Next Article in Journal
Evaluation of Nutritional Composition of Pure Filamentous Fungal Biomass as a Novel Ingredient for Fish Feed
Next Article in Special Issue
In Vitro Antioxidant and Antihypertensive Activity of Edible Insects Flours (Mealworm and Grasshopper) Fermented with Lactococcus lactis Strains
Previous Article in Journal
Co-Production of Isobutanol and Ethanol from Prairie Grain Starch Using Engineered Saccharomyces cerevisiae
Previous Article in Special Issue
Survival of Lactobacillus paracasei subsp. paracasei LBC 81 in Fermented Beverage from Chickpeas and Coconut in a Static In Vitro Digestion Model
 
 
Font Type:
Arial Georgia Verdana
Font Size:
Aa Aa Aa
Line Spacing:
Column Width:
Background:
Article

Production of L (+) Lactic Acid by Lactobacillus casei Ke11: Fed Batch Fermentation Strategies

by
Paola Monteiro de Oliveira
1,
Larissa Provasi Santos
1,
Luciana Fontes Coelho
1,
Paulo Marcelo Avila Neto
1,
Daiane Cristina Sass
1 and
Jonas Contiero
1,2,*
1
Institute of Biociences, São Paulo State University (Unesp), Rio Claro 13506-900, SP, Brazil
2
Institute for Research in Bioenergy, São Paulo State University (Unesp), Rio Claro 13506-900, SP, Brazil
*
Author to whom correspondence should be addressed.
Fermentation 2021, 7(3), 151; https://doi.org/10.3390/fermentation7030151
Submission received: 18 June 2021 / Revised: 9 August 2021 / Accepted: 10 August 2021 / Published: 13 August 2021
(This article belongs to the Special Issue Lactic Acid Fermentation and the Colours of Biotechnology 3.0)

Abstract

:
Lactic acid and its derivatives are widely used in pharmaceutical, leather, textile and food industries. However, until now there have been few systematic reports on fed-batch fermentation for efficient production and high concentration of l-lactic acid by lactic acid bacteria. This study describes the obtainment of L (+) lactic acid from sucrose using the Lactobacillus casei Ke11 strain through different feeding strategies using an accessible pH neutralizer such as CaCO3. The exponential feeding strategy can increase lactic acid production and productivity (175.84 g/L and 3.74 g/L/h, respectively) with a 95% yield, avoiding inhibition by high initial substrate concentration and, combined with the selected agent controller, avoids the cellular stress that could be caused by the high osmotic pressure of the culture media. The purification of the acid using charcoal and celite, followed by the use of a cation exchange column proved to be highly efficient, allowing a high yield of lactic acid, high removal of sugars and proteins. The described process shows great potential for the production of lactic acid, as well as the simple, efficient and low-cost purification method. This way, this work is useful to the large-scale fermentation of L. casei Ke11 for production of l-lactic acid.

Graphical Abstract

1. Introduction

Lactic acid (LA) is the common name for 2-hydroxypropanoic acid and is a highly versatile organic acid. It is used in the food, pharmaceutical, leather and textile industries and can also be used as a monomer for the synthesis of polylactic acid [1,2]. The increase in the demand for eco-friendly (“green”) products, along with the increase in the cost of products derived from petroleum and the limited fossil fuel reserves, has resulted in an increase in the demand for lactic acid and polylactic acid derivatives [3]. The estimate that the market value of lactic acid will reach 2.1 billion dollars in 2025, and the global polylactic acid market is projected to reach 1756 million dollars by 2025 [4].
There are two ways to synthesize lactic acid: chemical synthesis, with the lactonitrile route considered more viable compared to other forms of chemical synthesis, and biosynthesis through fermentation processes [5,6]. A large part of the production of lactic acid is currently achieved through bioprocesses, which have several advantages over chemical synthesis, such as the use of low-cost raw materials, low temperatures, less energy consumption, lower environmental impact and the production of enantiomers of high purity increasing the value of the product and applications [7].
Another advantage of the production of lactic acid by fermentation is the possibility of using agro-industrial residues, such as eucalyptus enzymatic hydrolysate [8], orange peel waste hydrolysate [9], microalgae [10], waste cooking oil glycerol [11], cassava bagasse [12] molasses [13,14], food waste [15], hydrolyzed cheese whey [3], brown rice [16], gardening residues [17], crystal sugar [18,19], municipal biopulp [20], Kodo millet bran hydrolysate [21,22], bakery waste and lucerne green juice [23], sugarcane bagasse [24,25,26] and sugar beet pulp [27].
Among lactic acid-producing microorganisms, those that stand out and have numerous studies in the literature are known as lactic acid bacteria (LAB). This concept emerged in the year 1900 with scientific advances that demonstrated an association among the bacteria that compose the group [28]. LAB are Gram-positive, immobile, nonsporulating, catalase-negative, cytochrome-negative, rod-shaped (bacilli) or spherical (cocci) microorganisms [29,30,31]. The genera of this group are Lactobacillus, Lactococcus, Enterococcus, Streptococcus, Leuconostoc, Weissella, Oenococcus, Pediococcus, Tetragenococcus and Carnobacterium [32].
Another characteristic of LAB is the capacity to ferment carbohydrates to form lactic acid as the primary product. Sugar in its pure form (sucrose, lactose and glucose) is the preferred carbon source. Despite being an expensive raw material, these sugars ensure a high yield and reduce the cost of purification [18,19,33]. Nitrogen sources also constitute a factor correlated with the production of lactic acid, as LAB require complex media [34].
Besides the concentration of these nutrients, other variables that should be evaluated to obtain greater lactic acid yield are the partial pressure of oxygen and carbon dioxide, osmotic pressure, pH, agitation and temperature, all of which exert an influence on the fermentation process [35]. The way fermentation is conducted also exerts an influence on the productivity and yield of the production of this organic acid. Batch fermentation is easier to operate, results in a high titer and has a lower risk of contamination, but productivity is low and inhibition occurs due to the substrate and final product [36]. Fed-batch fermentation involves the continual addition of substrate to the fermentation medium throughout the cultivation process. This method leads to high lactic acid productivity and has several economic advantages [37,38]. However, until now there are few systematic reports on fed-batch fermentation for efficient production and high concentration of l-lactic acid by lactic acid bacteria.
The aim of the present study was to produce L (+) lactic acid from Lactobacillus casei Ke11 using sucrose as the carbon source a yeast extract (as the nitrogen source) from the alcohol industry, which is a low-cost source in the case of Brazil, since during the ethanol manufacturing process, excess yeast is removed in the process, and in some alcohol plants yeast extract is produced as a by-product, with the evaluation of different fed-batch methods (pulse, constant and exponential feeding). This study provides a practical approach to the production of low-cost lactic acid from sucrose, establishing a production system with high titer and productivity of LA. As the purification of L (+) lactic acid from the fermentation broth is little reported, this study provides new information on the separation of L (+) lactic acid, employing two purification steps with a great yield of lactic acid, high removal of sugars and proteins. The studies carried out here show the potential use of L. casei Ke11 for large-scale production of lactic acid, using low-cost substrates and simple purification steps.

2. Materials and Methods

2.1. Microorganism and Culture Medium

The microorganism used was Lactobacillus casei Ke11 isolated from kefir at the Industrial Microbiology Lab of São Paulo State University (Unesp) in Rio Claro, SP, Brazil. This microorganism is characterized as an excellent producer of L (+) lactic acid and was kept in a cryogenic tube containing Man, Rogosa and Sharpe (MRS) medium and 20% glycerol at −20 °C. The propagation of the strain occurred twice in MRS medium at 35 °C and 150 rpm for 24 h prior to being inoculated under the same conditions.

2.2. Plackett–Burman to Being Inoculated under the Same Conditions

To optimize the fermentation medium, a Plackett–Burman (PB) design was used to analyze the carbon source, nitrogen source, percentage of inoculum, potassium phosphate, magnesium sulphate, manganese sulphate, acetate, citrate, and Tween 80. The PB design was based on the first-order model with no interactions among the factors. The variables and levels are displayed in Table 1.
The experiment was performed in a 125-mL Erlenmeyer flask containing 20 mL of production medium and 60 g/L of calcium carbonate to control the pH. The medium was incubated in a shaker for 24 h, 150 rpm at 35 °C. The samples were then removed for the quantification of lactic acid.

2.3. Central Composite Design and Response Surface Methodology

For variables that contributed to a significant increase in lactic acid production based on the PB results, a central composite design was used with four replications of the central point. The experiment was performed in duplicate.
The independent variables were coded according to Equation (1).
X n = ( X X 0 ) X + 1     X 1 2
In which Xn is the value of the variable in the experiment in the coded form, X is the real value of the variable to be calculated, X0 is the real value of the variable at the central point, X+1 is the real value of the variable on the upper level and X−1 is the real value of the variable on the lower level. The real and coded levels are displayed in Table 2.
The experiment was performed in a 125-mL Erlenmeyer flask containing 20 mL of production medium, 10% inoculum and 60 g/L of calcium carbonate to control the pH. The medium was incubated in a shaker for 24 h, 150 rpm at 35 °C.

2.4. Batch and Fed Batch Fermentation Strategies

The fermentations were conducted in a Multifors fermenter (Infors, Bottmingen/Basel, Switzerland). Four simple batch fermentations were performed with the control of pH using NaOH 10 N and the fermentation medium containing salts from the MRS medium, another under the same conditions without the addition of the salts, and fermentation using calcium carbonate (60 g/L) for the control of pH rather than NaOH. Eight fed batch fermentations were performed: two with pulse feedings of 50 mL/L with an initial sucrose concentration of 80 and 120 g/L and two with constant feeding with a flow of 5 mL/h using these same concentrations of sucrose. One fed batch fermentation was performed with exponential feeding and three other exponential fed batch fermentations were performed using the Iris 6 software, in which feeding flows were calculated using formula Equation (2) [39]:
F = μ Y X / S   ( S i S ) V 0 X 0 exp ( μ t )
where V0 = initial volume, X0 = initial cell concentration, Yx/s is the theoretical cell yield on substrate, Si and S are substrate concentration in the feeding solution and in the reactor and t is the culture time.
For the fed batch fermentation with pulse, constant and manual exponential feeding, the pH was controlled by NaOH 10 N. For the three automatic exponential fed batch fermentations, pH was controlled by the addition of NaOH 10 N alone in one, the addition of 60 g/L CaCO3 alone in another and the addition of both NaOH 10 N and 60 g/L CaCO3 in the third. The aim was to evaluate the effects of each pH maintenance method on each fed batch fermentation.

2.5. Kinetics of Fermentation Process and Stoichiometric Parameters

The kinetics of substrate consumption and L (+) lactic acid production were determined in shaker and reactor experiments, in the latter of which the microorganism growth kinetics were also evaluated when CaCO3 was not added to control the pH.

2.6. Purification Using Activated Charcoal and Celite

One layer of celite (Sigma-Aldrich, Burlington, MA, USA) and one layer of activated charcoal powder (both approximately 1.00 cm in thickness) were added to the sintered funnel plate (3.50 cm in diameter and 5.00 cm in height). Distilled water was added for the complete compaction of the charcoal and celite. Next, the centrifuged broth (pH 5.00) was vacuum filtered in the sintered funnel plate containing the mixture of celite and activated charcoal. After filtration, washing was performed with distilled water and the filtrate was submitted to a new filtration step in plant charcoal and celite, followed by washing. The resulting final solution was filtered through a cellulose acetate ultrafiltration membrane.

2.7. Cation Exchange

The solution containing lactate obtained from purification with charcoal and celite was added to a column containing cationic exchange resin: IRA 120 (hydrogen form). The resin was washed with a HCl (1N) solution prior to use.

2.8. Analytical Techniques

High performance liquid chromatography of the fermented broth was used for the quantification and determination of L(+)lactic acid according to Beitel et al. [19], using a column Rezex ROA 300 mm × 7.8 mm (phenomenex, Burlington, MA, USA) and differential refracting index detector (Shimadzu Ultra Fast Liquid Chromatograph, Kyoto, Japan ). The mobile phase (0.005 M H2SO4) was fed at a flow rate of 0.6 mL/min, and the temperature was kept 65 °C, and Chirex 2126 Phenomenex (150.00 × 4.60 mm) column with 1 mM of CuSO4 as the mobile phase at 1 mL/min and temperature of 26 °C, respectively.
The substrate consumption, the quantification of proteins using the Lowry assay [40] and the determination of the cell concentration by optical density at a wavelength of 600 nm related to dry mass.

2.9. Statistical Analyses

Data analysis related to the experimental design was performed with the aid of the Statistica 7 program using multiple regression analysis and the minimum squares method for each response, the parameters of which were the isolated terms, interactions and quadratics of the variables studied.

3. Results and Discussion

3.1. Effect of Composition of Fermentation Medium Using Plackett–Burman Design

Using sucrose and yeast extract as the carbon and nitrogen sources, respectively, the Plackett–Burman design was employed to evaluate the effect of the different components of the fermentation medium. Table 3 shows the design matrix with real values and lactic acid production.
Tween 80, yeast extract and percentage of inoculum exerted positive effects at the 95% confidence level (Figure 1). Similar responses have been reported in previous studies. Coelho et al. [41], Coelho et al. [18] and Naveena et al. [42] found that Tween 80 was a significant component for the increase in the production of lactic acid. Tween 80 is responsible for the migration of nutritive compounds to the cells and consequently contributes to microbial growth [43,44].
The Pareto chart (Figure 1) shows that citrate and manganese sulfate were negatively significant. This occurs because high concentrations of MnSO4 can inhibit microbial growth, exert an influence on the pH of the substrate and are directly related to the inactivation of enzymes responsible for the biosynthesis of the product [45].
After the determination of significant factors for L (+) lactic acid production (Tween 80, yeast extract and percentage of inoculum), the next step was to optimize the concentrations of these factors in the medium. The concentration of sucrose was also evaluated. For such, the surface response method was employed using a central composite design.

3.2. Optimization of L(+)Lactic Acid Production Using Response Surface Method

The design matrix and responses (production of lactic acid, residual sugar in g/L and productivity) are displayed in Table 4.
Analyzing Table 4, the best lactic acid production was achieved in Experiment 14. However, Experiment 20 led to optimal values for both lactic acid production and residual sugar. Based on these data, multiple regression analyses were performed, which generated the following regression equations:
Production of lactic acid by microorganism Ke11 (Equation (3)):
Y = 104.02 + 26.24X 1 + 16.89X2 − 0.21X3 + 11.40X4 − 10.73X1X1 + 13.31X1X2 − 2.26X1X3 + 2.46X1X4 − 9.75X2X2 − 2.52X2X3 − 2.14X2X4 − 1.42X3X3 + 1.16X3X4 − 10.69X4X4
Residual sugar from lactic acid production by microorganism Ke11 (Equation (4)):
Y = 4.19 + 33.19X1 − 17.38X2 − 0.73X3 − 10.98X4 + 12.25X1X1 − 13.23X1X2 − 0.69X1X3 − 3.56X1X4 + 11.98X2X2 − 0.83X2X3 + 0.75X2X4 − 0.95X3X3 − 1.18X3X4 + 12.46X4X4
In which Y is the predicted response (concentration of lactic acid) and X1, X2, X3 and X4 are coded variables for sucrose, yeast extract, Tween 80 and percentage of inoculum, respectively.
Fisher’s exact test was used to check the statistical significance of Equations (3) and (4). Table 5 displays the Student t distribution and corresponding values together with the estimated variables. The identification of significant variables was performed through hypothesis tests using the Student t statistic. Probability (p) was used as a tool to determine the significance of each coefficient. A maximum probability of 5% on the test was established. Thus, variables with a p-value < 0.05 were considered significant.
For the microorganism Lactobacillus casei Ke11 use the independent variables X1 (sucrose), X2 (yeast extract) and X4 (percentage of inoculum) had a significant effect (Table 5). The X1X2 interaction, the quadratics X12, X22 and the quadratic X42 were also significant with regards to both lactic acid production and residual sugar.
The quadratic model of the response surface was performed in the form of analysis of variance (ANOVA) and the results are displayed in Table 6.
In the ANOVA table of the quadratic regression model for the production data and residual TRS data, the model is significant, as demonstrated by the results of Fisher’s test. For both the production data and residual sugar data, the distribution of residuals was random around zero, with no trend and the observed values were close to the predicted values, leading to a constant trend and normal distribution.
Regression Equation (1) was used to construct the response surfaces for lactic acid production by the microorganism L. casei Ke11, which is presented in Figure 2, to assist in the understanding of the interactions of the variables X1, X2 and X4 regarding lactic acid production. The figure also assists in locating the optimal region for each variable to achieve the maximum response.
Analyzing Figure 2a, a greater concentration of both sucrose and yeast extract led to greater lactic acid production. Figure 2b shows that the optimum concentration of sucrose for lactic acid production was between 180 and 220 g/L and the ideal percentage of inoculum was between 10 and 16%. Kinetic studies of lactic acid production show that the final concentration of lactic acid increases with the increase in the initial concentration of glucose as high as 200 g/L [46,47].
Figure 2c shows that the ideal concentration for greater lactic acid production was between 30 and 50 g/L of yeast extract and the ideal percentage of inoculum was between 10 and 20%. Beitel et al. [19] found that maximum lactic acid production (113.73 g/L) and a low concentration of residual sucrose (3.37 g/L) were obtained when 20% (v/v) inoculum was used in the culture medium. However, a lower concentration of lactic acid was obtained (82.34 g/L) using 5% (v/v) inoculum, which may be attributed to the low density of the inoculum.
Regression Equation (2) was used to construct the response surfaces for residual sugar in lactic acid production by the microorganism L. casei Ke11. Figure 3a shows that the concentration of yeast extract should be between 10 and 40 g/L and sucrose should be up to 120 g/L to ensure less residual sugar in the medium. The analysis of Figure 3b shows that the inoculum should be between 8 and 14%, whereas the initial concentration of sucrose should be up to 120 g/L. The analysis of Figure 3c shows that the concentration of yeast extract should be between 30 and 50 g/L and the inoculum should be between 8 and 16%.
Although the use of 2% inoculum (v/v) has been reported for lactic acid production [48,49], a greater concentration of inoculum (3% to 10%, v/v) can also be used [13,50]. With these data and considering that optimum fermentation should have maximum production and minimum residual sugar, the variables chosen were 120 g/L of sucrose, 40 g/L of yeast extract and 10% inoculum.

3.3. Confirmation and Kinetics of Fermentation with Best Points Obtained in Central Composite Design

After determining the best variables for lactic acid production and residual sugar in the central composite design, fermentation was performed in a shaker for the confirmation of the results. The kinetics of this fermentation were determined to visualize the behavior of the microorganism L. casei Ke11 in terms of production, growth and the consumption of sugar over time.
As shown in Figure 4, the microorganism Lactobacillus casei Ke11 initiated its exponential growth phase in 12 h.
Total lactic acid production in 48 h was 108.15 g/L, but the greatest concentration of lactic acid was obtained in 36 h (112.15 g/L). This shows that when the carbon source is depleted, the microorganism begins to consume the lactic acid. Highest productivity occurred in 18 h (4.76 g/L/h). Hujanen et al. [51] report a similar result; using 160 g/L of glucose and the microorganism Lactobacillus casei NRRL B-441, lactic acid production was 118.6 g/L, with a yield of 74%. The highest productivity found by the authors was 4.4 g/L/h in 15 h when 100 g/L of glucose were used.
Both the instantaneous velocity of lactic acid production and the consumption of sucrose occurred in the interval from 12 to 18 h, with concentrations of 12.22 g/L/h and 12.35 g/L/h, respectively, indicating that the microorganism consumed the carbon source for the production of the compound of interest.

3.4. Batch Fermentation in Reactor

After the validation of the optimum points and fermentation kinetics, batch fermentation was performed in a reactor with pH controlled using NaOH and CaCO3 and the kinetics of L (+) lactic acid production, sugar consumption and growth of the organisms (CaCO3 was not employed for the latter) were determined. The results are displayed in Figure 5.
Figure 5 shows that the kinetic profiles of the fermentation process were quite similar. The maximum specific production velocity was 5.43 h−1 between 21 and 24 h in the batch without salts and 5.75 h−1 in this same time interval in the batch with the addition of salts. In both fermentations, the maximum biomass was obtained in 12 h, after which the microorganism initiated its decline phase. However, the biomass value was greater without the addition of salts (3.92 g/L) compared to the addition of salts (1.13 g/L).
At the beginning of fermentation, L (+) lactic acid production is associated with the growth of microorganisms, but the biomass then begins to decline while production continues to increase. The decoupling of microorganism growth and lactic acid production was found in the study by Gonçalves et al. [46], in which maximum lactic acid production (140 g/L) was obtained when the initial glucose concentration was 200 g/L, whereas the maximum cellular concentration was obtained with 100 g/L of glucose. Thus, the energy obtained by the production of lactate is no longer available for the growth of the microorganism and is completely used for the maintenance of the pH.
The kinetic profiles of the batch fermentations with the control of pH performed by the addition of CaCO3 are displayed in Figure 6.
In the batch with pH controlled by CaCO3 without the addition of salts from the MRS medium (Figure 6b), maximum instantaneous production velocity occurred between 21 and 24 h of fermentation (8.47 g/L/h), whereas maximum instantaneous velocity of sugar consumption occurred between six and 12 h of fermentation (7.14 g/L/h).
In the batch with the addition of salts from the MRS medium (Figure 6a), maximum instantaneous production velocity also occurred between 21 and 24 h and was 73.55% greater than the maximum instantaneous velocity obtained when salts from the MRS were not added (14.7 g/L/h). Moreover, maximum instantaneous sugar consumption velocity occurred earlier in this fermentation (in first six hours) and was 7.52 g/L/h.
Analyzing Figure 5 and Figure 6 above, higher L (+) lactic acid production was obtained when CaCO3 was used as the controller of pH: 97.9 g/L when salts from the MRS were not added (Figure 6a) and 103.9 g/L when salts were added (Figure 6b). Both concentrations were obtained in 24 h of fermentation.
Nakano, Ugwu and Tokiwa [52] studied the effects of Ca(OH)2, NH4OH and NaOH as neutralizing agents for the efficient recovery of lactic acid produced from broken rice in a simultaneous saccharification and fermentation (SSF) process using the microorganism Lactobacillus delbrueckii. The values for the consumption of glucose derived from broken rice and cellular growth were higher when Ca(OH)2 was used for the control of pH. According to the authors, the molarity of lactate in the fermentation medium is lower when Ca(OH)2 is used, resulting in high productivity of lactic acid. Moreover, divalent cations (Ca2+) are more efficient at neutralization in culture media compared to monovalent cations (Na+ and NH3+).
According to Giraud, Lelong and Raimbault [53], the growth of lactic acid bacteria is normally inhibited by the accumulation of lactate. This inhibition may be explained by the collapse of the cell membrane of the microorganism due to the change in its potential, the acidification of cytosol or the accumulation of anions within the cell [54,55]. Some authors, such as Senthuran et al. [56] and Timbuntam, Sriroth and Tokiwa [57], state that high concentrations of soluble substances have diverse effects on lactic acid fermentation.
When Ca(OH)2 is used, 1 M of calcium lactate (composed of two lactate ions and one calcium cation) is formed from 2 M of lactic acid and 1 M of glucose. When NH4OH is used as the neutralizing agent, 2 M of ammonium lactate (composed of one lactate ion and one ammonium cation) is obtained from 2 M of lactic acid and 1 M of glucose. When NaOH is used, 2 M of sodium lactate (composed of one lactate ion and one sodium cation) is formed from 2 M of lactic acid and 1 M of glucose. Thus, the molarity of calcium lactate is lower than that of ammonium lactate and sodium lactate [52].
However, Buvukkileci [58] analyzed the neutralizing capacity of NaOH and CaCO3 in lactic acid production by the microorganism Lactobacillus casei NRRL B-441 and found that NaOH was more efficient for lactic acid production than CaCO3 and productivity was 33% higher. The author found that when CaCO3 was used, the pH of the medium dropped to 5 in 12 h of fermentation and remained at this value until the end of end of fermentation. Thus, the inefficient production of lactic acid at pH 5 by the microorganism used could be the reason for the low productivity when CaCO3 was used.

3.5. Fed Batch

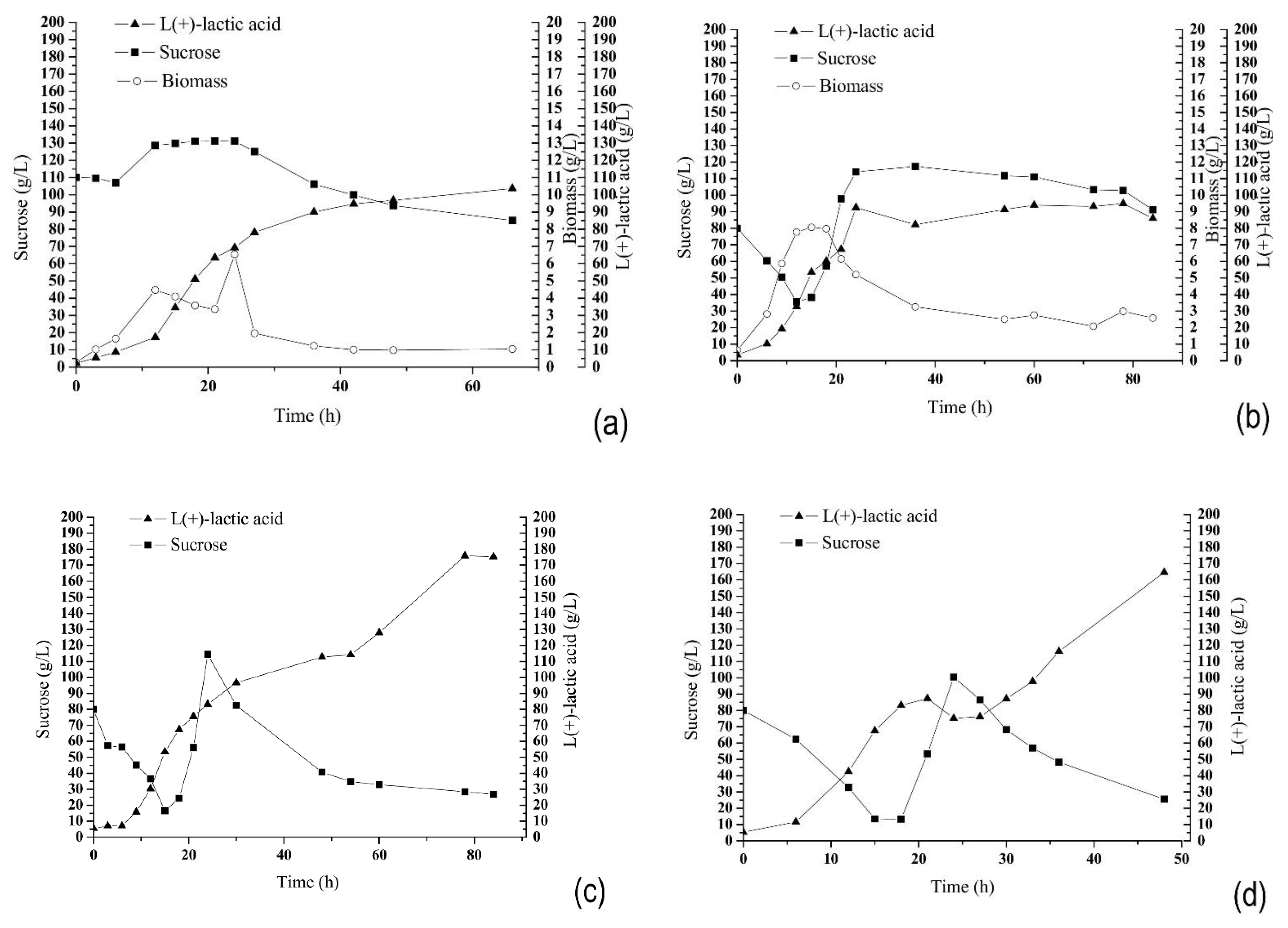
The kinetic profiles of L(+)-lactic acid production, sucrose consumption and growth of the microorganism L. casei Ke 11 obtained in the fed batch experiments are displayed in Figure 7.
Figure 7 shows that the highest production de L(+)-lactic acid was 125.53 g/L and was achieved after 54 h of fermentation when feeding was performed with constant feeding of 5 mL/hora and the initial sucrose concentration in the medium was 80 g/L, followed by feeding performed with constant feeding of 5 mL/hora and an initial sucrose concentration of 120 g/L (110 g/L after 54 h of fermentation).
The lowest production of L (+)-lactic acid was found using the pulse fed batch method with an initial sucrose concentration of 120 g/L and was 92.82 g/L after 66 h of fermentation. When the initial concentration of sucrose was 80 g/L, a 7.9% increase in lactic acid production was found (100.15 g/L). The microorganism growth profile in these two fermentations was similar up to 24 h, when fermentation with an initial sucrose concentration of 120 g/L obtained a peak biomass value of 8.25 g/L. However, the biomass began to decrease after 24 h. Fermentation with constant feeding and an initial sucrose concentration of 80 g/L also had the highest biomass value (12.32 g/L) in 21 h of fermentation.
Comparing fermentations with constant feeding (Figure 7c,d), the microorganism grew 45.80% more when the initial sucrose concentration in the medium was 80 g/L (Figure 7c), suggesting that inhibition of microorganism growth occurred by the substrate in the fermentation when the initial sucrose concentration was 120 g/L. Moreover, the sucrose concentration was maintained high throughout this fermentation, which also led to high residual sugar at the end of fermentation (44.22 g/L), whereas residual sugar was only 4.51 g/L when the initial sucrose concentration was 80 g/L.
Using constant feeding, Bai et al. [59] found a significant increase in lactic acid production by Lactobacillus lactis, furnishing a final concentration of lactic acid of 210.00 g/L and less than 0.50 g/L glucose.
These results show that a higher initial sucrose concentration (120 g/L) led to lower L(+)-lactic acid production and a lower initial sucrose concentration (80 g/L) led to higher production, not necessarily indicating an inhibition of growth but an inhibition of lactic acid production by sucrose.
The maximum specific production velocity in fed batch fermentation with constant feeding and an initial sucrose concentration of 80 g/L (Figure 7c) occurred between 8 and 12 h of fermentation and was 1.07 h−1. The maximum specific microorganism growth velocity occurred in this same time interval and was 0.27 h−1. After 21 h of fermentation, the biomass value began to decline, whereas the concentration of lactic acid continued to increase, suggesting that the growth of the microorganism and formation of the product are partially concomitant.
In fed batch fermentation with constant feeding and an initial sucrose concentration of 120 g/L (Figure 7d), maximum specific production velocity also occurred between 8 and 12 h of fermentation and was 1.4 h−1, which is 30% higher than the maximum velocity achieved with an initial sucrose concentration of 80 g/L (Figure 7c). Maximum specific growth velocity occurred at the beginning of fermentation (0 to 6 h) and was 0.23 h−1 (17.4% lower than when the initial sucrose concentration in the medium was 80 g/L).
For pulse batch fed fermentations with an initial sucrose concentration of 80 g/L, the maximum specific velocities of production and growth of the microorganism were 2.07 h−1 between 18 and 21 h and 0.34 h−1 between 0 and 6 h, respectively. When the initial sucrose concentration was 120 g/L, these velocities were respectively 1.59 h−1 between 0 and 6 h and 0.31 h−1 between 3 and 6 h of fermentation. Thus, the microorganism produced lactic acid at a 30.19% greater specific velocity and grew at a 9.7% greater specific velocity when the lower initial sucrose concentration (80 g/L) was used (Figure 7a), suggesting that the concentration of sucrose interfered with both production and microorganism growth.
Paulova et al. [60] evaluated batch, fed batch and continual cultivation using Lactobacillus casei CCDM 198 and hydrolyzed chicken feathers as a replacement for all complex nitrogen sources and found high productivity (around 4.0 g/L/h) and yield (around 98%) with all culture conditions. The maximum final concentration of L (+) lactic acid (116.5 g/L) was achieved using pulse batch feeding.
Different results were found when fed batch fermentation was performed with constant feeding, as the maximum specific production velocity increased when the initial concentration of sucrose was 120 g/L. This may be because sucrose concentration values did not reach as high as those when pulse fed batch fermentation was used with an initial sucrose concentration of 120 g/L, which reached 185.99 g/L of sucrose in the medium in 15 h of fermentation. However, the maximum specific microorganism growth velocity was lower.
Figure 8 above shows that the maximum production of L (+) lactic acid was achieved with exponential fed batch fermentation in which the control of pH was performed with both NaOH 10 N and CaCO3 and was 175.84 g/L in 78 h of fermentation.
In exponential fed fermentation with manual control (Figure 8a), the sucrose concentration in the medium was maintained higher than 120 g/L, which may have inhibited the growth of the microorganism (maximum biomass: 6.53 g/L in 24 h) and the production of L (+) lactic acid (103.59 g/L in 66 h). With this fermentation, peak microorganism growth occurred in 24 h, followed by a decrease.
Optimal L(+)-lactic acid production was also achieved using exponential fed batch fermentation with the control of pH performed by CaCO3 alone, which was 164.55 g/L in 48 h. Production may have been higher if the fermentation had lasted longer, but calcium lactate crystals formed and solidified the medium, impeding further fermentation.
Coelho et al. [18] obtained L (+) lactic acid concentration of 206.81 g/L in 39 h of fermentation using the exponential fed batch method with a feed solution of 900 g/L of crystal sugar and 1% of yeast extract at 50 °C and pH 6.5. Using an initial sugar concentration of 100 g/L, productivity was 5.3 g/L/h and the yield was 97%, with no remaining sugar.
These results confirm that the production of L (+) lactic acid increases when CaCO3 is used as the neutralizing agent, as discussed above for the results obtained with batch fermentation. It is very likely that if the fermentation had not been interrupted in 48 h, greater L (+) lactic acid production could have been obtained with this fermentation, as production with exponential feeding was only 112.71 g/L L (+) lactic acid in 48 h when pH was controlled by NaOH 10 N and CaCO3 (Figure 8c). Balakrishnan et al. [21] found that although lactic acid production and yield was better when using CaCO3 to control pH compared to NaHCO3, the latter is more indicated because at lower cost and e solubility of sodium lactate is higher which led to an easier separation of LA.
Coelho et al. [18] found that lactic acid production was 10 to 15% higher in experiments using Ca(OH)2 compared to other neutralizers. Liu et al. [61] also found that Ca(OH)2 was the best controller of pH, achieving threefold better productivity compared to when KOH and NH4OH were used.
The maximum specific velocities of production and microorganism growth were 1.68 h−1 and 0.39 h−1, respectively, between 0 and 3 h of fermentation in exponential fed batch fermentation with manual feeding and 1.48 h−1 between 21 and 24 h and 0.23 h−1 between 6 and 9 h of fermentation, respectively, in exponential fed batch fermentation with software-controlled feeding and pH regulated by the addition of only NaOH 10 N. Maximum specific production and growth velocities were respectively 13.51% and 69.56% lower when exponential fed batch fermentation was used with software-controlled feeding and pH regulated by NaOH 10 N alone.
The following respective maximum instantaneous production velocities were achieved using exponential fed batch fermentation with software-controlled feeding and pH regulated by the addition of NaOH 10 N and CaCO3 (Figure 8c) or by the addition of CaCO3 (Figure 8d) alone: 7.71 g/L/h between 12 and 15 h and 8.36 g/L/h also between 12 and 15 h. Thus, maximum instantaneous production velocity was 6.42% higher when only CaCO3 was used compared to when both NaOH 10 N and CaCO3 were used for the maintenance of pH.
As shown in Table 7, the highest production occurred using exponential fermentation with feeding controlled by software and pH control performed with NaOH 10 N and CaCO3. Ding and Tan [44] used different feeding strategies (pulse, constant, constant concentration of glucose and exponential) and the best values for production, productivity and dry mass were obtained using exponential fed batch fermentation with the medium containing 850 g/L of glucose and 1% of yeast extract (180, 2.14 and 4.30 g/L, respectively). In comparison to these values, the results in the present study were satisfactory: 175.84 g/L of L(+)-lactic acid and 3.74 g/L/h for productivity.
Unlike was occurred in the study by Ding and Tan [39], the reactor batch was not the fermentation with the lowest production of L(+)-lactic acid (103.9 g/L), as the pulse fed batch fermentations had lower values (100.15 g/L of L(+)-lactic acid when the initial sucrose concentration in the medium was 80 g/L and 92.82 g/L when the initial sucrose concentration was 120 g/L). This may be explained by the fact that the three fermentations were begun with high concentrations of sucrose (120 g/L) and, in the pulse fed fermentations, the pulses occurred at the beginning of fermentation, maintaining the sucrose concentration high.
The literature reports that there is a reduction in the concentration of lactic acid and its productivity resulting from inhibition due to the high concentration of product and/or substrate [39,62]. According to Kotzamanidis, Roukas and Skaracis [46], this inhibition occurs due to the high osmotic pressure of the cells in the batch fermentation. Moreover, the activity of the water is reduced when the substrate is above a critical concentration and, together with cellular plasmolysis, causes a decrease in the fermentation rate and use of sugar.
A comparison of the two pulse fed batch fermentations and two constant fed batch fermentations confirms this hypothesis. Final L (+) lactic acid production was greater when the initial sucrose concentration was lower. With pulse fed batch fermentation, the production of L (+) lactic acid was 7.9% higher (100.15 g/L) when the initial sucrose concentration was 80 g/L than when the initial sucrose concentration was 120 g/L (92.82 g/L). With constant fed batch fermentation, the production of L (+) lactic acid was 19.15% higher (125.53 g/L) when the initial sucrose concentration was 80 g/L than when the initial sucrose concentration was 120 g/L (105.36 g/L).
The best yield was achieved using exponential fed batch fermentation with pH controlled by the addition of NaOH 10 N and CaCO3. Ding and Tan [39] achieved a yield of 90.3% (+/−1.5) using exponential fed batch fermentation, whereas the yield in the present study was 95%.
Comparing exponential fed batch fermentation with pH controlled by NaOH 10 N and CaCO3, in which the highest production and yield were obtained, to the batch performed in a reactor, the increase in production was 69.24% and the increase in yield was 11%. Ding and Tan [39] obtained an increase of 56.5% in L (+) lactic acid production in exponential fed batch fermentation with 850 g/L of glucose and 1% of yeast extract. However, the authors achieved a 59.7% increase in productivity, whereas productivity in batch fermentation was 16.4% higher in the present study. Bernardo et al. [63] obtained 143.7 g/L of lactic acid using a pH-stat feeding strategy.
Lai et al. [64] compared the performance of the batch mode and fed batch mode and found that the latter led to a higher concentration of lactic acid, yield and productivity. The fed batch mode can increase the content of the final product in the bioreactor, maintaining a low concentration of substrate during fermentation and thereby avoiding the inhibitory effect of the sugar and reducing the effect of osmotic pressure on the bacterial cells [19].
The better performance of the fed batch mode over the batch mode can be explained by the fact that it was capable of alleviating the high viscosity caused by the high biomass load and avoiding the inhibition of the transference of mass and heat transference efficiency in the medium [65]. Another reason was that the inhibition of the substrate and product can be avoided by feeding the substrate to the medium at different times [66].

3.6. Extraction and Purification of Lactic Acid

The purification of the lactic acid obtained from the broths was performed using the charcoal-celite method [18]. Both purification experiments were performed with the broth obtained from simple batch fermentation with pH controlled by NaOH 10 N, without the addition of salts from the MRS medium, with an initial concentration of 120 g/L of sucrose and 4.6 g/L of L (+) lactic acid. This broth was first acidified to pH 5 with an HCl 1 N solution, obtaining an initial concentration of 62.58 g/L of lactic acid and 1.54 g/L of sugars. Next, 10 mL of the acidified solution were submitted to two consecutive steps of vacuum filtering with charcoal and celite. The experiment was performed again with another 10 mL of the solution to confirm the results. The results of the two experiments are displayed in Table 8.
Considering Table 8, it is important to point out that the efficiency (% lactic acid recovery), protein removal, sugar removal and percentage of sugars in relation to lactic acid (sugars/lactic acid) are calculated based on the initial and final quantity in grams (taking into consideration both the concentrations as well as the initial and final volumes).
Analyzing the results of the two experiments, high lactic acid recovery (98.8% and 94%) was attained, along with high protein and sugar removal. Another important factor to consider is the percentage of sugars in relation to lactic acid, as this is a crucial aspect for the use of lactic acid in the synthesis of polymers. For good polymerization, this ratio needs to be less than 1% and was well below this threshold in both experiments (0.36% and 0.36%), demonstrating that this is a highly efficient method and suitable for use in the purification of lactic acid that will subsequently be polymerized.
However, the only inconvenient aspect is that purification at this pH has the salt of lactic acid (lactate) as the end product, since the pKa of lactic acid is 3.85. Thus, purification was performed with the acidified broth with pH around 3 to ensure that lactic acid is recovered in the end rather than its salt. The same broth used previously was acidified to pH 3.2 with HCl 1N solution, obtaining an initial concentration of lactic acid and sugars of 52.88 g/L and 0.464 g/L, respectively. Next, 100 mL of the acidified solution were submitted to two consecutive vacuum filtering steps with charcoal and celite. In these steps, the filtrates were washed with HCl (1N) solution rather than H2O as in the previous processes to maintain the final pH below the pKa (3.85).
At the end of the purification steps, a 300-mL solution was obtained with the following concentrations: [lactic acid] = 13.325 g/L, [sugars] = 0.05 g/L and the absence of proteins. These results demonstrate that both protein removal (100%) and the percentage of sugars in relation to lactic acid (0.37%) remained similar to the results obtained with pH 5. However, sugar removal (67%) and lactic acid recovery (76%) were lower than the results obtained with pH 5.
To enhance the efficiency of this last method, the experiment was also performed with the broth obtained during exponential fed batch fermentation with software-regulated feeding and the control of pH by CaCO3, in which good L (+) lactic acid production was achieved. The broth was first acidified to pH 3.2 with HCl 1N solution, obtaining an initial concentration of lactic acid and sugars of 77 g/L and 13 g/L, respectively. Next, two vacuum filtration experiments were conducted with charcoal and celite and different initial volumes of acidified broth (50 and 100 mL). The results of the two experiments are shown in Table 9.
The results in Table 9 show that this method was not very efficient for a broth with a greater concentration of sugars, as the percentage of sugars in relation to lactic acid was higher than 1% in both cases. Moreover, it was not possible to increase the recovery of the acid, which remained in the 70% range. These results show that the reduction in the pH of the broth (pH around 3) and washing with HCl solution diminished the efficiency of lactic acid purification using the charcoal-celite method. According to Chen and Ju [67], the adsorption of lactic acid to charcoal increases with the reduction in pH and it is consequently more difficult to remove a large quantity of lactic acid from the charcoal.
Lactic acid purification was performed in two steps: (1) Purification with charcoal and celite using the broth with pH 5 and washing with water. (2) Transformation of lactate (salt) into lactic acid with the addition of the solution in a resin cation exchange column. The broth was basified to pH 5 with NaOH 1N solution, obtaining an initial concentration of lactic acid and sugars of 59.01 g/L and 9.4 g/L, respectively. Next, 40 mL of this solution were submitted to two steps of vacuum filtration with charcoal and celite, with the filtrates in these steps rinsed in H2O.
At the end of the two filtrations, a 203-mL solution was obtained with the following concentrations: [lactic acid] = 10.833 g/L, [sugars] = 0.066 g/L and absence of proteins. These results demonstrate that the process was highly efficient, with 93% lactic acid recovery, complete protein removal (100%), high sugar removal (96%) and a 0.6% proportion of sugars in relation to lactic acid.
This 203-mL solution was then submitted to a second purification step, which consisted of the transformation of lactate into lactic acid using a cation exchange column, as described in the Methods section. At the end of this final step, the final solution (205 mL) had the following concentrations: [lactic acid] = 9.661 g/L and [sugars] = 0.047 g/L.
Relating this result to the data on the initial broth, the entire process (filtration with charcoal and celite + cation exchange column) achieved high efficiency, with 84% total lactic acid recovery, high sugar removal (97%), complete protein removal (100%) and a sugar to lactic acid ratio of 0.49%. Coelho et al. [18] obtained similar results using charcoal and celite filtration + a cation exchange column, reporting 86% lactic acid recovery, 100% protein removal and the fermentation medium changed from a brown color to transparent. Coelho et al. [68] required an additional purification step with ethyl ether for a polymerization reaction of lactic acid by microwaves, achieving an average lactic acid recovery rate of 80% with high purity.
Piloni et al. [69] evaluated spirulina biochar and KOH-activated biochar in the purification of lactic acid and found lactic acid recovery rates of 92 and 82% as well as protein removal rates of 82 and 90%.

4. Conclusions

Yeast extract, sucrose, percentage of inoculum and Tween 80 exerted significant positive effects on L (+) lactic acid production, according to the Plackett–Burman design. To achieve the highest lactic acid production with the lowest amount of residual sugar, the optimum parameters were 120 g/L of sucrose, 40 g/L of yeast extract and 10% inoculum in a rotatable central composite design. Fermentation in a shaker validated the optimized medium, in which L (+) lactic acid production was 112.15 g/L. This fermentation had productivity of 4.76 g/L/h, with an 89% yield and 2.75 g/L of residual sugar. The highest values for batch fermentation in a reactor were achieved when CaCO3 used for the control of pH and salts from the MRS were added (production of L (+) lactic acid: 103.9 g/L; productivity: 4.34 g/L/h; yield 84%). Among the feeding strategies employed, L(+)-lactic acid production and yield were higher using exponential fed batch fermentation when NaOH 10 N and CaCO3 were used for the control of pH, leading to a 69.24% increase in production and 11% increase in yield. Only productivity was greater (16.04%) using the simple batch method. The purification process with double vacuum filtration using charcoal and celite followed by the transformation of lactate into lactic acid in a cation exchange column was highly efficient, leading to optimum lactic acid yield, high removal of sugars and proteins and low sugar/lactic acid ratio. This purification process offered the further advantages of a short operating time and low cost.

Author Contributions

P.M.d.O.: methodology, validation, formal analysis, investigation, resource; L.P.S.: writing—original draft preparation, writing review and editing; L.F.C.: methodology, writing—original draft preparation, writing review and editing; P.M.A.N.: methodology, validation, investigation, resource, data curation; D.C.S.: methodology, validation, investigation, resource, data curation; J.C.: visualization, supervision, funding acquisition, writing review and editing. All authors have read and agreed to the published version of the manuscript.

Funding

Fundação de amparo à pesquisa do Estado de São Paulo, Conselho Nacional de Desenvolvimento Científico e Tecnológico.

Conflicts of Interest

There is no conflicts of interest.

References

  1. Hofvendahl, K.; Hahn–Hägerdal, B. Factors affecting the fermentative lactic acid production from renewable resources1. Enzyme Microb. Technol. 2000, 26, 87–107. [Google Scholar] [CrossRef]
  2. Alexandri, M.; Schneider, R.; Mehlmann, K.; Venus, J. Recent advances in d-lactic acid production from renewable resources: Case studies on agro-industrial waste streams. Food Technol. Biotechnol. 2019, 57, 293–304. [Google Scholar] [CrossRef] [PubMed]
  3. Ziadi, M.; M’Hir, S.; Aydi, A.; Hamdi, M. Bioreactor Scale-Up and Kinetic Modeling of Lactic Acid and Biomass Production by Enterococcus faecalis SLT13 during Batch Culture on Hydrolyzed Cheese Whey. J. Chem. 2020, 2020, 1–9. [Google Scholar] [CrossRef]
  4. Markets and Markets. Latic Acid Market by Application (Bio-Degradable Polymers, Food & Beverages, Pharmaceutical Products), Form, and Region, Polylactic Acid Market, by Application (Packaging, Fiber & Fabrics, Agriculture), Form, and Region—Global Forecast to 2025. 2020. Available online: https://www.marketsandmarkets.com/Market-Reports/polylacticacid-387.html (accessed on 2 July 2021).
  5. Gao, C.; Ma, C.; Xu, P. Biotechnological routes based on lactic acid production from biomass. Biotechnol. Adv. 2011, 29, 930–939. [Google Scholar] [CrossRef] [PubMed]
  6. Komesu, A.; Oliveira, J.A.R.; Martins, L.H.S.; Maciel, M.R.W.; Maciel Filho, R. Lactic acid production to purification: A review. BioResources 2017, 12, 4364–4383. [Google Scholar] [CrossRef]
  7. Datta, R.; Tsai, S.P.; Bonsignore, P.; Seung-Hyeon, L.; Frank, J.R. Technological and economic potential of poly (lactic acid) and lactic acid derivatives. FEMS microbiol. Rev. 1995, 16, 221–231. [Google Scholar] [CrossRef]
  8. Camesasca, L.; de Mattos, J.A.; Vila, E.; Cebreiros, F.; Lareo, C. Lactic acid production by Carnobacterium sp. isolated from a maritime Antarctic lake using eucalyptus enzymatic hydrolysate. Biotechnol. Rep. 2021, 31, 1–10. [Google Scholar] [CrossRef]
  9. Bustamante, D.; Tortajada, M.; Ramon, D.; Rojas, A. Production of D-lactic acid by the fermentation of orange peel waste hydrolysate by lactic acid bacteria. Fermentation 2020, 6, 1. [Google Scholar] [CrossRef] [Green Version]
  10. Chen, P.-T.; Hong, Z.-S.; Cheng, C.-L.; Ng, I.-S.; Lo, Y.-C.; Nagarajan, D.; Chang, J.-S. Exploring fermentation strategies for enhanced lactic acid production with polyvinyl alcohol-immobilized Lactobacillus plantarum23 using microalgae as feedstock. Bioresour. Technol. 2020, 308, 1–13. [Google Scholar] [CrossRef]
  11. Yuwa-amornpitak, T.; Chookietwatana, K. Bioconversion of waste cooking oil glycerol from cabbage extract to lactic acid by Rhizopus microspores. Braz. J. Microbiol. 2018, 49, 178–184. [Google Scholar] [CrossRef]
  12. Macedo, J.V.; Ranke, F.B.; Escaramboni, B.; Campioni, T.S.; Núñez, E.G.F.; Neto, P.O. Cost-effective lactic acid production by fermentation of agro-industrial residues. Biocatal. Agric. Biotechnol. 2020, 27, 1–9. [Google Scholar] [CrossRef]
  13. Beitel, S.M.; Coelho, L.F.; Contiero, J. Efficient Conversion of Agroindustrial Waste into D(-) Lactic Acid by Lactobacillus delbrueckii Using Fed-Batch Fermentation. BioMed Res. Int. 2020, 2020, 1–13. [Google Scholar] [CrossRef] [Green Version]
  14. Mladenović, D.; Djukić-Vuković, A.; Stanković, M.; Milašinović-Šeremešić, M.; Radosavljević, M.; Pejin, J.; Mojović, L. Bioprocessing of agro-industrial residues into lactic acid and probiotic enriched livestock feed. J. Sci. Food Agric. 2019, 99, 5293–5302. [Google Scholar] [CrossRef]
  15. Wang, Q.; Yang, L.; Feng, K.; Li, H.; Deng, Z.; Liu, Z. Promote lactic acid production from food waste fermentation using biogas slurry recirculation. Bioresour. Technol. 2021, 337, 1–8. [Google Scholar] [CrossRef] [PubMed]
  16. Okano, K.; Hama, S.; Kihara, M.; Noda, H.; Tanaka, T.; Kondo, A. Production of optically pure D-lactic acid from brown rice using metabolically engineered Lactobacillus plantarum. Appl. Microbiol. Biotechnol. 2017, 101, 1869–1875. [Google Scholar] [CrossRef] [PubMed]
  17. Cubas-Cano, E.; Venun, J.; Gonzálies-Fernández, C.; Tomás-Pejó, E. Assessment of different Bacillus coagulans strains for L-lactic acid production from defined media and gardening hydrolysates: Effect of lignocellulosic inhibitors. J. Biotechnol. 2020, 323, 9–16. [Google Scholar] [CrossRef]
  18. Coelho, L.F.; Beitel, S.M.; Sass, D.C.; Neto, P.M.A.; Contiero, J. High-titer and productivity of l-(+)-lactic acid using exponential fed-batch fermentation with Bacillus coagulans arr4, a new thermotolerant bacterial strain. 3 Biotech 2018, 8, 1–8. [Google Scholar] [CrossRef] [PubMed] [Green Version]
  19. Beitel, S.M.; Coelho, L.F.; Sass, D.C.; Contiero, J. Environmentally friendly production of D (−) lactic acid by Sporolactobacillus nakayamae: Investigation of fermentation parameters and fed-batch strategies. Int. J. Food Microbiol. 2017, 2017, 1–11. [Google Scholar] [CrossRef] [PubMed] [Green Version]
  20. Alvarado-Morales, M.; Kuglarz, M.; Tsapekos, P.; Angelidaki, I. Municipal biopulp as substrate for lactic acid production focusing on downstream processing. J. Environ. Chem. Eng. 2021, 9, 1–7. [Google Scholar] [CrossRef]
  21. Balakrishnan, R.; Tadi, S.R.R.; Pavan, A.S.S.; Sivaprakasam, S.; Rajaram, S. Effect of nitrogen souces and neutralizing agents on D-lactic acid production from Kodo millet bran hydrolysate: Comparative study and kinetic analysis. J. Food Sci. 2020, 57, 915–926. [Google Scholar] [CrossRef]
  22. Balakrishnan, R.; Tadi, S.R.R.; Rajaram, S.K.; Mohan, N.; Sivaprakasam, S. Batch and fed-batch fermentation of optically pure D(-) lactic acid from kodo millet (Paspalum scrobiculatum) bran residue hydrolysate: Growth and inhibition kinetic modeling. Prep. Biochem. Biotechnol. 2020, 50, 365–378. [Google Scholar] [CrossRef]
  23. Alexandria, M.; Blanco-Catalá, J.; Schneidera, R.; Turon, X.; Venus, J. High L(+)-lactic acid productivity in continuous fermentations using bakery waste and lucerne green juice as renewable substrates. Bioresour. Technol. 2020, 316, 1–5. [Google Scholar] [CrossRef] [PubMed]
  24. Cui, Y.; Liu, R.; Xu, L.; Zheng, W.; Sun, W. Fermentation kinetics of enzymatic hydrolysis bagasse solutions for producing l-lactic acid. Sugar Tech 2018, 20, 364–370. [Google Scholar] [CrossRef]
  25. González-Leos, A.; Bustos-Vázquez, M.G.; Rodríguez-Castillejos, G.C.; Rodríguez Durán, L.V.; Del Ángel, J.D.A. Kinetics of lactic acid fermentation from sugarcane bagasse by Lactobacillus pentosus. ReMex. Ing. Quim. 2020, 19, 377–386. [Google Scholar] [CrossRef] [Green Version]
  26. Wischral, D. Statistical optimization of lactic acid production by lactobacillus pentosus using hemicellulosic hydrolysate from sugarcane bagasse. Ingeniería 2018, 29, 41–51. [Google Scholar] [CrossRef] [Green Version]
  27. De Oliveira, R.A.; Schneider, R.; Lunelli, B.H.; Rossell, C.E.V.; Filho, R.M.; Venus, J. A simple biorefinery concept to produce 2g-lactic acid from sugar beet pulp (sbp): A high-value target approach to valorize a waste stream. Molecules 2020, 25, 2113. [Google Scholar] [CrossRef]
  28. Stiles, M.E.; Holzapfel, W.H. Lactic acid bacteria of foods and their current taxonomy. Int. J. Food Microbiol. 1997, 36, 1–29. [Google Scholar] [CrossRef]
  29. Von, W.A.; Axelsson, L. Lactic acid bacteria: An introduction. In Lactic Acid Bacteria; CRC Press: Boca Raton, FL, USA, 2019; pp. 1–16. [Google Scholar]
  30. König, H.; Fröhlich, J. Lactic acid bacteria. In Biology of Microorganisms on Grapes, in Must and in Wine; Springer: Cham, Switzerland, 2017; pp. 3–41. [Google Scholar] [CrossRef]
  31. Mora-Villalobos, J.A.; Montero-Zamora, J.; Barboza, N.; Rojas-Garbanzo, C.; Usaga, J.; Redondo-Solano, M.; Schroedter, L.; Olszewska-Widdrat, A.; López-Gómez, J.P. Multi-product lactic acid bacteria fermentations: A review. Fermentation 2020, 6, 23. [Google Scholar] [CrossRef] [Green Version]
  32. Hatti-Kaul, R.; Chen, L.; Dishisha, T.; Enshasy, H.E. Lactic acid bacteria: From starter cultures to producers of chemicals. FEMS Microbiol. Lett. 2018, 365, fny213. [Google Scholar] [CrossRef] [PubMed] [Green Version]
  33. Juodeikiene, G.; Vidmantiene, D.; Basinskiene, L.; Cernauskas, D.; Bartkiene, E.; Cizeikiene, D. Green metrics for sustainability of biobased lactic acid from starchy biomass vs. chemical synthesis. Catal. Today 2015, 239, 11–16. [Google Scholar] [CrossRef]
  34. Hujanen, M.L.Y.Y.; Linko, Y.-Y. Effect of temperature and various nitrogen sources on L (+)-lactic acid production by Lactobacillus casei. Appl. Microbiol. Biotechnol. 1996, 45, 307–313. [Google Scholar] [CrossRef]
  35. Pinu, F.R.; Villas-Boas, S.G. Extracellular microbial metabolomics: The state of the art. Metabolites 2017, 7, 43. [Google Scholar] [CrossRef] [PubMed]
  36. Rawoof, S.A.A.; Kumar, P.S.; Vo, D.N.; Devaraj, K.; Mani, Y.; Devaraj, T.; Subramanian, S. Production of optically pure lactic acid by microbial fermentation: A review. Environ. Chem. Lett. 2021, 19, 539–556. [Google Scholar] [CrossRef]
  37. Litchfield, J.H. Lactic acid, microbially produced. Encyclopedia of Microbiology; Academic Press: Oxford, UK, 2009; pp. 362–372. [Google Scholar]
  38. Abdel-Rahman, M.A.; Tashiro, Y.; Sonomoto, K. Lactic acid production from lignocellulose-derived sugars using lactic acid bacteria: Overview and limits. J. Biotechnol. 2011, 156, 286–301. [Google Scholar] [CrossRef] [PubMed]
  39. Ding, S.; Tan, T. l-lactic acid production by Lactobacillus casei fermentation using different fed-batch feeding strategies. Process. Biochem. 2006, 41, 1451–1454. [Google Scholar] [CrossRef]
  40. Peterson, G.L. A simplification of the protein assay method of Lowry et al. which is more generally applicable. Anal. Biochem. 1977, 83, 346–356. [Google Scholar] [CrossRef]
  41. Coelho, L.F.; De Lima, C.J.B.; Bernardo, M.P.; Alvarez, G.M.; Contiero, J. Improvement of L(+)-lactic acid production from cassava wastewater by Lactobacillus rhamnosus B 103. J. Sci. Food Agric. 2010, 90, 1944–1950. [Google Scholar] [CrossRef]
  42. Naveena, B.J.; Altaf, M.D.; Bhadriah, K.; Reddy, G. Selection of medium components by Plackett-Burman design for production of L(+) lactic acid by Lactobacillus amylophilus GV6 in SSF using wheat bran. Bioresour. Technol. 2005, 96, 485–490. [Google Scholar] [CrossRef]
  43. Reese, E.T.; Maguire, A. Surfactants as stimulants of enzyme production by microorganisms. Appl. Microbiol. 1969, 17, 242–245. [Google Scholar] [CrossRef]
  44. Cheng, Q.; Tao, J.; Li, W.; Li, D.; Liu, Y.; Shi, X.; Liu, X.; Zhang, X.; Tong, Y.; Ren, X. Production of nisin and lactic acid from the starch of sweet potato by simultaneous saccharification and fermentation with two stage pH adjustment. 3 Biotech. 2021, 11, 1–7. [Google Scholar] [CrossRef]
  45. Kotzamanidis, C.H.; Roukas, T.; Skaracis, G. Optimization of lactic acid production from beet molasses by Lactobacillus delbrueckii NCIMB 8130. World J. Microbiol. Biotechnol. 2002, 18, 441–448. [Google Scholar] [CrossRef]
  46. Gonçalves, L.M.D.; Xavier, A.M.R.B.; Almeida, J.S.; Carrondo, M.J.T. Concomitant substrate and product inhibition kinetics in lactic acid production. Enzyme Microb. Technol. 1991, 13, 314–319. [Google Scholar] [CrossRef]
  47. Kadam, S.R.; Patil, S.S.; Bastawde, K.B.; Khire, J.M.; Gokhale, D.V. Strain improvement of Lactobacillus delbrueckii NCIM 2365 for lactic acid production. Process. Biochem. 2006, 41, 120–126. [Google Scholar] [CrossRef]
  48. Gandhi, D.N.; Patel, R.S.; Wadhwa, B.K.; Bansal, N.; Kaur, M.; Kumar, C.G. Effect of Agro-based By-products on Production of Lactic acid in Whey Permeate Medium. J. Food Sci. Technol. 2000, 37, 292–295. [Google Scholar]
  49. Roy, D.; Goulet, J.; Leduy, A. Batch fermentation of whey ultrafiltrate by Lactobacillus helveticus for lactic acid production. Appl. Microbiol. Biotechnol. 1986, 24, 206–213. [Google Scholar] [CrossRef]
  50. Chiarini, L.; Mara, L.; Tabacchioni, S. Influence of growth supplements on lactic acid production in whey ultrafiltrate by Lactobacillus helveticus. Appl. Microbiol. Biotechnol. 1992, 36, 461–464. [Google Scholar] [CrossRef]
  51. Hujanen, M.; Linko, S.; Linko, Y.Y.; Leisola, M. Optimisation of media and cultivation conditions for L(+)(S)-lactic acid production by Lactobacillus casei NRRL B-441. Appl. Microbiol. Biotechnol. 2001, 56, 126–130. [Google Scholar] [CrossRef] [PubMed]
  52. Nakano, S.; Ugwu, C.U.; Tokiwa, Y. Efficient production of d-(-)-lactic acid from broken rice by Lactobacillus delbrueckii using Ca(OH)2 as a neutralizing agent. Bioresour. Technol. 2012, 104, 791–794. [Google Scholar] [CrossRef] [PubMed]
  53. Giraud, E.; Lelong, B.; Raimbault, M. Influence of pH and initial lactate concentration on the growth of Lactobacillus plantarum. Appl. Microbiol. Biotechnol. 1991, 36, 96–99. [Google Scholar] [CrossRef]
  54. Axe, D.D.; Baile, Y.J.E. Transport of lactate and acetate through the energized cytoplasmic membrane of Escherichia coli. Biotechnol. Bioeng. 1995, 47, 8–19. [Google Scholar] [CrossRef]
  55. Hartke, A.; Bouché, S.; Giard, J.C.; Benachour, A.; Boutibonnes, P.; Auffray, Y. The lactic acid stress response of Lactococcus lactis subsp. lactis. Curr. Microbiol. 1996, 33, 194–199. [Google Scholar] [CrossRef]
  56. Senthuran, A.; Senthuran, V.; Hatti-Kaul, R.; Mattiasson, B. Lactic acid production by immobilized Lactobacillus casei in recycle batch reactor: A step towards optimization. J. Biotechnol. 1999, 73, 61–70. [Google Scholar] [CrossRef]
  57. Timbuntam, W.; Sriroth, K.; Tokiwa, Y. Lactic acid production from sugar-cane juice by a newly isolated Lactobacillus sp. Biotechnol. Lett. 2006, 28, 811–814. [Google Scholar] [CrossRef]
  58. Buvukkileci, A.O. L(+) Lactic Acid Production from Whey by Lactobacillus casei NRRL B-441. Master’s Thesis, Department of Biotechnology and Bioengineering, Major: Biotechnology, Izmir Institute of Technology, Izmir, Turkey, 2000. [Google Scholar]
  59. Bai, D.M.; Wei, Q.; Yan, Z.H.; Zhao, X.M.; Li, X.G.; Xu, S.M. Fed-batch fermentation of Lactobacillus lactis for hyper-production of L-lactic acid. Biotechnol. Lett. 2003, 25, 1833–1835. [Google Scholar] [CrossRef]
  60. Paulova, L.; Chmelik, J.; Branska, B.; Patakova, P.; Drahokoupil, M.; Melzoch, K. Comparison of lactic acid production by L. casei in batch, fed-batch and continuous cultivation, testing the use of feather hydrolysate as a complex nitrogen source. Braz. Arch. Biol. Technol. 2020, 63, 1–12. [Google Scholar] [CrossRef]
  61. Liu, Y.; Gao, W.; Zhao, X.; Wang, J.; Garza, E.; Manow, R.; Zhou, S. Pilot scale demonstration of d-lactic acid fermentation facilitated by Ca(OH)2 using a metabolically engineered Escherichia coli. Bioresour. Technol. 2014, 169, 559–565. [Google Scholar] [CrossRef] [PubMed]
  62. Abdel-Rahman, M.A.; Tashiro, Y.; Sonomoto, K. Recent advances in lactic acid production by microbial fermentation processes. Biotechnol. Adv. 2013, 31, 877–902. [Google Scholar] [CrossRef]
  63. Bernardo, M.P.; Coelho, L.F.; Sass, D.C.; Contiero, J. L-(+)-Lactic acid production by Lactobacillus rhamnosus B103 from dairy industry waste. Braz. J. Microbiol. 2016, 47, 640–646. [Google Scholar] [CrossRef] [Green Version]
  64. Lai, F.; Jin, Y.; Tan, L.; He, K.; Guo, L.; Tian, X.; Li, J.; Du, A.; Huang, Y.; Zhao, H.; et al. Bioconversion of wastewater-derived duckweed to lactic acid through fed-batch fermentation at high-biomass loading. Biomass Convers. Biorefinery 2021. [Google Scholar] [CrossRef]
  65. Ochoa, S. A new approach for finding smooth optimal feeding profiles in fed-batch fermentations. Biochem. Eng. J. 2016, 105, 177–188. [Google Scholar] [CrossRef]
  66. Soda, S.; Ohchi, T.; Piradee, J.; Takai, Y.; Ike, M. Duckweed biomass as a renewable biorefinery feedstock: Ethanol and succinate production from Wolffia globosa. Biomass Bioenergy 2015, 81, 364–368. [Google Scholar] [CrossRef] [Green Version]
  67. Chen, C.C.; Ju, L.K. Adsorption characteristics of polyvinylpyridine and activated carbon for lactic acid recovery from fermentation of Lactobacillus delbrueckii. Sep. Sci. Technol. 1998, 33, 1423–1437. [Google Scholar] [CrossRef]
  68. Coelho, L.F.; Sass, D.C.; Neto, P.M.A.; Contiero, J. Evaluation of a new method for (L+) lactic acid purification, using ethyl ether. Biocatal. Agric. Biotechnol. 2020, 26, 1–9. [Google Scholar] [CrossRef]
  69. Piloni, R.V.; Coelho, L.F.; Sass, D.C.; Lanteri, M.; Bertochi, M.A.Z.; Moyano, E.L.; Contiero, J. Biochars from Spirulina as an alternative material in the purification of lactic acid from a fermentation broth. CRGSC 2021, 4, 1–7. [Google Scholar] [CrossRef]
Figure 1. Pareto chart with standardized effect (tcalc values) of variables studied in Plackett–Burman experimental design for production of lactic acid by Lactobacillus casei Ke11 after 24 h.
Figure 1. Pareto chart with standardized effect (tcalc values) of variables studied in Plackett–Burman experimental design for production of lactic acid by Lactobacillus casei Ke11 after 24 h.
Fermentation 07 00151 g001
Figure 2. Response surface for lactic acid production by Lactobacillus casei Ke11 as function of variables (a) sucrose (X1) and yeast extract (X2); (b) sucrose (X1) and percentage of inoculum (X4); (c) yeast extract (X2) and percentage of inoculum (X4).
Figure 2. Response surface for lactic acid production by Lactobacillus casei Ke11 as function of variables (a) sucrose (X1) and yeast extract (X2); (b) sucrose (X1) and percentage of inoculum (X4); (c) yeast extract (X2) and percentage of inoculum (X4).
Fermentation 07 00151 g002
Figure 3. Surface response for residual sugar (residual TRS) in lactic acid production by Lactobacillus casei Ke11 as function of (a) sucrose (X1) and yeast extract (X2); (b) sucrose (X1) and percentage of inoculum (X4); (c) yeast extract (X2) and percentage of inoculum (X4).
Figure 3. Surface response for residual sugar (residual TRS) in lactic acid production by Lactobacillus casei Ke11 as function of (a) sucrose (X1) and yeast extract (X2); (b) sucrose (X1) and percentage of inoculum (X4); (c) yeast extract (X2) and percentage of inoculum (X4).
Fermentation 07 00151 g003
Figure 4. Kinetics of lactic acid production and sucrose consumption in shake flask fermentation at 150 rpm and 35 °C.
Figure 4. Kinetics of lactic acid production and sucrose consumption in shake flask fermentation at 150 rpm and 35 °C.
Fermentation 07 00151 g004
Figure 5. Kinetics of lactic acid production, sucrose consumption and growth of microorganism in 0.5-L batch reactor using NaOH 10 N to control pH, (a) initial sucrose concentration of 120 g/L in absence of salts from MRS medium and (b) presence of salts from MRS medium.
Figure 5. Kinetics of lactic acid production, sucrose consumption and growth of microorganism in 0.5-L batch reactor using NaOH 10 N to control pH, (a) initial sucrose concentration of 120 g/L in absence of salts from MRS medium and (b) presence of salts from MRS medium.
Fermentation 07 00151 g005
Figure 6. Kinetics of L(+)-lactic acid production, sucrose consumption and growth of microorganism L. casei Ke11 in 0.5-L batch reactor using CaCO3 to control pH, (a) initial sucrose concentration of 120 g/L in absence of salts from MRS medium and (b) presence of salts from MRS medium.
Figure 6. Kinetics of L(+)-lactic acid production, sucrose consumption and growth of microorganism L. casei Ke11 in 0.5-L batch reactor using CaCO3 to control pH, (a) initial sucrose concentration of 120 g/L in absence of salts from MRS medium and (b) presence of salts from MRS medium.
Fermentation 07 00151 g006
Figure 7. Kinetics of production of L(+)-lactic acid, sucrose consumption and growth of microorganism L. casei Ke11 in 0.5-L reactor with pulse fed batch fermentation with initial sucrose concentration of (a) 80 g/L (b) and 120 g/L and constant fed batch with initial sucrose concentration of (c) 80 g/L (d) and 120 g/L.
Figure 7. Kinetics of production of L(+)-lactic acid, sucrose consumption and growth of microorganism L. casei Ke11 in 0.5-L reactor with pulse fed batch fermentation with initial sucrose concentration of (a) 80 g/L (b) and 120 g/L and constant fed batch with initial sucrose concentration of (c) 80 g/L (d) and 120 g/L.
Fermentation 07 00151 g007
Figure 8. Kinetics of production of L(+)-lactic acid, sucrose consumption and growth of microorganism L. casei Ke 11 in 0.5-L reactor in exponential fed batch fermentation with (a) manual regulated feeding (b), feeding regulated by software and control of pH with NaOH 10 N, (c) feeding regulated by software and control of pH with NaOH 10 N and CaCO3 and (d) with regulated by software and control of pH by CaCO3 alone.
Figure 8. Kinetics of production of L(+)-lactic acid, sucrose consumption and growth of microorganism L. casei Ke 11 in 0.5-L reactor in exponential fed batch fermentation with (a) manual regulated feeding (b), feeding regulated by software and control of pH with NaOH 10 N, (c) feeding regulated by software and control of pH with NaOH 10 N and CaCO3 and (d) with regulated by software and control of pH by CaCO3 alone.
Fermentation 07 00151 g008
Table 1. Variables and levels used in Plackett–Burman experimental design.
Table 1. Variables and levels used in Plackett–Burman experimental design.
Levels
VariablesCodes−101
Tween 80 (mL/L)X100.51
Citrate (g/L)X2012
Acetate (g/LX302.55
MnSO4 (g/L)X400.050.1
MgSO4 (g/L)X500.10.2
K2HPO4 (g/L)X6012
Inoculum (%)X72610
Sucrose (g/L)X850100150
Yeast extract (g/L)X901530
Table 2. Real values of coded independent variables.
Table 2. Real values of coded independent variables.
VariablesCodes Levels
−2−1012
Sucrose (g/L)X1060120180240
Yeast extract (g/L)X2015304560
Tween 80 (mL/L)X300.511.52
Inoculum (%)X405101520
Table 3. Plackett–Burman design matrix with real values and response (lactic acid production) after 24 h of fermentation.
Table 3. Plackett–Burman design matrix with real values and response (lactic acid production) after 24 h of fermentation.
Exp *ParametersResponse
Tween 80 (mL/L)Citrate (g/L)Acetate (g/L)MnSO4 (g/L)MgSO4 (g/L)K2HPO4 (g/L)Inoculum %Sucrose * (g/L)YE * (g/L)Lactic Acid (g/L)
11050001015030145.5
21200.1002150306.05
302500.20250301.12
41050.10225000.45
51200.10.20105002.8
612500.22215001.15
70250.1021050301.8
80050.10.201015003
90000.10.222150301.3
1010000.2210503054.45
110200021015002.25
1200000025000.57
130.512.50.050.116100150.9
140.512.50.050.116100151.6
150.512.50.050.116100151.6
* Exp: experiment; YE: yeast extract; Sucrose: a type of sugar, carbon source.
Table 4. Experimental central composite design matrix with real values and respective responses: production of lactic acid (g/L), residual total reducing sugar (residual TRS) (g/L) and productivity (g/L/h).
Table 4. Experimental central composite design matrix with real values and respective responses: production of lactic acid (g/L), residual total reducing sugar (residual TRS) (g/L) and productivity (g/L/h).
ExperimentParametersResponses
SucroseYeast ExtractTween 80InoculumProductionResidual TRSProductivity
g/Lg/LmL/L%24 h
160150.5542.634.061.78
260150.51550.182.932.09
360151.5550.181.662.09
460151.51554.432.312.27
560450.5548.902.232.04
660450.51546.103.271.92
760451.5544.732.091.86
860451.51546.953.071.96
9180150.5574.20103.113.09
10180150.51579.0097.873.29
11180151.5560.25114.522.51
12180151.51591.7087.283.82
13180450.55127.4057.635.31
14180450.515139.5045.405.81
15180451.55119.1049.314.96
16180451.515121.4038.525.06
170301104.0900.17
1824030110104.70112.254.36
1912001104.85106.260.20
2012060110111.803.854.66
211203001088.103.263.67
221203021095.153.43.96
2312030101.62109.420.07
2412030120107.454.574.48
2512030110103.103.444.30
261203011096.305.854.01
2712030110109.203.624.55
2812030110107.503.864.48
Table 5. Coefficients of model estimated by linear regression for lactic acid production and residual sugar.
Table 5. Coefficients of model estimated by linear regression for lactic acid production and residual sugar.
Production
FactorCoefficientStandard Errort-Valuep-Value
Intercept104.02509.59470210.841920.000000
X126.23623.9170216.698010.000015
X216.89213.9170214.312480.000844
X3−0.21123.917021−0.053930.957810
X411.39713.9170212.909630.012181
X12−10.72913.917021−2.739090.016886
X1X213.31194.7973512.774840.015771
X1X3−2.25814.797351−0.470700.645653
X1X42.46444.7973510.513690.616084
X22−9.74663.917021−2.488260.027184
X2X3−2.51694.797351−0.524640.608665
X2X4−2.13944.797351−0.445950.662971
X32−1.42163.917021−0.362920.722498
X3X41.16064.7973510.241930.812609
X42−10.69413.917021−2.730150.017177
Residual TRS
FactorCoefficientStandard Errort-Valuep-Value
Intercept4.19258.9330090.469330.646610
X133.18833.6468869.100460.000001
X2−17.37673.646886−4.764800.000369
X3−0.72753.646886−0.199490.844970
X4−10.98583.646886−3.012390.009998
X1212.24603.6468863.357950.005142
X1X2−13.22624.466505−2.961210.011032
X1X3−0.68884.466505−0.154200.879818
X1X4−3.56504.466505−0.798160.439114
X2211.97853.6468863.284590.005921
X2X3−0.83374.466505−0.186670.854803
X2X40.74754.4665050.167360.869665
X32−0.95273.646886−0.261240.798001
X3X4−1.17754.466505−0.263630.796198
X4212.46353.6468863.417580.004585
Table 6. Analysis of variance of second-order polynomial model.
Table 6. Analysis of variance of second-order polynomial model.
Production
SourceSum of SquaresDegrees of FreedomMean SquareFcalcp
Regression35289.13142520.6526.8452600.000664
Residual4787.0313368.233
Lack of fit4687.6410468.7614.14960.025679
Pure error99.39333.13
Total40076.1627
R2 = 0.88055163; Adjusted R2 = 0.75191493; R = 0.93837713. Ftabulated = 2.554.
Residual TRS
SourceSum of SquaresDegrees of FreedomMean SquareFcalcp
Regression48195.83143442.56010.785140.000058
Residual4149.5313319.195
Lack of fit4145.7810414.58331.500.000245
Pure error3.7531.25
Total52345.3627
R2 = 0.92072784; Adjusted R2 = 0.83535783; R = 0.95954564. Ftabulated = 2.554.
Table 7. Highest values obtained among batch in shaker, batch in reactor and fed batch in reactor.
Table 7. Highest values obtained among batch in shaker, batch in reactor and fed batch in reactor.
Batch aBatch bPulse cPulse dConstant cConstant dExponential e
Production (g/L)112.15103.9100.1592.82125.53110175.84
Productivity (g/L/h)4.764.343.052.663.593.543.74
Yield (%)89848470917695
Biomass (g/L)nd *nd4.248.2512.328.45-
a: Batch performed in shaker. b: Highest values obtained among batch fermentations performed in reactor (batch fermentation with pH controlled by CaCO3 and addition of salts from MRS medium). c: Initial concentration of sucrose in medium of 80 g/L. d: Initial concentration of sucrose in medium of 120 g/L. e: Highest values obtained among exponential fed batch fermentations (batch fermentation with exponential feeding controlled by software and pH controlled by CaCO3 and NaOH). * nd: not determined.
Table 8. Results of purifications using charcoal with celite.
Table 8. Results of purifications using charcoal with celite.
1st Experiment2nd Experiment
Initial BrothFinal SolutionInitial BrothFinal Solution
[Lactic acid] (g/L)62.589.23462.588.433
[Sugar] (g/L)1.540.0351.540.031
[Protein] (g/L)4.2804.280
Volume (mL)10671070
Efficiency (%) 98.8 94
Protein removal (%) 100 100
Sugar removal (%) 85 86
Sugar/lactic acid (%) 0.38 0.36
Table 9. Results obtained in purification using broth with pH 3.2.
Table 9. Results obtained in purification using broth with pH 3.2.
1st Experiment2nd Experiment
Initial BrothFinal SolutionInitial BrothFinal Solution
[Lactic acid] (g/L)778.8297710.861
[Sugar] (g/L)130.387130.880
[Protein] (g/L)50315100500
Efficiency (%) 100 100
Protein removal (%) 81 66
Sugar removal (%) 4.3 8.1
Volume (mL) 72 70.5
Publisher’s Note: MDPI stays neutral with regard to jurisdictional claims in published maps and institutional affiliations.

Share and Cite

MDPI and ACS Style

de Oliveira, P.M.; Santos, L.P.; Coelho, L.F.; Avila Neto, P.M.; Sass, D.C.; Contiero, J. Production of L (+) Lactic Acid by Lactobacillus casei Ke11: Fed Batch Fermentation Strategies. Fermentation 2021, 7, 151. https://doi.org/10.3390/fermentation7030151

AMA Style

de Oliveira PM, Santos LP, Coelho LF, Avila Neto PM, Sass DC, Contiero J. Production of L (+) Lactic Acid by Lactobacillus casei Ke11: Fed Batch Fermentation Strategies. Fermentation. 2021; 7(3):151. https://doi.org/10.3390/fermentation7030151

Chicago/Turabian Style

de Oliveira, Paola Monteiro, Larissa Provasi Santos, Luciana Fontes Coelho, Paulo Marcelo Avila Neto, Daiane Cristina Sass, and Jonas Contiero. 2021. "Production of L (+) Lactic Acid by Lactobacillus casei Ke11: Fed Batch Fermentation Strategies" Fermentation 7, no. 3: 151. https://doi.org/10.3390/fermentation7030151

APA Style

de Oliveira, P. M., Santos, L. P., Coelho, L. F., Avila Neto, P. M., Sass, D. C., & Contiero, J. (2021). Production of L (+) Lactic Acid by Lactobacillus casei Ke11: Fed Batch Fermentation Strategies. Fermentation, 7(3), 151. https://doi.org/10.3390/fermentation7030151

Note that from the first issue of 2016, this journal uses article numbers instead of page numbers. See further details here.

Article Metrics

Back to TopTop