Next Article in Journal
Evaluation of the Effects of Asparagus Decline Syndrome on Yield and Quality Parameters over Three Years in Western Europe
Previous Article in Journal
Enhancing Drought Tolerance in Lettuce: The Efficacy of the Seaweed-Derived Biostimulant Cytolan® Stress Applied at Different Growth Stages
 
 
Font Type:
Arial Georgia Verdana
Font Size:
Aa Aa Aa
Line Spacing:
Column Width:
Background:
Article

Storage Temperature Effect on Quality and Shelf-Life of Hericium erinaceus Mushroom

by
Mafalda Silva
1,2,
Manuela Vida
1,
Ana Cristina Ramos
1,3,
Fernando J. Lidon
2,3,
Fernando H. Reboredo
2,3 and
Elsa M. Gonçalves
1,3,*
1
UTI—Unidade de Tecnologia e Inovação, Instituto Nacional de Investigação Veterinária e Agrária, Av. da República, Quinta do Marquês, 2780-157 Oeiras, Portugal
2
Faculdade de Ciências e Tecnologia, Universidade Nova de Lisboa, Campus da Caparica, 2829-516 Caparica, Portugal
3
GeoBiotec—GeoBioTec Research Institute, Faculdade de Ciências e Tecnologia, Universidade Nova de Lisboa, Campus da Caparica, 2829-516 Caparica, Portugal
*
Author to whom correspondence should be addressed.
Horticulturae 2025, 11(2), 158; https://doi.org/10.3390/horticulturae11020158
Submission received: 2 December 2024 / Revised: 27 January 2025 / Accepted: 29 January 2025 / Published: 2 February 2025
(This article belongs to the Section Postharvest Biology, Quality, Safety, and Technology)

Abstract

Hericium erinaceus, commonly known as Lion’s Mane mushroom, presents a challenge for maintaining quality and shelf-life during post-harvest storage. This study investigates the impact of different temperatures (5 °C, 13 °C, and 21 °C) during 14 days of storage, on the physicochemical, microbiological, and bioactive characteristics of H. erinaceus. Respiration was measured as an indicator of physiological aging, showing that higher temperatures increased CO2 production as well as O2 depletion. Physicochemical assessments, including moisture content, pH, titratable acidity, weight loss, browning index, and firmness, demonstrated that refrigeration at 5 °C best preserved the mushrooms’ quality. Storage at 5 °C effectively minimized microbial proliferation, maintaining acceptable levels until day 7 but showing increased contamination by day 14. However, higher temperatures promoted antioxidant activity and total phenolic content, likely due to moisture loss and oxidative stress. These findings highlight the critical role of low-temperature storage in preserving both the physicochemical integrity and functional bioactivity of H. erinaceus, and suggest further research into packaging solutions and preservation strategies to optimize the post-harvest handling of H. erinaceus.

1. Introduction

Hericium erinaceus (Bull.) Pers. (He), commonly known as Lion’s Mane mushroom, is easily identifiable in its mature form by its distinctive fruiting bodies, which differ from the typical mushroom shape. Instead of a cap and stem, it is distinguished by long, fleshy spines that initially appear white, gradually turning yellowish, and eventually brown as they age. Species within the Hericium genus have spines that originate from either branched or unbranched hymenophore structures. The variation in spine length, as well as whether the spines occur individually or in clusters, further distinguishes different species within this genus [1].
Lion’s Mane is highly valued not only for its unique taste and texture but also for its nutritional and medicinal properties. With a rich history rooted in traditional Chinese medicine, it has garnered increasing attention for its diverse health benefits, particularly its neuroprotective effects [2]. This versatile mushroom is a valuable source of minerals [3], B-complex vitamins, including B12, and contains potent antioxidant compounds. These attributes have been linked to its potential role in alleviating major depressive disorders, positioning it as both an edible and functional mushroom [4]. The health-promoting properties of Lion’s Mane are largely attributed to its array of bioactive compounds. Key examples include polysaccharides, known for their immunomodulatory effects [5], and a variety of secondary metabolites such as hericirine [6], hericenone, and erinacine [1,7,8]. These compounds collectively underscore the mushroom’s functional potential and medicinal value.
However, the commercialization of mushrooms, including Lion’s Mane, presents a significant challenge due to their highly perishable nature. Mushrooms have a high moisture content, a neutral pH, and a significant microbial load, all of which make them highly susceptible to quality loss. This includes browning, water loss, and microbial proliferation, which can significantly reduce shelf life to just a few days post-harvest [9,10].
The shelf life of mushrooms is influenced by both extrinsic and intrinsic factors. Extrinsic factors, such as temperature and moisture levels during storage, are critical, as most physical, biochemical, and microbiological deterioration processes are temperature dependent. For instance, mushrooms stored at 20 °C may have a shelf life of up to 48 h, whereas those stored at refrigeration temperatures of 2 °C can remain viable for up to one week [11]. Additionally, maintaining a relative humidity between 85% and 90% is essential to minimize weight loss during post-harvest storage [12].
Intrinsic factors also play a significant role in quality degradation, including high respiration rates, increased enzymatic activity, rapid water loss post-harvest, and microbial contamination, also contribute to the degradation of quality [13]. Notably, mushrooms exhibit exceptionally high respiration rates, reaching levels up to 90% higher than those observed in fruits, further exacerbating their rapid quality decline. Additionally, moisture content, typically ranging from 85% to 95% of fresh weight, makes mushrooms highly susceptible to senescence. Effectively managing these factors can help reduce postharvest deterioration and extend the shelf life of mushrooms [14].
Mushroom browning, a major quality issue, is primarily caused by the oxidation of phenolic compounds, which are catalyzed by enzymes such as polyphenol oxidase (PPO) [15]. This enzymatic browning not only affects appearance but can also influence taste and texture, diminishing the mushroom’s market appeal. In addition to color, texture is widely considered one of the most important indicators of food quality. The softening of mushrooms, a sign of textural degradation, significantly impacts both their shelf life and consumer purchasing decisions [16]. Consequently, postharvest practices, including refrigeration either independently or in conjunction with other methods, are essential for maintaining quality, ensuring safety, and optimizing the marketability of mushrooms [11].
Despite the growing popularity of Lion’s Mane mushrooms, research on their preservation remains limited. Most studies focus on their medicinal and nutritional properties, leaving a gap in knowledge regarding their post-harvest handling, particularly in terms of storage conditions. This study aims to address this gap by investigating the effects of storage temperatures (5 °C, 13 °C, and 21 °C) on various physicochemical properties, respiration rates, microbiological safety, and the bioactive composition of Hericium erinaceus. Through an analysis of key quality indicators such as moisture content, browning, firmness, microbial proliferation, and antioxidant capacity, this research seeks to identify optimal storage conditions that can prolong shelf life while maintaining the nutritional and functional integrity of the mushroom, which is crucial for preserving its medicinal value. Moreover, this study sheds light on critical factors limiting storage efficacy, offering valuable insights for improving post-harvest management practices and advancing commercialization strategies for Hericium erinaceus. By addressing this relatively underexplored aspect of Lion’s Mane mushrooms, the research contributes a new perspective to the growing body of work surrounding their preservation and quality retention.

2. Materials and Methods

2.1. Mushroom Sampling and Preparation

Fresh He fruiting bodies were obtained from “Cogumelos Serra da Lua”, Porto de Mós, Portugal (GPS coordinates: 39.47870, −8.85636), an indoor mushroom producer. Upon arrival at the laboratory, the mushrooms were gently cleaned with a clean paper to remove any residual dirt. After, they were carefully selected for uniform size and weight to minimize variability in the analysis, divided into plastic boxes, ensuring equal distribution of samples and stored at three different constant temperatures: 5 °C, 13 °C, and 21 °C. These temperatures were chosen to represent a range of common storage conditions, from refrigeration (5 °C) to ambient temperature, such as at home or in a supermarket (21 °C).
The storage equipment used was thoroughly sanitized prior to the experiment to prevent cross-contamination and ensure the integrity of the storage condition. The samples were analyzed at specific intervals to capture different aspects of quality degradation during storage. Microbiological analyses were performed at days 0, 7, and 14 to monitor progressive microbial growth and assess food safety over extended storage periods. However, the other determinations were assessed more frequently, at days 0, 2, 4, and 7, to track rapid changes in quality parameters, which are more dynamic during the early stages of storage. The experiments were carried out in triplicates.

2.2. Respiration Measurements

Respiration of the fruiting bodies was measured using the closed-system methodology as largely reported in the literature [17]. After sample preparation, the effect of temperature during storage was evaluated by storing 60 g of mushrooms in airtight glass jars. A rubber septum was affixed to the center of each jar lid to facilitate gas sampling. Gas samples were collected at regular intervals using a needle inserted through the septum, which was connected to a CO2/O2 gas analyzer (PBI Dansensor Checkmate 9900, Ringsted, Denmark). The analyzer recorded the gas composition in terms of volumetric fractions of O2 and CO2. Volumetric fractions are defined as the ratio of the volume of a specific gas to the total volume of the gas mixture. Measurements were conducted periodically throughout the storage period at each temperature condition.
To evaluate the effects of storage time and temperature, two independent samples were prepared, and triplicate determinations were performed for each condition.

2.3. Physico-Chemical Analysis Contenct

Moisture content (MC) was determined following an adaptation of NP 875 (1994). A 2 g sample was weighed and put at 105 °C until a constant weight was achieved.
A sample weighing 5 g of mushroom from each box was homogenized by a blender (ULTRA-TURRAX® T25 basic, IKA®—WERKE, Staufen, Germany) in 50 mL of nano-pure water, for 1 min at 16,000 rpm. One 10 mL dose was taken, and pH was measured by using pH meter (Crison Micro pH 2001, Crison Instruments, Barcelona, Spain) and titratable acidity (TA; g citric acid/100 g product) was determined using a titrator (665 Dosimat, Metrohm, Herisau, Switzerland) following NP-1421 [18].
Weight loss (WL) was determined by measuring the weight of each mushroom plastic box at different storage temperatures, initially on the first day of storage (day 0) and subsequently at specific time (day t). The percentage weight loss was calculated using the following formula:
WL (%) = [(W0 − Wt)/W0] × 100,
where W0 is the weight on the first day and Wt is the weight on the sampling day.
All the determinations were carried out in triplicates for each day and temperature of storage.

2.4. Color and Texture Analysis

The color of the fruiting body surface was assessed through digital camera image records taken at various times and temperatures, along with measurements from a colorimeter (Minolta CR-300, Osaka, Japan) based on CIEL*a*b* parameters. The parameters were determined as: L (L = 0; black and L = 100; white), a (−a = greenness and +a = redness), and b (−b = blueness and +b = yellowness) [19]. The instrument was calibrated using a white tile standard. Color measurements were taken on the surface of each mushroom at four different locations for each box, a total of 8 determinations for each day/temperature. The browning index (BI), which represents the purity of brown color [20], were calculated as follows [21]:
B I = 100 × x 0.31 0.172 ,
where
x = a + 1.75 L 5.645 L + a 3.012 b .
Total color difference (∆E) was calculated following:
E = L * L 0 * 2 + a * a 0 * 2 + b * b 0 * 2 .
The texture of fruiting mushroom bodies was measured through a texture profile analyzer TA.XT2i Texture Analyser (Stable Micro-System Ltd., Godalming, UK). Firmness was determined from the force versus time curves as the maximum force, in Newtons (N).
The samples were compressed to 50% of their original height with test speed of 1 mm/s speed and 0.05 N trigger force using a cylindrical-shaped 55 mm probe. On each measuring day, an average of three mushrooms was measured at each temperature and expressed as N.

2.5. Microbiology Analysis

Samples (5 g) of He mushrooms, stored at the lower and higher temperatures under evaluation (5 °C and 21 °C), were randomly selected and aseptically removed using a flame-sterilized knife and clamp on days 0, 7, and 14 of storage. These temperature conditions (refrigeration and room temperature) are most relevant to typical mushroom storage practices. The 13 °C condition was included to assess the impact of an intermediate temperature on the intrinsic properties of the mushrooms, rather than their microbiological quality.
The colony count at 30 °C was carried out in accordance with ISO 4833-1 [22], the psychrophiles microorganisms were determined according to ISO 17410 [23], and the counting of yeasts and molds was carried out in accordance with ISO 21527-1 [24]. This analysis determines the number of colony-forming units present in a gram of sample (log CFU/g).

2.6. Determination of Total Phenolic Content and Antioxidant Capacity

Methanolic extracts were prepared using 2.5 g of mushrooms in 10 mL methanol for each mushroom sample. The total phenolic content (TPC) was determined by the Folin–Ciocalteu method [25] with some modification. The extracts (150 μL) were diluted with nano-pure water (2400 μL) in test tubes, followed by the addition of 0.25 N Folin–Ciocalteu reagent (Sigma-Aldrich, St. Louis, MO, USA) (150 μL). The mixture was incubated for 3 min, and 300 μL of 1 N Na2CO3 (Merck Millipore, Burlington, MA, USA) was added. The final mixture was incubated for 2 h at room temperature in the dark. Spectrophotometric readings at 725 nm were collected using a JASCO V-530 UV/VIS spectrophotometer (Jasco International, Tokyo, Japan). The TPC were calculated on the basis of the calibration curve of gallic acid (r2 = 0.992, y = 3.34x + 0.099) and expressed as gallic acid equivalents (GAE), per 100 g (mg GAE/100 g) of fresh weight (fw).
The antioxidant capacity was determined through analyses using 2,2-diphenyl-1-picrylhydrazyl (DPPH), 2,2′-azino-bis(3-ethylbenzothiazoline-6-sulfonic acid) (ABTS), and the Ferric Reducing Antioxidant Power (FRAP) assays. These methods, based on modifications from Yu et al. [26], assess different antioxidant activities: both DPPH and ABTS measures lipophilic and/or hydrophilic antioxidants, and FRAP primarily quantifies the reducing power of water-soluble antioxidants [27,28].
For the DPPH assay, a 24 mg DPPH solution in 100 mL methanol was prepared, and the stock solution was diluted to achieve an absorbance of 1.1 ± 0.02 at 515 nm. In each cuvette, 2850 µL of this solution was mixed with 150 µL of Trolox standard, sample, or methanol (blank). After 2 h, absorbance was measured at 515 nm, with results expressed as µmol Trolox Equivalents per 100 g of fresh weight (fw) (µmol TE/100 g fw).
For the ABTS assay, an equal volume of potassium persulfate (Fischer Scientific, Loughborough, UK) (4.8 mM) and ABTS (Sigma-Aldrich, St. Louis, MO, USA) (14 mM) was mixed, stored in the dark for 16 h at room temperature, and adjusted to an absorbance of 1.1 ± 0.02 at 734 nm. Then, 2850 µL of the ABTS solution and 150 µL of the sample or standard were added to cuvettes. After 2 h in the dark, absorbance was measured at 734 nm, with results expressed as µmol TE/100 g fw.
The Radical scavenging activity (RSA; %) was estimated for DPPH and ABTS using the formula:
R S A % = A 0 A 1 A 0 × 100 ,
where A0 is the absorbance value of the ABTS or DPPH solution without samples and A1 is the absorbance value of samples.
For the FRAP, a solution was prepared by mixing acetate buffer (Sigma-Aldrich, St. Louis, MO, USA) (0.3 M, pH 3.6), TPTZ (Alfa Aesar, Haverhill, MA, USA) (10 mM in 40 mM HCl), and ferric chloride (Sigma-Aldrich, St. Louis, MO, USA) (20 mM) in a 10:1:1 ratio. Then, 0.2 mL of the sample, FeSO4 · 7H2O standard, or distilled water (blank) was added to the cuvette, followed by 1.8 mL of the FRAP solution. The mixtures were incubated in the dark for 30 min, and absorbance was measured at 593 nm. Results were expressed as mmol of FeSO4 · 7H2O per 100 g fw.

2.7. Statistical Analysis

All assays were evaluated at least in triplicate. One-way analysis of variance was used to compare all test data using StatisticaTM V8.0 software [29]. Tukey’s HSD test (p < 0.05) was used to detect differences between averages of mushrooms’ properties in all test intervals. Data are expressed as means ± standard deviation (SD).

3. Results and Discussion

3.1. Respiration Measurement

Respiration of the fruiting bodies serves as a reliable indicator of the physiological aging process in fresh mushrooms, as it reflects metabolic activity influenced by both temperature and storage duration. The observed changes in O2 and CO2 concentrations (Figure 1) highlight the temperature-dependent dynamics of mushroom respiration.
At higher temperatures (21 °C), O2 levels decreased rapidly, while CO2 levels increased sharply, peaking after just two days. This rapid shift suggests accelerated metabolic activity under these conditions, which is consistent with the microbial proliferation typically seen in this perishable product at elevated temperatures (see below Section 3.4). In contrast, mushrooms stored at lower temperatures (5 °C and 13 °C) exhibited a slower and more gradual change in gas composition, which is indicative of reduced metabolic rates. Previous studies have examined the impact of temperature on respiration, revealing that low temperatures effectively inhibit the respiration process [30,31]. Our findings line up with these observations, demonstrating a clear correlation between temperature and respiration rate, with higher temperatures leading to a higher respiration. Additionally, Xu et al. [19] reported that storage time significantly influences mushroom respiration, with CO2 production increasing over time, a trend consistent with our results.
The stabilization of CO2 levels after peaking at higher temperatures may result from a decline in metabolic substrate availability or the onset of advanced degradation processes that inhibit normal respiration. This pattern correlates with previous studies on Agaricus bisporus and Lentinula edodes, where elevated temperatures were similarly linked to heightened respiration rates and faster quality deterioration [32]. Therefore, temperature is a key determinant of postharvest quality and shelf life in perishable products like mushrooms. These products remain metabolically active after harvesting, with respiration continuing during storage, making time–temperature control crucial throughout the supply chain. Storage temperature significantly impacts metabolic processes, including respiration, microbial growth, and enzymatic activity, all of which contribute to physiological aging and product deterioration [33]. By slowing metabolic activity, refrigeration effectively reduces the physiological and biochemical changes that lead to quality deterioration, ensuring the mushrooms retain their freshness and market value for longer periods [34].

3.2. Physicochemical Parameters Evaluation

The initial moisture content (MC; %) of fresh He mushrooms was 90.7 ± 0.2%, consistent with previous reports on the high-water content typical of fresh mushrooms [35]. Throughout storage, moisture content decreased significantly, especially at room temperature (21 °C), where it dropped ≈13% by day 7. This reduction in MC indicates water loss due to evaporation, which contributes to textural changes and quality degradation. In contrast, MC remained more stable at 5 °C and 13 °C, suggesting that refrigeration effectively slows the dehydration process and helps retain the quality of the mushrooms over time.
Monitoring pH levels is crucial for evaluating the evolution of food preservation, as variations in pH, often driven by bacterial metabolism, can indicate microbial contamination and subsequent food deterioration [36]. The initial pH value of He (5.8 ± 0.1) was found to be slightly lower than those in related studies, such as pH values for flours made from Pleurotus ostreatus and Agaricus bisporus, which ranged from 6.1 to 6.2 [37]. Over the course of storage, a consistent trend of decreasing pH was observed, particularly at 21 °C, where pH values fluctuated but ended higher (5.82 ± 0.09) on day 7. This is indicative of dynamic microbial and perhaps also biochemical activity. At lower temperatures (5 °C and 13 °C), the decline in pH was more gradual, suggesting that microbial metabolism and organic acid production were slower under these conditions.
Interestingly, the results contrast with findings from López-Gómez et al. [38], who reported an increase in pH during storage of Agaricus species, potentially due to differences in species, initial microbial load, or storage conditions.
Titratable acidity (TA) followed an inverse pattern to pH, increasing steadily during storage, particularly at 21 °C, where it reached 0.31 ± 0.03% by day 7. The rise in acidity is consistent with the production of organic acids by microbial fermentation, which serves as a critical spoilage indicator. The higher TA at 21 °C reflects more rapid microbial proliferation and metabolic activity compared to the slower rate of acid accumulation observed under refrigeration. This observation underscores the dual role of pH and TA as complementary indicators of spoilage and stability in stored mushrooms (Table 1).
Dehydration during the post-harvest period is a critical factor contributing to the deterioration of mushroom quality. The reduction in moisture levels results from cellular damage and internal water transfer within the mushroom tissue [14]. This physiological process not only accelerates the degradation of quality but also manifests in visible symptoms such as shrinkage, textural changes, and weight loss. These factors significantly impact the marketability and consumer appeal of the mushrooms.
Figure 2 presents the changes in weight loss (WL; %) of He mushrooms under three storage temperature conditions. At room temperature (21 °C), WL was rapid and pronounced, with mushrooms losing approximately 28% of their initial weight within the first 2 days of storage. The deceleration in WL may be attributed to a decrease in available surface water as the mushrooms progressively dehydrated. However, the cumulative loss by day 7 at 21 °C rendered the mushrooms severely dried and they became unmarketable. A weight loss of 5% to 10% is generally considered the threshold beyond which mushrooms may no longer be marketable due to visible shrinkage and loss of freshness [39].
Refrigeration effectively maintained WL below the critical 10% threshold. Mushrooms stored at 5 °C experienced minimal WL during the first four days, with a total loss of approximately 8% by day 7. This demonstrates that low-temperature storage significantly slows dehydration by reducing both water evaporation and cellular respiration. In comparison, mushrooms stored at 13 °C exhibited an intermediate WL rate, surpassing the 10% threshold by day 4.
These findings underscore that, in the absence of refrigeration, WL during storage is likely to surpass the recommended threshold, emphasizing the importance of additional preservation strategies to further extend shelf life and maintain product quality.

3.3. Color and Texture

The visual degradation of He mushrooms during storage is presented in Figure 3, illustrating the effects of storage temperature on color over time.
Color L* parameter, which represents lightness, is a key indicator of browning, a common quality issue in stored mushrooms. At the start of storage (t0), mean L* values were 83.6 ± 3.10. During storage, a decrease in L* values was observed, particularly at room temperature (21 °C), signifying the onset of browning. The Browning Index (BI) is a specific measure used to quantify the intensity of enzymatic discoloration, particularly in mushrooms, which occurs due to the interaction between phenolic compounds and oxidative enzymes such as polyphenol oxidase, showed significant differences by day 4 and day 7 for mushrooms stored at 21 °C. The accelerated browning at higher temperatures can be attributed to increased respiration rates, which enhance enzymatic oxidation of phenolic compounds, as suggested by Cao et al. [40]. Other factors contributing to membrane damage include mechanical stress, senescence, and the presence of pathogenic microorganisms [41].
In contrast, mushrooms stored under refrigerated conditions (5 °C and 13 °C) maintained relatively stable L* and BI values, indicating slower browning progression. For both temperatures, the L* values (lightness) remained consistent with minor fluctuations, showing no statistically significant drop that would indicate rapid browning. Similarly, the BI values under these conditions demonstrated limited variability, further underscoring the reduced enzymatic browning activity. The absence of significant differences (p > 0.05) in these values across storage days validates the conclusion that refrigeration effectively slowed browning processes compared to storage at 21 °C, where significant changes were observed by days 4 and 7.
Also, the a (redness–greenness) and b (yellowness–blueness) parameters provide valuable insights into the color changes in He mushrooms during storage. At 5 °C and 13 °C, both parameters remained relatively stable, indicating effective preservation of the mushrooms’ natural coloration. However, at 21 °C, significant increases in a (shift toward reddish tones) and b (increase in yellowness) were observed, particularly by day 4 and day 7.
The extent of color change, represented by ΔE, provides a quantitative assessment of visual degradation. According to Allegretti et al. [42], ΔE values between 3 and 6 indicate noticeable changes, while values between 6 and 12 represent significant changes, and values above 12 reflect considerable alterations. For mushrooms stored at room temperature (21 °C), ΔE exceeded 12 after 2 days, indicating severe color degradation. In contrast, under refrigerated conditions, the ΔE values remained within the “noticeable” range throughout the storage period, highlighting the effectiveness of low temperatures in preserving visual quality.
When comparing the color of He mushroom to those of gray oyster mushroom [43] stored under similar conditions, our results suggest that fresh gray oyster mushrooms exhibited L values of 52.89–59.70, much lower than the initial L values of He (83.6), reflecting the naturally lighter color of He. Moreover, we observed that, while gray oyster mushrooms demonstrated slower browning progression under refrigeration (4 °C), He showed relatively rapid increases in BI and color changes even at 5 °C, emphasizing its higher sensitivity to temperature.
This increased browning susceptibility in He can be attributed to enzymatic activities, particularly those driven by oxidative enzymes, which are highly temperature-sensitive and play a pivotal role in determining critical quality attributes such as color and texture. Those enzymes, such as polyphenol oxidase, catalyze the oxidation of phenolic compounds, producing brown pigments that detract from the visual appeal and marketability of mushrooms. Elevated storage temperatures exacerbate this enzymatic browning by accelerating respiration, which increases oxygen availability and promotes oxidative stress and phenolic oxidation. Although this process is well-documented in species like Agaricus bisporus, it is equally relevant to He [44]. Consequently, maintaining appropriate temperature conditions is crucial for mitigating enzymatic discoloration and preserving the sensory and esthetic qualities of mushrooms.
Firmness is another critical quality parameter that reflects the structural integrity of mushrooms. According to Liufang et al. [45], during postharvest storage, firmness rapidly declines as a result of the degradation of cell wall components, which not only shortens the shelf-life but also increases the risk of microbial contamination. In this study, initial firmness (51.7 ± 23.2 N) was measured on the fruiting body (Table 2). At 5 °C, firmness showed no significant change from the initial level by the end of the 7-day storage period. However, at 21 °C, a significant drop in firmness was observed as early as day 4, indicating rapid softening. According to Zivanovic et al. [46] the loss of firmness in mushrooms is closely tied to cellular changes that occur as they age, particularly due to protein and polysaccharide degradation, hyphae shrinkage, and central vacuole disruption. Although, some studies have reported the loss of firmness during refrigerated storage. Gao et al. [47] have experienced a decrease in firmness from approximately 17 N to 13 N in Agaricus bisporus stored for 16 days at 4 °C. Similarly, Lentinula edodes stored under similar conditions show a decrease in firmness from 3.4 N to 2.1 N [48]. Zhong et al. [49] reported a loss of firmness of approximately 14 N in Hericium erinaceus stored at 15 °C for 9 days.
Interestingly, an increase in firmness was recorded at day 7 for mushrooms stored at 21 °C. This anomaly may be explained by moisture loss, which often results in a drier and harder texture, giving the misleading impression of increased firmness. Such changes underscore the complex interplay between moisture dynamics and structural properties during storage. To better understand this phenomenon, future studies should incorporate enzymatic analyses and detailed structural investigations.
Furthermore, no studies were found evaluating the texture of He mushrooms. Given the unique structure of He, characterized by its long, fleshy spines, its textural behavior during storage may differ significantly from other mushrooms.

3.4. Microbiology Evaluation

While several studies have evaluated the microbiological quality of fresh mushrooms, specific data on He remain limited. Microbial load assessments, including aerobic plate counts (APC), yeasts and molds (Y&M), and psychrotrophic bacteria (PSY), provide crucial indicators of product safety and spoilage potential. In this study, the initial microbial loads of He were 4.6, 4.9, and 4.2 log CFU/g, respectively. Microbiological results for mushrooms stored at 5 °C and 21 °C are shown in Figure 4. Due to visible spoilage, microbiological analyses for samples stored at 21 °C were terminated after 7 days, highlighting the rapid microbial proliferation under room temperature conditions.
The APC exceeded the levels reported for Lentinula edodes and Pleurotus eryngii (4.3–5.6 log CFU/g at 4 °C after 7 days), as stated by Schill et al. [13]. At 21 °C, APC increased rapidly to 7.9 log CFU/g by day 7, a 17% increase compared to refrigerated samples at the same time. These results indicate that refrigeration at 5 °C can delay microbial growth but may not fully ensure safety beyond 7 days, as AP counts surpassed the Portuguese reference thresholds for food safety [50].
Yeasts and molds (Y&M), being major contributors to food spoilage, are crucial indicators of the storage viability and preservation of the food matrix [36]. YM also contributed significantly to the spoilage of He. At day 7, Y&M counts were markedly higher in mushrooms stored at 21 °C (8.8 log CFU/g) compared to 5 °C (5.7 log CFU/g). By day 14, Y&M counts under refrigeration increased slightly to 6.4 log CFU/g, but this rise was not statistically significant. The rapid proliferation of Y&M at room temperature underscores the critical role of refrigeration in controlling fungal growth and preserving the mushrooms’ storage viability. Visible spoilage was observed in mushrooms stored at 21 °C as early as day 7, leading to the termination of further microbiological analysis. The rapid microbial growth and severe deterioration at room temperature highlight the inadequacy of ambient storage for He. Even under refrigeration at 5 °C, by day 14 microbial counts reached levels by that compromised the mushrooms’ safety and marketability.
Psychrotrophic bacteria followed a similar growth pattern to mesophilic bacteria, reflecting their ability to thrive under low temperatures. Initial psychrotrophic counts were 4.2 log CFU/g, comparable to APC levels at 30 °C. By day 14, psychrotrophic counts under refrigeration reached 8.0 log CFU/g, marking a 19% increase during the second week of storage. Dominance of Pseudomonas spp., a common psychrotrophic spoilage bacterium, was consistent with findings in other studies on refrigerated mushrooms [10,51,52]. These results highlight the importance of controlling psychrotrophic populations to maintain the quality and safety of refrigerated He.
The results for He align with findings for other mushrooms, such as Agaricus bisporus and Pleurotus ostreatus [38], where microbiological contaminations increased significantly during storage at similar conditions. However, the rapid proliferation of microbial populations at 21 °C for He suggests a higher spoilage susceptibility compared to other species, probably due to the morphology of the fruiting body.
This study underscores the essential role of refrigeration (5 °C) in slowing microbial growth and extending the shelf life of He. However, even under refrigeration, microbial proliferation restricts the mushrooms’ shelf life to approximately seven days. According to the recommended limits set by the Portuguese National Institute of Health [50], microbial counts should remain below 10⁶ CFU/g, underscoring the need for additional post-harvest preservation techniques to ensure the safety and marketability of the studied mushroom.

3.5. Total Phenolic Content and Antioxidant Capacity

Phenolic compounds are important bioactive substances with antioxidant, antibacterial, and anti-inflammatory properties [53]. Their ability to neutralize free radicals plays a significant role in protecting cells from oxidative damage, making them vital indicators of the functional quality of foods [54]. In this study, the total phenolic content (TPC) of He was evaluated during storage under different temperature conditions, with antioxidant capacity assessed using DPPH, ABTS, and FRAP assays to provide a robust analysis of the mushrooms’ antioxidant properties.
The TPC result for the He, 35.8 mg GAE/100 g fresh weight (fw), are consistent with values reported in the literature (3.27–3.99 mg GAE/g dry basis (db)) [55,56].
Over storage, the TPC of mushrooms stored at room temperature (21 °C) increased markedly, nearly doubling by day 7 compared to the initial values (Figure 5). This increase may be attributed to moisture loss, which concentrates phenolic compounds, as well as the potential stimulation of phenolic compound synthesis or release under oxidative stress at higher temperature [57]. On the other hand, TPC changes at lower temperatures (5 °C and 13 °C) were relatively modest, indicating that refrigeration mitigates the conditions that promote significant phenolic content alterations.
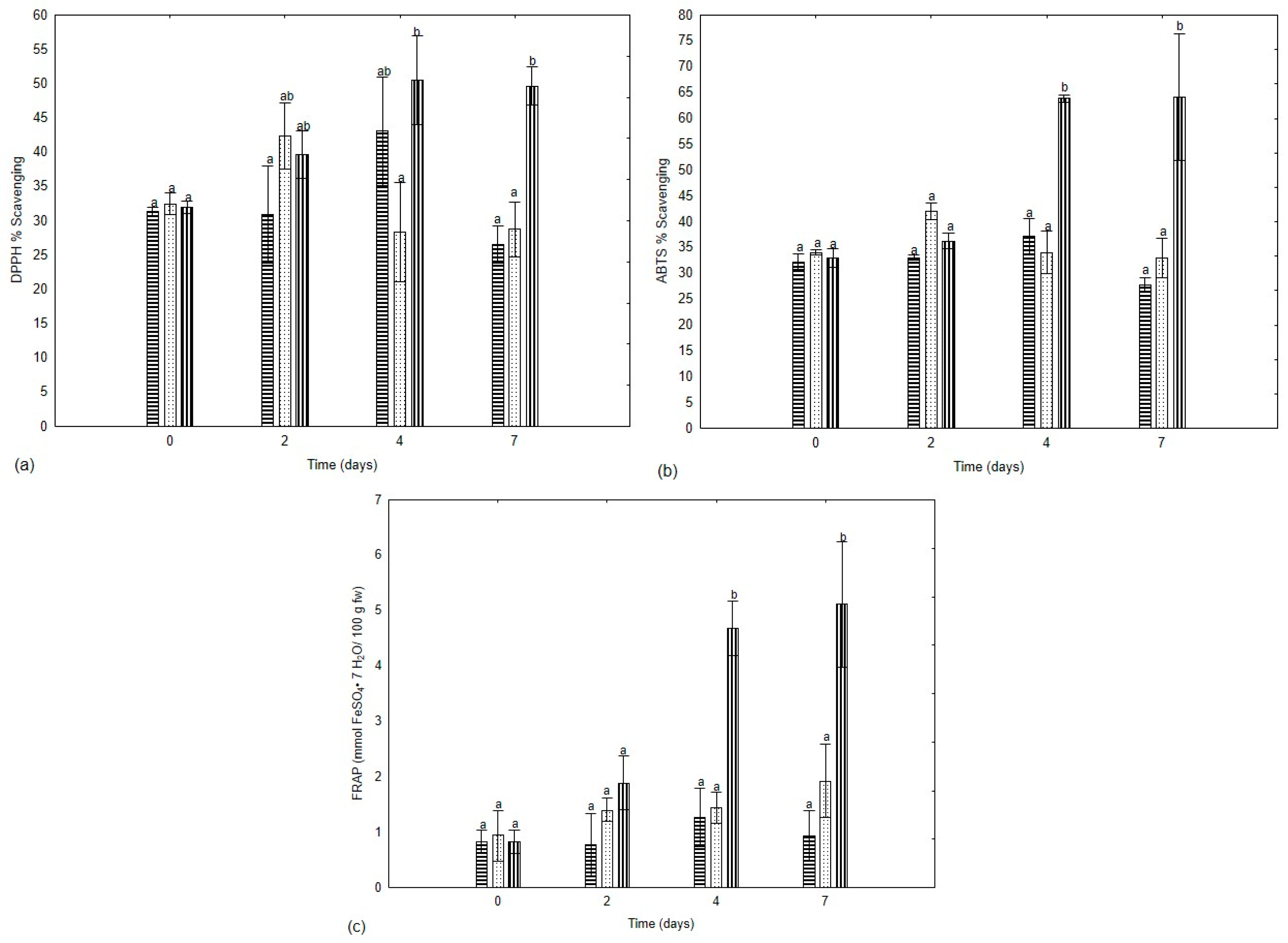
The initial antioxidant activity measured by DPPH was 2244 µmol TE/100 g fw. At the start of storage, DPPH scavenging activity was similar across all temperatures (31.9%) with no significant differences (p > 0.05) (Figure 6a). These values contrast with those reported by Gasecka et al. [57], who observed a higher inhibition rate of 76%. This discrepancy may be attributed to variations in extraction protocols and cultivation practices, including differences in substrate composition and environmental conditions during growth. Such factors can significantly influence the bioactive compound profile and antioxidant activity of mushrooms [58,59].
During the first four days, the activity increased slightly across all conditions, reflecting a rise in antioxidant potential. By day 7, mushrooms stored at 21 °C showed a substantial increase in DPPH activity, reaching 50%, significantly higher than those stored at 5 °C (27%) and 13 °C (29%) (p < 0.05). The elevated DPPH activity at higher temperatures line up with studies by Bakir et al. [60], which found that low temperatures generally reduce antioxidant activity in mushrooms. Although the samples were harvested on the same day and stored under identical conditions, variations in maturity, indicated by differences in spine length, along with uneven levels of discoloration, likely accounted for the higher standard deviation observed.
The initial antioxidant activity measured by ABTS was 7461 µmol TE/100 g fw. Consistent with the DPPH results, the ABTS scavenging activity (Figure 6b) at the beginning of storage showed no statistically significant differences across all temperatures (p > 0.05), with values averaging approximately 33.1%. However, by day 4, samples stored at 21 °C exhibited a marked increase, reaching 64%, and further increased to 64% by day 7. In contrast, mushrooms stored at 5 °C and 13 °C showed stable and lower scavenging activity over the storage period (28% and 33%, respectively). These results suggest that higher temperatures enhance the release or activation of antioxidant compounds [61], possibly due to stress responses in the mushroom tissue.
FRAP values were similar across all temperatures, approximately 0.9 mmol FeSO4·7H2O/100 g fw. Over time, FRAP values increased significantly in mushrooms stored at 21 °C, highlighting a marked enhancement in antioxidant potential. In contrast, samples stored at 5 °C and 13 °C exhibited a slower and more gradual increase, with final values significantly lower (p < 0.05) than those at 21 °C, showing differences of approximately 82% and 62%, respectively.
This consistent pattern across DPPH, ABTS, and FRAP assays highlights the role of elevated temperatures in stimulating oxidative stress responses, thereby enhancing antioxidant activity.
In this study, a positive correlation (p < 0.05; r = 0.5901, r = 0.6061, and r = 0.6701) was found between TPC and DPPH, ABTS and FRAP, respectively. The observed correlation between phenolic and antioxidant capacity was consistently positive, indicating that higher phenolic content exerts a beneficial influence on antioxidant capacity. This finding correlates with previous studies [62,63], which suggest that phenolic compounds significantly contribute to the antioxidant capacity of mushrooms.
The observed high standard deviation in TPC and antioxidant activity may be attributed to the inherent heterogeneity in the bioactive composition of He. Variability in the levels of phenolic compounds and antioxidant activity is common across different parts of the mushroom (e.g., cap, stipe, or mycelium) due to differential distribution of these compounds. Previous studies have shown that various mushroom species exhibit distinct TPC and antioxidant profiles depending on the part of the mushroom analyzed, such as the cap and stipe [64,65,66].

4. Conclusions

This research emphasizes the significant impact of storage temperature on the post-harvest quality and shelf life of He. Among the conditions evaluated, storing at 5 °C was found to be the most effective in minimizing weight loss, browning, and microbial contamination, while preserving firmness and essential physicochemical characteristics. In contrast, higher storage temperatures, although negatively affecting texture and overall quality, led to higher concentrations of bioactive compounds, including phenolics and antioxidants.
The results demonstrate a complex interplay between storage temperature and product quality. While refrigeration is crucial for maintaining market readiness and safety, higher temperatures may boost bioactive compound levels, but this comes at the cost of other quality attributes. This study highlights the need to develop innovative preservation methods that balance these findings to maximize the health benefits of the mushroom without compromising shelf life or marketability.
The practical implications of this study are vital for reducing waste and enhancing the sustainability of He in the marketplace. By utilizing optimized storage strategies, it is possible to extend the mushroom’s shelf life and decrease post-harvest losses, thus supporting its commercial success.
However, the research also points to the necessity of further exploration into alternative preservation technologies. Investigating solutions like edible coatings, vacuum sealing, and advanced packaging systems will be key in devising more effective ways to maintain product quality while meeting safety standards. Continued research will be essential in striking a balance between reducing waste and enhancing the functional properties of He.

Author Contributions

M.S., M.V., A.C.R. and E.M.G.: performed the experiments and analyzed the data; conceived and designed the experiments: A.C.R., M.S. and E.M.G.; analyzed and interpreted the data: M.S. and E.M.G.; writing—original draft: M.S.; writing–review and editing: E.M.G., F.H.R. and F.J.L. All authors have read and agreed to the published version of the manuscript.

Funding

The authors acknowledge financial support from FCT, through the strategic project UIDB/04035/2020 (https://doi.org/10.54499/UIDB/04035/2020) granted to GeoBioTec Research Institute.

Data Availability Statement

The original contributions presented in this study are included in the article. Further inquiries can be directed to the corresponding author.

Acknowledgments

The authors express their gratitude to Cláudia Correia for helping to conduct the microbiological analyses.

Conflicts of Interest

The authors declare no conflicts of interest.

References

  1. Karbowy-Thongbai, B.; Rapior, S.; Wittstein, K.; Hyde, K.; Stadler, M. Hericium erinaceus, an amazing medicinal mushroom. Mycol. Prog. 2015, 14, 91. [Google Scholar] [CrossRef]
  2. Szućko-Kociuba, I.; Trzeciak-Ryczek, A.; Kupnicka, P.; Chlubek, D. Neurotrophic and Neuroprotective Effects of Hericium erinaceus. Int. J. Mol. Sci. 2023, 24, 15960. [Google Scholar] [CrossRef] [PubMed]
  3. Heleno, S.A.; Barros, L.; Martins, A.; Queiroz, M.J.R.P.; Morales, P.; Fernández-Ruiz, V.; Ferreira, I.C.F.R. Chemical composition, antioxidant activity and bioaccessibility studies in phenolic extracts of two Hericium wild edible species. LWT-Food Sci. Technol. 2015, 63, 475–481. [Google Scholar] [CrossRef]
  4. Ba, D.M.; Gao, X.; Al-Shaar, L.; Muscat, J.E.; Chinchilli, V.M.; Beelman, R.B.; Richie, J.P. Mushroom intake and depression: A population-based study using data from the US National Health and Nutrition Examination Survey (NHANES), 2005–2016. J. Affect. Disord. 2021, 294, 686–692. [Google Scholar] [CrossRef] [PubMed]
  5. Shi, X.; Zhang, X.; Wang, Y.; Zhao, Y.; Wang, J. Polysaccharides from Hericium erinaceus and its immuno-modulatory effects on RAW 264.7 macrophages. Int. J. Biol. Macromol. 2024, 278, 134947. [Google Scholar] [CrossRef] [PubMed]
  6. Li, W.; Zhou, W.; Lee, D.-S.; Shim, S.H.; Kim, Y.-C.; Kim, Y.H. Hericirine, a novel anti-inflammatory alkaloid from Hericium erinaceum. Tetrahedron Lett. 2014, 55, 4086–4090. [Google Scholar] [CrossRef]
  7. Nagano, M.; Shimizu, K.; Kondo, R.; Hayashi, C.; Sato, D.; Kitagawa, K.; Ohnuki, K. Reduction of depression and anxiety by 4 weeks Hericium erinaceus intake. Biomed. Res. 2010, 31, 231–237. [Google Scholar] [CrossRef]
  8. Ratto, D.; Corana, F.; Mannucci, B.; Priori, E.C.; Cobelli, F.; Roda, E.; Ferrari, B.; Occhinegro, A.; Di Iorio, C.; De Luca, F.; et al. Hericium erinaceus Improves Recognition Memory and Induces Hippocampal and Cerebellar Neurogenesis in Frail Mice during Aging. Nutrients 2019, 11, 715. [Google Scholar] [CrossRef] [PubMed]
  9. Venturini, M.E.; Reyes, J.E.; Rivera, C.S.; Oria, R.; Blanco, D. Microbiological quality and safety of fresh cultivated and wild mushrooms commercialized in Spain. Food Microbiol. 2011, 28, 1492–1498. [Google Scholar] [CrossRef]
  10. Qiu, W.; Huang, Y.; Zhao, C.; Lin, Z.; Lin, W.; Wang, Z. Microflora of fresh white button mushrooms (Agaricus bisporus) during cold storage revealed by high-throughput sequencing and MALDI-TOF mass spectrometry finger-printing. J. Sci. Food Agric. 2019, 99, 4498–4503. [Google Scholar] [CrossRef] [PubMed]
  11. Silva, M.; Ramos, A.C.; Lidon, F.J.; Reboredo, F.H.; Gonçalves, E.M. Pre- and Postharvest Strategies for Pleurotus ostreatus Mushroom in a Circular Economy Approach. Foods 2024, 13, 1464. [Google Scholar] [CrossRef]
  12. Diamantopoulou, P.; Phillippoussis, A. Cultivated Mushrooms: Preservation and Processing. In Handbook of Vegetable Preservation and Processing; CRC Press: Boca Raton, FL, USA, 2015; pp. 516–547. [Google Scholar]
  13. Schill, S.; Stessl, B.; Meier, N.; Tichy, A.; Wagner, M.; Ludewig, M. Microbiological safety and sensory quality of culti-vated mushrooms (Pleurotus eryngii, Pleurotus ostreatus, and Lentinula edodes) at retail level and post-retail storage. Foods 2021, 10, 816. [Google Scholar] [CrossRef] [PubMed]
  14. Zhang, K.; Pu, Y.Y.; Sun, D.W. Recent advances in quality preservation of postharvest mushrooms (Agaricus bisporus): A review. Trends Food Sci. Technol. 2018, 78, 72–82. [Google Scholar] [CrossRef]
  15. Im, J.-H.; Yu, H.-W.; Park, C.-H.; Kim, J.-W.; Shin, J.-H.; Jang, K.-Y.; Park, Y.-J. Phenylalanine Ammonia-Lyase: A Key Gene for Color Discrimination of Edible Mushroom Flammulina velutipes. J. Fungi 2023, 9, 339. [Google Scholar] [CrossRef] [PubMed]
  16. Li, Y.; Ding, S.; Kitazawa, H.; Wang, Y. Storage temperature effect on quality related with cell wall metabolism of shiitake mushrooms (Lentinula edodes) and its modeling. Food Packag. Shelf Life 2022, 32, 100865. [Google Scholar] [CrossRef]
  17. Iqbal, T.; Rodrigues, F.A.S.; Mahajan, P.V.; Kerry, J.P. Effect of time, temperature, and slicing on respiration rate of mushrooms. J. Food Sci. 2009, 74, 6. [Google Scholar] [CrossRef] [PubMed]
  18. NP 1421; Foodstuffs Derived from Fruits and Vegetables: Determination of Acidity. Instituto Português da Qualidade: Lisbon, Portugal, 1977.
  19. Xu, Y.; Tian, Y.; Ma, R.; Liu, Q.; Zhang, J. Effect of plasma activated water on the postharvest quality of button mushrooms, Agaricus bisporus. Food Chem. 2016, 197, 436–444. [Google Scholar] [CrossRef] [PubMed]
  20. Palou, E.; López-Malo, A.; Barbosa-Cánovas, G.V.; Welti-Chanes, J.; Swanson, B.G. Polyphenoloxidase Activity and Color of Blanched and High Hydrostatic Pressure Treated Banana Puree. J. Food Sci. 1999, 64, 42–45. [Google Scholar] [CrossRef]
  21. Castañón, X.; Argaiz, A.; López-Malo, A. Effect of storage temperature on the microbial and color stability of banana purée with addition of vanillin or potassium sorbate. Food Sci. Technol. Int. 1999, 5, 51–58. [Google Scholar] [CrossRef]
  22. ISO 4833-1:2013; Microbiology of the Food Chain—Horizontal Method for the Enumeration of Microorganisms. ISO: Geneva, Switzerland, 2013.
  23. ISO 17410; Microbiology of Food and Animal Feeding Stuffs—Horizontal Method for the Enumeration of Psychrotrophic Microorganisms. ISO: Geneva, Switzerland, 2001.
  24. ISO 21527-1; Microbiology of Food and Animal Feeding Stuffs—Horizontal Method for the Enumeration of Yeasts and Moulds. ISO: Geneva, Switzerland, 2008.
  25. Singleton, V.L.; Orthofer, R.; Lamuela-Raventós, R.M. Analysis of Total Phenols and Other Oxidation Substrates and Antioxidants by Means of Folin-Ciocalteu Reagent. Methods Enzymol. 1999, 299, 152–178. [Google Scholar] [CrossRef]
  26. Yu, M.; Gouvinhas, I.; Rocha, J.; Barros, A.I.R.N.A. Phytochemical and antioxidant analysis of medicinal and food plants towards bioactive food and pharmaceutical resources. Sci. Rep. 2021, 11, 10041. [Google Scholar] [CrossRef] [PubMed]
  27. Kedare, S.B.; Singh, R.P. Genesis and development of DPPH method of antioxidant assay. J. Food Sci. Technol. 2011, 48, 412–422. [Google Scholar] [CrossRef] [PubMed]
  28. Munteanu, I.G.; Apetrei, C. Analytical Methods Used in Determining Antioxidant Activity: A Review. Int. J. Mol. Sci. 2021, 22, 3380. [Google Scholar] [CrossRef]
  29. StatSoft, Inc. STATISTICA (Data Analysis Software System), Version 8.0; StatSoft, Inc.: Tulsa, OK, USA, 2007. [Google Scholar]
  30. Wu, P.-R.; Hwang, S.-G.; Chen, C.-L.; Lin, H.-L. Effects of Storage Duration and Temperature on Browning and Quality of Postharvest Bamboo Shoots. Horticulturae 2024, 10, 616. [Google Scholar] [CrossRef]
  31. Zan, X.; Shao, Z.-Y.; Yang, Y.; Jia, W.; Sun, L.; Cui, F.-J.; Li, W.; Zhu, H.-A.; Sun, W.-J.; Zhang, J.-S. Improving overall postharvest quality of straw mushroom using an accessible and low-cost strategy. J. Food Compos. Anal. 2024, 128, 106036. [Google Scholar] [CrossRef]
  32. Castellanos-Reyes, K.; Villalobos-Carvajal, R.; Beldarrain-Iznaga, T. Fresh mushroom preservation techniques. Foods 2021, 10, 2126. [Google Scholar] [CrossRef]
  33. Claassen, G.D.H.; Kirst, P.; Van, A.T.T.; Snels, J.C.M.A.; Guo, X.; van Beek, P. Integrating time-temperature dependent deterioration in the economic order quantity model for perishable products in multi-echelon supply chains. Omega 2024, 125, 103041. [Google Scholar] [CrossRef]
  34. Niu, Y.; Yun, J.; Bi, Y.; Wang, T.; Zhang, Y.; Liu, H.; Zhao, F. Predicting the shelf life of postharvest Flammulina velutipes at various temperatures based on mushroom quality and specific spoilage organisms. Postharvest Biol. Technol. 2020, 167, 111235. [Google Scholar] [CrossRef]
  35. Zheng, C.; Li, J.; Liu, H.; Wang, Y. Review of postharvest processing of edible wild-grown mushrooms. Food Res. Int. 2023, 173, 113223. [Google Scholar] [CrossRef] [PubMed]
  36. Borges, M.M.; Simões, A.S.; Miranda, C.; Sales, H.; Pontes, R.; Nunes, J. Microbiological assessment of white button mushrooms with an edible film coating. Foods 2023, 12, 3061. [Google Scholar] [CrossRef]
  37. Bermúdez-Gómez, P.; Fernández-López, J.; Pérez-Clavijo, M.; Viuda-Martos, M. Evaluation of sample size influence on chemical characterization and in vitro antioxidant properties of flours obtained from mushroom stems coproducts. Antioxidants 2024, 13, 349. [Google Scholar] [CrossRef] [PubMed]
  38. López-Gómez, A.; Ros-Chumillas, M.; Navarro-Martínez, A.; Barón, M.; Navarro-Segura, L.; Taboada-Rodríguez, A.; Marín-Iniesta, F.; Martínez-Hernández, G.B. Packaging of Fresh Sliced Mushrooms with Essential Oils Vapours: A New Technology for Maintaining Quality and Extending Shelf Life. Foods 2021, 10, 1196. [Google Scholar] [CrossRef]
  39. Mahajan, P.V.; Oliveira, F.A.R.; Macedo, I. Effect of temperature and humidity on the transpiration rate of the whole mushrooms. J. Food Eng. 2008, 84, 281–288. [Google Scholar] [CrossRef]
  40. Cao, Y.; Wu, L.; Xia, Q.; Yi, K.; Li, Y. Novel Post-Harvest Preservation Techniques for Edible Fungi: A Review. Foods 2024, 13, 1554. [Google Scholar] [CrossRef] [PubMed]
  41. Marçal, S.; Sousa, A.S.; Taofiq, O.; Antunes, F.; Morais, A.M.M.B.; Freitas, A.C.; Barros, L.; Ferreira, I.C.F.R.; Pintado, M. Impact of postharvest preservation methods on nutritional value and bioactive properties of mushrooms. Trends Food Sci. Technol. 2021, 108, 128–139. [Google Scholar] [CrossRef]
  42. Allegretti, O.; Travan, L.; Cividini, R. Drying techniques to obtain white beech. In Proceedings of the COST E53 Meeting: Quality Control for Wood and Wood Products, Bled, Slovenia, 21–23 April 2009; pp. 7–13. [Google Scholar]
  43. Suhaili, M.; Nor-Khaizura, M.-A.R.; Nur Hanani, Z.A.; Ismail-Fitry, M.R.; Samsudin, N.; Jambari, N. Assessment of microbiological safety and physicochemical changes of grey oyster mushroom (Pleurotus sajor-caju) during storage at 4 °C and 25 °C. Sains Malays. 2021, 50, 2993–3002. [Google Scholar] [CrossRef]
  44. Sami, R.; Elhakem, A.; Alharbi, M.; Benajiba, N.; Almatrafi, M.; Abdelazez, A.; Helal, M. Evaluation of Antioxidant Activities, Oxidation Enzymes, and Quality of Nano-Coated Button Mushrooms (Agaricus bisporus) during Storage. Coatings 2021, 11, 149. [Google Scholar] [CrossRef]
  45. Liufang, Y.; Wu, Y.; Zhou, H.; Qu, H.; Yang, H. Recent advances in the application of natural products for postharvest edible mushroom quality preservation. Foods 2024, 13, 2378. [Google Scholar] [CrossRef] [PubMed]
  46. Zivanovic, S.; Buescher, R.W.; Kim, K.S. Textural changes in mushrooms (Agaricus bisporus) associated with tissue ultrastructure and composition. J. Food Sci. 2000, 65, 1404–1408. [Google Scholar] [CrossRef]
  47. Gao, M.; Feng, L.; Jiang, T. Browning inhibition and quality preservation of button mushroom (Agaricus bisporus) by essential oils fumigation treatment. Food Chem. 2014, 149, 107–113. [Google Scholar] [CrossRef]
  48. Jiang, T.; Feng, L.; Wang, Y. Effect of alginate/nano-Ag coating on microbial and physicochemical characteristics of shiitake mushroom (Lentinus edodes) during cold storage. Food Chem. 2013, 141, 954–960. [Google Scholar] [CrossRef] [PubMed]
  49. Zhong, Y.; Cui, Y.; Wang, X.; Cong, J.; Yu, J.; Yan, S.; Bai, J.; Xu, H.; Li, M. Electron-beam generated X-Ray irradiation could retard the senescence of postharvest Hericium erinaceus via regulating reactive oxygen metabolism. Food Biosci. 2024, 59, 104002. [Google Scholar] [CrossRef]
  50. Instituto Nacional de Saúde Doutor Ricardo Jorge. Interpretação de Resultados de Ensaios Microbiológicos em Alimentos Prontos para Consumo e em Superfícies do Ambiente de Preparação e Distribuição Alimentar: Valores-Guia; INSA IP: Lisbon, Portugal, 2019; Available online: https://repositorio.insa.pt//handle/10400.18/5610 (accessed on 20 November 2024).
  51. Simón, A.; González-Fandos, E.; Tobar, V. The sensory and microbiological quality of fresh sliced mushroom (Agaricus bisporus L.) packaged in modified atmospheres. Int. J. Food Sci. Technol. 2005, 40, 943–952. [Google Scholar] [CrossRef]
  52. Manthou, E.; Tarlak, F.; Lianou, A.; Ozdemir, M.; Zervakis, G.I.; Panagou, E.Z.; Nychas, G.-J.E. Prediction of indigenous Pseudomonas spp. growth on oyster mushrooms (Pleurotus ostreatus) as a function of storage temperature. LWT-Food Sci. Technol. 2019, 111, 506–512. [Google Scholar] [CrossRef]
  53. Lopez-Corona, A.V.; Valencia-Espinosa, I.; González-Sánchez, F.A.; Sánchez-López, A.L.; Garcia-Amezquita, L.E.; Garcia-Varela, R. Antioxidant, Anti-Inflammatory and Cytotoxic Activity of Phenolic Compound Family Extracted from Raspberries (Rubus idaeus): A General Review. Antioxidants 2022, 11, 1192. [Google Scholar] [CrossRef] [PubMed]
  54. González, G.C.; Rugolo, M.; Finimundy, T.C.; Ohaco, E.; Pildain, M.B.; Barroetaveña, C. Impact of Air- and Freeze-Drying Methods on Total Phenolic Content and Antioxidant Activity of Fistulina antarctica and Ramaria patagonica Fructification. Appl. Sci. 2023, 13, 8873. [Google Scholar] [CrossRef]
  55. Atila, F. Comparative evaluation of the antioxidant potential of Hericium erinaceus, Hericium americanum and Hericium coralloides. Acta Sci. Pol. Hortorum Cultus 2019, 18, 97–106. [Google Scholar] [CrossRef]
  56. Alkin, M.; Söğüt, E.; Seydim, A.C. Determination of bioactive properties of different edible mushrooms from Turkey. J. Food Meas. Charact. 2021, 15, 3608–3617. [Google Scholar] [CrossRef]
  57. Gąsecka, M.; Siwulski, M.; Magdziak, Z.; Budzyńska, S.; Stuper-Szablewska, K.; Niedzielski, P.; Mleczek, M. The effect of drying temperature on bioactive compounds and antioxidant activity of Leccinum scabrum (Bull.) Gray and Hericium erinaceus (Bull.) Pers. J. Food Sci. Technol. 2020, 57, 513–525. [Google Scholar] [CrossRef]
  58. Song, T.; Zhang, Z.; Liu, S.; Chen, J.; Cai, W. Effect of Cultured Substrates on the Chemical Composition and Biological Activities of Lingzhi or Reishi Medicinal Mushroom, Ganoderma lucidum (Agaricomycetes). Int. J. Med. Mushrooms 2020, 22, 1183–1190. [Google Scholar] [CrossRef]
  59. Kumar, K.; Mehra, R.; Guiné, R.P.F.; Lima, M.J.; Kumar, N.; Kaushik, R.; Ahmed, N.; Yadav, A.N.; Kumar, H. Edible Mushrooms: A Comprehensive Review on Bioactive Compounds with Health Benefits and Processing Aspects. Foods 2021, 10, 2996. [Google Scholar] [CrossRef] [PubMed]
  60. Bakir, T.; Karadeniz, M.; Unal, S. Investigation of antioxidant activities of Pleurotus ostreatus stored at different temperatures. Food Sci. Nutr. 2018, 6, 1040–1044. [Google Scholar] [CrossRef]
  61. Tan, X.; Sun, J.; Xu, Z.; Li, H.; Hu, J.; Ning, H.; Qin, Z.; Pei, H.; Sun, T.; Zhang, X. Effect of heat stress on production and in-vitro antioxidant activity of polysaccharides in Ganoderma lucidum. Bioprocess Biosyst. Eng. 2018, 41, 135–141. [Google Scholar] [CrossRef] [PubMed]
  62. Yildiz, O.; Can, Z.; Laghari, A.Q.; Şahin, H.; Malkoç, M. Wild edible mushrooms as a natural source of phenolics and antioxidants. J. Food Biochem. 2015, 39, 148–154. [Google Scholar] [CrossRef]
  63. Chun, S.; Gopal, J.; Muthu, M. Antioxidant activity of mushroom extracts/polysaccharides—Their antiviral properties and plausible anti-COVID-19 properties. Antioxidants 2021, 10, 1899. [Google Scholar] [CrossRef]
  64. Mishra, K.K.; Pal, R.S.; Bhatt, J.C. Comparison of antioxidant properties in cap and stipe of Lentinula edodes—A medicinal mushroom. Emir. J. Food Agric. 2015, 27, 562–569. [Google Scholar] [CrossRef]
  65. Ferreira, I.C.F.R.; Baptista, P.; Vilas-Boas, M.; Barros, L. Free-radical scavenging capacity and reducing power of wild edible mushrooms from northeast Portugal: Individual cap and stipe activity. Food Chem. 2007, 100, 1511–1516. [Google Scholar] [CrossRef]
  66. Ribeiro, B.; Lopes, R.; Andrade, P.B.; Seabra, R.M.; Gonçalves, R.F.; Baptista, P.; Quelhas, I.; Valentão, P.C. Comparative study of phytochemicals and antioxidant potential of wild edible mushroom caps and stipes. Food Chem. 2008, 110, 47–56. [Google Scholar] [CrossRef]
Figure 1. Changes in the glass jar headspace gas composition CO2 (a) and O2 (b) of Hericium erinaceus (He) mushroom, at different temperatures (5 °C, 13 °C and 21 °C) during storage. Values are expressed as the mean ± SD of three replicates. Different letters indicate significant differences (p < 0.05).
Figure 1. Changes in the glass jar headspace gas composition CO2 (a) and O2 (b) of Hericium erinaceus (He) mushroom, at different temperatures (5 °C, 13 °C and 21 °C) during storage. Values are expressed as the mean ± SD of three replicates. Different letters indicate significant differences (p < 0.05).
Horticulturae 11 00158 g001
Figure 2. Weight loss (%) changes in He mushroom at three different temperature conditions during time. The vertical bars represent the SDs of three replicates. Different letters indicate significant differences (p < 0.05).
Figure 2. Weight loss (%) changes in He mushroom at three different temperature conditions during time. The vertical bars represent the SDs of three replicates. Different letters indicate significant differences (p < 0.05).
Horticulturae 11 00158 g002
Figure 3. Mushroom’s visible color degradation at different temperatures (5 °C, 13 °C, and 21 °C) during storage time (0, 2, 4, and 7 days).
Figure 3. Mushroom’s visible color degradation at different temperatures (5 °C, 13 °C, and 21 °C) during storage time (0, 2, 4, and 7 days).
Horticulturae 11 00158 g003
Figure 4. Microbiological analysis of He stored at a temperature of 5 °C and 21 °C at different sampling times: t0, t7, and t14. Means values ± standard deviation of triplicate (n = 3). Means within a column that do not share similar letters or number of asterisks (*) are significantly different (p < 0.05).
Figure 4. Microbiological analysis of He stored at a temperature of 5 °C and 21 °C at different sampling times: t0, t7, and t14. Means values ± standard deviation of triplicate (n = 3). Means within a column that do not share similar letters or number of asterisks (*) are significantly different (p < 0.05).
Horticulturae 11 00158 g004
Figure 5. Total phenolic content changes in He expressed as milligrams of gallic acid equivalents (GAE) per 100 g of sample. The values represent the mean ± standard deviation of three replicates. Different letters indicate significant differences (p < 0.05).
Figure 5. Total phenolic content changes in He expressed as milligrams of gallic acid equivalents (GAE) per 100 g of sample. The values represent the mean ± standard deviation of three replicates. Different letters indicate significant differences (p < 0.05).
Horticulturae 11 00158 g005
Figure 6. Effect of storage conditions on antioxidant activity: (a) DPPH, (b) ABTS, and (c) FRAP. Captions: Horticulturae 11 00158 i001 5 °C; Horticulturae 11 00158 i002 13 °C; Horticulturae 11 00158 i003 21 °C. Different letters indicate significant differences (p < 0.05).
Figure 6. Effect of storage conditions on antioxidant activity: (a) DPPH, (b) ABTS, and (c) FRAP. Captions: Horticulturae 11 00158 i001 5 °C; Horticulturae 11 00158 i002 13 °C; Horticulturae 11 00158 i003 21 °C. Different letters indicate significant differences (p < 0.05).
Horticulturae 11 00158 g006
Table 1. Physicochemical parameters of He mushrooms at three different temperature conditions during storage.
Table 1. Physicochemical parameters of He mushrooms at three different temperature conditions during storage.
Storage
Temperature
(°C)
DaysMC
(% w/w)
pHTA
(% CA)
5090.7 ± 0.2 a5.70 ± 0.08 bcd0.17 ± 0.00 bf
289.3 ± 1.1 a5.43 ± 0.05 a0.19 ± 0.01 bcf
487.7 ± 1.2 a5.57 ± 0.19 abcd0.24 ± 0.01 acd
790.0 ± 0.9 a5.46 ± 0.04 ac0.24 ± 0.01 acd
13090.3 ± 0.3 a5.73 ± 0.05 bd0.17 ± 0.00 b
289.9 ± 2.6 a5.61 ± 0.07 abcd0.24 ± 0.04 acde
489.2 ± 3.0 a5.51 ± 0.06 acd0.21 ± 0.00 bcdf
790.6 ± 6.4 a5.43 ± 0.04 a0.30 ± 0.01 ae
21090.4 ± 0.3 a5.79 ± 0.06 b0.10 ± 0.01 b
287.1 ± 1.1 a5.68 ± 0.19 abcd0.26 ± 0.01 ade
481.2 ± 4.5 b5.57 ± 0.08 abcd0.28 ± 0.02 ae
779.0 ± 4.2 b5.82 ± 0.09 b0.31 ± 0.03 e
Means ± SD within the same column followed by different letters are significantly different (Tukey’s test, p < 0.05).
Table 2. Color and textural changes in He mushrooms at different temperature conditions during storage.
Table 2. Color and textural changes in He mushrooms at different temperature conditions during storage.
ParametersTemperature (°C)Storage Time (Days)
0247
L*5 81.88 ± 2.39 ab83.28 ± 1.16 ab81.27 ± 4.45 ab
1383.56 ± 3.10 ab84.76 ± 4.69 ab86.38 ± 4.72 b84.98 ± 2.39 ab
21 83.67 ± 3.69 ab79.16 ± 9.85 ab76.64 ± 7.23 a
a*5 −0.72 ± 0.47 b−0.19 ± 0.39 ab−0.33 ± 1.08 ab
13−0.19 ± 0.62 ab−0.24 ± 0.76 ab−0.37 ± 0.43 ab−0.10 ± 0.63 ab
21 −0.18 ± 0.31 ab1.69 ± 2.81 bc2.50 ± 2.14 c
b*5 15.08 ± 3.87 a17.28 ± 3.26 ab17.14 ± 5.93 ab
1318.03 ± 2.64 ab15.28 ± 4.13 a16.13 ± 5.11 a18.53 ± 3.90 ab
21 19.89 ± 4.92 ab25.01 ± 7.55 b24.78 ± 4.43 b
BI5 19.54 ± 6.24 a22.68 ± 5.20 a23.62 ± 11.04 a
1322.58 ± 3.97 abc19.68 ± 6.69 a20.54 ± 7.64 a24.28 ± 6.91 ab
21 26.96 ± 8.82 abc42.79 ± 21.21 c42.35 ± 14.71 bc
TCD5-5.78 ± 3.19 ab3.04 ± 1.88 a6.76 ± 4.06 abc
135.42 ± 4.39 ab6.13 ± 4.76 abc4.48 ± 1.89 ab
215.41 ± 3.49 ab13.49 ± 7.18 c11.84 ± 6.08 bc
Firmness (N)5 45.5 ± 5.3 abc50.3 ± 10.1 abc58.2 ± 12.7 abc
1351.2 ± 23.5 abc42.3 ± 11.2 abc37.6 ± 4.8 ab43.9 ± 15.6 abc
21 43.0 ± 7.8 abc22.5 ± 3.7 a63.8 ± 29.5 bc
Means ± SD within the same column followed different letters are significantly different (Tukey’s test, p < 0.05).
Disclaimer/Publisher’s Note: The statements, opinions and data contained in all publications are solely those of the individual author(s) and contributor(s) and not of MDPI and/or the editor(s). MDPI and/or the editor(s) disclaim responsibility for any injury to people or property resulting from any ideas, methods, instructions or products referred to in the content.

Share and Cite

MDPI and ACS Style

Silva, M.; Vida, M.; Ramos, A.C.; Lidon, F.J.; Reboredo, F.H.; Gonçalves, E.M. Storage Temperature Effect on Quality and Shelf-Life of Hericium erinaceus Mushroom. Horticulturae 2025, 11, 158. https://doi.org/10.3390/horticulturae11020158

AMA Style

Silva M, Vida M, Ramos AC, Lidon FJ, Reboredo FH, Gonçalves EM. Storage Temperature Effect on Quality and Shelf-Life of Hericium erinaceus Mushroom. Horticulturae. 2025; 11(2):158. https://doi.org/10.3390/horticulturae11020158

Chicago/Turabian Style

Silva, Mafalda, Manuela Vida, Ana Cristina Ramos, Fernando J. Lidon, Fernando H. Reboredo, and Elsa M. Gonçalves. 2025. "Storage Temperature Effect on Quality and Shelf-Life of Hericium erinaceus Mushroom" Horticulturae 11, no. 2: 158. https://doi.org/10.3390/horticulturae11020158

APA Style

Silva, M., Vida, M., Ramos, A. C., Lidon, F. J., Reboredo, F. H., & Gonçalves, E. M. (2025). Storage Temperature Effect on Quality and Shelf-Life of Hericium erinaceus Mushroom. Horticulturae, 11(2), 158. https://doi.org/10.3390/horticulturae11020158

Note that from the first issue of 2016, this journal uses article numbers instead of page numbers. See further details here.

Article Metrics

Back to TopTop