Next Article in Journal
Special Issue “Sustainable Control Strategies of Plant Pathogens in Horticulture”
Previous Article in Journal
Comparative Response of Arbuscular Mycorrhizal Fungi versus Endophytic Fungi in Tangor Citrus: Photosynthetic Efficiency and P-Acquisition Traits
 
 
Font Type:
Arial Georgia Verdana
Font Size:
Aa Aa Aa
Line Spacing:
Column Width:
Background:
Article

The Effect and Potential Mechanism of Fulvic Acid on Flavonoids in Lemon Leaves

1
Faculty of Life Science and Technology, Kunming University of Science and Technology, Kunming 650500, China
2
Institute of Tropical and Subtropical Cash Crops, Yunnan Academy of Agricultural Sciences, Ruili 678600, China
*
Author to whom correspondence should be addressed.
Horticulturae 2024, 10(2), 144; https://doi.org/10.3390/horticulturae10020144
Submission received: 19 January 2024 / Revised: 26 January 2024 / Accepted: 30 January 2024 / Published: 1 February 2024

Abstract

Citrus limon (L.) Burm. f. is a horticultural crop known for its abundance of valuable secondary metabolites, including flavonoids, which are found in its fruits and leaves. Our previous research has shown that treating C. limon with fulvic acid (FA) can enhance the levels of vitamin C, total acid, total sugar, total flavonoids, and phenols in its fruits as well as the volatiles and total flavonoids in its leaves. In this current study, we established a method to analyze eight specific flavonoids in lemon leaves and evaluated the impact of irrigation with FA on the content of these flavonoids over a six-month period using HPLC-DAD/MS analysis. Moreover, we investigated the potential mechanisms of FA through ELISA and q-PCR methods. The results indicated that FA increased the contents of four flavonoids, namely, isoorientin, eriocitrin, vitexin, and rutin, and promoted the activity and gene expression of phenylalanineammonialyase (PAL), 4-coumaric acid coenzyme A ligase (4CL), chalcone synthase (CHS), flavonoid 3′-hydroxylase (F3′H), and flavonol synthase (FLS). Furthermore, the relationship between flavonoid content and the activities of biosynthetic enzymes was analyzed using orthogonal partial least squares discriminant analysis (OPLS-DA), which revealed a positive correlation between seven flavonoid levels and the activity of five biosynthetic enzymes under FA treatment.

1. Introduction

Citrus limon (L.) Burm. F., a horticultural crop cultivated globally in temperate and subtropical regions, offers both edible and medicinal benefits due to the presence of bioactive compounds in its leaves, branches, flowers, and fruits. These compounds can be classified into two categories: primary metabolites, such as sugars, organic acids, and amino acids, which provide energy to the plant and consumers [1], and secondary metabolites, including volatiles and flavonoids, which play a vital role in plant defense mechanisms against diseases and insects [2,3]. Interestingly, these secondary metabolites also contribute significantly to the economic value of this plant. For instance, the volatiles obtained from the leaves and peels of C. limon are commonly used in the fragrance industry, while flavonoids are recognized as active substances for developing healthy foods and healthcare products [4,5]. Increasing research has revealed various functions of flavonoids, such as their antioxidant properties [6], anti-inflammatory effects [7,8], antiviral activity [9,10], anticancer potential [11], and prevention and treatment of cardiovascular diseases [12]. Therefore, enhancing the flavonoid content in C. limon and identifying flavonoid-rich parts of the plant can enhance its overall quality and economic value.
Fulvic acid (FA) is a naturally occurring organic substance that possesses excellent water solubility and displays various biological functions. Over the years, numerous studies have highlighted the positive effects of FA on environmental protection, soil enhancement, and crop growth. Chemical investigations of FA have revealed the presence of active groups such as carboxyl and phenolic hydroxyl, which confer strong adsorption, exchange, complexation, and chelation capabilities [13]. These findings have provided a foundation for understanding the mechanisms behind soil improvement mediated by FA. Concerning crop growth, FA has been shown to enhance plant drought and stress resistance while also increasing production and quality. Furthermore, FA application can trigger the overexpression of genes involved in essential plant metabolic functions, including photosynthesis, nitrogen/sulfur metabolism, plant hormone regulation, and plant development [14]. For example, FA significantly enhances the antioxidant defense capacity of tea plants under drought stress by improving ascorbic acid metabolism, enhancing glutathione metabolism, and promoting flavonoid biosynthesis [15]. Although the current understanding of the chemical structure of FA limits the ability to explain the molecular mechanisms underlying its influence on plant growth, research investigating the impacts of FA on plant metabolism and gene expression can contribute to a better understanding of its regulatory role in plant growth.
In our previous research, we discovered that the application of FA-containing fertilizer through spraying resulted in an increase in the levels of volatiles and total flavonoids in lemon leaves as well as elevated levels of vitamin C, total acid, total sugar, total flavonoids, and phenols in the fruits [16]. Subsequent investigations were conducted by our team to determine the optimal method and concentration of FA for promoting the levels of volatiles and total flavonoids in lemon. It was found that both spraying and irrigation with FA had a positive impact on these components, with irrigation yielding better results than spraying. The optimized concentration of FA through irrigation was determined to be 5 g/L [17]. Building on this work, we further employed HPLC-DAD/MS to identify and quantify eight flavonoids in lemon leaves within the total flavonoid content. The influence of FA irrigation at a concentration of 5 g/L on the levels of these flavonoids in lemon leaves was analyzed over a six-month period. Additionally, we investigated the potential mechanism of action of FA using ELISA and qRT-PCR techniques.

2. Materials and Methods

2.1. Materials and Reagents

Lemon leaves were collected from a 5-year-old “Yunning No. 1” lemon (an improved variant of Eureka lemon) in the culture base of the Institute of Subtropical Cash Crop, Agricultural Science of Yunnan Province (Ruili, China). Fulvic acid (FA) was provided by Shangcheng Biotechnology Co., Ltd. (Yuxi, China).
The standards of vicenin 2 (>98%), isoorientin (>98%), eriocitrin (>98%), vitexin (>98%), rutin (>98%), narcissoside (>98%), hesperidin (>98%), and diosmin (>98%) were all purchased from Chengdu Yirui Biotechnology Co., Ltd. (Chengdu, China). All chemicals used in this study were chromatography-grade and purchased from Sinopharm Chemical Reagent Co., Ltd. (Shanghai, China).
ELISA kits for phenylalanineammonialyase (PAL, Catalog No. MM-3590701), 4-coumarate:CoA ligase (4CL, Catalog No. MM-094501), chalcone synthase (CHS, Catalog No. MM-216201), flavonoid 3′-hydroxylase (F3′H, Catalog No. MM-3590701), and flavonol synthase (FLS, Catalog No. MM-098901) were purchased from Jiangsu Meimian Industrial Co., Ltd. (Nanjing, China). cDNA reverse transcription kits for PAL (Catalog No. R223-01), 4CL (Catalog No. R223-01), CHS (Catalog No. R223-01), F3′H (Catalog No. R223-01), FLS (Catalog No. R223-01), and AceQ Universal SYBR qPCR Master Mix (Catalog No. Q311-02) were purchased from Vazyme Biotechnology Co., Ltd. (Nanjing, China).

2.2. Plant Treatment and Sample Collection

FA was dissolved in distilled water to prepare a 5 g/L solution of FA and applied to the soil of Citrus lemon trees through irrigation. For the FA treatment group (10 plants per group, 6 parallel groups), each plant was irrigated with 4 L of FA solution on the 1st and 15th of each month from the period June to November 2022. For the control group (10 plants per group, 6 parallel groups), each plant was irrigated with 4 L of distilled water using the same irrigation schedule as the FA treatment group. On the 30th of each month during the experimental period, approximately 50 g per plant of lemon leaves was randomly collected from both the FA treatment and control groups. The collected leaves were immediately stored in a −80 °C freezer for future experiments.

2.3. Sample Preparation and HPLC-DAD/MS Analysis Condition

A total of 20 g of fresh lemon leaves from each group were subjected to ultrasound extraction using 80% methanol (2 × 400 mL × 45 min). After the evaporation of the solvent, an extract was obtained. Then, 0.2 g of the extract was dissolved in 2 mL of methanol, filtered through a 0.45 μm filter membrane, and then applied to an SPE column (Waters Sep-Pak C18, 20 cc/5 g). The column was eluted with 350 mL of an 18% methanol–water solution, followed by 250 mL of 80% methanol–water. The eluate containing 80% methanol–water was collected and concentrated under vacuum to obtain a sample for HPLC analysis. These samples were stored in a refrigerator at −4 °C for future use. Then, each sample was weighed and dissolved in a mixture of acetonitrile and water (1:3, v/v) to prepare a sample solution with a specified mass concentration. The sample solution was further filtered through a 0.22 μm membrane filter and analyzed by HPLC under the following conditions.
The HPLC system was an Agilent 1260 high-performance liquid chromatography instrument equipped with a G1315D-DAD detector (Agilent, Palo Alto, CA, USA). The sample solution was analyzed on an Agilent Eclipse XDB-C18 (4.6 × 250 mm, 5 μm) by gradient elution using 0.05% formic acid aqueous solution–acetonitrile (Solvent A: 0.05% formic acid aqueous solution (v/v); Solvent B: HPLC-grade acetonitrile; Gradient: 0–7 min, 13–15% B; 7–25 min, 15–15% B; 25–32 min, 15–18% B; and 32–54 min, 18–21% B, v/v). The flow rate was 1 mL/min. Unless otherwise specified, the injection volume was 10 μL, the detection wavelength was 283 nm, and the column temperature was set at 30°.
HPLC–MS analysis was conducted using an Agilent 1260 HPLC system coupled with an Agilent 6530B Q-TOF mass spectrometer (Agilent, Palo Alto, CA, USA) operating in negative electrospray ionization (ESI) mode. The ion source temperature was set at 325 °C, and the ion source spray voltage was 3.5 KV.

2.4. Preparation of Standard Solutions and Establishment of the Standard Curve

Here, 10 mg of vicenin 2, 10 mg of isoorientin, 10 mg of eriocitrin, 10 mg of vitexin, 20 mg of rutin, 5 mg of narcissoside, 10 mg of hesperidin, and 5 mg of diosmin were accurately weighed and dissolved in a 10 mL volumetric flask using methanol. This preparation resulted in a stock solution of the mixed standard substances. The stock solution was stored at −20 °C for future use. To establish the standard curve, the stock solution of the mixed standard substances was diluted to obtain a series of standard solutions with different concentrations. The standard solutions were then analyzed using the HPLC-DAD/MS method, with the analysis conditions being the same as those used in Section 2.3. The standard curve was fitted using regression analysis for each flavonoid, and the equations for each flavonoid are presented in Table S1 in the Supplementary Material. The correlation coefficient (R2) was used to assess the goodness of fit for each flavonoid. The established standard curve was subsequently utilized for the quantification of flavonoids in the samples. By measuring the absorbance peak areas detected by HPLC-DAD and applying the corresponding equation from the standard curve, the concentration of flavonoids in the samples was accurately determined.

2.5. Methodological Evaluation

The precision of the method was evaluated by performing six consecutive injections of the mixed standard solution of flavonoid compounds using the established chromatographic method described in Section 2.3. The peak areas were measured for each injection, and the relative standard deviation (RSD) was calculated for the eight flavonoid compounds.
To assess the repeatability of the method, the sample solution was prepared according to the procedure outlined in Section 2.3. The prepared sample solution was then subjected to six repeated injections using the chromatographic method described in Section 2.3. The RSD values for the eight flavonoid compounds were calculated based on the obtained peak areas.
To evaluate the stability of the method, a specific amount of lemon leaf sample was accurately weighed and prepared into the sample solution according to the procedure described in Section 2.3. The sample solution was then analyzed at various time points (0, 2, 4, 6, 8, 12, 24, and 48 h) by injecting 5 μL using the chromatographic method described in Section 2.3. The content of the eight flavonoid compounds in the sample solution was determined, and the RSD values were calculated.
The recovery method was studied by repeating it six times using the same batch of samples. A precision-sucked mixed control solution was added to each of the six samples in an approximate 1:1 ratio (v/v). The samples were then prepared, analyzed, and their recovery rates of sample additions were calculated using the method in Section 2.3. The specific results are shown in Table S1 in the Supplementary Material.

2.6. ELISA Assay

Here, 0.5 g samples of fresh lemon leaves from each group were promptly chopped and transferred to individual centrifuge tubes. Then, 4.5 mL of PBS buffer (pH 7.2–7.4) was added to each tube. The tissue was thoroughly homogenized using an electric homogenizer in an ice bath. Subsequently, the mixture was centrifuged at 5000 r/min for 15 min at 4 °C. The resulting supernatant was collected and stored at −20 °C for further use in the ELISA assay. The enzyme activity was determined following the instructions provided with the ELISA kit (Vazyme Bio. Co., Ltd., Nanjing, China).

2.7. q-PCR Assay

The enzyme activities were determined by qRT-PCR. The plant actin gene was used as the internal reference gene [18]. The leaves were fragmented using sterilized scissors before commencing the procedure and subsequently ground into a fine powder using liquid nitrogen to facilitate extraction. Subsequently, 0.1 g of the powder was weighed and transferred into a precooled 2.0 mL centrifuge tube. Next, 500 μL of Trizol extraction reagent was added, and the tube was vigorously pipetted and shaken to ensure thorough mixing of the powder with the Trizol solution. The tube was then placed on ice and incubated for 15 min. Following this, 200 μL of chloroform was added and mixed thoroughly. After allowing the mixture to stand at room temperature for 5 min, it was centrifuged at 12,000 rpm for 10 min in a low-temperature centrifuge. Next, 400 μL of the upper aqueous phase was transferred to a new 1.5 mL centrifuge tube. An equal volume of isopropanol was then added and mixed well. The mixture was left to stand at 4 °C for 30 min, followed by another centrifugation step at 12,000 rpm for 10 min in a low-temperature centrifuge. The supernatant was discarded, and the tube was treated with 75% ethanol and centrifuged at 10,000 rpm for 5 min. This step was repeated twice. Lastly, the supernatant was discarded, and the resulting precipitate containing the total RNA of interest was stored at −80 °C for further testing.
Based on the available sequences of flavonoid biosynthetic enzyme-related genes and the actin gene in GenBank, primers for RT-PCR amplification were designed (Table 1). The relative expression levels of the genes were determined using real-time fluorescence quantitative PCR (RT-qPCR) following the instructions provided with the AceQ Universal SYBR qPCR Master Mix (Vazyme Bio. Co., Ltd., Nanjing, China). The amplification system included a 20 μL reaction volume comprising 5 μL of cDNA, 0.4 μL each of forward and reverse primers, 10 μL of SYBR mix, and 3.2 μL of RNase-free water. The thermocycling parameters involved an initial denaturation at 95 °C for 30 s, followed by 40 cycles of 20 s at 60 °C, 30 s at 72 °C, and a final extension at 25 °C for 5 min. The experiment was conducted in triplicate, and changes in fluorescence values and melt curve analysis were subsequently analyzed. The experimental data were analyzed using the 2−ΔΔCT method.

2.8. Statistical Analysis

The data were analyzed and graphed using the GraphPad Prism 8 software. The results are presented as means ± standard deviation (SD). Statistical significance was assessed using the Student’s t-test. A p-value less than 0.05 is considered to indicate statistical significance. The correlation between flavonoid content determined by HPLC-DAD in lemon leaves and flavone biosynthetic enzyme activity determined by ELISA was analyzed using the OPLS-DA method. All the experiments were conducted at least three times.

3. Results

3.1. Identification of Flavonoids in Extract from Lemon Leaves

In this study, the HPLC-DAD/MS analysis was conducted to identify and characterize the flavonoid compounds present in the extract from lemon leaves. By comparing the retention time, UV spectroscopic absorption characteristics, and MS data of the chromatographic peaks in the sample with those of the standards and reference reports (Table 2, Figure 1, and Figure S1 in the Supplementary Material), eight specific flavonoid compounds were determined: vicenin 2, isoorientin, eriocitrin, vitexin, rutin, narcissoside, hesperidin, and diosmin.

3.2. Contents of Eight Flavonoids in Extract from Lemon Leaves Treated/Untreated with FA over Six Consecutive Collection Periods

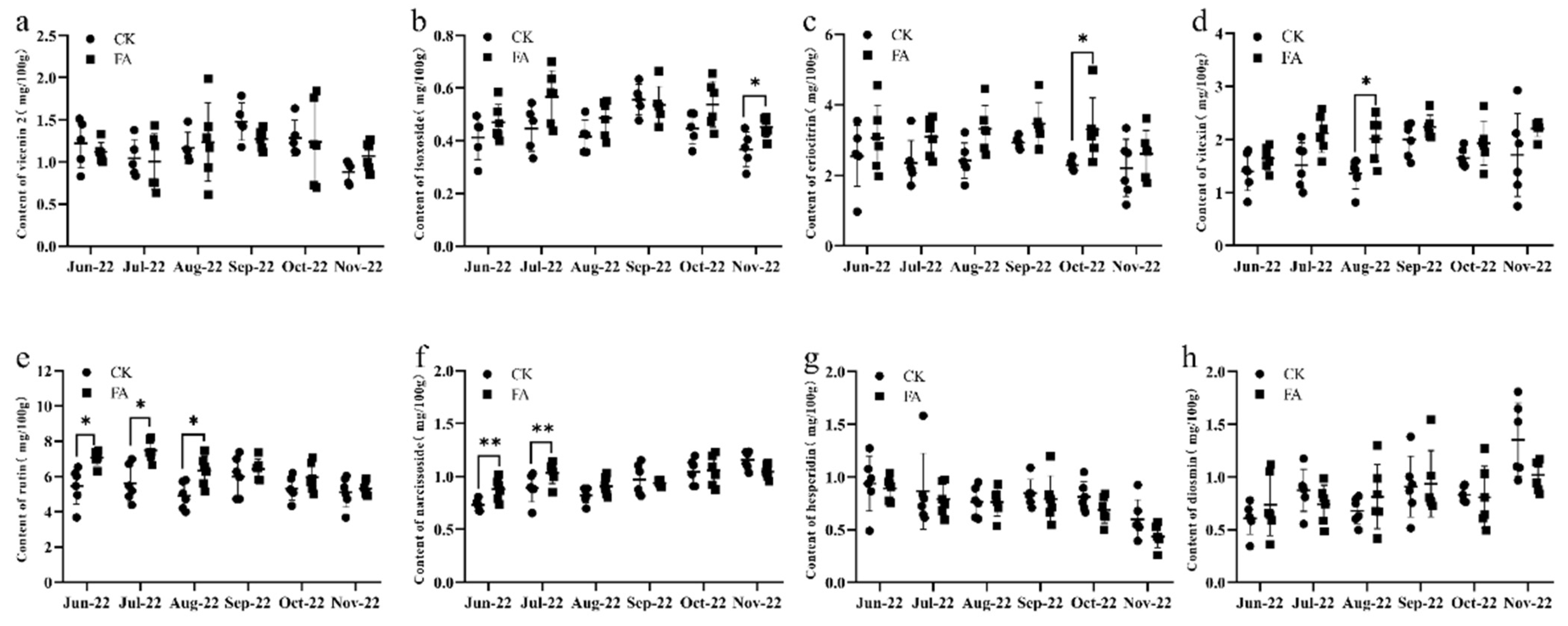
Lemon leaf samples were collected from both the control group (unirrigated with FA; CK) and the treated group (irrigated with FA) over six consecutive collection periods. The content of eight flavonoids was determined using the established standard curve method coupled with the HPLC-DAD technique. (Table 2). The results demonstrated that, compared to the control group, FA treatment led to an increase in the vitexin-2 content at two collection points and an increase in the isoorientin content at five collection points. Additionally, the contents of eriocitrin, vitexin, and rutin were consistently elevated across all six collection points. The content of narcissoside and diosmin increased at three collection points, while the effect on hesperidin content was found to be insignificant (Figure 2 and Table S2 in the Supplementary Material).

3.3. Methodological Evaluation

In the precision test, the calculated RSD values for vicenin 2, isoorientin, eriocitrin, vitexin, rutin, narcissoside, hesperidin, and diosmin were 0.74%, 0.24%, 0.27%, 0.40%, 0.22%, 0.12%, 0.17%, and 0.74%, respectively (Table S1 in the Supplementary Material). These results indicate that the method demonstrated good precision.
In the repeatability test, the calculated RSD values for vicenin 2, isoorientin, eriocitrin, vitexin, rutin, narcissoside, hesperidin, and diosmin were 0.25%, 1.63%, 0.27%, 0.46%, 0.08%, 2.39%, 1.58%, and 2.87%, respectively (Table S1 in the Supplementary Material). All RSD values for the eight flavonoid compounds were below 3%, indicating good repeatability of the method.
In the stability test, the calculated RSD values for vicenin 2, isoorientin, eriocitrin, vitexin, rutin, narcissoside, hesperidin, and diosmin at the specified time points were 0.76%, 2.49%, 0.73%, 0.42%, 0.47%, 2.05%, 1.37%, and 2.57%, respectively (Table S1 in the Supplementary Material). All RSD values for the eight flavonoid compounds were below 3%, indicating good stability of the method.
In the recovery experiment, the calculated recovery rates of sample additions for vicenin 2, isoorientin, eriocitrin, vitexin, rutin, narcissoside, hesperidin, and diosmin at the specified time points were 98.8%, 103.6%, 99.5%, 96.0%, 99.7%, 98.6%, 98.0%, and 98.8%, respectively (Table S1 in the Supplementary Material), indicating this method was suitable for the target flavonoid.

3.4. The Activity of the Flavone Biosynthetic Enzyme Determined by ELISA

A comparative analysis was conducted on the activities of enzymes involved in flavonoid biosynthesis in lemon leaves over six consecutive harvest periods using the ELISA method. The results showed that, compared to the control group (CK), the group treated with FA (FA) exhibited enhanced activities of PAL, 4CL, and F3′H in all collection points, increased activity of CHS in four collection points, and increased activity of FLS in five collection points. The overall analysis indicated that FA can enhance the activities of five related enzymes involved in flavonoid biosynthesis (Figure 3).

3.5. The Gene Expression of Flavone Biosynthetic Enzyme Determined by q-PCR

Three sets of samples were randomly selected at each collection point. In these samples, the activity of the five enzymes involved in flavonoid biosynthesis, namely, PAL, 4CL, CHS, F3′H, and FLS, was analyzed using qPCR. The results showed that the gene expression levels of these enzymes were significantly higher in the FA group compared to the CK group in five out of the six collection points (p < 0.01–0.001). However, there was no significant improvement in gene expression at one collection point (p > 0.05) (Figure 4). These qPCR results were further supported by the ELISA testing.

3.6. Correlation between Flavonoid Contents and Flavone Biosynthetic Enzyme Activities

To explore the relationship between flavonoid contents and flavone biosynthetic enzyme activities, a partial least squares (OPLS) analysis was conducted. The analysis aimed to examine the correlation between eight tested flavonoids and five selected flavone biosynthetic enzymes. The results, as depicted in Figure 5, indicated that vicenin 2, rutin, and isoorientin displayed a positive relationship with PAL and FLS. Additionally, vitexin, narcissoside, and diosmin were positively correlated with 4CL, whereas hesperidin was positively associated with CHS and F3′H. On the other hand, eriocitrin exhibited a negative relationship with PAL and FLS. These findings offer valuable insights into the connection between flavonoid content in lemon leaves and flavone biosynthetic enzyme activities under FA treatment.

4. Discussion

Secondary metabolites are small organic compounds that are produced through secondary metabolic processes within plant bodies. Although these metabolites are not essential for plant survival, they are of significant importance to humans due to their active functions. Typically, the levels of secondary metabolites in plants are naturally low. However, for economically important crops such as lemons, which have both medicinal and food applications, increasing the content of these biologically active secondary metabolites is crucial for their utilization and development. Fulvic acid (FA), a natural organic substance widely used in agriculture, has already been shown to enhance the total flavonoid content in lemon leaves and fruits in our previous studies [16,19]. Therefore, in this experiment, we aimed to further investigate the effects of FA on flavonoid compounds, providing valuable insights into the mechanism of action of fulvic acid.
The biosynthesis of flavonoid compounds in plants is mediated by the phenylalanine pathway. It serves as the main route for flavonoid biosynthesis, with the majority of flavonoids and dihydroflavonoids being synthesized through this pathway. On the other hand, the phenylalanine metabolic pathway offers an alternate route for the biosynthesis of specific isoflavonoids and flavonol compounds [20,21]. The biosynthesis of flavonoid compounds is tightly regulated by various biosynthetic enzymes and genes, including PAL, 4CL, CHS, FLS, and F3′H [22,23]. In our study, we employed ELISA and qPCR techniques to evaluate the influence of humic acid on these pivotal biosynthetic enzymes involved in flavonoid compound production. Our findings demonstrated a correlation between the enhancement of flavonoid compound content and an increase in the activity of these biosynthetic enzymes in the presence of FA (Figure 5).
It is widely acknowledged that plant metabolites represent the ultimate response of biological systems to genetic or environmental changes. Various environmental factors, including light, temperature, drought, salinity, nutrient availability, pathogens, and insects, have the ability to induce alterations in gene expression [24,25]. Consequently, these alterations regulate the processes of protein synthesis, thereby influencing the synthesis of plant metabolites. Consequently, the composition and quantity of plant metabolites can be significantly impacted by these factors. Through the determination of lemon metabolites, measurement of enzyme activity, and analysis of gene expression, the effect of FA on the increase in flavonoid content was elucidated. The results indicated that FA increased the contents in isoorientin, eriocitrin, vitexin, and rutin from leaves, while it was associated with the promotion of activity and expression levels of five enzymes involved in flavonoid biosynthesis, namely, PAL, 4CL, CHS, FLS, and F3′H.

5. Conclusions

The presence of FA in lemon leaves led to a significant increase in the contents of four flavonoids, namely, isoteraside, eriocitrin, vitexin, and rutin. Additionally, FA promoted the activity and gene expression of PAL, 4CL, CHS, FLS, and F3′H. These findings provide evidence that the mechanism by which FA increases flavonoid content is associated with the regulation of biosynthetic enzymes and genes involved in flavonoid biosynthesis.

Supplementary Materials

The following supporting information can be downloaded at: https://www.mdpi.com/article/10.3390/horticulturae10020144/s1, Figure S1: The UV and MS spectra of determined flavonoids in standards and samples. A: vicenin 2; B: isoorientin; C: eriocitrin; D: vitexin; E: rutin; F: narcissoside; G: hesperidin; H: diosmin; a: UV spectrum of standard; b: MS spectrum of standard; c: UV spectrum of sample; d: MS spectrum of sample.; Table S1: Linear regression, equation precision of 8 flavonoids from extract of lemon leaves treated FA, the RSD values (%) of precision, repeatability, stability and recovery rate.; Table S2: The contents of 8 flavonoids in samples extracted from lemon leaves treated or untreated with FA over a six-month period determined by HPLC-DAD. Data were presented as means ± standard deviation (n = 6).

Author Contributions

M.Z. designed the experiments and revised the manuscript; Y.R. wrote the manuscript; Y.R., F.Y., Y.Q. and J.L. performed the experiments; Y.R., W.D. and C.Y. analyzed the data. All authors have read and agreed to the published version of the manuscript.

Funding

This work was supported by the Applied Basic Research Foundation of Yunnan Province (202101AT070133) and the Science Research Foundation of Yunnan Education Bureau (2023J0144).

Data Availability Statement

The original contributions presented in the study are included in the article and supplementary material, further inquiries can be directed to the corresponding author.

Conflicts of Interest

The authors declare no conflicts of interest.

References

  1. Liu, S.; Li, S.; Ho, C.T. Dietary bioactives and essential oils of lemon and lime fruits. Food Sci. Hum. Wellness 2022, 11, 753–764. [Google Scholar] [CrossRef]
  2. Guptaa, G.; Agarwalb, U.; Kaura, H.; Kumara, N.R.; Guptab, P. Aphicidal effects of terpenoids present in Citrus limon on Macrosiphum roseiformis and two generalist insect predators. J. Asia Pac. Entomol. 2017, 20, 1087–1095. [Google Scholar] [CrossRef]
  3. Mathesius, U. Flavonoid functions in plants and their interactions with other organisms. Plants 2018, 7, 30. [Google Scholar] [CrossRef] [PubMed]
  4. Ramos, F.M.M.; Ribeiro, C.B.; Cesar, T.B.; Milenkovic, D.; Cabral, L.; Noronha, M.F.; Sivieri, K. Lemon flavonoids nutraceutical (Eriomin®) attenuates prediabetes intestinal dysbiosis: A double-blind randomized controlled trial. Food Sci. Nutr. 2023, 11, 7283–7295. [Google Scholar] [CrossRef] [PubMed]
  5. Bilbao, M.L.M.; Andrés-Lacueva, C.; Jáuregui, O.; Lamuela-Raventós, R.M. Determination of flavonoids in a Citrus fruit extract by LC–DAD and LC–MS. Food Chem. 2007, 101, 1742–1747. [Google Scholar]
  6. Andrade, A.W.L.A.; Machado, K.D.C.; Machado, K.D.C.; Figueiredo, D.D.R.; David, J.M.; Islam, M.T.; Uddin, S.J.; Shilpi, J.A.; Costa, J.P. In vitro antioxidant properties of the biflavonoid agathisflavone. Chem. Cent. J. 2018, 12, 75. [Google Scholar] [CrossRef] [PubMed]
  7. Maleki, S.J.; Crespo, J.F.; Cabanillas, B. Anti-inflammatory effects of flavonoids. Food Chem. 2019, 299, 125124. [Google Scholar] [CrossRef]
  8. Wang, Y.; Liu, X.J.; Chen, J.B.; Cao, J.P.; Li, X.; Sun, C.D. Citrus flavonoids and their antioxidant evaluation. Crit. Rev. Food Sci. Nutr. 2021, 62, 3833–3854. [Google Scholar] [CrossRef]
  9. Ninfali, P.; Antonelli, A.; Magnani, M.; Scarpa, E.S. Antiviral properties of flavonoids and delivery strategies. Nutrients 2020, 12, 2534. [Google Scholar] [CrossRef]
  10. Sharma, V.; Sehrawat, N.; Sharma, A.; Yadav, M.; Verma, P.; Sharma, A.P. Multifaceted antiviral therapeutic potential of dietary flavonoids: Emerging trends and future perspectives. Biotechnol. Appl. Biochem. 2022, 69, 2028–2045. [Google Scholar] [CrossRef]
  11. Saini, N.; Gahlawat, S.K.; Lather, V. Flavonoids: A nutraceutical and its role as anti-inflammatory and anticancer agent. In Plant Biotechnology: Recent Advancements and Developments; Gahlawat, S., Salar, R., Siwach, P., Duhan, J., Kumar, S., Kaur, P., Eds.; Springer: Singapore, 2017; pp. 255–270. [Google Scholar]
  12. Deng, Y.D.; Tu, Y.L.; Lao, S.H.; Wu, M.T.; Yin, H.T.; Wang, L.Q.; Liao, W.Z. The role and mechanism of citrus flavonoids in cardiovascular diseases prevention and treatment. Crit. Rev. Food Sci. Nutr. 2022, 62, 7591–7614. [Google Scholar] [CrossRef]
  13. Dou, Y.X.; Xu, H.H.; Yang, K.; Shi, M.J.; Wang, Y.Y.; He, M.M. The application of fulvic acid in fruit tree production. Mod. Hortic. 2021, 22, 32–34. [Google Scholar]
  14. Savarese, C.; Cozzolino, V.; Verrillo, M.; Vinci, G.; Martino, A.D.; Scopa, A.; Piccolo, A. Combination of humic biostimulants with a microbial inoculum improves lettuce productivity; nutrient uptake; and primary and secondary metabolism. Plant Soil 2022, 481, 285–314. [Google Scholar] [CrossRef]
  15. Sun, J.; Qiu, C.; Ding, Y.; Wang, Y.; Sun, L.; Fan, K.; Gai, Z.; Dong, G.; Wang, J.; Li, X.; et al. Fulvic acid ameliorates drought stress-induced damage in tea plants by regulating the ascorbate metabolism and flavonoids biosynthesis. BMC Genom. 2020, 21, 411. [Google Scholar] [CrossRef] [PubMed]
  16. He, X.Y.; Zhang, H.Y.; Li, J.X.; Yang, F.; Dai, W.F.; Xiang, C.; Zhang, M. The positive effects of humic/fulvic acid fertilizers on the quality of Lemon fruits. Agronomy 2022, 12, 1919. [Google Scholar] [CrossRef]
  17. Zhang, H.Q. Study on the Effect of Humic Acid on Volatile Oil and Flavonoids in Lemon Leaves and Its Mechanism. Master’s Thesis, Kunming University of Science and Technology, Kunming, China, 2021. [Google Scholar]
  18. Wang, Y. Preliminary Study on the Mechanism of High Temperature Inhibiting the Symptoms of Tartrazine Pulse disease. Master’s Thesis, Southwest University, El Paso, TX, USA, 2022. [Google Scholar]
  19. Zhang, H.Q.; Dai, W.F.; Li, B.C.; Li, J.X.; Zhang, M. Effect of continuous irrigation with humic acids on total flavonoids content in leaves of Citrus limon ‘Yunning 1’. J. Plant Resour. Environ. 2021, 30, 64–66. [Google Scholar]
  20. Zou, L.; Wang, C.; Kuang, X.; Li, Y.; Sun, C. Advance in flavonoids biosynthetic pathway and synthetic biology. China J. Chin. Mater. 2016, 22, 4124–4128. [Google Scholar] [CrossRef]
  21. Jiang, N.; Doseff, A.; Grotewold, E. Flavones: From biosynthesis to health benefits. Plants 2016, 5, 27. [Google Scholar] [CrossRef] [PubMed]
  22. Xie, Z.; Luo, Y.; Zhang, C.; An, W.; Zhou, J.; Jin, J.; Zhang, Y.; Zhao, J. Integrated metabolome and transcriptome during fruit development reveal metabolic differences and molecular basis between Lycium barbarum and Lycium ruthenicum. Metabolites 2023, 13, 680. [Google Scholar] [CrossRef]
  23. Chen, Y.L.; Li, W.W.; Jia, K.; Liao, K.; Liu, L.Q.; Fan, G.Q.; Zhang, S.K.; Wang, Y.T. Metabolomic and transcriptomice analyses of flavonoid biosynthesis in apricot fruits. Front. Plant Sci. 2023, 14, 1210309. [Google Scholar] [CrossRef]
  24. Liu, Y.; Patra, B.; Singh, S.K.; Paul, P.; Zhou, Y.; Li, Y.; Wang, Y.; Pattanaik, P.; Yuan, L. Terpenoid indole alkaloid biosynthesis in Catharanthus roseus: Effects and prospects of environmental factors in metabolic engineering. Biotechnol. Lett. 2021, 43, 2085–2103. [Google Scholar] [CrossRef]
  25. Mahajan, M.; Kuiry, R.; Pal, P.K. Understanding the consequence of environmental stress for accumulation of secondary metabolites in medicinal and aromatic plants. J. Appl. Res. Med. Arom. Plants 2020, 18, 100255. [Google Scholar] [CrossRef]
Figure 1. HPLC-DAD/MS chromatograms of a standard prepared with standard compounds and a sample prepared from lemon leaves: (a) HPLC-DAD chromatogram of the standard; UV detection (λ = 283 nm); (b) HPLC–MS analysis of the standard, performed on an Agilent 1260 Series coupled with an Agilent 6530 Accurate-Mass Q-TOF mass spectrometer (Agilent Ltd.) in negative electrospray modes. (c) HPLC-DAD chromatogram of the sample; UV detection (λ = 283 nm); (d) HPLC–MS analysis of the sample, performed on an Agilent 1260 Series coupled with an Agilent 6530 Accurate-Mass Q-TOF mass spectrometer (Agilent Ltd.) in negative electrospray modes. 1: vicenin 2; 2: isoorientin; 3: eriocitrin; 4: vitexin; 5: rutin; 6: narcissoside; 7: hesperidin; 8: diosmin.
Figure 1. HPLC-DAD/MS chromatograms of a standard prepared with standard compounds and a sample prepared from lemon leaves: (a) HPLC-DAD chromatogram of the standard; UV detection (λ = 283 nm); (b) HPLC–MS analysis of the standard, performed on an Agilent 1260 Series coupled with an Agilent 6530 Accurate-Mass Q-TOF mass spectrometer (Agilent Ltd.) in negative electrospray modes. (c) HPLC-DAD chromatogram of the sample; UV detection (λ = 283 nm); (d) HPLC–MS analysis of the sample, performed on an Agilent 1260 Series coupled with an Agilent 6530 Accurate-Mass Q-TOF mass spectrometer (Agilent Ltd.) in negative electrospray modes. 1: vicenin 2; 2: isoorientin; 3: eriocitrin; 4: vitexin; 5: rutin; 6: narcissoside; 7: hesperidin; 8: diosmin.
Horticulturae 10 00144 g001
Figure 2. The contents of flavonoids in samples extracted from lemon leaves treated with FA over a six-month period as determined by HPLC-DAD: (a) vicenin 2; (b) isoorientin; (c) eriocitrin; (d) vitexin; (e) rutin; (f) narcissoside; (g) hesperidin; (h) diosmin. Data are presented as means ± standard deviation (n = 6). ** p < 0.01, * p < 0.05, vs. the control group.
Figure 2. The contents of flavonoids in samples extracted from lemon leaves treated with FA over a six-month period as determined by HPLC-DAD: (a) vicenin 2; (b) isoorientin; (c) eriocitrin; (d) vitexin; (e) rutin; (f) narcissoside; (g) hesperidin; (h) diosmin. Data are presented as means ± standard deviation (n = 6). ** p < 0.01, * p < 0.05, vs. the control group.
Horticulturae 10 00144 g002
Figure 3. The activities of five enzymes involved in flavonoid biosynthesis in samples extracted from C. limon leaves treated with FA and untreated over a six-month period as determined by ELISA: (a) phenylalanineammonialyase (PAL); (b) coenzyme A ligase 4-coumaric acid (4CL); (c) flavonoid 3′-hydroxylase (F3′H); (d) chalcone synthase (CHS); (e) flavonol synthase (FLS). Data are presented as means ± standard deviation (n = 3).
Figure 3. The activities of five enzymes involved in flavonoid biosynthesis in samples extracted from C. limon leaves treated with FA and untreated over a six-month period as determined by ELISA: (a) phenylalanineammonialyase (PAL); (b) coenzyme A ligase 4-coumaric acid (4CL); (c) flavonoid 3′-hydroxylase (F3′H); (d) chalcone synthase (CHS); (e) flavonol synthase (FLS). Data are presented as means ± standard deviation (n = 3).
Horticulturae 10 00144 g003
Figure 4. The gene expression levels of five enzymes involved in flavonoid biosynthesis in samples extracted from C. limon leaves treated with FA and untreated over a six-month period as determined by q-PCR: (a) phenylalanineammonialyase (PAL); (b) coenzyme A ligase 4-coumaric acid (4CL); (c) chalcone synthase (CHS); (d) flavonoid 3′-hydroxylase (F3′H); (e) flavonol synthase (FLS). Data are presented as means ± standard deviation (n = 3). *** p < 0.001, ** p < 0.01, * p < 0.05, vs. the control group.
Figure 4. The gene expression levels of five enzymes involved in flavonoid biosynthesis in samples extracted from C. limon leaves treated with FA and untreated over a six-month period as determined by q-PCR: (a) phenylalanineammonialyase (PAL); (b) coenzyme A ligase 4-coumaric acid (4CL); (c) chalcone synthase (CHS); (d) flavonoid 3′-hydroxylase (F3′H); (e) flavonol synthase (FLS). Data are presented as means ± standard deviation (n = 3). *** p < 0.001, ** p < 0.01, * p < 0.05, vs. the control group.
Horticulturae 10 00144 g004
Figure 5. Correlation between the content of eight flavonoids and the activities of five enzymes involved in flavonoid biosynthesis as analyzed by the orthogonal partial least squares discriminant analysis (OPLS-DA) method.
Figure 5. Correlation between the content of eight flavonoids and the activities of five enzymes involved in flavonoid biosynthesis as analyzed by the orthogonal partial least squares discriminant analysis (OPLS-DA) method.
Horticulturae 10 00144 g005
Table 1. Primer sequences used in this study.
Table 1. Primer sequences used in this study.
GenesPrimer Sequences
CHSF: 5′-GCTTTGTTCGGTGATGGTG-3′
R: 5′-GCTTTGTTCGGTGATGGTG-3′
PALF: 5′-GGAACAAGGCATTACACGG-3′
R: 5′-AGATTTGAAGGCAACCCATT-3′
4CLF: 5′-TCAATCGCAACATTACTCCA-3′
R: 5′-CAGCATTCAACGACTCCC-3′
F3′HF: 5′-GTGTCGGTGCCTGCTGTG-3′
R: 5′-GCATACGGACTTGCTGGGT-3′
FLSF: 5′-TAGGGTTAGGTGTTGAAGGGC-3′
R: 5′-CGTGGGCAAGGTGGGTAG-3′
ActinF: 5′-CATCCCTCAGCACCTTCC-3′
R: 5′-CCAACCTTAGCACTTCTCC-3′
Table 2. Characterization of eight flavonoids from the extract of lemon leaves by HPLC-DAD/ESIMS.
Table 2. Characterization of eight flavonoids from the extract of lemon leaves by HPLC-DAD/ESIMS.
Peak No.StandardSample
tR (min)Compound NameMolecular FormulaUV λmax (nm)[M-H]tR (min)UV λmax (nm)[M-H]
Theoretical
Exact Mass (Da)
Mean Measured Mass (Da)Mass Accuracy
(ppm)
Theoretical
Exact Mass (Da)
Mean Measured Mass (Da)Mass Accuracy (ppm)
19.739Vicenin 2C27H30O15334593.1506593.15253.209.295334593.1506593.15161.69
214.215IsoorientinC21H20O11350447.0927447.09402.9114.063345447.0927447.09362.01
320.843EriocitrinC27H32O15283595.1663595.16752.0220.604283595.1663595.16741.85
422.392VitexinC21H20O10340431.0978431.09851.6222.173340431.0978431.09872.09
524.094RutinC27H30O16355609.1456609.14712.4623.731355609.1456609.14702.30
638.988NarcissosideC28H32O16254623.1612623.16272.4138.558254623.1612623.16201.28
742.379HesperidinC28H34O15283609.1819609.18271.3141.870283609.1819609.18281.48
843.409DiosminC28H32O15350607.1663607.1663042.867350607.1663607.16731.65
Disclaimer/Publisher’s Note: The statements, opinions and data contained in all publications are solely those of the individual author(s) and contributor(s) and not of MDPI and/or the editor(s). MDPI and/or the editor(s) disclaim responsibility for any injury to people or property resulting from any ideas, methods, instructions or products referred to in the content.

Share and Cite

MDPI and ACS Style

Ren, Y.; Yang, F.; Dai, W.; Yuan, C.; Qin, Y.; Li, J.; Zhang, M. The Effect and Potential Mechanism of Fulvic Acid on Flavonoids in Lemon Leaves. Horticulturae 2024, 10, 144. https://doi.org/10.3390/horticulturae10020144

AMA Style

Ren Y, Yang F, Dai W, Yuan C, Qin Y, Li J, Zhang M. The Effect and Potential Mechanism of Fulvic Acid on Flavonoids in Lemon Leaves. Horticulturae. 2024; 10(2):144. https://doi.org/10.3390/horticulturae10020144

Chicago/Turabian Style

Ren, Youdi, Fan Yang, Weifeng Dai, Cheng Yuan, Yi Qin, Jinxue Li, and Mi Zhang. 2024. "The Effect and Potential Mechanism of Fulvic Acid on Flavonoids in Lemon Leaves" Horticulturae 10, no. 2: 144. https://doi.org/10.3390/horticulturae10020144

APA Style

Ren, Y., Yang, F., Dai, W., Yuan, C., Qin, Y., Li, J., & Zhang, M. (2024). The Effect and Potential Mechanism of Fulvic Acid on Flavonoids in Lemon Leaves. Horticulturae, 10(2), 144. https://doi.org/10.3390/horticulturae10020144

Note that from the first issue of 2016, this journal uses article numbers instead of page numbers. See further details here.

Article Metrics

Back to TopTop