 a |
| Candela F1 | 1.47 ± 0.1 a | 1.47 ± 0.1 a | 1.27 ± 0.1 a | 2.0 ± 0.2 ab | |
| Number of Harvested Fruits (NHF) | Floradade | 4.87 ± 0.3 b | 5.53 ± 0.5 b | 3.93 ± 0.4 ab | 5.73 ± 0.6 b |
| Candela F1 | 2.87 ± 0.3 b | 2.8 ± 0.3 b | 2.93 ± 0.3 b | 4.13 ± 0.4 a | |
| Polar Diameter of the Fruit (FPD) | Floradade | 15.1 ± 1.3 bc | 17.3 ± 1.3 b | 20.8 ±1.8 a | 21.2 ± 2.5 a |
| Candela F1 | 9.5 ± 1.0 c | 11.5 ± 1.4 b | 11.6 ±1.3 b | 15.4 ± 1.3 a | |
| Equatorial Diameter of the Fruit (FED) | Floradade | 16.7 ± 1.5 c | 20.1 ± 1.4 b | 22.7 ± 1.9 b | 23.6 ± 2.6 a |
| Candela F1 | 11.2 ± 1.1 c | 13.1 ± 1.5 b | 13.4 ± 1.5 b | 17.5 ± 1.4 a |
Disclaimer/Publisher’s Note: The statements, opinions and data contained in all publications are solely those of the individual author(s) and contributor(s) and not of MDPI and/or the editor(s). MDPI and/or the editor(s) disclaim responsibility for any injury to people or property resulting from any ideas, methods, instructions or products referred to in the content. |
© 2025 by the authors. Licensee MDPI, Basel, Switzerland. This article is an open access article distributed under the terms and conditions of the Creative Commons Attribution (CC BY) license (https://creativecommons.org/licenses/by/4.0/).
Share and Cite
Reyes-Pérez, J.J.; Llerena-Ramos, L.T.; Tezara, W.; Reynel, V.; Hernández-Montiel, L.G.; Juárez-Maldonado, A. Chitosan Application Improves the Growth and Physiological Parameters of Tomato Crops. Horticulturae 2025, 11, 878. https://doi.org/10.3390/horticulturae11080878
Reyes-Pérez JJ, Llerena-Ramos LT, Tezara W, Reynel V, Hernández-Montiel LG, Juárez-Maldonado A. Chitosan Application Improves the Growth and Physiological Parameters of Tomato Crops. Horticulturae. 2025; 11(8):878. https://doi.org/10.3390/horticulturae11080878
Chicago/Turabian StyleReyes-Pérez, Juan José, Luis Tarquino Llerena-Ramos, Wilmer Tezara, Víctor Reynel, Luis Guillermo Hernández-Montiel, and Antonio Juárez-Maldonado. 2025. "Chitosan Application Improves the Growth and Physiological Parameters of Tomato Crops" Horticulturae 11, no. 8: 878. https://doi.org/10.3390/horticulturae11080878
APA StyleReyes-Pérez, J. J., Llerena-Ramos, L. T., Tezara, W., Reynel, V., Hernández-Montiel, L. G., & Juárez-Maldonado, A. (2025). Chitosan Application Improves the Growth and Physiological Parameters of Tomato Crops. Horticulturae, 11(8), 878. https://doi.org/10.3390/horticulturae11080878

