Assessment of Lemon Juice Starter Addition on Secondary Fermented Soy Sauce
Abstract
:1. Introduction
2. Materials and Methods
2.1. Sample Preparation
2.1.1. Starter Culture Preparation
2.1.2. Secondary Fermentation
2.2. Sample Analysis
2.2.1. Analysis of Amino Nitrogen
- S: Sample weight (g)
- a: Endpoint titration volume of sample
- b: Endpoint titration volume of blank
- F: Factor of titrant
- D: Total volume of sample after dilution (mL)
2.2.2. Analysis of Enzyme Activity
- Crude enzyme liquid preparation
- b.
- Analysis of amylase activity
- c.
- Protease activity
2.2.3. pH Value
2.2.4. Titrable Acidity
- A: Titration volume of NaOH
- B: Concentration of NaOH
- C: Volume of sampling
- D: Equivalent to 1 mL of organic acid (g) in 0.1 N NaOH (calculated with lactic acid, 0.009)
- E: Original volume of the sample
- F: Factor of the titrant
2.2.5. Color
2.2.6. Salinity
- F: Factor of 0.02 N AgNO3
- V: Volume used in titration
- DF: Dilution factor
2.2.7. Reducing Sugar
2.2.8. Microbial Determination
- Yeast Count
- b.
- Lactic acid bacterial count
2.2.9. Sensory Evaluation
2.3. Statistical Analysis
3. Results
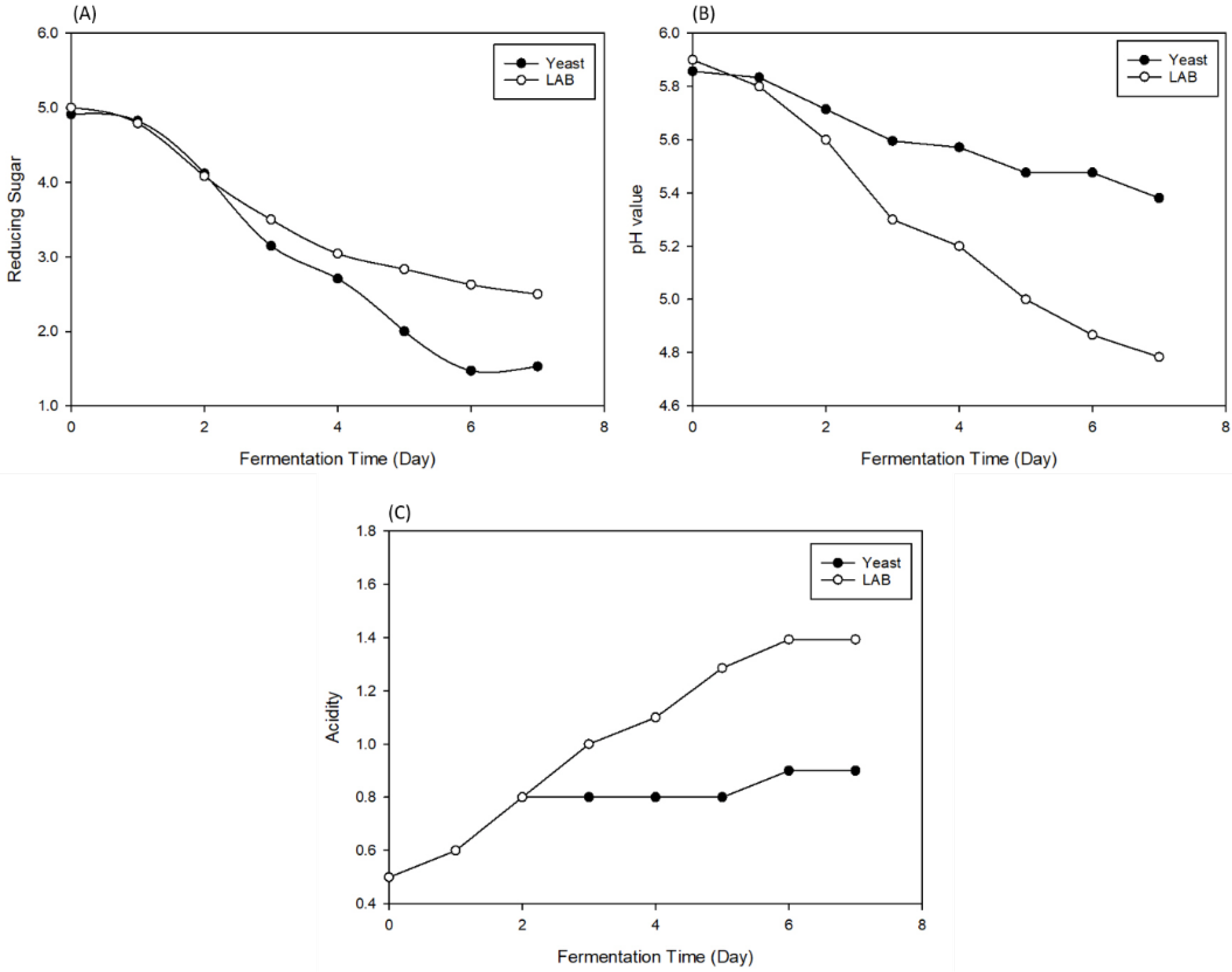
3.1. Lemon Juice Starter Culture
3.1.1. Total Plate Count of Lactic Acid Bacteria and Yeast
3.1.2. Sugar Content
3.1.3. pH Values
3.1.4. Titratable Acid
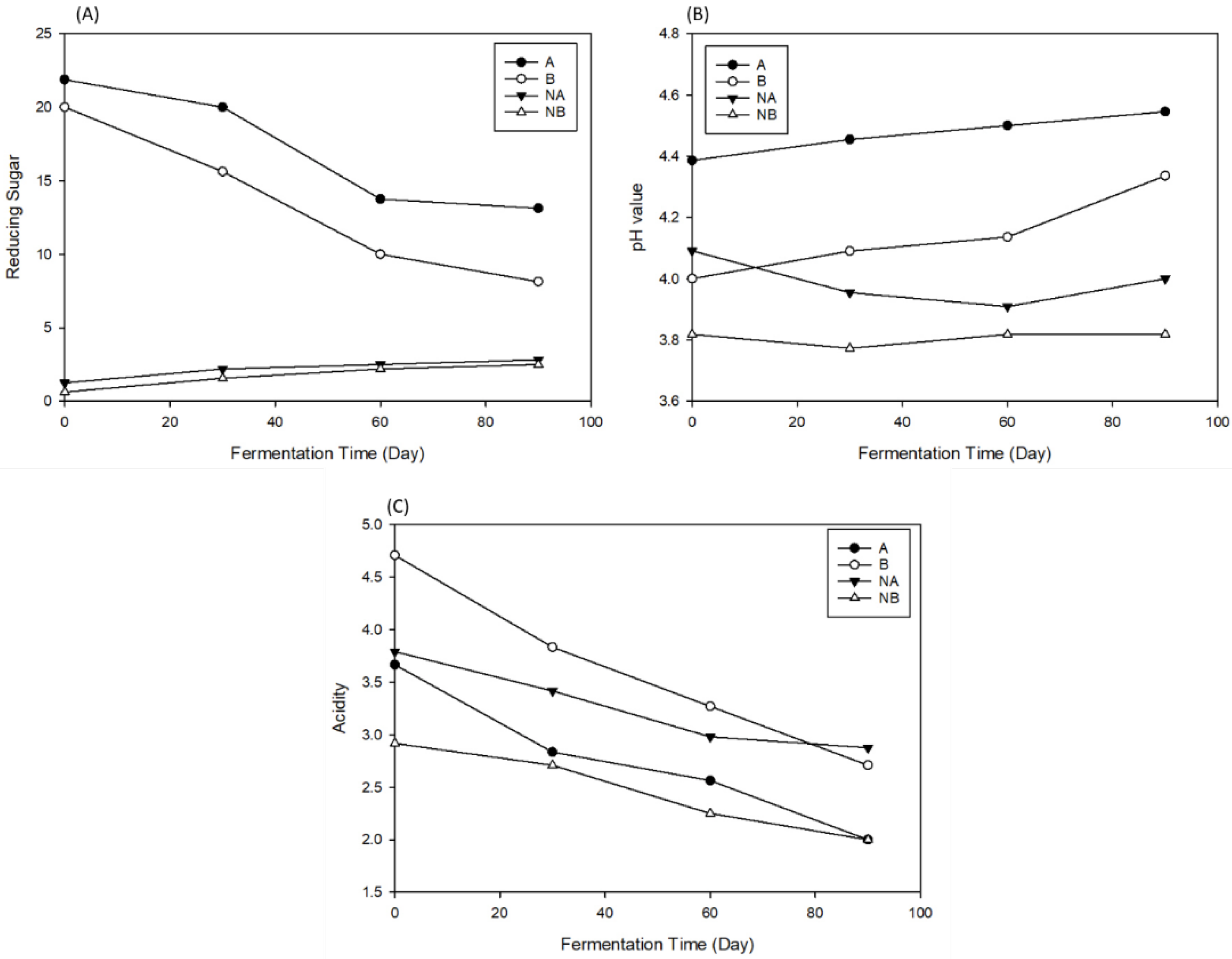
3.2. Secondary Fermentation of Soy Sauce
3.2.1. Bacterial Count
3.2.2. Enzymatic Activity
3.2.3. Amine Nitrogen Content
3.2.4. Reducing Sugar Content
3.2.5. Color Parameter
3.2.6. pH Value and Acidity
3.2.7. Sensory Evaluation
4. Conclusions
Author Contributions
Funding
Institutional Review Board Statement
Informed Consent Statement
Data Availability Statement
Acknowledgments
Conflicts of Interest
References
- Zhao, G.; Ding, L.L.; Hadiatullah, H.; Li, S.; Wang, X.; Yao, Y.; Liu, J.; Jiang, S. Characterization of the Typical Fragrant Compounds in Traditional Chinese-Type Soy Sauce. Food Chem. 2020, 312, 126054. [Google Scholar] [CrossRef] [PubMed]
- Singracha, P.; Niamsiri, N.; Visessanguan, W.; Lertsiri, S.; Assavanig, A. Application of Lactic Acid Bacteria and Yeasts as Starter Cultures for Reduced-Salt Soy Sauce (Moromi) Fermentation. LWT-Food Sci. Technol. 2017, 78, 181–188. [Google Scholar] [CrossRef]
- Wah, T.T.; Walaisri, S.; Assavanig, A.; Niamsiri, N.; Lertsiri, S. Co-Culturing of Pichia Guilliermondii Enhanced Volatile Flavor Compound Formation by Zygosaccharomyces Rouxii in the Model System of Thai Soy Sauce Fermentation. Int. J. Food Microbiol. 2013, 160, 282–289. [Google Scholar] [CrossRef] [PubMed]
- Frazier, W.C.; Westhoff, D.C. Food Microbiology; McGraw-Hill: New York, NY, USA, 1988; pp. 98–102. [Google Scholar]
- Hsieh, C.Y.; Ciou, J.Y.; Shih, M.K.; Hsieh, S.L.; Huang, Y.W.; Chen, M.H.; Hou, C.Y. Effect of Lemon Water Vapor Extract (LWAE) from Lemon Byproducts on the Physiological Activity and Quality of Lemon Fermented Products. Int. J. Food Prop. 2021, 24, 264–276. [Google Scholar] [CrossRef]
- Canonico, L.; Comitini, F. Torulaspora Delbrueckii for Secondary Fermentation in Sparkling Wine Production. Food Microbiol. 2018, 74, 100–106. [Google Scholar] [CrossRef] [PubMed]
- Daly, D.F.M.; Mcsweeney, P.L.H.; Sheehan, J.J. Split Defect and Secondary Fermentation in Swiss-Type Cheeses-A Review Article Published by EDP Sciences. Dairy Sci. Technol. 2010, 90, 3–26. [Google Scholar] [CrossRef]
- Nebesny, E.; Rutkowski, J. Effect of Roasting and Secondary Fermentation on Cocoa Bean Enrichment. Pol. J. Food Nutr. Sci. 1998, 3, 437–445. [Google Scholar]
- Sun, Y.; Tao, W.; Huang, H.; Ye, X.; Sun, P. Flavonoids, Phenolic Acids, Carotenoids and Antioxidant Activity of Fresh Eating Citrus Fruits, Using the Coupled in Vitro Digestion and Human Intestinal HepG2 Cells Model. Food Chem. 2019, 279, 321–327. [Google Scholar] [CrossRef] [PubMed]
- Mohamed, R.S.; Fouda, K.; Akl, E.M. Hepatorenal Protective Effect of Flaxseed Protein Isolate Incorporated in Lemon Juice against Lead Toxicity in Rats. Toxicol. Rep. 2020, 7, 30–35. [Google Scholar] [CrossRef] [PubMed]
- Miller, G.L. Use of Dinitrosalicylic Acid Reagent for Determination of Reducing Sugar. Anal. Chem. 1959, 31, 426–428. [Google Scholar] [CrossRef]
- Arima, K.; Yu, J.; Iwasaki, S. Milk-clotting enzyme from Mucor pusillus var. Lindt. In Methods in Enzymology; Perlmann, G., Lorand, L., Eds.; Academic Press: New York, NY, USA, 1970; Volume 19, pp. 446–459. [Google Scholar]
- Devanthi, P.V.P.; Gkatzionis, K. Soy Sauce Fermentation: Microorganisms, Aroma Formation, and Process Modification. Food Res. Int. 2019, 120, 364–374. [Google Scholar] [CrossRef] [PubMed]
- Tsuge, Y.; Kato, N.; Yamamoto, S.; Suda, M.; Inui, M. Enhanced Production of D-Lactate from Mixed Sugars in Corynebacterium glutamicum by Overexpression of Glycolytic Genes Encoding Phosphofructokinase and Triosephosphate Isomerase. J. Biosci. Bioeng. 2019, 127, 288–293. [Google Scholar] [CrossRef] [PubMed]
- Everis, L.K.; Betts, G. Microbial Issues in Salt Reduction. In Reducing Salt in Foods, 2nd ed; Woodhead Publishing: Cambridge, UK, 2019; pp. 129–155. [Google Scholar]
- Su, Y.; Seguinot, P.; Sanchez, I.; Ortiz-Julien, A.; Heras, J.M.; Querol, A.; Camarasa, C.; Guillamón, J.M. Nitrogen Sources Preferences of Non-Saccharomyces Yeasts to Sustain Growth and Fermentation under Winemaking Conditions. Food Microbiol. 2020, 85, 103287. [Google Scholar] [CrossRef] [PubMed]
- Agirre, J.; Moroz, O.; Meier, S.; Brask, J.; Munch, A.; Hoff, T.; Andersen, C.; Wilson, K.S.; Davies, G.J. The Structure of the AliC GH13 α-Amylase from Alicyclobacillus Sp. Reveals the Accommodation of Starch Branching Points in the α-Amylase Family. Acta Crystallogr. Sect. D Struct. Biol. 2019, 75, 1–7. [Google Scholar] [CrossRef] [PubMed] [Green Version]
- Leite, J.J.G.; Brito, É.H.S.; Cordeiro, R.A.; Brilhante, R.S.N.; Sidrim, J.J.C.; Bertini, L.M.; De Morais, S.M.; Rocha, M.F.G. Chemical Composition, Toxicity and Larvicidal and Antifungal Activities of Persea Americana (Avocado) Seed Extracts. Rev. Soc. Bras. Med. Trop. 2009, 42, 110–113. [Google Scholar] [CrossRef] [PubMed] [Green Version]
- Lund, M.N.; Ray, C.A. Control of Maillard Reactions in Foods: Strategies and Chemical Mechanisms. J. Agric. Food Chem. 2017, 65, 4537–4552. [Google Scholar] [CrossRef] [PubMed] [Green Version]
- Hall, J.A. Glucosides of the Navel Orange. J. Am. Chem. Soc. 1925, 47, 1191–1195. [Google Scholar] [CrossRef]
- Hoang, N.X.; Ferng, S.; Ting, C.H.; Lu, Y.C.; Yeh, Y.F.; Lai, Y.R.; Yih-Yuan Chiou, R.; Hwang, J.Y.; Hsu, C.K. Effect of Initial 5 Days Fermentation under Low Salt Condition on the Quality of Soy Sauce. LWT-Food Sci. Technol. 2018, 92, 234–241. [Google Scholar] [CrossRef]
- Liang, R.; Huang, J.; Wu, X.; Fan, J.; Xu, Y.; Wu, C.; Jin, Y.; Zhou, R. Effect of Raw Material and Starters on the Metabolite Constituents and Microbial Community Diversity of Fermented Soy Sauce. J. Sci. Food Agric. 2019, 99, 5687–5695. [Google Scholar] [CrossRef] [PubMed]







| Day | Group A | Group B |
|---|---|---|
| 0 | 0.873 ± 0.02 a | 0.693 ± 0.03 a |
| 30 | 0.890 ± 0.12 ab | 0.720 ± 0.01 a |
| 60 | 0.907 ± 0.02 b | 0.766 ± 0.01 b |
| 90 | 0.905 ± 0.01 b | 0.773 ± 0.11 b |
Publisher’s Note: MDPI stays neutral with regard to jurisdictional claims in published maps and institutional affiliations. |
© 2022 by the authors. Licensee MDPI, Basel, Switzerland. This article is an open access article distributed under the terms and conditions of the Creative Commons Attribution (CC BY) license (https://creativecommons.org/licenses/by/4.0/).
Share and Cite
Chang, Y.-H.; Lim, G.C.W.; Chien, J.-Y.; Hsieh, L.-S.; Wu, S.-D.; Ciou, J.-Y. Assessment of Lemon Juice Starter Addition on Secondary Fermented Soy Sauce. Fermentation 2022, 8, 73. https://doi.org/10.3390/fermentation8020073
Chang Y-H, Lim GCW, Chien J-Y, Hsieh L-S, Wu S-D, Ciou J-Y. Assessment of Lemon Juice Starter Addition on Secondary Fermented Soy Sauce. Fermentation. 2022; 8(2):73. https://doi.org/10.3390/fermentation8020073
Chicago/Turabian StyleChang, Yun-Hsi, GiGi Chin Wen Lim, Ju-Yun Chien, Lu-Sheng Hsieh, Shinn-Dar Wu, and Jhih-Ying Ciou. 2022. "Assessment of Lemon Juice Starter Addition on Secondary Fermented Soy Sauce" Fermentation 8, no. 2: 73. https://doi.org/10.3390/fermentation8020073
APA StyleChang, Y.-H., Lim, G. C. W., Chien, J.-Y., Hsieh, L.-S., Wu, S.-D., & Ciou, J.-Y. (2022). Assessment of Lemon Juice Starter Addition on Secondary Fermented Soy Sauce. Fermentation, 8(2), 73. https://doi.org/10.3390/fermentation8020073

